Tiêu chuẩn Việt Nam TCVN177:1993

  • Loại văn bản: Tiêu chuẩn Việt Nam
  • Số hiệu: TCVN177:1993
  • Cơ quan ban hành: ***
  • Người ký: ***
  • Ngày ban hành: ...
  • Ngày hiệu lực: ...
  • Lĩnh vực: Xây dựng
  • Tình trạng: Không xác định
  • Ngày công báo: ...

Nội dung toàn văn Tiêu chuẩn Việt Nam TCVN 177:1993 về đường ống dẫn khí đặt ở đất liền – quy định kĩ thuật tạm thời về hành lang an toàn


TIÊU CHUẨN VIỆT NAM

TCVN 177 : 1993

ĐƯỜNG ỐNG DẪN KHÍ ĐẶT Ở ĐẤT LIỀN – QUY ĐỊNH KĨ THUẬT TẠM THỜI VỀ HÀNH LANG AN TOÀN
Onshore pipeline for gas transportation – Provisional technical rules for safety corridor

Tiêu chuẩn này thay thử cho điều 3 của tiêu chuẩn Việt Nam – đường ống chính dẫn dầu và sản phẩm dầu. tiêu chuẩn thiết kế TCVN 4090: 1985. Tiêu chuẩn này là bắt buộc áp dụng.

1. Quy định chung

1.1. Hành lang an toàn của đường ống dẫn khí là không gian giới hạn bởi hai mặt phẳng thẳng đứng chạy song song và cách đều về hai phía của đường ống.

Khi thiết kế đường ống dẫn khí nhất thiết phải xác định hành lang an toàn.

1.2. áp suất thiết kế là áp suất cực đại cho phép, được xác định phù hợp với vật làm ống và địa điểm đặt ống.

1.3. áp suất làm việc cực đại là áp suất cao nhất mà hệ thống đường ống làm việc trong quá trình hoạt động bình thường.

2. Xác định chiều rộng hành lang an toàn

Việc xác định hành lang an toàn của đường ống dẫn khí được thực hiện dựa trên các yếu tố cơ bản sau đây:

2.1. ống thép: một số ống thép thường dùng để dẫn khí được quy định ở bảng 1.

2.2. Các chất được vận chuyển ở trong đường ống (gọi tắt là chất dẫn) .

Tiêu chuẩn chế tạo ống

Loại thép làm ống

Cường độ tối thiểu đặc trưng chế tạo ống (N/mm2)

1

2

3

API 51

API 5L

ASTMA 106

ASTMA 139

ASTMA 139

ASTMA 53

API 5L

API 5L

API 5L

API 5L

API 5L

API 5L

API 5L

ASTMA – 333

ASTMA – 333

ASTMA – 333

ASTMA – 333

ASTMA – 333

ASTMA – 333

ASTMA – 333

ASTMA – 381

ASTMA A 381

ASTMA A 381

ASTMA A 381

ASTMA A 381

ASTMA A 381

ASTMA A 381

ASTMA A 381

A

B

C

D

E

P

X42

X46

X52

X60

X68

X70

X80

1

3

4

6

7

8

9

Loại Y- 35

Loại Y- 35

Loại Y- 35

Loại Y- 35

Loại Y- 35

Loại Y- 35

Loại Y- 35

Loại Y– 35

207

241

276

317

358

172

289

317

358

413

448

482

552

207

241

241

241

241

371

371

241

289

317

345

358

384

413

448

 

2.2.1. Chất dẫn trong quy định tạm thời này là khí hay hỗn hợp khí thiên nhiên, khí đồng hành, khí hydrô, khí mê tan, khí dầu mỏ hoá lỏng, khí thiên nhiên hoá lỏng.

2.2.2. Hệ số chất dẫn (kí hiệu là Q) đặc trưng cho mức độ độc hại và khả năng cháy nổ của các chất dẫn. Giá trị Q của một số chất dẫn được quy định ở bảng 2.

Bảng 2

Số thự tự

Tên chất dẫn

Hệ số chất dẫn Q

1

2

3

Hidro

Khí dầu hóa lỏng

Khí thiên nhiên hóa lỏng

0,45

1

1,20

2.3. Địa điểm đặt ống

2.3.1. Phân loại địa điểm đặt ống

Địa điểm đặt ống dẫn khí được chia làm 3 loại như sau:

* Loại 1: Địa điểm loại l là địa điểm có mật độ dân số trung bình nhỏ hơn 60 người/km2.

