Nội dung toàn văn Quy chuẩn kỹ thuật quốc gia QCVN 65:2021/BTTTT về Thiết bị truy nhập vô tuyến băng tần 5 GHz
QCVN 65:2021/BTTTT
QUY CHUẨN KỸ THUẬT QUỐC GIA VỀ THIẾT BỊ TRUY NHẬP VÔ TUYẾN BĂNG TẦN 5 GHZ
National technical regulation on radio access equipment operating in the 5 GHz band
MỤC LỤC
1. QUY ĐỊNH CHUNG
1.1. Phạm vi điều chỉnh
1.2. Đối tượng áp dụng
1.3. Điều kiện môi trường
1.4. Tài liệu viện dẫn
1.5. Giải thích từ ngữ
1.6. Ký hiệu
1.7. Chữ viết tắt
2. QUY ĐỊNH KỸ THUẬT
2.1. Tần số trung tâm danh định
2.1.1. Định nghĩa
2.1.2. Giới hạn
2.1.3. Đo kiểm
2.2. Băng thông kênh danh định và băng thông kênh chiếm dụng
2.2.1. Định nghĩa
2.2.2. Giới hạn
2.2.3. Đo kiểm
2.3. Công suất phát RF, điều khiển công suất phát (TPC) và mật độ công suất
2.3.1. Định nghĩa
2.3.2. Giới hạn
2.3.3. Đo kiểm
2.4. Phát xạ không mong muốn của máy phát
2.4.1. Phát xạ không mong muốn ngoài băng tần RLAN 5 GHz
2.4.1.1. Định nghĩa
2.4.1.2. Giới hạn
2.4.1.3. Đo kiểm
2.4.2. Phát xạ không mong muốn của máy phát trong băng tần RLAN 5 GHz
2.4.2.1. Định nghĩa
2.4.2.2. Giới hạn
2.4.2.3. Đo kiểm
2.5. Phát xạ giả máy thu
2.5.1. Định nghĩa
2.5.2. Giới hạn
2.5.3. Đo kiểm
2.6. Lựa chọn tần số động DFS
2.6.1. Các yêu cầu với thiết bị FBE
2.6.2. Các yêu cầu với thiết bị LBE
2.6.3. Cơ chế phát báo hiệu điều khiển ngắn trên FBE và LBE
2.7. Đặc tính chặn máy thu
2.7.1. Định nghĩa
2.7.2. Yêu cầu
2.7.3. Đo kiểm
3. PHƯƠNG PHÁP ĐO
3.1. Các điều kiện đo kiểm
3.1.1. Các điều kiện đo bình thường và tới hạn
3.1.2. Yêu cầu đối độ không đảm bảo đo
3.1.3. Các chuỗi đo kiểm
3.1.4. Kênh đo kiểm
3.1.5. Ăngten
3.1.6. Phép đo dẫn, phép đo bức xạ
3.2. Các phép đo kiểm
3.2.1. Khai báo thiết bị
3.2.2. Tần số
3.2.3. Băng thông kênh chiếm dụng
3.2.4. Công suất RF ra, TPC và mật độ công suất
3.2.5. Phát xạ không mong muốn ngoài băng 5 GHz
3.2.6. Phát xạ không mong muốn trong băng tần RLAN 5 GHz
3.2.7. Phát xạ giả máy thu
3.2.8. Cơ chế truy nhập thích nghi
3.2.9. Đặc tính chặn máy thu
4. QUY ĐỊNH VỀ QUẢN LÝ
5. TRÁCH NHIỆM CỦA TỔ CHỨC, CÁ NHÂN
6. TỔ CHỨC THỰC HIỆN
Phụ lục A (Quy định) Hệ thống đo kiểm và bố trí đo bức xạ
Phụ lục B (Quy định) Các thủ tục đo đối với phép đo bức xạ
Phụ lục C (Quy định) Mã HS thiết bị truy nhập vô tuyến băng tần 5 GHz
Thư mục tài liệu tham khảo
Lời nói đầu
QCVN 65:2021/BTTTT thay thế QCVN 65:2013/BTTTT.
QCVN 65:2021/BTTTT do Viện Khoa học Kỹ thuật Bưu điện và Vụ Khoa học và Công nghệ biên soạn, Vụ Khoa học và Công nghệ trình duyệt, Bộ Khoa học và Công nghệ thẩm định, Bộ Thông tin và Truyền thông ban hành kèm theo Thông tư số …../2021/TT-BTTTT ngày … tháng ….năm 2021.
QUY CHUẨN KỸ THUẬT QUỐC GIA VỀ THIẾT BỊ TRUY NHẬP VÔ TUYẾN BĂNG TẦN 5 GHZ
National technical regulation on radio access equipment operating in the 5 GHz band
1. QUY ĐỊNH CHUNG
1.1. Phạm vi điều chỉnh
Quy chuẩn kỹ thuật quốc gia này áp dụng cho các thiết bị mạng nội bộ vô tuyến (thiết bị RLAN băng tần 5 GHz) có khả năng hoạt động ở toàn bộ hoặc một số băng tần quy định trong Bảng 1.
Quy chuẩn này đặt ra các yêu cầu truy nhập băng thông để chia sẻ tài nguyên băng thông với các thiết bị khác.
Bảng 1- Dải tần hoạt động của thiết bị RLAN băng tần 5 GHz
|
Chức năng |
Băng tần |
|
Phát |
5 150 MHz đến 5 350 MHz |
|
Thu |
5 150 MHz đến 5 350 MHz |
|
Phát |
5 470 MHz đến 5 850 MHz |
|
Thu |
5 470 MHz đến 5 850 MHz |
Mã HS thiết bị truy nhập vô tuyến băng tần 5 GHz theo quy định Phụ lục C.
1.2. Đối tượng áp dụng
Quy chuẩn này áp dụng đối với các tổ chức, cá nhân nhập khẩu, sản xuất và khai thác thiết bị có khả năng truy nhập vô tuyến băng tần RLAN 5 GHz nằm trong phạm vi điều chỉnh của Quy chuẩn này trên lãnh thổ Việt Nam.
1.3. Điều kiện môi trường
Các yêu cầu kỹ thuật của Quy chuẩn này áp dụng trong điều kiện môi trường hoạt động của thiết bị theo công bố của nhà sản xuất. Thiết bị phải tuân thủ tất cả yêu cầu kỹ thuật của quy chuẩn này khi hoạt động trong các giới hạn biên của điều kiện môi trường hoạt động đã công bố.
1.4. Tài liệu viện dẫn
ETSl TR 100 028-1: “Electromagnetic compatibility and Radio spectrum Matters (ERM); Uncertainties in the measurement of mobile radio equipment characteristics; Part 1“.
R 100 028-2: “Electromagnetic compatibility and Radio spectrum Matters (ERM); Uncertainties in the measurement of mobile radio equipment characteristics; Part 2”.
IEEE Std. 802.11TM-201G, IEEE standard for Information Technology–Telecommunications and Information Exchange between Systems–Local and Metropolitan Area Networks-Specific Requirements. Part 11: Wireless LAN Medium Access Control (MAC) and Physical Layer (PHY) Specifications.
ETSI TS 136 141 (V13.5.0) (10-2016): “LTE; Evolved Universal Terrestrial Radio Access (E-UTRA); Base station (BS) conformance testing (3GPP TS 36.141 version 13.5.0 Release 13).
1.5. Giải thích từ ngữ
1.5.1. Băng tần RLAN 5 GHz (5 GHz RLAN band)
Băng tần bao gồm các dải tần từ 5 150 MHz đến 5 350 MHz và từ 5 470 MHz đến 5 850 MHz.
1.5.2. Thiết bị thích nghi (adaptive equipment)
Thiết bị hoạt động ở chế độ thích nghi.
1.5.3. Chế độ thích nghi (adaptive mode)
Chế độ của thiết bị thay đổi thích nghi với điều kiện môi trường hoạt động bằng cách xác định các yếu tố truyền dẫn khác có ảnh hưởng trong băng tần hoạt động.
1.5.4. Chế độ ad-hoc (Ad-hoc mode)
Chế độ hoạt động của thiết bị khi kết nối trực tiếp, tạm thời với thiết bị khác, không thông qua điều hành quản lý mạng.
1.5.5. Mảng ăng ten (antenna array)
Hai hoặc nhiều ăng ten kết hợp trong một thiết bị và hoạt động đồng thời.
1.5.6. Bộ ăng ten (antenna assembly)
Bao gồm ăng ten, cáp đồng trục và các giắc nối, bộ phận chuyển mạch nếu được sử dụng
CHÚ THÍCH 1: Bộ ăng ten tương ứng với thành phần trong một nhánh phát.
CHÚ THÍCH 2: Tăng ích bộ ăng ten là tăng ích của chính ăng ten, không bao gồm tăng ích do sử dụng các công nghệ xử lý như điều hướng búp sóng.
1.5.7. Kênh khả dụng (available channel)
Kênh được xác định có khả năng sử dụng ngay làm kênh hoạt động.
CHÚ THÍCH: Các kênh có thể sử dụng có băng thông danh định dải tần từ 5 150 MHz đến 5 250 MHz là các kênh khả dụng mà không cần thực hiện các cách thức xác định độ khả dụng.
1.5.8. Thủ tục dự phòng (backoff procedure)
Thủ tục cho phép chia số tài nguyên chung bằng cách lựa chọn phát ngẫu nhiên từ các thiết bị yêu cầu truy nhập kênh vận hành để phát thông tin.
1.5.9. Tăng ích điều hướng (beamforming gain)
Tăng ích do sử dụng kỹ thuật điều hướng búp sóng trong hệ thống ăng ten thông minh.
CHÚ THÍCH: tăng ích điều hướng độc lập và tách riêng so với tăng ích bộ ăng ten.
1.5.10. Cụm (Burst)
Khoảng thời gian sóng vô tuyến được dự kiến phát liên tiếp, trước và sau khoảng thời gian này không có dự kiến phát nào khác.
1.5.11. Kênh (channel)
Lượng phổ tần số nhỏ nhất được sử dụng bởi một thiết bị RLAN để thu phát thông tin vô tuyến.
CHÚ THÍCH: Thiết bị RLAN có thể hoạt động trên một kênh hoặc một vài kênh đồng thời.
1.5.12. Thủ tục CAE (Channel Access Engine)
Thủ tục dùng để xác định được phép phát tín hiệu.
1.5.13. Bảng phân hoạch kênh (channel plan)
Danh sách bao gồm tần sổ trung tâm các kênh cùng với băng thông kênh danh định tương ứng.
1.5.14. Thủ tục CCA (Clear Channel Assessment)
Thủ tục được thiết bị sử dụng để xác định khả năng kênh được thiết bị khác sử dụng để truyền tin.
1.5.15. Thiết bị kết hợp (combined equipment)
Thiết bị gồm nhiều thành phần, trong đó có ít nhất một thành phần có chức năng thu phát vô tuyến nằm trong phạm vi điều chỉnh.
1.5.16. Cửa sổ tranh chấp (Contention Window – CW)
Thông số chính để xác định khoảng thời gian của thủ tục dự phòng.
1.5.17. Ăng ten dành riêng (Dedicated antenna)
Ăng ten nằm ngoài thiết bị, được kết nối với thiết bị bằng giắc nối, cáp hoặc ống dẫn sóng.
1.5.18. Phát hiện năng lượng (energy detect)
Cơ chế được hệ thống thích nghi sử dụng để xác định khả năng có thiết bị khác hoạt động trong kênh bằng cách phát hiện mức tín hiệu được các thiết bị đó phát ra.
1.5.19. Điều kiện môi trường (environmental profile)
Dải điều kiện môi trường mà thiết bị hoạt động trong đó phải tuân thủ toàn bộ các quy định đặt ra trong Quy chuẩn.
1.5.20. Thiết bị FBE (Frame Based Equipment)
Thiết bị thực hiện thu, phát định kỳ với chu kỳ bằng chu kỳ khung cố định FFP (Chu kỳ khung cố định FFP).
1.5.21. Ăng ten tích hợp (integral antenna)
Ăng ten được thiết kế như một phần cố định của thiết bị (không qua giắc nối) và không thể tách ra khỏi thiết bị để thay thế bằng một ăng ten khác.
CHÚ THÍCH: ăng ten tích họp có thể nằm trong hoặc nằm ngoài thiết bị, tuy nhiên kết nối đến phần còn lại của thiết bị bằng cáp hoặc ống dẫn sóng liền, không sử dụng giắc nối có khả năng tháo lắp.
1.5.22. Thiết bị LBT (Listen Before Talk)
Thiết bị sử dụng chức năng CCA trước khi sử dụng kênh.
1.5.23. Thiết bị LBE (Load Based Equipment)
Thiết bị tạo ra và thực hiện thu, phát vô tuyến theo nhu cầu lượng thông tin, không cố định theo thời gian.
1.5.24. Chế độ Master (Master mode)
Chế độ của thiết bị có DFS (Dynamic Frequency Selection) nhờ phát hiện nhiễu radar (RID – Radar Interference Detection) dùng để điều khiển các thiết bị RLAN khác đang hoạt động ở chế độ Slave.
1.5.25. Thiết bị đa vô tuyến (Multi-radio equipment)
Thiết bị kết hợp có ít nhất 2 khối vô tuyến (phát, thu hoặc thu phát) hoặc thiết bị vô tuyến có khả năng hoạt động đồng thời ở ít nhất 2 băng tần.
1.5.26. Khe thời gian quan sát (observation slot)
Khoảng thời gian thiết bị sử dụng để kiểm tra sự hiện diện của các thiết bị RLAN khác trên kênh vô tuyến hoạt động.
1.5.27. Kênh vận hành (operating channel)
Kênh khả dụng được thiết bị RLAN sử dụng để bắt đầu thu phát.
1.5.28. Thủ tục hậu dự phòng (post backoff)
Thủ tục dự phòng được áp dụng ngay sau mỗi lần phát thành công.
1.5.29. Khoảng thời gian ưu tiên (prioritization period)
Khoảng thời gian bao gồm khởi tạo và quan sát để thực hiện kiểm tra việc thiết bị RLAN khác thực hiện phát trên kênh hoạt động.
1.5.30. Chuỗi thu (receive chain)
Phần bao gồm mạch thu và ăng ten tương ứng.
1.5.31. Thiết bị RLAN (RLAN device)
Thiết bị truy nhập không dây ở băng tần 5 GHz có khả năng sử dụng trong mạng vô tuyến nội bộ.
1.5.32. Cụm radar mô phỏng (simulated radar burst)
Chuỗi các xung vô tuyến tuần hoàn sử dụng cho mục đích đo.
1.5.33. Chế độ Slave (Slave mode)
Chế độ khi việc thu phát của thiết bị RLAN được điều khiển bởi thiết bị RLAN chủ (Master) khi thực hiện DFS.
Khi đặt ở chế độ Slave, thiết bị RLAN gọi là thiết bị Slave.
1.5.34. Hệ thống ăng ten thông minh (smart antenna systems)
Thiết bị kết hợp nhiều ăng ten phát, thu có khả năng xử lý tín hiệu để nâng cao thông lượng hoặc tối ưu hóa khả năng thu, phát vô tuyến.
1.5.35. Thiết bị vô tuyến độc lập (stand-alone radio equipment)
Thiết bị được sử dụng trong mạng vô tuyến có khả năng hoạt động độc lập.
1.5.36. Băng tần thành phần (Sub-band)
Một phần cửa băng tần RLAN 5 GHz.
1.5.37. Băng thông chiếm dụng tổng cộng (total occupied bandwidth)
Tổng của các băng thông danh định trong trường hợp thiết bị hoạt động đồng thời trên các kênh liền kề hoặc không liền kề.
1.5.38. Chuỗi phát (transmit chain)
Phần bao gồm mạch phát và ăng ten tương ứng.
1.5.39. TPC (Transmit Power Control)
Kỹ thuật cho phép công suất đầu ra máy phát vô tuyến được điều khiển để giảm nhiễu cho các hệ thống khác.
1.5.40. Kênh không khả dụng (unavailability channel)
Kênh không thể sử dụng bởi thiết bị RLAN trong một khoảng thời gian nhất định (gọi là chu kỳ bỏ chiếm dụng kênh (Non Occupancy Period- NOP)) khi phát hiện tín hiệu radar trên kênh đó.
1.5.41. Kênh không được sử dụng (unusable channel)
Kênh được khai báo không thể sử dụng trong danh mục kênh do có tín hiệu radar được phát hiện trên đó.
1.5.42. Kênh được sử dụng (usable channel)
Kênh nằm trong danh mục kênh đã khai báo có khả năng sử dụng bởi thiết bị RLAN.
1.6. Ký hiệu
A Công suất đo được ở đầu ra
D Mật độ công suất đo được
dBm Tỷ lệ (theo dB) so với 1 milliwatt công suất
dBW Tỷ lệ (theo dB) so với 1 watt công suất
E Cường độ trường
E0 Cường độ trường tham chiếu
fc Tần số sóng mang
G Độ tăng ích của ăng ten
GHz Gigahertz
Hz Hertz
kHz kiloHertz
MHz Megahertz
ms millisecond
mW milliwatt
n Số lượng kênh
p Bộ đếm chu kỳ ưu tiên
PH EIRP được tính tại mức công suất lớn nhất
PL EIRP được tính tại mức công suất nhỏ nhất
Pburst Công suất trung bình trên toàn bộ cụm phát
PD Mật độ công suất được tính
Pd Xác suất phát hiện
q Bộ đếm liên quan thủ tục dự phòng
R Khoảng cách
Rch Số lượng chuỗi thu đang hoạt động
R0 Khoảng cách tham chiếu
S0 Công suất tín hiệu
T0 Mốc thời gian
T1 Mốc thời gian
T2 Mốc thời gian
T3 Mốc thời gian
W Độ rộng xung radar
x Chu kì quan sát
Y Tăng ích do định hướng búp sóng
1.7. Chữ viết tắt
|
ACK |
Xác nhận |
ACKnowledgement |
|
AWGN |
Nhiễu trắng Gauss |
Additive White Gaussian Noise |
|
BW |
Băng thông |
BandWidth |
|
CCA |
Đánh giá kênh rỗi |
Clear Channel Assessment |
|
COT |
Thời gian chiếm dụng kênh |
Channel Occupancy Time |
|
DC |
Dòng một chiều |
Direct Current |
|
DFS |
Lựa chọn tần số động |
Dynamic Frequency Selection |
|
e.i.r.p. |
Công suất bức xạ đẳng hướng tương đương |
equivalent isotropically radiated power |
|
e.r.p. |
Công suất bức xạ hiệu dụng |
effective radiated power |
|
ED |
Phát hiện năng lượng |
Energy Detect |
|
FAR |
Phòng hấp thụ toàn phần |
Fully Anechoic Room |
|
IEEE |
Viện Kỹ sư Điện và Điện tử |
Institute of Electrical and Electronic Engineers |
|
LBT |
Nghe trước khi nói |
Listen Before Talk |
|
LPDA |
Ăng ten lưỡng cực theo chu kỳ logarit |
Logarithmic Periodic Dipole Antenna |
|
OFDM |
Ghép kênh phân chia theo tần số trực giao |
Orthogonal Frequency Division Multiplexing |
|
PER |
Tỷ lệ lỗi gói |
Packet Error Rate |
|
PHY |
Lớp vật lý |
Physical Layer |
|
ppm |
Một phần triệu |
parts per million |
|
RBW |
Băng thông phân giải |
Resolution BandWidth |
|
RF |
Tần số vô tuyến |
Radio Frequency |
|
RLAN |
Mạng nội bộ vô tuyến |
Radio Local Area Network |
|
RMS |
Giá trị trung bình hiệu dụng |
Root Mean Square |
|
SAR |
Phòng bán hấp thụ |
Semi Anechoic Room |
|
TL |
Mức giới hạn |
Threshold Level |
|
TPC |
Điều khiển công suất phát |
Transmit Power Control |
|
Tx |
Máy phát |
Transmitter |
|
UUT |
Thiết bị được đo kiểm |
Unit Under Test |
|
VBW |
Băng thông Video |
Band width Video |
2. QUY ĐỊNH KỸ THUẬT
2.1. Tần số trung tâm danh định
2.1.1. Định nghĩa
Tần số trung tâm danh định tà tần số trung tâm của kênh hoạt động.
Thiết bị RLAN thường hoạt động trên một hoặc một số tần số cố định. Thiết bị được phép thay đổi tần số hoạt động danh định trong trường hợp phát hiện có nhiễu hoặc để tránh nhiễu đến các thiết bị khác và đáp ứng yêu cầu của quy hoạch tần số.
2.1.2. Giới hạn
Tần sổ trung tâm danh định (fc) cho băng thông kênh danh định là 20 MHz được xác định theo (1):
5 160 +(g x 20) MHz (1)
trong đó, g là số nguyên thỏa mãn 0 ≤ g ≤ 9 hoặc 16 ≤ g ≤ 29.
Tần số trung tâm danh định được phép chênh lệch không quá 200 kHz so với giá trị xác định trong biểu thức (1). Nhà sản xuất thiết bị phải khai báo trong trường hợp sử dụng tần số trung tâm danh định.
Tần số trung tâm hoạt động (thực tế) cho bất kỳ kênh nhất định nào phải được duy trì trong phạm vi fc ± 20 ppm.
2.1.3. Đo kiểm
Sử dụng phương pháp đo như quy định trong 3.2.2.
2.2. Băng thông kênh danh định và băng thông kênh chiếm dụng
2.2.1. Định nghĩa
Băng thông kênh danh định: dải tần số rộng nhất được gán cho cho một kênh độc lập, bao gồm cả băng thông bảo vệ.
Băng thông kênh chiếm dụng: băng thông tập trung 99% công suất tín hiệu.
Khi thiết bị phát trên nhiều kênh lân cận, tín hiệu phát có thể coi như từ một kênh với băng thông kênh danh định bằng “n” lần băng thông kênh danh định riêng biệt với “n” là số kênh lân cận liên tiếp.
Khi thiết bị phát trên nhiều kênh không lân cận, mỗi kênh được sử dụng sẽ được yêu cầu tuân thủ quy định.
2.2.2. Giới hạn
Băng thông kênh danh định đối với một kênh hoạt động đơn bằng 20 MHz.
Ngoài ra, thiết bị có thể sử dụng băng thông kênh danh định tối thiểu bằng 5 MHz nếu vẫn đáp ứng được yêu cầu về tần số trung tâm danh định trong mục 2.1.
Băng thông kênh chiếm dụng phải nằm trong khoảng từ 80% đến 100% băng thông kênh danh định.
Trường hợp có sử dụng hệ thống ăng ten thông minh với nhiều ăng ten phát, băng thông kênh danh định và băng thông kênh chiếm dụng trên mỗi nhánh phát phải đáp ứng các yêu cầu nói trên.
Băng thông kênh chiếm dụng có thể thay đổi theo thời gian hoặc tải tin.
Trong khoảng thời gian COT, thiết bị có thể sử dụng băng thông kênh chiếm dụng tạm thời nhỏ hơn 80% băng thông kênh danh định nhưng không được nhỏ hơn 2 MHz.
2.2.3. Đo kiểm
Sử dụng phương pháp đo như quy định trong 3.2.3.
2.3. Công suất phát RF, điều khiển công suất phát (TPC) và mật độ công suất
2.3.1. Định nghĩa
Công suất phát RF: giá trị trung bình của công suất bức xạ đẳng hướng tương đương (e.i.r.p) trong một cụm phát.
Điều khiển công suất phát (TPC): cơ chế được thiết bị RLAN sử dụng để đảm bảo độ triệt tiêu ít nhất 3 dB từ tổng công suất gây ra bởi số lượng lớn các thiết bị hoạt động. Thiết bị RLAN phải có khả năng điều khiển TPC xuống ít nhất 6 dB dưới mức e.i.r.p. trung bình cho trong giới hạn Bảng 2.
Mật độ công suất là mật độ công suất bức xạ đẳng hướng tương đương (e.i.r.p.) trung bình trong một cụm truyền.
Các giới hạn dưới đây có thể áp dụng trên toàn bộ hệ thống và trong bất kỳ cấu hình nào, có tính đến độ lợi ăng ten của ăng ten tích hợp hoặc ăng ten chuyên dụng cũng như độ lợi bổ sung (định dạng chùm) trong trường hợp hệ thống ăng ten thông minh.
Trong trường hợp có nhiều kênh (liền kề hoặc không liền kề) trong cùng một băng tần thành phần, tổng công suất đầu ra RF của tất cả các kênh trong băng tần thành phần đó không được vượt quá giới hạn được xác định trong Bảng 2 và Bảng 3.
Trong trường hợp nhiều kênh không liền kề hoạt động trong các băng tần thành phần riêng biệt, tổng công suất đầu ra RF trong mỗi các băng tần thành phần không được vượt quá các giới hạn được xác định trong Bảng 2 và Bảng 3.
2.3.2. Giới hạn
Các giới hạn dưới đây áp dụng trên toàn bộ hệ thống trong mọi cấu hình, có tính đến tăng ích ăng ten tích hợp hoặc dành riêng cũng như tăng ích do sử dụng ăng ten thông minh. Trong trường hợp thiết bị sử dụng nhiều kênh liên tiếp hoặc tách rời bên trong băng tần thành phần, công suất phát RF trên băng tần thành phần được xác định bằng tổng công suất trên các kênh và không được lớn hơn mức giới hạn. Trường hợp thiết bị hoạt động trên các kênh không thuộc băng tần thành phần, công suất phát RF trên mỗi băng tần thành phàn bằng tổng công suất phát RF của các kênh thuộc băng đó và không được lớn hơn mức giới hạn.
Trong dải tần từ 5 150 MHz đến 5 250 MHz, thiết bị không bắt buộc sử dụng TPC.
Với thiết bị sử dụng TPC, công suất phát RF và mật độ công suất khi hoạt động ở mức công suất cao nhất (PH) của dải TPC không vượt quá mức quy định trong Bảng 2.
Nếu thiết bị không sử dụng TPC, mức giới hạn cũng được quy định trong Bảng 2.
Bảng 2 – Giới hạn e.i.r.p. trung bình để xác định công suất phát RF và mật độ công suất tại mức công suất lớn nhất (PH)
|
Băng tần (MHz) |
Giới hạn e.i.r.p. trung bình tại PH (dBm) |
Giới hạn mật độ e.i.r.p. trung bình (dBm/MHz) |
||
|
Có TPC |
Không TPC |
Có TPC |
Không TPC |
|
|
5 150 đến 5 350 |
23 |
20/23 (Chú thích 1) |
10 |
7/10 (Chú thích 2) |
|
5 470 đến 5 850 |
30 (Chú thích 3) |
27 (Chú thích 3) |
17 (Chú thích 3) |
14 (Chú thích 3) |
|
Ghi chú 1: giới hạn áp dụng bằng 20 dBm, trừ trường hợp phát với băng thông danh định nằm hoàn toàn trong băng tần từ 5 150 MHz đến 5 250 Mhz có giới hạn áp dụng bằng 23 dBm Ghi chú 2: giới hạn áp dụng bằng 7 dBm/MHz, trừ trường hợp phát với băng thông danh định nằm hoàn toàn trong băng tần từ 5 150 MHz đến 5 250 Mhz có giới hạn áp dụng bằng 10 dBm/MHz Ghi chú 3: thiết bị Slave không có tính năng phát hiện nhiễu radar phải tuân thủ trong băng tần từ 5 250 MHz đến 5 350 MHz |
||||
Bảng 3 – Giới hạn e.i.r.p. trung bình để xác định công suất phát RF tại mức công suất nhỏ nhất (PL)
|
Băng tần |
Giới hạn e.i.r.p. trung bình tại PL (dBm) |
|
5 150 đến 5 350 |
17 |
|
5 470 đến 5 850 |
24 (Chú thích) |
|
CHÚ THÍCH : Thiết bị Slave không có tính năng phát hiện nhiễu radar phải tuân thủ trong băng tần từ 5 250 MHz đến 5 350 MHz. |
|
2.3.3. Đo kiểm
Sử dụng phương pháp đo như quy định trong 3.2.4.
2.4. Phát xạ không mong muốn của máy phát
2.4.1. Phát xạ không mong muốn của máy phát ngoài băng tần RLAN 5 GHz
2.4.1.1. Định nghĩa
Phát xạ không mong muốn của máy phát ngoài băng tần RLAN 5 GHz là các phát xạ nằm ngoài băng tần RLAN 5 GHz được định nghĩa trong 1.5.1.
2.4.1.2. Giới hạn
Mức phát xạ không mong muốn ngoài băng tần RLAN 5 GHz không được vượt quá mức quy định trong Bảng 4.
Trong trường hợp thiết bị có cổng nối ăng ten, các mức giới hạn trên được áp dụng đối với phát xạ tại cổng ăng ten.
Đối với cổng vỏ hoặc thiết bị sử dụng ăng ten tích hợp không có cổng nối ăng ten, mức giới hạn áp dụng đối với giá trị e.r.p. tại tần só đến 1 GHz và e.i.r.p. tại tần số lớn hơn 1 GHz.
Bảng 4 – Giới hạn phát xạ không mong muốn của máy phát ngoài băng RLAN 5 GHz
|
Dải tần |
Công suất lớn nhất |
Băng thông |
|
30 MHz đến 47 MHz |
-36 dBm |
100 kHz |
|
47 MHz đến 74 MHz |
-54 dBm |
100 kHz |
|
74 MHz đến 87,5 MHz |
-36 dBm |
100 kHz |
|
87,5 MHz đến 118 MHz |
-54 dBm |
100 kHz |
|
118 MHz đến 174 MHz |
-36 dBm |
100 kHz |
|
174 MHz đến 230 MHz |
-54 dBm |
100 kHz |
|
230 MHz đến 470 MHz |
-36 dBm |
100 kHz |
|
470 MHz đến 862 MHz |
-54 dBm |
100 kHz |
|
862 MHz đến 1 GHz |
-36 dBm |
100 kHz |
|
1 GHz đến 5,35 GHz |
-30 dBm |
1 MHz |
|
5,35 GHz đến 5,470 GHz |
-30 dBm |
1 MHz |
|
5,470 GHz đến 26 GHz |
-30 dBm |
1 MHz |
2.4.1.3. Đo kiểm
Sử dụng phương pháp đo như quy định trong 3.2.5.
2.4.2. Phát xạ không mong muốn của máy phát trong băng tần RLAN 5 GHz
2.4.2.1. Định nghĩa
Phát xạ không mong muốn của máy phát trong băng tần RLAN 5 GHz định nghĩa trong 1.5.1.
2 4.2.2. Giới hạn
Mật độ công suất (xác định trên băng thông 1 MHz) của phát xạ phát không mong muốn của máy phát trong băng tần RLAN 5 GHz không được lớn hơn -30 dBm/MHz và mức giới hạn xác định bởi mặt nạ phổ trong Hình 1. Các giới hạn trong Hình 1 là mức so sánh tương ứng với mật độ công suất lớn nhất của thiết bị RLAN trên băng thông 1 MHz.
Mặt nạ phổ trong Hình 1 chỉ áp dụng đối với băng tần hoạt động của thiết bị. Bên ngoài băng tần hoạt động của thiết bị, giới hạn được xác định như trong mục 2.4.1.
Trong trường hợp sử dụng hệ thống ăng ten thông minh có nhiều đường phát, phát xạ phát trên mỗi chuỗi phát phải thỏa mãn giới hạn xác định từ Hình 1.
Với thiết bị phát đồng thời trên các kênh lân cận, các giới hạn trên được áp dụng như với thiết bị phát trên một kênh tổng với băng thông bằng n lần băng thông danh định của mỗi kênh, trong đó n là số kênh lân cận được thiết bị sử dụng đồng thời.
Với thiết bị phát đồng thời trên các kênh không liên tiếp nhau, việc áp dụng giới hạn được thực hiện như sau:
– Phát xạ phát không mong muốn của mỗi kênh không được vượt quá mặt nạ phổ trong Hình 1;
– Tại mỗi tần số, mức mặt nạ phổ lớn nhất xác định từ phát xạ của mỗi kênh được thiết bị sử dụng sẽ được coi là mức giới hạn trong mặt nạ phổ tương ứng với tần số đó.

