Nội dung toàn văn Tiêu chuẩn quốc gia TCVN 10857-1:2015 (ISO 13448-1:2005) về Quy trình lấy mẫu chấp nhận dựa trên nguyên tắc phân bổ ưu tiên (APP) – Phần 1: Hướng dẫn về cách tiếp cận APP
TIÊU CHUẨN QUỐC GIA
TCVN 10857-1:2015
ISO 13448-1:2005
QUY TRÌNH LẤY MẪU CHẤP NHẬN DỰA TRÊN NGUYÊN TẮC PHÂN BỔ ƯU TIÊN (APP) – PHẦN 1: HƯỚNG DẪN VỀ CÁCH TIẾP CẬN APP
Acceptance sampling procedures based on the allocation of priorities principle (APP) – Part 1: Guidelines for the APP approach
Lời nói đầu
TCVN 10857-1:2015 hoàn toàn tương đương với ISO 13448-1:2005;
TCVN 10857-1:2015 do Ban kỹ thuật tiêu chuẩn quốc gia TCVN/TC 69 Ứng dụng các phương pháp thống kê biên soạn, Tổng cục Tiêu chuẩn Đo lường Chất lượng đề nghị, Bộ Khoa học và Công nghệ công bố.
Bộ TCVN 10857 (ISO 13448), Quy trình lấy mẫu chấp nhận dựa trên nguyên tắc phân bổ ưu tiên (APP), gồm các tiêu chuẩn sau:
– TCVN 10857-1:2015 (ISO 13448-1:2005), Phần 1: Hướng dẫn về cách tiếp cận APP;
– TCVN 10857-2:2015 (ISO 13448-2:2004), Phần 2: Phương án lấy mẫu một lần phối hợp dùng cho lấy mẫu chấp nhận định tính.
Lời giới thiệu
Bộ TCVN 10857 (ISO 13448) đưa ra phương pháp luận lấy mẫu chấp nhận mới nhằm hỗ trợ quản lý chất lượng. Phương pháp luận này có thể hữu ích cho người sử dụng TCVN ISO 9001 hoặc TCVN ISO 9004 (ISO 9004). Tiêu chuẩn này đưa ra hướng dẫn và giải thích phương pháp luận dựa trên “nguyên tắc phân bổ ưu tiên” (APP). TCVN 10857-2 (ISO 13448-2) đưa ra các phương án lấy mẫu định tính. Việc xây dựng ISO 13448-3, đưa ra các phương án lấy mẫu định lượng, đang được xem xét.
Các quy trình trong bộ TCVN 10857 (ISO 13448) có ưu điểm đáng kể trong những tình huống nhất định. Đặc điểm mới là khả năng sử dụng thực tế mọi loại thông tin khách quan và chủ quan trước đó khi xác định phương án lấy mẫu thích hợp. Ví dụ về thông tin như vậy là kết quả kiểm tra các lô trước đó, chứng nhận hệ thống quản lý chất lượng phù hợp với TCVN ISO 9001 (ISO 9001), dữ liệu kiểm soát chất lượng và ước lượng chủ quan của khách hàng về năng lực của nhà cung ứng trong việc đưa ra mức chất lượng mong muốn, tất cả có thể được tổng hợp thành mức tin tưởng. Điều này cho phép giảm dần cỡ mẫu khi sự tin tưởng của khách hàng vào nhà sản xuất tăng lên.
Một ưu điểm khác của quy trình phát sinh khi cùng một lô được kiểm tra liên tiếp bởi các bên khác nhau (nghĩa là khách hàng, nhà sản xuất và/hoặc bên thứ ba). Trước đây, thực tế thường được chấp nhận là các bên cần sử dụng phương án hoặc chương trình kiểm tra giống nhau. Điều này đôi khi có thể không khả thi, do các bên đang có nguồn lực và năng lực kiểm tra khác nhau. Ngoài ra, do độ biến động lấy mẫu, lên đến 25 % các trường hợp sử dụng phương án và chương trình lấy mẫu tương tự, mà hai bên có thể đưa ra các kết quả trái ngược nhau. Điều này có thể dẫn đến sự tiêu tốn nỗ lực đáng kể để giải quyết tranh chấp lẽ ra có thể tránh được ngay từ đầu. APP cho phép mỗi bên tổ chức kiểm tra theo nguồn lực và năng lực kiểm tra riêng của mình, nhờ đó làm giảm đáng kể xác suất xảy ra các kết quả trái ngược. Các bên không cần phối hợp với các phương án lấy mẫu của bên khác mà chỉ với các yêu cầu cụ thể của phương án lấy mẫu như rủi ro của khách hàng hay rủi ro của nhà cung ứng.
QUY TRÌNH LẤY MẪU CHẤP NHẬN DỰA TRÊN NGUYÊN TẮC PHÂN BỔ ƯU TIÊN (APP) – PHẦN 1: HƯỚNG DẪN VỀ CÁCH TIẾP CẬN APP
Acceptance sampling procedures based on the allocation of priorities principle (APP) – Part 1: Guidelines for the APP approach
1 Phạm vi áp dụng
Tiêu chuẩn này đưa ra hướng dẫn xác định nguyên tắc tổ chức đối với lấy mẫu chấp nhận trong các tình huống khi hợp đồng hay luật pháp yêu cầu tiến hành kiểm tra liên tiếp bởi các bên khác nhau: nhà cung ứng, khách hàng và/hoặc bên thứ ba.
Các hướng dẫn này được thiết kế cho việc kiểm tra tổng thể sản phẩm bất kỳ được cung ứng hoặc phân phối theo các cá thể đơn chiếc trong lô. Chúng có thể áp dụng cho
– kiểm tra của nhà cung ứng (kiểm tra cuối cùng, chứng nhận sản phẩm theo yêu cầu của nhà cung ứng),
– kiểm tra của khách hàng (kiểm tra đầu vào, kiểm tra sổ sách, lấy mẫu chấp nhận),
– kiểm tra của bên thứ ba (chứng nhận sản phẩm, kiểm tra và giám sát việc tuân thủ các yêu cầu của tiêu chuẩn, kiểm tra chất lượng được thực hiện theo yêu cầu của nhà cung ứng và/hoặc khách hàng),
trong đó, các mức chất lượng và chuẩn mực khả năng chấp nhận lô được nhà cung ứng đơn phương quy định hoặc được nhà cung ứng và khách hàng quy định theo hợp đồng.
Các hướng dẫn này cũng có thể áp dụng cho các trường hợp khi chỉ có việc kiểm tra lấy mẫu là thực sự cần thiết.
CHÚ THÍCH: Phương án APP lấy mẫu một lần định tính được cho trong TCVN 10857-2 (ISO 13448-2).
Hướng dẫn được cung cấp trong tiêu chuẩn này có thể được áp dụng trong việc xây dựng các tiêu chuẩn về lấy mẫu chấp nhận đối với các mô hình kiểm tra chuẩn, các cá thể hoặc mức chất lượng cụ thể, cũng như trong việc lập hợp đồng, quy định và hướng dẫn. Khi sử dụng APP trong hợp đồng, các bên liên quan cần thừa nhận trong hợp đồng rằng họ chấp thuận nguyên tắc APP (cũng bằng việc viện dẫn đến các hướng dẫn hiện tại). Các bên cũng có thể đưa ra việc sử dụng APP trong tranh chấp và trọng tài.
2 Tài liệu viện dẫn
Các tài liệu viện dẫn dưới đây rất cần thiết cho việc áp dụng tiêu chuẩn này. Đối với các tài liệu ghi năm công bố thì áp dụng bản được nêu. Đối với các tài liệu không ghi năm công bố thì áp dụng bản mới nhất, bao gồm cả các sửa đổi.
TCVN 7790-1 (ISO 2859-1), Quy trình lấy mẫu để kiểm tra định tính – Phần 1: Chương trình lấy mẫu được xác định theo giới hạn chất lượng chấp nhận (AQL) để kiểm tra từng lô
TCVN 7790-2 (ISO 2859-2), Quy trình lấy mẫu để kiểm tra định tính – Phần 2: Phương án lấy mẫu được xác định theo giới hạn chất lượng (LQ) để kiểm tra lô riêng lẻ
TCVN 7790-3 (ISO 2859-3), Quy trình lấy mẫu để kiểm tra định tính – Phần 3: Qui trình lấy mẫu lô cách quãng
TCVN 8244-2 (ISO 3534-2), Thống kê học – Từ vựng và ký hiệu – Phần 2: Thống kê ứng dụng
TCVN 8243 (ISO 3951), Quy trình lấy mẫu để kiểm tra định lượng phần trăm không phù hợp
TCVN 9601 (ISO 8422), Phương án lấy mẫu liên tiếp để kiểm tra định tính
TCVN 10853 (ISO 8423), Phương án lấy mẫu liên tiếp để kiểm tra định lượng phần trăm không phù hợp (độ lệch chuẩn đã biết)
TCVN ISO 9000:2007 (ISO 9000:2000), Hệ thống quản lý chất lượng – Cơ sở và từ vựng
TCVN 10857-2 (ISO 13448-2:2004), Quy trình lấy mẫu chấp nhận dựa trên nguyên tắc phân bổ ưu tiên (APP) – Phần 2: Phương án lấy mẫu một lần phối hợp dùng cho lấy mẫu chấp nhận định tính
3 Thuật ngữ, định nghĩa, ký hiệu và từ viết tắt
Tiêu chuẩn này sử dụng các thuật ngữ và định nghĩa nêu trong TCVN 8244-2 (ISO 3534-2), TCVN ISO 9000 (ISO 9000), TCVN 10857-2 (ISO 13448-2) và các thuật ngữ, định nghĩa dưới đây.
3.1 Thuật ngữ và định nghĩa
3.1.1
Giới hạn chất lượng quy định (normative quality limit)
NQL
Giá trị giới hạn của mức chất lượng lô được quy định cho mục đích chấp nhận như là mức chất lượng lô được bảo đảm.
CHÚ THÍCH: Mức chất lượng giới hạn (LQ) cũng có thể được coi là mức chất lượng lô được đảm bảo mặc dù trong trường hợp đó sự đảm bảo chỉ có được bởi phương án lấy mẫu có xác suất chấp nhận thấp khi lô vừa đạt mức chất lượng giới hạn LQ. Nó thường đòi hỏi cỡ mẫu lớn. NQL quy định cần được xem như mức chất lượng lô được đảm bảo một phần bằng phương án lấy mẫu và một phần thông qua bằng chứng bổ sung hỗ trợ năng lực của nhà cung ứng trong việc thỏa mãn các yêu cầu quy định. Phương án lấy mẫu đối với LQ được sử dụng trong trường hợp có không tin cậy trước đó về chất lượng lô. Phương án lấy mẫu đối với NQL phụ thuộc vào mức tin tưởng về chất lượng lô và khuyến khích nhà cung ứng đưa ra bằng chứng khác với dữ liệu kiểm tra để hỗ trợ chất lượng công bố. Trong nhiều trường hợp nó cho phép giảm đáng kể chi phí kiểm tra cho cả nhà cung ứng và khách hàng.
3.1.2
Lô thỏa mãn (satisfactory lot)
Lô có mức chất lượng thực tế không kém hơn NQL quy định.
3.1.3
Lô không thỏa mãn (unsatisfactory lot)
Lô có mức chất lượng thực tế kém hơn NQL quy định.
3.1.4
Rủi ro của khách hàng trong kiểm tra của nhà cung ứng (customer’s risk on supplier inspection)
b0
Đối với phương án lấy mẫu chấp nhận được nhà cung ứng chọn, xác suất lớn nhất của quyết định phân loại lô là thỏa mãn trong khi mức chất lượng lô thực tế kém hơn NQL quy định.
