Tiêu chuẩn Việt Nam TCVN250:1986

  • Loại văn bản: Tiêu chuẩn Việt Nam
  • Số hiệu: TCVN250:1986
  • Cơ quan ban hành: ***
  • Người ký: ***
  • Ngày ban hành: ...
  • Ngày hiệu lực: ...
  • Lĩnh vực: Xây dựng
  • Tình trạng: Không xác định
  • Ngày công báo: ...

Tiêu chuẩn Việt Nam TCVN 250:1986 về gạch xây – phương pháp xác định khối lượng thể tích đã được thay thế bởi Tiêu chuẩn Việt Nam TCVN 6355-5:1998 về Gạch xây – Phương pháp thử – Phần 5: Xác định khối lượng thể tích .

Nội dung toàn văn Tiêu chuẩn Việt Nam TCVN 250:1986 về gạch xây – phương pháp xác định khối lượng thể tích


TIÊU CHUẨN VIỆT NAM

TCVN 250 : 1986

GẠCH XÂY – PHƯƠNG PHÁP XÁC ĐỊNH KHỐI LƯỢNG THỂ TÍCH

Bricks – Method for determination of volumetric mass

Tiêu chuẩn này thay thế cho TCVN 250: 1967 quy định phương pháp xác định khối lượng thể tích của các loại gạch xây dựng trong các công trình xây dựng công nghiệp và dân dụng.

1. Thiết bị thử

Tủ sấy

Cân kĩ thuật chính xác tới 0,1g ;

Thước kim loại có độ chính xác đến 0,1mm.

2. Chuẩn bị mẫu thử

2.1. Mẫu thử để xác định khối lượng thể tích là 5 viên gạch nguyên và được lấy theo các quy định hiện hành về lấy mẫu cho từng loại gạch.

2.2. Trước khi tiến hành thử phải dùng bàn chải quét sạch mẫu thử và sấy khô đến khối lượng không đổi ở nhiệt độ 105 – 1100C. Khối lượng không đổi của mẫu thử là khối lượng mà hiệu số giữa hai lần cân kế tiếp nhau không lớn hơn 0,2% khối lượng mẫu.

Thời gian giữa 2 lần cân không nhỏ hơn 4 giờ. Mẫu thử sau đó để nguội đến nhiệt độ trong phòng.

2.3. Xác định khối lượng thể tích của gạch có nhiều lỗ rỗng và hổng cũng tiến hành như xác định khối lượng thể tích của gạch đặc. Thể tích của mẫu là thể tích không trừ lỗ rỗng và hổng.

3. Tiến hành thử

3.1. Đo chiều dài, chiều rộng và chiều dày mẫu thử bằng thước kim loại với độ chính xác đến 0,5mm, rồi tính thể tích của mẫu thử. Khi đo, mỗi một kích thước của mẫu thử được đo 3 lần ở 3 vị trí khác nhau (hai đầu và giữa mỗi một mẫu thử), kết quả đo là trung bình cộng của 3 lần đo.

3.2. Cân mẫu đã sấy để xác định khối lượng của mẫu thử, lấy chính xác đến 0,1g.

3.3. Khối lượng thể tích của mẫu thử (Uv) tính bằng g/cm3, theo công thức:

Trong đó:

m- Khối lượng mẫu thử sấy khô đến khối lượng không đổi, tính bằng g;

v- Thể tích mẫu thử, tính bằng cm3.

3.4. Khối lượng thể tích của lô gạch là trung bình cộng kết quả của 5 mẫu thử, tính chính xác đến 0,1g.

3.5. Trong trường hợp, không thể sấy cả mẫu thử đến khối lượng không đổi thì cứ để mẫu ở trạng thái tự nhiên và xác định khối lượng thể tích (rσ) của từng mẫu sau đó cắt từ mỗi mẫu ra hai miểng có khối lượng mỗi miếng khoảng 100g. Cân từng miếng rồi đem sấy khô đến khối lượng không đổi và xác định độ ẩm (W) của chúng theo công thức:

Trong đó:

W – Độ ẩm của miếng mẫu, tính bằng %;

m1 – Khối lượng của miếng mẫu trước khi sấy khô, tính bằng g;

m – Khối lượng của miếng mẫu sấy khô đến khối lượng không đổi, tính bằng g.

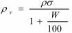
3.6. Khối lượng thể tích (rv) của mẫu thử tính bằng g/cm3, theo công thức:

Trong đó:

rσ – Khối lượng thể tích mẫu thử trước khi sấy khô, tính bằng g/cm3.

3.7. Kết quả thử phải ghi vào bảng (xem phụ lục).

 

PHỤ LỤC

BẢNG GHI KẾT QUẢ XÁC ĐỊNH KHỐI LƯỢNG THỂ TÍCH CỦA GẠCH

Tên đơn vị: ………………………………………………………………………………………………………..

Tên gạch: ……………………………. thuộc lô: ………………………………

STT

Kích thước mẫu thử

(cm)

Thể tích mẫu thử V

(cm3)

Khối lượng mẫu thử m

(g)

Khối lượng thể tích rv

(g/cm3)

Ghi chú

Dài

Rộng b

Dày c

1

2

3

4

5

 

 

 

 

 

 

 

 

Leave a Reply

Your email address will not be published. Required fields are marked *