Nội dung toàn văn Tiêu chuẩn Việt Nam TCVN 2737:1995 về tải trọng và tác động – tiêu chuẩn thiết kế
|
Các kết cấu và đất |
Hệ số độ tin cậy |
|
1. Thép |
1,05 |
|
2. Bê tông có khối lượng thể tích lớn hơn 1600 kg/m³, bê tông cốt thép, gạch đá, gạch đá có cốt thép và gỗ |
1,1 |
|
3. Bê tông có khối lượng thể tích không lớn hơn 1600 kg/mº, các vật liệu ngăn cách, các lớp trát và hoàn thiện (tấm, vỏ, các vật liệu cuộn, lớp phủ, lớp vữa lót..) tùy theo điều kiện sản xuất: |
|
|
– Trong nhà máy – Ở công trường |
1,2 1,3 |
|
4. Đất nguyên thổ 5. Đất đắp |
1,1 1,15 |
Chú thích:
1) Khi kiểm tra ổn định chống lật, đối với phần khối lượng kết cấu và đất, nếu giảm xuống có thể dẫn đến sự làm việc của kết cấu bất lợi hơn thì hệ số độ tin cậy lấy bằng 0,9;
2) Khi xác định tải trọng của đất tác động lên công trình cần tính đến ảnh hưởng của độ ẩm thực tế, tải trọng vật liệu chất kho, thiết bị và phương tiện giao thông tác động lên đất;
3) Đối với kết cấu thép, nếu ứng lực do khối lượng riêng vượt quá 50% ứng lực chung thì hệ số độ tin cậy lấy bằng 1,1.
4. Tải trọng do thiết bị, người và vật liệu, sản phẩm chất kho
4.1. Phần này đề cập đến các giá trị tiêu chuẩn của tải trọng do người, súc vật, thiết bị, sản phẩm, vật liệu, vách ngăn tạm thời tác dụng lên các sàn nhà ở, nhà công cộng, nhà sản xuất nông nghiệp.
Các phương án chất tải lên sàn bằng các tải trọng đó phải lấy theo các điều kiện dự kiến trước khi xây dựng và sử dụng. Nếu trong giai đoạn thiết kế các dữ liệu về các điều kiện đó không đầy đủ, thì khi tính kết cấu và nền móng phải xét đến các phương án chất tải đối với từng sàn riêng biệt sau đây:
4.1.1. Không có tải trọng tạm thời tác dụng lên sàn;
4.1.2. Chất tải từng phần bất lợi lên sàn khi tính kết cấu và nền;
…
…
…
Mọi chi tiết xin liên hệ: ĐT: (028) 3930 3279 DĐ: 0906 22 99 66
Khi chất tải từng phần bất lợi thì tải trọng tổng cộng trên sàn nhà nhiều tầng không được vượt quá tải trọng xác định có kể đến hệ số yn tính theo công thức điều 4.3.5 khi chất tải kín sàn.
4.2. Xác định tải trọng do thiết bị và vật liệu chất kho
4.2.1. Tải trọng do thiết bị, vật liệu, sản phẩm chất kho và phương tiện vận chuyển được xác định theo nhiệm vụ thiết kế phải xét đến trường hợp bất lợi nhất, trong đó nêu rõ:
Các sơ đồ bố trí thiết bị có thể có; vị trí các chỗ chứa và cất giữ tạm thời vật liệu, sản phẩm; số lượng và vị trí các phương tiện vận chuyển trên mỗi sàn. Trên sơ đồ cần ghi rõ kích thước chiếm chỗ của thiết bị và phương tiện vận chuyển; kích thước các kho chứa vật liệu; sự di động có thể của các thiết bị trong quá trình sử dụng hoặc sự sắp xếp lại mặt bằng và các điều kiện đặt tải khác (kích thước mỗi thiết bị, khoảng cách giữa chúng).
4.2.2. Các giá trị tải trọng tiêu chuẩn và hệ số độ tin cậy lấy theo các chỉ dẫn của tiêu chuẩn này. Với máy có tải trọng động thì giá trị tiêu chuẩn, hệ số độ tin cậy của lực quán tính và các đặc trưng cần thiết khác được lấy theo yêu cầu của các tài liệu tiêu chuẩn dùng để xác định tải trọng động.
4.2.3. Khi thay thế các tải trọng thực tế trên sàn bằng các tải trọng phân bố đều tương đương, tải trọng tương đương này cần được xác định bằng tính toán riêng rẽ cho từng cấu kiện của sàn (bản sàn, dầm phụ, dầm chính). Khi tính với tải trọng tương đương phải bảo đảm khả năng chịu lực và độ cứng của kết cấu giống như khi tính với tải trọng thực tế. Tải trọng phân bố đều tương đương nhỏ nhất cho nhà công nghiệp và nhà kho lấy như sau: đối với bản sàn và dầm phụ không nhỏ hơn 300 daN/m2; đối với các dầm chính, cột và móng không nhỏ hơn 200 daN/m2.
4.2.4. Khối lượng thiết bị (kể cả ống dẫn) được xác định theo các tiêu chuẩn và catalô. Với các thiết bị phi tiêu chuẩn xác định khối lượng theo số liệu của lý lịch máy hay bản vẽ thi công.
4.2.4.1. Tải trọng do khối lượng thiết bị gồm có khối lượng bản thân thiết bị hay máy móc (trong đó có dây dẫn, thiết bị gá lắp cố định và bệ); khối lượng lớp ngăn cách; khối lượng các vật chứa trong thiết bị có thể có khi sử dụng; khối lượng các chi tiết gia công nặng nhất; hàng hóa vận chuyển theo sức nâng danh nghĩa…
4.2.4.2. Phải lấy tải trọng do thiết bị căn cứ vào điều kiện xếp đặt chúng khi sử dụng. Cần dự kiến các giải pháp để tránh phải gia cố kết cấu chịu lực khi di chuyển thiết bị lúc lắp đặt và sử dụng.
…
…
…
Mọi chi tiết xin liên hệ: ĐT: (028) 3930 3279 DĐ: 0906 22 99 66
4.2.4.4. Tác dụng động của tải trọng thẳng đứng do máy bốc xếp hay xe cộ được phép tính bằng cách nhân tải trọng tiêu chuẩn tĩnh với hệ số động 1,2.
4.2.3. Hệ số độ tin cậy đối với các tải trọng do khối lượng của thiết bị cho ở bảng 2
Bảng 2. Hệ số độ tin cậy của các tải trọng do khối lượng thiết bị
Loại tải trọng
Hệ số độ tin cậy
1. Trọng lượng thiết bị cố định
2. Trọng lượng lớp ngăn cách của thiết bị đặt cố định
3. Trọng lượng vật chứa trong thiết bị, bể chứa và ống dẫn.
a) Chất lỏng
…
…
…
Mọi chi tiết xin liên hệ: ĐT: (028) 3930 3279 DĐ: 0906 22 99 66
4. Tải trọng do máy bốc dỡ và xe cộ
5. Tải trọng do vật liệu có khả năng hút ẩm ngấm nước (bông, vải, sợi, mút xốp, thực phẩm…)
1,05
1,2
1,0
1,1
1,2
1,3
…
…
…
Mọi chi tiết xin liên hệ: ĐT: (028) 3930 3279 DĐ: 0906 22 99 66
4.3.1. Tải trọng tiêu chuẩn phân bố đều trên sàn và cầu thang cho ở bảng 3
Bảng 3. Tải trọng tiêu chuẩn phân bố đều trên sàn và cầu thang
Loại phòng
Loại nhà và công trình
Tải trọng tiêu chuẩn (daN/m2)
Toàn phần
Phần dài hạn
1. Phòng ngủ
a) Khách sạn, bệnh viện, trại giam
…
…
…
Mọi chi tiết xin liên hệ: ĐT: (028) 3930 3279 DĐ: 0906 22 99 66
200
150
70
30
2. Phòng ăn, phòng khách, buồng vệ sinh, phòng tắm, phòng bida
a) Nhà ở kiểu căn hộ
b) Nhà trẻ, mẫu giáo, trường học, nhà nghỉ, nhà hưu trí, nhà điều dưỡng, khách sạn, bệnh viện, trại giam, nhà máy
150
200
…
…
…
Mọi chi tiết xin liên hệ: ĐT: (028) 3930 3279 DĐ: 0906 22 99 66
70
3. Bếp, phòng giặt
a) Nhà ở kiểu căn hộ
b) Nhà trẻ, mẫu giáo, trường học, nhà nghỉ, nhà hưu trí, nhà điều dưỡng, khách sạn, bệnh viện, trại giam, nhà máy
150
300
130
100
4. Văn phòng, phòng thí nghiệm
…
…
…
Mọi chi tiết xin liên hệ: ĐT: (028) 3930 3279 DĐ: 0906 22 99 66
200
100
5. Phòng nồi hơi, phòng động cơ và quạt… kể cả khối lượng máy
Nhà cao tầng, cơ quan, trường học, nhà nghỉ, nhà hưu trí, nhà điều dưỡng, khách sạn, bệnh viện, trại giam, cơ sở nghiên cứu khoa học
750
750
6. Phòng đọc sách
a) Có đặt giá sách
b) Không đặt giá sách
…
…
…
Mọi chi tiết xin liên hệ: ĐT: (028) 3930 3279 DĐ: 0906 22 99 66
200
140
70
7. Nhà hàng
a) Ăn uống, giải khát
b) Triển lãm, trưng bày, cửa hàng
300
400
100
…
…
…
Mọi chi tiết xin liên hệ: ĐT: (028) 3930 3279 DĐ: 0906 22 99 66
8. Phòng hội họp, khiêu vũ, phòng đợi, phòng khán giả, phòng hòa nhạc, phòng thể thao, khán đài
a) Có ghế gắn cố định
b) Không có ghế gắn cố định
400
500
140
180
9. Sân khấu
…
…
…
Mọi chi tiết xin liên hệ: ĐT: (028) 3930 3279 DĐ: 0906 22 99 66
270
10. Kho
Tải trọng cho 1 mét chiều cao vật liệu chất kho:
a) Kho sách lưu trữ (sách hoặc tài liệu xếp dày đặc)
b) Kho sách ở các thư viện
c) Kho giấy
d) Kho lạnh
480/1m
…
…
…
Mọi chi tiết xin liên hệ: ĐT: (028) 3930 3279 DĐ: 0906 22 99 66
400/1m
500/1m
480/1m
240/1m
400/1m
500/1m
11. Phòng học
Trường học
…
…
…
Mọi chi tiết xin liên hệ: ĐT: (028) 3930 3279 DĐ: 0906 22 99 66
70
12. Xưởng
a) Xưởng đúc
b) Xưởng sửa chữa, bảo dưỡng xe có trọng tải ≤ 2500kg
c) Phòng lớn có lắp máy và có đường đi lại
2000
500
400
–
…
…
…
Mọi chi tiết xin liên hệ: ĐT: (028) 3930 3279 DĐ: 0906 22 99 66
–
13. Phòng áp mái
Các loại nhà
70
–
14. Ban công và lôgia
a) Tải trọng phân bố đều từng dải trên diện tích rộng 0,8m dọc theo lan can, ban công, lôgia
b) Tải trọng phân bố đều trên toàn bộ diện tích ban công, lôgia được xét đến nếu tác dụng của nó bất lợi hơn khi lấy theo mục a
400
…
…
…
Mọi chi tiết xin liên hệ: ĐT: (028) 3930 3279 DĐ: 0906 22 99 66
200
140
70
15. Sảnh, phòng giải lao, cầu thang, hành lang thông với các phòng
a) Phòng ngủ, văn phòng, phòng thí nghiệm, phòng bếp, phòng giặt, phòng vệ sinh, phòng kĩ thuật.
b) Phòng đọc, nhà hàng, phòng hội họp, khiêu vũ, phòng đợi, phòng khán giả, phòng hòa nhạc, phòng thể thao, kho, ban công, lôgia
…
…
…
Mọi chi tiết xin liên hệ: ĐT: (028) 3930 3279 DĐ: 0906 22 99 66
300
400
500
100
140
…
…
…
Mọi chi tiết xin liên hệ: ĐT: (028) 3930 3279 DĐ: 0906 22 99 66
16. Gác lửng
75
–
17. Trại chăn nuôi
a) Gia súc nhỏ
b) Gia súc lớn
≥ 200
≥ 500
…
…
…
Mọi chi tiết xin liên hệ: ĐT: (028) 3930 3279 DĐ: 0906 22 99 66
≥ 180
18. Mái bằng có sử dụng
a) Phần mái có thể tập trung đông người (đi ra từ các phòng sản xuất, giảng đường, các phòng lớn)
b) Phần mái dùng để nghỉ ngơi
c) Các phần khác
400
150
50
140
…
…
…
Mọi chi tiết xin liên hệ: ĐT: (028) 3930 3279 DĐ: 0906 22 99 66
–
19. Mái bằng không sử dụng
a) Mái ngói, mái fibrô xi măng, mái tôn và các mái tương tự, trần vôi rơm, trần bê tông đổ tại chỗ không có người đi lại, chỉ có người đi lại sửa chữa, chưa kể các thiết bị điện nước, thông hơi nếu có.
b) Mái bằng, mái dốc bằng bê tông cốt thép, máng nước mái hắt, trần bê tông lắp ghép không có người đi lại, chỉ có người đi lại sửa chữa, chưa kể các thiết bị điện nước, thông hơi nếu có
30
75
…
…
…
Mọi chi tiết xin liên hệ: ĐT: (028) 3930 3279 DĐ: 0906 22 99 66
–
20. Sàn nhà ga và bến tàu điện ngầm
400
140
21. Ga ra ô ô
…
…
…
Mọi chi tiết xin liên hệ: ĐT: (028) 3930 3279 DĐ: 0906 22 99 66
500
180
Chú thích:
1) Tải trọng nêu ở mục 13 bảng 3 được kể trên diện tích không đặt thiết bị và vật liệu;
2) Tải trọng nêu ở mục 14 bảng 3 dùng để tính các kết cấu chịu lực của ban công, lôgia. Khi tính các kết cấu tường, cột, móng đỡ ban công, lôgia thì tải trọng trên ban công, lôgia lấy bằng tải trọng các phòng chính kề ngay đó và được giảm theo các chỉ dẫn của mục 4.3.5;
3) Mái hắt hoặc máng nước làm việc kiểu công xôn được tính với tải trọng tập trung thẳng đứng đặt ở mép ngoài. Giá trị tiêu chuẩn của tải trọng tập trung lấy bằng 75 daN trên một mét dài dọc tường. Đối với những mái hắt hoặc máng nước có chiều dài dọc tường dưới 1 mét vẫn lấy một tải trọng tập trung bằng 75 daN. Hệ số độ tin cậy đối với tải trọng tập trung này bằng 1,3. Sau khi tính theo tải trọng tập trung phải kiểm tra lại theo tải trọng phân bố đều. Giá trị tiêu chuẩn của tải trọng phân bố đều lấy theo mục 19b bảng 3;
4) Giá trị của phần tải trọng dài hạn đối với nhà và các phòng nêu ở mục 12, 13, 16, 17, 18c và 19 bảng 3 được xác định theo thiết kế công nghệ;
5) Giá trị của tải trọng đối với trại chăn nuôi trong mục 17 bảng 3 cần xác định theo thiết kế công nghệ.
4.3.2. Tải trọng do khối lượng vách ngăn tạm thời phải lấy theo cấu tạo, vị trí, đặc điểm tựa lên sàn và treo vào tường của chúng. Khi tính các bộ phận khác nhau, tải trọng này có thể lấy:
…
…
…
Mọi chi tiết xin liên hệ: ĐT: (028) 3930 3279 DĐ: 0906 22 99 66
4.3.2.2. Như một tải trọng phân bố đều khác. Khi đó tải trọng phụ này được thiết lập bằng tính toán theo sơ đồ dự kiến sắp xếp các vách ngăn và lấy không dưới 75 daN/m².
4.3.3. Hệ số độ tin cậy đối với tải trọng phân bố đều trên sàn và cầu thang lấy bằng 1,3 khi tải trọng tiêu chuẩn nhỏ hơn 200 daN/m², bằng 1,2 khi tải trọng tiêu chuẩn lớn hơn hoặc bằng 200 daN/m². Hệ số độ tin cậy đối với tải trọng do khối lượng các vách ngăn tạm thời lấy theo đều 3.2.
4.3.4. Khi tính dầm chính, dầm phụ, bản sàn, cột và móng, tải trọng toàn phần trong bảng 3 được phép giảm như sau:
4.3.4.1. Đối với các phòng nêu ở các mục 1, 2, 3, 4, 5 bảng 3 nhân với hệ số yA1 (khi A > A1 = 9m2)
(1)
Trong đó A – diện tích chịu tải, tính bằng mét vuông
4.3.4.2. Đối với các phòng nêu ở các mục 6, 7, 8, 10, 12, 14 bảng 3 nhân với hệ số yA2 (khi A > A2 = 36m2)
(2)
Chú thích:
…
…
…
Mọi chi tiết xin liên hệ: ĐT: (028) 3930 3279 DĐ: 0906 22 99 66
2) Trong nhà kho, gara và nhà sản xuất cho phép giảm tải trọng theo chỉ dẫn của các qui trình tương ứng.
4.3.5. Khi xác định lực dọc để tính cột, tường và móng chịu tải trọng từ 2 sàn trở lên giá trị các tải trọng ở bảng 3 được phép giảm bằng cách nhân với hệ số yn:
4.3.5.1. Đối với các phòng nêu ở mục 1, 2, 3, 4, 5 bảng 3:
![]()
4.3.5.2. Đối với các phòng nêu ở mục 6, 7, 8, 10, 12, 14 bảng 3:
![]()
Trong đó:
yA1, yA2 được xác định tương ứng theo mục 4.3.4.
n – Số sàn đặt tải trên tiết diện đang xét cần kể đến khi tính toán tải trọng.
…
…
…
Mọi chi tiết xin liên hệ: ĐT: (028) 3930 3279 DĐ: 0906 22 99 66
4.4. Tải trọng tập trung và tải trọng lên lan can.
4.4.1. Các bộ phận sàn, mái, cầu thang, ban công, lôgia cần được kiểm tra khả năng chịu tải trọng tập trung qui ước thẳng đứng đặt lên cấu kiện tại một vị trí bất lợi, trên một diện tích hình vuông cạnh không quá 10 cm (khi không có tải trọng tạm thời khác).
Nếu nhiệm vụ thiết kế không quy định giá trị các tải trọng tập trung tiêu chuẩn cao hơn thì lấy bằng:
4.4.1.1. 150 daN đối với sàn và cầu thang;
4.4.1.2. 100 daN đối với sàn tầng hầm mái, mái, sân thượng và ban công;
4.4.1.3. 50 daN đối với các mái leo lên bằng thang dựng sát tường;
Các bộ phận đã tính đến tải trọng cục bộ do thiết bị và phương tiện vận tải có thể xảy ra khi xây dựng và sử dụng thì không phải kiểm tra theo tải trọng tập trung nêu ở trên.
4.4.2. Các tải trọng tiêu chuẩn nằm ngang tác dụng lên tay vịn lan can cầu thang và ban công, lôgia lấy bằng:
4.4.2.1. 30 daN/m đối với các nhà ở, nhà mẫu giáo, nhà nghỉ, nhà an dưỡng, bệnh viện và các cơ sở chữa bệnh khác;
…
…
…
Mọi chi tiết xin liên hệ: ĐT: (028) 3930 3279 DĐ: 0906 22 99 66
4.4.2.3. 80 daN/m đối với các nhà và phòng có yêu cầu đặc biệt;
Đối với các sàn thao tác, các lối đi trên cao hoặc mái đua, chỉ để cho một vài người đi lại, tải trọng tiêu chuẩn nằm ngang tập trung tác dụng lên tay vịn lan can và tường chắn mái lấy bằng 30 daN (ở bất kì chỗ nào theo chiều dài của tay vịn) nếu nhiệm vụ thiết kế không đòi hỏi một tải trọng cao hơn.
5. Tải trọng do cầu trục và cẩu treo
5.1. Tải trọng do cầu trục và cẩu treo được xác định theo chế độ làm việc của chúng, theo phụ lục B.
5.2. Tải trọng tiêu chuẩn thẳng đứng truyền qua các bánh xe của cầu trục lên dầm đường cẩu và các số liệu cần thiết khác để tính toán lấy theo yêu cầu của tiêu chuẩn Nhà nước cho cầu trục và cẩu treo, với loại phi tiêu chuẩn lấy theo số liệu cho trong lý lịch máy của nhà máy chế tạo.
Chú thích: Thuật ngữ đường cẩu được hiểu là 2 dầm đỡ một cầu trục, là tất cả các dầm đỡ một cẩu treo (hai dầm đối với cẩu treo một nhịp, ba dầm đối với cẩu treo hai nhịp…)
5.3. Tải trọng tiêu chuẩn nằm ngang hướng dọc theo dầm cầu trục do lực hãm cầu trục phải lấy bằng 0,1 tải trọng tiêu chuẩn thẳng đứng, tác dụng lên bánh xe hãm đang xét của cầu trục.
5.4. Tải trọng tiêu chuẩn nằm ngang vuông góc với dầm cầu trục do hãm xe tời điện lấy bằng 0,05 tổng sức nâng danh nghĩa và khối lượng của xe tời đối với cầu trục có móc mềm; bằng 0,1 tổng số đó đối với cầu trục có móc cứng.
Tải trọng này kể đến khi tính khung ngang nhà và dầm cầu trục được phân đều cho tất cả các bánh xe của cầu trục trên một dầm cầu trục và có thể hướng vào trong hay ra ngoài nhịp đang tính.
…
…
…
Mọi chi tiết xin liên hệ: ĐT: (028) 3930 3279 DĐ: 0906 22 99 66