3.1.5
Rủi ro của nhà cung ứng trong kiểm tra của khách hàng (supplier’s risk on customer inspection)
a0
Đối với phương án lấy mẫu chấp nhận được khách hàng chọn, xác suất lớn nhất của quyết định phân loại lô là không thỏa mãn trong khi mức chất lượng lô thực tế không kém hơn NQL quy định.
3.1.6
Rủi ro hệ thống của khách hàng trong kiểm tra của nhà cung ứng (schematic customer’s risk at supplier inspection)
ba
Xác suất lớn nhất của việc chấp nhận lô khi mức chất lượng lô trong chuỗi các lô là không thỏa mãn và chương trình lấy mẫu do nhà cung ứng quy định được sử dụng.
CHÚ THÍCH: Rủi ro hệ thống tính đến xác suất chuyển sang phương án kiểm tra có mức chặt chẽ khác.
3.1.7
Rủi ro hệ thống của nhà cung ứng trong kiểm tra của khách hàng (schematic supplier’s risk at customer inspection)
aa
Xác suất lớn nhất của việc không chấp nhận lô khi mức chất lượng lô trong chuỗi các lô là thỏa mãn và chương trình lấy mẫu do khách hàng quy định được sử dụng.
CHÚ THÍCH: Rủi ro hệ thống tính đến xác suất chuyển sang phương án kiểm tra có mức chặt chẽ khác.
3.1.8
Tình huống trọng tài (arbitration situation)
Tình huống phát sinh do độ biến động lấy mẫu khi khách hàng bác bỏ lô được nhà cung ứng chấp nhận trong kiểm tra của nhà cung ứng bằng cách sử dụng cùng một mức chất lượng.
3.1.9
Đường đặc trưng trọng tài (arbitration characteristic curve)
Đường biểu thị xác suất lô có mức chất lượng cụ thể sẽ được phân loại là thỏa mãn theo phương án lấy mẫu được nhà cung ứng sử dụng và không thỏa mãn theo phương án lấy mẫu được khách hàng sử dụng.
3.1.10
Bên kiểm tra (inspecting party)
Bất kỳ bên nào tổ chức và tiến hành kiểm tra lấy mẫu lô cho mục đích chấp nhận.
CHÚ THÍCH: Đó có thể là nhà cung ứng, khách hàng hoặc bên thứ ba.
3.1.11
Mức tin tưởng (trust level)
Ước lượng của khách hàng về trọng số của bằng chứng trước đó, bằng chứng bổ sung và bằng chứng gián tiếp về năng lực của nhà cung ứng trong việc đáp ứng yêu cầu chất lượng quy định.
3.1.12
Nhà cung ứng (supplier)
Tổ chức hoặc cá nhân cung cấp sản phẩm.
CHÚ THÍCH: Lấy từ TCVN ISO 9000:2007 (ISO 9000:2000), định nghĩa 3.3.6.
3.1.13
Khách hàng (customer)
Tổ chức hoặc cá nhân tiếp nhận một sản phẩm.
CHÚ THÍCH: Lấy từ TCVN ISO 9000:2007 (ISO 9000:2000). định nghĩa 3.3.5.
3.2 Ký hiệu và thuật ngữ viết tắt
Ac số chấp nhận
APP nguyên tắc phân bổ ưu tiên
AQL giới hạn chất lượng chấp nhận
LQ mức chất lượng giới hạn
NQL giới hạn chất lượng quy định
TQM quản lý chất lượng toàn diện
n cỡ mẫu
N cỡ lô
T1 đến T7 mức tin tưởng
a0 rủi ro của nhà cung ứng trong kiểm tra của khách hàng
aa rủi ro hệ thống của nhà cung ứng trong kiểm tra của khách hàng
b0 rủi ro của khách hàng trong kiểm tra của nhà cung ứng
ba rủi ro hệ thống của khách hàng trong kiểm tra của khách hàng
4 Tổng quan chung về chất lượng
4.1 Thước đo chất lượng
Thước đo chất lượng phổ biến nhất là phần trăm cá thể không phù hợp và số không phù hợp trên 100 cá thể sản phẩm. Tuy nhiên, trong những trường hợp thông thường có thể có các đặc trưng khác, đặc biệt trong việc kiểm tra các loại sản phẩm dễ vỡ, chất lỏng bị co giãn tuyến tính hoặc trong không gian. Thước đo chất lượng cụ thể được quy định trong các tiêu chuẩn, quy định kỹ thuật hoặc hợp đồng.
CHÚ THÍCH: Việc kiểm tra được tổ chức trên cơ sở các hướng dẫn này không được coi là công cụ gây áp lực kinh tế và tâm lý đối với nhà cung ứng để nâng cao chất lượng lô, mà là công cụ hỗ trợ thông tin và xác định mối quan hệ giữa các bên đề cập ở trên trong các vấn đề về chất lượng lô. Mỗi bên có cơ hội bảo vệ lợi ích và quyền của mình trong khi vẫn tôn trọng lợi ích và quyền của các bên khác. Do đó, hệ thống TCVN 10857 (ISO 13448) coi các phương án kiểm tra của nhà cung ứng, khách hàng và bên thứ ba như một hệ thống hợp nhất hoặc phối hợp.
4.2 Vai trò của thông tin về đảm bảo chất lượng
Hiệu quả nhờ việc sử dụng những nguyên tắc được nêu trong các hướng dẫn này làm tăng mức độ quan tâm của nhà cung ứng và khách hàng đến các khía cạnh đảm bảo chất lượng của thông tin. Hiệu quả phụ thuộc vào lượng và tính nhất quán của thông tin trước đó (lượng thông tin tích cực càng nhiều và tính nhất quán của nó càng lớn thì lượng lấy mẫu cần thiết càng ít). Thông tin trước đó được xem xét trong việc xác định dữ liệu ban đầu để chọn phương án lấy mẫu (trước nhất trong việc xác định rủi ro của khách hàng trong kiểm tra của nhà cung ứng) và trong việc xây dựng chương trình lấy mẫu. Các hướng dẫn này coi lấy mẫu chấp nhận là một trong các thành phần trong quá trình thông tin giữa các bên. Nói cách khác, quy trình lấy mẫu được xem xét cùng với tất cả các dữ liệu về chất lượng.
Phụ lục A đưa ra các khía cạnh chính của nguyên tắc phân bổ ưu tiên (APP).
Phụ lục B đưa ra những khuyến nghị cho việc lựa chọn rủi ro của khách hàng đối với kiểm tra của nhà cung ứng.
5 Lựa chọn hệ thống lấy mẫu
5.1 Mối quan hệ giữa các hệ thống lấy mẫu
Hệ thống lấy mẫu chấp nhận trong các hướng dẫn hiện tại bổ sung cho TCVN 7790 (ISO 2859), TCVN 8243 (ISO 3951). TCVN 9601 (ISO 8422) và TCVN 10853 (ISO 8423). Thông tin dưới đây cần được tham chiếu đối với việc lựa chọn từ các tiêu chuẩn này.
5.2 Loạt liên tục các lô
Các hệ thống lấy mẫu được mô tả trong TCVN 7790-1 (ISO 2859-1), TCVN 7790-3 (ISO 2859-3), TCVN 9601 (ISO 8422) và TCVN 10853 (ISO 8423) hữu ích trong những trường hợp dưới đây:
a) kiểm tra lấy mẫu chỉ do một bên duy nhất thực hiện (thường là khách hàng);
b) loạt liên tục các lô được xem xét;
c) các lô được kiểm tra theo cùng trình tự sản xuất;
d) hai hoặc nhiều nhà cung ứng cạnh tranh nhau;
e) mức chất lượng nhìn chung tốt hơn AQL.
Trong trường hợp này, các quy tắc chuyển đổi nêu trong TCVN 7790-1 (ISO 2859-1), TCVN 7790-3 (ISO 2859-3), TCVN 8243 (ISO 3951), TCVN 9601 (ISO 8422) và TCVN 10853 (ISO 8423) có thể đem lại cho nhà cung ứng sự khích lệ tốt để cải tiến mức chất lượng, trong khi người mua có thể có được sự bảo vệ hợp lý.
5.3 Các lô riêng biệt
Hệ thống TCVN 7790-2 (ISO 2859-2) có ưu thế khi:
a) lấy mẫu chấp nhận chỉ được một bên duy nhất thực hiện;
b) lô duy nhất được sản xuất hoặc lô riêng lẻ được kiểm tra;
c) vì một số lý do không thể sử dụng thông tin trước đó về năng lực của nhà cung ứng trong việc đáp ứng các yêu cầu chất lượng;
d) mối quan hệ kinh doanh lâu dài giữa nhà sản xuất và khách hàng không được giả định;
e) cỡ mẫu lớn là sẵn có.
Trong trường hợp này, TCVN 7790-2 (ISO 2859-2) là công cụ hỗ trợ hợp lý cho khách hàng.
5.4 Đặc điểm của hệ thống lấy mẫu TCVN 10857 (ISO 13448)
Hệ thống lấy mẫu TCVN 10857 (ISO 13448) có thể hỗ trợ khi:
a) kiểm tra được thực hiện lần đầu bởi nhà cung ứng trong kiểm tra cuối cùng và tiếp theo, với chính lô đó, được thực hiện bởi khách hàng trong kiểm tra đầu vào (đôi khi là bởi bên thứ ba);
b) có mối quan hệ lâu dài giữa nhà sản xuất và khách hàng;
c) sẵn có thông tin trước đó về năng lực của nhà cung ứng trong việc đáp ứng yêu cầu quy định;
d) trách nhiệm của nhà cung ứng đối với sự bảo đảm chất lượng bao gồm việc kiểm tra lấy mẫu được thỏa thuận trong hợp đồng;
e) cả hai bên đều quan tâm đến việc giảm chi phí kiểm tra.
Dữ liệu liên quan đến hệ thống chất lượng hiệu quả, kiểm soát thống kê quá trình, hành động phòng ngừa và thông tin khác có thể được khách hàng xem xét cho việc đánh giá gần đúng về sức mạnh của sự bảo đảm chất lượng lô và cho việc xác định mức độ chặt chẽ của kiểm tra chất lượng lô nhà cung ứng cần thực hiện.
6 Yêu cầu về chất lượng lô và mối quan hệ giữa các bên
6.1 Yêu cầu về chất lượng lô
6.1.1 Hình thức yêu cầu chất lượng lô
Yêu cầu chất lượng lô cần được quy định trong hợp đồng và/hoặc quy định bằng thỏa thuận giữa nhà cung ứng và khách hàng.
Các yêu cầu cần được quy định theo các giới hạn chất lượng quy định (NQL).
Nếu yêu cầu đối với mức chất lượng lô không được quy định theo cách này thì không thể áp dụng hệ thống lấy mẫu TCVN 10857 (ISO 13448).
CHÚ THÍCH: Trong sản xuất không có hợp đồng, yêu cầu đối với mức chất lượng lô có thể được thiết lập trong các quy định và được coi là thông tin của nhà cung ứng về chất lượng của các lô được sản xuất.
6.1.2 Lô thỏa mãn và không thỏa mãn
Để phù hợp với mức chất lượng thiết lập trong hợp đồng, các lô sản xuất được phân phối cần được các bên đánh giá là lô thỏa mãn (nghĩa là đáp ứng các yêu cầu quy định, xem 3.1.2) hoặc lô không thỏa mãn (nghĩa là không đáp ứng các yêu cầu quy định, xem 3.1.3). Do đó, bất kỳ lô nào có mức chất lượng tốt hơn NQL thỏa thuận đều được coi là lô thỏa mãn. Mặt khác, bất kỳ lô nào có mức chất lượng kém hơn NQL thỏa thuận đều được coi là lô không thỏa mãn.
