Tiêu chuẩn Việt Nam TCVN1046:1988

  • Loại văn bản: Tiêu chuẩn Việt Nam
  • Số hiệu: TCVN1046:1988
  • Cơ quan ban hành: ***
  • Người ký: ***
  • Ngày ban hành: ...
  • Ngày hiệu lực: ...
  • Lĩnh vực: Lĩnh vực khác
  • Tình trạng: Không xác định
  • Ngày công báo: ...
  • Số công báo: Hết hiệu lực

Tiêu chuẩn Việt Nam TCVN 1046:1988 (ST SEV 1569 : 1979) về thủy tinh – phương pháp xác định độ bền nước ở 98oC và phân cấp đã được thay thế bởi Tiêu chuẩn quốc gia TCVN 1046:2004 (ISO 719: 1985) về Thuỷ tinh – Độ bền nước của hạt thuỷ tinh ở 98 độ C – Phương pháp thử và phân cấp .

Nội dung toàn văn Tiêu chuẩn Việt Nam TCVN 1046:1988 (ST SEV 1569 : 1979) về thủy tinh – phương pháp xác định độ bền nước ở 98oC và phân cấp


TIÊU CHUẨN VIỆT NAM

TCVN 1046 : 1988

THỦY TINH – PHƯƠNG PHÁP XÁC ĐỊNH ĐỘ BỀN NƯỚC Ở 980C VÀ PHÂN CẤP
Glass – Method for determination of hydrolytic durability at 980C and classifcation

Tiêu chuẩn này phù hợp ST SEV 1569: 1979 và thay thế TCVN 1046: 1971.

Tiêu chuẩn này không áp dụng cho thủy tinh không kiềm và các sản phẩm đã gia công bề mặt làm thay đổi độ bền nước.

1. Khái niệm

Độ bền nước là chi tiêu đặc trưng cho khả năng chịu được tác dụng ăn mòn của nước, thể hiện bằng lượng các chát kiềm tan ra từ bề mặt thủy tinh trong nước.

2. Nội dung phương pháp.

Xác định và phân cấp theo lượng kiềm tan ra trong nước cất ở 980C từ những hạt thủy tinh có kích thước 0,315 – 0,5 mm bằng cách chuẩn độ.

3. Quy định chung

Sản phẩm thủy tinh trước khi thử không được ủ lại hoặc gia công nhiệt. Không sử dụng phần mẫu đã gia công bề mặt.

Phương pháp áp dụng cho các loại thủy tinh có tỉ trọng 2,4 ± 0,2, và bề dày thành sản phẩm không dưới 1,5mm. Để tránh sự thay đổi lớn về diện tích bề mặt tác dụng, nếu tỉ trọng thực của thủy tinh nằm ngoài giới hạn trên thì lượng mẫu thử phải lấy là (0,83.d) g, (d – tỉ trọng thực).

4. Thiết bị dụng cụ

Bếp cách thủy, nhiệt độ 1000C, có thể điều chỉnh được chế độ nhiệt, dung tích phải đủ chứa 1000ml nước cho một bình thí nghiệm ,

– Nhiệt kế, có miền đo 900C –1100C, đảm bảo đo chính xác đến 0,20C;

– Chày và cối đáy phẳng bằng thép tôi, đường kính trong của cối khoảng (0,1 ± 2)mm;

– Búa, nặng chừng 0,5kg;

Bộ sàng thí nghiệm, mặt sàng bằng lưới thép không rỉ, lỗ vuông kích thước 1,000; 0,500 và 0,315mm. Nắp đậy khung sàng, khay hứng bằng thép không rỉ, gỗ hoặc nhựa;

– Cân phân tích, đảm bảo cân chính xác đến 0,0001g;

– Nam châm;

– Tủ sấy;

Bình định mức cổ nẹp, nút mài, dung tích 50ml làm bằng thủy tinh có độ bền nước cấp 1/98 theo tiêu chuẩn này. Trước khi dùng lần đầu cần sử lý bằng đun với nước cất 3 lần mỗi lần 3 giờ với nước cất mới;

Chú thích: Có thể dùng bình thủy tinh thạch anh, khi đó thử mới không cần xử lí.

Bình tam giác dung tích 100ml và 250ml, làm bằng thủy tinh, có độ bền nước cấp 1/98 theo tiêu chuẩn này.

– Bình hút ẩm;

– Pipét, dung tích 25ml;

– Burét, dung tích 10ml, khắc độ 0,05ml;

– Burét, dung tích 2ml hay lml, độ chia 0,01ml;

– Bình làm lạnh, dung tích đủ chứa 1000ml nước cho mỗi bình thí nghiệm.

5. Hóa chất

Sử dụng loại hóa chất (TKPT) (nếu không có chỉ dẫn khác).

– Nước cất, phải là nước mới cất và đuổi hết khí bằng cách đun sôi trong bình thủy tinh thạch anh hoặc thủy tinh có độ bền nước cấp 1/98 theo tiêu chuẩn này. Nước cất không được chứa các ion kim loại nặng, nhất là đồng (thử bằng dithizon, cho phép nhiều nhất là 0,002mg Cu trong 10ml nước cất).

– Nước cất phải trung tính với metyla đỏ.

– Axit clohydric, tinh khiết hóa học, dung dịch 0,0lN.