5.6. Tải trọng ngang là lực xô do hãm cầu trục và xe tời được đặt ở vị trí tiếp xúc giữa bánh xe của cầu trục với đường ray.
5.7. Tải trọng tiêu chuẩn nằm ngang hướng dọc theo dầm cầu trục do va đập của cầu trục vào gối chắn ở cuối đường ray xác định theo phụ lục C. Tải trọng này chỉ kể đến khi tính gối chắn và liên kết của chúng với dầm cầu trục.
5.8. Hệ số độ tin cậy đối với các tải trọng do cầu trục lấy bằng 1,1.
Chú thích:
1) Khi tính độ bền của dầm cầu trục do tác dụng cục bộ và động lực của tải trọng tập trung thẳng đứng ở mỗi bánh xe cầu trục, giá trị tiêu chuẩn của tải trọng này được nhân với hệ số phụ g1 bằng:
1,6 – đối với cầu trục có chế độ làm việc rất nặng và có móc cứng;
1,4 – đối với cầu trục có chế độ làm việc rất nặng và có móc cứng;
1,3 – đối với cầu trục có chế độ làm việc nặng;
1,1 – đối với cầu trục có chế độ làm việc còn lại;
…
…
…
Mọi chi tiết xin liên hệ: ĐT: (028) 3930 3279 DĐ: 0906 22 99 66
5.9. Khi tính độ bền và ổn định của dầm cầu trục và các liên kết của chúng với kết cấu chịu lực:
5.9.1. Tải trọng tính toán thẳng đứng do các cầu trục phải nhân với hệ số động:
– Khi bước cột không lớn hơn 12 m:
1,2 – đối với cầu trục có chế độ làm việc rất nặng;
1,1 – đối với cầu trục có chế độ làm việc trung bình, nặng và với chế độ làm việc của cẩu treo.
– Khi bước cột lớn hơn 12m : bằng 1,1 đối với cầu trục có chế độ làm việc rất nặng.
5.9.2. Tải trọng ngang tính toán của cầu trục phải nhân với hệ số động bằng 1,1 đối với các cầu trục có chế độ làm việc rất nặng.
5.9.3. Trong các trường hợp khác hệ số động lấy bằng 1.
5.9.4. Khi tính toán độ bền của kết cấu, độ võng của dầm cầu trục, chuyển vị của cột và tác động cục bộ của tải trọng tập trung thẳng đứng ở mỗi bánh xe, hệ số động không cần xét đến.
…
…
…
Mọi chi tiết xin liên hệ: ĐT: (028) 3930 3279 DĐ: 0906 22 99 66
5.11. Để tính độ bền, độ ổn định của khung, cột, nền và móng của nhà có cầu trục ở một số nhịp (trong mỗi nhịp chỉ có một tầng) thì trên mỗi đường cẩu phải lấy tải trọng thẳng đứng do 2 cầu treo tác dụng bất lợi nhất. Khi tính đến sự làm việc kết hợp của các cầu trục ở các nhịp khác nhau phải lấy tải trọng thẳng đứng do 4 cầu trục tác dụng bất lợi nhất.
5.12. Để tính độ bền và ổn định của khung, cột, vì kèo, các kết cấu đỡ vì kèo, nền và móng của các nhà có cẩu treo ở một hay một số nhịp thì trên mỗi đường cẩu phải lấy tải trọng thẳng đứng do 2 cẩu treo tác dụng bất lợi nhất. Khi tính đến sự làm việc kết hợp của các cẩu treo trên các nhịp khác nhau thì tải trọng thẳng đứng phải lấy:
– Do 2 cẩu treo: đối với cột, kết cấu đỡ vì kèo, nền và móng của dãy ngoài biên khi có 2 đường cầu trục ở trong nhịp.
– Do 4 cẩu treo:
+ Đối với cột, kết cấu đỡ vì kèo, nền và móng của dãy giữa.
+ Đối với cột, kết cấu đỡ vì kèo, nền và móng của dãy biên khi có 3 đường cầu trục trong nhịp.
+ Đối với kết cấu vì kèo khi có 2 hay 3 đường cầu trục ở trong nhịp.
5.13. Số cẩu được kể đến để tính độ bền, độ ổn định do tải trọng thẳng đứng và nằm ngang của cầu trục khi bố trí 2 hay 3 đường cẩu trong một nhịp, khi cầu trục và cẩu treo di chuyển đồng thời trong cùng một nhịp hoặc khi sử dụng các cẩu treo để chuyên chở hàng từ cẩu này sang cẩu khác bằng các cẩu con đảo chiều phải lấy theo nhiệm vụ thiết kế.
5.14. Khi tính độ bền, độ ổn định của dầm cầu chạy, cột, khung, vì kèo, kết cấu đỡ vì kèo, nền và móng, việc xác định tải trọng ngang cần kể đến sự tác dụng bất lợi nhất của không quá 2 cầu trục bố trí trên cùng một đường cẩu hay ở các đường khác nhau trong cùng một tuyến. Khi ở một cẩu chỉ cần kể đến một tải trọng ngang (dọc hay vuông góc).
…
…
…
Mọi chi tiết xin liên hệ: ĐT: (028) 3930 3279 DĐ: 0906 22 99 66
5.16. Khi tính toán với một cầu trục, tải trọng thẳng đứng và nằm ngang cần phải lấy toàn bộ, không được giảm. Khi tính toán với 2 cầu trục, tải trọng đó phải nhân với hệ số tổ hợp:
nth = 0,85 đối với cầu trục có chế độ làm việc nhẹ và trung bình.
nth = 0,95 đối với cầu trục có chế độ làm việc nặng và rất nặng.
Khi tính toán với 4 cầu trục thì tải trọng do chúng gây ra phải nhân với hệ số tổ hợp:
nth = 0,7 đối với cầu trục có chế độ làm việc nhẹ và trung bình.
nth = 0,8 đối với cầu trục có chế độ làm việc nặng và rất nặng.
5.17. Trong điều kiện ở một đường cầu trục chỉ một cầu trục hoạt động còn cầu trục thứ hai không hoạt động trong thời gian sử dụng công trình, tải trọng khi đó chỉ lấy do một cầu trục.
5.18. Khi tính độ bền mỏi của dầm cầu trục và liên kết của chúng với kết cấu chịu lực, cần giảm tải trọng tiêu chuẩn theo mục 2.3.4.8. Khi kiểm tra mỏi đối với bụng dầm trong vùng tác dụng của tải trọng tập trung thẳng đứng do một bánh xe của cầu trục, giá trị tiêu chuẩn áp lực thẳng đứng của bánh xe đã được giảm ở trên cần tăng lên bằng cách nhân với hệ số theo chú thích trong điều 5.8.
Chế độ làm việc của cầu trục khi tính độ bền mỏi của các kết cấu phải do tiêu chuẩn thiết kế kết cấu quy định.
…
…
…
Mọi chi tiết xin liên hệ: ĐT: (028) 3930 3279 DĐ: 0906 22 99 66
6.1. Tải trọng gió lên công trình gồm các thành phần: áp lực pháp tuyến We, lực ma sát Wf và áp lực pháp tuyến Wi. Tải trọng gió lên công trình cũng có thể qui về hai thành phần áp lực pháp tuyến Wx và Wy.
6.1.1. Áp lực pháp tuyến We đặt vào mặt ngoài công trình hoặc các cấu kiện.
6.1.2. Lực ma sát Wf hướng theo tiếp tuyến với mặt ngoài và tỉ lệ với diện tích hình chiếu bằng (đối với mái răng cưa, lượn sóng và mái có cửa trời) hoặc với diện tích hình chiếu đứng (đối với tường có lôgia và các kết cấu tương tự).
6.1.3. Áp lực pháp tuyến Wi đặt vào mặt trong của nhà với tường bao che không kín hoặc có lỗ cửa đóng mở hoặc mở thường xuyên.
6.1.4. Áp lực pháp tuyến Wx, Wy được tính với mặt cản của công trình theo hướng các trục x và y. Mặt cản của công trình là hình chiếu của công trình lên các mặt vuông góc với các trục tương ứng.
6.2. Tải trọng gió gồm có hai thành phần tĩnh và động:
Khi xác định áp lực mặt trong Wi cũng như khi tính toán nhà nhiều tầng cao dưới 40m và nhà công nghiệp một tầng cao dưới 36m với tỉ số độ cao trên nhịp nhỏ hơn 1,5 xây dựng ở địa hình dạng A và B, thành phần động của tải trọng gió không cần tính đến.
6.3. Giá trị tiêu chuẩn thành phần tĩnh của tải trọng gió W ở độ cao Z so với mốc chuẩn xác định theo công thức:
W = Wo x k x c (5)
…
…
…
Mọi chi tiết xin liên hệ: ĐT: (028) 3930 3279 DĐ: 0906 22 99 66
k – hệ số tính đến sự thay đổi của áp lực gió theo độ cao lấy theo bảng 5
c – hệ số khi động lấy theo bảng 6
Hệ số độ tin cậy của tải trọng gió g lấy bằng 1,2.
6.4. Giá trị của áp lực gió Wo lấy theo bảng 4.
Phân vùng áp lực gió trên lãnh thổ Việt Nam cho trong phụ lục D. Đường đậm nét rời là ranh giới giữa vùng ảnh hưởng của bão được đánh giá là yếu hoặc mạnh (kèm theo số hiệu vùng là ký hiệu A hoặc B).
Phân vùng áp lực gió theo địa danh hành chính cho trong phụ lục E.
Giá trị áp lực gió tính toán của một số trạm quan trắc khí tượng vùng núi và hải đảo với thời gian sử dụng giả định của công trình khác nhau cho trong phụ lục F.
Bảng 4. Giá trị áp lực gió theo bản đồ phân vùng áp lực gió trên lãnh thổ Việt Nam
Vùng áp lực gió trên bản đồ
…
…
…
Mọi chi tiết xin liên hệ: ĐT: (028) 3930 3279 DĐ: 0906 22 99 66
II
III
IV
V
Wo (daN/m²)
65
95
125
155
…
…
…
Mọi chi tiết xin liên hệ: ĐT: (028) 3930 3279 DĐ: 0906 22 99 66
6.4.1. Đối với vùng ảnh hưởng của bão được đánh giá là yếu (phụ lục D), giá trị của áp lực gió Wo được giảm đi 10 daN/m2 đối với vùng I-A,12 daN/m2 đối với vùng II-A và 15 daN/m2 đối với vùng III-A.
6.4.2. Đối với vùng I, giá trị của áp lực gió Wo lấy theo bảng 4 được áp dụng để thiết kế nhà và công trình xây dựng ở vùng núi, đồi, vùng đồng bằng và các thung lũng.
Những nơi có địa hình phức tạp lấy theo mục 6.4.4.
6.4.3. Nhà và công trình xây dựng ở vùng núi và hải đảo có cùng độ cao, cùng dạng địa hình và ở sát cạnh các trạm quan trắc khí tượng cho trong phụ lục F thì giá trị áp lực gió tính toán với thời gian sử dụng giả định khác nhau được lấy theo trị số độc lập của các trạm này (bảng F1 và F2 phụ lục F).
6.4.4. Nhà và công trình xây dựng ở vùng có địa hình phức tạp (hẻm núi, giữa hai dãy núi song song, các cửa đèo…), giá trị của áp lực gió Wo phải lấy theo số liệu của Tổng cục Khí tượng Thủy văn hoặc kết quả khảo sát hiện trường xây dựng đã được xử lý có kể đến kinh nghiệm sử dụng công trình. Khi đó giá trị của áp lực gió Wo (daN/m²) xác định theo công thức:
Wo = 0,0613 x V02 (6)
Ở đây Vo – Vận tốc gió ở độ cao 10m so với mốc chuẩn (vận tốc trung bình trong khoảng thời gian 3 giây bị vượt trung bình một lần trong 20 năm) tương ứng với địa hình dạng B, tính bằng mét trên giây.
6.5. Các giá trị của hệ số k kể đến sự thay đổi áp lực gió theo độ cao so với mốc chuẩn và dạng địa hình. Xác định theo bảng 5.
Địa hình dạng A là địa hình trống trải, không có hoặc có rất ít vật cản cao không quá 1,5m (bờ biển thoáng, mặt sông, hồ lớn, đồng muối, cánh đồng không có cây cao…).
…
…
…
Mọi chi tiết xin liên hệ: ĐT: (028) 3930 3279 DĐ: 0906 22 99 66
Địa hình dạng C là địa hình bị che chắn mạnh, có nhiều vật cản sát nhau cao từ 10m trở lên (trong thành phố, vùng rừng rậm…)
Công trình được xem là thuộc dạng địa hình nào nếu tính chất của dạng địa hình đó không thay đổi trong khoảng cách 30h khi h ≤ 60m và 2km khi h > 60m tính từ mặt đón gió của công trình, h là chiều cao công trình.
Bảng 5. Hệ số k kể đến sự thay đổi áp lực gió theo độ cao và dạng địa hình
Dạng địa hình
Độ cao Z, m
A
B
C
3
…
…
…
Mọi chi tiết xin liên hệ: ĐT: (028) 3930 3279 DĐ: 0906 22 99 66
10
15
20
30
40
50
60
80
100
…
…
…
Mọi chi tiết xin liên hệ: ĐT: (028) 3930 3279 DĐ: 0906 22 99 66
200
250
300
350
≥ 400
1,00
1,07
1,18
1,24
…
…
…
Mọi chi tiết xin liên hệ: ĐT: (028) 3930 3279 DĐ: 0906 22 99 66
1,37
1,43
1,47
1,51
1,57
1,62
1,72
1,79
1,84
…
…
…
Mọi chi tiết xin liên hệ: ĐT: (028) 3930 3279 DĐ: 0906 22 99 66
1,84
1,84
0,80
0,88
1,00
1,08
1,13
1,22
1,28
…
…
…
Mọi chi tiết xin liên hệ: ĐT: (028) 3930 3279 DĐ: 0906 22 99 66
1,38
1,45
1,51
1,63
1,71
1,78
1,84
1,84
1,84
…
…
…
Mọi chi tiết xin liên hệ: ĐT: (028) 3930 3279 DĐ: 0906 22 99 66
0,54
0,66
0,74
0,80
0,89
0,97
1,03
1,08
1,18
…
…
…
Mọi chi tiết xin liên hệ: ĐT: (028) 3930 3279 DĐ: 0906 22 99 66
1,40
1,52
1,62
1,70
1,78
1,84
Chú thích:
1) Đối với độ cao trung gian cho phép xác định giá trị k bằng cách nội suy tuyến tính các giá trị trong bảng 5.
2) Khi xác định tải trọng gió cho một công trình, đối với các hướng gió khác nhau có thể có dạng địa hình khác nhau.
…
…
…
Mọi chi tiết xin liên hệ: ĐT: (028) 3930 3279 DĐ: 0906 22 99 66
6.7. Sơ đồ phân bố tải trọng gió lên nhà, công trình hoặc các cấu kiện và hệ số khí động c được xác định theo chỉ dẫn của bảng 6. Các giá trị trung gian cho phép xác định bằng cách nội suy tuyến tính.
Mũi tên trong bảng 6 chỉ hướng gió thổi lên nhà, công trình hoặc cấu kiện. Hệ số khí động được xác định như sau:
6.7.1. Đối với mặt hoặc điểm riêng lẻ của nhà và công trình lấy như hệ số áp lực đã cho (sơ đồ 1 đến sơ đồ 33 bảng 6).
Giá trị dương của hệ số khí động ứng với chiều áp lực gió hướng vào bề mặt công trình, giá trị âm ứng với chiều áp lực gió hướng ra ngoài công trình.
6.7.2. Đối với các kết cấu và cấu kiện (sơ đồ 34 đến sơ đồ 43 bảng 6) lấy như hệ số cản chính diện cx và cy khi xác định các thành phần cản chung của vật thể tác dụng theo phương luồng gió và phương vuông góc với luồng gió, ứng với diện tích hình chiếu của vật thể lên mặt phẳng vuông góc với luồng gió; lấy như hệ số lực nâng cz khi xác định thành phần đứng của lực cản chung của vật thể ứng với diện tích hình chiếu của vật thể lên mặt phẳng nằm ngang.
6.7.3. Đối với kết cấu có mặt đón gió nghiêng một góc a so với phương luồng gió lấy như hệ số cn và ct khi xác định các thành phần cản chung của vật thể theo phương trục của nó ứng với diện tích mặt đón gió.
Những trường hợp chưa xét đến trong bảng 6 (các dạng nhà và công trình khác, theo các hướng gió khác, các thành phần cản chung của vật thể theo hướng khác), hệ số khí động phải lấy theo số liệu thực nghiệm hoặc các chỉ dẫn riêng.
6.8. Đối với nhà và công trình có lỗ cửa (cửa sổ, cửa đi, lỗ thông thoáng, lỗ lấy ánh sáng) nêu ở sơ đồ 2 đến sơ đồ 26 bảng 6, phân bố đều theo chu vi hoặc có tường bằng phibrô xi măng và các vật liệu có thể cho gió đi qua (không phụ thuộc vào sự có mặt của các lỗ cửa), khi tính kết cấu của tường ngoài, cột, dầm chịu gió, đố cửa kính, giá trị của hệ số khí động đối với tường ngoài phải lấy:
c = + 1 khi tính với áp lực dương
…
…
…
Mọi chi tiết xin liên hệ: ĐT: (028) 3930 3279 DĐ: 0906 22 99 66
Tải trọng gió tính toán ở các tường trong lấy bằng 0,4.W0 và ở các vách ngăn nhẹ trọng lượng không quá 100daN/m2 lấy bằng 0,2.W0 nhưng không dưới 10daN/m2
6.9. Khi tính khung ngang của nhà có cửa trời theo phương dọc hoặc cửa trời thiên đỉnh với a > 4h (sơ đồ 9, 10, 25 bảng 6), phải kể đến tải trọng gió tác dụng lên các cột khung phía đón gió và phía khuất gió cũng như thành phần ngang của tải trọng gió tác dụng lên cửa trời.
Đối với nhà có mái răng cưa (sơ đồ 24 bảng 6) hoặc có cửa trời thiên đỉnh khi a ≤ 4h phải tính đến lực ma sát Wf thay cho các thành phần lực nằm ngang tác dụng lên cửa trời thứ 2 và tiếp theo từ phía đón gió. Lực ma sát Wf tính theo công thức:
Wf = W0 x cf x k x S (7)
Trong đó:
W0 – áp lực gió lấy theo bảng 4, tính bằng deca Niuton trên mét vuông;
cf – hệ số ma sát cho trong bảng 6;
k – hệ số lấy theo bảng 5;
S – diện tích hình chiếu bằng (đối với mái răng cưa, lượn sóng và mái có cửa trời) hoặc diện tích hình chiếu đứng (đối với tường có lôgia và các kết cấu tương tự) tính bằng mét vuông.
…
…
…
Mọi chi tiết xin liên hệ: ĐT: (028) 3930 3279 DĐ: 0906 22 99 66
Sơ đồ nhà, công trình, các cấu kiện và sơ đồ tải trọng gió
Chỉ dẫn xác định hệ số khí động
Chú thích
1.
a) Các mặt phẳng thẳng đứng:
– Đón gió
– Khuất gió
…
…
…
Mọi chi tiết xin liên hệ: ĐT: (028) 3930 3279 DĐ: 0906 22 99 66
c = – 0,6
b) Các mặt phẳng thẳng đứng hay nghiêng với phương đứng không quá 15º nằm trong các nhà nhiều cửa trời hoặc các nhà có mặt phức tạp khác (nếu không có sơ đồ tương ứng trong bảng này):
– Mặt biên hay mặt trung gian nhô cao lên:
Đón gió
Khuất gió
– Mặt trung gian khác:
…
…
…
Mọi chi tiết xin liên hệ: ĐT: (028) 3930 3279 DĐ: 0906 22 99 66
Khuất gió
c = + 0,7
c = – 0,6
c = – 0,5
c = – 0,5
2. Nhà có mái dốc hai phía
…
…
…
Mọi chi tiết xin liên hệ: ĐT: (028) 3930 3279 DĐ: 0906 22 99 66
Hệ số
a độ
h1/l
0
0,5
1
≥ 2
ce1
0
…
…
…
Mọi chi tiết xin liên hệ: ĐT: (028) 3930 3279 DĐ: 0906 22 99 66
40
60
0
+ 0,2
+ 0,4
+ 0,8
– 0,6
– 0,4
+ 0,3
…
…
…
Mọi chi tiết xin liên hệ: ĐT: (028) 3930 3279 DĐ: 0906 22 99 66
– 0,7
– 0,7
– 0,2
+ 0,8
– 0,8
– 0,8
– 0,4
+ 0,8
ce2
…
…
…
Mọi chi tiết xin liên hệ: ĐT: (028) 3930 3279 DĐ: 0906 22 99 66
– 0,4
– 0,4
– 0,5
– 0,8
b/l
Giá trị ce3 khi h1/l bằng
≤ 0,5
1
…
…
…
Mọi chi tiết xin liên hệ: ĐT: (028) 3930 3279 DĐ: 0906 22 99 66
≤ 1
≥ 2
– 0,4
– 0,5
– 0,5
– 0,6
– 0,6
– 0,6
…
…
…
Mọi chi tiết xin liên hệ: ĐT: (028) 3930 3279 DĐ: 0906 22 99 66
3. Mái hai chiều kín úp sát đất