6.1.3 Mục tiêu
Đối với phân phối riêng lẻ và bán buôn, lô sản xuất trở thành đối tượng của mối quan hệ giữa nhà cung ứng, khách hàng và bên thứ ba và cần xác định chuẩn mực ấn định mối quan hệ của các bên liên quan đến lô sản phẩm. Nguyên tắc phân bổ ưu tiên cho phép mỗi bên tự do lựa chọn phương án và chương trình lấy mẫu (xem 8.3). Vì thế, trong hệ thống lấy mẫu của TCVN 10857 (ISO 13448), tiêu chí chất lượng lô (NQL) cần được quy định bất kể phương án lấy mẫu nào được sử dụng để kiểm tra sự phù hợp về chất lượng. Đây là khác biệt chính giữa NQL so với AQL và hệ thống lấy mẫu TCVN 10857 (ISO 13448) với hệ thống lấy mẫu TCVN 7790 (ISO 2859). NQL có nghĩa là, mặc dù các hành động được thực hiện, bao gồm cả lấy mẫu và sàng lọc, nhà cung ứng không thể bảo đảm sự phù hợp 100 % của tất cả các cá thể sản phẩm trong lô. Tuy nhiên, nhà cung ứng đảm bảo rằng mức chất lượng thực tế sẽ không vượt quá NQL quy định. Sự đảm bảo tuyệt đối là không thể, ít nhất là do sai số lấy mẫu và sai số vốn có trong thiết bị, phương tiện đo lường và thử nghiệm.
6.2 Mối quan hệ của các bên quan tâm đến chất lượng lô
Nhà cung ứng buộc phải phân phối các lô có chất lượng thỏa mãn, nghĩa là tương ứng với các yêu cầu quy định, với việc đưa ra đủ bằng chứng về sự phù hợp của chất lượng lô để thỏa mãn khách hàng. Mặt khác, khách hàng không bị bắt buộc chấp nhận các lô có chất lượng không thỏa mãn. Khi tiếp nhận lô không thỏa mãn và sau khi đưa ra bằng chứng cho nhà cung ứng, khách hàng có thể trả lại toàn bộ lô hoặc yêu cầu nhà cung ứng thực hiện các biện pháp để đảm bảo rằng chất lượng lô phù hợp với yêu cầu quy định.
Sẽ là sai lầm khi cho rằng NQL cho phép nhà cung ứng phân phối một tỷ lệ sản phẩm không đáp ứng các yêu cầu. Nhà cung ứng có trách nhiệm đối với chất lượng của từng cá thể sản phẩm. Khi có cá thể không phù hợp, nhà cung ứng cần thực hiện mọi biện pháp cần thiết để bồi thường cho khách hàng, bao gồm khôi phục, sửa chữa hoặc thay thế cá thể không phù hợp ngay cả khi lô đã được chấp nhận.
6.3 Biện pháp phòng ngừa
Thông tin về NQL cho phép khách hàng, và/hoặc nhà cung ứng xác định các biện pháp để ngăn ngừa những tổn thất có thể có. Đặc biệt, khách hàng có thể quy định trong hợp đồng việc giao thêm một lượng cá thể nếu tìm thấy khuyết tật nghiêm trọng, xác định các quy tắc để giảm giá tùy thuộc vào NQL, hoặc thực hiện các biện pháp khác. Do đó. NQL là thông tin đảm bảo về chất lượng lô đối với khách hàng và là cơ sở cho việc thiết lập mối quan hệ giữa các bên.
7 Mục tiêu của việc kiểm tra do nhà cung ứng, khách hàng và bên thứ ba thực hiện
7.1 Khái quát
Hợp đồng hoặc luật định có thể quy định nghĩa vụ của nhà cung ứng phải chứng minh rằng các lô là thỏa mãn bằng phương pháp kiểm tra cuối cùng. Khách hàng và bên thứ ba có thể thực hiện kiểm tra tiếp theo để kiểm tra tính đúng đắn của dữ liệu về chất lượng lô nhà cung ứng. Bên thứ ba cũng có thể thực hiện việc kiểm tra trong trường hợp trọng tài hoặc khi giám sát chất lượng sản phẩm.
Các hướng dẫn này cho thấy nhiệm vụ chính của kiểm tra chấp nhận là để xác nhận hoặc bác bỏ dữ liệu về chất lượng lô, nghĩa là mục đích của nó phù hợp với yêu cầu quy định.
Tất cả sai số phi thống kê cần được xem xét với sự đồng thuận của bên đối lập.
7.2 Mục tiêu của việc kiểm tra do nhà cung ứng thực hiện
Kiểm tra lấy mẫu do nhà cung ứng thực hiện (kiểm tra của nhà cung ứng) được coi là công cụ để chứng minh với khách hàng (hoặc đại diện của khách hàng) và/hoặc bên thứ ba về tính đúng đắn của thông tin về sự phù hợp của chất lượng lô.
Với việc quy định giá trị NQL theo hợp đồng, nhà cung ứng khẳng định ẩn ý rằng giá trị thực tế của mức chất lượng trong các lô được phân phối là không kém hơn giá trị này (xem 6.1.3). Kiểm tra của nhà cung ứng cần đầy đủ để chứng minh rằng thông tin này là đúng.
7.3 Mục tiêu của việc kiểm tra do khách hàng thực hiện
Kiểm tra lấy mẫu do khách hàng thực hiện (kiểm tra của khách hàng) có thể được coi là phương tiện để chứng minh sự không đầy đủ trong thông tin của nhà cung ứng về chất lượng lô phù hợp với yêu cầu quy định trong tình huống khiếu nại tiềm ẩn. Thông thường khi sử dụng hệ thống lấy mẫu của TCVN 10857 (ISO 13448) thì không cần kiểm tra của khách hàng. Sẽ hiệu quả hơn khi đánh giá hệ thống lấy mẫu chấp nhận và hệ thống chất lượng của nhà cung ứng.
7.4 Mục tiêu của việc kiểm tra do bên thứ ba thực hiện
Sự giải thích kiểm tra lấy mẫu do bên thứ ba thực hiện phản ánh quyền lợi của bên kiểm tra.
Khi kiểm tra được tiến hành vì quyền lợi của nhà cung ứng, nó sẽ được coi là phương tiện để chứng minh giá trị của thông tin về sự phù hợp của chất lượng lô với yêu cầu quy định.
Khi kiểm tra được thực hiện vì quyền lợi của khách hàng (ví dụ: chứng nhận sản phẩm, giám sát hoặc kiểm tra chất lượng sản phẩm với khả năng đưa ra tuyên bố chống lại nhà cung ứng hoặc làm rõ kết quả kiểm tra), nó được coi là phương tiện để chứng minh thông tin không đầy đủ về sự phù hợp của chất lượng lô với các yêu cầu cụ thể.
CHÚ THÍCH: Trong việc thực hiện kiểm tra cho mục đích trọng tài, bên thứ ba hoạt động theo các quy tắc của người khiếu nại.
8 Yêu cầu của hệ thống kiểm tra lấy mẫu do nhà cung ứng, khách hàng hoặc bên thứ ba thực hiện
8.1 Yêu cầu chung của hệ thống
Nếu hợp đồng hoặc pháp luật quy định về kiểm tra lấy mẫu liên tiếp bởi nhiều bên (nhà cung ứng, khách hàng hoặc bên thứ ba), thì hệ thống cần thỏa mãn tập hợp các yêu cầu về phương án kiểm tra của nó. Trước hết nó cần quy định về tính linh hoạt của các quy tắc trong việc lựa chọn phương án và chương trình để cung cấp cho những khác biệt về đặc thù, giới hạn và hoàn cảnh của mỗi bên. Ngoài ra, hệ thống cần ấn định các yêu cầu cần thiết về phương án lấy mẫu để thúc đẩy độ tái lập của các quyết định nhận được từ các bên khác nhau trên cơ sở các kết quả kiểm tra.
8.2 Độ tái lập của các quyết định được đưa ra từ kết quả kiểm tra lấy mẫu
Do tính chất thống kê của lấy mẫu việc kiểm tra liên tiếp với cùng chất lượng lô có thể đưa ra các kết quả khác nhau ngay cả khi phương pháp luận kiểm tra được tuân thủ một cách chặt chẽ. Ví dụ quan trọng nhất của điều này là khi nhà cung ứng đưa ra quyết định tích cực và khách hàng, hoặc bên thứ ba đưa ra một quyết định tiêu cực do độ không đảm bảo vốn có trong lấy mẫu ngẫu nhiên, dẫn đến tình huống trọng tài.
Hệ thống cần cung cấp để xác suất xảy ra những trường hợp đó thấp.
Đối với đặc trưng không tái lập, hướng dẫn xem xét xác suất của cả quyết định tích cực trong kiểm tra của nhà cung ứng và quyết định tiêu cực trong kiểm tra của khách hàng. Đối với việc phân tích kiểm tra liên tiếp, khái niệm về đặc trưng trọng tài được đưa ra, nghĩa là xác suất của tình huống trọng tài là hàm số của mức chất lượng lô. Ví dụ về đặc trưng trọng tài được cho trong Phụ lục A.
Có một quan niệm sai phổ biến rằng, để đảm bảo độ tái lập của các quyết định, mỗi bên cần sử dụng các phương án tương tự nhau. Tuy nhiên, việc sử dụng của họ có thể đưa ra độ không tái lập cao của các kết quả kiểm tra, lên đến một phần tư các trường hợp, nghĩa là lên đến giá trị của đường đặc trưng trọng tài bằng 0,25. Rõ ràng đây là giá trị rất cao và với các phương án tương tự các bên có thể gặp rắc rối đáng kể khi giải quyết tranh chấp, cần phải tránh điều này khi lập phương án kiểm tra.
Nhà cung ứng cần cố gắng sản xuất sản phẩm tốt hơn nhiều so với NQL để tránh các vấn đề về chấp nhận không thống nhất ở các giai đoạn khác nhau của kiểm tra liên tiếp.
Khái niệm APP nâng cao độ tái lập của các quyết định được đưa ra từ kết quả kiểm tra và cho phép thiết lập giá trị lớn nhất bất kỳ nào của đường đặc trưng trọng tài trong khi vẫn cho phép mỗi bên mức độ tự do cao trong việc lựa chọn phương án và chương trình kiểm tra.
8.3 Tính linh hoạt của hệ thống và khả năng điều chỉnh năng lực và quyền lợi riêng của các bên kiểm tra
Điều thiết thực đối với mỗi bên là có cơ hội lựa chọn phương án và chương trình kiểm tra phù hợp với mục đích, năng lực và đặc thù của mình. Các hướng dẫn này hạn chế sự đa dạng của các phương án và chương trình kiểm tra mà các bên có thể lựa chọn. Các phương án và chương trình này được gọi là chấp nhận.
Chuẩn mực đối với phương án hoặc chương trình kiểm tra chấp nhận được là ràng buộc về rủi ro của bên khác. Mỗi bên hoàn toàn tự do lựa chọn bất kỳ phương án hay chương trình kiểm tra nào từ nhiều phương án chấp nhận được mà không có bất kỳ sự điều phối nào.