* Loại 2: Địa điểm loại 2 là loại địa điểm có mật độ dân số trung bình từ 60 người/km2 đến 280 người/km2.

* Loại 3: Địa điểm loại 3 là loại địa điểm có mật độ dân số trung bình lớn hơn 280 người/km2.

Ghi chú: Khi đường ống dẫn khí đi qua địa điểm loại 1 và 2 nhưng có những đoạn gần nơi tập trung đông người (20 người trở lên) thì phải tính hành lang an toàn cho những đoạn này như khi đi qua địa điểm loại 3.

2.3.2.

2.3.2.a. Mật độ dân số trung bình đối với đường ống dẫn khí thiên nhiên, khí đồng hành khí Mêtan được xác định trên diện tích dọc theo chiều dài đường ống và chiều rộng tính từ trục đường ống dẫn khí đến mỗi phía là 200m.

2.3.2b. Mật độ dân số trung bình đối với đường ống dẫn khí hidrô, khí dầu mỏ hoá lỏng, khi thiên nhiên hoá lỏng được xác định trên diện tích dọc theo chiều dài đường ống và chiều rộng bằng 3 lần khoảng cách được tính theo công thức ở mục 2.5.

2.4. Hệ số thiết kế đường ống (kí hiệu là F) là đại lượng phụ thuộc chủ yếu vào đặc tính vật liệu làm ống, phương pháp chế tạo ống và địa điểm đặt ống. Giá trị của hệ số F được quy định ở bảng 3.

Bảng 3

Loại địa điểm

Hệ số thiết kế F

Loại 1

Loại 1

Loại 1

0,72

0,6

0,4 – 0,5

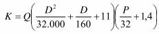
2.5. Khoảng cách tối thiểu (kí hiệu là K) từ đường ống dẫn khí (trừ khí Mêtan) đến các công trình được xác định bằng công thức sau đây:

Trong đó:

Q- Hệ số chất dẫn xem ở bảng 2 của quy định này.

P – áp suất làm việc cực đại của đường ống tính bằng bar (1 bar =1,02 kG/m2)

D- đường kính ngoài của ống tính bằng mm.

K- Khoảng cách tối thiểu từ trục đường ống dẫn khí đến các công trình tính bằng m (khoảng cách bằng 2K chính là bề rộng của tuyến hành lang an toàn).

Ghi chú:

1. Cách tính khoảng cách đến các công trình như sau:

+ Đối với các nhà và công trình riêng biệt (nhà và công trình riêng biệt là những nhà và công trình nằm độc lập ở ngoài khu vực dân cư với khoảng cách từ 30m trở lên) tính đến phần lối gần nhất của chúng.

+ Đối với các xí nghiệp công nghiệp riêng biệt, ga xe lửa, sân bay ; bến cảng tính đến phạm vi giới hạn của chúng (kể cả phần mở rộng sau này).

+ Đối với đường sắt, đường ô tô tính đến chân ta luý.

+ Đối với cầu tính từ chân dốc.

2. Khoảng cách tối thiểu từ đường ống dẫn khí (trừ khí Mêtan) đến đường sắt, đường ôtô, cầu đường sắt, cầu đường ôtô nằm song song cũng xác định theo công thức ở mục 2.5 này.

2.6. Khoảng cách tối thiểu từ đường ống vận chuyển khí mêtan đến các công trình và đến đường sắt, đường ô tô, cầu đường sắt, cầu đường ô tô nằm song song được xác định bằng biểu đồ 1 của quy định này.

2.7. Khoảng cách tối thiểu từ đường ống dẫn khí đến đường ống cấp thoát nước đặt song song không được nhỏ hơn 10m.

2.8. Đường ống dẫn khí phải đặt ngoài hanh lang bảo vệ của đường dây dẫn điện cao áp trên không nhưng trong điều kiện chật hẹp khi đường ống dẫn khí song song hoặc giao chéo với đường dây dẫn điện cao áp thì khoảng cách cho phép từ mép móng cột đỡ dây điện cao áp đến đường ống dẫn khí được quy định như sau:

+ 5m đối với dây điện cao áp đến 66 KV.