a
0º
30º
≥ 60º
ce1
0
+ 0,2
…
…
…
Mọi chi tiết xin liên hệ: ĐT: (028) 3930 3279 DĐ: 0906 22 99 66
4. Mái vòm kín úp sát đất

f/l
Ce1
0,1
0,2
0,3
…
…
…
Mọi chi tiết xin liên hệ: ĐT: (028) 3930 3279 DĐ: 0906 22 99 66
+ 0,2
+ 0,6
5. Mái vòm hoặc gần giống dạng vòm (như mái trên các dàn hình cánh cung)

Hệ số
h1/l
f/l
…
…
…
Mọi chi tiết xin liên hệ: ĐT: (028) 3930 3279 DĐ: 0906 22 99 66
0,2
0,3
0,4
0,5
ce1
0
0,2
≥ 1
+ 0,1
…
…
…
Mọi chi tiết xin liên hệ: ĐT: (028) 3930 3279 DĐ: 0906 22 99 66
– 0,8
+ 0,2
– 0,1
– 0,7
+ 0,4
+ 0,2
– 0,3
+ 0,6
+ 0,5
…
…
…
Mọi chi tiết xin liên hệ: ĐT: (028) 3930 3279 DĐ: 0906 22 99 66
+ 0,7
+ 0,7
+ 0,7
ce2
– 0,8
– 0,9
– 1
– 1,1
…
…
…
Mọi chi tiết xin liên hệ: ĐT: (028) 3930 3279 DĐ: 0906 22 99 66
Giá trị Ce3 lấy theo sơ đồ 2
– Khi xác định hệ số n theo điều 6.15 thì h = h1 + 0,7.f
6. Nhà kín mái dốc một chiều

a
ce1
≤ 15º
30º
≥ 60º
…
…
…
Mọi chi tiết xin liên hệ: ĐT: (028) 3930 3279 DĐ: 0906 22 99 66
0
+ 0,8
7. Nhà kín có phần bán mái

h1/h2
co
1,2
…
…
…
Mọi chi tiết xin liên hệ: ĐT: (028) 3930 3279 DĐ: 0906 22 99 66
1,6
1,8
2,0
2,5
3,0
≥ 4,0
– 0,5
– 0,3
– 0,1
…
…
…
Mọi chi tiết xin liên hệ: ĐT: (028) 3930 3279 DĐ: 0906 22 99 66
+ 0,2
+ 0,4
+ 0,6
+ 0,8
– Khi b1 ≤ b2 và 0 ≤ b ≤ 30º thì co lấy theo bảng này
– Khi b1 > b2 thì co lấy theo sơ đồ 2
– Giá trị Ce1, Ce2, Ce3 lấy theo sơ đồ 2
8. Nhà một nhịp có cửa trời dọc theo chiều dài nhà
…
…
…
Mọi chi tiết xin liên hệ: ĐT: (028) 3930 3279 DĐ: 0906 22 99 66
– Giá trị ce1, ce3 lấy theo sơ đồ 2
– Hệ số khí động đối với các mặt của cửa trời lấy = – 0,6
– Hệ số khí động đối với mặt đón gió của cửa trời khi góc nghiêng mái nhỏ hơn 20º lấy = – 0,8
– Khi tính khung ngang của nhà có cửa trời theo sơ đồ 8 và có các tấm chắn gió thì hệ số khí động tổng cộng lên hệ thống “cửa trời – tấm chắn” lấy bằng 1,4.
– Khi xác định hệ số n theo điều 6.15 thì h = h1
9. Nhà nhiều nhịp có cửa trời dọc theo chiều dài nhà

– Xem chỉ dẫn hệ số khí động của sơ đồ 8
– Đối với mái nhà trên đoạn AB hệ số ce lấy như sơ đồ 8
…
…
…
Mọi chi tiết xin liên hệ: ĐT: (028) 3930 3279 DĐ: 0906 22 99 66
khi 2 ≤ l ≤ 8 thì cx = 0,1l
khi l > 8 thì cx =0,8
khi l = a/(h1 – h2)
– Đối với những đoạn mái còn lại ce = – 0,5
– Tường đón gió, khuất gió và tường bất kỳ, hệ số khí động xác định như sơ đồ 2
– Khi xác định hệ số n theo điều 6.15 thì h = h1
10. Nhà nhiều nhịp có cửa trời dọc theo chiều dài nhà, cao độ lệch nhau

– Xem chỉ dẫn hệ số khí động của sơ đồ 8.
…
…
…
Mọi chi tiết xin liên hệ: ĐT: (028) 3930 3279 DĐ: 0906 22 99 66
– Đối với đoạn AB hệ số ce xác định như đoạn BC của sơ đồ 9 khi chiều cao cửa trời bằng (h1 – h2).
– Xem chú thích ở sơ đồ 9
11. Nhà kín 2 khẩu độ, mái dốc hai chiều

– Hệ số ce1 lấy như sơ đồ 2.
12. Nhà kín 2 khẩu độ, mái dốc hai chiều, cao độ lệch nhau.