– Metyla đỏ: Hòa tan 25mg muối natri của metyla đỏ (C15H14N3NaO2) trong 100ml nước cất;

– Dung dịch đệm pH = 5,2. Có thể dùng 1 trong hai loại:

1) Thêm 92,8ml dung dịch axit xitric nồng độ 1N vào 107,2ml dung dịch dinatri hydrophophat khan nồng độ 0,2N;

2) Hòa tan 1,02g hyrdrophtalat kali (C8H5KO4) trong 30ml dung dịch NaOH nồng độ 0,1N rồi bổ xung nước cất đến 100ml.

6. Chuẩn bị mẫu thử.

Bọc cục thủy tinh lớn trong giấy sạch rồi dùng búa đập vỡ tới cỡ mảnh 10- 3 30mm. Độ 30- 50g mảnh vào cốc thép, lồng chầy vào và dùng búa đập vào cán chầy chỉ một nhát (nếu đập nhiều nhát, những hạt quá mịn, có thể dính kết lại nhau).

Để hạt thủy tinh ra bộ sàng và lắc chừng 30 giây để tách hạt mịn. Lặp lại thao tác cho đến khi chi còn khoảng 10g thủy tinh trên sàng 1,000mm. Lấy phần hạt dưới sàng 0,500 và trên sàng 0,315 mm tiếp tục lắc trong 5 phút. Giữ lại số hạt còn lại giữa sàng 0,500 và 0,315 mm để làm thí nghiệm. Tãi 8 – 10g mẫu hạt đã sàng trên giấy bóng sạch rồi dùng nam châm hút những hạt sắt vụn lẫn vào. Cho mẫu vào bình khô nút mài.

7. Tiến hành thử

7.1. Lấy mẫu hạt thủy tinh cho vào bình tam giác dung tích 250ml và tách các hạt bụi bám vào bằng cách khuấy rửa 6 lần rồi tách ly, mỗi lần dùng 30ml axêtôn hoặc etanola. Cuối cùng, để làm bay hơi lượng axêton hoặc etanôla dư, đặt bình lên một tấm kim loại đã được đốt nóng tới khoảng 700C, sau đó đem sấy bình có mẫu hạt thủy tinh trong tủ sấy 20 phút ở 1400C.

7.2. Cân 3 mẫu hạt thủy tinh, mỗi mẫu khoảng 2g, chính xác đến 0,0005g, cho vào 3 bình định mức dung tích 50ml. Rót nước cất vào 3 bình đến vạch rồi lắc nhẹ cho các hạt thủy tinh tãi đều khắp đáy bình. Đổ nước cất tới vạch của hai bình định mức khác (không có mẫu) để làm mẫu kiểm tra. Xếp các bình không nút vào bếp cách thủy đã đun đến 980C sao cho nước ngập trên vạch định mức. Sau khi nhúng, nhiệt độ phải đạt 980C trở lại sau 3 phút và sau đó 5 phút thì đậy nút bình lại. Tiếp tục đun ở (980C ± 0,50C trong 60 phút kể từ khi nhúng bình. Nhấc bình ra, mở nút và nhúng vào bình làm lạnh chứa nước ở (20 ± 20C. Sau khi bình nguội, lắc đều rồi để yên cho hạt lắng xuống.

7.3. Dùng pipét lấy 25ml dung dịch từ mỗi bình chuyển vào các bình tam giác dung tích 100ml, thêm vào mỗi bình 2 giọt (0,1ml) metyla và chuẩn độ bằng dung dịch axit clohidric 0,01N đến khi mầu của dung dịch thử đồng nhất với mầu của 25ml dung dịch đệm pH = 5,2 đã có 2 giọt (0,1ml) metyla đỏ. Cả 3 mẫu thử và mẫu nước trắng đều chuẩn theo cùng một phương pháp.

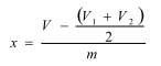
8. Tính kết quả

Độ bền nước (x) của thủy tinh ở 980C tính bằng lượng dung dịch axit clohidric 0,01N tiêu tốn cho lg mẫu, xác định theo công thức:

Trong đó:

V – Lượng dung dịch axit clohidric 0,01N tiêu tốn để chuẩn độ 25ml mẫu thử, ml;

V1V2 – Lượng dung dịch axit clohidric 0,01N tiêu tốn để chuẩn độ 25ml mẫu nước trắng, ml;

m – Lượng mẫu đem thử, g.

Cũng có thể tính theo đương lượng kiềm tan ra (qua sợi microgam natri ôxit) từ lg hạt thủy tinh:

1ml dung dịch axit clohidric 0,01N tương đương 310 MgNa2. Kết quả cuối cùng là giá trị trung bình cộng của 3 thí nghiệm song song. Hiệu số giữa từng kết quả riêng biệt và giá trị trung bình cộng không được vượt quá ± 15% đối với thủy tinh bền nước cấp 1/98; ± 10% đối với cấp 2/98 và ± 5% đối với các cấp 3/98, 4/98 và 5/98 theo tiêu chuẩn này. Nếu vượt quá phải xác định lại với số mẫu giống như cũ.

9. Bảng phân cấp thủy tinh theo độ bền nước ở 980C

Cấp bền nước

Lượng axit clohidric 0,01N dùng để chuẩn độ, ml, g-1

Lượng kiềm đã tan vào dung dịch tính theo natri oxit, Pg, g-1

1/98

2/98

3/98

4/98

5/98

đến 0,01

trên 0,10 đến 0,20

trên 0,20 đến 0,85

trên 0,85 đến 2,00

trên 2,00 đến 3,50

đến 31

trên 31 đến 62

trên 62 đến 264

trên 264 đến 620

trên 620 đến 1085

 

Leave a Reply

Your email address will not be published. Required fields are marked *