8.4 Hiệu quả về chi phí của kiểm tra
Hệ thống cần cho phép giảm thiểu chi phí kiểm tra và việc kiểm tra cần được thực hiện đúng thời điểm và đủ số lượng để cung cấp tính toàn vẹn của quyết định dựa trên các kết quả. Việc giảm chi phí kiểm tra sẽ đạt được bằng cách cho mỗi bên quyền lựa chọn phương án và chương trình tối ưu và có cơ hội xem xét thông tin trước đó để chấp nhận phương án và chương trình kiểm tra cho chất lượng hiện tại của quá trình và để có được thông tin trước đó mới nhất.
8.5 Loại thông tin được sử dụng khi tổ chức kiểm tra và đưa ra quyết định
Đối với việc tổ chức kiểm tra và đưa ra quyết định tiếp theo, thông tin dưới đây được sử dụng:
– thông tin trước đó (xem Điều 9);
– dữ liệu cơ bản, được coi là yêu cầu đối với việc thiết lập chất lượng sản phẩm trong phương án hoặc chương trình lấy mẫu và đối với tính toàn vẹn của việc ra quyết định (xem Điều 10);
– dữ liệu kiểm tra (xem Điều 11).
9 Thông tin trước đó
9.1 Loại thông tin trước đó
Như một quy tắc, trước khi thực hiện kiểm tra lấy mẫu, sẵn có rất nhiều thông tin trước đó liên quan đến chất lượng tiềm ẩn của lô. Thông tin này bao gồm uy tín của nhà cung ứng, lịch sử chất lượng, dữ liệu về kiểm soát thống kê quá trình, thông tin dữ liệu hiệu năng về hệ thống chất lượng của nhà cung ứng bao gồm giấy chứng nhận hoặc đánh giá của bên thứ hai, dữ liệu kiểm tra từ việc phát triển và sản xuất, v.v… Thông tin này rất hiếm khi được nhập trong các hệ thống lấy mẫu chấp nhận. Tuy nhiên, việc bỏ qua thông tin này có thể làm cho việc lấy mẫu rất tốn kém vì cần cỡ mẫu lớn, hoặc có thể không đưa ra mức bảo vệ khách hàng cần thiết.
Các hướng dẫn này đưa ra phương pháp kết hợp thông tin trước đó, bao gồm cả thông tin về tính chủ quan, với dữ liệu kiểm tra, cho phép làm giảm nỗ lực kiểm tra trong khi vẫn duy trì mức độ bảo vệ cần thiết đối với khách hàng.
Thông tin chủ quan trước đó được khách hàng xem xét khi đánh giá xác suất của các lô có chất lượng thỏa mãn được giao nộp để kiểm tra và được khách hàng sử dụng trong việc thiết lập rủi ro của mình trong kiểm tra của nhà cung ứng (xem Phụ lục B).
CHÚ THÍCH: Trong thực tế, các chuyên gia thường ở vị trí để ước lượng chất lượng lô trước khi thực hiện kiểm tra lấy mẫu. Hầu hết các tiêu chuẩn không cho phép đánh giá chủ quan về chất lượng lô để tác động đến việc xác định phương án hoặc chương trình lấy mẫu thích hợp. Các hướng dẫn này cho phép người sử dụng tích hợp các ước lượng trước đó.
9.2 Cách tiếp cận APP cho việc xem xét thông tin trước đó
Thông tin trước đó được tích hợp bằng cách sử dụng cách tiếp cận APP và đặc biệt là dựa trên cơ sở đánh giá các rủi ro của khách hàng và nhà cung ứng (xem Phụ lục B).
Phụ lục B trình bày công thức, đưa ra đánh giá rủi ro và cho phép khách hàng xem xét thông tin trước đó. Trong thực tế, họ cần ước lượng xác suất của các lô không thỏa mãn được giao nộp để chấp nhận và dựa trên ước lượng này, thiết lập giá trị rủi ro của khách hàng trong kiểm tra của nhà cung ứng. Trong các tình huống mà ước lượng của họ về xác suất các lô có chất lượng không thỏa mãn được giao nộp là thấp (ví dụ, ít hơn 0,1), thì khách hàng có thể ấn định giá trị rủi ro của mình là khá cao, thậm chí gần tới hoặc bằng 1. Trong trường hợp sau, sự chấp nhận được thực hiện mà không cần kiểm tra.
Các nhà cung ứng cũng có thể sử dụng thông tin trước đó để lựa chọn phương án và chương trình lấy mẫu tối ưu từ các phương án và chương trình chấp nhận được, để đáp ứng các ràng buộc về rủi ro của khách hàng. Trong tình huống lý tưởng, nhà cung ứng có thể có ước lượng rất tốt về mức chất lượng quá trình. Trong trường hợp này, nhà cung ứng có thể sử dụng ước lượng trước đó của họ về mức chất lượng lô là mức chấp nhận được tương ứng với xác suất chấp nhận lô cao. Tính theo giá trị này của mức chất lượng, xác suất chấp nhận được giải thích là ước lượng trước đó của nó.
9.3 Khía cạnh kinh tế của thông tin trước đó
Việc sử dụng thông tin trước đó có thể giúp tiết kiệm đáng kể, vì có thể làm tăng giá trị rủi ro của khách hàng, cho phép giảm lượng kiểm tra và kết quả là giảm chi phí kiểm tra.
Ngược lại, việc mất uy tín của nhà cung ứng và thiếu thông tin hiện hành trước đó có thể buộc khách hàng giảm giá trị rủi ro của họ trong kiểm tra của nhà cung ứng và do đó làm tăng phí tổn và chi phí sản xuất.
Tóm lại, cách tiếp cận này cho phép mỗi bên sử dụng tối đa thông tin sẵn có trước đó và khuyến khích thu thập, tích lũy và trao đổi dữ liệu tích cực.
10 Lựa chọn phương án và chương trình lấy mẫu
10.1 Khái quát
Các hướng dẫn này cho phép các bên liên quan không cần sử dụng các phương án và chương trình tương tự đối với kiểm tra liên tiếp. Sử dụng hệ thống lấy mẫu TCVN 10857 (ISO 13448) đem lại cho các bên quyền tự chủ để lựa chọn phương án và chương trình cụ thể. Chỉ cần phải thống nhất về một số yêu cầu ban đầu về tính toàn vẹn của các quyết định được đưa ra.
10.2 Đặc trưng của các phương án và chương trình lấy mẫu
Sự khác nhau giữa mục tiêu của việc kiểm tra do nhà cung ứng, khách hàng và/hoặc bên thứ ba thực hiện chỉ ra sự phân biệt giữa các biện pháp bảo vệ quyền lợi của bên đối lập. Việc bảo vệ quyền lợi của bên kia đạt được bằng cách đưa ra các ràng buộc về phương án và chương trình lấy mẫu, dựa vào đó các quyết định về sự phù hợp lô được đưa ra. Các ràng buộc này được hình thành đối với ràng buộc về rủi ro của bên kia. Do đó, phương án và chương trình kiểm tra của nhà cung ứng được mô tả bằng rủi ro của khách hàng trong kiểm tra của nhà cung ứng còn phương án và chương trình kiểm tra của khách hàng là bằng rủi ro của nhà cung ứng trong kiểm tra của khách hàng. Nếu các quy tắc quyết định sử dụng giới hạn (khoảng, vùng) tin cậy, thì các ràng buộc tương ứng đối với mức tin cậy được đưa ra. Các ràng buộc về mức tin cậy và các ràng buộc về rủi ro có thể được tính từ mỗi bên với nhau.
10.3 Quyền của các bên trong việc lựa chọn phương án và chương trình lấy mẫu
Bên kiểm tra cần lựa chọn phương án và chương trình lấy mẫu chỉ tùy thuộc vào việc cung cấp sự bảo vệ quyền lợi của bên kia:
– đối với kiểm tra của nhà cung ứng, cần đưa ra ràng buộc nhất định về rủi ro của khách hàng dựa trên kiểm tra của nhà cung ứng;
– đối với kiểm tra của khách hàng, cần đưa ra ràng buộc nhất định về rủi ro của nhà cung ứng dựa trên kiểm tra của khách hàng;
Bên thứ ba cần tổ chức kiểm tra phù hợp với các quy tắc của nhà cung ứng hoặc khách hàng (xem 7.4).
10.4 Phương án và chương trình lấy mẫu chấp nhận được
10.4.1 Khái quát
Phương án và chương trình lấy mẫu chấp nhận được là các phương án, chương trình thỏa mãn các ràng buộc loại I như xác định trong 10.4.2 hoặc các ràng buộc loại II như xác định trong 10.4.3.
10.4.2 Ràng buộc loại I
Đây là các ràng buộc về rủi ro của khách hàng dựa trên kiểm tra của nhà cung ứng và ràng buộc về rủi ro của nhà cung ứng dựa trên kiểm tra của khách hàng.
Do các ràng buộc này, tất cả các phương án kiểm tra có thể được phân chia thành các phương án chấp nhận được và phương án không chấp nhận được. Đối với nhà cung ứng, phương án chấp nhận được là phương án đáp ứng ràng buộc về rủi ro của khách hàng dựa trên kiểm tra của nhà cung ứng. Đối với khách hàng, phương án chấp nhận được là phương án đáp ứng ràng buộc về rủi ro của nhà cung ứng dựa trên kiểm tra của khách hàng. Bộ phương án chấp nhận được đối với mỗi bên là khác nhau.
Nhà cung ứng cần lựa chọn phương án và chương trình lấy mẫu trong số các phương án chấp nhận được chỉ liên quan đến tiêu chí tối ưu của mình.
Khách hàng cần lựa chọn phương án lấy mẫu liên quan đến mục tiêu của mình và tiêu chí tối ưu của họ bằng cách tuân thủ ràng buộc về rủi ro của nhà cung ứng dựa trên kiểm tra của khách hàng.
Bên thứ ba, nếu có, cần làm theo các quy tắc trong kiểm tra của nhà cung ứng (hoặc khách hàng) tùy theo vào mục tiêu của việc kiểm tra, phù hợp với 7.4.
10.4.3 Ràng buộc loại II
Đây là những ràng buộc về mức tin cậy khi các quy tắc quyết định liên quan đến giới hạn (khoảng, vùng) tin cậy đối với mức chất lượng lô.
Các bên khác nhau (nhà cung ứng, khách hàng, bên thứ ba) lựa chọn phương án lấy mẫu liên quan đến mục tiêu, khả năng và tiêu chí tối ưu của mình, tuân thủ các quy tắc quyết định dựa trên khoảng (vùng) tin cậy.
Việc bảo vệ quyền lợi của bên đối lập tùy thuộc vào cấu trúc quy tắc quyết định, mà tự động cung cấp đối với các ràng buộc về rủi ro liên quan (xem 10.6.3).
10.5 Thiết lập các ràng buộc đối với rủi ro và mức tin cậy
10.5.1 Ràng buộc loại I
10.5.1.1 Kiểm tra của nhà cung ứng
10.5.1.1.1 Đối với các lô riêng rẽ
Giá trị chuẩn của rủi ro khách hàng trong kiểm tra của nhà cung ứng được khách hàng ấn định trong khoảng [0,1; 1]. Giá trị trên bằng 1 tương ứng với chấp nhận tin cậy mà không cần kiểm tra của nhà cung ứng. Việc lựa chọn giá trị này cần phụ thuộc vào mức tin tưởng của khách hàng vào năng lực của nhà cung ứng trong việc đáp ứng các yêu cầu quy định. Các hướng dẫn này khuyến nghị bảy mức tin tưởng trước đó về năng lực của nhà cung ứng, mỗi mức tương ứng với ràng buộc khác nhau về rủi ro của khách hàng dựa trên kiểm tra của nhà cung ứng. Tuy nhiên, trong những trường hợp cụ thể nhà cung ứng và khách hàng có thể sử dụng số mức tin tưởng cao hơn. Khuyến nghị cho việc thiết lập rủi ro của khách hàng trong kiểm tra của nhà cung ứng được cho trong Phụ lục B.