+ 10m đối với dây điện cao áp đến 110 – 220 KV.

+ 15m đối với dây điện cao áp đến 350 – 500 KV.

Ghi chú: Ngoài điều 2.8 này còn cần phải thực hiện đúng các quy định đối với đường ống dẫn khí trong: ” quy phạm trang bị điện – phần II – Hệ thống đường dẫn điện: 11TCN – 19- 84”

2.9. Khoảng cách của các bể chứa khí dầu mỏ hoá lỏng đến hàng rào bảo vệ được quy định ở bảng 4.

Bảng 4

Dung tích của các bể chứa (m3)

Khoảng cách tối thiểu (m)

Bể chứa ngầm và trên đất

Bể chứa ở trên cao

Giữa các bể chứa

Nhỏ hơn 0,3

Từ 0,3 đến 0,9

Từ 1 đến 1,8

Từ 1,9 đến 7,5

Từ 7,6 đến 113

Từ 114 đến 265

3

3

3

5

15

15

3

3

7,6

15

23

1

3

1/4 tổng của hai đường kính của các bể chứa sát gần nhau

Ghi chú: Các bể chứa khí dầu mỏ hóa lỏng nhất thiết phải có hàng rào bảo vệ xung quanh

2.10. Khi thiết kế các đoạn đường ống đi qua đường ô tô, đường sắt, đầm lầy: sông, suối…vv cần phải có các biện pháp kĩ thuật đặc biệt để đảm bảo an toàn, như chiều dầy thành ống, tăng chiều sâu đặt ống, dùng ống lồng bao bọc, tăng cường các lớp sơn bảo vệ v.v…

3. Bảo vệ hành lang an toàn của đường ống dẫn khí đốt

3.1. Trong phạm vi hành lang an toàn không được tiến hành các công việc sau đây:

a. Thường xuyên tổ chức hội họp đông người.

b. Xây dựng các công trình cố định như nhà ở, trụ sở cơ quan, trường học, bể chứa, nhà máy, kho tàng v.v…

c. Chứa các chất dễ cháy nổ.

d. Thải nước bẩn có tác dụng ăn mòn đường ống dẫn khí.

3.2. Khi được thông báo phải di chuyển nhà cửa, công trình ra khỏi hành lang an toàn của đường ống dẫn khí thì chủ sở hữu các công trình trên phải thực hiện theo đúng thời gian quy định ghi trong thông báo.

3.3. Dọc theo đường ống dẫn khí phải đặt các biển báo hoặc tín hiệu

3.4. Phải xây dựng những trạm gác dọc theo tuyến đường ống dẫn khí và có người trực thường xuyên để kiểm tra và bảo vệ. Khoảng cách giữa các trạm gác được xác định nhằm bảo đảm khả năng kiểm tra và bảo vệ đường ống.

Phụ lục 1

Xác định hành lang an toàn cho đường ống dẫn khí Long Hải – Thủ Đức

1. Tài liệu làm cơ sở để tính toán

a. Luận chứng kinh tế kĩ thuật: “Hệ thống thu gom và vận chuyển khí Bạch Hổ – Thủ Đức”.

b. Quy định kĩ thuật tạm thời về hành lang an toàn.

2. Các giai đoạn tính toán cụ thể.

a. ống thép: Theo kết quả tính toán thuỷ lực trong “Luận chứng kinh tế kĩ thuật hệ thống thu gom và vận chuyển khí Bạch Hổ – Thủ Đức” thì ống thép được chọn là loại sản xuất theo tiêu chuẩn của Mĩ API-5L loại X60 có kích thước cụ thể như sau:

+ Đoạn Long Hải – Bà Rịa: 426x 10,31mm

+ Đoạn Bà Rịa – Phú Mỹ: 406 x 10,31mm

+ Đoạn Phú Mỹ – Thủ Đức: 406 x 10,31mm

+ áp suất làm việc tối đa của từng đoạn ống:

+ Đoạn Long Hải – Bà Rịa: P = 58,8 kg/cm2

+ Đoạn Bà Rịa – Phú Mỹ: P = 38, kg/cm2

+ Đoạn Phú Mỹ – Thủ Đức: P = 27 kg/cm2

b. Chất được vận chuyển ở trong đường ống (chất dẫn) theo Luận chứng kinh tế kĩ thuật chất dẫn trong tuyến ống Long Hải – Thủ Đức chủ yếu là đồng hành. Để thêm phần an toàn toàn trong thí dụ tính toán này sẽ coi chất dẫn là khí mêtan. Vì vậy khi xác định hành lang an toàn sẽ phải dùng biểu đồ l.

c. Địa điểm đặt ống: Tuyến đường ống dẫn khí Long Hải – Thủ Đức đi qua 21 xã, 5 huyện của Đồng Nai và Thành phố Hồ chí Minh có tổng chiều dài là 90,59 km cụ thể từng đoạn như sau:

– Ruộng lúa:                                                                   38,739 km

– Đồng màu:                                                                  6,593 km

– Rừng cây công nghiệp:                                                11,210 km

– Vườn cây ăn quả:                                                        5,920 km

– Đất bỏ hoang:                                                              2,012 km

– Ruộng muối:                                                                0,35 km

– Rãnh lấy sông rạch:                                                     3,18 km

– Đi qua đường nhựa:                                                     7 lần

– Đi qua các sông lớn hơn 20m:                                      8 lần

– Đi qua đường điện cao thử (≥15 KV):                            10 lần

– Đi qua đường ống ngầm dẫn nước đường kính 100-1200 mm:    4 lần

+ Điều kiện địa chất công trình:

– Địa hình vùng ven chân núi:                                           40 km

– Địa hình vùng đồi:                                                         30 km

– Địa hình vùng đất thấp:                                                 20 km

Trong luận chứng KTKT không nêu lên mật độ dân số trung bình của địa điểm đặt ống nên trong thí dụ này dựa vào số nhà phải di chuyển để tính sơ bộ mật độ dân số: < 60 người/km2.

Do đó chọn địa điểm đặt ống là địa điểm loại.

d. Hệ số thiết kế đường ống F: ở mục a của thí dụ này ghi: loại thép làm ống là loại X60 – có cường độ đặc trưng tối thiểu chế tạo ống là 413 N/mm2. Lớn hơn 317 N/mm2 (ống loại D). Hệ số này nằm trong phạm vi các đường kính ống từ D1 đến D7 ở biểu đồ l.

e. Kết quả: Trên cơ sở các yếu tố đã được chọn từ mục a đến mục d. Theo biểu đồ số l xác định được khoảng cách tối thiểu từ trục đường ống dẫn khi đến các công trình như sau:

+ Đoạn Long Hải – Bà Rịa:          35m

+ Đoạn Bà Rịa – Phú Mỹ:            29m

+ Đoạn Phú Mỹ – Thủ Đức:         27m

Chú ý: Vì các đường ống dẫn khí là 406 x 10,31mm và 426 x 10,31mm trong thí dụ này không có vẽ trong biểu đồ 1 nên khi tra biểu đồ đã chọn đường kính lớn hơn gần nhất tức là 457,2mm. Cách chọn này thiên về xu hướng an toàn.

Như vậy: hành lang an toàn theo tính toán này sẽ có chiều rộng như sau:

+ Đoạn Long Hải – Bà Rịa: 70 m

+ Đoạn Bà Rịa – Phú Mỹ: 58 m

+ Đoạn Phú Mỹ – Thủ Đức: 54m

Ghi chú:

1. Khi thiết kế kỹ thuật tuyến ống dẫn khí Long Hải – Thủ Đức nếu có những thay đổi so với luận chứng kinh tế kĩ thuật đă được duyệt thì cần điều chỉnh lại hành lang an toàn cho phù hợp.

2. Tuyến đường ống dẫn khí Long Hải – Thủ Đức có số lần các đoạn ống vượt qua chướng ngại thiên nhiên và nhân tạo như sau:

– Qua đường ô tô: 7 lần

– Qua các sông lớn hơn 20m: 8 lần

– Đi qua đường ống ngầm dẫn nước đường kính 100-200mm: 4 lần

Cần có thiết kế và giải pháp kĩ thuật cụ thể bảo đảm an toàn cho khu vực này như quy định ở điểm 2.10.

Leave a Reply

Your email address will not be published. Required fields are marked *