Tiêu chuẩn Việt Nam TCVN 249:1986 về gạch xây dựng – Phương pháp xác định khối lượng riêng đã được thay thế bởi Tiêu chuẩn Việt Nam TCVN 6355-4:1998 về Gạch xây – Phương pháp thử – Phần 4: Xác định khối lượng riêng .
Nội dung toàn văn Tiêu chuẩn Việt Nam TCVN 249:1986 về gạch xây dựng – Phương pháp xác định khối lượng riêng
TIÊU CHUẨN VIỆT NAM
TCVN 249 : 1986
GẠCH XÂY DỰNG – PHƯƠNG PHÁP XÁC ĐỊNH KHỐI LƯỢNG RIÊNG
Bricks – Method for determination of specific mass
Tiêu chuẩn này thay thế cho TCVN 249 : 1967 quy định phương pháp xác định khối lượng riêng của gạch xây dựng trong các công trình xây dựng công nghiệp và dân dụng. Tiêu chuẩn này không áp dụng cho gạch không nung trên cơ sở bê tông gồm nhiều thành phần vật liệu khác nhau, không đồng nhất.
1. Thiết bị thử
Búa con;
Cối, chày sứ;
Sàng có kích thước lỗ 0,2mm hoặc 900 lỗ/cm2;
Tủ sấy;
Bình hút ẩm; Thìa con; Cân kỹ thuật chính xác tới 0,01g;
Bình xác định khối lượng riêng (hình 1 và 2).
2. Chuẩn bị mẫu thử
2.1. Mẫu thử dùng để xác định khối lượng riêng được lấy theo các quy định hiện hành về lấy mẫu thử cho từng loại gạch xây.
2.2. Số lượng mẫu thử là 2 viên gạch. Đập viên gạch lấy hai miếng (một ở mặt ngoài và một ở giữa), khối lượng mỗi miếng khoảng 150g. Đập nhỏ và sàng qua sàng có kích thước lỗ 0,2mm. Bằng phương pháp chia tư tạo mẫu trung bình với khối lượng không bé hơn 100g. Sau đó đem nghiền nát trong cối sứ và sàng qua sàng 900 lỗ/cm2. Sấy khô đến khối lượng không đổi ở nhiệt độ 105 – 1100C. Khối lượng không đổi của mẫu thử là khối lượng mà hiệu số giữa hai lần cân kế tiếp nhau không lớn hơn 0,01g, thời gian glữa hai lần cân kế tiếp nhau không nhỏ hơn 4 giờ. Sau đó mẫu thử được để nguội đến nhiệt độ phòng trong bình hút ẩm và giữ mẫu.
3. Tiến hành thử và tính kết quả
3.1. Khối lượng riêng của gạch xây có thể xác định theo một trong hai phương pháp:
– Dùng bình khối lượng riêng (hình 1) trong phương pháp trọng tài;
– Dùng bình khối lượng riêng (hình 2).
3.1.1. Đổ dầu hỏa vào bình đến vạch “0” (lấy mức theo đường cong bên dưới của mặt dầu) sau đó lấy bông hoặc giấy thấm nước lau sạch cổ bình và phần trên chất lỏng.
3.1.2. Cân khoảng 60g chính xác đến 0,01mẫu đã được chuẩn bị theo điều 2.2. Dùng thìa con đổ từ từ từng lượng nhỏ qua phễu vào bình cho đến khi mức chất lỏng

lên đến vạch 20. Ghi kết quả thể tích chất lỏng bị mẫu thử chiếm chỗ. Trước khi
ghi thể tích phải xoay bình độ 10 phút để nhiệt độ trung bình bằng nhiệt độ của nước.
3.1.3. Cân số mẫu còn lại chính xác đến 0,01g.
3.1.4. Khối lượng riêng của gạch (U), tính bằng g/cm3. Theo công thức :
![]()
Trong đó :
m – Khối lượng mẫu dùng để thí nghiệm, tính bằng g ;
m1– Khối lượng mẫu thử còn lại, tính bằng g ;
v – Thể tích chất lỏng bị mẫu thử chiếm chỗ, tính bằng cm3.
3.2. Dùng bình khối lượng riêng (hình 2) để xác định khối lượng riêng.
3.2.1. Cân lấy 10g từ mẫu đã được chuền bị theo điều 2.2. cho vào bình đã rửa sạch và cân sẵn. Dùng nước 18 – 200C đổ vào đến khoảng 1/2 bình. Đuổi hết không khí ra khỏi bình bằng cách đặt bình chứa mẫu thử lên bếp hoặc bếp có tấm lưới amăng.
Đun sôi trong khoảng 15 – 20 phút. Khi không khi đã ra khỏi bình, để nguội bình đến nhiệt độ trong phòng, lấy nước 18 – 200C đổ vào bình đến vạch ngang, rồi cân sau đó đổ mẫu đi, rửa sạch bình lại đổ nước đến vạch ngang rồi cân.
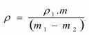
3.2.2. Khối lượng riêng của gạch (r), tlính bằng g/cm3 theo công thức:

Trong đó :
m – Khối lượng mẫu thử, tính bằng g ;
m1-Khối lượng bình chứa nước và mẫu thử, tính bằng g ;
m2 -Khối lượng bình chứa nước, tính bằng g ;
ri-Khối lượng riêng của chất lỏng, tính bằng g/cm3.
3.3. Khối lượng riêng của gạch tính chính xác đến 0,01g/cm3.
3.4. Đối với các loại gạch tiến hành thử hai mẫu. Kết quả thử là trung bình cộng 2 lần thử đó. Nếu kết quả sai lệch nhau quá 0,02g/cm3 thì phải thí nghiệm lại.
3.5. Kết quả thử ghi vào bảng (xem phụ lục) .
Phụ lục
Bảng ghi kết quả xác định khối lượng riêng của gạch
Tên xí nghiệp :……………………………………………………… Tên gạch : …………………………thuộc lô………………………..
|
STT |
Khối lượng mẫu thử m (g) |
Khối lượng mẫu còn lại m (g) |
Thể tích chất lỏng bị chiếm chỗ V (cm3) |
Khối lượng riêng của mẫu thử r (g/cm3) |
Ghi chú |
|
|
|
|
|
|
|
|
Nhận xét và kết luận |
Khối lượng riêng của gạch r=…. g/cm3 Ngày tháng năm Người thí nghiệm (Kí tên) |


