Tiêu chuẩn Việt Nam TCVN1045:1988

  • Loại văn bản: Tiêu chuẩn Việt Nam
  • Số hiệu: TCVN1045:1988
  • Cơ quan ban hành: ***
  • Người ký: ***
  • Ngày ban hành: ...
  • Ngày hiệu lực: ...
  • Lĩnh vực: Lĩnh vực khác
  • Tình trạng: Không xác định
  • Ngày công báo: ...

Nội dung toàn văn Tiêu chuẩn Việt Nam TCVN 1045:1988 (ST SEV 3351 : 1981) về thủy tinh – phương pháp xác định độ bền xung nhiệt


TIÊU CHUẨN VIỆT NAM

TCVN 1045 : 1988

THỦY TINH – PHƯƠNG PHÁP XÁC ĐỊNH ĐỘ BỀN XUNG NHIỆT
Glass – Method for determination of durability from thermal shock

Tiêu chuẩn này phù hợp với ST SEV 3351 : 1981 và thay thế TCVN l045 : 1971.

Tiêu chuẩn này quy định phương pháp xác định độ bền xung nhiệt của thủy tinh silicat ở dạng vật liệu.

1. Khái niệm

Độ bền xung nhiệt là chỉ tiêu đặc trưng cho khả năng của thủy tinh chịu được sự thay đổi đột ngột của nhiệt độ mà không bị nứt vỡ.

2. Nội dung phương pháp

Nung mẫu dạng đũa thủy tinh tới một nhiệt độ nhất định rồi thả đột ngột vào nước lạnh. Lặp lại ở nhiệt độ khác cho đến khi trên mẫu thử xuất hiện vết nứt đầu tiên và xác định hiệu số giữa nhiệt độ nung mẫu và nhiệt độ của nước.

3. Thiết bị, dụng cụ

– Lò hình trụ thẳng đứng có bộ phận điều nhiệt cho phép ổn định được nhiệt độ cần thiết ít nhất 15 phút với sai số không lớn hơn 0,50C.

– Cốc thành cao, dung tích l000ml. Nếu sử dụng lò nung có thể lật ngược được thì phải dùng cốc có lót lưới thép bên trong để khi thả mẫu xuống nước, mẫu không bị va chạm mạnh vào thành cốc ;

– Nhiệt kế đo nhiệt độ lò nung, đảm bảo đo chính xác đến 0,50C.

– Nhiệt kế đo nhiệt độ nước lạnh, đảm bảo đo chính xác đến 0,50C.

4. Mẫu thử

Cắt 22 mẫu thử ở dạng đũa thủy tinh, đầu cắt được đốt tròn, sau đó mẫu được ủ cẩn thận để loại ứng suất nội. Mẫu không được có các vết nứt hoặc xước và có đường kính (6 ± 0,2)mm, dài 30 ± 0,2mm.

5. Tiến hành thử

5.1. Xác định sơ bộ.

Rót nước ở nhiệt độ phòng vào cốc và đo nhiệt độ chính xác đến 0,50C.

Nung 2 mẫu trong lò đến nhiệt độ cao hơn nhiệt độ nước lạnh 500C. Lưu mẫu ở nhiệt độ này 15 phút rồi thả xuống cốc nước. Khoảng cách từ đáy lò đến mặt thoáng của nước là l00mm. Đầu đo của nhiệt kế lò nung phải ngang với vị trí đặt mẫu.

Giữ mẫu trong nước ít nhất 30 giây, sau đó lấy ra lau khô quan sát tìm vết nứt. Lặp lai thí nghiệm lần thứ hai với nhiệt độ lò nung cao hơn lần trước 500C.

Làm như vậy cho đến khi trên mẫu thử xuất hiện vết nứt đầu tiên. Mức độ nâng nhiệt ở các lần thí nghiệm lặp lại là 500C.

Độ bền xung nhiệt sơ bộ tính bằng hiệu số ∆t0 giữa nhiệt độ lớn nhất t0 mà mẫu không bị nứt vỡ khi thả xuống nước và nhiệt độ của nước làm lạnh tn0.

5.2. Xác định chính

Xếp 10 mẫu thử vào lò. Nung mẫu lên tới nhiệt độ t1 thấp hơn độ bền xung nhiệt sơ bộ (∆to) 500C. Trình tự tiến hành giống như khi xác định sơ bộ, loại riêng những mẫu có vết nứt và lặp lại thí nghiệm với số mẫu còn nguyên vẹn cho đến khi trên tất cả các mẫu đều xuất hiện vết nứt. Mức độ nâng nhiệt trong mỗi lần thí nghiệm lặp lại phải theo đếng bảng 1. Thời gian lưu mẫu ở mỗi nhiệt độ nung là 10 phút.

Làm thí nghiệm tương tự với loạt 10 mẫu còn lại.

Bảng 1

Độ bền xung nhiệt sơ bộ, 0C

Mức độ nâng nhiệt, 0C

đến 200

trên 200 đến 400

trên 400 đến 600

trên 600 đến 800

trên 800

10

20

30

40

50

 

Chú thích : Nếu làm thí nghiệm ả nhiệt độ cao, môi trường làm lạnh có thể sử dụng kim loại hoặc muối kim loại nóng chảy (thiếc …)

6. Tính kết quả

Kết quả thí nghiệm ghi theo mẫu bảng 2. 3.

Bảng 2

Số thứ tự

Nhiệt độ lò ti, 0C

Nhiệt độ nước tni, 0C

Hiệu nhiệt độ ∆ti= ti  –Tni, 0C

Số mẫu bị nứt vỡ ở nhiệt độ ti, ni

ni ∆ti

 

 

 

 

 

 

 

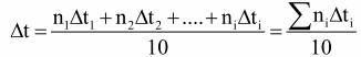
Độ bền xung nhiệt ‘t của loạt l0 mẫu tính theo công thức :

Trong dó :

ti           – Nhiệt độ lò, 0C;

tni         – Nhiệt độ nước, 0C;

ni          – Số mẫu bị nút vỡ ở nhiệt độ t,

∆ti         – Độ bền xung nhiệt của mẫu, 0C

10         – Số mẫu đem thử ở mỗi loạt thí nghiệm.

Độ bền xung nhiệt trung bình là giá trị trung bình cống của độ bền xung nhiệt của hai loại thử.

Chú thích : Nếu giá trị ∆t của loạt thử 10 mẫu đầu và loạt thử 10 mẫu thứ hai chênh lệch nhau quá ± 5% so với giá trị trung bình cộng thì phải xác định lại với 20 mẫu mới.

Leave a Reply

Your email address will not be published. Required fields are marked *