Hình 1 – Mặt nạ phổ phát xạ
2.4.2.3. Đo kiểm
Sử dụng phương pháp đo như quy định trong 3.2.6.
2.5. Phát xạ giả máy thu
2.5.1. Định nghĩa
Các phát xạ trên tần số bất kỳ khi thiết bị hoạt động ở chế độ thu.
2.5.2. Giới hạn
Phát xạ giả ở máy thu không được lớn hơn mức giới hạn xác định trong Bảng 5.
Trong trường hợp thiết bị có cổng nối ăng ten, các mức giới hạn trên được áp dụng đối với phát xạ tại cổng ăng ten.
Đối với cổng vỏ hoặc thiết bị sử dụng ăng ten tích hợp không có cổng nối ăng ten, mức giới hạn áp dụng đối với giá trị e.r.p tại tần số đến 1 GHz và e.i.r.p. tại tần số lớn hơn 1 GHz.
Bảng 5 – Giới hạn phát xạ giả ở máy thu
|
Dải tần |
Công suất lớn nhất |
Băng thông do |
|
30 MHz đến 1 GHz |
-57 dBm |
100 kHz |
|
1 GHz đến 26 GHz |
-47dBm |
1 MHz |
2.5.3. Đo kiểm
Sử dụng phương pháp đo như quy định trong 3.2.7.
2.6. Lựa chọn tần số động DFS
Là cơ chế được thiết bị sử dụng để tự động giới hạn phát và thực hiện truy nhập vào kênh vận hành.
RLAN sẽ sử dụng chức năng Lựa chọn tần số động (DFS) để phát hiện nhiễu từ các hệ thống radar (phát hiện radar) và để tránh hoạt động đồng kênh với các hệ thống này.
Chức năng DFS được mô tả trong các điều kiện mà thiết bị có thể truyền, việc truyền được cho phép gắn với điều kiện không bị cấm theo yêu cầu chức năng thích nghi.
Có hai loại thiết bị thích nghi:
– Thiết bị thích nghi theo khung tin (FBE);
– Thiết bị thích nghi theo tải (LBE).
2.6.1. Các yêu cầu với thiết bị FBE
2.6.1.1. Giới thiệu
Các thiết bị FBE sẽ thực hiện cơ chế truy nhập theo phương thức LBT để phát hiện tín hiệu từ thiết bị RLAN khác đang phát trên kênh vận hành nhất định.
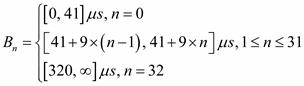
Thiết bị FBE sắp xếp việc thu, phát một cách định kì với chu kỳ được xác định bằng tham số FFP. Mỗi khe thời gian quan sát được sử dụng sẽ có khoảng thời gian không ít hơn 9 μs.
Thiết bị khởi tạo một chuỗi gồm một hoặc nhiều tín hiệu phát được gọi là thiết bị khởi tạo. Ngược lại, thiết bị gọi là thiết bị đáp ứng.
Thiết bị FBE có thể thuộc dạng thiết bị khởi tạo, thiết bị đáp ứng hoặc cả hai dạng này. Cơ chế truy nhập đối với LBE dang thiết bị khởi tạo phải tuân theo quy định trong 2.6.1.2. Cơ chế truy nhập đối với LBE dạng thiết bị đáp ứng phải tuân theo quy định trong 2.6.1.3.
Nếu có khả năng phát đồng thời trên các kênh vận hành lân cận hoặc riêng biệt, FBE được phép sử dụng tổ hợp/nhóm kênh vận hành 20 MHz bất kỳ nằm trong danh sách tần số trung tâm danh định (xem 2.1) nếu thỏa mãn yêu cầu về truy nhập kênh đối với thiết bị khởi tạo quy định trong 2.6.1.2 trên từng kênh vận hành 20 MHz.
2.6.1.2. Cơ chế truy nhập của thiết bị khởi tạo
Thiết bị LBE dạng thiết bị khởi tạo thực hiện truy nhập kênh đáp ứng các yêu cầu dưới đây:
1) Nhà sản xuất phải khai báo các khoảng thời gian chu kỳ khung cố định FFP được hỗ trợ và các khoảng thời gian này phải nằm trong khoảng từ 1 ms đến 10 ms. Tín hiệu chỉ được phát tại thời điểm bắt đầu chu kỳ FFP như trong Hình 2. Thiết bị có thể thay đổi chu kỳ khung cố định FFP nhưng tần suất thay đổi tối đa chỉ 1 lần trong mỗi khoảng thời gian 200 ms.
2) Ngay trước khi bắt đầu phát trên kênh vận hành tại thời điểm bắt đầu của chu kỳ FFP, thiết bị LBE sẽ thực hiện kiểm tra CCA trong một khe thời gian quan sát. Kênh vận hành sẽ được xem là đã sử dụng nếu mức năng lượng trên đó vượt giới hạn ED Threshold Level (TL) như trong yêu cầu thứ (6) ở mục này. Nếu kênh vận hành được xác định chưa sử dụng, thiết bị LBE có thể phát trên đó như trên Hình 2.
Nếu phát hiện kênh vận hành đã sử dụng, thiết bị sẽ không phát trên kênh đó trong chu kỳ FFP ngay tiếp theo. Tuy nhiên, FBE được phép phát báo hiệu điều khiển ngắn trên kênh này nếu đáp ứng yêu cầu quy định trong mục 2.6.3.
Nếu có khả năng phát đồng thời trên các kênh vận hành, thiết bị được phép phát trên kênh vận hành bất kỳ được xác nhận còn trống nhờ thủ tục kiểm tra CCA. Tổng thời gian thiết bị FBE được phép phát trên kênh vận hành nhất định mà không cần thực hiện lại thủ tục kiểm tra CCA gọi là thời gian chiếm dụng kênh COT. Trong thời gian đó, thiết bị có thể phát nhiều lần trên kênh vận hành mà không cần thực hiện thêm thủ tục kiểm tra CCA nếu khoảng thời gian nghỉ giữa hai lần phát liên tiếp không vượt quá 16 μs. Nếu dự kiến bắt đầu phát sau lần trước lớn hơn 16 μs, thiết bị phải thực hiện xác nhận kênh còn trống qua thủ tục kiểm tra CCA mới ngay trước khi được phát. Tất cả các khoảng thời gian ngừng phát đều bao hàm trong COT.
3) Thiết bị FBE dạng thiết bị khởi tạo được phép cấp xác thực cho một hoặc một số các thiết bị đáp ứng liên quan trong khoảng thời gian chiếm dụng kênh. Thiết bị đáp ứng thu được xác thực sẽ phải tuân thủ các thủ tục quy định trong mục 2.6.1.3.
4) Khoảng thời gian chiếm dụng kênh COT sẽ không được lớn hơn 95% chu kỳ FFP. Khoảng thời gian tiếp theo khi hết chiếm dụng kênh được gọi là khoảng thời gian chờ (Idle Time). Khoảng thời gian chờ không được nhỏ hơn 5% của COT và không nhỏ hơn 100 μs.
5) Khi nhận được gói tin dự định, thiết bị có thể bỏ qua CCA để ngay lập tức xử lý phát các khung tin quản lí và điều khiển như ACK. Tổng thời gian thiết bị thực hiện xử lý phát liên tiếp mà không thực hiện CCA mới không được vượt quá giá trị lớn nhất COT như quy định trong bước (4) ở mục này. Để phát đa hướng (multi-cast), các thông tin ACK tương ứng với cùng gói dữ liệu của các thiết bị khác được phép phát liên tiếp.
6) Mức ngưỡng ED Threshold Level (TL) tại đầu vào máy thu được xác định theo công suất phát lớn nhất theo biểu thức sau (giả thiết ăngten thu đẳng hướng và công suất được sử dụng là e.i.r.p theo dBm):
-75 dBm/MHz, nếu PH ≤ 13 dBm;
-85 dBm/MHz + (23 dBm – PH) nếu 13 dBm < PH < 23 dBm;
-85 dBm/MHz, nếu PH ≥ 23 dBm.

Hình 2 – Cấu trúc trong chu kỳ khung cố định FFP
2.6.1.3. Cơ chế truy nhập của thiết bị đáp ứng
Yêu cầu 3) trong 2.6.1.2 đã quy định thủ tục thiết bị khởi tạo cấp quyền cho thiết bị đáp ứng để phát trên kênh vận hành trong khoảng thời gian chu kỳ khung cố định FFP hiện tại. Thiết bị đáp ứng nhận được quyền phát sẽ phải đáp ứng các thủ tục từ bước 1) đến 3) trong mục này.
1) Thiết bị đáp ứng được cấp quyền phát từ một thiết bị khởi tạo có thể phát trên kênh vận hành như sau:
a) Thiết bị đáp ứng có thể phát mà không cần thực hiện thủ tục giám sát CCA nếu thời điểm phát cách không quá 16 μs so với thời điểm phát trước đó của thiết bị khởi tạo cấp quyền.
b) Thiết bị đáp ứng không phát trong khoảng 16 μs kể từ thời điểm phát trước đó của thiết bị khởi tạo cấp quyền phải thực hiện thủ tục kiểm tra kênh CCA trên kênh vận hành trước khi phát. Thủ tục CCA phải thực hiện trong khe thời gian giám sát không quá 25 μs kể từ thời điểm phát trước đó của thiết bị khởi tạo.
Nếu tín hiệu phát hiện khi giám sát lớn hơn mức ED Threshold Level (TL) trong điểm 6) ở mục 2.6.1.2, thiết bị đáp ứng phải xử lý theo bước 3) trong mục này. Ngược lại, thiết bị đáp ứng xử lý theo bước 2) của mục này.
2) Thiết bị đáp ứng có thể phát trên kênh vận hành trong khoảng thời gian COT còn lại của chu kì FFP hiện tại. Thiết bị đáp ứng (Responding Device) có thể phát nhiều lần trên kênh vận hành nếu khoảng cách giữa các lần phát liên tiếp không vượt quá 16 μs. Khi hoàn thành phát, thiết bị đáp ứng sẽ thực hiện theo thủ tục ở bước 3).
b) Thiết bị đáp ứng không phát trong khoảng 16 μs kể từ thời điểm phát trước đó của thiết bị khởi tạo cấp quyền phải thực hiện thủ tục kiểm tra kênh CCA trên kênh vận hành trước khi phát.
3) Thiết bị đáp ứng bị mất quyền phát.
2.6.2. Các yêu cầu với thiết bị LBE
2.6.2.1. Giới thiệu
Thiết bị LBE sẽ thực hiện cơ chế truy nhập kênh theo kiểu Listen Before Talk (LBT) để phát hiện đã có tín hiệu RLAN phát trên kênh vận hành.
2.6.2.2. Phân loại thích nghi
Thiết bị khởi tạo một chuỗi gồm một hoặc nhiều tín hiệu phát được gọi là thiết bị khởi tạo. Ngược lại, thiết bị gọi là thiết bị đáp ứng.
Thiết bị LBE có thể thuộc dạng thiết bị khởi tạo, thiết bị đáp ứng hoặc cả hai dạng này.
Cơ chế truy nhập đối với LBE dạng thiết bị khởi tạo phải tuân theo quy định trong mục 2.6.2.6. Cơ chế truy nhập đối với LBE dạng thiết bị đáp ứng phải tuân theo quy định trong mục 2.6.2.7.
Thiết bị LBE phát trên các khoảng thời gian chiếm dụng COT. Mỗi COT bao gồm ít nhất một khoảng thời gian phát của thiết bị khởi tạo và có thể cả các khoảng thời gian phát của các thiết bị đáp ứng tương ứng.
Thiết bị điều khiển (không phải DFS) các tham số hoạt động của một hoặc một số thiết bị khác gọi là thiết bị giám sát (Supervising Device). Ngược lại, các thiết bị chịu sự điều khiển của thiết bị giám sát gọi là thiết bị được giám sát (Supervised Device).
2.6.2.3. Sử dụng đa kênh
Nếu có khả năng phát đồng thời trên các kênh vận hành lân cận hoặc riêng biệt, LBE phải đáp ứng tùy chọn dưới đây:
LBE được phép sử dụng tổ hợp/nhóm kênh vận hành 20 MHz bất kì nằm trong danh sách tần số trung tâm danh định (mục 2.1) nếu thỏa mãn yêu cầu về truy nhập kênh đối với thiết bị khởi tạo quy định trong mục 2.6.2.6 trên từng kênh vận hành 20 MHz;
LBE sử dụng tổ hợp/nhóm kênh 20 MHz nằm trong kênh liên kết 40 MHz, 80 MHz hoặc 160 MHz có thể phát trên kênh vận hành 20 MHz bất kì nếu thỏa mãn yêu cầu về truy nhập kênh đối với thiết bị khởi tạo quy định trong mục 2.6.2.6 trên một trong các kênh vận hành 20 MHz (gọi là kênh vận hành chính) và thực hiện kiểm tra CCA trong ít nhất 25 μs để xác định không có tín hiệu khác có mức lớn hơn ED Threshold Level (TL) (xem mục 2.6.2.5) trên kênh vận hành định sử dụng khác.
Kênh liên kết 40 MHz, 80 MHz và 160 MH z được sắp xếp như trong Hình 3.