– Hệ số ce1 lấy như sơ đồ 2.
…
…
…
Mọi chi tiết xin liên hệ: ĐT: (028) 3930 3279 DĐ: 0906 22 99 66
13. Nhà kín 3 khẩu độ, mái dốc hai chiều, cao độ lệch nhau

– Hệ số ce1 lấy như sơ đồ 2.
– Hệ số ce1 lấy như sau: ce2 = 0,6 x (1 – 2h1/h)
Nếu h1 > h thì ce2 = – 0,6.
14. Nhà kín có cửa trời và một phần bán mái

Hệ số khí động xem sơ đồ bên
…
…
…
Mọi chi tiết xin liên hệ: ĐT: (028) 3930 3279 DĐ: 0906 22 99 66
15. Nhà kín có cửa trời và hai phần bán mái

Hệ số khí động xem sơ đồ bên
16. Nhà kín 3 khẩu độ, giữa có cửa trời dọc nhà

– Hệ số ce1 lấy như sơ đồ 2
– Hệ số ce2 lấy như sau: ce2 = 0,6 x (1 – 2 h1/h)
Nếu h1 > h thì ce2 = – 0,6
…
…
…
Mọi chi tiết xin liên hệ: ĐT: (028) 3930 3279 DĐ: 0906 22 99 66
17. Nhà kín 2 khẩu độ, có cửa trời dọc nhà

Hệ số ce1 lấy như sau:
Khi a ≤ 4h thì ce1 = + 0,2
Khi a > 4h thì ce1 = + 0,6
18. Nhà kín có tường con gái, mái dốc hai phía

Hệ số khí động xem sơ đồ bên
…
…
…
Mọi chi tiết xin liên hệ: ĐT: (028) 3930 3279 DĐ: 0906 22 99 66
19. Nhà kín mái vòm có cửa trời ngầm.

Hệ số khí động xem sơ đồ bên
20. Nhà kín mái vòm hai khẩu độ có cửa trời ngầm

Hệ số khí động xem sơ đồ bên
21. Nhà kín một khẩu độ có cửa trời và tấm chắn gió
…
…
…
Mọi chi tiết xin liên hệ: ĐT: (028) 3930 3279 DĐ: 0906 22 99 66
Hệ số khí động xem sơ đồ bên
22. Nhà kín 2 khẩu độ có cửa trời và tấm chắn gió

Hệ số khí động xem sơ đồ bên
23. Nhà kín, mái vỏ mỏng và mái lượn sóng hoặc gấp nếp

Hệ số ce1 và ce3 lấy như sau:
…
…
…
Mọi chi tiết xin liên hệ: ĐT: (028) 3930 3279 DĐ: 0906 22 99 66
– Như sơ đồ 9 nếu f/b > 0,25
24. Nhà có mái răng cưa

– Hệ số ce1 và ce3 lấy theo sơ đồ 2
– Lực ma sát Wf tính cho trường hợp hướng gió theo chiều mũi tên cũng như theo phương vuông góc với mặt phẳng bản vẽ.
– Lực ma sát tính theo hướng gió với cf = 0,04
– Xem chú thích ở sơ đồ 9
25. Nhà có cửa trời thiên đình
…
…
…
Mọi chi tiết xin liên hệ: ĐT: (028) 3930 3279 DĐ: 0906 22 99 66
– Hệ số ce1 và ce3 lấy theo sơ đồ 2
– Lực ma sát Wf tính như sơ đồ 24
– Xem chú thích ở sơ đồ 9
26. Nhà kín nhiều khẩu độ phức tạp

Hệ số ce1 lấy như sau:
Khi a ≤ 4h thì ce1 = + 0,2
Khi a > 4h thì ce1 = + 0,6
…
…
…
Mọi chi tiết xin liên hệ: ĐT: (028) 3930 3279 DĐ: 0906 22 99 66

Gọi m là độ thẩm thấu gió của tường, bằng tỷ số giữa diện tích lỗ cửa mở và diện tích của mặt tường.
– Khi m ≤ 5% thì ci1 = ci2 = ±0,2 tùy theo hướng đón hay khuất gió.
– Khi m ≥ 30% thì ci1 = ce3 xác định theo sơ đồ 2 và ci2 = +0,8
– Trường hợp mở 1 mặt hoàn toàn cũng lấy như khi m ≥ 30%
– Hệ số ce lấy theo sơ đồ 2.
– Với nhà kín lấy ci = 0. Trong các nhà nêu ở mục 6.1.2, giá trị tiêu chuẩn của áp lực ngoài lên vách ngăn nhẹ (khi tỷ trọng bề mặt của chúng < 100 kg/cm²) lấy bằng 0,2 Wo, nhưng không nhỏ hơn 10 kg/m².
– Với mỗi tường nhà, dấu + hay – của ci1 khi m ≤ 5% xác định từ điều kiện thực nghiệm với các phương án tải trọng bất lợi nhất.
28. Nhà hở hai phía đối diện nhau
…
…
…
Mọi chi tiết xin liên hệ: ĐT: (028) 3930 3279 DĐ: 0906 22 99 66
– Hệ số ce1, ce2 và ce3 lấy theo sơ đồ 2.
29. Nhà hở ba phía

– Hệ số ce1, ce2 và ce3 lấy theo sơ đồ 2.
– Hệ số ce4 đối với phía đón gió lấy = + 0,8, với phía khuất gió lấy = ce3
30. Nhà có nhiều bậc

…
…
…
Mọi chi tiết xin liên hệ: ĐT: (028) 3930 3279 DĐ: 0906 22 99 66
– Đối với các phần mái nằm ngang hay nghiêng (a < 15º), các hệ số khí động trên chiều cao h1 và h2, cũng lấy như trên phần thẳng đứng
– Khi l1> h1 chiều dài của đoạn chuyển sang áp lực âm lấy bằng h1/2.
– Các hệ số khí động trên mặt góc lõm vào của nhà (trên chiều dài a) song song với hướng gió cũng lấy như đối với cạnh đón gió.
– Khi b > a chiều dài đoạn chuyển sang áp lực âm lấy bằng a/2.
31. Mái hiên

Dạng sơ đồ
a (độ)
ce1
…
…
…
Mọi chi tiết xin liên hệ: ĐT: (028) 3930 3279 DĐ: 0906 22 99 66
ce3
ce4
I
10
20
30
0,5
1,1
2,1
…
…
…
Mọi chi tiết xin liên hệ: ĐT: (028) 3930 3279 DĐ: 0906 22 99 66
0
0,9
– 1,1
0
0,6
0
– 0,4
0
II
…
…
…
Mọi chi tiết xin liên hệ: ĐT: (028) 3930 3279 DĐ: 0906 22 99 66
20
30
0
1,5
2
– 1,1
0,5
0,8
– 1,5
…
…
…
Mọi chi tiết xin liên hệ: ĐT: (028) 3930 3279 DĐ: 0906 22 99 66
0,4
0
0
0,4
III
10
20
30
1,4
…
…
…
Mọi chi tiết xin liên hệ: ĐT: (028) 3930 3279 DĐ: 0906 22 99 66
2,2
0,4
0,5
0,6
IV
10
20
…
…
…
Mọi chi tiết xin liên hệ: ĐT: (028) 3930 3279 DĐ: 0906 22 99 66
1,3
1,4
1,6
0,2
0,3
0,4
…
…
…
Mọi chi tiết xin liên hệ: ĐT: (028) 3930 3279 DĐ: 0906 22 99 66
– Đối với các giá trị âm của ce1, ce2, ce3, ce4 hướng áp lực trên các sơ đồ đổi theo chiều ngược lại
– Đối với các mái lượn sóng, nếu hướng gió dọc theo mái thì phải kể đến áp lực ma sát Wf với cf = 0,04
32. Khối cầu

Chỉ dẫn xác định hệ số khí động
b (độ)
0
15
30
…
…
…
Mọi chi tiết xin liên hệ: ĐT: (028) 3930 3279 DĐ: 0906 22 99 66
60
75
90
ce
+1,0
+0,8
+0,4
-0,2
-0,8
…
…
…
Mọi chi tiết xin liên hệ: ĐT: (028) 3930 3279 DĐ: 0906 22 99 66
-1,25
b (độ)
105
120
135
150
175
180
…
…
…
Mọi chi tiết xin liên hệ: ĐT: (028) 3930 3279 DĐ: 0906 22 99 66
-1,0
-0,6
-0,2
+0,2
+0,3
+0,4
cx = 1,3 khi Re < 105
cx = 0,6 khi 2 x 105 ≤ Re ≤ 3 x 105
…
…
…
Mọi chi tiết xin liên hệ: ĐT: (028) 3930 3279 DĐ: 0906 22 99 66
Với Re = 0,88 x d x
x 105 là số Rây non
d – đường kính khối cầu (m)
Wo – áp lực gió lấy theo bảng 4 (daN/m²)
k(z) – hệ số thay đổi áp lực động theo độ cao (bảng 5)
g – hệ số độ tin cậy theo theo điều 6.3
– Hệ số ce áp dụng khi Re > 4 x 105
– Khi xác định hệ số n theo điều 6.15 thì b = h = 0,7 x d
33. Các công trình có mặt xung quanh hình trụ tròn (bể chứa, tháp làm nguội, ống khói) có mái hay không có mái

…
…
…
Mọi chi tiết xin liên hệ: ĐT: (028) 3930 3279 DĐ: 0906 22 99 66
ce1 = k1 x cb với k1 = 1 khi cb > 0
h1/d
0,2
0,5
1
2
5
10
25
…
…
…
Mọi chi tiết xin liên hệ: ĐT: (028) 3930 3279 DĐ: 0906 22 99 66
0,8
0,9
0,95
1,0
1,1
1,15
1,2
cb dùng khi Re > 4 x 105 theo biểu đồ sau:
Loại mái
…
…
…
Mọi chi tiết xin liên hệ: ĐT: (028) 3930 3279 DĐ: 0906 22 99 66
1/6
1/3
≥ 1
phẳng, hình nón khi a ≤ 5º dạng cầu khi f/d ≤ 0,1
– 0,5
– 0,6
– 0,8
h1/d
1/6
…
…
…
Mọi chi tiết xin liên hệ: ĐT: (028) 3930 3279 DĐ: 0906 22 99 66
1/2
1
2
≥ 5
c1
-0,5
-0,55
-0,7
-0,8
…
…
…
Mọi chi tiết xin liên hệ: ĐT: (028) 3930 3279 DĐ: 0906 22 99 66
-1,05

– Hệ số Re xác định theo công thức của sơ đồ 32, lấy z = h1
– Hệ số c1 được lấy cả khi mở mái và khi không có mái
– Khi xác định hệ số n theo điều 6.15 thì b = 0,7d và h = h1 + 0,7f
34. Công trình hình lăng trụ có mặt bằng hình vuông và đa giác

Hệ số cản chính diện cx và cv lấy như sau:
cx = k x cx¥ ; cv = k x cv¥
…
…
…
Mọi chi tiết xin liên hệ: ĐT: (028) 3930 3279 DĐ: 0906 22 99 66
le
5
10
20
35
50
100
¥
k
…
…
…
Mọi chi tiết xin liên hệ: ĐT: (028) 3930 3279 DĐ: 0906 22 99 66
0,65
0,75
0,85
0,9
0,95
1
le xác định theo bảng 6.2. Trong bảng 6.2 có l = l/b với l, b tương ứng với kích thước lớn nhất và nhỏ nhất của công trình hoặc bộ phận của nó trong mặt phẳng ^ hướng gió.
Bảng 6.2

…
…
…
Mọi chi tiết xin liên hệ: ĐT: (028) 3930 3279 DĐ: 0906 22 99 66
Tiết diện – hướng gió
b (độ)
l/b
cx¥
Hình chữ nhật

0
40 ÷ 50
…
…
…
Mọi chi tiết xin liên hệ: ĐT: (028) 3930 3279 DĐ: 0906 22 99 66
≥ 3
≤ 0,2
≥ 0,5
2,1
1,6
2,0
1,7
Hình thoi

…
…
…
Mọi chi tiết xin liên hệ: ĐT: (028) 3930 3279 DĐ: 0906 22 99 66
≤ 0,5
1
≥ 2
1,9
1,6
1,1
Tam giác đều

0
…
…
…
Mọi chi tiết xin liên hệ: ĐT: (028) 3930 3279 DĐ: 0906 22 99 66
2
1,2
Bảng 6.4
Tiết diện – hướng gió
b (độ)
n (số cạnh)
C¥ khi Re >4 x 105
Đa giác đều
…
…
…
Mọi chi tiết xin liên hệ: ĐT: (028) 3930 3279 DĐ: 0906 22 99 66
Bất kỳ
5
6 ÷ 8
10
12
1,8
1,5
1,2
1,0
…
…
…
Mọi chi tiết xin liên hệ: ĐT: (028) 3930 3279 DĐ: 0906 22 99 66
– Khi gió thổi song song với tường có loogia cf = 0,1; với mái lượn sóng cf = 0,04
– Nhà có mặt bằng hình chữ nhật (bảng 6.3) khi l/b = 0,1 ÷ 0,5 và b = 40º ÷ 50º thì Cv¥ = 0,75; khi tải trọng gió phân bố đều đặt ở điểm 0 thì độ lệch tâm e = 0,15b.
– Hệ số Re xác định theo công thức của sơ đồ 32 với z = h1 và d là đường tròn ngoại tiếp.
– Khi xác định hệ số n theo điều 6.12 thì h là chiều cao công trình, b là kích thước mặt bằng công trình theo trục y.
35. Công trình có mặt xung quanh hình trụ tròn (bể chứa, tháp làm nguội, ống khói), dây cáp, dây dẫn và các bộ phận kết cấu dạng ống tròn và kín

Cx = k x cx¥
Trong đó:
– Hệ số k xác định theo bảng 6.1 của sơ đồ 34.
…
…
…
Mọi chi tiết xin liên hệ: ĐT: (028) 3930 3279 DĐ: 0906 22 99 66

– Hệ số Re xác định theo công thức của sơ đồ 32 với Z = h và d là đường kính công trình.
– Giá trị D: với kết cấu gỗ D = 0,005m, với khối xây gạch D = 0,01m, với bê tông và bê tông cốt thép
D = 0,005m, với kết cấu thép
D = 0,001m, với dây dẫn và cáp có đường kính d thì D = 0,01d, với bề mặt có sườn cao là b thì D = b.
– Với mái lượn sóng cf = 0,04.
– Đường dây tải điện trị số cx lấy như sau: với các dây dẫn và cáp đường kính ≥ 20mm thì cx cho phép giảm 10%.
36. Thép hình có tiết diện khác nhau của kết cấu rỗng

…
…
…
Mọi chi tiết xin liên hệ: ĐT: (028) 3930 3279 DĐ: 0906 22 99 66
37. Một dàn phẳng độc lập

cx = ![]()
Với cxi là hệ số khí động của cấu kiện thứ i; đối với thép hình cxi = 1,4 đối với kết cấu ống cxi lấy theo biểu đồ của sơ đồ 35, khi đó phải lấy le = l (bảng 6.2 sơ đồ 34).
Ai là diện tích hình chiếu của cấu kiện thứ i lên mặt phẳng đón gió của dàn.
A là diện tích giới hạn bởi đường bao ngoài của dàn.
– Hệ số khí động của các sơ đồ 37, 38, 40 dùng cho kết cấu dàn có dạng đường bao ngoài bất kỳ và :
≤ 0,8
…
…
…
Mọi chi tiết xin liên hệ: ĐT: (028) 3930 3279 DĐ: 0906 22 99 66
– Hướng trục x trùng với hướng gió và vuông góc với mặt phẳng của dàn
38. Một dãy dàn phẳng song song với nhau