Khách hàng có quyền thay đổi giá trị rủi ro của khách hàng trong kiểm tra của nhà cung ứng trong phạm vi các giới hạn được quy định trong tiêu chuẩn này, tùy thuộc vào mức độ tin tưởng của họ vào thông tin về chất lượng sản phẩm được nhà cung ứng sản xuất, lên đến các giá trị tương ứng với chấp nhận lô mà không cần thực hiện bất kỳ kiểm tra nào.
10.5.1.1.2 Đối với loạt liên tục các lô
Khi kiểm tra loạt các lô, chương trình lấy mẫu có thể được sử dụng với các quy tắc chuyển đổi giữa các phương án có mức độ chặt chẽ khác nhau tương ứng với rủi ro khác nhau. Bên kiểm tra lựa chọn chương trình phù hợp với các ràng buộc được quy định bằng rủi ro hệ thống đối với bên đối lập. Giá trị tối thiểu của rủi ro hệ thống của khách hàng trong kiểm tra của nhà cung ứng là 0,1. Khuyến nghị cho việc xác định rủi ro hệ thống của khách hàng trong kiểm tra của nhà cung ứng được cho trong Phụ lục B.
CHÚ THÍCH 1: Chương trình lấy mẫu có thể được khách hàng sử dụng cho kiểm tra đầu vào nếu trình tự các lô được giao nộp bởi cùng một nhà sản xuất đối với các yêu cầu ấn định cho chất lượng lô sản phẩm. Nếu các lô sản xuất được các nhà sản xuất khác nhau giao nộp trong kiểm tra đầu vào, thì khách hàng kiểm tra từng lô như một lô đơn lẻ, không như loạt các lô mà chương trình kiểm tra có thể được sử dụng.
Khách hàng có thể tăng giá trị của rủi ro hệ thống của khách hàng trong kiểm tra của nhà cung ứng đến giá trị 1, tùy thuộc vào mức độ tin tưởng của họ vào thông tin của nhà cung ứng về chất lượng sản phẩm. Giá trị 1 tương ứng với sự chấp nhận của khách hàng mà không cần kiểm tra của nhà cung ứng, phản ánh sự tin tưởng hoàn toàn của khách hàng vào nhà cung ứng.
CHÚ THÍCH 2: Lấy mẫu lô cách quãng là trường hợp cụ thể của chương trình kiểm tra. Khi tính toán rủi ro của trung bình khách hàng cần lưu ý rằng, đối với các lô được chấp nhận mà không cần kiểm tra, giá trị rủi ro của khách hàng trong kiểm tra của nhà cung ứng bằng 1. Tuy nhiên, rủi ro hệ thống của khách hàng trong kiểm tra của nhà cung ứng được xác định cho mục đích của phương án liên quan.
Các hướng dẫn này bao trùm cách tiếp cận chung của các bên để ra quyết định, cần sử dụng phương án lấy mẫu hoặc chương trình lấy mẫu. Cần lưu ý rằng, đối với cả phương án và chương trình lấy mẫu, quyết định được đưa ra liên quan đến các lô riêng rẽ. Tuy nhiên, khi áp dụng chương trình lấy mẫu, nghĩa là số phương án kiểm tra cùng với các quy tắc chuyển đổi giữa chúng, và trong việc đưa ra quyết định liên quan đến lô đơn lẻ cụ thể, sẽ thực sự sử dụng thông tin trước đó theo nghĩa dữ liệu kiểm tra về các lô trước đó bằng cách sử dụng quy tắc chuyển đổi liên quan. Trong tất cả các tình huống khi có sự tin tưởng về sản xuất ổn định, điều quan trọng là sử dụng chương trình lấy mẫu vì chúng có thể cung cấp chi phí kiểm tra thấp hơn và hiệu quả cao hơn.
10.5.1.2 Kiểm tra của khách hàng
Giá trị chuẩn của rủi ro nhà cung ứng trong kiểm tra của khách hàng hoặc bên thứ ba (thường là 0,01; 0,05 hoặc 0,1) cần được quy định trong hợp đồng và không phải chịu sự thay đổi. Nếu giá trị của rủi ro nhà cung ứng trong kiểm tra của khách hàng không được quy định trong hợp đồng, thì cần sử dụng giá trị 0,05.
10.5.2 Ràng buộc loại II
Việc sử dụng quy tắc quyết định được mô tả trong 10.6.3 cung cấp mức rủi ro của khách hàng trong kiểm tra của nhà cung ứng là b0 = 1 – g1, trong đó g1 là mức tin cậy được sử dụng để xây dựng khoảng tin cậy từ kết quả kiểm tra của nhà cung ứng. Rủi ro của nhà cung ứng trong kiểm tra của khách hàng là a0 = 1 – g2, trong đó g2 là mức tin cậy được sử dụng trong xử lý dữ liệu kiểm tra của khách hàng.
10.6 Quy tắc ra quyết định
10.6.1 Ra quyết định đối với kiểm tra của nhà cung ứng và khách hàng
10.6.1.1 Kiểm tra của nhà cung ứng
Quyết định rằng lô là thỏa mãn (quyết định tích cực) có nghĩa là nhà cung ứng trong tiến trình kiểm tra đã chứng minh tính toàn vẹn về thông tin của họ bằng cách cho thấy sự phù hợp của sản phẩm với các yêu cầu quy định. Quyết định rằng lô là không thỏa mãn (quyết định tiêu cực) có nghĩa là nhà cung ứng không chứng minh được tính toàn vẹn này.
10.6.1.2 Kiểm tra của khách hàng
Quyết định rằng lô là không thỏa mãn (quyết định tiêu cực) có nghĩa là khách hàng trong tiến trình kiểm tra chứng minh được sự thiếu toàn vẹn của thông tin nhà cung ứng về sự phù hợp chất lượng lô với các yêu cầu quy định.
Quyết định rằng chất lượng lô là thỏa mãn (quyết định tích cực) có nghĩa là khách hàng không bác bỏ khẳng định của nhà cung ứng rằng sản phẩm phù hợp với các yêu cầu quy định.
10.6.1.3 Kiểm tra của bên thứ ba
Trong kiểm tra của bên thứ ba, quyết định được đưa ra theo quy tắc của nhà cung ứng hoặc khách hàng tùy thuộc vào quyền lợi liên quan.
10.6.2 Ràng buộc loại I
Đối với ràng buộc loại I, quyết định được đưa ra trên cơ sở các quy tắc nêu trong quy định của phương án và chương trình kiểm tra chấp nhận được.
CHÚ THÍCH: Ví dụ, khi áp dụng phương án kiểm tra định tính một lần, quyết định được đưa ra bằng cách so sánh số cá thể không phù hợp hoặc sự không phù hợp trong mẫu với số chấp nhận. Nếu số cá thể không phù hợp hoặc sự không phù hợp không vượt quá số chấp nhận, thì quyết định tích cực được đưa ra. Mặt khác, khi vượt quá số chấp nhận, thì quyết định tiêu cực được đưa ra. Phương án kiểm tra trong kiểm tra của nhà cung ứng và khách hàng đối với cùng một NQL sẽ khác nhau. Điều này có nghĩa là quy tắc quyết định cũng khác nhau. Có thể có sự trùng khớp về số chấp nhận nhưng cỡ mẫu sẽ khác nhau.
10.6.3 Ràng buộc loại II
Đối với ràng buộc loại II, mỗi bên xác định quy tắc quyết định khác nhau, như được quy định dưới đây.
a) Trong kiểm tra của nhà cung ứng
Quyết định được đưa ra là lô thỏa mãn nếu khoảng tin cậy (một phía hoặc hai phía) hoặc vùng tin cậy nằm trong khoảng (vùng) yêu cầu của giá trị chất lượng lô. Quyết định được đưa ra rằng chất lượng lô là không thỏa mãn nếu ít nhất một điểm của khoảng (vùng) tin cậy được tìm thấy nằm ngoài khoảng yêu cầu đối với mức chất lượng lô.
b) Trong kiểm tra của khách hàng
Quyết định được đưa ra là lô thỏa mãn nếu ít nhất một điểm của khoảng (vùng) tin cậy được tìm thấy nằm trong các yêu cầu đối với mức chất lượng lô. Quyết định được đưa ra rằng chất lượng lô là không thỏa mãn nếu tất cả các điểm của khoảng (vùng) tin cậy nằm ngoài khoảng yêu cầu đối với mức chất lượng lô.
Các quy tắc quyết định được minh họa trên Hình 1.
CHÚ THÍCH: Việc áp dụng quy tắc quyết định theo hình thức này có những ưu điểm nhất định. Thứ nhất, các minh họa thể hiện rõ ràng rằng các tình huống gây tranh cãi luôn được giải quyết có lợi cho bên đối lập. Thứ hai, những vấn đề về lựa chọn tham số của phương án kiểm tra và thiết lập các quy tắc quyết định được tách rời. Quy tắc quyết định là đối tượng thỏa thuận giữa các bên hoặc theo quy định của cơ quan có thẩm quyền và việc lựa chọn lượng kiểm tra (xem xét từng giai đoạn kiểm tra) trở nên hoàn toàn độc lập đối với mỗi bên.
11 Giao nộp lại các lô không được chấp nhận trước đó trong kiểm tra của nhà cung ứng
Nhà cung ứng và khách hàng có thể quy định trong hợp đồng các quy tắc để giảm rủi ro của khách hàng trong kiểm tra của nhà cung ứng đối với các lô được giao nộp lại nhiều lần để kiểm tra sau khi không được chấp nhận trước đó, giảm tới các giá trị rủi ro tối thiểu.
Nhà cung ứng có thể giao nộp lại các lô để kiểm tra sau khi đã trải qua một số hoạt động: kiểm tra đầy đủ, thay thế hoặc khôi phục các cá thể sản phẩm không phù hợp.

a) Kiểm tra của nhà cung ứng – Quyết định tích cực về sự phù hợp của chất lượng lô

b) Kiểm tra của nhà cung ứng – Quyết định tiêu cực về sự phù hợp của chất lượng lô

c) Kiểm tra của khách hàng – Quyết định tích cực về sự phù hợp của chất lượng lô

d) Kiểm tra của khách hàng – Quyết định tiêu cực về sự phù hợp của chất lượng lô
CHÚ DẪN
L, U giới hạn quy định đối với đặc trưng chất lượng
(c, d) khoảng tin cậy ở mức tin cậy quy định
Hình 1 – Quy tắc quyết định cho việc sử dụng khoảng tin cậy
Phụ lục A
(tham khảo)
Nguyên tắc phân bổ ưu tiên
A.1 Khái quát
Tổ chức chứng nhận bên thứ ba độc lập có thể sử dụng TCVN ISO 9001 (ISO 9001)[1] để đánh giá khả năng của tổ chức trong việc đáp ứng yêu cầu của khách hàng, quy định và yêu cầu riêng của tổ chức.