Hình 3 – Sắp xếp kênh 40 MHz, 80 MHz, 160 MHz
Việc lựa chọn kênh vận hành chính được thực hiện theo một trong hai cách sau:
– Lựa chọn với xác suất đều nhau mỗi khi cửa sổ cạnh tranh CW tương ứng với một lần phát của kênh vận hành chính đang sử dụng được đặt ở mức nhỏ nhất CWmin. Cửa sổ CW sẽ được giữ nguyên cho từng lớp ưu tiên (xem mục 2.6.2.4) trong một kênh 20 MHz thành phần của kênh liên kết 40 MHz, 80 MHz hoặc 160 MHz;
– Lựa chọn ngẫu nhiên và không thay đổi quá một lần trong 1 giây.
Kênh liên kết 40 MHz, 80 MH, 160 MH chứa nhóm kênh vận hành 20 MHz sẽ không được thay đổi quá một lần trong 1 giây.
2.6.2.4. Các lớp ưu tiên
Bảng 7, Bảng 8 chứa 4 tập tham số truy nhập kênh tương ứng cho các thiết bị giám sát và được giám sát, tạo ra các lớp ưu tiên và tham số COT lớn nhất. Các tham số trên được thiết bị khởi tạo sử dụng trong cơ chế truy nhập kênh (tại 2.6.2.6) để truy nhập kênh vận hành.
Nếu kênh chiếm dụng chứa ít nhất 2 đoạn phát, các đoạn phát phải được phân tách bởi khoảng phân cách nhất định. COT được xác định bằng tổng tất cả thời khoảng phát và các khoảng phân cách không quá 25 μs nằm trong kênh chiếm dụng. Giá trị COT không được vượt quá giá trị lớn nhất được quy định trong Bảng 7 và Bảng 8. Khoảng cách giữa thời điểm phát cuối cùng đến thời điểm phát đầu tiên trong một kênh chiếm dụng không được vượt quá 20 ms.
Thiết bị khởi tạo có thể phát trên các lớp ưu tiên khác nhau. Khi đó cơ chế truy nhập kênh sử dụng đồng thời các công cụ chiếm lĩnh kênh (Channel Occupancy Engine) tương ứng với mỗi lớp ưu tiên khác nhau quy định trong 2.6.2.6.
Bảng 7 – Thông số truy nhập kênh các lớp ưu tiên khác nhau (thiết bị khởi tạo)
|
Lớp |
P0 |
CWmin |
CWmax |
Thời gian chiếm dụng kênh (COT) lớn nhất |
|
4 |
1 |
3 |
7 |
2 ms |
|
3 |
1 |
7 |
15 |
4 ms |
|
2 |
3 |
15 |
63 |
6 ms (Chú thích 1, 2) |
|
1 |
7 |
15 |
1023 |
6 ms (Chú thích 1) |
|
CHÚ THÍCH 1: Giá trị COT lớn nhất bằng 6 ms có thể tăng lên 8 ms bằng cách chèn thêm các khoảng dừng với độ dài nhỏ nhất 100 μs. Giá trị lớn nhất của COT không tính các khoảng dừng bằng 6 ms. CHÚ THÍCH 2: Giá trị COT lớn nhất bằng 6 ms có thể tăng lên 10 ms bằng cách mở rộng CW lên CW x 2 + 1 khi lựa chọn số lần ngẫu nhiên q cho các khoảng dự trữ trước khoảng thời gian chiếm dụng kênh có khả năng lớn hơn 6 ms hoặc cho khoảng dự trữ sau chiếm dụng kênh lớn hơn 6 ms. Việc sử dụng dự trữ trước hay sau chiếm dụng kênh phải không thay đổi trong khoảng thời gian vận hành của thiết bị. CHÚ THÍCH 3: Các giá trị cho P0, CWmin, CWmax là các giá trị nhỏ nhất có thể sử dụng. |
||||
Bảng 8 – Thông số truy nhập kênh các lớp ưu tiên khác nhau (thiết bị đáp ứng)
|
Lớp |
P0 |
CWmin |
CWmax |
Thời gian chiếm dụng kênh (COT) lớn nhất |
|
4 |
2 |
3 |
7 |
2 ms |
|
3 |
2 |
7 |
15 |
4 ms |
|
2 |
3 |
15 |
1023 |
6 ms (Chú thích 1) |
|
1 |
7 |
15 |
1023 |
6 ms (Chú thích 1) |
|
CHÚ THÍCH 1: Giá trị COT lớn nhất bằng 6 ms có thể tăng lên 8 ms bằng cách chèn thêm các khoảng dừng với độ dài nhỏ nhất 100 μs. Giá trị lớn nhất của COT không tính các khoảng dừng bằng 6 ms. CHÚ THÍCH 2: Các giá trị cho P0, CWmin, CWmax là các giá trị nhỏ nhất có thể sử dụng. |
||||
2.6.2.5. Mức giới hạn phát hiện ED Threshold Level
Thiết bị sẽ coi kênh đã bị chiếm hữu khi phát hiện có tin hiệu phát RLAN với mức lớn hơn ED Threshold Level (TL). ED Threshold Level (TL) được xác định trên băng thông kênh danh định của tất cả các kênh vận hành được thiết bị sử dụng.
Giả trị giới hạn ED Threshold Level (TL) phụ thuộc vào loại thiết bị:
– Tùy chọn 1: với thiết bị hoạt động ở băng tần RLAN 5 GHz tuân thủ một hoặc một số trong các điều 17, 19, 21 trong tiêu chuẩn IEEE 802.11TM-2016, giá trị ED Threshold Level (TL) không phụ thuộc công suất phát lớn nhất của thiết bị (PH). Giả sử dùng ăngten có tăng ích 0 dBi, giá trị ED Threshold Level (TL) sẽ được xác định bằng:
TL = -75 dBm/MHz (2)
– Tùy chọn 2: với thiết bị tuân thủ điều kiện trong Tùy chọn 1 và ít nhất một chế độ hoạt động khác hoặc với thiết bị không tuân thủ điều kiện trong Tùy chọn 1, giá trị ED Threshold Level (TL) sẽ phụ thuộc với công suất phát lớn nhất của thiết bị (PH). Giả sử dùng ăng ten có tăng ích 0 dBi, giá trị ED Threshold Level (TL) sẽ được xác định bằng:
PH ≤ 13 dBm: TL = -75 dBm/MHz
13 dBm < PH ≤ 23 dBm: TL = -85 dBm/MHz + (23 dBm – PH)
PH > 23 dBm: TL = -85 dBm/MHz
2.6.2.6. Cơ chế truy nhập của thiết bị khởi tạo
Trước khi phát trên kênh vận hành, thiết bị khởi tạo phải kích hoạt và vận hành ít nhất một thủ tục CAE để thực hiện thủ tục trong các bước từ 1) đến 8) dưới đây. Thủ tục CAE sử dụng các tham số theo quy định trong Bảng 7 và Bảng 8.
Khe thời gian quan sát định nghĩa trong 1.5.26 và được sử dụng trong mục này không được nhỏ hơn 9 μs.
Thiết bị khởi tạo sẽ sử dụng từ 1 đến 4 thủ tục CAE khác nhau tương ứng với mỗi lớp ưu tiên xác định trong mục 2.6.2.4.
|
1) |
Thủ tục CAE đặt CW bằng CWmin. |
||
|
2) |
Thủ tục CAE lựa chọn ngẫu nhiên theo mật độ xác suất phân bố đều một số q trong khoảng từ 0 đến CW. Chú thích 2 trong Bảng 7 xác định dải giải trị khác của q khi thời khoảng COT trước hoặc tiếp sau lớn hơn giá trị lớn nhất của COT xác định trong Bảng 7. |
||
|
3) |
Thủ tục CAE sẽ khởi tạo khoảng thời gian ưu tiên như được quy định từ bước 3a) đến bước 3c): |
||
|
|
a) |
Thủ tục CAE đặt tham số p theo lớp ưu tiên tương ứng như trong 2.6.2.4 |
|
|
|
b) |
Thủ tục CAE đợi trong khoảng thời gian 16 μs |
|
|
|
c) |
Thủ tục CAE thực hiện thủ tục CCA trên kênh vận hành trong khe thời gian quan sát. |
|
|
|
|
i) |
Kênh vận hành sẽ được coi như bị chiếm dụng nếu có tín hiệu phát trên kênh đó lớn hơn mức giới hạn ED Threshold như trong 2.6.2.5. Khi đó, Thủ tục CAE sẽ khởi tạo khoảng thời gian ưu tiên theo bước 3a) sau khi tín hiệu phát hiện trong kênh nhỏ hơn mức giới hạn ED Threshold; |
|
|
|
ii) |
Trong trường hợp tín hiệu trên kênh vận hành có mức nhỏ hơn mức giới hạn ED Threshold, p có thể được giảm xuống với bước giảm không vượt quá 1. Nếu p bằng 0, Thủ tục CAE sẽ xử lý tiếp sang bước 4). Ngược lại, thủ tục CAE sẽ xử lý theo bước 3c); |
|
4 |
Thủ tục CAE sẽ thực hiện thủ tục dự phòng theo các bước từ 4a) đến 4d) như sau: |
||
|
|
a) |
Xác định thủ tục CAE có thỏa mãn điều kiện thủ tục dự phòng hay không. Nếu q < 0 và ở trạng thái sẵn sàng phát, thủ tục CAE sẽ đặt CW bằng CWmin và lựa chọn số ngẫu nhiên q theo xác suất phân bố đều trong dải từ 0 đến CW trước khi thực hiện bước 4b). Ghi chú 2 trong Bảng 7 xác định dải giải trị khác của q khi thời khoảng COT trước hoặc tiếp sau lớn hơn giá trị lớn nhất của COT xác định trong Bảng 7. |
|
|
|
b) |
Nếu q < 1, thủ tục CAE sẽ xử lý theo bước 4d). Ngược lại, thủ tục CAE có thể giảm q một giá trị không lớn hơn 1 và xử lí theo bước 4c); |
|
|
|
c) |
Thủ tục CAE thực hiện thủ tục CCA trên kênh vận hành trong khe thời gian quan sát đơn lẻ như sau: |
|
|
|
|
i) |
Kênh vận hành sẽ được coi như bị chiếm dụng nếu có tín hiệu phát trên kênh đó lớn hơn mức giới hạn ED Threshold như trong mục 2.6.2.5. Khi đó, thủ tục CAE sẽ tiếp tục thực hiện theo bước 3; |
|
|
|
ii) |
Trong trường hợp tín hiệu trên kênh vận hành có mức nhỏ hơn mức giới hạn ED Threshold, thủ tục CAE sẽ xử lý tiếp sang bước 4b); |
|
|
d) |
Nếu sẵn sàng để phát, thủ tục CAE sẽ tiếp tục theo bước 5). Ngược lại, thủ tục CAE sẽ giảm giá trị q đi 1 và thực hiện xử lí theo bước 4c). Lưu ý giá trị q có thể nhỏ hơn 0 và giảm dần khi thủ tục CAE chưa sẵn sàng phát; |
|
|
5) |
Nếu chỉ có một thủ tục CAE của thiết bị khởi tạo xử lí ở bước này (Chú thích 1), thủ tục CAE đó sẽ thực hiện xử lí sang bước 6). Nếu có nhiều hơn 1 thủ tục CAE của thiết bị khởi tạo ở bước này (Chú thích 2), thủ tục CAE có mức ưu tiên cao nhất sẽ thực hiện xử lí sang bước 6) và các CAE còn lại sẽ xử lý sang bước 8). |
||
|
|
CHÚ THÍCH 1: Trường hợp thiết bị không có xung đột nội bộ; CHÚ THÍCH 2: Trường hợp thiết bị có xung đột nội bộ; |
||
|
6) |
Thủ tục CAE có thể bắt đầu phát với mức ưu tiên tương ứng hoặc cao hơn trên một hoặc nhiều kênh vận hành. Nếu phát trên nhiều kênh vận hành, thiết bị khởi tạo phải đáp ứng tất cả các yêu cầu trong 2.6.2.3: |
||
|
|
a) |
CAE có thể phát nhiều lần mà không thực hiện thủ tục CCA trên kênh vận hành nếu khoảng cách giữa các lần phát không vượt quá 16 μs. Ngược lại, nếu khoảng cách giữa các lần phát vượt quá 16 μs và không quá 25 μs, thiết bị khởi tạo có thể tiếp tục phát nếu không phát hiện tín hiệu lớn hơn mức giới hạn trên kênh vận hành trong khe thời gian quan sát; |
|
|
|
b) |
CAE có thể cấp quyền phát trên kênh vận hành hiện tại cho một hoặc một số thiết bị đáp ứng. Nếu được thiết bị khởi tạo cấp quyền phát, thiết bị đáp ứng phải thực hiện theo các thủ tục quy định trong 2.6.2.7; |
|
|
|
c) |
Thiết bị khởi tạo có thể phát đồng thời với các mức ưu tiên nhỏ hơn mức ưu tiên đang được CAE sử dụng nếu khoảng thời gian phát không vượt ra ngoài thời gian cần thiết để CAE phát với mức ưu tiên xác định; |
|
|
7) |
Khi kết thúc chiếm dụng kênh và có xác nhận đã hoàn thành ít nhất một lần phát tại thời điểm bắt đầu chiếm dụng kênh, thiết bị khởi tạo sẽ xử lý theo bước 1). Ngược lại, thiết bị khởi tạo xử lý theo bước 8); |
||
|
8) |
Thiết bị khởi tạo có thể phát lại. Nếu thiết bị không phát lại, CAE sẽ bỏ qua tất cả các gói dữ liệu trong thời khoảng chiếm dụng kênh và thực hiện xử lý theo bước 1). Ngược lại, CAE sẽ đặt CW bằng (CW +1) x m -1 với m ≥ 2. Nếu giá trị CW sau khi thiết lập lớn hơn giá trị CWmax, CAE sẽ đặt CW bằng CWmax. CAE sẽ xử lý theo bước 2). |
||
Theo các quy định trong mục 2.6.2.4, thiết bị khởi tạo phải hoạt động với các CAE riêng cho từng lớp ưu tiên.
CW có thể lấy giá trị lớn hơn mức CW xác định tại các bước từ 1) đến 8) trong mục này.
2.6.2.7. Cơ chế truy nhập của thiết bị đáp ứng
Bước 6b) trong 2.6.2.6 xác định khả năng thiết bị khởi tạo cho phép một hoặc một số thiết bị đáp ứng phát trên kênh vận hành hiện tại. Khi được cấp quyền, thiết bị đáp ứng sẽ thực hiện theo các bước từ 1) đến 3) như sau:
1) Thiết bị đáp ứng được cấp quyền phát từ thiết bị khởi tạo có thể phát trên kênh vận hành hiện tại như sau:
a) Thiết bị đáp ứng có thể phát ngay mà không cần thực hiện thủ tục CCA nếu thời điểm phát ở cách thời điểm phát cuối của thiết bị khởi tạo tương ứng không quá 16 μs;
b) Thiết bị đáp ứng không phát trong vòng 16 μs kể từ thời điểm thiết bị khởi tạo tương ứng ngừng phát phải thực hiện thủ tục CCA trên kênh vận hành trong khe thời gian quan sát nằm trong khoảng 25 μs ngay trước thời điểm được cấp quyền phát. Nếu phát hiện có tín hiệu trên kênh vận hành vượt quá mức giới hạn ED Threshold, thiết bị đáp ứng sẽ thực hiện xử lý sang bước 3). Ngược lại, thiết bị sẽ xử lý sang bước 2);
2) Thiết bị đáp ứng có thể phát trên kênh vận hành hiện tại trong khoảng thời gian COT còn lại. Thiết bị đáp ứng có thể phát nhiều lần trên kênh vận hành trong khoảng thời gian này nếu khoảng cách giữa hai lần phát liên tiếp không vượt quá 16 μs. Khi kết thúc phát, thiết bị đáp ứng sẽ xử lý sang bước 3;
3) Rút quyền phát của thiết bị đáp ứng.
2.6.3. Cơ chế phát báo hiệu điều khiển ngắn trên FBE và LBE
2.6.3.1. Định nghĩa
Báo hiệu điều khiển ngắn dược thiết bị sử dụng để phát các khung thông tin quản lý và điều khiển mà không cần giám sát sự tồn tại của tín hiệu khác trên kênh.
Các thiết bị FBE và LBE được phép sử dụng truyền phát báo hiệu điều khiển ngắn trên kênh vận hành nếu việc truyền phát thoả mãn các quy định trong mục này. Các thiết bị có thể sử dụng hoặc không sử dụng truyền phát báo hiệu điều khiển ngắn.
2.6.3.2. Yêu cầu
Truyền phát báo hiệu điều khiển ngắn phải tuân thủ các yêu cầu sau:
– Trong mỗi chu kỳ quan sát bằng 50 ms, số lần thiết bị phát báo hiệu điều khiển ngắn không được vượt quá 50;
– Tổng thời gian thiết bị phát báo hiệu điều khiển ngắn phải nhỏ hơn 2 500 μs trong chu kỳ quan sát.
2.6.3.3. Đo kiểm
Sử dụng phương pháp đo như quy định trong 3.2.8.
2.7. Đặc tính chặn máy thu
2.7.1. Định nghĩa
Đặc tính chặn máy thu là khả năng thiết bị thu được tín hiệu mong muốn trên kênh vận hành với mức chất lượng vẫn đảm bảo khi có các tín hiệu không mong muốn (tín hiệu chặn) ở đầu vào tại các tần số ngoài băng tần quy định trong Bảng 1.
Chất lượng được đánh giá qua tỷ lệ lỗi khung (Packet Error Rate – PER) với mức giới hạn 10 %. Trong các trường hợp đặc biệt do mục đích khác, nhà sản xuất phải khai báo mức giới hạn chất lượng riêng được sử dụng.
2.7.2. Yêu cầu
Thiết bị phải đảm bảo mức giới hạn chất lượng khi có các tín hiệu chặn ở tần số xác định không nhỏ hơn các giới hạn trong Bảng 9.
Bảng 9 – Giới hạn tham số tín hiệu chặn máy thu
|
Công suất trung bình mong muốn (dBm) |
Tần số tín hiệu chặn |
Công suất tín hiệu chặn, dBm (Chú thích 2) |
Loại tín hiệu chặn |
|
|
Master/Slave có khả năng phát hiện radar |
Slave không có khả năng phát hiện radar |
|||
|
Pmin+ 6 |
5 100 |
-53 |
-59 |
Sóng sin (CW) |
|
Pmin+ 6 |
4 900 |
-47 |
-53 |
Sóng sin (CW) |
|
|
5 000 |
|
|
|
|
|
5975 |
|
|
|
|
CHÚ THÍCH 1: Pmin là mức tín hiệu mong muốn thấp nhất (theo dBm) để thỏa mãn mức ngưỡng chất lượng trong mục 2.7.1 khi không có tín hiệu chặn CHÚ THÍCH 2: Các mức trong bảng tương ứng với trước ăng ten thiết bị được đánh giá. Trong trường hợp đo dẫn, các mức trên được áp dụng tương ứng với tín hiệu đo tại giắc nối ăng ten. |
||||
2.7.3. Đo kiểm
Sử dụng phương pháp đo như quy định trong 3.2.9.
3. PHƯƠNG PHÁP ĐO
3.1. Các điều kiện đo kiểm
3.1.1. Các điều kiện đo bình thường và tới hạn
Các bài đo trong quy chuẩn này sẽ được thực hiện trong các điều kiện đo bình thường như sau.
– Nhiệt độ: từ 15 °C đến 35 °C;
– Độ ẩm: từ 20 % đến 75 %;
– Nguồn điện: nguồn cung cấp theo yêu cầu hoạt động của thiết bị.
Các thông số về điều kiện đo nói trên phải được ghi trong Báo cáo kết quả đo.
Trong trường hợp yêu cầu thiết bị đo trong điều kiện tới hạn, nhà sản xuất phải khai báo điều kiện môi trường tới hạn thiết bị được sử dụng.
3.1.2. Yêu cầu đối độ không đảm bảo đo
Độ không đảm bảo đo của các phép đo không được vượt khỏi mức giới hạn trong Bảng 10.
Bảng 10 – Độ không đảm bảo đo tối đa
|
Tham số |
Độ không đảm bảo tối đa |
|
Tần số |
±10 ppm |
|
Công suất RF dẫn |
±1,5 dB |
|
Công suất RF bức xạ |
±6 dB |
|
Phát xạ không mong muốn dẫn |
±3 dB |
|
Phát xạ không mong muốn bức xạ |
±6 dB |
|
Độ ẩm |
±5 % |
|
Nhiệt độ |
±2 °C |
|
Thời gian |
±10 % |
3.1.3. Các chuỗi đo kiểm
Trừ các bài đo liên quan đến DFS, các bài đo trong quy chuẩn này được thực hiện thông qua việc sử dụng các chuỗi truyền dẫn đo thử. Các chuỗi này bao gồm các gói dữ liệu được phát đi đều đặn trong khoảng thời gian nhất định (ví dụ: 2 ms). Thời gian phát được cố định trong chuỗi đo thử và lớn hơn 10% thời gian mỗi chu kỳ.
Cấu trúc tổng quát của chuỗi đo kiểm được biểu diễn trong Hình 4.