– Đối với một dãy các dàn phẳng song song với nhau, dàn thứ nhất đón gió có cxi lấy theo sơ đồ 37.
– Đối với dàn thứ 2 và các dàn tiếp theo có:
cx2 = cx1 x h
– Đối với dàn thân ống khi Re ≥ 4 x n 105 thì h = 0,95
h
Giá trị h do dàn thép hình và thép ống khi Re < 4 x 105 và b/h bằng
…
…
…
Mọi chi tiết xin liên hệ: ĐT: (028) 3930 3279 DĐ: 0906 22 99 66
1
2
4
6
0,1
0,2
0,3
0,4
0,5
…
…
…
Mọi chi tiết xin liên hệ: ĐT: (028) 3930 3279 DĐ: 0906 22 99 66
0,93
0,75
0,56
0,38
0,19
0
0,99
0,81
0,65
…
…
…
Mọi chi tiết xin liên hệ: ĐT: (028) 3930 3279 DĐ: 0906 22 99 66
0,32
0,15
1
0,87
0,73
0,59
0,44
0,3
1
…
…
…
Mọi chi tiết xin liên hệ: ĐT: (028) 3930 3279 DĐ: 0906 22 99 66
0,78
0,65
0,52
0,4
1
0,93
0,83
0,72
0,61
…
…
…
Mọi chi tiết xin liên hệ: ĐT: (028) 3930 3279 DĐ: 0906 22 99 66
– Xem chú thích ở sơ đồ 37.
– Hệ số Re xác định theo công thức ở sơ đồ 32 với d là đường kính trung bình của ống, z là khoảng cách từ mặt đất đến thanh cánh thượng của dàn.
– Trong sơ đồ công trình, h là kích thước cạnh nhỏ nhất. Đối với dàn chữa nhật và đa giác h là chiều dài cạnh nhỏ nhất, đối với dàn tròn h là đường kính ngoài của nó, đối với dàn elíp và dạng tương tự h là chiều dài trục nhỏ nhất; b là khoảng cách giữa các dàn cạnh nhau.
39. Cầu hành lang băng tải

a) Tường ngoài kín và nhẵn: Điều kiện áp dụng a ≤ 20º
– Theo hướng y: lấy như sơ đồ 2.
– Theo hướng x: lấy bằng 5% tải trọng gió ở hướng y
…
…
…
Mọi chi tiết xin liên hệ: ĐT: (028) 3930 3279 DĐ: 0906 22 99 66
– Theo hướng y: lấy như sơ đồ 38.
– Theo hướng x: trên diện tích đón gió của thanh bụng hay của dầm trong chiều dài cầu hành lang băng tải, hệ số c = 1,2 với cấu kiện thép ống; c = 1,4 với cấu kiện thép hình, trong đó diện tích thanh F = Sfi và diện tích dầm F =Sa x b
c) Tường ngoài kín, chia đoạn: dùng cho trường hợp cầu hành lang băng tải có kết cấu chịu lực (cột, dầm, thanh chéo) nằm phía ngoài phần tường kín:
– Theo hướng y: lấy như sơ đồ 2.
– Theo hướng x: lấy theo giá trị lớn nhất của các mục a và b
d) Tường ngoài hở 1 bên: hệ số c lấy theo sơ đồ 27.
– Với cầu hành lang băng tải kín hoàn toàn các phía thì thành phần lực tác dụng theo hướng z được phép bỏ qua.
– Với các cầu hành lang băng tải hở từng phần thì hệ số c lấy theo sơ đồ 27.
40. Dàn không gian và tháp rỗng
…
…
…
Mọi chi tiết xin liên hệ: ĐT: (028) 3930 3279 DĐ: 0906 22 99 66
Hệ số cản chính diện xác định theo công thức:
c1 = cx x (1 + h) x K1
Với cx xác định như sơ đồ 37; h xác định như sơ đồ 38; k1 xác định theo bảng sau:
Dạng tiết diện ngang và hướng gió
k1

1,0
0,9
…
…
…
Mọi chi tiết xin liên hệ: ĐT: (028) 3930 3279 DĐ: 0906 22 99 66
1,2
– Xem chú thích ở sơ đồ 37.
– Trong mọi trường hợp ct được tính với giả thiết hướng gió vuông góc với mặt phẳng đón gió của dàn hoặc tháp.
– Khi hướng gió theo đường chéo của tháp có mặt bằng hình vuông thì ct được nhân với các hệ số sau: 0,9 với tháp bằng thép làm từ cấu kiện đơn 1,1 với tháp gỗ làm từ cấu kiện tổ hợp
41. Khung nhiều tầng liên kết với nhau

– Sơ đồ này dùng cho khung nhiều tầng liên kết với nhau, không có tường hay bộ phận nhà xây vào khung đó.
– Hệ số c lấy theo sơ đồ 38
…
…
…
Mọi chi tiết xin liên hệ: ĐT: (028) 3930 3279 DĐ: 0906 22 99 66
42. Dây chằng và các cấu kiện kiểu ống nằm nghiêng trong mặt phẳng luồng gió

Cxa = cx x sin2a
Với cx xác định theo số liệu sơ đồ 35.
43. Công trình hình nón và lăng trụ có đáy tròn
1) Hình nón và lăng trụ có đáy tròn đặt trên mặt đất:

2) Hình nón và lăng trụ nằm trong không gian:
…
…
…
Mọi chi tiết xin liên hệ: ĐT: (028) 3930 3279 DĐ: 0906 22 99 66
1- Hình nón và lăng trụ có đáy tròn đặt trên mặt đất
– Hình nón: cx = 0,7
cz = – 0,3
– Lăng trụ đáy tròn đặt trên mặt đất:
cx = 1,2
cz = – 0,3
2- Hình nón nằm trong không gian:
a/ Đỉnh ở phía đón gió:
– Hình nón không đáy khi a = 30º; cx = 0,35
…
…
…
Mọi chi tiết xin liên hệ: ĐT: (028) 3930 3279 DĐ: 0906 22 99 66
b/ Đỉnh ở phía khuất gió: các giá trị cx dưới đây được dùng khi Re > 105
– Hình nón không đáy: cx = 1,4
– Hình nón có đáy: cx = 1,2
6.10. Tại vùng lân cận các đường bờ mái, bờ nóc và chân mái, các cạnh tiếp giáp giữa tường ngang và tường dọc, nếu áp lực ngoài có giá trị âm thì cần kể đến áp lực cục bộ (hình 1).

Hệ số áp lực cục bộ D lấy theo bảng 7
Bảng 7. Hệ số áp lực cục bộ D
…
…
…
Mọi chi tiết xin liên hệ: ĐT: (028) 3930 3279 DĐ: 0906 22 99 66
Hệ số D
– Vùng 1: Có bề rộng a tính từ bờ mái, bờ nóc, chân mái và góc tường.
2
– Vùng 2: Có bề rộng a tiếp giáp với vùng 1
1,5
Chú thích:
1) Tại các vùng có áp lực cục bộ, hệ số khí động c cần được nhân với hệ số áp lực cục bộ D;
2) Khi tính lực tổng hợp trên 1 công trình, một bức tường hoặc một hệ mái không được sử dụng các hệ số áp lực cục bộ này;
3) Bề rộng a lấy bằng giá trị nhỏ nhất trong 3 giá trị sau: 0,1b, 0,1l, 0,1h nhưng không nhỏ hơn 1,5m kích thước b, l, h xem trên hình 1;
…
…
…
Mọi chi tiết xin liên hệ: ĐT: (028) 3930 3279 DĐ: 0906 22 99 66
5) Khi có mái đua thì diện tích bao gồm cả diện tích mái đua, áp lực phần mái dua lấy bằng phần tường sát dưới mái dua.
6.11. Thành phần động của tải trọng gió phải được kể đến khi tính các công trình trụ, tháp, ống khói, cột điện, thiết bị dạng cột, hành lang băng tải, các giàn giá lộ thiên,…các nhà nhiều tầng cao trên 40m, các khung ngang nhà công nghiệp 1 tầng một nhịp có độ cao trên 36m, tỉ số độ cao trên nhịp lớn hơn 1,5.
6.12. Đối với các công trình cao và kết cấu mềm (ống khói, trụ, tháp…) còn phải tiến hành kiểm tra tình trạng mất ổn định khí động.
Chỉ dẫn tính toán và giải pháp giảm lao động của các kết cấu đó được xác lập bằng những nghiên cứu riêng trên cơ sở các số liệu thử nghiệm khí động.
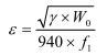
6.13. Giá trị tiêu chuẩn thành phần động của tải trọng gió Wp ở độ cao z được xác định như sau:
6.13.1. Đối với công trình và các bộ phận kết cấu có tần số dao động riêng cơ bản f1 (Hz) lớn hơn giá trị giới hạn của tần số dao động riêng fL quy định trong điều 6.14 được xác định theo công thức:
WP = Wx
xQ (8)
Trong đó:
W- Giá trị tiêu chuẩn thành phần tĩnh của tải trọng gió ở độ cao tính toán được xác định theo điều 6.3;
…
…
…
Mọi chi tiết xin liên hệ: ĐT: (028) 3930 3279 DĐ: 0906 22 99 66
Q – Hệ số tương quan không gian áp lực động của tải trọng gió xác định theo điều 6.15.
Bảng 8 – Hệ số tương quan của tải trọng gió ![]()
Chiều cao z, m
Hệ số áp lực động ] đối với các dạng địa hình
A
B
C
≤ 5
10
…
…
…
Mọi chi tiết xin liên hệ: ĐT: (028) 3930 3279 DĐ: 0906 22 99 66
40
60
80
100
150
200
250
300
350
…
…
…
Mọi chi tiết xin liên hệ: ĐT: (028) 3930 3279 DĐ: 0906 22 99 66
0,318
0,303
0,289
0,275
0,267
0,262
0,258
0,251
0,246
…
…
…
Mọi chi tiết xin liên hệ: ĐT: (028) 3930 3279 DĐ: 0906 22 99 66
0,239
0,236
0,231
0,517
0,486
0,457
0,429
0,414
0,403
…
…
…
Mọi chi tiết xin liên hệ: ĐT: (028) 3930 3279 DĐ: 0906 22 99 66
0,381
0,371
0,364
0,358
0,353
0,343
0,754
0,684
0,621
…
…
…
Mọi chi tiết xin liên hệ: ĐT: (028) 3930 3279 DĐ: 0906 22 99 66
0,532
0,511
0,496
0,468
0,450
0,436
0,425
0,416
0,398
…
…
…
Mọi chi tiết xin liên hệ: ĐT: (028) 3930 3279 DĐ: 0906 22 99 66
(9)
Trong đó:
– hệ số động lực được xác định bằng đồ thị ở hình 2, phụ thuộc vào thông số e và độ giảm lôga của dao động.
(10)
– Hệ số độ tin cậy của tải trọng gió lấy bằng 1,2
W0– Giá trị của áp lực gió (N/m²), xác định theo điều 6.4.

Đường cong 1. Đối với công trình bê tông cốt thép và gạch đá kể cả các công trình bằng khung thép có kết cấu bao che (d = 0,3).
Đường cong 2. Các tháp, trụ thép, ống khói, các thiết bị dạng cột có bệ bằng bê tông cốt thép ((d = 0,15).
…
…
…
Mọi chi tiết xin liên hệ: ĐT: (028) 3930 3279 DĐ: 0906 22 99 66
W p = m x x x y x y (11)
Trong đó
m – Khối lượng của phần công trình mà trọng tâm có độ cao z.
– Hệ số động lực, xem mục 6.13.2.
y – Dịch chuyển ngang của công trình ở độ cao z ứng với dạng dao động riêng thứ nhất (đối với nhà có mặt bằng đối xứng, cho phép lấy y bằng dịch chuyển do tải trọng ngang phân bố đều đặt tĩnh gây ra).
y – Hệ số được xác định bằng cách chia công trình thành r phần, trong phạm vi mỗi phần tải trọng gió không đổi.

Trong đó:
Mk – Khối lượng phần thứ k của công trình
…
…
…
Mọi chi tiết xin liên hệ: ĐT: (028) 3930 3279 DĐ: 0906 22 99 66
Wpk – Thành phần động phân bố đều của tải trọng gió ở phần thứ k của công trình, xác định theo công thức (8) .
Đối với nhà nhiều tầng có độ cứng, khối lượng và bề rộng mặt đón gió không đổi theo chiều cao, cho phép xác định giá trị tiêu chuẩn thành phần động của tải trọng gió ở độ cao z theo công thức:
![]()
Trong đó:
Wph – Giá trị tiêu chuẩn thành phần động của tải trọng gió ở độ cao h của đỉnh công trình, xác định theo công thức (8).
6.14. Giá trị giới hạn của tần số dao động riêng fL (Hz) cho phép không cần tính lực quán tính phát sinh khi công trình dao động theo dạng dao động riêng riêng tương ứng, xác định theo bảng 9 phụ thuộc vào giá trị độ giảm d của dao động.
6.14.1. Đối với công trình bê tông cốt thép và gạch đá, công trình khung thép có kết cấu bao che, d = 0,3.
6.14.2. Các tháp, trụ, ống khói bằng thép, các thiết bị dạng cột thép có bệ bằng bê tông cốt thép d= 0,15
Bảng 9. Giá trị giới hạn của tần số dao động riêng fL
…
…
…
Mọi chi tiết xin liên hệ: ĐT: (028) 3930 3279 DĐ: 0906 22 99 66
fL
Hz
d = 0,3
d = 0,15
I
II
II
IV
V
…
…
…
Mọi chi tiết xin liên hệ: ĐT: (028) 3930 3279 DĐ: 0906 22 99 66
1,3
1,6
1,7
1,9
3,4
4,1
5,0
5,6
5,9
…
…
…
Mọi chi tiết xin liên hệ: ĐT: (028) 3930 3279 DĐ: 0906 22 99 66
6.15. Hệ số tương quan không gian thành phần động của áp lực gió n được lấy theo bề mặt tính toán của công trình trên đó xác định các tương quan động.
Bề mặt tính toán gồm có phần bề mặt tường đón gió, khuất gió, tường bên, mái và các kết cấu tương tự mà qua đó áp lực gió truyền được lên các bộ phận kết cấu công trình.

Hình 3 – Hệ tọa độ khi xác định hệ số tương quan n
Nếu bề mặt tính toán của công trình có dạng hình chữ nhật và được định hướng song song với các trục cơ bản (xem hình 3) thì hệ số n xác định theo bảng 10 phụ thuộc vào các tham số r và c. Các tham số số r và c được xác định theo bảng 11.
Bảng 10. Hệ số tương quan không gian áp lực động của tải trọng gió ![]()
r, m
Hệ số
khi
(m) bằng
5
…
…
…
Mọi chi tiết xin liên hệ: ĐT: (028) 3930 3279 DĐ: 0906 22 99 66
20
40
80
160
350
0,1
5
10
20
…
…
…
Mọi chi tiết xin liên hệ: ĐT: (028) 3930 3279 DĐ: 0906 22 99 66
80
160
0,95
0,89
0,85
0,80
0,72
0,63
0,53
…
…
…
Mọi chi tiết xin liên hệ: ĐT: (028) 3930 3279 DĐ: 0906 22 99 66
0,87
0,84
0,78
0,72
0,63
0,53
0,88
0,84
0,81
…
…
…
Mọi chi tiết xin liên hệ: ĐT: (028) 3930 3279 DĐ: 0906 22 99 66
0,70
0,61
0,52
0,83
0,80
0,77
0,73
0,67
0,59
…
…
…
Mọi chi tiết xin liên hệ: ĐT: (028) 3930 3279 DĐ: 0906 22 99 66
0,76
0,73
0,71
0,68
0,63
0,56
0,47
0,67
0,65
…
…
…
Mọi chi tiết xin liên hệ: ĐT: (028) 3930 3279 DĐ: 0906 22 99 66
0,61
0,57
0,51
0,44
0,56
0,54
0,53
0,51
0,48
…
…
…
Mọi chi tiết xin liên hệ: ĐT: (028) 3930 3279 DĐ: 0906 22 99 66
0,38
Bảng 11. Các tham số r và ![]()
Mặt phẳng tọa độ cơ bản song song với bề mặt tính toán
r
![]()
Zoy
Zox
Xoy
b
…
…
…
Mọi chi tiết xin liên hệ: ĐT: (028) 3930 3279 DĐ: 0906 22 99 66
b
h
h
a
6.16. Các công trình có fS < fL cần tính toán động lực có kể đến s dạng dao động đầu tiên, s được xác định từ điều kiện:
fS < fL < fs+1
6.17. Hệ số độ tin cậy g đối với tải trọng gió lấy bằng 1,2 tương ứng với nhà và công trình có thời gian sử dụng giả định là 50 năm. Khi thời gian sử dụng giả định khác đi thì giá trị tính toán của tải trọng gió phải thay đổi bằng cách nhân với hệ số cho trong bảng 12.
Bảng 12. Hệ số điều chỉnh tải trọng gió với thời gian sử dụng giả định của công trình khác nhau.
Thời gian sử dụng giả định, năm
…
…
…
Mọi chi tiết xin liên hệ: ĐT: (028) 3930 3279 DĐ: 0906 22 99 66
10
20
30
40
50
Hệ số điều chỉnh tải trọng gió
0,61
0,72
0,83
…
…
…
Mọi chi tiết xin liên hệ: ĐT: (028) 3930 3279 DĐ: 0906 22 99 66
0,96
1
PHỤ LỤC A
PHƯƠNG PHÁP XÁC ĐỊNH CÁC NỘI LỰC TÍNH TOÁN TRONG CÁC TỔ HỢP TẢI TRỌNG CƠ BẢN VÀ ĐẶC BIỆT
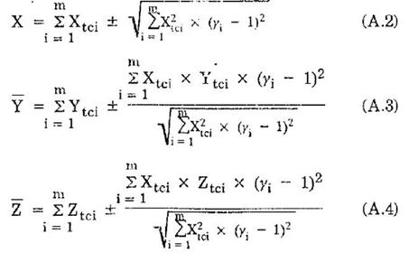
A.1. Khi kể đến đồng thời ít nhất 2 tải trọng trong tổ hợp cơ bản, tổng giá trị nội lực tính toán X do các tải trọng đó (mô men uốn hay mô men xoắn, lực dọc hay lực cắt) được xác định theo công thức:

Trong đó:
Xtci – nội lực được xác định theo các giá trị tiêu chuẩn của từng tải trọng, có kể đến hệ số tổ hợp tương ứng với các yêu cầu của mục 2.4.3;
…
…
…
Mọi chi tiết xin liên hệ: ĐT: (028) 3930 3279 DĐ: 0906 22 99 66
m – số tải trọng đồng thời tác dụng.
A.2. Nếu tải trọng tạo ra 2 hay 3 nội lực khác nhau (X, Y, Z) động thời được kể đến trong tính toán (thí dụ nội lực pháp tuyến và các mô men uốn theo một hay hai phương) thì trong mỗi tổ hợp tải trọng, khi có 3 nội lực phải xem xét 3 phương án nội lực tính toán(X,
,
),(Y,
,
) và (Z,
,
); còn khi có 2 nội lực thì có 2 phương án(X, Y),(Y, X).
Đối với phương án (X,
,
), các nội lực đó được xác định bằng công thức:

Trong đó:
X,
,
– nội lực tính toán tổng cộng sinh khi có tác dụng đồng thời của một số tải trọng tạm thời.
Xtci, Ytci, Ztci – các nội lực được xác định theo giá trị tiêu chuẩn của từng tải trọng có kể đến hệ số tổ hợp, đối với các tải trọng ngắn hạn lấy theo các mục 1,4,3, trường hợp tính đến thành phần động của tải trọng gió cần xác định theo điều 5.13.
m,
– như trong công thức (A.1)
Đối với phương án (Y,
,
) và (Z,
,
), nội lực được xác định theo các công thức (A.2), (A.3) và (A.4) với sự hoán vị vòng các ký hiệu X, Y, Z.
…
…
…
Mọi chi tiết xin liên hệ: ĐT: (028) 3930 3279 DĐ: 0906 22 99 66
Khi thành lập các tổ hợp tính toán, trong trường hợp tải trọng tạm thời được tính sao cho đảm bảo xuất hiện trong tiết diện giá trị cực trị của một trong các nội lực, còn các nội lực khác thu được như hệ quả của phép tính này, thì nội lực tính toán cực trị nên xác định theo công thức (A.2), còn nội lực tương ứng của nó theo các công thức (A.3) và (A.4). Ví dụ khi thành lập tổ hợp (Nmin, M tương ứng), Nmin nên xác định theo công thức (A.2) còn M tương ứng theo công thức (A.3).
Chú thích
Tùy vào dạng của tổ hợp mà thêm vào các nội lực do tải trọng thường xuyên với các hệ số độ tin cậy lớn hơn hay nhỏ hơn đơn vị (xem điều 3.2).
Phụ lục B
BẢNG KÊ MẪU CÁC CẦU TRỤC CÓ CHẾ ĐỘ LÀM VIỆC KHÁC NHAU
Bảng B1
Chế độ làm việc của cẩu.
Danh mục các cầu trục diện
…
…
…
Mọi chi tiết xin liên hệ: ĐT: (028) 3930 3279 DĐ: 0906 22 99 66
Nhẹ
Trung bình
Nặng
Rất nặng
Kiểu có móc treo hàng
…
…
…
Mọi chi tiết xin liên hệ: ĐT: (028) 3930 3279 DĐ: 0906 22 99 66
Kiểu có móc treo hàng bao gồm các cẩu dung palăng điện.
Kiểu móc treo hàng, các kiểu dùng cho công tác đúc, rèn, tôi kim loại.
Kiểu gàu ngoạm, kiểu nam châm
điện, kiểu gàu ngoạm có tay đòn, kiểu chất liệu bằng gàu nam châm
để đỡ khối đúc, kiểu dùng cho công tác đập vụn nguyên liệu chất liệu.
Các xưởng sửa chữa, gian máy của các nhà máy nhiệt điện.
Các xưởng cơ khí và lắp ráp của các nhà máy có công việc sản xuất hàng loạt cỡ trung bình, xưởng sửa chữa cơ khí, bãi chất dỡ hàng bao kiện.
…
…
…
Mọi chi tiết xin liên hệ: ĐT: (028) 3930 3279 DĐ: 0906 22 99 66
Các xưởng của nhà máy luyện kim.
Chú thích: Cầu treo chạy điện có chế độ làm việc trung bình, còn cầu trục treo keo tay có chế độ lam việc nhẹ.
PHỤ LỤC C
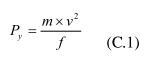
TẢI TRỌNG DO VA ĐẬP CỦA CẨU VÀO GỐI CHẮN CUỐI ĐƯỜNG RAY.
Tải trọng ngang tiêu chuẩn Py (10 KN) hướng dọc theo đường chạy của cẩu sinh ra do va đập của cầu trục vào gối chắn cuối đường ray được xác định theo công thức:

Trong đó:
v- vận tốc của cẩu ở thời điểm va đập lấy bằng 1/2 vận tốc danh nghĩa, tính bằng mét trên giây;
…
…
…
Mọi chi tiết xin liên hệ: ĐT: (028) 3930 3279 DĐ: 0906 22 99 66
m – khối lượng tính đổi của cẩu tính bằng tấn (10 KN), được xác định theo công thức:
(C.2)
Trong đó:
g- Gia tốc trọng trường, lấy bằng 9,81 m/s²;
PM– Trọng lượng cần của cẩu, tính bằng tấn (10 KN);
PT– Trọng lượng xe tời, tính bằng tấn (10 KN);
Q- Sức nâng của cẩu, tính bằng tấn(10 KN);
k – Hệ số lấy bằng 0 đối với các cẩu có dây treo mềm và bằng 1 đối với các cẩu có dây treo cứng
Lk – Khẩu độ của cẩu, tính bằng mét;
…
…
…
Mọi chi tiết xin liên hệ: ĐT: (028) 3930 3279 DĐ: 0906 22 99 66
Trị số tính toán tải trọng có kể đến hệ số độ tin cậy theo điều 5.8 được lấy không lớn hơn các giá trị trong bảng C.1 dưới đây:
Bảng C.1
Đặc trưng của cẩu
Tải trọng tới hạn, 10 KN
1. Cẩu treo kéo tay hay điều khiển bằng điện
2. Cẩu trục điện vạn năng, chế độ làm việc trung bình và nặng có cẩu dùng cho phân xưởng đúc.
3. Cầu trục điện vạn năng, chế độ làm việc nhẹ
4. Cầu trục điện, chế độ làm việc rất nặng (dùng trong ngành luyện kim và công tác đặc biệt)
– Có móc mềm
…
…
…
Mọi chi tiết xin liên hệ: ĐT: (028) 3930 3279 DĐ: 0906 22 99 66
1
15
5
25
50
PHỤ LỤC D