Kết quả của việc đánh giá đó cần bổ sung vào bằng chứng được nhà cung ứng giao nộp liên quan đến việc đảm bảo sự phù hợp của chất lượng sản phẩm với các yêu cầu cụ thể. Kiểm tra chất lượng chấp nhận và sự chấp nhận và chứng nhận sản phẩm được bổ sung bằng sự đảm bảo có được qua việc đánh giá quá trình sản xuất nội bộ, cũng như sự bảo đảm chất lượng và kiểm soát do nhà cung ứng thực hiện. Điều này được mở rộng khái niệm về lấy mẫu chấp nhận.
Lấy mẫu cuối cùng cần được xử lý khi chỉ có một trong các phương tiện của nhà cung ứng chứng minh khả năng đưa ra các sản phẩm có chất lượng cụ thể. Cường độ lấy mẫu cần thiết cần phụ thuộc vào mức tin cậy của khách hàng được hình thành từ toàn bộ bằng chứng được đưa ra.
Nếu khách hàng có ấn tượng tốt về hệ thống chất lượng của nhà cung ứng và (hoặc) có sẵn giấy chứng nhận do bên thứ ba cấp, thì vai trò của kiểm tra (thử nghiệm) lấy mẫu chấp nhận có thể không quan trọng như trong trường hợp khác.
Cách tiếp cận này coi kiểm tra lấy mẫu chấp nhận như là phương tiện để nhà cung ứng chứng minh giá trị sử dụng của thông tin về chất lượng của tổng thể sản phẩm được họ cung cấp và cũng là phương tiện cho khách hàng hoặc bên thứ ba kiểm tra giá trị sử dụng của thông tin này.
Tham số thống kê, như rủi ro của khách hàng, rủi ro của nhà cung ứng và mức tin cậy, là các đặc trưng định lượng về tính toàn vẹn của quyết định được đưa ra trên cơ sở các kết quả kiểm tra lấy mẫu chấp nhận.
Khi tổ chức việc kiểm tra chất lượng chấp nhận, sự phù hợp của yếu tố chủ quan thường bị đánh giá thấp. Nếu người kiểm tra không tin cậy vào điều gì ngoại trừ dữ liệu kiểm tra “khách quan” thì sẽ phải trả chi phí cao.
A.2 Sử dụng thông tin về chất lượng
Quy trình lấy mẫu chấp nhận truyền thống không xem xét các dữ liệu ngoài dữ liệu kiểm tra. Việc này diễn ra mà không cần cho biết cách tiếp cận này dẫn đến nỗ lực kiểm tra tương đối lớn.
Hơn nữa, động lực tài chính có được từ việc tiết kiệm do giảm chi phí kiểm tra có thể là phần thưởng cho nhà sản xuất đạt được mức tin tưởng cao hơn.
Khi có sẵn thông tin chủ quan về cơ bản là tích cực, khách hàng sẽ không có lợi khi chỉ đặt sự tin tưởng của mình vào kết quả kiểm tra trực tiếp. Ngoài ra, sẽ có lợi đối với cả hai bên khi trao đổi dữ liệu về chất lượng và nghiên cứu quá trình sản xuất sản phẩm và hoạt động.
Hệ thống cho phép điều chỉnh về mức tin tưởng của khách hàng vào dữ liệu về chất lượng sản phẩm và đưa ra khả năng kiểm soát số lượng và tính hiệu lực của kiểm tra lấy mẫu tùy theo mức tin tưởng này. Việc duy trì bảo đảm chất lượng sản phẩm có thể giúp giảm đáng kể chi phí kiểm tra.
A.3 Độ tái lập của các quyết định
Hệ thống cung cấp độ tái lập của các quyết định có được từ các bên khác nhau trong khi vẫn đem lại cho họ sự tự do tối đa để lựa chọn phương án và chương trình kiểm tra. Điều này hầu như loại trừ việc xảy ra tình huống trọng tài gây ra do độ biến động giữa các mẫu.
Đường đặc trưng trọng tài có thể được tính bằng cách sử dụng công thức dưới đây:
A(p) = Ls(p)[1 – Lc(p)]
trong đó
A(p) là xác suất của tình huống trọng tài đối với hệ thống lấy mẫu của nhà cung ứng và khách hàng với mức chất lượng lô p;
Ls(p) là xác suất chấp nhận lô đối với phương án lấy mẫu trong kiểm tra của nhà cung ứng, với mức chất lượng lô p;
Lc(p) là xác suất chấp nhận lô đối với phương án lấy mẫu trong kiểm tra của khách hàng, với mức chất lượng lô p;
p là mức chất lượng lô.
CHÚ THÍCH: Công thức trên dựa vào giả định rằng chất lượng lô là như nhau đối với nhà cung ứng và khách hàng, nghĩa là chất lượng lô không bị ảnh hưởng bởi kiểm tra của nhà cung ứng, việc phân phối hay lưu kho lô.
Đối với phương án kiểm tra tương tự của nhà cung ứng và khách hàng, xác suất lớn nhất của việc xử lý lô yêu cầu trọng tài là 0,25. Ví dụ về đường đặc trưng trọng tài được thể hiện trên Hình A.1.
Cơ sở của các hướng dẫn này là nguyên tắc phân bổ ưu tiên (APP)[6],[7].
Có thể chứng minh rằng APP cung cấp giá trị tối đa của đường đặc trưng trọng tài không cao hơn min {a0, b0} trong đó a0 và b0 tương ứng là rủi ro của nhà cung ứng trong kiểm tra của khách hàng và rủi ro của khách hàng trong kiểm tra của nhà cung ứng.
A.4 Nguyên tắc APP
A.4.1 Quyền của mỗi bên
Theo hướng dẫn được cho trong APP:
a) nhà cung ứng và khách hàng có quyền xác định phương án và chương trình kiểm tra đơn phương tùy theo việc đáp ứng giới hạn đối với rủi ro của bên đối lập, nghĩa là với xác suất quyết định sai ảnh hưởng đến quyền lợi của bên đối lập;
b) khách hàng có quyền ấn định rủi ro của mình trong kiểm tra của nhà cung ứng; rủi ro của nhà cung ứng trong kiểm tra của khách hàng được quy định trong tiêu chuẩn hoặc hợp đồng và không thể sửa đổi;
c) bên thứ ba thực hiện việc kiểm tra
1) từ quan điểm của nhà cung ứng, nếu nhà cung ứng đặt hàng kiểm tra cho mục đích chứng nhận, hoặc
2) từ quan điểm của khách hàng, nếu khách hàng đặt hàng kiểm tra; hoặc nếu họ tiến hành kiểm tra độc lập với mục đích giám sát, ví dụ theo giấy chứng nhận và khi kết quả được công bố hoặc có khiếu nại về nhà cung ứng.
A.4.2 Đặc điểm của hệ thống lấy mẫu chấp nhận APP
Hệ thống kiểm tra lấy mẫu chấp nhận của nhà cung ứng, khách hàng và bên thứ ba xác định theo các nguyên tắc trên sẽ cung cấp
a) cơ sở phương pháp luận đối với lấy mẫu chấp nhận như một phương tiện xác nhận giá trị sử dụng của các quyết định về sự phù hợp hay không phù hợp của sản phẩm với các yêu cầu quy định,
b) sự phối hợp giữa việc xác định và phương pháp luận của lấy mẫu chấp nhận với các quy định của TCVN ISO 9001:20001) và việc thực thi hệ thống được cung cấp cùng với đánh giá chất lượng, giấy chứng nhận và sự chứng thực các quá trình sản xuất,
c) lấy mẫu chấp nhận bao gồm trong cơ chế trao đổi dữ liệu liên quan đến chất lượng của sản phẩm,
d) kiểm soát lượng kiểm tra phù hợp với mức độ tin tưởng của khách hàng, làm giảm đáng kể số lượng nếu khách hàng có sự tin tưởng nhiều hơn vào thông tin của nhà cung ứng về chất lượng sản phẩm. Có thể chuyển sang sự chấp nhận mà không cần kiểm tra (nghĩa là kiểm tra gián tiếp) khi đạt đến độ tin cậy hoàn toàn. Và ngược lại, làm mất lòng tin của khách hàng dẫn đến thắt chặt kiểm tra và gia tăng chi phí kiểm tra,
e) sự tối ưu hóa và điều chỉnh của phương án và chương trình kiểm tra với điều kiện cụ thể và thay đổi của các bên,
f) loại bỏ gần như hoàn toàn các tranh chấp do tính chất biến động của các kết quả kiểm tra mẫu,
g) các giải pháp trọng tài đúng đắn cho các tranh chấp liên quan đến chất lượng quá trình.
A.4.3 Giải thích APP
Hình A.2 cho thấy sự giải thích APP liên quan đến đường đặc trưng hiệu quả.
Mỗi bên có thể lựa chọn bất kỳ phương án (chương trình) kiểm tra nào.
Tuy nhiên, đường đặc trưng hiệu quả liên quan của nhà cung ứng không nên vượt cao hơn điểm (pNQL, b0) nghĩa là giá trị của đặc trưng hiệu quả tại pNQL không nên vượt quá b0.
Đường đặc trưng hiệu quả liên quan của khách hàng không nên thấp hơn mức (pNQL, 1 – a0), nghĩa là giá trị của đường đặc trưng hiệu quả không nên nhỏ hơn 1 – a0 tại pNQL.

a) Nhà cung ứng và khách hàng sử dụng các phương án thống nhấta

b) Phương án kiểm tra của nhà cung ứng đáp ứng giới hạn đối với rủi ro của khách hàng trong kiểm tra của nhà cung ứng và phương án kiểm tra của khách hàng đáp ứng giới hạn đối với rủi ro nhà cung ứng trong kiểm tra của khách hàng b
CHÚ DẪN
X phần trăm không phù hợp, %
Y xác suất của tình huống trọng tài
1 Nhà cung ứng n = 100, Ac = 1; khách hàng n = 100, Ac = 1.
2 Nhà cung ứng n = 318, Ac = 4; khách hàng n = 50, Ac = 3.
Hình A.1 – Đường đặc trưng trọng tài của quy trình lấy mẫu của nhà cung ứng và khách hàng

CHÚ DẪN
X phần trăm không phù hợp, %
Y xác suất của tình huống trọng tài
a đường đặc trưng khách hàng với n = 50, Ac = 3
b đường đặc trưng nhà cung ứng n = 318, Ac = 4
Hình A.2 – Giải thích APP liên quan đến đường đặc trưng hiệu quả
Phụ lục B
(tham khảo)
Khuyến nghị cho việc thiết lập rủi ro của khách hàng trong kiểm tra của nhà cung ứng
B.1 Ý nghĩa rủi ro của khách hàng trong kiểm tra của nhà cung ứng
Xem xét tất cả thông tin sẵn có trước đó về sản phẩm được chuyển giao, khách hàng có thể ước lượng xác suất P tiên nghiệm của việc giao nộp các lô sản xuất không phù hợp cho kiểm tra của nhà cung ứng:
P(p > pNQL)
trong đó
p là mức chất lượng lô;
pNQL là mức chất lượng lô bằng với NQL.
CHÚ THÍCH: Ký hiệu bất đẳng thức trong P(p > pNQL) có nghĩa là chất lượng tốt tương ứng với giá trị của p nhỏ. Ví dụ về tham số đó được đại diện bằng phần trăm cá thể không phù hợp.
Đối với rủi ro của khách hàng b0, thể hiện xác suất của việc chấp nhận tổng thể sản phẩm không đáp ứng các yêu cầu chất lượng liên quan đến thông tin sẵn có trước đó, có bất đẳng thức dưới đây:
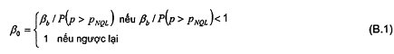
bb ≤ b0P(p > pNQL)
trong đó b0 là rủi ro của khách hàng trong kiểm tra của nhà cung ứng, nghĩa là giá trị của đường đặc trưng hiệu quả ở mức chất lượng lô pNQL.