Hình 4 – Chuỗi đo kiểm
3.1.4. Kênh đo kiểm
Trừ trường hợp riêng sẽ được quy định cụ thể, các kênh được sử dụng trong các phép đo kiểm được quy định trong Bảng 11.
Khi đo thiết bị hỗ trợ phát đồng thời trên các kênh liên tiếp hoặc rời rạc, phép đo DFS không cần phải thực hiện đồng thời trên các kênh tương ứng được sử dụng.
Bảng 11 – Kênh đo kiểm
|
Phép đo |
Điều/mục |
Kênh đo |
||||
|
Dải thấp (5 150 MHz đến 5 350 MHz |
Dải cao (5 470 MHz đến 5 850 MHz |
|||||
|
5 150 MHz – 5 250 MHz |
5 250 MHz – 5 350 MHz |
|||||
|
|
|
|
|
|
||
|
Tần số trung tâm |
2.1 |
C7 (ghi chú 1) |
C8 (ghi chú 1) |
|||
|
Băng thông kênh chiếm dụng |
2.2 |
C7 |
C8 |
|||
|
Công suất, mật độ công suất |
2.3 |
C1 |
C2 |
C3, C4 |
||
|
Phát xạ không mong muốn máy phát ngoài băng tần RLAN 5 GHz |
2.4.1 |
C7 (ghi chú 1) |
C8 (ghi chú 1) |
|||
|
Phát xạ không mong muốn máy phát trong băng tần RLAN 5 GHz |
2.4.2 |
C1 |
C2 |
C3, C4 |
||
|
Phát xạ giả máy thu |
2.5 |
C7 (ghi chú 1) |
C8 (ghi chú 1) |
|||
|
Điều khiển công suất phát (TPC) |
2.3 |
NA (ghi chú 2) |
C2 (ghi chú 1) |
C3, C4 (ghi chú 1) |
||
|
Thích nghi |
2.6 |
C9 |
||||
|
Đặc tính chặn máy thu |
2.7 |
C7 |
C8 |
|||
|
C1, C3: |
Kênh khai báo thấp nhất ứng với mỗi băng thông kênh danh định nằm trong dải băng. Để đo mật độ công suất, chỉ cần thực hiện phép đo với băng thông kênh danh định nhỏ nhất |
|||||
|
C2, C4: |
Kênh khai báo cao nhất ứng với mỗi băng thông kênh danh định nằm trong dải băng. Để đo mật độ công suất, chỉ cần thực hiện phép đo với băng thông kênh danh định nhỏ nhất |
|||||
|
C7, C8: |
Một kênh trong số các kênh của dải băng. Phép đo băng thông kênh chiếm dụng sẽ được thực hiện với mỗi giá trị được khai báo để đo |
|||||
|
C9: |
Một (với phép đo đơn kênh) hoặc một nhóm kênh (phép đo đa kênh) trong số các kênh được khai báo |
|||||
|
CHÚ THÍCH 1: |
Trường hợp có nhiều hơn một danh sách kênh được khai báo, phép đo chỉ cần thực hiện với một trong số danh sách kênh |
|||||
|
CHÚ THÍCH 2: |
Không cần thực hiện phép đo khi băng thông kênh danh định nằm hoàn toàn trong băng tần 5 150 MHz đến 5 250 MHz |
|||||
|
CHÚ THÍCH 3: |
Trong trường hợp gói kênh đã khai báo bao gồm các kênh có Băng thông kênh danh nghĩa giảm hoàn toàn hoặc một phần trong băng tần 5 600 MHz đến 5 650 MHz, các thử nghiệm đối với Kiểm tra tính khả dụng của kênh (và nếu được thực hiện, đối với Off-Channel CAC) sẽ được thực hiện trên một của các kênh này ngoài một kênh trong băng tần 5 470 MHz đến 5 600 Mhz hoặc trong băng tần 5 650 MHz đến 5 725 MHz. |
|||||
3.1.5. Ăng ten
3.1.5.1. Ăng ten tích hợp và ăng ten riêng
Thiết bị có thể có ăng ten tích hợp hoặc ăng ten riêng. Ăng ten riêng (ăng ten ngoài) là ăng ten nằm ngoài thiết bị, khi kết hợp với phần thiết bị phải đáp ứng các yêu cầu liên quan trong quy chuẩn.
Trong quy chuẩn, các thành phần hệ thống ăng ten bao gồm ăng ten, cáp nối, giắc nối và các bộ phận chuyển mạch. Tăng ích ăng ten chưa tính đến tăng ích tạo ra bởi công nghệ nâng cao chất lượng như điều hướng, phân tập, …
Hệ thống ăng ten thông minh có thể sử dụng các kĩ thuật điều hướng để nâng cao tăng ích. Tăng ích nâng cao nhờ các biện pháp này sẽ được xác định riêng, độc lập với tăng ích nội tại của ăng ten.
Mặc dù các phương pháp đo trong qui chuẩn bao gồm cả các phép đo dẫn, cần lưu ý tổ hợp thiết bị và ăng ten phải đáp ứng toàn bộ các yêu cầu liên quan trong quy chuẩn.
3.1.5.2. Các chế độ phát
Chế độ 1: sử dụng ăng ten đơn
Thiết bị sử dụng duy nhất 1 ăng ten, bao gồm:
– Thiết bị với ăng ten duy nhất;
– Thiết bị với hai ăng ten phân tập nhưng chỉ kết nối duy nhất với 1 ăng ten tại thời điểm nhất định;
– Hệ thống ăng ten thông minh có nhiều ăng ten nhưng chỉ sử dụng ăng ten duy nhất tại chế độ đo.
Chế độ 2: sử dụng nhiều ăng ten, không điều hướng
Thiết bị trong chế độ này có sử dụng ăng ten thông minh với nhiều ăng ten phát đồng thời nhưng không sử dụng kỹ thuật điều hướng.
Chế độ 3: sử dụng nhiều ăng ten và kỹ thuật điều hướng
Thiết bị trong chế độ này sử dụng ăng ten thông minh với nhiều ăng ten phát đồng thời, hỗ trợ kỹ thuật điều hướng.
Ngoài tăng ích của hệ thống ăng ten G, cần tính đến tăng ích điều hướng Y khi thực hiện các phép đo.
3.1.6. Phép đo dẫn, phép đo bức xạ
Trừ trường hợp quy định cụ thể, cần thực hiện phép đo dẫn và phép đo bức xạ.
Thiết bị sử dụng ăng ten tích hợp phải có các giắc nối để thực hiện các phép đo dẫn.
Trường hợp không có giắc nối để đo, nhả sản xuất thiết bị phải thực hiện điều chỉnh đặt thêm các giắc nối đo trên thiết bị được đo.
3.2. Các phép đo kiểm
3.2.1. Khai báo thiết bị
Nhà sản xuất thiết bị phải khai báo các thông tin sau để đưa vào báo cáo kết quả đo. Các thông tin này được sử dụng để thực hiện phép đo cũng như đánh giá kết quả đo.
– Sơ đồ phân kênh, các tần số trung tâm danh định và băng thông kênh danh định;
– Nếu thiết bị LBE hỗ trợ phát đa kênh, các thông tin sau cần khai báo:
• Tùy chọn (1 hoặc 2) được LBE sử dụng khi phát đa kênh;
• Số kênh lớn nhất được sử dụng đồng thời;
• Loại kênh sử dụng đồng thời: liên tiếp hoặc rời rạc;
• Khả năng sử dụng kênh ở các băng tần thành phần khác nhau;
• Số kênh được sử dụng để đo khi thiết bị hoạt động ở Tùy chọn 1.
– Các chế độ phát khác nhau được sử dụng;
– Với mỗi chế độ phát, cần khai báo các thông tin;
• Số chuỗi phát;
• Nếu có nhiều hơn một chuỗi phát được kích hoạt, phân bố công suất trên các chuỗi kích hoạt đều hoặc không đều;
• Số chuỗi thu;
• Khả năng sử dụng điều hướng ăng ten và tăng ích điều hướng tối đa Y ở chế độ phát;
– Các thông số đặc trưng của TPC được thiết bị sử dụng;
CHÚ THÍCH: Thiết bị có thể sử dụng nhiều dải TPC khác nhau trên các ăng ten hoặc yêu cầu công suất khác nhau. Nhà sản xuất có thể khai báo thiết bị có hoặc không sử dụng TPC.
– Với thiết bị sử dụng TPC, nhà sản xuất phải khai báo các thông tin với từng dải TPC như sau:
• Mức công suất phát nhỏ nhất và lớn nhất (e.i.r.p. trong trường hợp sử dụng ăng ten tích hợp). Nếu hỗ trợ phát đồng thời trên các băng tần thành phần khác nhau, thông tin cần khai báo bao gồm công suất phát nhỏ nhất và lớn nhất trên từng băng tần thành phần;
• Mức công suất phát khác nhau tương ứng với chế độ hoạt động trong trường hợp có ăng ten thông minh với các chế độ phát khác nhau;
• Các thành phần cấu thành của hệ thống ăng ten, tăng ích cực đại G, e.i.r.p. tương ứng (có tính đến tăng ích điều hướng Y nếu có) và mức giới hạn DFS Threshold Level;
• Dải tần số hoạt động;
– Với thiết bị không sử dụng TPC, nhà sản xuất phải khai báo các thông tin như sau:
• Mức công suất phát lớn nhất (e.i.r.p. trong trường hợp sử dụng ăng ten tích hợp). Nếu hỗ trợ phát đồng thời trên các băng tần thành phần khác nhau, thông tin cần khai báo bao gồm công suất phát lớn nhất trên từng băng tần thành phần;
• Mức công suất phát khác nhau tương ứng với chế độ hoạt động trong trường hợp có ăng ten thông minh với các chế độ phát khác nhau;
• Các thành phần cấu thành của hệ thống ăng ten, tăng ích cực đại G, e.i.r.p. tương ứng (có tính đến tăng ích điều hướng Y nếu có) và mức giới hạn DFS Threshold Level;
• Dải tần số hoạt động;
– Các chế độ hoạt động DFS của thiết bị (Master, Slave với khả năng phát hiện radar hoặc không có khả năng phát hiện radar);
– Tần số chế độ kết nối trực tiếp (ad-hoc) nếu nếu thiết bị có thể hoạt động ở chế độ này;
– Dải tần hoạt động của thiết bị;
– Môi trường hoạt động (bình thường hoặc khắc nghiệt);
– Phần mềm đo được UUT sử dụng;
– Chủng loại thiết bị: hoạt động độc lập, thiết bị kết hợp hoặc thiết bị đa vô tuyến;
– Loại thiết bị thích ứng: FBE hoặc LBE;
– Với thiết bị FBE, cần khai báo các thông tin sau:
• Chế độ vận hành của FBE: thiết bị khởi tạo và/hoặc thiết bị đáp ứng;
• Thời khoảng FFP được thiết bị sử dụng;
– Với thiết bị LBE, cần khai báo các thông tin sau:
• Chế độ vận hành của LBE: thiết bị giám sát và/hoặc thiết bị được giám sát;
• Khả năng sử dụng Chú thích 1 tại Bảng 7 hoặc Chú thích 1 trong Bảng 8;
• Khả năng sử dụng Chú thích 2 tại Bảng 7 trong trường hợp LBE là thiết bị giám sát;
• Chế độ thiết bị khởi tạo và/hoặc thiết bị đáp ứng;
• Các mức phân lớp ưu tiên được sử dụng;
• Khả năng sử dụng Tùy chọn 1 hoặc Tùy chọn 2 để phát hiện tín hiệu. Trường hợp không sử dụng các thủ tục đo trong 3.2.8.5 và 3.2.8.13:
+ Khả năng LBE tuân thủ đầy đủ yêu cầu trong 2.6.2.6 và 2.6.2.7;
+ Khả năng LBE tuân thủ yêu cầu đối với COT (tại 2.6.2.4);
– Yêu cầu đối với chất lượng tối thiểu của thiết bị trong trường hợp đặc biệt (tại 2.7);
– Năng lực chất lượng tối đa của thiết bị (ví dụ: thông lượng lớn nhất,…).
3.2.2. Tần số
3.2.2.1. Điều kiện đo kiểm
Phép đo được thực hiện trong điều kiện thường hoặc điều kiện tới hạn trong trường hợp thiết bị được sử dụng đặc biệt.
Kênh đo kiểm được quy định trong 3.1.4.
UUT được cấu hình để hoạt động tại mức công suất phát RF danh định trên một kênh đơn.
UUT có giắc nối ăng ten và sử dụng ăng ten riêng ngoài hoặc UUT có ăng ten tích hợp nhưng có giắc nối ăng ten tạm thời được đo bằng phép đo dẫn.
UUT có ăng ten tích hợp nhưng không có giắc nối ăng ten tạm thời sẽ đo bằng phép đo bức xạ.
3.2.2.2. Phép đo dẫn
– Thiết bị không điều chế
UUT được kết nối với máy đo tần số thích hợp (máy đếm tần hoặc phân tích phổ) và hoạt động ở chế độ không điều chế.
Ghi tại tần số đo.
– Thiết bị có điều chế:
UUT kết nối với phân tích phổ. Trên phân tích phổ, đặt chế độ Max Hold, chọn tần số trung tâm trùng tần số UUT.
Ghi lại giá trị đỉnh của đường bao công suất đo. Biên độ đo Span trên phân tích phổ được giảm và Maker được di chuyển phía dải tần dương cho đến khi đạt mức -10 dBc so với mức đỉnh. Biểu diễn tần số tương ứng bằng f1.
Dịch chuyển Marker sang phía tần số âm cho đến khi đạt mức -10 dBc so với mức đỉnh. Biểu diễn tần số tương ứng bằng f2.
Tần số UUT được xác định bằng: (f1+f2)/2
3.2.2.3. Phép đo bức xạ
Cấu hình phép đo bức xạ theo Phụ lục A với phân tích phổ được gắn với ăng ten đo. Thủ tục đo được quy định trong 3.2.2.2.
3.2.3. Băng thông kênh chiếm dụng
3.2.3.1. Điều kiện đo
Phép đo được thực hiện trong điều kiện đo thường với kênh đo và băng thông quy định trong 3.1.4.
Phép đo thực hiện khi thiết bị hoạt động ở chế độ hoạt động thường xuyên.
UUT được cấu hình để hoạt động với mức công suất RF ra sử dụng trong hoạt động thường xuyên.
Khi phát đồng thời trên nhiều kênh liền kề, các tín hiệu phát được coi như một tín hiệu tổng với băng thông kênh danh định bằng tổng các băng thông danh định thành phần. Khi phát đồng thời trên nhiều kênh rời rạc, mỗi tín hiệu được xác định riêng.
UUT có giắc nối ăng ten và sử dụng ăng ten riêng ngoài hoặc UUT có ăng ten tích hợp nhưng có giắc nối ăng ten tạm thời được đo bằng phép đo dẫn. Trường hợp sử dụng phép đo dẫn với thiết bị có ăng ten thông minh với nhiều chuỗi phát, phép đo chỉ cần thực hiện trên một nhánh kích hoạt.
UUT có ăng ten tích hợp nhưng không có giắc nối ăng ten tạm thời sẽ đo bằng phép đo bức xạ.
3.2.3.2. Phép đo dẫn
Bước 1: Nối UUT với phân tích phổ được thiết lập với các tham số sau:
– Centre Frequency: tần số kênh cần đo;
– Resolution Bandwidth: 100 kHz;
– Video Bandwidth: 300 kHz;
– Frequency Span: 2 lần băng thông kênh danh định (ví dụ: 40 MHz đối với kênh 20 MHz);
– Sweep time: > 1 s. Với băng thông danh định lớn, thời gian quét được tăng lên sao cho không ảnh hưởng đến giá trị RMS của tín hiệu;
– Detector Mode: RMS;
– Trace Mode: Max Hold.
Bước 2: Đợi đến khi hình ảnh quét ổn định.
Bước 3:
– Chú ý để đường bao công suất đủ lớn hơn tạp âm nền của phân tích phổ để tạp âm không ảnh hưởng đến đường bao ở phía phải và trái của tần số trung tâm;
– Sử dụng tính năng xác định 99% băng thông của phân tích phổ để đo băng thông kênh chiếm dụng của UUT và ghi lại giá trị này.
Lặp lại phép đo từ B1 đến B3 đối với các các tín hiệu phát khác khi phát đồng thời trên các kênh không liền kề.
3.2.3.3. Phép đo bức xạ
Cấu hình đo được mô tả trong Phụ lục A và thực hiện các thủ tục tương ứng trong Phụ lục B.
Thực hiện đo theo phương pháp đo trong 3.2 3.2.
3.2.4. Công suất RF ra, TPC và mật độ công suất
3.2.4.1. Điều kiện đo
Kênh đo kiểm được quy định trong 3.1.4.
Các phép đo trong mục này có thể được lặp lại để đo các chỉ tiêu tương ứng:
– Mỗi dải TPC khác nhau (hoặc mức công suất đầu ra máy thu cho thiết bị không hỗ trợ TPC) và mỗi cấu hình ăng ten khác nhau được nhà sản xuất khai báo;
– Mỗi chế độ phát được nhà sản xuất khai báo.
Trong trường hợp cần đo chức năng riêng, thiết bị có thể được cấu hình để phát liên tiếp hoặc phát theo các chu kỳ với hiệu suất kích hoạt không nhỏ hơn 10%.
UUT có giắc nối ăng ten và sử dụng ăng ten riêng ngoài hoặc UUT có ăng ten tích hợp nhưng có giắc nối ăng ten tạm thời được đo bằng phép đo dẫn.
UUT có ăng ten tích hợp nhưng không có giắc nối ăng ten tạm thời sẽ đo bằng phép đo bức xạ.
3.2.4.2. Công suất RF đầu ra lớn nhất tại mức công suất cực đại PH – phép đo dẫn
Phép đo được thực hiện trong điều kiện đo kiểm thường và điều kiện đo kiểm tới hạn.
UUT được cấu hình để đạt mức công suất lớn nhất trong dải công suất khi sử dụng TPC hoặc đạt mức lớn nhất được khai báo nếu không có TPC.
Trường hợp 1: Thiết bị có khả năng phát liên tục hoặc thiết bị có khả năng phát theo chu kỳ.
Trong trường hợp này, thiết bị hoạt động trên một băng tần thành phần hoặc có khả năng hoạt động trên nhiều băng tần thành phần nhưng được cấu tạo để chỉ hoạt động trên một băng tần và có thể phát liên tục hoặc phát theo chu kỳ.
Bước 1: Thiết bị phát liên tục bỏ qua bước này. Đối với thiết bị phát theo chu kỳ:
– Công suất ra máy phát phải được ghép nối qua bộ tách sóng diode kết hợp hoặc tương đương. Đầu ra bộ tách sóng diode kết hợp sẽ được nối với kênh trục tung của oscilloscope;
– Việc sử dụng bộ tách sóng diode kết hợp và oscilloscope phải hiển thị được thông tin về chu kỳ và tỉ lệ phát của tín hiệu đầu ra máy phát;
– Tỉ lệ phát của máy phát (Tx on / (Tx on + Tx off)) sẽ được ghi trong báo cáo đo.
Bước 2:
– Công suất RF ra được đo bằng máy đo công suất RF băng rộng sử dụng bộ tách sóng nhiệt hoặc tương đương với khoảng thời gian tích hợp đủ lớn hơn 5 lần chu kỳ kích hoạt của máy phát. Công suất RF đo được biểu diễn bởi A (dBm);
– Trường hợp đo dẫn trên hệ thống ăng ten thông minh với nhiều nhánh ăng ten phát đồng thời, công suất ra mỗi nhánh được đo riêng để xác định tổng công suất RF ra của thiết bị cần đo;
Bước 3:
Công suất RF ra tại mức công suất lớn nhất PH (EIRP) được xác định từ công suất đo A (dBm) nói trên, chu kỳ giám sát x, tăng ích ăng ten G (dBi) và tăng ích điều hướng Y (dBi) nếu có sử dụng kỹ thuật này như sau:
PH = A + G + Y + 10 x lg(1/x), dBm (4)
Nếu sử dụng nhiều ăng ten, giá trị tăng ích của ăng ten cao nhất sẽ được sử dụng.
– Giá trị PH sẽ được so sánh với giới hạn trong Bảng 2.
Trường hợp 2: Thiết bị không có khả năng phát liên tục và chỉ có thể phát trên một dải băng tần thành phần.
Trong trường hợp này, thiết bị có thể sử dụng nhiều băng tần thành phần nhưng tại mỗi thời điểm, tín hiệu phát chỉ được thực hiện trong một băng tần. Ngoài ra, thiết bị cũng có thể phát trên nhiều băng tần thành phần đồng thời nhưng được cấu hình để phát chỉ trên một băng tần thành phần.
Bước 1:
– Lấy mẫu tín hiệu phát từ thiết bị từ cảm biến đo nhanh thích hợp dải tần 6 GHz. Ghi các mẫu đo để xác định công suất RMS của tín hiệu.
– Thiết lập như sau:
• Tốc độ lấy mẫu: ≥ 106 mẫu/s;
• Thời khoảng đo: ít nhất 10 burst phát.
Bước 2:
– Với thiết bị sử dụng một nhánh phát: nối cảm biến công suất với cổng phát, lấy mẫu tín hiệu phát và lưu kết quả đo để sử dụng trong các bước tiếp theo.
– Với thiết bị sử dụng nhiều nhánh phát:
• Nối cảm biến công suất với từng cổng phát để đo trên tất cả các cổng;
• Điều khiển cảm biến công suất để lấy mẫu được thực hiện cùng lúc với sai số nhỏ hơn 500 ns;
• Đối với mỗi điểm lấy mẫu đo riêng biệt trên miền thời gian, tổng hợp công suất từ tất cả các cổng phát và lưu lại kết quả để sử dụng trong các bước tiếp theo.
Bước 3:
– Tìm điểm bắt đầu và kết thúc của mỗi burst trong các mẫu đo được lưu;
• Điểm bắt đầu và kết thúc được xác định tương ứng với khi công suất nhỏ hơn ít nhất 30 dB so với công suất lớn nhất trong các mẫu đo ở bước 2;
• Trong trường hợp không có sự chênh lệch đủ lớn giữa các mẫu đo, giá trị ngưỡng 30 dB có thể được giảm xuống để phù hợp;
Bước 4:
– Tính công suất RMS của burst giữa thời điểm bắt đầu và kết thúc theo biểu thức sau:

với k là số mẫu.
– Biểu diễn A (dBm) là giá trị Pburst lớn nhất.
Bước 5:
– Công suất RF ra (e.i.r.p) tại mức công suất lớn nhất PH được xác định dựa trên công suất ra A (dBm), tăng ích ăng ten G (dBi) và tăng ích điều hướng Y (dBi) nếu có sử dụng kỹ thuật này:
PH = A + G + Y, dBm (6)
– Giá trị PH xác định nói trên sẽ được so sánh với mức giới hạn trong Bảng 2 và được ghi vào báo cáo đo.
Trường hợp 3: Thiết bị không có khả năng phát liên tục nhưng phát đồng thời trên các băng tần thành phần:
– Thiết bị phát đồng thời trên các băng tần thành phần như không thể cấu hình để phát chỉ trên 1 băng tần thành phần;
– Thực hiện phép đo công suất cao nhất trên từng băng tần thành phần, sau đó đo biến thiên công suất và sử dụng các kết quả đo để xác định công suất RF ra (e.i.r.p) trên từng băng tần thành phần.
Bước 1 : Đo tổng công suất đỉnh trong băng tần thành phần thấp
– Nối UUT với phân tích phổ và thiết lập máy đo như sau:
• Start Frequency: 5 100 MHz;
• Stop Frequency: 5 400 MHz;
• Resolution Bandwidth: 1 MHz;
• Video Bandwidth: 3 MHz;
• Detector Mode: Peak;
• Trace Mode: Max Hold;
• Sweep Time: Auto
– Cần đảm bảo tạp âm nền của phân tích phổ nhỏ hơn ít nhất 30 dB so với đường bao công suất đỉnh. Nếu không thể đảm bảo mức này, cần giảm băng thông của kênh đo công suất xuống mức gần băng thông kênh danh định (độ chênh lệch khoảng 10%) để giảm ảnh hưởng của tạp âm nền đến kết quả đo;
– Khi thiết lập xong thông số đo, sử dụng tính năng đo công suất để đo tổng công suất đỉnh của các tín hiệu phát trong băng tần từ 5 150 MHz đến 5 350 MHz;
– Với thiết bị sử dụng nhiều nhánh phát, thủ tục đo nói trên được áp dụng đối với từng nhánh hoạt động. Kết quả đo sẽ được tổng hợp từ tất cả các nhánh.
Bước 2: Đo tổng công suất đỉnh trong băng tần thành phần cao
– Đặt trên phân tích phổ: Start Frequency bằng 5 420 MHz, Stop Frequency bằng 5 875 MHz;
– Cần đảm bảo tạp âm nền của phân tích phổ nhỏ hơn ít nhất 30 dB so với đường bao công suất đỉnh. Nếu không thể đảm bảo mức này, cần giảm băng thông của kênh đo công suất xuống mức gần băng thông kênh danh định (độ chênh lệch khoảng 10%) để giảm ảnh hưởng của tạp âm nền đến kết quả đo;
– Khi thiết lập xong thông số đo, sử dụng tính năng đo công suất để đo tổng công suất đỉnh của các tín hiệu phát trong dải tần từ 5 470 MHz đến 5 825 MHz;
– Với thiết bị sử dụng nhiều nhánh phát, thủ tục đo nói trên được áp dụng đối với từng nhánh hoạt động. Kết quả đo sẽ được tổng hợp từ tất cả các nhánh.
Bước 3: Xác định tổng công suất đỉnh:
– Tính tổng công suất đỉnh bằng cách cộng kết quả đo từ bước 1 và kết quả đo từ bước 2;
– Một số phân tích phổ cho phép đo đồng thời công suất đỉnh trên cả hai băng tần thành phần và tự động tính kết quả tổng hợp.
Bước 4: Đo tổng công suất ra trung bình
– Lấy mẫu tín hiệu phát của thiết bị bằng cảm biến nhanh phù hợp ở băng tần 6 GHz. Các mẫu được lấy là giá trị RMS của công suất tín hiệu;
– Thiết lập cấu hình đo:
• Tốc độ lấy mẫu: ≥ 106 mẫu/s;
• Thời gian đo: đủ lớn để có ít nhất 10 burst phát;
– Với phép đo dẫn cho thiết bị chỉ sử dụng 1 nhánh phát: nối cảm biến công suất với cổng ra phát của thiết bị, lấy mẫu tín hiệu phát và lưu kết quả để sử dụng cho các bước tiếp theo;
– Với phép đo dẫn cho thiết bị sử dụng nhiều nhánh phát:
• Nối cảm biến công suất trên từng cổng phát để thực hiện phép đo đồng bộ trên tất cả các cổng phát;
• Với mỗi điểm lấy mẫu, xác định tổng công suất các mẫu đo trên tất cả các cổng và lưu kết quả để sử dụng trong các bước tiếp theo;
– Tìm điểm bắt đầu và kết thúc của mỗi burst trong các mẫu đo được lưu;
• Điểm bắt đầu và kết thúc được xác định tương ứng với khi công suất nhỏ hơn ít nhất 30 dB so với công suất lớn nhất trong các mẫu đo ở bước 2;
• Trong trường hợp không có sự chênh lệch đủ lớn giữa các mẫu đo, giá trị ngưỡng 30 dB có thể được giảm xuống để phù hợp;
– Tính công suất RMS của burst giữa thời điểm bắt đầu và kết thúc theo biểu thức sau:

với k là số mẫu.
– Giá trị Pburst lớn nhất là công suất ra trung bình tổng hợp để sử dụng trong các bước tiếp theo.
Bước 5: Xác định tỷ lệ công suất biến động
Sử dụng giá trị công suất đỉnh tổng hợp trong bước 3 và giá trị công suất ra trung bình tổng hợp trong bước 4 để tính tỉ lệ công suất biến động (bằng tỉ số giữa công suất đỉnh và công suất ra trung bình).
Bước 6:
Công suất RF ra (e.i.r.p) tại mức công suất lớn nhất PH được xác định cho từng băng tần thành phần dựa trên độ biến thiên công suất ra ở bước 5, công suất đỉnh trên từng băng tần thành phần ở bước 1, bước 2, tăng ích ăng ten G (dBi) và tăng ích điều hướng Y (dBi) nếu có sử dụng kỹ thuật này. Trường hợp sử dụng nhiều ăng ten, tăng ích ăng ten tổng cộng của một nhánh (G hoặc G + Y) sẽ được sử dụng để thực hiện tính:
PH =A + G + Y, dBm (8)
– Các giá trị PH sẽ được sử dụng để so với mức giới hạn trong Bảng 2.
3.2.4.3. Công suất RF đầu ra lớn nhất tại mức công suất cực tiểu PL – phép đo dẫn
Phép đo được thực hiện trong điều kiện đo kiểm thường và điều kiện đo kiểm tới hạn trên thiết bị có sử dụng TPC. Thiết bị cần đo được cấu hình để phát ở mức công suất thấp nhất trong dải TPC.
Trường hợp 1: Thiết bị có khả năng phát liên tục hoặc thiết bị có khả năng phát theo chu kỳ.
Trong trường hợp này, thiết bị hoạt động trên một băng tần thành phần hoặc có khả năng hoạt động trên nhiều băng tần thành phần nhưng được cấu tạo để chỉ hoạt động trên một băng tần và có thể phát liên tục hoặc phát theo chu kỳ.
Bước 1 và bước 2 tương tự như bước 1, bước 2 trong mục 3.2.4.2, trong đó không cần đo lặp đối với phép đo chu kỳ.
Bước 3:
– Công suất RF ra tại mức công suất nhỏ nhất PL (e.i.r.p.) được xác định từ công suất đo A (dBm) nói trên, chu kỳ giám sát x, tăng ích ăng ten G (dBi) và tăng ích điều hướng Y (dBi) nếu có sử dụng kỹ thuật này như sau:
PL = A + G + Y+ 10 x lg(1/x), dBm (9)
Nếu sử dụng nhiều ăng ten, giá trị tăng ích của ăng ten cao nhất sẽ được sử dụng.
– Giá trị PL sẽ được so sánh với giới hạn trong Bảng 3.
Trường hợp 2: Thiết bị không có khả năng phát liên tục và chỉ có thể phát trên một băng tần thành phần.
Trong trường hợp này, thiết bị có thể sử dụng nhiều băng tần thành phần nhưng tại mỗi thời điểm, tín hiệu phát chỉ được thực hiện trong một băng. Ngoài ra, thiết bị cũng có thể phát trên nhiều băng tần thành phần đồng thời nhưng được cấu hình để phát chỉ trên một băng tần thành phần.
Bước 1, bước 2, bước 3, bước 4 tương tự như các bước tương ứng trong 3.2.4.2.
Bước 5:
– Công suất RF ra (e.i.r.p.) tại mức công suất nhỏ nhất PH được xác định dựa trên công suất ra A (dBm), tăng ích ăng ten G (dBi) và tăng ích điều hướng Y (dBi) nếu có sử dụng kỹ thuật này:
PL = A + G + Y, dBm (10)
Giá trị PL xác định nói trên sẽ được so sánh với mức giới hạn trong Bảng 3 và được ghi vào báo cáo đo.
Trường hợp 3: Thiết bị không có khả năng phát liên tục nhưng phát đồng thời trên các băng tần thành phần:
– Thiết bị phát đồng thời trên các băng tần thành phần như không thể cấu hình để phát chỉ trên 1 băng tần thành phần;
– Thực hiện phép đo công suất cao nhất trên từng băng thành phần, sau đó đo biến thiên công suất và sử dụng các kết quả đo để xác định công suất RF ra (e.i.r.p) trên từng băng thành phần.
Bước 1: Đo tổng công suất đỉnh trong băng thành phần thấp
– Nối UUT với phân tích phổ và thiết lập máy đo như sau:
• Start Frequency: 5 100 MHz;
• Stop Frequency: 5 400 MHz;
• Resolution Bandwidth: 1 MHz;
• Video Bandwidth: 3 MHz;
• Detector Mode: Peak;
• Trace Mode: Max Hold;
• Sweep Time: Auto
– Cần đảm bảo tạp âm nền của phân tích phổ nhỏ hơn ít nhất 30 dB so với đường bao công suất đỉnh. Nếu không thể đảm bảo mức này, cần giảm băng thông của kênh đo công suất xuống mức gần băng thông kênh danh định (độ chênh lệch khoảng 10%) để giảm ảnh hưởng của tạp âm nền đến kết quả đo;
– Khi thiết lập xong thông số đo, sử dụng tính năng đo công suất để đo tổng công suất đỉnh của các tín hiệu phát trong băng tần từ 5 150 MHz đến 5 350 MHz;
– Với thiết bị sử dụng nhiều nhánh phát, thủ tục đo nói trên được áp dụng đối với từng nhánh hoạt động. Kết quả đo sẽ được tổng hợp từ tất cả các nhánh.
Bước 2: Đo tổng công suất đỉnh trong băng tần thành phần cao
– Đặt trên phân tích phổ: Start Frequency bằng 5 420 MHz, Stop Frequency bằng 5 875 MHz;
– Cần đảm bảo tạp âm nền của phân tích phổ nhỏ hơn ít nhất 30 dB so với đường bao công suất đỉnh. Nếu không thể đảm bảo mức này, cần giảm băng thông của kênh đo công suất xuống mức gần băng thông kênh danh định (độ chênh lệch khoảng 10%) để giảm ảnh hưởng của tạp âm nền đến kết quả đo;
– Khi thiết lập xong thông số đo, sử dụng tính năng đo công suất để đo tổng công suất đỉnh của các tín hiệu phát trong dải tần từ 5 470 MHz đến 5 825 MHz;
– Với thiết bị sử dụng nhiều nhánh phát, thủ tục đo nói trên được áp dụng đối với từng nhánh hoạt động. Kết quả đo sẽ được tổng hợp từ tất cả các nhánh.
Bước 3: Xác định tổng công suất đỉnh:
– Tính tổng công suất đỉnh bằng cách cộng kết quả đo từ bước 1 và kết quả đo từ bước 2;
– Một số phân tích phổ cho phép đo đồng thời công suất đỉnh trên cả hai băng tần thành phần và tự động tính kết quả tổng hợp.
Bước 4: Đo tổng công suất ra trung bình
– Lấy mẫu tín hiệu phát của thiết bị bằng cảm biến nhanh phù hợp tại băng tần 6 GHz. Các mẫu được lấy là giá trị RMS của công suất tín hiệu;
– Thiết lập cấu hình đo:
• Tốc độ lấy mẫu: ≥ 106 mẫu/s;
• Thời gian đo: đủ lớn để có ít nhất 10 burst phát;
– Với phép đo dẫn cho thiết bị chỉ sử dụng 1 nhánh phát: nối cảm biến công suất với cổng ra phát của thiết bị, lấy mẫu tín hiệu phát và lưu kết quả để sử dụng cho các bước tiếp theo;
– Với phép đo dẫn cho thiết bị sử dụng nhiều nhánh phát:
• Nối cảm biến công suất trên từng cổng phát để thực hiện phép đo đồng bộ trên tất cả các cổng phát;
• Với mỗi điểm lấy mẫu, xác định tổng công suất các mẫu đo trên tất cả các cổng và lưu kết quả để sử dụng trong các bước tiếp theo;
– Tìm điểm bắt đầu và kết thúc của mỗi burst trong các mẫu đo được lưu;
• Điểm bắt đầu và kết thúc được xác định tương ứng với khi công suất nhỏ hơn ít nhất 30 dB so với công suất lớn nhất trong các mẫu đo ở B2;
• Trong trường hợp không có sự chênh lệch đủ lớn giữa các mẫu đo, giá trị ngưỡng 30 dB có thể được giảm xuống để phù hợp;
– Tính công suất RMS của burst giữa thời điểm bắt đầu và kết thúc theo biểu thức sau:
(11)
với k là số mẫu.
– Giá trị Pburst lớn nhất là công suất ra trung bình tổng hợp để sử dụng trong các bước tiếp theo.
Bước 5: Xác định tỉ lệ công suất biến động
– Sử dụng giá trị công suất đỉnh tổng hợp trong bước 3 và giá trị công suất ra trung bình tổng hợp trong bước 4 để tính tỷ lệ công suất biến động (bằng tỉ số giữa công suất đỉnh và công suất ra trung bình).
Bước 6:
– Công suất RF ra (e.i.r.p) tại mức công suất nhỏ nhất PL được xác định cho từng băng thành phần dựa trên độ biến thiên công suất ra ở bước 5, công suất đỉnh trên từng băng thành phần ở bước 1, bước 2, tăng ích ăng ten G (dBi) và tăng ích điều hướng Y (dBi) nếu có sử dụng kỹ thuật này. Trường hợp sử dụng nhiều ăng ten, tăng ích ăng ten tổng cộng của một nhánh (G hoặc G + Y) sẽ được sử dụng để thực hiện tính:
PL = A + G + Y, dBm (12)
Các giá trị PL sẽ được sử dụng để so với mức giới hạn trong Bảng 3.
3.2.4.4. Mật độ công suất – phép đo dẫn
Đo kiểm được thực hiện trong điều kiện thường. UUT được cấu hình để hoạt động ở băng thông kênh danh định nhỏ nhất và có công suất phát ra là công suất lớn nhất trong dải TPC nếu có sử dụng điều khiển công suất hoặc là công suất được khai báo lớn nhất trong trường hợp không sử dụng TPC.
Trường hợp 1: Thiết bị có khả năng phát liên tục hoặc thiết bị có khả năng phát theo chu kỳ.
Bước 1: Nối UUT với phân tích phổ và thiết lập máy đo như sau:
– Center Frequency: tần số trung tâm kênh cần đo;
– Resolution Bandwidth: 1 MHz;
– Video Bandwidth: 3 MHz;
– Frequency Span: 2 lần băng thông kênh danh định;
– Detector Mode: Peak;
– Trace Mode: Max Hold;
Bước 2: Khi hoàn thành bước 1, tìm đỉnh đường bao công suất và ghi lại tần số tương ứng;
Bước 3: Thay đổi thông số trên phân tích phổ như sau:
– Center Frequency: tần số trung tâm kênh cần đo;
– Resolution Bandwidth: 1 MHz;
– Video Bandwidth: 3 MHz;
– Frequency span: 3 MHz;
– Sweep Time: 1 phút
– Detector Mode: RMS;
– Trace Mode: Max Hold;
Bước 4:
– Khi hoàn thành đo trong bước 3, lưu lại màn hình bằng cách sử dụng tính năng giữ (Hold) hoặc xem (View) trên máy phân tích phổ;
Xác định điểm giá trị đỉnh và đặt marker tương ứng với điểm này và ghi lại giá trị là mật độ công suất trung bình lớn nhất D trong băng thông 1 MHz;
– Nếu phân tích phổ có tính năng đo mật độ công suất, sử dụng tính năng này để xác định ngay kết quả đo (đồ thị) mật độ phổ công suất D, dBm/MHz;
– Trong trường hợp thiết bị sử dụng ăng ten thông minh với nhiều ăng ten phát đồng thời, mật độ phổ công suất trên mỗi nhánh ăng ten sẽ được đo riêng, sau đó xác định mật độ phổ công suất tổng (D) cho toàn bộ thiết bị cần đo.
Bước 5: Mật độ công suất lớn nhất (e.i.r.p) được xác định dựa trên giá trị D, chu kỳ x, tăng ích ăng ten G (dBi), tăng ích điều hướng (nếu có) Y dB theo biểu thức dưới đây. Giá trị tính được sẽ được ghi lại trong báo cáo đo. Nếu sử dụng nhiều hơn một nhánh ăng ten phát, tăng ích lớn nhất trong các ăng ten phát sẽ được sử dụng ở biểu thức.
PD= D + G + Y + 10 x lg(1/x), dBm/MHz (13)
Trường hợp 2: Thiết bị không có khả năng phát liên tục và phát theo chu kỳ cố định.
Bước 1:
– Nối UUT với phân tích phổ và thiết lập máy đo như sau:
● Start Frequency: tần số thấp nhất của băng thành phần cần đo (5 150 MHz hoặc 5 470 MHz)
● Stop Frequency: tần số cao nhất của băng thành phần cần đo (5 350 MHz hoặc 5 825 MHz);
• Resolution Bandwidth: 10 kHz;
• Video Bandwidth: 30 kHz;
• Sweep Points: >20 000 (băng tần thánh phần thấp) hoặc > 25 000 (bâng tần thành phần cao);
• Detector Mode: RMS;
• Trace Mode: Max Hold;
• Sweep Time: 30s;
– Đối với tín hiệu không liên tục, đợi đến khi máy đo và kết quả đo ổn định. Lưu đồ thị đo (dữ liệu) vào file.
Bước 2:
– Đối với phép đo dẫn hệ thống sử dụng ăng ten thông ở chế độ hoạt động 2 hoặc 3 (xem mục 3.1.5.2), lặp lại phép đo trên từng cổng phát. Với từng điểm lấy mẫu trên miền tần số, xác định tổng công suất đo được từ các cổng phát. Ghi lại kết quả tương ứng với các điểm đo trên miền tần số.
Bước 3: Xác định công suất tổng của tất cả các mẫu theo biểu thức dưới đây:

với k là số mẫu.
Bước 4:
Chuẩn hóa các kết quả đo công suất khác nhau (dBm) để tổng công suất đo được bằng công suất RF đầu ra (e.i.r.p) (PH) được đo trong mục 3.2.4.2:
|
|
|
(15) |
|
|
|
(16) |
với n là chỉ số mẫu.
Bước 5: Tính tổng các mẫu công suất PSamplecorr(n) từ điểm bắt đầu đo (tần số thấp nhất) đến điểm kết thúc của các đoạn băng rộng 1 MHz và lưu kết quả cùng chỉ số mẫu tương ứng. Giá trị này chính là mật độ công suất (e.i.r.p) của đoạn băng 1 MHz đầu tiên.
Bước 6: Dịch chuyển lên một mẫu và thực hiện thủ tục tương tự bước 2;
Bước 7:
– Lặp lại các bước cho đến mẫu cuối cùng và lưu kết quả đo mật độ công suất trên từng đoạn 1 MHz;
– Giá trị lớn nhất trong các kết quả được lưu là mật độ công suất lớn nhất (e.i.r.p) của thiết bị cần đo. Giá trị này phải đáp ứng yêu cầu trong Bảng 2.
3.2.4.5. Phép đo bức xạ
Khi thực hiện đo UUT với ăng ten định hướng (bao gồm ăng ten thông minh ăng ten điều hướng), thiết bị cần đo được cấu hình để mức e.i.r.p công suất lớn nhất trên mặt phẳng nằm ngang. Cấu hình này sẽ được lưu lại để sử dụng sau.
Các phép đo và phương pháp đo tương ứng được thực hiện như với các phép đo dẫn trong các mục 3.2.4.2, 3.2.4.3, 3.2.4.4. Tuy nhiên, có một vài khác biệt cần lưu ý khi thực hiện đo như sau:
– Đo công suất ra:
● Khi thiết bị cần đo ở Trường hợp 1: bỏ qua giá trị G và Y sử dụng trong bước 3;
● Khi thiết bị cần đo ở Trường hợp 2: bỏ qua giá trị G và Y sử dụng trong bước 5;
● Khi thiết bị cần đo ở Trường hợp 3: bỏ qua giá trị G và Y sử dụng trong bước 6;
– Đo mật độ công suất: khi thiết bị cần đo ở Trường hợp 1, bỏ qua giá trị G và Y sử dụng trong bước 5.
Để đo công suất RF ra lớn nhất và nhỏ nhất, thiết bị đo là phân tích phổ hoặc máy thu đo, không phải cảm biến công suất băng rộng. Trong trường hợp này, nếu băng thông phân giải (Resolution Bandwidth) của máy đo nhỏ hơn băng thông kênh chiếm dụng của tín hiệu cần đo từ UUT, cần phải ghi chú rõ ràng trong báo cáo đo.
3.2.5. Phát xạ không mong muốn ngoài băng 5 GHz
3.2.5.1. Điều kiện đo
Các phép đo chỉ tiêu ở mục 2.4.1 được thực hiện trong điều kiện đo thường khi sử dụng các kênh định nghĩa trong mục 3.1.4.
Thiết bị cần đo được cấu hình để hoạt động trong trường hợp gây ra phát xạ không mong muốn ngoài băng tần 5 GHz nhiều nhất.
Nếu có hỗ trợ, thiết bị cần đo UUT phải được thiết lập để phát liên tục trong suốt quá trình đo. Nếu không hỗ trợ phát liên tục, UUT được cấu hình để phát với tần suất kích hoạt (duty cycle) cao nhất có thể.
Phép đo phát xạ không mong muốn được biểu diễn bởi một trong các đại lượng sau:
– Công suất trên tải đặc dụng (phép đo dẫn) và công suất bức xạ (e.r.p. hoặc e.i.r.p như trong mục 2.4.1) khi có bức xạ từ vỏ máy hoặc cấu trúc vật lí của thiết bị;
– Công suất bức xạ (e.r.p. hoặc e.i.r.p như trong mục 2.4.1) khi có bức xạ từ vỏ máy và ăng ten.
3.2.5.2. Phép đo dẫn – Thủ tục quét kiểm tra trước
UUT được kết nối với máy phân tích phổ có khả năng đo công suất RF. Thủ tục quét kiểm tra trước được thực hiện để xác định tiềm năng của các phát xạ không mong muốn của UUT.
Bước 1:
– Độ nhạy của máy phân tích phổ được kiểm tra và thiết lập để đảm bảo nhiễu nền nhỏ hơn ít nhất 12 dB so với mức được quy định trong Bảng 4.
Bước 2:
– Xác định phát xạ không mong muốn trong dải từ 30 MHz đến 1 000 MHz;
– Đặt thông số trên phân tích phổ như sau:
● Resolution bandwidth: 100 kHz
● Video bandwidth: 300 kHz
● Detector mode: Peak
● Trace mode: Max Hold
● Sweep Points: ≥ 9 700 (nếu phân tích phổ không hỗ trợ thiết lập này, có thể phân đoạn dải tần cần đo). Nếu phân tích phổ có khả năng quét số điểm gấp đôi so với giá trị tối thiểu yêu cầu, có thể bỏ qua việc tinh chỉnh tần số để tìm phát xạ cực đại trong bước 1 của mục 3.2.5.3;
● Sweep Time: nếu không phát liên tục, thời gian quét phả đủ lớn để trong mỗi bước phân giải 100 kHz trên dải tần, thời gian đo lớn hơn ít nhất 2 lần phát liên tiếp của UUT;
– Chờ kết quả hiển thị ổn định. Xác định tất cả phát xạ trong phạm vi chênh lệch 6 dB so với mức quy định trong Bảng 4 để thực hiện đo trong mục 3.2.5.3.
Bước 3:
– Xác định phát xạ không mong muốn trong dải từ 1 GHz đến 26 MHz;
– Đặt thông số trên phân tích phổ như sau:
● Resolution bandwidth: 1 MHz
● Video bandwidth: 3 MHz
● Detector mode: Peak
● Trace mode: Max Hold
● Sweep Points: ≥ 25 000 (nếu phân tích phổ không hỗ trợ thiết lập này, có thể phân đoạn dải tần cần đo). Nếu phân tích phổ có khả năng quét số điểm gấp đôi so với giá trị tối thiểu yêu cầu, có thể bỏ qua việc tinh chỉnh tần số để tìm phát xạ cực đại trong bước 1 của mục 3.2.5.3;
● Sweep Time: nếu không phát liên tục, thời gian quét phải đủ lớn để trong mỗi bước phân giải 1 MHz trên dải tần, thời gian đo lớn hơn ít nhất 2 lần phát liên tiếp của UUT;
– Chờ kết quả hiển thị ổn định. Xác định tất cả phát xạ trong phạm vi chênh lệch 6 dB so với mức quy định trong Bảng 4 để thực hiện đo trong mục 3.2.5.3.
3.2.5.3. Phép đo dẫn – Thủ tục đo phát xạ sau khi quét kiểm tra
Giới hạn đối với phát xạ phát không mong muốn trong mục 2.4.1 được áp dụng cho các mức công suất trung bình.
Các bước trong mục này được sử dụng để xác định chính xác các phát xạ riêng biệt được phát hiện qua thủ tục kiểm tra trước.
Tùy thuộc tín hiệu phát liên tục hay không liên tục, phép đo sau:
– Tín hiệu liên tục: máy đo sử dụng chế độ tách sóng RMS trên phân tích phổ;
– Tín hiệu không liên tục: phép đo được thực hiện chỉ khi có tín hiệu phát trong burst.
Bước 1:
– Thiết lập tham số trên máy phân tích phổ như sau:
● Centre Frequency: tần số phát xạ xác định ở thủ tục kiểm tra trước;
● Resolution Bandwidth: 100 kHz (< 1GHz), 1 MHz (từ 1 GHz);
● Video Bandwidth: 300 kHz (< 1 GHz), 3 MHz (từ 1 GHz);
● Frequency Span: 0 Hz;
● Sweep Mode: Single Sweep;
● Sweep Time: đủ để chứa một burst phát. Có thể cần đo thêm để xác định thời khoảng burst. Nếu thiết bị cần đo phát liên tục, Sweep Time được đặt bằng 30 ms;
● Sweep Point: bằng trị số thời gian quét tính theo đơn vị μs (nhưng không vượt quá 30 000);
● Trigger: quan sát qua hình ảnh hoặc thực hiện nhân công;
● Detector: RMS;
● Trace Mode: Clear/Write;
– Tinh chỉnh tần số trung tâm của phân tích phổ để thu được phát xạ lớn nhất trong burst phát. Bước này có thể bỏ qua nếu phân tích phổ có thể quét với số điểm quét lớn hơn ít nhất 2 lần so với số điểm yêu cầu trong các bước ở thủ tục kiểm tra trước.
Bước 2:
– Điều chỉnh mức bắt tín hiệu để chọn phát xạ có mức cao nhất;
– Thiết lập cửa sổ trùng với bắt đầu và kết thúc burst phát để đo công suất chế độ RMS trong miền thời gian. Nếu phát xạ giả cần đo gây ra bởi tín hiệu liên tục, cửa sổ đo cần thiết lập để trùng thời điểm bắt đầu và kết thúc của mỗi lần quét;
– Chọn và ghi lại giá trị công suất RMS đo được, sau đó so sánh với mức giới hạn trong Bảng 4.
Các thủ tục đo trong mục này được thực hiện đối với từng phát xạ được xác định qua thủ tục kiểm tra trước ở mục 3.2.5.2.
Trong trường hợp thiết bị sử dụng ăng ten thông minh với nhiều nhánh phát, phép đo được thực hiện trên từng nhánh phát hoạt động. Kết quả đo được sử dụng để so sánh với yêu cầu theo một trong hai tùy chọn sau:
– Tùy chọn 1: kết quả đo trên mỗi nhánh phát ở từng khoảng 1 MHz được tổng lại và so với giới hạn trong Bảng 4;
– Tùy chọn 2: kết quả đo trên từng nhánh phát được so với mức thấp hơn 10 x lg(Tch) (Tch là số nhánh phát hoạt động đồng thời) so với giới hạn trong Bảng 4.
3.2.5.4. Phép đo bức xạ
Cấu hình phép đo được quy định trong Phụ lục A bằng cách kết nối phân tích phổ với ăng ten đo, sau đó đo theo thủ tục trong mục 3.2.5.2, 3.2.5.3.
3.2.6. Phát xạ không mong muốn trong băng tần RLAN 5 GHz
Các phép đo chỉ tiêu ở mục 2.4.2 được thực hiện trong điều kiện đo thường khi sử dụng các kênh định nghĩa trong mục 3.1.4.
Thiết bị cần đo được cấu hình để hoạt động trong trường hợp gây ra phát xạ không mong muốn trong dải tần RLAN 5 GHz nhiều nhất.
Với thiết bị cần đo UUT không có ăng ten tích hoặp hoặc có ăng ten tích hợp nhưng có cổng kết nối ăng ten tạm, cần ưu tiên sử dụng phép đo dẫn. Ngược lại, nếu UUT có ăng ten tích hợp nhưng không có cổng kết nối ăng ten tạm, cần thực hiện phép đo bức xạ.
Nếu UUT sử dụng hệ thống ăng ten thông minh có nhiều chuỗi phát đồng thời, các phép đo thực hiện trên một trong các chuỗi phát.
3.2.6.1. Phép đo dẫn
Trường hợp 1: Thiết bị UUT có khả năng phát liên tục
Phép đo sử dụng để đo khi UUT được cấu hình để phát liên tục.
Bước 1: xác định mức công suất trung bình tham chiếu
– Đặt thông số trên máy phân tích phổ như sau:
● Resolution bandwidth: 1 MHz
● Video bandwidth: 30 kHz
● Detector mode: Peak
● Trace mode: Video Average
● Sweep Time: Coupled;
● Centre Frequency: tần số trung tâm của kênh đang được UUT phát;
● Span: 2 x băng thông kênh danh định.
– Sử dụng Marker để tìm mức công suất trung bình lớn nhất trong đường bao công suất đo được. Mức xác định được sẽ coi là mức tham chiếu.
Bước 2: xác định mức công suất trung bình tương đối
– Điều chỉnh dải tần số của máy phân tích phổ để phép đo có thể thực hiện trong các dải tần từ 5 150 MHz đến 5 350 MHz và 5 470 MHz đến 5 825 MHz. Các thông số khác trên phân tích phổ giữ nguyên;
– So các mức công suất tương đối (mức tham chiếu xác định trong bước 1) đo được với các giới hạn quy định trong mục 2.4.2.
Trường hợp 2: Thiết bị UUT không có khả năng phát liên tục
Bước 1: xác định mức công suất trung bình tham chiếu
– Đặt thông số trên máy phân tích phổ như sau:
● Resolution bandwidth: 1 MHz
● Video bandwidth: 30 kHz
● Detector mode: RMS
● Trace mode: Max Hold
● Sweep Time: ≥ 1 phút;
● Centre Frequency: tần số trung tâm của kênh đang được UUT phát;
● Span: 2 x băng thông kênh danh định.
– Sử dụng Marker để tìm mức công suất trung bình lớn nhất trong đường bao công suất đo được. Mức xác định được sẽ coi là mức tham chiếu.
Bước 2: xác định mức công suất trung bình tương đối
– Điều chỉnh dải tần số của máy phân tích phổ để phép đo có thể thực hiện trong các dải tần từ 5 150 MHz đến 5 350 MHz và 5 470 MHz đến 5 825 MHz. Các thông số khác trên phân tích phổ giữ nguyên;
– So các mức công suất tương đối (mức tham chiếu xác định trong bước 1) đo được với các giới hạn quy định trong mục 2.4.2.
3.2.6.2. Phép đo bức xạ
Phép đo bức xạ sử dụng cấu hình đo trong Phụ lục A và phân tích phổ được nối với ăng ten đo. Thủ tục đo tương tự như thủ tục đo mục 3.2.6.1.
3.2.7. Phát xạ giả máy thu
3.2.7.1. Điều kiện đo
Phát xạ giả máy thu được đo trong điều kiện hoạt động thường của thiết bị sử dụng các kênh định nghĩa trong mục 3.1.4.
Với thiết bị cần đo có nhiều chế độ hoạt động (xem mục 3.1.5.2), các phép đo không cần thực hiện với tất cả các chế độ.
Phát xạ giả máy thu có thể được đo và biểu diễn bởi ít nhất một đại lượng dưới đây:
– Công suất trên tải đặc dụng (phép đo dẫn) và công suất bức xạ (e.r.p. hoặc e.i.r.p như trong mục 2.4.1) khi có bức xạ từ vỏ máy hoặc cấu trúc vật lí của thiết bị;
– Công suất bức xạ (e.r.p. hoặc e.i.r.p như trong mục 2.4.1) khi có bức xạ từ vỏ máy và ăng ten.
Các phép đo trong mục này được thực hiện khi máy thu được cấu hình để hoạt động ở chế độ thu liên tục hoặc ở chế độ không phát.
3.2.7.2. Phép đo dẫn – Thủ tục quét kiểm tra trước
Thủ tục quét kiểm tra trước được thực hiện để xác định tiềm năng của các phát xạ giả máy thu của UUT.
Bước 1:
– Độ nhạy của máy phân tích phổ được kiểm tra và thiết lập để đảm bảo nhiễu nền nhỏ hơn ít nhất 12 dB so với mức được quy định trong Bảng 5.
Bước 2:
– Xác định phát xạ không mong muốn trong dải từ 30 MHz đến 1 000 MHz;
– Đặt thông số trên phân tích phổ như sau:
● Resolution bandwidth: 100 kHz
● Video bandwidth: 300 kHz
● Detector mode: Peak
● Trace mode: Max Hold
● Sweep Points: ≥ 9 700 (nếu phân tích phổ không hỗ trợ thiết lập này, có thể phân đoạn dải tần cần đo). Nếu phân tích phổ có khả năng quét số điểm gấp đôi so với giá trị tối thiểu yêu cầu, có thể bỏ qua việc tinh chỉnh tần số trong bước 1 của mục 3.2.7.3;
● Sweep Time: Auto;
– Chờ kết quả hiển thị ổn định. Xác định tất cả phát xạ trong phạm vi chênh lệch 6 dB so với mức quy định trong Bảng 5 để thực hiện đo trong mục 3.2.7.3.
Bước 3:
– Xác định phát xạ không mong muốn trong dải từ 1 GHz đến 26 GHz;
– Đặt thông số trên phân tích phổ như sau:
● Resolution bandwidth: 1 MHz
● Video bandwidth: 3 MHz
● Detector mode: Peak
● Trace mode: Max Hold
● Sweep Points: ≥ 25 000 (nếu phân tích phổ không hỗ trợ thiết lập này, có thể phân đoạn dải tần cần đo). Nếu phân tích phổ có khả năng quét số điểm gấp đôi so với giá trị tối thiểu yêu cầu, có thể bỏ qua việc tinh chỉnh tần số trong bước 1 của mục 3.2.7.3;
● Sweep Time: Auto;
– Chờ kết quả hiển thị ổn định. Xác định tất cả phát xạ trong phạm vi chênh lệch 6 dB so với mức quy định trong Bảng 5 để thực hiện đo trong mục 3.2.7.3.
3.2.7.3. Phép đo dẫn – Thủ tục đo phát xạ sau khi quét kiểm tra
Giới hạn đối với phát xạ giả thu trong mục 2.5.2 được áp dụng cho các mức công suất trung bình.
Các bước trong mục này được sử dụng để xác định chính xác các phát xạ riêng biệt được phát hiện qua thủ tục kiểm tra trước. Máy phân tích phổ cần có tính năng đo công suất trên miền thời gian.
Bước 1:
– Thiết lập tham số trên máy phân tích phổ như sau:
● Measurement Mode: Time Domain Power
● Centre Frequency: tần số phát xạ giả xác định ở thủ tục kiểm tra trước;
● Resolution Bandwidth: 100 kHz (< 1GHz), 1 MHz (từ 1 GHz);
● Video Bandwidth: 300 kHz (< 1 GHz), 3 MHz (từ 1 GHz);
● Frequency Span: 0 Hz;
● Sweep Mode: Single Sweep;
● Sweep Time: 30 ms;
● Sweep Point: ≥ 30 000;
● Trigger: quan sát qua hình ảnh hoặc thực hiện nhân công;
● Detector: RMS;
– Tinh chỉnh tần số trung tâm của phân tích phổ để bắt được phát xạ lớn nhất trong burst phát xạ. Bước này có thể bỏ qua nếu phân tích phổ có thể quét với số điểm quét lớn hơn ít nhất 2 lần so với số điểm yêu cầu trong các bước ở thủ tục kiểm tra trước.
Bước 2:
– Thiết lập cửa sổ trùng với bắt đầu và kết thúc burst phát xạ cao nhất và ghi lại giá trị công suất đo được trong cửa sổ thời gian này;
– Nếu phát xạ giả cần đo xuất hiện liên tục, cửa sổ đo cần thiết lập để trùng thời điểm bắt đầu và kết thúc của mỗi lần quét.
– Chọn và ghi lại giá trị công suất RMS đo được, sau đó so sánh với mức giới hạn trong Bảng 4.
Bước 3:
– Trong trường hợp thiết bị sử dụng ăng ten thông minh với nhiều nhánh thu, phép đo được thực hiện trên từng nhánh thu hoạt động;
– Xác định tổng công suất đo được trong cửa sổ đo trên các nhánh thu.
Bước 4:
Giá trị xác định trong bước 3 sẽ được so với mức giới hạn trong Bảng 5.
3.2.7.4. Phép đo bức xạ
Phép đo bức xạ sử dụng cấu hình đo trong Phụ lục A và phân tích phổ được nối với ăng ten đo. Thủ tục đo tương tự như thủ tục đo mục 3.2.7.2 và 3.2.7.3.
3.2.8. Cơ chế truy nhập thích nghi
Các phép đo trong mục này được thực hiện trong điều kiện đo thường. Kênh sử dụng để đo tuân theo yêu cầu trong mục 3.1.4. Thiết bị cần đo được cấu hình để hoạt động ở mức công suất ra cao nhất.
3.2.8.1. Thiết bị FBE – Điều kiện đo bổ sung
Nhà sản xuất phải khai báo UUT là thiết bị khởi tạo và/hoặc thiết bị đáp ứng.
Nhà sản xuất phải khai báo các khoảng thời gian chu kỳ khung cố định FFP được sử dụng bởi thiết bị FBE.
Tất cả các phép đo phải được thực hiện trên miền thời gian với độ phân giải nhỏ hơn 1 μs.
Thiết bị đo phải có khả năng theo dõi UUT trong suốt quá trình ít nhất 250 ms với độ phân giải thời gian nói trên. Nếu dữ liệu được ghi thành các phân đoạn riêng, khoảng thời gian chu kỳ khung cố định FFP sẽ được tách từ từng phân đoạn. Tổ hợp tất cả các khoảng chu kỳ khung cố định FFP sẽ được phân tích như trong mục 3.2.8.5.
3.2.8.2. Thiết bị FBE – Khởi tạo phép đo dẫn
Cấu hình đo được minh họa trong Hình 5.

