Tiêu chuẩn Việt Nam TCVN247:1986

  • Loại văn bản: Tiêu chuẩn Việt Nam
  • Số hiệu: TCVN247:1986
  • Cơ quan ban hành: ***
  • Người ký: ***
  • Ngày ban hành: ...
  • Ngày hiệu lực: ...
  • Lĩnh vực: Xây dựng
  • Tình trạng: Không xác định
  • Ngày công báo: ...

Tiêu chuẩn Việt Nam TCVN 247:1986 về gạch xây – phương pháp xác định độ bền uốn đã được thay thế bởi Tiêu chuẩn Việt Nam TCVN 6355-2:1998 về Gạch xây – Phương pháp thử – Phần 2: Xác định cường độ uốn .

Nội dung toàn văn Tiêu chuẩn Việt Nam TCVN 247:1986 về gạch xây – phương pháp xác định độ bền uốn


TIÊU CHUẨN VIỆT NAM

TCVN 247 : 1986

GẠCH XÂY – PHƯƠNG PHÁP XÁC ĐỊNH ĐỘ BỀN UỐN
Bricks – Method for determinatien oflexural strength

Tiêu chuẩn này thay thế cho TCVN 247 : 1967, quy định phương pháp xác định độ bền uốn cho các loại gạch xây dựng dùng trong các công trình xây dựng công nghiệp và dân dụng.

1. Thiết bi thử

1.1. Máy thử uốn hoặc máy ép có phụ kiện để thử uốn gỗm một gối đỡ lăn cố định, một gối đỡ lăn di động và một gối lăn để truyền tải trọng. Đường kính các gối lăn không lớn hơn 20mm, chiều dài gối lãn không nhỏ hơn chiều rộng mẫu thử (hình 1).

Máy ép thuỷ lực để thử uốn có khả năng điều chỉnh tải trọng với sai số không lớn hơn 10daN.

1.2. Thước đo bằng kim loại chính xác đến 1mm.

1.3. Bay, chảo để trộn vữa xi măng và làm mẫu thử.

2. Chuẩn bị mẫu thử

2.1. Mẫu thử để xác định độ bền uốn phải đảm bảo về chỉ tiêu ngoại quan và được lấy theo các quy định hiện hành về lấy mẫu cho từng loại gạch.

2.2. Số lượng mẫu thử là 5 viên gạch nguyên. Khi cần thử thêm ở trạng thái bão hoà nước thì số lượng mẫu thử là 10 viên (5 viên thử trạng thái tự nhiên và 5 viên thử ở trạng thái bão hoà nước).

2.3. Mẫu thử phải ở trạng thái ẩm tự nhiên. Nếu mẫu lấy ở những nơi quá ẩm, trước khi thử phải giữ không ít hơn 3 ngày đêm ở nhiệt độ trong phòng thí nghiệm hoặc được sấy ở nhiệt độ 105 – 1100C trong 4 giờ.

2.4. ở vị trí có lực tập trung (gối đặt lực và 2 gối đỡ), mẫu thử phải được trát phẳng bằng hoặc hồ xi măng hoặc vữa xi măng – cát tiêu chuẩn hoặc vữa thạch cao với chiều dày lớp vữa không lớn hơn 3mm và chiều rộng 25- 30mm. Trước khi trát phẳng, mẫu được nhúng nước không quá 5 phút.

– Nếu sử dụng hồ xi măng hoặc vữa xi măng cát, các mẫu thử được giữ ở nhiệt độ phòng thí nghiệm không ít hơn 3 ngày đêm rồi mới đem thử.

– Nếu sử dụng vữa thạch cao thì giữ mẫu không ít hơn 2 giờ rồi mới đem thử.

2.5. Khi cần thử nhanh thì cho phép mài nhẵn ở vị trí đặt lực tập trung và chỗ tì trên hai gỗi đỡ của máy thử. Cho phép không cần trát phẳng hoặc mài nhẵn ở các vị trí trên khi thử gạch silicat.

2.6. Hồ vữa dùng để trát mẫu được làm bằng xi măng pooclăng loại PC 30 và cát tiêu chuẩn (theo TCVN 139 : 1978). Khi chuẩn bị vữa xi măng cát, tỷ lệ giữa nước và xi măng cần phải nằm trong giới hạn 0,34- 0,36.

2.7. Đối với gạch có lỗ rỗng không xuyên suốt, khi thử phải đặt mẫu theo chiều phân bố lỗ rỗng trong vùng chịu tải trọng kéo.

2.8. Bề mặt cạnh mẫu cần được đánh dấu các vị trí đặt lực trung tâm và chỗ tì trên 2 gối đỡ của máy thử.

3. Tiến hành thử.

3.1. Trước khi thử phải tiến hành đo mẫu bằng thước kim loại với sai số các cạnh không lớn hơn 1mm. Chiều cao mẫu thử là giá trị trung bình cộng 2 lần đo chiều cao 2 mặt cạnh. Chiều rộng mẫu là giá trị trung bình cộng 2 lần đo chiều rộng mặt trên và mặt dưới.

3.2. Đặt mẫu thử trên hai gối tựa, khoảng cách L bằng 200 hoặc 180mm. Lực uốn đặt vào giữa thành phần mẫu, tốc độ tăng tải trọng phải đều, liên tục và bằng 15- 20daN trong một giây cho đến khi mẫu bị phá huỷ tức là khi kim đồng hồ đo lực quay trở lại.

4. Tính kết quả

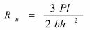
4.1. Độ bền uốn của từng mẫu thử tính bằng daN/cm2 theo công thức :

Trong đó :

P – Tải trọng lớn nhất ghi được khi thử mẫu, tính bằng daN;

l – Khoảng cách giữa các đường tâm gối đỡ, tính bằng cm;

b – Chiều rộng thử mẫu, tính bằng cm;

h – Chiều cao mẫu thử, tính bằng cm.

Độ bền uốn của lô gạch, tính chính xác đến 1daN/cm2 là trung bình cộng của kết quả các mẫu thử.

4.2. Khi thử các mẫu của lô gạch, nếu một mẫu có kết quả thử vượt quá 50% giá trị trung bình độ bền uốn của tất cả các mẫu thử, thì kết quả này loại bỏ. Khi có độ bền uốn của lô gạch là trung bình cộng của 4 mẫu còn lại.

Trong cùng một lô nếu có hai mẫu thử có kết quả sai lệch quá mức trên, thì mẫu gạch phải được lựa chọn thử lại.

4.3. Kết quả thử phải ghi vào bảng (xem phụ lục).

Phụ lục

Bảng ghi kết quả xác định độ bền uốn của gạch

Tên xí nghiệp sản xuất:………………………………………………. Tên gạch : ………………thuộc lô…………………………………

STT

Kích th|ớc mẫu thử (m)

Khoảng cách giữa hai gối đỡ 1(cm2)

Tải trọng (max) khi uốn P (daN)

Độ bền uốn Ru(daN/cm2)

Ghi chú

Chiều rộng b

Chiều cao h

 

 

 

 

 

 

 

 

Nhận xét và kết luận

Độ bền uốn của lô gạch Ru =

Ngày     tháng    năm 19

Người thí nghiệm

(Ký tên)

 

Leave a Reply

Your email address will not be published. Required fields are marked *