CHÚ THÍCH: Bất đẳng thức này không phụ thuộc vào tính chất của hàm phân bố tiên nghiệm, và cũng không phụ thuộc vào loại đường đặc trưng hiệu quả. Bất đẳng thức đúng đối với mọi loại hàm phân bố tiên nghiệm và đường đặc trưng hiệu quả. Giá trị của b0P(p > pNQL) có thể lớn hơn nhiều lần so với giá trị của bb. Điều này cần được xem xét khi sử dụng công thức có được từ bất đẳng thức này vì chúng có thể đưa ra kết quả cực kỳ bảo đảm.
Nếu giá trị P(p > pNQL) nhỏ hơn đáng kể so với 1, ví dụ nhỏ hơn 0,1, thì khách hàng có thể tăng giá trị của rủi ro b0 trong khi vẫn duy trì giá trị rủi ro của khách hàng bb nhỏ hợp lý.
Do đó, nếu khách hàng được định hướng tới giá trị rủi ro bb thực tế nhất định (ví dụ, bb = 0,01 hoặc bb = 0,05), thì giá trị của b0 có thể có được từ công thức

B.2 Thiết lập mức tin tưởng thích hợp
Giá trị của β0 thiết lập trên cơ sở (B.1) biểu thị sự tin tưởng của khách hàng về nhà cung ứng và chất lượng của sản phẩm được chuyển đến. Với giá trị β0 tăng (tương ứng với sự gia tăng lòng tin của khách hàng) lượng kiểm tra và chi phí được giảm đáng kể. Với β0 tăng từ 0,1 đến 0,8 hoặc 0,9, lượng kiểm tra được giảm theo hệ số hàng chục hoặc thậm chí hàng trăm. Hình B.1 minh họa điều này với ví dụ về sự phụ thuộc của cỡ mẫu vào β0. Xem thêm TCVN 10857-2 (ISO 13448-2:2004), Bảng A.15 đến A.19.
Việc đem lại cho khách hàng quyền ấn định giá trị của β0 với việc chia sẻ các khoản tiết kiệm chi phí kiểm tra giữa nhà cung ứng và khách hàng sẽ khuyến khích cả hai bên trao đổi dữ liệu về chất lượng và chuyển từ trao đổi thông tin về kiểm tra sản phẩm sang thông tin liên quan đến chất lượng của các lô được chuyển giao.
Khi không thể ước lượng β0 và/hoặc P(p > pNQL) thì các hướng dẫn này khuyến nghị 7 mức tin tưởng trước đó khi nhà cung ứng sử dụng phương án và chương trình lấy mẫu, và 7 giới hạn tương ứng về rủi ro của khách hàng β0 hoặc mức tin cậy g0 trong kiểm tra của nhà cung ứng tương ứng. Bảy mức tin tưởng này được thể hiện trong Bảng B.1. Trong trường hợp đó, cần sử dụng TCVN 10857-2 (ISO 13448-2) để có được phương án lấy mẫu một lần thích hợp.
Nếu bảy mức tin tưởng không đủ cho khách hàng, thì có bảng mở rộng đến 10 mức tin tưởng (xem Bảng B.2).

|
Rủi ro của khách hàng trong kiểm tra của nhà cung ứng, b0 |
0,1 |
0,25 |
0,5 |
0,75 |
0,9 |
1,0 |
|
Cỡ mẫu, n |
198 |
172 |
17 |
8 |
3 |
0 |
|
Số chấp nhận, Ac |
4 |
3 |
0 |
0 |
0 |
– |
|
Cỡ lô = 2 000 NQL = 4 % Mức chất lượng mong đợi = 1 % |
||||||
CHÚ DẪN
X Rủi ro của khách hàng trong kiểm tra của nhà cung ứng, b0
Y cỡ mẫu, n
Hình B.1 – Cỡ mẫu ấn định cho lấy mẫu một lần như hàm rủi ro của khách hàng trong kiểm tra của nhà cung ứng
B.3 Rủi ro của khách hàng đối với chương trình lấy mẫu
Phương pháp luận về đánh giá xác suất tiên nghiệm của sản phẩm chất lượng kém P(p > pNQL) là vấn đề đối với khách hàng. Nó có thể chỉ dựa trên, ví dụ, ước lượng chuyên môn của người quy định b0, hoặc có thể dựa trên một ước lượng khác nào đó.
Bằng sự thỏa thuận giữa nhà cung ứng và khách hàng, có thể chấp nhận quy định b0 là hàm thông tin của nhà cung ứng liên quan đến mức chất lượng thực tế của sản phẩm. Đặc biệt, b0 có thể là hàm số của mức chấp nhận không phù hợp pα được nhà cung ứng quy định đơn phương, nghĩa là b0 = ƒ(pα). Trong trường hợp này, kiểu phụ thuộc của b0 vào pα cần được thỏa thuận giữa nhà cung ứng và khách hàng.
Cũng được phép đưa ra giá trị b0 phụ thuộc vào kết quả của việc chứng nhận hệ thống đảm bảo chất lượng. Theo đó, với kết quả tích cực từ việc chứng nhận hệ thống đảm bảo chất lượng, khuyến nghị là không đặt b0 ở giá trị thấp hơn 0,5.
Khi sử dụng chương trình kiểm tra có chuyển đổi giữa các phương án kiểm tra với mức độ chặt chẽ khác nhau, khách hàng (hoặc bên thứ ba) có thể ấn định giới hạn về rủi ro hệ thống của khách hàng trung bình theo công thức:
![]()
trong đó
βa là rủi ro hệ thống của khách hàng trong kiểm tra của nhà cung ứng, nghĩa là xác suất chấp nhận lô hệ thống tại pNQL đối với quy tắc chuyển đổi;
βab là rủi ro của khách hàng tại đó khách hàng (hoặc bên thứ ba) được định hướng thực sự;
P(p > pNQL) là xác suất tiên nghiệm của việc giao nộp lô chất lượng kém trong kiểm tra của nhà cung ứng (lấy mẫu chấp nhận).
Trong khi đánh giá giá trị này, cần xem xét dữ liệu kiểm tra từng lô. Những dữ liệu này chỉ được xem xét để tính toán xác suất chuyển đổi sang phương án kiểm tra có mức độ chặt chẽ khác nhau và từ đó tính toán rủi ro.
Đối với chương trình kiểm tra, khuyến nghị áp dụng bảy mức tin tưởng vào nhà cung ứng nêu trên, T1 đến T7.
Đối với hợp đồng dài hạn và cũng theo sự thỏa thuận với các nhà cung ứng đã biết là có uy tín tốt về chất lượng hoặc được tổ chức chứng nhận có thẩm quyền thừa nhận, khuyến nghị giả định mức độ tin cậy cao, chủ yếu là b0 = 0,9 hoặc b0 = 0,75. Việc sử dụng (giới hạn) mức tin tưởng thấp hơn T4 (b0 = 0,5) là có lợi khi làm việc với nhà cung ứng, sản phẩm hoặc quá trình mới và chưa biết. Cần chú ý rằng khách hàng có thể sử dụng bất kỳ biện pháp nào để xác định b0 và bảng đã cho chỉ là khuyến nghị cho khách hàng.
B.4 Áp dụng các mức tin tưởng
Áp dụng mức (giới hạn) tin tưởng riêng rẽ và thảo luận về các kết quả được trình bày trong Phụ lục B của TCVN 10857-2:2015 (ISO 13448-2:2004).
Bảng B.1 – Bảy mức tin tưởng vào thông tin trước đó về năng lực của nhà cung ứng trong việc đáp ứng yêu cầu quy định
|
Mức tin tưởng về năng lực của nhà cung ứng |
Rủi ro của khách hàng và mức tin cậy trong kiểm tra của nhà cung ứng |
|
T7: Tin tưởng hoàn toàn (tuyệt đối) vào năng lực của nhà cung ứng Tương ứng với sự sẵn có giấy chứng nhận của một tổ chức cho hệ thống quản lý chất lượng [phù hợp với TCVN ISO 9001 (ISO 9001), hoặc tiêu chuẩn hệ thống quản lý chất lượng được thừa nhận tương đương], giải thưởng chất lượng quốc gia hoặc quốc tế, mô hình sản xuất được thử nghiệm, uy tín tin cậy của nhà cung ứng, có “lịch sử chất lượng” khẳng định khả năng của nhà cung ứng trong việc đảm bảo yêu cầu chất lượng của khách hàng, thực hiện kiểm soát thống kê quá trình và (hoặc) khoảng thời gian chuyển giao lâu dài các lô mà không có khiếu nại, cam kết của nhà cung ứng về TQM, v.v… |
b0 = 1; g0 = 0 (chuyển giao thành phẩm mà không cần kiểm tra của nhà cung ứng) |
|
T6: Mức tin tưởng cao vào năng lực của nhà cung ứng Tương ứng với việc sẵn có giấy chứng nhận của một tổ chức cho hệ thống quản lý chất lượng [phù hợp với TCVN ISO 9001 (ISO 9001), hoặc tiêu chuẩn hệ thống quản lý chất lượng được thừa nhận tương đương], giải thưởng chất lượng quốc gia hoặc quốc tế, thực hiện kiểm soát thống kê quá trình và kinh nghiệm tích cực có được từ những đơn đặt hàng dài hạn, sự tham gia một phần của nhà cung ứng vào các hoạt động TQM |
b0 = 0,9; g0 = 0,1 |
|
T5: Mức tin tưởng trung bình vào năng lực của nhà cung ứng Tương ứng với việc sẵn có giấy chứng nhận của một tổ chức cho hệ thống quản lý chất lượng [phù hợp với TCVN ISO 9001 (ISO 9001), hoặc tiêu chuẩn hệ thống quản lý chất lượng được thừa nhận tương đương], giải thưởng chất lượng quốc gia hoặc quốc tế, thực hiện kiểm soát thống kê quá trình, chuyển giao lâu dài sản phẩm được chấp nhận |
b0 = 0,75; g0 = 0,25 |
|
T4: Thái độ trung lập (thờ ơ) với năng lực của nhà cung ứng Tương ứng với việc không có hệ thống quản lý chất lượng được chứng nhận nhưng bù lại các yếu tố dưới đây được xem xét: chuyển giao lâu dài các lô có chất lượng thỏa mãn; được khách hàng đánh giá hệ thống quản lý chất lượng; thực hiện một phần kiểm soát thống kê quá trình |
b0 = 0,5; g0 = 0,5 |
|
T3: Năng lực của nhà cung ứng không chắc chắn Tương ứng với việc không có giấy chứng nhận cho hệ thống quản lý chất lượng và kinh nghiệm của khách hàng về các đơn đặt hàng từ nhà cung ứng, không có kiểm soát chất lượng thống kê, nhưng có dữ liệu lích cực gián tiếp từ khách hàng khác hoặc cộng đồng khách hàng |
b0 = 0,25; g0 = 0,75 |
|
T2: Năng lực của nhà cung ứng chưa biết Tương ứng với việc không có bất kỳ thông tin đáng tin cậy nào về năng lực của nhà cung ứng trong việc đảm bảo chất lượng yêu cầu |
b0 = 0,1; g0 = 0,9 |
|
T1: Mức đặc biệt Tương ứng với tham số an toàn và sinh thái đặc biệt quan trọng của sản phẩm và việc không có thông tin trước đó về năng lực của nhà cung ứng |
b0 = 0; g0 = 1 (yêu cầu kiểm tra 100 % trước khi chuyển giao) |
|