Hình 5 – Cấu hình đo FBE – Phép đo dẫn
Bước 1:
– UUT nối với thiết bị liên quan trong quá trình đo. Máy tạo tín hiệu, máy phân tích phổ, UUT, nguồn lưu lượng và các thiết bị liên quan được kết nối như trong Hình 5, trong đó bộ tạo nhiễu được tắt. Máy phân tích phổ được sử dụng để giám sát tín hiệu phát của UUT dưới ảnh hưởng của nhiễu. Nguồn lưu lượng có thể là một phần trong cấu trúc của UUT.
– Mức tín hiệu thu (tín hiệu mong muốn) tại UUT phải đủ để đảm bảo và duy trì kết nối tin cậy trong quá trình đo. Giải trị mức tín hiệu thu điển hình trong phần lớn các trường hợp là -50 dBm/MHz.
Cài đặt các thông số sau trên phân tích phổ:
● RBW: ≥ băng thông kênh chiếm dụng (hoặc giá trị cao nhất của phân tích phổ nếu không đảm bảo yêu cầu trên);
● VBW: ≥ RBW (hoặc giá trị cao nhất của phân tích phổ nếu không đảm bảo yêu cầu trên);
● Detector Mode: RMS;
● Centre Frequency: tần số kênh vận hành của UUT;
● Span: 0 Hz;
● Sweep Time: > 2 x COT;
● Trace Mode: Clear/Write;
● Trigger Mode: Video hoặc RF/IF Power.
Bước 2:
– Cấu hình nguồn lưu lượng sao cho bộ nhớ đệm của UUT đảm bảo luôn có dữ liệu được xếp hàng để phát (gọi là điều kiện phát đệm sẵn sàng) đến thiết bị liên quan. Nếu không thể cấu hình theo yêu cầu này, UUT phải được cấu hình để có thời gian COT lớn nhất trong khoảng thời gian chu kỳ khung cố định FFP;
– Để tránh ảnh hưởng của hiện tượng đảo chiều lưu lượng được đến kết quả đo, nguồn lưu lượng đượng được sử dụng là nguồn có chiều duy nhất.
3.2.8.3. Thiết bị FBE – Phép đo dẫn – Thủ tục xác nhận khả năng phát hiện tín hiệu RLAN khác trên kênh vận hành ở chế độ đơn kênh
Bước 1: Thiết lập kết nối
– UUT được cấu hình để hoạt động ở chế độ đơn kênh (sử dụng duy nhất 1 kênh vận hành);
Bước 2: Kết nối tín hiệu gây nhiễu
– Một trong 3 tín hiệu gây nhiễu như mô tả trong mục B.7 được đưa vào kênh vận hành của UUT. Băng thông của tín hiệu nhiễu chứa cả kênh vận hành. Mức tín hiệu nhiễu tại đầu vào UUT bằng mức ED Threshold Level định nghĩa trong mục 2.6.1.
Bước 3: Xác nhận đáp ứng của thiết bị với tín hiệu nhiễu
– Phân tích phổ được sử dụng để giám sát tín hiệu phát của UUT trên kênh vận hành sau khi có tín hiệu nhiễu đưa vào. Phân tích phổ cần quét để phát hiện khi có tín hiệu nhiễu;
– Xác nhận các yêu cầu sau theo thủ tục ở mục 3.2.8.6:
● UUT không phát trên kênh vận hành trong khoảng thời gian chu kỳ khung cố định FFP tiếp theo thủ tục CCA đầu tiên sau khi tín hiệu nhiễu được đưa vào. UUT được phép phát tín hiệu điều khiển ngắn (Short Control Signalling Transmission) trên kênh vận hành như các yêu cầu tiếp theo;
● Ngoài tín hiệu điều khiển ngắn, UUT không được phát tín hiệu khác khi có tín hiệu nhiễu;
● Tín hiệu điều khiển ngắn phải thỏa mãn yêu cầu trong mục 2.6.3. Việc xác nhận đáp ứng đối với tín hiệu điều khiển ngắn có thể yêu cầu thay đổi thông số trên phân tích phổ;
– Để xác nhận UUT không phát tín hiệu thường (ngoài báo hiệu ngắn) khi có nhiễu, thời gian giám sát phải bằng 60 s hoặc lâu hơn nếu cần phân đoạn thực hiện đo để đáp ứng yêu cầu về độ phân giải;
– Khi hoàn thành phép đo và loại bỏ tín hiệu nhiễu, UUT có thể được bắt đầu phát trở lại trên kênh vận hành nhưng không cần xác nhận thêm các yêu cầu khác.
Bước 4:
Thực hiện lại bước 2 và bước 3 đối với các tín hiệu nhiễu khác trong mục B.7.
3.2.8.4. Thiết bị FBE – Phép đo dẫn – Thủ tục xác nhận khả năng phát hiện tín hiệu RLAN khác trong trường hợp sử dụng nhiều kênh vận hành
Bước 1: Thiết lập kết nối
– UUT được cấu hình để hoạt động từ 2 đến 6 kênh vận hành 20 MHz liên tiếp. Số lượng kênh được sử dụng được ghi lại trong Báo cáo đo;
– Xác nhận UUT đã bắt đầu phát trên các kênh vận hành
Bước 2: Chèn tín hiệu nhiễu
– Nhiễu (xem mục B.1.1) được bật;
– Tần số và băng thông của nhiễu phải đảm bảo để chứa tất cả các kênh vận hành được sử dụng. Ngoài ra, bài đo có thể thực hiện bằng các lần lượt đưa nhiễu với tần số và băng thông đủ để chứa duy nhất từng kênh vận hành;
– Mức tín hiệu nhiễu tại đầu vào UUT phải bằng mức ED Threshold Level (TL) định nghĩa trong mục 2.6.1.
Bước 3: Xác nhận đáp ứng của thiết bị với tín hiệu nhiễu
– Phân tích phổ được sử dụng để giám sát tín hiệu phát của UUT trên kênh vận hành sau khi có tín hiệu nhiễu đưa vào. Phân tích phổ cần quét để phát hiện khi có tín hiệu nhiễu;
– Xác nhận các yêu cầu sau theo thủ tục ở mục 3.2.8.6:
● UUT không phát trên tất cả kênh vận hành thiết lập ở bước 1 có nhiễu trong khoảng thời gian chu kỳ khung cố định FFP tiếp theo thủ tục CCA đầu tiên sau khi tín hiệu nhiễu được phát hiện. UUT được phép phát tín hiệu điều khiển ngắn trên kênh vận hành như các yêu cầu tiếp theo;
● Ngoài tín hiệu điều khiển ngắn, UUT không được phát tín hiệu khác khi có tín hiệu nhiễu;
● Tín hiệu điều khiển ngắn phải thỏa mãn yêu cầu trong mục 2.6.3. Việc xác nhận đáp ứng đối với tín hiệu điều khiển ngắn có thể yêu cầu thay đổi thông số trên phân tích phổ;
– Để xác nhận UUT không phát tín hiệu thường (ngoài báo hiệu ngắn) khi có nhiễu, thời gian giám sát phải bằng 60 s hoặc lâu hơn nếu cần phân đoạn thực hiện đo để đáp ứng yêu cầu về độ phân giải;
– Khi hoàn thành phép đo và loại bỏ tín hiệu nhiễu, UUT có thể được bắt đầu phát trở lại trên kênh vận hành nhưng không cần xác nhận thêm các yêu cầu khác.
3.2.8.5. Thiết bị FBE – Phép đo dẫn – Cơ chế truy nhập kênh
Mục này quy định thủ tục đo kiểm để xác nhận phù hợp đối với tham số COT và thời gian rỗi (Idle Period) được sử dụng trong cơ chế truy nhập kênh.
Bước 1: tương tự bước 1 trong mục 3.2.8.2.
Bước 2: tương tự bước 2 trong mục 3.2.8.2.
Bước 3: Ghi tham số phát.
– Ghi thời điểm bắt đầu và khoảng thời gian phát, thời điểm bắt đầu và thời gian nghỉ giữa các lần phát trên kênh vận hành;
– Biểu diễn tx là thời điểm UUT bắt đầu, dx là khoảng thời gian kênh vận hành được sử dụng. Biểu diễn iy là thời điểm bắt đầu, gy là khoảng thời gian kênh vận hành không được sử dụng. Hình 6 biểu diễn các thông số này.
Bước 4: Đo khoảng thời gian không sử dụng (Un-Occupied Period) và COT
Khoảng thời gian COT được định nghĩa bằng (th + dh –tc) với tc < th. nếu trong khoảng thời gian [tC,th + dh], tất các các khoảng thời gian gy kênh vận hành không có tín hiệu phát đều không lớn hơn 16 μs. Như được định nghĩa trong mục 2.6.1, trong mỗi COT có thể có một hoặc nhiều hơn lần UUT phát;
– Sử dụng các giá trị ghi được ở bước 3, có thể xác định được các giá trị của các khoảng thời gian COT và các khoảng thời gian không sử dụng. Khoảng thời gian không sử dụng là khoảng thời gian giữa các lần phát khác nhau của UUT với giá trị không lớn hơn 18 μs. Các khoảng thời gian lớn hơn giá trị này được coi như nằm trong COT.
Bước 5: Xác định chu kỳ khung cố định FFP
– Dựa trên các kết quả đo ở bước 4 và khai báo chu kỳ khung cố định FFP của UUT, xác định thời điểm bắt đầu và kết thúc của từng FFP;
– Khoảng thời gian không sử dụng ngay trước thời điểm bắt đầu của chu kỳ khung cố định FFP được gọi là khoảng thời gian rỗi của khoảng thời gian FFP trước đó như được định nghĩa trong mục 2.6.1.

Hình 6 – Tiến trình trên UUT
Bước 6: Xác nhận thỏa mãn yêu cầu
– Sử dụng kết quả trong bước 5 để đánh giá sự phù hợp của các tham số xác định được với yêu cầu về về COT lớn nhất và khoảng thời gian rỗi nhỏ nhất trong từng chu kỳ khung cố định FFP được sử dụng.
3.2.8.6. Thiết bị FBE – Phép đo dẫn – Thủ tục đo việc sử dụng kênh/tần số
Mục này đưa ra thủ tục đo chung để xác định có tín hiệu phát trên kênh vận hành đang đo hay không. Thủ tục này chỉ được sử dụng như một phần của thủ tục ở các mục đã nói ở trên.
Bước 1:
– Đặt thông số máy phân tích phổ như sau:
• Centre Frequency: Tần số trung tâm của kênh đang được kiểm tra;
• Frequency Span: 0 Hz
• RBW: khoảng 50% băng thông kênh chiếm dụng (nếu không hỗ trợ đến mức này, sử dụng RBW cao nhất của máy);
• VBW: ≥ RBW (nếu phân tích phổ không hỗ trợ, lựa chọn VBW lớn nhất có thể được thiết lập);
• Detector Mode: RMS;
• Sweep Time: > 2 x COT;
• Sweep Points: ít nhất một điểm trong 1 μs;
• Trace Mode: Clear/Write;
• Trigger: Video hoặc RF/IF Power.
Bước 2:
– Lưu dữ liệu đo vào file để thực hiện phân tích bằng máy tính bằng phần mềm thích hợp.
Bước 3:
– Xác định các điểm dữ liệu cần phân tích bằng cách sử dụng ngưỡng phát hiện;
– Đếm số điểm dữ liệu liên tiếp được xác định là kết quả của một lần truyền trên kênh đang được đánh giá và nhân số này với chênh lệch thời gian giữa hai điểm dữ liệu liên tiếp. Lặp lại việc này trên toàn bộ cửa sổ đo;
– Khi đo các khoảng thời gian rỗi hoặc khoảng lặng, đếm số điểm dữ liệu liên tiếp từ một khoảng dừng phát trên kênh được đánh giá và nhân số điểm này với khoảng thời gian giữa hai điểm dữ liệu liên tiếp. Lặp lại việc này trên toàn bộ cửa sổ đo.
3.2.8.7. Thiết bị FBE – Phép đo bức xạ
Công suất đầu ra của bộ tạo tín hiệu nhiễu phải thích hợp để công suất đầu vào ăng ten của UUT bằng mức ED Threshold Level trong mục 2.6.1.
Khi thực hiện đo kiểm bằng phương pháp bức xạ trên UUT có ăng ten định hướng (bao gồm ăng ten thông minh và ăng ten có khả năng điều hướng), đường kết nối giữa UUT với thiết bị đi kèm và tín hiệu radar được tạo ra phải được sắp xếp trùng với hướng bức xạ lớn nhất của ăng ten được UUT sử dụng.
Cấu hình đo trong Phụ lục A và thủ tục đo liên quan trong Phụ lục B sẽ được sử dụng trong quá trình đo UUT. Thủ tục đo bức xạ cũng tương tự như đối với đo dẫn.
3.2.8.8. Thiết bị LBE – Điều kiện đo bổ sung
UUT có khả năng hoạt động ở chế độ thiết bị giám sát và thiết bị được giám sát (Supervising và Supervised) phải được đo ở cả hai chế độ.
Nhà sản xuất phải khai báo các thông tin sau:
– Khả năng UUT sử dụng Chú thích 1 của Bảng 7 hoặc Chú thích 1 của Bảng 8;
– Khả năng sử dụng Chú thích 2 của Bảng 7 nếu UUT là thiết bị giám sát và thiết bị được giám sát;
– Dạng thiết bị của UUT là thiết bị khởi tạo và/hoặc thiết bị đáp ứng;
– Mức chất lượng cao nhất theo lý thuyết của UUT;
– Các Lớp ưu tiên (Priority Class) được UUT sử dụng.
Tất cả phép đo cần được thực hiện với độ phân giải thời gian không vượt quá 1μs.
Thiết bị đo phải có khả năng giám sát, theo dõi UUT trong ít nhất 10 000 khoảng thời gian COT với độ phân giải theo yêu cầu nói trên. Dữ liệu lưu lại có thể được phân đoạn. Khi đó, các khoảng thời gian COT sẽ được tách ra từ các phân đoạn dữ liệu được lưu. Việc phân tích, đánh giá COT được thực hiện theo thủ tục 3.2.8.11.
Lớp ưu tiên sử dụng trong phép đo được lựa chọn như sau:
– Nếu có Lớp ưu tiên 2 (và có thể lớp ưu tiên khác), UUT phải được đo để đánh giá so với các yêu cầu tương ứng Lớp ưu tiên 2 như được quy định trong Bảng 7, Bảng 8;
– Nếu không sử dụng Lớp ưu tiên 2 nhưng có Lớp ưu tiên 1 (hoặc các lớp ưu tiên khác), UUT phải được đo để đánh giá so với các yêu cầu tương ứng Lớp ưu tiên 1 như được quy định trong Bảng 1, Bảng 7, Bảng 8;
Nếu không sử dụng Lớp ưu tiên 1, 2 nhưng có Lớp ưu tiên 3 (hoặc 4), UUT phải được đo để đánh giá so với các yêu cầu tương ứng Lớp ưu tiên 3 như được quy định trong Bảng 1, Bảng 7, Bảng 8;
Nếu chỉ sử dụng Lớp ưu tiên 4, UUT phải được đo để đánh giá so với các yêu cầu tương ứng Lớp ưu tiên 4 như được quy định trong Bảng 1, Bảng 7, Bảng 8;
3.2.8.9. Thiết bị LBE – Khởi tạo phép đo dẫn
Hình 7 biểu diễn ví dụ sơ đồ đo thiết bị bằng phép đo dẫn.