…
…
…
Mọi chi tiết xin liên hệ: ĐT: (028) 3930 3279 DĐ: 0906 22 99 66
PHỤ LỤC E
PHÂN VÙNG ÁP LỰC GIÓ THEO ĐỊA DANH HÀNH CHÍNH
Bảng E1
Địa danh
Vùng
Địa danh
Vùng
1. Thủ đô Hà Nội:
– Nội thành
…
…
…
Mọi chi tiết xin liên hệ: ĐT: (028) 3930 3279 DĐ: 0906 22 99 66
– Huyện Gia Lâm
– Huyện Sóc Sơn
– Huyện Thanh Trì
– Huyện Từ Liêm
2. Thành phố Hồ Chí Minh
– Nội thành
– Huyện Bình Chánh
– Huyện Cần Giờ
– Huyện Củ Chi
…
…
…
Mọi chi tiết xin liên hệ: ĐT: (028) 3930 3279 DĐ: 0906 22 99 66
– Huyện Nhà Bè
– Huyện Thủ Đức
3. Thành Phố Hải Phòng
– Nội thành
– Thị xã Đồ Sơn
– Thị xã Kiến An
– Huyện An Hải
– Huyện An Lão
– Huyện Cát Hải
…
…
…
Mọi chi tiết xin liên hệ: ĐT: (028) 3930 3279 DĐ: 0906 22 99 66
– Huyện Kiến Thụy
– Huyện Thủy Nguyên
– Huyên Tiên Lãng
– Huyện Vĩnh Bảo
4. An Giang
– Thị xã Long Xuyên
– Thị xã Châu Đốc
– Huyện An Phú
…
…
…
Mọi chi tiết xin liên hệ: ĐT: (028) 3930 3279 DĐ: 0906 22 99 66
II.B
II.B
II.B
II.B
II.B
II.A
II.A
II.A
…
…
…
Mọi chi tiết xin liên hệ: ĐT: (028) 3930 3279 DĐ: 0906 22 99 66
II.A
II.A
II.A
IV.B
IV.B
IV.B
IV.B
IV.B
…
…
…
Mọi chi tiết xin liên hệ: ĐT: (028) 3930 3279 DĐ: 0906 22 99 66
V.B
IV.B
III.B
IV.B
IV.B
I.A
I.A
I.A
…
…
…
Mọi chi tiết xin liên hệ: ĐT: (028) 3930 3279 DĐ: 0906 22 99 66
– Huyện Châu Phú
– Huyện Chợ Mới
– Huyện Phú Tân
– Huyện Tân Châu
– Huyện Tịnh Biên
– Huyện Thoại Sơn
– Huyện Tri Tôn
5. Bà Rịa – Vũng Tàu
– Thành phố Vũng Tàu
…
…
…
Mọi chi tiết xin liên hệ: ĐT: (028) 3930 3279 DĐ: 0906 22 99 66
– Huyện Côn đảo
– Huyện Long Đất
– Huyện Xuyên Mộc
6. Bắc Thái
– Thành phố Thái Nguyên
– Thị xã Bắc Cạn
– Thị xã Sông Công
– Huyện CHợ Đồn
– Huyện Bạch Thông
…
…
…
Mọi chi tiết xin liên hệ: ĐT: (028) 3930 3279 DĐ: 0906 22 99 66
– Huyện Định Hóa
– Huyện Đồng Hỷ
– Huyện Nà Rì
– Huyện Phổ Yên
– Huyện Phú Bình
– Huyện Phú Lương
– Huyện Võ Nhai
7. Bến Tre
– Thị xã Bến Tre
…
…
…
Mọi chi tiết xin liên hệ: ĐT: (028) 3930 3279 DĐ: 0906 22 99 66
I.A
I.A
I.A
I.A
I.A
I.A
I.A
II.A
…
…
…
Mọi chi tiết xin liên hệ: ĐT: (028) 3930 3279 DĐ: 0906 22 99 66
III.A
II.A
II.A
II.B
I.A
II.B
I.A
I.A
…
…
…
Mọi chi tiết xin liên hệ: ĐT: (028) 3930 3279 DĐ: 0906 22 99 66
I.A
I.A
I.A
II.B
II.B
I.A
I.A
II.A
…
…
…
Mọi chi tiết xin liên hệ: ĐT: (028) 3930 3279 DĐ: 0906 22 99 66
Địa danh
Vùng
Địa danh
Vùng
– Huyện Ba Tri
– Huyện Bình Đại
– Huyện Châu Thành
– Huyện Chợ Lách
– Huyện Giồng Trôm
…
…
…
Mọi chi tiết xin liên hệ: ĐT: (028) 3930 3279 DĐ: 0906 22 99 66
– Huyện Thanh Phú
8. Bình Định:
– Thành phố Quy Nhơn
– Huyện An Nhơn
– Huyện An Lão
– Huyện Hoài Ân
– Huyện Hoài Nhơn
– Huyện Phù Cát
– Huyện Phù Mỹ
…
…
…
Mọi chi tiết xin liên hệ: ĐT: (028) 3930 3279 DĐ: 0906 22 99 66
– Huyện Tuy Phước
– Huyện Vân Canh
– Huyện Vĩnh Thạnh
9. Bình Thuận
– Thị xã Phan Thiết
– Huyện Bắc Bình
– Huyện Đức Linh
– Huyện Hàm Tân
– Huyện Hàm Thuận Nam
…
…
…
Mọi chi tiết xin liên hệ: ĐT: (028) 3930 3279 DĐ: 0906 22 99 66
– Huyện Phú Quý
– Huyện Tánh Linh
– Huyện Tuy Phong
10. Cao Bằng:
– Thị xã Cao Bằng
– Huyện Ba Bể
– Huyện Bảo Lạc
– Huyện Hà Quảng
– Huyện Hạ Lang
…
…
…
Mọi chi tiết xin liên hệ: ĐT: (028) 3930 3279 DĐ: 0906 22 99 66
– Huyện Ngân Sơn
– Huyện Nguyên Bình
II.A
II.A
II.A
II.A
II.A
II.A
II.A
…
…
…
Mọi chi tiết xin liên hệ: ĐT: (028) 3930 3279 DĐ: 0906 22 99 66
III.B
III.B
II.B (I.A)
II.B
III.B
III.B
III.B
II.B (I.A)
III.B
…
…
…
Mọi chi tiết xin liên hệ: ĐT: (028) 3930 3279 DĐ: 0906 22 99 66
I.A
II.A
II.A (I.A)
I.A
II.A
II.A
I.A (II.A)
III.A
…
…
…
Mọi chi tiết xin liên hệ: ĐT: (028) 3930 3279 DĐ: 0906 22 99 66
II.A
I.A
I.A
I.A
I.A
I.A
I.A
I.A
…
…
…
Mọi chi tiết xin liên hệ: ĐT: (028) 3930 3279 DĐ: 0906 22 99 66
– Huyện Quảng Hòa
– Huyện Thạch An
– Huyện Thông Nông
– Huyện Trà Lĩnh
– Huyện Trùng Khánh
11. Cần Thơ:
– Thành phố Cần Thơ
– Huyện Châu Thành
– Huyện Long Mỹ
…
…
…
Mọi chi tiết xin liên hệ: ĐT: (028) 3930 3279 DĐ: 0906 22 99 66
– Huyện Phụng Hiệp
– Huyện Thốt Nốt
– Huyện Vị Thanh
12. Đắc Lắc:
– Thị xã Buôn Ma Thuột
– Huyện Cư Giút
– Huyện Cư M’ga
– Huyện Đác Min
– Huyện Đác Nông
…
…
…
Mọi chi tiết xin liên hệ: ĐT: (028) 3930 3279 DĐ: 0906 22 99 66
– Huyện Ea Ca
– Huyện Ea H’leo
– Huyện E Súp
– Huyện Krông Ana
– Huyện Krông Bông
– Huyện Krông Búc
– Huyện Krông Năng
– Huyện Krông Nô
– Huyện Krông Pác
…
…
…
Mọi chi tiết xin liên hệ: ĐT: (028) 3930 3279 DĐ: 0906 22 99 66
– Huyện Mơ Drac
13. Đồng Nai:
– Thành phố Biên Hòa
– Thị xã Vĩnh An
– Huyện Định Quán
– Huyện Long Khánh
– Huyện Long Thành
– Huyện Tân Phú
I.A
…
…
…
Mọi chi tiết xin liên hệ: ĐT: (028) 3930 3279 DĐ: 0906 22 99 66
I.A
I.A
I.A
II.A
II.A
II.A
II.A (I.A)
II.A
…
…
…
Mọi chi tiết xin liên hệ: ĐT: (028) 3930 3279 DĐ: 0906 22 99 66
II.A
I.A
I.A
I.A
I.A
I.A
I.A
I.A
…
…
…
Mọi chi tiết xin liên hệ: ĐT: (028) 3930 3279 DĐ: 0906 22 99 66
I.A
I.A
I.A
I.A
I.A
I.A
I.A
I.A
I.A
…
…
…
Mọi chi tiết xin liên hệ: ĐT: (028) 3930 3279 DĐ: 0906 22 99 66
I.A
I.A
I.A
I.A (II.A)
II.A
I.A
Bảng E1 (tiếp theo)
Địa danh
Vùng
…
…
…
Mọi chi tiết xin liên hệ: ĐT: (028) 3930 3279 DĐ: 0906 22 99 66
Vùng
– Huyện Thống Nhất
– Huyện Xuân Lộc
14. Đồng Tháp
– Thị xã Cao Lãnh
– Huyện Cao Lãnh
– Huyện Châu Thành
– Huyện Hồng Ngự
– Huyện Lai Vung
…
…
…
Mọi chi tiết xin liên hệ: ĐT: (028) 3930 3279 DĐ: 0906 22 99 66
– Huyện Tân Hồng
– Huyện Thanh Bình
– Huyện Thanh Hưng
– Huyện Tháp Mười
15. Gia Lai:
– Thị xã Plây Cu
– Huyện A Dun Pa
– Huyện An Khê
– Huyện Chư Pa
…
…
…
Mọi chi tiết xin liên hệ: ĐT: (028) 3930 3279 DĐ: 0906 22 99 66
– Huyện Chư Sê
– Huyện Đức Cơ
– Huyện K Bang
– Huyện Krông Chro
– Huyện Krông Pa
– Huyện Mang Giang
16. Hà Bắc:
– Thị xã Bắc Giang
– Thị xã Bắc Ninh
…
…
…
Mọi chi tiết xin liên hệ: ĐT: (028) 3930 3279 DĐ: 0906 22 99 66
– Huyện Hiệp Hòa
– Huyện Lạng Giang
– Huyện Lục Nam
– Huyện Lục Ngạn
– Huyện Quế Võ
– Huyện Sơn Động
– Huyện Tân Yên
– Huyện Tiên Sơn
– Huyện Thuận Thành
…
…
…
Mọi chi tiết xin liên hệ: ĐT: (028) 3930 3279 DĐ: 0906 22 99 66
I.A
I.A
I.A
II.A
I.A
I.A
I.A
I.A
…
…
…
Mọi chi tiết xin liên hệ: ĐT: (028) 3930 3279 DĐ: 0906 22 99 66
I.A
I.A
I.A
I.A
I.A
I.A
I.A
I.A
…
…
…
Mọi chi tiết xin liên hệ: ĐT: (028) 3930 3279 DĐ: 0906 22 99 66
I.A
I.A
I.A
I.A
II.B
II.B
II.B
II.B
…
…
…
Mọi chi tiết xin liên hệ: ĐT: (028) 3930 3279 DĐ: 0906 22 99 66
II.B
II.B
II.B
II.B
II.B
II.B
II.B
– Huyện Việt Yên
– Huyện Yên Dũng
…
…
…
Mọi chi tiết xin liên hệ: ĐT: (028) 3930 3279 DĐ: 0906 22 99 66
– Huyện Yên Thế
17. Hà Giang:
– Thị xã Hà Giang
– Huyện Bắc Mê
– Huyện Bắc Quang
– Huyện Đồng Văn
– Huyện Hoàng Su Phì
– Huyện Mèo Vạc
– Huyện Quản Bạ
…
…
…
Mọi chi tiết xin liên hệ: ĐT: (028) 3930 3279 DĐ: 0906 22 99 66
– Huyện Xín Mần
– Huyện Yên Minh
18. Hà Tây:
– Thị xã Hà Đông
– Thị xã Sơn Tây
– Huyện Ba Vì
– Huyện Chương Mỹ
– Huyện Đan Phượng
– Huyện Hoài Đức
…
…
…
Mọi chi tiết xin liên hệ: ĐT: (028) 3930 3279 DĐ: 0906 22 99 66
– Huyện Phú Xuyên
– Huyện Phúc Thọ
– Huyện Quốc Oai
– Huyện Thạch Thất
– Huyện Thanh Oai
– Huyện Thường Tín
– Huyện Ứng Hòa
19. Hà Tĩnh:
– Thị xã Hà Tĩnh
…
…
…
Mọi chi tiết xin liên hệ: ĐT: (028) 3930 3279 DĐ: 0906 22 99 66
– Huyện Can Lộc
– Huyện Cẩm Xuyên
– Huyện Đức Thọ
– Huyện Hương Khuê
– Huyện Hương Sơn
II.B
II.B
II.B
I.A
…
…
…
Mọi chi tiết xin liên hệ: ĐT: (028) 3930 3279 DĐ: 0906 22 99 66
I.A
I.A
I.A
I.A
I.A
I.A
I.A
I.A
I.A
…
…
…
Mọi chi tiết xin liên hệ: ĐT: (028) 3930 3279 DĐ: 0906 22 99 66
II.B
II.B
II.B
II.B
II.B
II.B
II.B
II.B
…
…
…
Mọi chi tiết xin liên hệ: ĐT: (028) 3930 3279 DĐ: 0906 22 99 66
II.B
II.B
II.B
II.B
II.B
IV.B
IV.B
IV.B
…
…
…
Mọi chi tiết xin liên hệ: ĐT: (028) 3930 3279 DĐ: 0906 22 99 66
II.B
I.A (II.B)
I.A(II.B)
Bảng E1 (tiếp theo)
Địa danh
Vùng
Địa danh
Vùng
– Huyện Kỳ Anh
…
…
…
Mọi chi tiết xin liên hệ: ĐT: (028) 3930 3279 DĐ: 0906 22 99 66
– Huyện Thạch Hà
20. Hải Hưng:
– Thị xã Hải Dương
– Thị xã Hưng Yên
– Huyện Cẩm Bình
– Huyện Châu Giang
– Huyện Kim Môn
– Huyện Kim Thi
– Huyện Mỹ Văn
…
…
…
Mọi chi tiết xin liên hệ: ĐT: (028) 3930 3279 DĐ: 0906 22 99 66
– Huyện Nam Thanh
– Huyện Ninh Thanh
– Huyện Phù Tiên
– Huyện Tứ Lộc
21. Hoà Bình:
– Thị xã Hòa Bình
– Huyện Đà Bắc
– Huyện Kim Bôi
– Huyện Kỳ Sơn
…
…
…
Mọi chi tiết xin liên hệ: ĐT: (028) 3930 3279 DĐ: 0906 22 99 66
– Huyện Lạc Sơn
– Huyện Lương Sơn
– Huyện Mai Châu
– Huyện Tân Lạc
– Huyện Yên Thủy
22. Khánh Hòa:
– Thành phố Nha Trang
– Huyện Cam Ranh
– Huyện Diên Khánh
…
…
…
Mọi chi tiết xin liên hệ: ĐT: (028) 3930 3279 DĐ: 0906 22 99 66
– Huyện Khánh Vĩnh
– Huyện Ninh Hòa
– Huyện Trường Sa
23. Kiên Giang:
– Thị xã Rạch Giá
– Huyện An Biên
– Huyện An Minh
III.B (IV.B)
IV.B
…
…
…
Mọi chi tiết xin liên hệ: ĐT: (028) 3930 3279 DĐ: 0906 22 99 66
III.B
III.B
III.B
II.B
II.B
III.B
II.B
II.B
…
…
…
Mọi chi tiết xin liên hệ: ĐT: (028) 3930 3279 DĐ: 0906 22 99 66
III.B
III.B
III.B
I.A
I.A
II.B
I.A
II.B
…
…
…
Mọi chi tiết xin liên hệ: ĐT: (028) 3930 3279 DĐ: 0906 22 99 66
II.B
I.A
I.A
II.B
II.A
II.A
II.A
I.A
…
…
…
Mọi chi tiết xin liên hệ: ĐT: (028) 3930 3279 DĐ: 0906 22 99 66
II.A
III.B
I.A
I.A
I.A
– Huyện Châu Thành
– Huyện Giồng Riềng
– Huyện Gò Quao
…
…
…
Mọi chi tiết xin liên hệ: ĐT: (028) 3930 3279 DĐ: 0906 22 99 66
– Huyện Hòn Đất
– Huyện Kiên Hải
– Huyện Phú Quốc
– Huyện Tân Hiệp
24. Kon Tum:
– Thị xã Kon Tum
– Huyện Đác Glây
– Huyện Vĩnh Thuận
– Huyện Đác Tô
…
…
…
Mọi chi tiết xin liên hệ: ĐT: (028) 3930 3279 DĐ: 0906 22 99 66
– Huyện Ngọc Hồi
– Huyện Sa Thầy
25. Lai Châu:
– Thị xã Điện Biên phủ
– Thị xã Lai châu
– Huyện Điện Biên
– Huyện Mường Lay
– Huyện Mường Tè
– Huyện Phong Thổ
…
…
…
Mọi chi tiết xin liên hệ: ĐT: (028) 3930 3279 DĐ: 0906 22 99 66
– Huyện Tuần Giáo
– Huyện Sín Hồ
26. Lâm Đồng:
– Thành phố Đà Lạt
– Huyện Bảo Lộc
– Huyện Cát Tiên
– Huyện Di Linh
– Huyện Đa Hoai
– Huyện Đa Tẻ
…
…
…
Mọi chi tiết xin liên hệ: ĐT: (028) 3930 3279 DĐ: 0906 22 99 66
– Huyện Đức Trọng
– Huyện Lạc Dương
– Huyện Lâm Hà
27. Lạng Sơn:
– Thị xã Lạng Sơn
I.A
II.A
II.A
I.A
…
…
…
Mọi chi tiết xin liên hệ: ĐT: (028) 3930 3279 DĐ: 0906 22 99 66
II.A
III.A
I.A
I.A
I.A
I.A
I.A
I.A
…
…
…
Mọi chi tiết xin liên hệ: ĐT: (028) 3930 3279 DĐ: 0906 22 99 66
I.A
I.A
I.A
I.A
I.A
I.A
I.A
I.A
…
…
…
Mọi chi tiết xin liên hệ: ĐT: (028) 3930 3279 DĐ: 0906 22 99 66
I.A
I.A
I.A
I.A
I.A
I.A
I.A
I.A
…
…
…
Mọi chi tiết xin liên hệ: ĐT: (028) 3930 3279 DĐ: 0906 22 99 66
I.A
I.A
I.A
Bảng E1 (tiếp theo)
Địa danh
Vùng
Địa danh
Vùng
…
…
…
Mọi chi tiết xin liên hệ: ĐT: (028) 3930 3279 DĐ: 0906 22 99 66
– Huyện Bình Gia
– Huyện Cao Lộc
– Huyện Chi Lăng
– Huyện Đình Lập
– Huyện Hữu Lũng
– Huyện Lộc Bình
– Huyện Tràng Định
– Huyện Văn Lãng
– Huyện Văn Quan
…
…
…
Mọi chi tiết xin liên hệ: ĐT: (028) 3930 3279 DĐ: 0906 22 99 66
– Thị xã Lào Cai
– Huyện Bắc Hà
– Huyện Bảo Thắng
– Huyện Bảo Yên
– Huyện Bát Xát
– Huyện Mường Khương
– Huyện Sa Pa
– Huyện Than Uyên
– Huyện Văn Bàn
…
…
…
Mọi chi tiết xin liên hệ: ĐT: (028) 3930 3279 DĐ: 0906 22 99 66
– Thị xã Tân An
– Huyện Bến Lức
– Huyện Cần Đước
– Huyện Cần Giuộc
– Huyện Châu Thành
– Huyện Đức Hòa
– Huyện Đức Huệ
– Huyện Mộc Hóa
– Huyện Tân Thạnh
…
…
…
Mọi chi tiết xin liên hệ: ĐT: (028) 3930 3279 DĐ: 0906 22 99 66
– Huyện Thạch Hòa
– Huyện Thủ Thừa
– Huyện Vĩnh Hưng
30. Minh Hải:
– Thị xã Bạc Liêu
– Thị xã Cà Mau
– Huyện Cái Nước
I.A
I.A
…
…
…
Mọi chi tiết xin liên hệ: ĐT: (028) 3930 3279 DĐ: 0906 22 99 66