Mức đặc biệt T1 có nghĩa là phải dùng đến kiểm tra 100 %. Việc thực hiện cần được quy định trong các tài liệu liên quan trong trường hợp các tham số đặc biệt quan trọng được kiểm tra và khi không có thông tin nào hoặc thông tin bất lợi về năng lực của nhà cung ứng trong việc đảm bảo chất lượng yêu cầu. Khách hàng không được đơn phương chuyển sang T1, mà chỉ trên cơ sở thỏa thuận song phương với sự cho phép của cơ quan có trách nhiệm. Có thể tăng lên hoặc giảm xuống một mức tin tưởng từ mức tin tưởng được lựa chọn để xem xét tầm quan trọng của cá thể được kiểm tra. |
|
Bảng B.2 – Bảng mở rộng với mười mức tin tưởng vào thông tin trước đó về năng lực của nhà cung ứng trong việc đáp ứng yêu cầu quy định
|
Mức tin tưởng về năng lực của nhà cung ứng |
Rủi ro của khách hàng và mức tin cậy trong kiểm tra của nhà cung ứng |
|
T10: Tin tưởng hoàn toàn (tuyệt đối) vào năng lực của nhà cung ứng Tương ứng với sự sẵn có giấy chứng nhận của một tổ chức cho hệ thống quản lý chất lượng [phù hợp với TCVN ISO 9001 (ISO 9001), hoặc tiêu chuẩn hệ thống quản lý chất lượng được thừa nhận tương đương], giải thưởng chất lượng quốc gia hoặc quốc tế, mô hình sản xuất được thử nghiệm, uy tín tin cậy của nhà cung ứng, có lịch sử chất lượng khẳng định khả năng của nhà cung ứng trong việc đảm bảo yêu cầu chất lượng của khách hàng, thực hiện kiểm soát thống kê quá trình và (hoặc) khoảng thời gian chuyển giao lâu dài các lô mà không có khiếu nại, cam kết của nhà cung ứng về quản lý chất lượng toàn diện, v.v… |
b0 = 1; g0 = 0 (chuyển giao thành phẩm mà không cần kiểm tra của nhà cung ứng) |
|
T9: Mức tin tưởng rất cao vào năng lực của nhà cung ứng Tương ứng với T10 nhưng khoảng thời gian chuyển giao thành công ngắn hơn hoặc khách hàng có những nghi ngờ nhất định về giá trị sử dụng của tất cả các tài liệu đề cập trong T10, không cho phép họ từ bỏ việc kiểm tra |
b0 = 0,95; g0 = 0,05 |
|
T8: Mức tin tưởng cao vào năng lực của nhà cung ứng Tương ứng với việc sẵn có giấy chứng nhận của một tổ chức cho hệ thống quản lý chất lượng của họ [phù hợp với TCVN ISO 9001 (ISO 9001), hoặc tiêu chuẩn hệ thống quản lý chất lượng được thừa nhận tương đương], giải thưởng chất lượng quốc gia hoặc quốc tế, thực hiện đầy đủ kiểm soát thống kê quá trình và kinh nghiệm tích cực có được từ những đơn đặt hàng dài hạn |
b0 = 0,9; g0 = 0,1 |
|
T7: Nhiều hơn mức tin tưởng trung bình vào năng lực của nhà cung ứng Tương ứng với việc sẵn có giấy chứng nhận của tổ chức cho hệ thống quản lý chất lượng của họ (phù hợp với TCVN ISO 9001 (ISO 9001), hoặc tiêu chuẩn hệ thống quản lý chất lượng được thừa nhận tương đương], giải thưởng chất lượng quốc gia hoặc quốc tế; thực hiện kiểm soát thống kê quá trình, mặc dù thông tin trực tiếp của khách hàng về nhà cung ứng có thể thiếu |
b0 = 0,75; g0 = 0,25 |
|
T6: Mức tin tưởng trung bình vào năng lực của nhà cung ứng Tương ứng với việc sẵn có giấy chứng nhận của tổ chức cho hệ thống quản lý chất lượng của họ [phù hợp với TCVN ISO 9001 (ISO 9001), hoặc tiêu chuẩn hệ thống quản lý chất lượng được thừa nhận tương đương], giải thưởng chất lượng quốc gia hoặc quốc tế; thực hiện kiểm soát thống kê quá trình, chuyển giao lâu dài các sản phẩm được chấp nhận |
b0 = 0,7; g0 = 0,3 |
|
T5: Mức tin tưởng trung bình vào năng lực của nhà cung ứng Tương ứng với việc sẵn có giấy chứng nhận của tổ chức cho hệ thống quản lý chất lượng của họ [phù hợp với TCVN ISO 9001 (ISO 9001), hoặc tiêu chuẩn hệ thống quản lý chất lượng được thừa nhận tương đương), giải thưởng chất lượng quốc gia hoặc quốc tế; thực hiện kiểm soát thống kê quá trình, chuyển giao lâu dài các sản phẩm được chấp nhận |
b0 = 0,6; g0 = 0,4 |
|
T4: Thái độ trung lập (thờ ơ) với năng lực của nhà cung ứng Tương ứng với việc không có hệ thống quản lý chất lượng được chứng nhận nhưng bù lại các yếu tố dưới đây được xem xét: chuyển giao lâu dài các lô có chất lượng thỏa mãn; được khách hàng đánh giá hệ thống quản lý chất lượng; thực hiện một phần kiểm soát thống kê quá trình |
b0 = 0,5; g0 = 0,5 |
|
T3: Năng lực của nhà cung ứng không chắc chắn Tương ứng với việc không có giấy chứng nhận cho hệ thống quản lý chất lượng và kinh nghiệm của khách hàng về các đơn đặt hàng từ nhà cung ứng, không có kiểm soát chất lượng thống kê, nhưng có dữ liệu tích cực gián tiếp từ khách hàng khác hoặc cộng đồng khách hàng được xem xét |
b0 = 0,25; g0 = 0,75 |
|
T2: Năng lực của nhà cung ứng chưa biết Tương ứng với việc không có bất kỳ thông tin đáng tin cậy nào về năng lực của nhà cung ứng trong việc đảm bảo chất lượng yêu cầu |
b0 = 0,1; g0 = 0,9 |
|
T1: Mức đặc biệt Tương ứng với tham số an toàn và sinh thái đặc biệt quan trọng của sản phẩm và việc không có thông tin trước đó về năng lực của nhà cung ứng |
b0 = 0; g0 = 1 (yêu cầu kiểm tra 100 % trước khi chuyển giao) |
THƯ MỤC TÀI LIỆU THAM KHẢO
[1] TCVN ISO 9001:20002), Hệ thống quản lý chất lượng – Các yêu cầu
[2] TCVN ISO 9004 (ISO 9004:2000)3), Hệ thống quản lý chất lượng – Hướng dẫn cải tiến hiệu năng
[3] TCVN 9946 (ISO/TR 8550:1994), Hướng dẫn lựa chọn hệ thống, chương trình hoặc phương án lấy mẫu chấp nhận để kiểm tra các cá thể đơn chiếc trong lô
[4] DODGE, H.F. and ROMIG. Sampling inspection tables. Jonh Wiley and Sons, New York, 1994 (Bảng kiểm tra lấy mẫu)
[5] DODGE, H.F. Inspection for quality assurance. Journal of Quality Technology, 9, No.3, 1977 (Kiểm tra để đảm bảo chất lượng)
[6] LAPIDUS, V.A. Statistical quality inspection on the basis of the allocation-of-priorities principle. Reliability and quality control, 6, 1984 (Kiểm tra chất lượng thống kê trên cơ sở nguyên tắc phân bổ ưu tiên)
[7] LAPIDUS, V.A., GLAZOUNOV, A.V., ROZNO, M.I., MAXAKHOV, A.B., GOTIN, A.E., and LITVINOV, V.S. Acceptance sampling based on the allocation-of-priorities principle. Moscow, Finance and statistics, 1991 (Lấy mẫu chấp nhận dựa trên nguyên tắc phân bổ ưu tiên).
MỤC LỤC
Lời nói đầu
Lời giới thiệu
1 Phạm vi áp dụng
2 Tài liệu viện dẫn
3 Thuật ngữ, định nghĩa, ký hiệu và thuật ngữ viết tắt
3.1 Thuật ngữ và định nghĩa
3.2 Ký hiệu và thuật ngữ viết tắt
4 Tổng quan chung về chất lượng
4.1 Thước đo chất lượng
4.2 Vai trò của thông tin về đảm bảo chất lượng
5 Lựa chọn hệ thống lấy mẫu
5.1 Mối quan hệ giữa các hệ thống lấy mẫu
5.2 Loạt liên tục các lô
5.3 Các lô riêng biệt
5.4 Đặc điểm của hệ thống lấy mẫu TCVN 10857 (ISO 13448)
6 Yêu cầu đối với chất lượng lô và mối quan hệ giữa các bên
6.1 Yêu cầu chất lượng lô
6.1.1 Biểu mẫu của yêu cầu chất lượng lô
6.2 Mối quan hệ của các bên quan tâm đến chất lượng lô
6.3 Biện pháp phòng ngừa
7 Mục tiêu của việc kiểm tra do nhà cung ứng, khách hàng và bên thứ ba thực hiện
7.1 Khái quát
7.2 Mục tiêu của việc kiểm tra do nhà cung ứng thực hiện
7.3 Mục tiêu của việc kiểm tra do khách hàng thực hiện
7.4 Mục tiêu của việc kiểm tra do bên thứ ba thực hiện
8 Yêu cầu của hệ thống kiểm tra lấy mẫu do nhà cung ứng, khách hàng hoặc bên thứ ba thực hiện
8.1 Yêu cầu chung của hệ thống
8.2 Độ tái lập của các quyết định được đưa ra từ kết quả kiểm tra lấy mẫu
8.3 Tính linh hoạt của hệ thống và khả năng điều chỉnh với năng lực và quyền lợi riêng của các bên kiểm tra
8.4 Hiệu quả chi phí của việc kiểm tra
8.5 Loại thông tin được sử dụng khi tổ chức kiểm tra và đưa ra quyết định
9 Thông tin trước đó
9.1 Loại thông tin trước đó
9.2 Cách tiếp cận APP cho việc xem xét thông tin trước đó
9.3 Khía cạnh kinh tế của thông tin trước đó
10 Lựa chọn phương án và chương trình lấy mẫu
10.1 Khái quát
10.2 Đặc trưng của các phương án và chương trình lấy mẫu
10.3 Quyền của các bên trong việc lựa chọn phương án và chương trình lấy mẫu
10.4 Phương án và chương trình lấy mẫu chấp nhận được
10.5 Thiết lập các ràng buộc đối với rủi ro và mức tin cậy
10.6 Quy tắc ra quyết định
11 Giao nộp lại các lô không chấp nhận trước đó trong kiểm tra của nhà cung ứng
Phụ lục A (tham khảo) Nguyên tắc phân bổ ưu tiên
Phụ lục B (tham khảo) Khuyến nghị cho việc thiết lập rủi ro của khách hàng trong kiểm tra của nhà cung ứng
Thư mục tài liệu tham khảo
1) Tiêu chuẩn này hiện đã được soát xét và thay thế bằng TCVN ISO 9001:2008.
2) Tiêu chuẩn này hiện đã bị hủy bỏ và thay thế bằng TCVN ISO 9001:2008.
3) Tiêu chuẩn này hiện đã bị hủy bỏ và thay thế bằng TCVN ISO 9004:2011 (ISO 9004:2009).