Hình 7 – Sơ đồ đo thiết bị LBE bằng phép đo dẫn
Việc đánh giá khả năng thích nghi của thiết bị được thực hiện với các thủ tục dưới đây.
Bước 1:
– UUT nối với thiết bị liên quan trong quá trình đo. Máy tạo tín hiệu, máy phân tích phổ, UUT, nguồn lưu lượng và các thiết bị liên quan được kết nối như trong Hình 7, trong đó bộ tạo nhiễu được tắt. Máy phân tích phổ được sử dụng để giám sát tín hiệu phát của UUT dưới ảnh hưởng của nhiễu. Nguồn lưu lượng có thể là một phần trong cấu trúc của UUT;
– Mức tín hiệu thu (tín hiệu mong muốn) tại UUT phải đủ để đảm bảo và duy trì kết nối tin cậy trong quá trình đo. Giải trị mức tín hiệu thu điển hình trong phần lớn các trường hợp là -50 dBm/MHz.
– Cài đặt các thông số sau trên phân tích phổ:
• RBW: ≥ băng thông kênh chiếm dụng (hoặc giá trị cao nhất của phân tích phổ nếu không đảm bảo yêu cầu trên);
• VBW: ≥ 3 x RBW (hoặc giá trị cao nhất của phân tích phổ nếu không đảm bảo yêu cầu trên);
• Detector Mode: RMS;
• Centre Frequency: tần số kênh vận hành của UUT;
• Span: 0 Hz;
• Sweep Time: > 2 x COT;
• Trace Mode: Clear/Write;
• Trigger Mode: Video hoặc RF/IF Power.
Bước 2:
– Cấu hình nguồn lưu lượng sao cho bộ nhớ đệm của UUT đảm bảo luôn có dữ liệu được xếp hàng để phát (gọi là điều kiện phát đệm sẵn sàng) đến thiết bị liên quan. Nếu không thể cấu hình theo yêu cầu này, UUT phải được cấu hình để có thời gian COT lớn nhất trong khoảng thời gian chu kỳ khung cố định FFP;
– Để tránh ảnh hưởng của hiện tượng đảo chiều lưu lượng được đến kết quả đo, nguồn lưu lượng đượng được sử dụng là nguồn có chiều duy nhất.
3.2.8.10. Thiết bị LBE – Phép đo dẫn – Thủ tục xác nhận khả năng phát hiện tín hiệu RLAN khác trên kênh vận hành ở chế độ đơn kênh
Bước 1: Thiết lập kết nối
– UUT được cấu hình để hoạt động ở chế độ đơn kênh (sử dụng duy nhất 1 kênh vận hành);
Bước 2: Kết nối tín hiệu gây nhiễu
– Một trong 3 tín hiệu gây nhiễu như mô tả trong B.7 được đưa vào kênh vận hành của UUT. Băng thông của tín hiệu nhiễu chứa cả kênh vận hành. Mức tín hiệu nhiễu tại đầu vào UUT bằng mức ED Threshold Level (TL) định nghĩa trong mục 2.6.2.
Bước 3: Xác nhận đáp ứng của thiết bị với tín hiệu nhiễu
– Phân tích phổ được sử dụng để giám sát tín hiệu phát của UUT trên kênh vận hành sau khi có tín hiệu nhiễu đưa vào. Phân tích phổ cần quét để phát hiện khi có tín hiệu nhiễu;
– Xác nhận các yêu cầu sau theo thủ tục ở mục 3.2.8.17:
• UUT dừng phát trên kênh vận hành trong khoảng thời gian bằng giá trị lớn nhất của COT tương ứng với mức ưu tiên Lớp ưu tiên đang được sử dụng khi đo (xem Bảng 7, Bảng 8). UUT được phép phát Tín hiệu điều khiển ngắn trên kênh vận hành như các yêu cầu tiếp theo;
• Ngoài Tín hiệu điều khiển ngắn, UUT không được phát tín hiệu khác khi có tín hiệu nhiễu;
• Tín hiệu điều khiển ngắn phải thỏa mãn yêu cầu trong mục 2.6.3. Việc xác nhận đáp ứng đối với tín hiệu điều khiển ngắn có thể yêu cầu thay đổi thông số trên phân tích phổ;
– Để xác nhận UUT không phát tín hiệu thường (ngoài báo hiệu ngắn) khi có nhiễu, thời gian giám sát phải bằng 60 s hoặc lâu hơn nếu cần phân đoạn thực hiện đo để đáp ứng yêu cầu về độ phân giải;
– Khi hoàn thành phép đo và loại bỏ tín hiệu nhiễu, UUT có thể được bắt đầu phát trở lại trên kênh vận hành nhưng không cần xác nhận thêm các yêu cầu khác.
Bước 4:
Thực hiện lại bước 2 và bước 3 đối với các tín hiệu nhiễu khác trong mục B.7.
3.2.8.11. Thiết bị LBE – Phép đo dẫn – Thủ tục xác nhận khả năng phát hiện tín hiệu RLAN khác trong trường hợp sử dụng nhiều kênh vận hành theo Tùy chọn 1
Bước 1: Thiết lập kết nối
– UUT được cấu hình để hoạt động từ 2 đến 6 kênh vận hành 20 MHz liên tiếp. Số lượng kênh được sử dụng được ghi lại trong Báo cáo đo;
– Xác nhận UUT đã bắt đầu phát trên các kênh vận hành
Bước 2: Chèn tín hiệu nhiễu
– Nhiễu (xem mục B.1.1) được bật;
– Tần số và băng thông của nhiễu phải đảm bảo để chứa tất cả các kênh vận hành được sử dụng. Ngoài ra, bài đo có thể thực hiện bằng các lần lượt đưa nhiễu với tần số và băng thông đủ để chứa duy nhất từng kênh vận hành;
– Mức tín hiệu nhiễu tại đầu vào UUT phải bằng mức ED Threshold Level (TL) định nghĩa trong mục 2.6.2.
Bước 3: Xác nhận đáp ứng của thiết bị với tín hiệu nhiễu
– Phân tích phổ được sử dụng để giám sát tín hiệu phát của UUT trên kênh vận hành sau khi có tín hiệu nhiễu đưa vào. Phân tích phổ cần quét để phát hiện khi có tín hiệu nhiễu;
– Xác nhận các yêu cầu sau theo thủ tục ở mục 3.2.8.17:
• UUT không phát trên tất cả kênh vận hành thiết lập ở bước 1 có nhiễu trong khoảng thời gian bằng giá trị lớn nhất của COT tương ứng với mức Lớp ưu tiên đang được sử dụng khi đo (xem Bảng 7, Bảng 8). UUT được phép phát tín hiệu điều khiển ngắn trên kênh vận hành như các yêu cầu tiếp theo;
• Ngoài tín hiệu điều khiển ngắn, UUT không được phát tín hiệu khác khi có tín hiệu nhiễu;
• Tín hiệu điều khiển ngắn phải thỏa mãn yêu cầu trong mục 2.6.3. Việc xác nhận đáp ứng đối với tín hiệu điều khiển ngắn có thể yêu cầu thay đổi thông số trên phân tích phổ;
– Để xác nhận UUT không phát tín hiệu thường (ngoài báo hiệu ngắn) khi có nhiễu, thời gian giám sát phải bằng 60 s hoặc lâu hơn nếu cần phân đoạn thực hiện đo để đáp ứng yêu cầu về độ phân giải;
– Khi hoàn thành phép đo và loại bỏ tín hiệu nhiễu, UUT có thể được bắt đầu phát trở lại trên kênh vận hành nhưng không cần xác nhận thêm các yêu cầu khác.
3.2.8.12. Thiết bị LBE – Phép đo dẫn – Thủ tục xác nhận khả năng phát hiện tín hiệu RLAN khác trong trường hợp sử dụng nhiều kênh vận hành theo Tùy chọn 2
B1: Thiết lập kết nối
– UUT được cấu hình để hoạt động trên kênh vận hành là kênh ghép 40 MHz. Một trong hai kênh 20 MHz cấu thành kênh ghép được gọi là kênh vận hành chính (xem mục 2.6.2);
– Xác nhận UUT đã bắt đầu phát trên các kênh vận hành.
B2: Chèn tín hiệu nhiễu
– Nhiễu (xem mục B.1.1) được bật;
– Tần số và băng thông của nhiễu phải đảm bảo để chỉ chứa kênh vận hành 20 MHz phụ mà không chứa kênh vận hành 20 MHz chính;
– Mức tín hiệu nhiễu tại đầu vào UUT phải bằng mức ED Threshold Level (TL) định nghĩa trong mục 2.6.2.
Bước 3: Xác nhận đáp ứng của thiết bị với tín hiệu nhiễu
– Phân tích phổ được sử dụng để giám sát tín hiệu phát của UUT trên kênh vận hành sau khi có tín hiệu nhiễu đưa vào. Phân tích phổ cần quét để phát hiện khi có tín hiệu nhiễu;
– Xác nhận các yêu cầu sau theo thủ tục ở mục 3.2.8.17:
• UUT dừng phát trên kênh vận hành 20 MHz phụ có nhiễu trong khoảng thời gian bằng giá trị lớn nhất của COT tương ứng với mức ưu tiên Lớp ưu tiên đang được sử dụng khi đo (xem Bảng 7, Bảng 8). UUT được phép phát tín hiệu điều khiển ngắn trên kênh vận hành phụ như các yêu cầu tiếp theo;
• Ngoài Tín hiệu điều khiển ngắn, UUT không được phát tín hiệu khác trên kênh vận hành 20 MHz phụ khi có tín hiệu nhiễu;
• Tín hiệu điều khiển ngắn phải thỏa mãn yêu cầu trong mục 2.6.3. Việc xác nhận đáp ứng đối với Tín hiệu điều khiển ngắn có thể yêu cầu thay đổi thông số trên phân tích phổ;
– Để xác nhận UUT không phát tín hiệu thường (ngoài báo hiệu ngắn) trên kênh vận hành 20 MHz phụ khi có nhiễu, thời gian giám sát phải bằng 60 s hoặc lâu hơn nếu cần phân đoạn thực hiện đo để đáp ứng yêu cầu về độ phân giải;
– Khi hoàn thành phép đo và loại bỏ tín hiệu nhiễu, UUT có thể được bắt đầu phát trở lại trên kênh vận hành 20 MHz phụ nhưng không cần xác nhận thêm các yêu cầu khác.
3.2.8.13. Thiết bị LBE – Phép đo dẫn – Cơ chế truy nhập kênh (Tùy chọn A)
Mục này quy định thủ tục đo kiểm để xác nhận cơ chế truy nhập kênh được UUT sử dụng.
Bước 1: tương tự B1 trong mục 3.2.8.9.
Bước 2:
– Tương tự B2 trong mục 3.2.8.9;
– Nếu UUT sử dụng theo Chú thích 1 trong Bảng 7, cần lưu ý:
• Cấu hình nguồn lưu lượng thứ hai để lớn hơn lưu lượng lí thuyết của các thiết bị liên quan. Nguồn lưu lượng thứ hai sẽ được đưa vào bộ đệm của các thiết bị liên quan để thiết bị này luôn có dữ liệu ở hàng đợi (bộ đệm đầy) để đưa đến UUT;
• Trong bài đo, thiết bị giám sát sẽ cấp phép một hoặc nhiều lần đối với từng thông số COT. Với mỗi COT, sẽ chỉ có duy nhất 1 khoảng lặng với độ dài ít nhất 100 μs được sử dụng.
Bước 3: Ghi tham số phát.
– Ghi thời điểm bắt đầu và khoảng thời gian phát, thời điểm bắt đầu và thời gian nghỉ giữa các lần phát trên kênh vận hành;
Biểu diễn tx là thời điểm UUT bắt đầu, dx là khoảng thời gian kênh vận hành được sử dụng. Biểu diễn iy là thời điểm bắt đầu, gy là khoảng thời gian kênh vận hành không được sử dụng.
– Hình 8 biểu diễn các thông số này.

Hình 8 – Các khoảng thời gian
Bước 4: Đo khoảng thời gian rỗi và COT
– Khoảng thời gian COT được định nghĩa bằng (th + dh – tc) với tc < th. nếu trong khoảng thời gian [tc, th + dh], tất các các khoảng thời gian gy kênh vận hành không có tín hiệu phát đều không lớn hơn 25 μs. Như được định nghĩa trong mục 2.6.2, trong mỗi COT có thể có một hoặc nhiều hơn lần UUT phát;
– Sử dụng các giá trị ghi được ở bước 3, có thể xác định được các giá trị của các khoảng thời gian COT và các khoảng thời gian rỗi. Khoảng thời gian rỗi là khoảng thời gian giữa các lần phát khác nhau của UUT với giá trị lớn hơn 27 μs;
So với giá trị của khoảng thời gian rỗi (25 μs), giá trị 27 μs sử dụng trong phép đo này để tính đến sai số phép đo.
Bước 5: Phân loại khoảng thời gian rỗi
– Gọi k là số tự nhiên;
– Gán tất cả các khoảng khoảng thời gian rỗi đến một trong số k + 1 nhóm chứa. Giá trị của k phụ thuộc mức Lớp ưu tiên được phép đo sử dụng. Mỗi nhóm chứa được biểu diễn bởi Bn, 0 ≤ n ≤ k:
• Nếu Lớp ưu tiên bằng 1, k = 16 và các nhóm chứa được kí hiệu B0, …, B16;
• Nếu Lớp ưu tiên bằng 2:
+ Nếu UUT sử dụng Chú thích 2 trong Bảng 7, k = 32 và các nhóm chứa được kí hiệu B0, …, B32;
+ Nếu UUT không sử dụng Chú thích 2 trong Bảng 7, k = 16 và các nhóm chứa được kí hiệu B0, …, B16;
• Nếu Lớp ưu tiên bằng 3, k = 8 và các nhóm chứa được kí hiệu B0, …, B8;
• Nếu Lớp ưu tiên bằng 4, k = 4 và các nhóm chứa được kí hiệu B0, …, B4;
– Nếu Lớp ưu tiên bằng 1, nhóm chứa Bn được xác định như sau:

– Nếu Lớp ưu tiên bằng 2, nhóm chứa Bn được xác định như sau:
• Nếu UUT là Giám sát sử dụng Chú thích 2 trong Bảng 7:

• Nếu UUT là thiết bị được giám sát hoặc UUT là thiết bị giám sát không sử dụng CHÚ THÍCH 2 trong Bảng 7:

– Nếu Lớp ưu tiên là 3, nhóm chứa Bn được xác định như sau:
• Nếu UUT là Thiết bị được giám sát:

• Nếu UUT là thiết bị giám sát:

– Nếu Lớp ưu tiên là 4, nhóm chứa Bn được xác định như sau:
• Nếu UUT là thiết bị được giám sát:

• Nếu UUT là thiết bị giám sát:

Bước 6: Tính xác suất khoảng thời gian rỗi
– Đặt H(Bn) là số lượng khoảng thời gian rỗi trong nhóm chứa Bn;
– Đặt E là số lượng Khoảng thời gian rỗi quan sát được. Khi đó:
![]()
– Tính xác suất quan sát được như sau:
• Đặt p(n) là xác suất Khoảng thời gian rỗi có độ dài nhỏ hơn giới hạn trên của nhóm chứa Bn: p(n) = p(Idle Period < Giới hạn trên của Bn);
Với mỗi giá trị n, 0≤ n ≤ k:

– Đánh giá UUT phù hợp với yêu cầu về xác suất lớn nhất như sau:
• Nếu Lớp ưu tiên là 1, từng xác suất p(n) của Khoảng thời gian rỗi trong từng nhóm chứa [B0, …, Bn] không được lớn hơn xác suất cực đại sau:

• Nếu Lớp ưu tiên là 2, từng xác suất p(n) của Khoảng thời gian rỗi trong từng nhóm chứa [B0, …, Bn] không được lớn hơn xác suất cực đại sau:
+ Nếu UUT sử dụng Chú thích 2 của Bảng 7:

+ Nếu UUT không sử dụng Chú thích 2 của Bảng 7:

+ Nếu UUT sử dụng Chú thích 1 của Bảng 7:

• Nếu Lớp ưu tiên là 3, từng xác suất p(n) của Khoảng thời gian rỗi trong từng nhóm chứa [B0, …, Bn] không được lớn hơn xác suất cực đại sau:

• Nếu Lớp ưu tiên là 4, từng xác suất p(n) của Khoảng thời gian rỗi trong từng nhóm chứa [B0, …, Bn] không được lớn hơn xác suất cực đại sau:

3.2.8.14. Thiết bị LBE – Phép đo dẫn – Cơ chế truy nhập kênh (tùy chọn B)
Trong tùy chọn B, thay vì thực hiện đo như mục 3.2.8.13, nhà sản xuất được phép khai báo sự phù hợp với các yêu cầu trong mục 2.6.2.
3.2.8.15. Thiết bị LBE – Phép đo dẫn – COT lớn nhất (Tùy chọn A)
Các bước dưới đây được sử dụng để đo kiểm xác nhận giá trị COT lớn nhất được UUT sử dụng.
Một kênh chiếm dụng bao gồm các thông tin phát từ UUT và có thể gồm cả thông tin phát từ các thiết bị liên qua. COT được xác định qua bước 4 mục 3.2.8.13. Các giá trị của COT phải được ghi trong Báo cáo đo.
Cấu hình ở bước 2 của mục 3.2.8.9 sẽ cho phép UUT ở chế độ hoạt động có COT lớn nhất.
UUT phải thỏa mãn yêu cầu về giới hạn lớn nhất của COT dưới các điều kiện sau:
– Nếu Lớp ưu tiên sử dụng là 1, các giá trị COT không lớn hơn 6 ms;
– Nếu Lớp ưu tiên sử dụng là 2, các giá trị của COT không được lớn hơn các mức sau:
• 6 ms nếu UUT sử dụng Chú thích 1 trong Bảng 7;
• 10 ms nếu UUT sử dụng Chú thích 2 trong Bảng 7;
• 6 ms nếu UUT không sử dụng Chú thích 2 trong Bảng 7;
– Nếu Lớp ưu tiên sử dụng là 3, các giá trị COT không lớn hơn 4 ms;
– Nếu Lớp ưu tiên sử dụng là 4, các giá trị COT không lớn hơn 2 ms;
3.2.8.16. Thiết bị LBE – Phép đo dẫn – COT lớn nhất (Tùy chọn B)
Trong tùy chọn B, thay vì thực hiện đo như mục 3.2.8.15, nhà sản xuất được phép khai báo sự phù hợp với các yêu cầu trong mục 2.6.2.
3.2.8.17. Thiết bị LBE – Phép đo dẫn – Thủ tục đo việc sử dụng kênh/tần số
Mục này đưa ra thủ tục đo chung để xác định có tín hiệu phát trên kênh vận hành đang đo hay không. Thủ tục này chỉ được sử dụng như một phần của thủ tục ở các mục đã nói ở trên.
Bước 1:
– Đặt thông số máy phân tích phổ như sau:
• Centre Frequency: Tần số trung tâm của kênh đang được kiểm tra;
• Frequency Span: 0 Hz
• RBW: khoảng 50% băng thông kênh chiếm dụng (nếu không hỗ trợ đến mức này, sử dụng RBW cao nhất của máy);
• VBW: ≥ RBW (nếu phân tích phổ không hỗ trợ, lựa chọn VBW lớn nhất có thể được thiết lập);
• Detector Mode: RMS;
• Sweep Time: > 2 x COT;
• Sweep Points: ít nhất một điểm trong 1 μs;
• Trace Mode: Clear/Write;
• Trigger: Video hoặc RF/IF Power.
Bước 2:
– Lưu dữ liệu đo vào file để thực hiện phân tích bằng máy tính bằng phần mềm thích hợp.
Bước 3:
– Xác định các điểm dữ liệu cần phân tích bằng cách sử dụng ngưỡng phát hiện;
– Đếm số điểm liên tiếp được xác định bởi kênh được đánh giá và nhân số đó với khoảng thời gian giữa hai điểm dữ liệu liên tiếp. Lặp lại việc này trên toàn bộ cửa sổ đo;
– Khi đo các khoảng khoảng thời gian rỗi hoặc khoảng lặng, đếm số điểm dữ liệu liên tiếp từ một khoảng dừng phát trên kênh được đánh giá và nhân số điểm này với khoảng thời gian giữa hai điểm dữ liệu liên tiếp. Lặp lại việc này trên toàn bộ cửa sổ đo.
3.2.8.18. Thiết bị LBE – Phép đo bức xạ
Công suất đầu ra của bộ tạo tín hiệu nhiễu phải thích hợp để công suất đầu vào ăng ten của UUT bằng mức ED Threshold Level(TL) trong mục 2.6.2.
Khi thực hiện đo kiểm bằng phương pháp bức xạ trên UUT có ăng ten định hướng (bao gồm ăng ten thông minh và ăng ten có khả năng điều hướng), đường kết nối giữa UUT với thiết bị đi kèm và tín hiệu radar được tạo ra phải được sắp xếp trùng với hướng bức xạ lớn nhất của ăng ten được UUT sử dụng.
Cấu hình đo trong Phụ lục A và thủ tục đo liên quan trong Phụ lục B sẽ được sử dụng trong quá trình đo UUT. Thủ tục đo bức xạ cũng tương tự như đối với đo dẫn.
3.2.9. Đặc tính chặn máy thu
3.2.9.1. Điều kiện đo
Các phép đo được thực hiện trong điều kiện đo thường.
Kênh đo kiểm được sử dụng như trong mục 3.1.4.
UUT hoạt động ở chế độ vận hành bình thường.
Với thiết bị cần đo UUT có khả năng thay đổi tần số tự động (cấp phát kênh thích nghi), tính năng này phải được ngăn không sử dụng khi đo.
Nếu thiết bị có thể cấu hình để hoạt động với nhiều băng thông kênh chiếm dụng khác nhau, nhiều tốc độ dữ liệu khác nhau, phép đo yêu cầu sử dụng băng thông kênh chiếm dụng nhỏ nhất, tốc độ dữ liệu thấp nhất. Thiết bị phải đáp ứng yêu cầu về chất lượng trong mục 2.7 và khai báo của nhà sản xuất trong mục 3.2.1. Các yêu cầu này phải được ghi trong Báo cáo đo.
3.2.9.2. Phép đo dẫn
Với hệ thống sử dụng nhiều nhánh thu, chỉ một nhánh được lựa chọn để đo. Tất cả các nhánh khác đều bị ngăn.
Hình 9 trình bày sơ đồ đo được sử dụng với chỉ tiêu đặc tính chặn của máy thu. Các thiết bị liên quan có thể cần sử dụng phòng cách li hoặc không gian đặc biệt để chống lại các ảnh hưởng gây sai lệch kết quả đo.

Hình 9. Cấu hình đo đặc tính chặn máy thu
Đo kiểm tra đặc tính chặn máy thu được thực hiện như sau.
Bước 1:
– UUT được đặt ở tần số hoạt động đầu tiên để đo.
Bước 2:
– Bộ tạo tín hiệu chặn được đặt ở tần số đầu tiên như trong Bảng 9.
Bước 3:
– Khi bộ tạo tín hiệu chặn được tắt, thiết lập kết nối giữa UUT và thiết bị liên quan theo sơ đồ đo trên Hình 8. Điều chỉnh bộ suy hao theo từng bước 1 dB cho đến khi chất lượng yêu cầu vẫn được đảm bảo. Mức tín hiệu mong muốn tại đầu vào UUT là Pmin;
– Tăng mức tối thiểu (Pmin) lên 6 dB để đưa đến đầu vào máy thu của UUT.
Bước 4:
– Mức tín hiệu chặn tại đầu vào UUT được thiết lập bằng mức tương ứng trong Bảng 9. Ghi lại kết quả chất lượng đo và đánh giá UUT có đáp ứng được yêu cầu chất lượng trong mục 2.7 hay không;
– Nếu chất lượng vẫn được đảm bảo, tăng tiếp mức tín hiệu chặn cho đến khi chất lượng đạt mức thấp hơn mức tối thiểu. Mức tín hiệu chặn lớn nhất khi chất lượng không thấp hơn mức yêu cầu tối thiểu sẽ được ghi trong Báo cáo đo;
Bước 5:
– Lặp lại B4 đối với từng tổ hợp tần số và mức trong Bảng 9.
Bước 6:
– Lặp lại từ bước 2 đến bước 5 với UUT trên các tần số hoạt động khác để đánh giá chỉ tiêu đặc tính chặn của máy thu.
3.2.9.3. Phép đo bức xạ
Khi thực hiện đo bức xạ cho thiết bị sử dụng ăng ten dành riêng, các phép đo được thực hiện riêng cho từng ăng ten được sử dụng.
Phép đo sử dụng sơ đồ đo ở Phụ lục A và thủ tục đo trong Phụ lục b kết hợp thủ tục tương tự như phép đo trong mục 3.2.9.2.
Mức tín hiệu gây chặn máy thu tại UUT được coi như mức trước ăng ten của UUT. UUT được sắp xếp và định vị sau cho hướng búp sóng chính của ăng ten trùng hướng bức xạ của tín hiệu chặn. Vị trí và hướng đặt UUT được ghi trong Báo cáo đo.
4. QUY ĐỊNH VỀ QUẢN LÝ
Các thiết bị truy nhập vô tuyến băng tần 5 GHz thuộc phạm vi điều chỉnh nêu tại mục 1.1 phải tuân thủ Quy chuẩn này.
5. TRÁCH NHIỆM CỦA TỔ CHỨC, CÁ NHÂN
Các tổ chức, cá nhân liên quan có trách nhiệm thực hiện chứng nhận và công bố hợp quy các thiết bị truy nhập vô tuyến băng tần 5 GHz theo quy định về chứng nhận và công bố hợp quy đối với sản phẩm hàng hóa chuyên ngành công nghệ thông tin và truyền thông và chịu sự kiểm tra của cơ quan quản lý nhà nước theo các quy định hiện hành.
6. TỔ CHỨC THỰC HIỆN
6.1. Cục Viễn thông, Cục Tần số vô tuyến điện và các Sở Thông tin và Truyền thông có trách nhiệm tổ chức hướng dẫn, triển khai quản lý các thiết bị truy nhập vô tuyến băng tần 5 GHz theo Quy chuẩn này.
6.2. Quy chuẩn này được áp dụng thay thế cho Quy chuẩn kỹ thuật quốc gia QCVN 65:2013/BTTTT, “Quy chuẩn kỹ thuật quốc gia về thiết bị truy nhập vô tuyến băng tần 5 GHz”.
6.3. Trong trường hợp các quy định nêu tại Quy chuẩn này có sự thay đổi, bổ sung hoặc được thay thế, việc thực hiện theo quy định tại văn bản mới.
Phụ lục A
(Quy định)
Hệ thống đo kiểm và bố trí đo bức xạ
A.1. Tổng quan
Phụ lục này giới thiệu 3 hệ thống đo kiểm (test sites) phổ biến nhất và bộ ghép đo được sử dụng trong phép đo bức xạ theo quy định của quy chuẩn này.
• Hệ thống đo kiểm ngoài trời (OATS)
• Phòng bán hấp thụ (SAR)
• Phòng hấp thụ hoàn toàn (FAR)
• Bộ ghép đo cho phép đo tương đối
• Tín hiệu nhiễu được sử dụng các bài kiểm tra khả năng thích ứng
A.2. Vị trí đo bức xạ
A.2.1. Hệ thống đo kiểm ngoài trời (OATS)
Hệ thống đo kiểm ngoài trời gồm có một bàn xoay ở một đầu và một ăng ten có thể thay đổi được chiều cao so với đầu kia, cả hai được đặt phía trên một mặt đáy, trong trường hợp lý tưởng mặt đáy này là dẫn điện tốt và mở rộng vô hạn. Thực tế, có thể tạo được một mặt đáy dẫn điện tốt, nhưng không thể tạo ra được mặt đáy vô hạn. Hình A.1 mô tả một Hệ thống đo kiểm ngoài trời điển hình.

Hình A.1 – Hệ thống đo kiểm ngoài trời điển hình
Mặt phẳng đất tạo ra đường phản xạ. Khi đó ăng ten thu sẽ thu được tín hiệu từ đường truyền trực tiếp và đường phản xạ. Việc kết hợp các đường tín hiệu bị ảnh hưởng bởi độ cao đặt ăng ten do pha đường truyền phản xạ bị thay đổi.
Bàn xoay ăng ten cho phép thay đổi độ cao so với bề mặt đất từ 1 đến 4m sao cho vị trí đo ăng ten đặt tối ưu, đảm bảo thông tin giữa các ăng ten trong hệ thống đo.
Bàn xoay ăng ten phải có khả năng xoay tối đa 360° trong mặt phẳng ngang khi được sử dụng để đo UUT đặt ở vị trí cao hơn bề mặt đất 1,5 m.
Khoảng cách giữa các điểm đặt ăng ten sẽ được trình bày trong mục A.2. Thông tin khoảng cách sẽ được ghi trong Báo cáo kết quả đo.
A.2.2. Phòng bán hấp thụ (phòng câm/phòng không phản xạ)
Phòng có kết cấu đặc biệt với các vật liệu bao bọc phía trong có khả năng hấp thụ sóng vô tuyến, triệt tiêu hiện tượng phản xạ. Bên trong phòng câm, thiết bị đo bao gồm hệ thống ăng ten ở một phía và bàn xoay ở một phía, có thể dùng để gắn thiết bị cần đo như minh họa trong Hình A.2.

Hình A.2 – Phòng không phản xạ điển hình
A.2.3. Phòng hấp thụ hoàn toàn (FAR)
Hộp kín, thường được che chắn, những bức tường, sàn nhà và trần nhà bên trong được che phủ bởi vật liệu hấp thụ sóng vô tuyến. Phòng thường gồm có cột ăng ten ở một đầu và bàn xoay ở đầu kia. Như mô tả trong Hình A.3.

Hình A.3 – Phòng hấp thụ điển hình
Vật liệu che chắn phòng và vật liệu hấp thụ sóng vô tuyến tạo nên môi trường được kiểm soát cho những mục đích đo kiểm. Loại phòng đo này cố gắng mô phỏng điều kiện không gian tự do.
Vật liệu che chắn cung cấp không gian đo kiểm với việc giảm các mức của can nhiễu từ những tín hiệu xung quanh và những tác động bên ngoài khác, trong khi vật liệu hấp thụ sóng vô tuyến giảm thiểu những phản xạ không mong muốn từ các bức tường và trần nhà là những thứ có thể ảnh hưởng đến các phép đo. Vật liệu che chắn phải đủ để ngăn cản nhiễu. Vật liệu che chắn phải đảm bảo loại bỏ nhiễu từ môi trường bên ngoài, che chắn bất kỳ tín hiệu được đo
Bàn xoay có thể quay 360° trong mặt phẳng ngang và nó được sử dụng để đỡ mẫu đo kiểm (EUT) ở độ cao thích hợp (ví dụ 1 m) phía trên mặt vật liệu hấp thụ.
Khoảng cách đo và kích thước buồng cách ly tối thiểu có thể được tìm thấy trong A.2.4. Khoảng cách sử dụng trong đo kiểm thực tế phải được ghi lại cùng với kết quả đo.
A.2.4. Khoảng cách đo
Khoảng cách để thực hiện đo UUT được lựa chọn sao cho UUT ở vị trí khu vực trường xa của ăng ten máy đo. Khoảng cách nhỏ nhất giữa thiết bị cần đo (UUT) và ăng ten đo là rm >> D2/λ , trong đó:
: bước sóng, m;
rm: khoảng cách nhỏ nhất giữa UUT và ăng ten thu, m;
D: Kích thước lớn nhất của khẩu độ (độ mở) vật lý của ăng ten lớn nhất được cài đặt để đo, tính bằng m..
là khoảng cách giữa ranh giới bên ngoài của phát xạ trường gần (vùng Fresnel) và ranh giới bên trong của phát xạ trường xa (vùng Fraunhofer), tính bằng m và cũng được gọi là khoảng cách Rayleigh.
Với các phép đo không thể đảm bảo khoảng cách yêu cầu, cần phải ghi những yếu tố này trong Báo cáo đo.
A.3. Ăng ten
A.1.3. Ăng ten đo
Ăng ten đo được sử dụng để đo sóng từ UUT và từ các ăng ten phụ. Nếu thiết bị cần đo phần thu, ăng ten đo được sử dụng để phát tín hiệu.
Ăng ten đo được gắn vào hệ thống giá đỡ và có thể sử dụng với phân cực ngang hoặc phân cực thẳng đứng. Ngoài ra, với bài đo ngoài trời, độ cao ăng ten phải đủ lớn, khoảng từ 1 đến 4 m.
Tùy thuộc dải tần cần đo, ăng ten cần được lựa chọn để đáp ứng đầy đủ yêu cầu về thu/phát trong dải tần đó.
A.3.2. Ăng ten phụ
Ăng ten phụ được sử dụng để thay cho UUT trong một số phép đo bổ sung.
Ăng ten phụ được lựa chọn để đáp ứng đầy đủ yêu cầu về thu/phát trong dải tần cần đo.
Điểm đặt ăng ten phụ trùng với vị trí tâm của UUT nếu UUT dùng ăng ten tích hợp hoặc vị trí kết nối ăng ten ngoài vào UUT nếu UUT dùng ăng ten rời.
Khoảng cách của điểm thấp nhất của ăng ten phụ đến mặt đất không nhỏ hơn 30 cm. Trước khi sử dụng, ăng ten phụ phải được căn chuẩn so với ăng ten tham chiếu. Ăng ten tham chiếu ở dải tần dưới 1 GHz là ăng ten lưỡng cực nửa bước sóng và ăng ten tham chiếu ở dải tần trên 1 GHz là ăng ten bức xạ đẳng hướng.
A.4. Bộ ghép đo
A.4.1. Giới thiệu
Các phép đo dẫn có thể được áp dụng cho thiết bị cung cấp đầu kết nối ăng ten tạm thời, ví dụ tới máy phân tích phổ.
Trong trường hợp ăng ten tích hợp không có đầu kết nối ăng ten thì bộ ghép đo được sử dụng để thực hiện các phép đo tương đối tại điều kiện nhiệt độ tới hạn.
A.4.2. Mô tả bộ ghép đo
Bộ ghép đo sẽ cung cấp phương tiện đấu nối tới đầu ra của tần số vô tuyến.
Trở kháng danh định của kết nối bên ngoài tới bộ ghép đo phải là 50 Ω tại các tần số hoạt động của thiết bị.
Đặc điểm hoạt động của bộ ghép đo dưới các điều kiện bình thường và tới hạn phải là:
a) Suy hao ghép nối phải được giới hạn để đảm bảo một dải hoạt động đầy đủ về thiết lập;
b) Sự thay đổi suy hao ghép nối với tần số sẽ không gây ra lỗi quá ± 2 dB;
c) Thiết bị ghép nối không bao gồm bất kỳ phần tử không tuyến tính.
A.4.3. Sử dụng bộ ghép đo cho các phép đo tương đối.
Bước 1 đến bước 4 dưới đây mô tả thủ tục thực hiện các phép đo tương đối cho các yêu cầu này trong trường hợp đo kiểm cần phải được lặp lại tại các nhiệt độ khác nhau:
Bước 1:
Thực hiện đo kiểm dưới điều kiện bình thường trong một vị trí đo đối với đo bức xạ như được mô tả trong phụ lục A.2. Kết quả là giá trị tuyệt đối được ghi lại.
Bước 2:
Đặt thiết bị với bộ ghép đo trong phòng nhiệt độ. Thực hiện đo kiểm tương tự tại điều kiện bình thường trong môi trường này và bình thường hóa các thiết bị đo để có được những giá trị tương tự như trong bước 1.
Bước 3:
Cẩn thận các khớp nối của bộ ghép đo vẫn không thay đổi trong suốt quá trình đo kiểm.
Bước 4:
Phép đo được lặp lại cho các điều kiện nhiệt độ tới hạn. Do việc bình thường thực hiện ở bước 2, các giá trị thu được là kết quả đo cho yêu cầu này.
A.5. Hướng dẫn khi đo bức xạ
Mục này mô tả chi tiết những thủ tục, cách bố trí thiết bị đo và việc kiểm tra phải được thực hiện trước bất kỳ ghép đo bức xạ. Những thủ tục này là phổ biến cho các loại Hệ thống đo kiểm được mô tả trong phụ lục này.
Các UUT được đặt ra hay gắn trên một giá đỡ không dẫn điện.
A.5.1. Bộ nguồn cho UUT chỉ dùng pin
Trong trường hợp UUT chỉ dùng pin việc ưu tiên là để thực hiện đo kiểm bằng cách sử dụng pin của UUT.
Việc đo kiểm phải có các dây dẫn nguồn được nối tới những đầu cấp nguồn của UUT (và được kiểm tra bằng vôn kế hiện số) và được cách ly về điện với phần còn lại của thiết bị, có thể bằng cách dán băng keo lên các điểm tiếp xúc của nó.
Sự có mặt những cáp tải điện này có thể ảnh hưởng đến phép đo. Vì lý do này, chúng cần phải được làm “trong suốt” như là tránh xa phép đo liên quan (ví dụ dây dẫn có thể xoắn với nhau, nạp tải với các hạt ferrite …).
A.5.2. Bố trí vị trí
Cáp tới ăng ten đo kiểm và ăng ten thay thế phải được bố trí phù hợp để giảm thiểu tác động tới phép đo.
A.6. Ghép nối các tín hiệu
Sự hiện diện của các dây dẫn đo (không kết hợp với UUT để hoạt động bình thường) trong trường bức xạ có thể gây ra nhiễu cho trường này dẫn đến làm tăng độ không đảm bảo đo. Những nhiễu này có thể được giảm thiểu bằng cách sử dụng các phương pháp ghép nối phù hợp, cung cấp cách ly tín hiệu và tối thiểu trường nhiễu (ví dụ ghép quang học).
A.7. Tín hiệu nhiễu được sử dụng các bài kiểm tra khả năng thích ứng
A.7.1. Nhiễu trắng Gauss (AWGN – Additive White Gaussian Noise)
Nhiễu AWGN được sử dụng là nhiễu liên tục (tần suất 100%) có băng thông 20 MHz.
– Khi đo khả năng phát hiện tín hiệu RLAN ở chế độ vận hành đa kênh theo Tùy chọn 1, AWGN sẽ xuất hiện trên tất cả các kênh được sử dụng. Tuy nhiên, nếu thực hiện đo tuần tự trên các kênh, AWGN sẽ chỉ xuất hiện trên kênh vận hành được đo;
– Khi đo khả năng phát hiện tín hiệu RLAN ở chế độ vận hành đa kênh theo Tùy chọn 2, nhiễu AWGN chỉ xuất hiện ở kênh vận hành phụ.
A.7.2. Tín hiệu đo OFDM
Tín hiệu đo OFDM bao gồm chuỗi các symbol OFDM liên tục được định nghĩa trong mục 17 của tài liệu viện dẫn IEEE 802.11™-2016. Như vậy, tín hiệu đo OFDM không chứa thành phần mào đầu OFDM PHY như trong mục 17.3.3 của tài liệu viện dẫn IEEE 802.11™-2016.
– Khi đo khả năng phát hiện tín hiệu RLAN ở chế độ vận hành đa kênh theo Tùy chọn 1, tín hiệu đo OFDM sẽ xuất hiện trên tất cả các kênh được sử dụng. Tuy nhiên, nếu thực hiện đo tuần tự trên các kênh, tín hiệu đo OFDM sẽ chỉ xuất hiện trên kênh vận hành được đo;
– Khi đo khả năng phát hiện tín hiệu RLAN ở chế độ vận hành đa kênh theo Tùy chọn 2, tín hiệu đo chỉ xuất hiện ở kênh vận hành phụ.
A.7.3. Tín hiệu đo LTE
Tín hiệu đo LTE là tín hiệu liên tục có băng thông 20 MHz được định nghĩa trong mục 6.1.1.1 của tài liệu viện dẫn ETSI TS 136 141.
– Khi đo khả năng phát hiện tín hiệu RLAN ở chế độ vận hành đa kênh theo Tùy chọn 1, tín hiệu đo LTE sẽ xuất hiện trên tất cả các kênh được sử dụng. Tuy nhiên, nếu thực hiện đo tuần tự trên các kênh, tín hiệu đo LTE sẽ chỉ xuất hiện trên kênh vận hành được đo;
– Khi đo khả năng phát hiện tín hiệu RLAN ở chế độ vận hành đa kênh theo Tùy chọn 2, tín hiệu đo chỉ xuất hiện ở kênh vận hành phụ.
B.7.4. Thủ tục đánh giá tín hiệu đo
Tín hiệu đo được kiểm tra theo thủ tục dưới đây.
Nối bộ tạo tín hiệu nhiễu với máy phân tích phổ. Đặt các thông số sau trên phân tích phổ:
– Centre Frequency: Tần số trung tâm danh định của tín hiệu nhiễu;
– Span: 2 x băng thông danh định của tín hiệu nhiễu;
– Resolution BW: xấp xỉ 1% băng thông danh định của tín hiệu nhiễu;
– Video BW: 3 × Resolution BW
– Sweep Points: 2 × Span / Resolution BW. Nếu phân tích phổ không hỗ trợ đến số điểm quét yêu cầu, có thể thực hiện phân đoạn băng thông và đo từng đoạn;
– Detector: Peak
– Trace Mode: Averaging
– Number of sweeps: Thích hợp để kết quả đo ổn định;
– Sweep time: Auto
Băng thông 99% (băng thông chứa đến 99% công suất) của tín hiệu nhiễu phải nằm trong khoảng từ 80% đến 100% băng thông kênh danh định của UUT. Để đảm bảo độ ổn định (phẳng) của nhiễu, băng thông 4 dB (băng thông gồm các điểm chênh lệch không quá 4 dB so với mức đỉnh) của tín hiệu nhiễu (bỏ qua biến động DC tại tần số trung tâm) phải nằm trong ít nhất 80% băng thông 99% của tín hiệu nhiễu.
Khi đo khả năng phát hiện tín hiệu RLAN ở chế độ vận hành đa kênh theo Tùy chọn 1, yêu cầu trên áp dụng đối với tín hiệu nhiễu tương ứng tất cả các kênh được sử dụng. Tuy nhiên, nếu thực hiện đo tuần tự trên các kênh, yêu cầu trên chỉ áp dụng với tín hiệu nhiễu tương ứng kênh vận hành được đo.
Khi đo khả năng phát hiện tín hiệu RLAN ở chế độ vận hành đa kênh theo Tùy chọn 2, yêu cầu trên chỉ áp dụng cho tín hiệu nhiễu tương ứng kênh vận hành phụ.
Mật độ phổ công suất của tín hiệu nhiễu được kiểm tra bằng cách thiết lập thông số phân tích phổ như sau:
– Centre Frequency: Tần số trung tâm danh định của tín hiệu nhiễu;
– Span: Băng thông danh định của tín hiệu nhiễu;
– Resolution BW: 1 MHz
– Video BW: 3 x Resolution BW
– Filter: Channel
– Detector: RMS
– Trace Mode: Clear Write
– Number of sweeps: Single
– Sweep time: 1 s (tốc độ quét có thể giảm sao cho không ảnh hưởng đến giá trị RMS của tín hiệu cần đo).
Giá trị đỉnh đo được ở trên là mật độ phổ công suất của tín hiệu nhiễu.
Khi kết hợp nhiều tín hiệu nhiễu để kiểm tra khả năng hoạt động đa kênh, các phép đo kiểm tra tín hiệu đo nói trên được thực hiện trên từng băng thông kênh danh định trong các kênh được sử dụng.
Phụ lục B
(Quy định)
Các thủ tục đo đối với phép đo bức xạ
B.1. Tổng quan
Phụ lục này đưa các thủ tục chung đối với các phép đo bức xạ bằng cách sử dụng các hệ thống đo kiểm và bố trí đo được mô tả trong Phụ lục A.
Tốt nhất, các phép đo bức xạ phải được thực hiện trong phòng FAR, như mô tả trong B.3. Đo bức xạ trong OATS hoặc SAR được mô tả trong B.2.
B.2. Đo bức xạ trong OATS hoặc SAR
B.2.1. Đo ngoài trời OATS
Đo bức xạ được thực hiện bằng cách sử dụng ăng ten đo và ăng ten thay thế trong không gian được trình bày trong mục A. Cấu hình và hiệu chuẩn thiết bị đo được thực hiện theo thủ tục sau.
UUT và ăng ten được chỉnh hướng sao cho công suất phát xạ thu được từ UUT là lớn nhất. Vị trí đặt và hướng được ghi trong Báo cáo đo.
a) Ăng ten đo (thiết bị 2 trong Hình B.1) phải được định hướng ban đầu là phân cực đứng trừ khi có các chỉ định khác và UUT (thiết bị 1 trong Hình C1) được đặt trên giá đỡ ở vị trí chuẩn của nó và được bật lên;
b) Thiết bị đo (thiết bị 3 trong Hình B.1) phải được kết nối tới ăng ten đo (thiết bị 2 trong hình B.1) như trình bày trong hình B.1;
c) UUT quay 360° quanh trục thẳng đứng cho đến khi thu được mức tín hiệu lớn nhất;
d) Ăng ten đo lại được điều chỉnh nâng lên hoặc hạ xuống trong khoảng độ cao quy định cho tới khi thu được mức tín hiệu lớn nhất. Ghi lại giá trị này;
e) Phép đo này được lặp lại đối với phân cực ngang.

Hình B.1 – Sơ đồ đo bức xạ
B.2.2. Đo trong phòng câm
Đo trong phòng câm được thiết lập và căn chỉnh tương tự như với đo ngoài trời trong B.2.1 nhưng bỏ qua bước căn chỉnh độ cao ăng ten đo.
B.2.3. Đo thay thế
Để xác định giá trị đo kiểm tuyệt đối, phương pháp đo thay thế như được mô tả trong các bước dưới đây phải được thực hiện:
1) Thay thế UUT với ăng ten thay thế được mô tả là thiết bị 1 trong hình B.1. Ăng ten đo và ăng ten thay thế là phân cực đứng;
2) Kết nối máy tạo tín hiệu với ăng ten thay thế và điều chỉnh đến tần số đo kiểm tra;
3) Nếu OATS hoặc SAR được sử dụng, ăng ten đo được nâng lên hoặc hạ xuống để đảm bảo tín hiệu thu được là lớn nhất;
4) Sau đó công suất của máy tạo tín hiệu được điều chỉnh cho tới khi cùng mức thu được như đã ghi từ UUT;
5) Công suất bực xạ bằng công suất cung cấp bởi máy tạo tín hiệu cộng với tăng ích của ăng ten thay thế trừ đi suy hao cáp (theo dB);
6) Phép đo được lặp lại đối với phân cực ngang.
Với các phòng đo hay không gian đo gắn cố định ăng ten đo và cho phép điều chỉnh vị trí UUT, có thể sử dụng các giá trị hiệu chuẩn lắp đặt của phòng đo hay không gian đo để thay thế cho các bước thực hiện nói trên.
B.3. Hướng dẫn đối với đo khả năng thích nghi
B.3.1 Cấu hình đo
Hình B.2 biểu diễn cấu hình được sử dụng trong phép đo cơ chế truy nhập của UUT. Để tránh ảnh hưởng của tín hiệu khác và môi trường đến kết quả phép đo, việc thực hiện đo được thực hiện trong phòng câm.

Hình B.2 – Cấu hình đo truy nhập thích nghi
B.3.2. Hiệu chuẩn cấu hình đo
Trước khi thực hiện đo, cần thực hiện hiệu chuẩn cấu hình đo.
Hình B.B.3 biểu diễn sơ đồ hiệu chuẩn cấu hình đo trong Hình B.B.2 bằng cách sử dụng ăng ten thay thế và phân tích phổ. Việc hiệu chuẩn được thực hiện để đảm bảo mức tín hiệu nhiễu tại đầu vào ăng ten thay thế tương ứng với mức sẽ được sử dụng trong phép đo dẫn khi sử dụng ăng ten tăng ích 0 dBi để đưa đến UUT.
Với phòng đo có ăng ten cố định và cho phép thay đổi được vị trí UUT, có thể sử dụng các giá trị hiệu chuẩn do phòng đo cung cấp.

Hình B.3 – Cấu hình hiệu chuẩn phép đo bức xạ cơ chế truy nhập thích nghi
B.3.3. Phương pháp đo
Thủ tục đo bao gồm các bước sau:
– Thay thế ăng ten thay thế với UUT, thực hiện một lần hiệu chuẩn.
– UUT phải được định vị để có công suất e.i.r.p. lớn nhất hướng về phía ăng ten loa.
CHÚ THÍCH: vị trí thiết lập được ghi trong Báo cáo đo.
B.4. Hướng dẫn đo kiểm đặc tính chặn của máy thu
A.4.1. Cấu hình đo
Hình B.4 minh họa cấu hình đo để việc bố trí được sử dụng để thực hiện đo bức xạ khả năng chặn máy thu. Để đảm bảo kết quả đo chính xác, không bị tác động của môi trường bên ngoài, bài đo được thực hiện trong phòng SAR, FAR.

Hình B.4 – Cấu hình đo đặc tính chặn máy thu bằng phương pháp đo bức xạ
B.4.2. Hiệu chuẩn cấu hình đo
Trước khi thực hiện đo, cần thực hiện hiệu chuẩn cấu hình đo. Hình B.5 biểu diễn sơ đồ hiệu chuẩn cấu hình đo trong Hình B.4 bằng cách sử dụng ăng ten thay thế và phân tích phổ. Việc hiệu chuẩn được thực hiện để đảm bảo mức tín hiệu nhiễu tại đầu vào ăng ten thay thế tương ứng với mức sẽ được sử dụng trong phép đo dẫn khi sử dụng ăng ten tăng ích 0 dBi để đưa đến UUT.
Với phòng đo có ăng ten cố định và cho phép thay đổi được vị trí UUT, có thể sử dụng các giá trị hiệu chuẩn do phòng đo cung cấp.

Hình B.5 – Cấu hình hiệu chuẩn đo đặc tính chặn máy thu
B.4.3. Phương pháp đo
Thủ tục đo bao gồm các bước sau:
● Thay thế ăng ten thay thế với UUT; thực hiện một lần hiệu chuẩn.
● UUT phải được định vị để có công suất e.i.r.p. lớn nhất hướng về phía ăng ten loa.
CHÚ THÍCH: vị trí thiết lập được ghi trong Báo cáo đo.
Phụ lục C
(Quy định)
Mã HS thiết bị truy nhập vô tuyến băng tần 5 GHz
|
TT |
Tên sản phẩm, hàng hóa theo QCVN |
Mã số HS |
Mô tả sản phẩm, hàng hóa |
|
01 |
Thiết bị truy nhập vô tuyến băng tần 5 GHz có công suất bức xạ đẳng hướng tương đương từ 60 mW trở lên |
8517.62.51 |
Thiết bị thu-phát sóng WiFi sử dụng trong mạng nội bộ không dây ở băng tần 5 GHz (Modem WiFi, bộ phát WiFi) có công suất bức xạ đẳng hướng tương đương từ 60 mW trở lên, có hoặc không tích hợp một hoặc nhiều chức năng sau: – Thu phát vô tuyến sử dụng kỹ thuật điều chế trải phổ trong băng tần 2,4 GHz; – Đầu cuối thông tin di động GSM; – Đầu cuối thông tin di động W-CDMA FDD; – Đầu cuối thông tin di động E-UTRA FDD (4G/LTE); – Đầu cuối thông tin di động thế hệ thứ năm (5G); – Thu phát vô tuyến cự ly ngắn khác. |
|
|
|
8525.80.40 |
Flycam (camera truyền hình, camera kỹ thuật số và camera ghi hình ảnh được gắn trên thiết bị bay) sử dụng công nghệ điều khiển từ xa, truyền hình ảnh bằng sóng vô tuyến điều chế trải phổ trong băng tần 5 GHz và có công suất bức xạ đẳng hướng tương đương từ 60 mW trở lên. |
|
|
|
8802.20.90 |
UAV/Drone (phương tiện bay được điều khiển từ xa, có thể tích hợp thiết bị camera truyền hình, camera kỹ thuật số và camera ghi hình ảnh) sử dụng công nghệ điều khiển từ xa, truyền hình ảnh bằng sóng vô tuyến điều chế trải phổ trong băng tần 5 GHz và có công suất bức xạ đẳng hướng tương đương từ 60 mW trở lên. |
Thư mục tài liệu tham khảo
[1] Directive 1999/5/EC of the European Parliament and of the Council of 9 March 1999 on radio equipment and telecommunications terminal equipment and the mutual recognition of their conformity (R&TTE Directive).
[2] FCC PART 15.247: Code of Federal Regulations (USA), Title 47 Telecommunications, Chapter 1 Federal Communications Commission, Part 15 Radio Frequency Devices, Subpart C – Intentional Radiators, §15.247 Operation within the bands 902 – 928 MHz, 2400 – 2483.5 MHz, and 5725 – 5850 MHz.
[3] FCC PART 15.407: Code of Federal Regulations (USA), Title 47 Telecommunications, Chapter 1 Federal Communications Commission, Part 15 Radio Frequency Devices, Subpart E – Unlicensed National Information Infrastructure Devices, §15.407 General technical requirements.
[4] CISPR 16-1: “Specification for radio disturbance and immunity measuring apparatus and methods – Part 1: Radio disturbance and immunity measuring apparatus”.
[5] ECC/DEC(04)08: “ECC Decision of 12 November 2004 on the harmonised use of the 5 GHz frequency bands for the implementation of Wireless Access Systems including Radio Local Area Networks (WAS/RLANs)”.
[6] ETSI EN 301 489: “Electromagnetic compatibility and Radio spectrum Matters (ERM); ElectroMagnetic Compatibility (EMC) standard for radio equipment and services”.
[7] ITU-R M.1652: Dynamic frequency selection (DFS) in wireless access systems including radio local area networks for the purpose of protecting the radiodetermination service in the 5 GHz band.
[8] ETSI EN 301 893 V2.1.1 (2017-05): 5 GHz RLAN; Harmonised Standard covering the essential requirements of article 3.2 of Directive 2014/53/EU.