I.A
I.A
I.A
I.A
I.A
I.A
I.A
I.A
…
…
…
Mọi chi tiết xin liên hệ: ĐT: (028) 3930 3279 DĐ: 0906 22 99 66
I.A
I.A
I.A
I.A
I.A
I.A
I.A
II.A
…
…
…
Mọi chi tiết xin liên hệ: ĐT: (028) 3930 3279 DĐ: 0906 22 99 66
II.A
II.A
II.A
I.A
I.A
I.A
I.A
II.A
I.A
…
…
…
Mọi chi tiết xin liên hệ: ĐT: (028) 3930 3279 DĐ: 0906 22 99 66
I.A
II.A
II.A
II.A
– Huyện Đầm Dơi
– Huyện Giá Rai
– Huyện Hồng Dân
– Huyện Ngọc Hiển
…
…
…
Mọi chi tiết xin liên hệ: ĐT: (028) 3930 3279 DĐ: 0906 22 99 66
– Huyện Trần Văn Thời
– Huyện U Minh
– Huyện Vĩnh Lợi
31. Nam Hà:
– Thành phố Nam Định
– Thị xã Hà Nam
– Huyện Bình Lục
– Huyện Duy Tiên
– Huyện Hải Hậu
…
…
…
Mọi chi tiết xin liên hệ: ĐT: (028) 3930 3279 DĐ: 0906 22 99 66
– Huyện Lý Nhân
– Huyện Nam Ninh
– Huyện Nghĩa Hưng
– Huyện Thanh Liêm
– Huyện Vụ Bản
– Huyện Xuân Thủy
– Huyện Ý Yên
32. Nghệ An:
– Thành phố Vinh
…
…
…
Mọi chi tiết xin liên hệ: ĐT: (028) 3930 3279 DĐ: 0906 22 99 66
– Huyện Con Cuông
– Huyện Diễn Châu
– Huyện Đô Lương
– Huyện Hưng Nguyên
– Huyện Kỳ Sơn
– Huyện Nam Đàn
– Huyện Nghi Lộc
– Huyện Nghĩa Đàn
– Huyện Quế Phong
…
…
…
Mọi chi tiết xin liên hệ: ĐT: (028) 3930 3279 DĐ: 0906 22 99 66
– Huyện Quỳ Hợp
– Huyện Quỳnh Lưu
– Huyện Tân kỳ
II.A
II.A
II.A
II.A
II.A
II.A
…
…
…
Mọi chi tiết xin liên hệ: ĐT: (028) 3930 3279 DĐ: 0906 22 99 66
II.A
IV.B
III.B
III.B (IV.B)
III.B
IV.B
III.B
III.B
…
…
…
Mọi chi tiết xin liên hệ: ĐT: (028) 3930 3279 DĐ: 0906 22 99 66
IV.B
III.B
IV.B
IV.B
IV.B
III.B
I.A
I.A
…
…
…
Mọi chi tiết xin liên hệ: ĐT: (028) 3930 3279 DĐ: 0906 22 99 66
II.B
III.B
I.A
II.B
III.B
II.B
I.A
I.A
I.A
…
…
…
Mọi chi tiết xin liên hệ: ĐT: (028) 3930 3279 DĐ: 0906 22 99 66
I.A
Bảng E1 (tiếp theo)
Địa danh
Vùng
Địa danh
Vùng
– Huyện Thanh Chương
– Huyện Tương Dương
– Huyện Yên Thành
…
…
…
Mọi chi tiết xin liên hệ: ĐT: (028) 3930 3279 DĐ: 0906 22 99 66
– Thị xã Ninh Bình
– Thị xã Tam Điệp
– Huyện Gia Viễn
– Huyện Hoa Lư
– Huyện Hoàng Long
– Huyện Kim Sơn
– Huyện Tam Điệp
34. Ninh Thuận:
– Thị xã Phan Rang- Tháp Chàm
…
…
…
Mọi chi tiết xin liên hệ: ĐT: (028) 3930 3279 DĐ: 0906 22 99 66
– Huyện Ninh Phước
– Huyện Ninh Sơn
35. Phú Yên:
– Thị xã Tuy Hòa
– Huyện Đồng Xuân
– Huyện Sông Cầu
– Huyện Sông Hinh
– Huyện Sơn Hòa
– Huyện Tuy An
…
…
…
Mọi chi tiết xin liên hệ: ĐT: (028) 3930 3279 DĐ: 0906 22 99 66
36. Quảng Bình:
– Thị xã Đồng Hới
– Huyện Bố Trạch
– Huyện Lệ Thủy
– Huyện Minh Hóa
– Huyện Quảng Ninh
– Huyện Quảng Trạch
– Huyện Tuyên Hóa
37. Quảng Nam- Đà Nẵng:
…
…
…
Mọi chi tiết xin liên hệ: ĐT: (028) 3930 3279 DĐ: 0906 22 99 66
– Thị xã Tam Kỳ
– Thị xã Hội An
– Huyện Duy Xuyên
– Huyện Đại Lộc
II.B
I.A
II.B
IV.B
…
…
…
Mọi chi tiết xin liên hệ: ĐT: (028) 3930 3279 DĐ: 0906 22 99 66
III.B
III.B
III.B
IV.B
IV.B
II.A
II.A
II.A
…
…
…
Mọi chi tiết xin liên hệ: ĐT: (028) 3930 3279 DĐ: 0906 22 99 66
III.B
II.B
III.B
I.A
I.A
III.B
II.B (III.B)
…
…
…
Mọi chi tiết xin liên hệ: ĐT: (028) 3930 3279 DĐ: 0906 22 99 66
I.A (II.B)
I.A (II.B, III.B)
I.A
I.A (II.B, III.B)
III.B
II.B
II.B
II.B
…
…
…
Mọi chi tiết xin liên hệ: ĐT: (028) 3930 3279 DĐ: 0906 22 99 66
II.B
II.B
– Huyện Điện Bàn
– Huyện Giằng
– Huyện Hiên
– Huyện Hiệp Đức
– Huyện Hoàng Sa
– Huyện Hòa Vang
– Huyện Núi Thành
…
…
…
Mọi chi tiết xin liên hệ: ĐT: (028) 3930 3279 DĐ: 0906 22 99 66
– Huyện Quế Sơn
– Huyện Tiên Phước
– Huyện Thăng Bình
– Huyện Trà My
38. Quảng Ngãi:
– Thị xã Quảng Ngãi
– Huyện Ba Tơ
– Huyện Bình Sơn
– Huyện Đức Phổ
…
…
…
Mọi chi tiết xin liên hệ: ĐT: (028) 3930 3279 DĐ: 0906 22 99 66
– Huyện Mộ Đức
– Huyện Nghĩa Hành
– Huyện Sơn Hà
– Huyện Sơn Tịnh
– Huyện Trà Bồng
– Huyện Tư Nghĩa
39. Quảng Ninh:
– Thị xã Cẩm Phả
– Thị xã Hòn Gai
…
…
…
Mọi chi tiết xin liên hệ: ĐT: (028) 3930 3279 DĐ: 0906 22 99 66
– Huyện Ba Chẽ
– Huyện Bình Liêu
– Huyện Cẩm Phả
– Huyện Đông Triều
– Huyện Hải Ninh
– Huyện Hoành Bồ
– Huyện Quảng Hà
– Huyện Tiên Yên
– Huyện Yên Hưng
…
…
…
Mọi chi tiết xin liên hệ: ĐT: (028) 3930 3279 DĐ: 0906 22 99 66
I.A
I.A
II.B
V.B
II.B
III.B
I.A
II.B
II.B
…
…
…
Mọi chi tiết xin liên hệ: ĐT: (028) 3930 3279 DĐ: 0906 22 99 66
I.A
III.B
I.A
III.B
II.B
III.B
III.B
II.B
…
…
…
Mọi chi tiết xin liên hệ: ĐT: (028) 3930 3279 DĐ: 0906 22 99 66
II.B
I.A
II.B
III.B
III.B
II.B
II.B
II.B
…
…
…
Mọi chi tiết xin liên hệ: ĐT: (028) 3930 3279 DĐ: 0906 22 99 66
II.B
III.B
II.B
III.B
II.B
IV.B
Bảng E1 (tiếp theo)
Địa danh
Vùng
…
…
…
Mọi chi tiết xin liên hệ: ĐT: (028) 3930 3279 DĐ: 0906 22 99 66
Vùng
40. Quảng Trị:
– Thị xã Đông Hà
– Thị xã Quảng Trị
– Huyện Cam Lộ
– Huyện Gio Linh
– Huyện Hải Lăng
– Huyện Hướng Hóa
– Huyện Triệu Phong
…
…
…
Mọi chi tiết xin liên hệ: ĐT: (028) 3930 3279 DĐ: 0906 22 99 66
41. Sóc Trăng:
– Thị xã Sóc Trăng
– Huyện Kế Sách
– Huyện Long Phú
– Huyện Mỹ Tú
– Huyện Mỹ Xuyên
– Huyện Thạnh Trị
– Huyện Vĩnh Châu
42. Sông Bé:
…
…
…
Mọi chi tiết xin liên hệ: ĐT: (028) 3930 3279 DĐ: 0906 22 99 66
– Huyện Bến Cát
– Huyện Bình Long
– Huyện Bù Đăng
– Huyện Đồng Phú
– Huyện Lộc Ninh
– Huyện Phước Long
– Huyện Tân Uyên
– Huyện Thuận An
43. Sơn La:
…
…
…
Mọi chi tiết xin liên hệ: ĐT: (028) 3930 3279 DĐ: 0906 22 99 66
– Huyện Bắc Yên
– Huyện Mai Sơn
– Huyện Mộc Châu
– Huyện Mường La
– Huyện Phù Yên
– Huyện Quỳnh Nhai
– Huyện Thuận Châu
– Huyện Sông Mã
– Huyện Yên Châu
…
…
…
Mọi chi tiết xin liên hệ: ĐT: (028) 3930 3279 DĐ: 0906 22 99 66
II.B
II.B
II.B
II.B
II.B
I.A
III.B
II.B
…
…
…
Mọi chi tiết xin liên hệ: ĐT: (028) 3930 3279 DĐ: 0906 22 99 66
II.A
II.A
II.A
II.A
II.A
II.A
I.A
I.A
…
…
…
Mọi chi tiết xin liên hệ: ĐT: (028) 3930 3279 DĐ: 0906 22 99 66
I.A
I.A
I.A
I.A
I.A
I.A
I.A
I.A
…
…
…
Mọi chi tiết xin liên hệ: ĐT: (028) 3930 3279 DĐ: 0906 22 99 66
I.A
I.A
I.A
I.A
I.A
I.A
I.A
44. Tây Ninh
– Thị xã Tây Ninh
…
…
…
Mọi chi tiết xin liên hệ: ĐT: (028) 3930 3279 DĐ: 0906 22 99 66
– Huyện Châu Thành
– Huyện Dương Minh Châu
– Huyện Gò Dầu
– Huyện Hòa Thành
– Huyện Tân Biên
– Huyện Tân Châu
– Huyện Trảng Bàng
45. Thái Bình:
– Thị xã Thái Bình
…
…
…
Mọi chi tiết xin liên hệ: ĐT: (028) 3930 3279 DĐ: 0906 22 99 66
– Huyện Kiến Xương
– Huyện Hưng Hà
– Huyện Quỳnh Phụ
– Huyện Thái Thụy
– Huyện Tiền Hải
– Huyện Vũ Thư
46. Thanh Hóa:
– Thị xã Bỉm Sơn
– Thị xã Thanh Hóa
…
…
…
Mọi chi tiết xin liên hệ: ĐT: (028) 3930 3279 DĐ: 0906 22 99 66
– Huyện Bá Thước
– Huyện Cẩm Thủy
– Huyện Đông Sơn
– Huyện Hà Trung
– Huyện Hậu Lộc
– Huyện Hoằng Hóa
– Huyện Lang Chánh
– Huyện Nga Sơn
– Huyện Ngọc Lặc
…
…
…
Mọi chi tiết xin liên hệ: ĐT: (028) 3930 3279 DĐ: 0906 22 99 66
– Huyện Như Xuân
– Huyện Quan Hóa
– Huyện Quảng Xương
– Huyện Tĩnh Gia
– Huyện Thạch Thành
I.A
I.A
I.A
…
…
…
Mọi chi tiết xin liên hệ: ĐT: (028) 3930 3279 DĐ: 0906 22 99 66
I.A
I.A
I.A
I.A
I.A
IV.B
IV.B
IV.B
…
…
…
Mọi chi tiết xin liên hệ: ĐT: (028) 3930 3279 DĐ: 0906 22 99 66
IV.B
IV.B
IV.B
IV.B
IV.B
III.B
IV.B
II.B
…
…
…
Mọi chi tiết xin liên hệ: ĐT: (028) 3930 3279 DĐ: 0906 22 99 66
III.B
III.B
IV.B
IV.B
II.B
IV.B
II.B
III.B
II.B
…
…
…
Mọi chi tiết xin liên hệ: ĐT: (028) 3930 3279 DĐ: 0906 22 99 66
III.B
III.B
III.B
Bảng E1 (tiếp theo)
Địa danh
Vùng
Địa danh
Vùng
– Huyện Triệu Yên
…
…
…
Mọi chi tiết xin liên hệ: ĐT: (028) 3930 3279 DĐ: 0906 22 99 66
– Huyện Thường Xuân
– Huyện Triệu Sơn
– Huyện Vĩnh Lộc
47. Thừa Thiên Huế:
– Thành phố Huế
– Huyện A Lưới
– Huyện Hương Trà
– Huyện Hương Thủy
– Huyện Nam Đông
…
…
…
Mọi chi tiết xin liên hệ: ĐT: (028) 3930 3279 DĐ: 0906 22 99 66
– Huyện Phú Lộc
– Huyện Phú Vang
– Huyện Quảng Điền
48. Tiền Giang:
– Thành phố Mỹ Tho
– Thị xã Gò Công
– Huyện Cai Lậy
– Huyện Cái Bè
– Huyện Châu Thành
…
…
…
Mọi chi tiết xin liên hệ: ĐT: (028) 3930 3279 DĐ: 0906 22 99 66
– Huyện Gò Công Đông
– Huyện Gò Công Tây
49. Trà Vinh:
– Thị xã Trà Vinh
– Huyện Càng Long
– Huyện Cầu Kè
– Huyện Cầu Ngang
– Huyện Châu Thành
– Huyện Duyên Hải
…
…
…
Mọi chi tiết xin liên hệ: ĐT: (028) 3930 3279 DĐ: 0906 22 99 66
– Huyện Trà Cú
50. Tuyên Quang:
– Thị xã Tuyên Quang
– Huyện Chiêm Hóa
III.B
II.B
II.B
II.B
III.B
…
…
…
Mọi chi tiết xin liên hệ: ĐT: (028) 3930 3279 DĐ: 0906 22 99 66
II.B
I.A
II.B
II.B
I.A
III.B
II.B
III.B
III.B
…
…
…
Mọi chi tiết xin liên hệ: ĐT: (028) 3930 3279 DĐ: 0906 22 99 66
II.A
II.A
II.A
II.A
II.A
II.A
II.A
II.A
…
…
…
Mọi chi tiết xin liên hệ: ĐT: (028) 3930 3279 DĐ: 0906 22 99 66
II.A
II.A
II.A
II.A
II.A
II.A
II.A
I.A
…
…
…
Mọi chi tiết xin liên hệ: ĐT: (028) 3930 3279 DĐ: 0906 22 99 66
– Huyện Hàm Yên
– Huyện Na Hang
– Huyện Sơn Dương
– Huyện Yên Sơn
51. Vĩnh Long:
– Thị xã Vĩnh Long
– Huyện Bình Minh
– Huyện Long Hồ
– Huyện Mang Thít
…
…
…
Mọi chi tiết xin liên hệ: ĐT: (028) 3930 3279 DĐ: 0906 22 99 66
– Huyện Trà Ôn
– Huyện Vũng Liêm
52. Vĩnh Phú:
– Thành phố Việt Trì
– Thị xã Phú Thọ
– Thị xã Vĩnh Yên
– Huyện Đoan Hùng
– Huyện Mê Linh
– Huyện Lập Thạch
…
…
…
Mọi chi tiết xin liên hệ: ĐT: (028) 3930 3279 DĐ: 0906 22 99 66
– Huyện Sông Thao
– Huyện Tam Đảo
– Huyện Tam Thanh
– Huyện Thanh Hòa
– Huyện Thanh Sơn
– Huyện Vĩnh Lạc
– Huyện Yên Lập
53. Yên Bái:
– Thị xã Yên Bái
…
…
…
Mọi chi tiết xin liên hệ: ĐT: (028) 3930 3279 DĐ: 0906 22 99 66
– Huyện Mù Căng Chải
– Huyện Trạm Tấu
– Huyện Trấn Yên
– Huyện Văn Chấn
– Huyện Văn Yên
– Huyện Yên Bình
I.A
I.A
I.A
…
…
…
Mọi chi tiết xin liên hệ: ĐT: (028) 3930 3279 DĐ: 0906 22 99 66
II.A
II.A
II.A
II.A
II.A
II.A
II.A
…
…
…
Mọi chi tiết xin liên hệ: ĐT: (028) 3930 3279 DĐ: 0906 22 99 66
II.A
II.B
I.A
II.B
II.A
II.A
I.A
II.B
II.B
…
…
…
Mọi chi tiết xin liên hệ: ĐT: (028) 3930 3279 DĐ: 0906 22 99 66
I.A
II.B
I.A
I.A
I.A
I.A
I.A
I.A
…
…
…
Mọi chi tiết xin liên hệ: ĐT: (028) 3930 3279 DĐ: 0906 22 99 66
I.A
I.A
Chú thích: Những huyện thuộc hai hoặc ba vùng gió (có phần trong ngoặc), khi lấy giá trị Wo để thiết kế cần tham khảo ý kiến cơ quan biên soạn tiêu chuẩn để chọn vùng cho chính xác.
PHỤ LỤC F
ÁP LỰC GIÓ CHO CÁC TRẠM QUAN TRẮC KHÍ TƯỢNG VÙNG NÚI VÀ HẢI ĐẢO
Trị số độc lập của các trạm quan trắc khí tượng cho trong phụ lục F (bảng F1 và F2) là áp lực gió tính toán với thời gian sử dụng giả định của công trình 5 năm, 10 năm, 20 năm và 50 năm.
Bảng F1: Áp lực gió tính toán của một số trạm quan trắc khí tượng vùng núi, áp dụng cho mục 6.4.3
Trạm quan trắc khí tượng
…
…
…
Mọi chi tiết xin liên hệ: ĐT: (028) 3930 3279 DĐ: 0906 22 99 66
5 năm
10 năm
20 năm
50 năm
1. An Khê
2. Bắc Cạn
3. Bắc Sơn
4. Bảo Lộc
5. Chiêm Hoá
…
…
…
Mọi chi tiết xin liên hệ: ĐT: (028) 3930 3279 DĐ: 0906 22 99 66
7. Đà Lạt
8. Đắc Nông
9. Hà Giang
10. Hòa Bình
11. Hồi Xuân
12. Hương Khê
13. Kon Tum
14. Lạc Sơn
15. Lục Ngạn
…
…
…
Mọi chi tiết xin liên hệ: ĐT: (028) 3930 3279 DĐ: 0906 22 99 66
17. M’Drắc
18. Plâyku
19. Phú Hộ
20. Sình Hồ
21. Tủa Chùa
22. Than Uyên
23. Thất Khê
24. Tuyên Hóa
25. Tương Dương
…
…
…
Mọi chi tiết xin liên hệ: ĐT: (028) 3930 3279 DĐ: 0906 22 99 66
59
67
49
45
60
42
47
48
58
…
…
…
Mọi chi tiết xin liên hệ: ĐT: (028) 3930 3279 DĐ: 0906 22 99 66
57
58
40
59
70
65
70
61
60
…
…
…
Mọi chi tiết xin liên hệ: ĐT: (028) 3930 3279 DĐ: 0906 22 99 66
41
62
60
62
52
58
69
78
57
…
…
…
Mọi chi tiết xin liên hệ: ĐT: (028) 3930 3279 DĐ: 0906 22 99 66
70
47
53
54
68
65
66
67
46
…
…
…
Mọi chi tiết xin liên hệ: ĐT: (028) 3930 3279 DĐ: 0906 22 99 66
83
76
81
70
69
75
47
73
73
…
…
…
Mọi chi tiết xin liên hệ: ĐT: (028) 3930 3279 DĐ: 0906 22 99 66
61
68
80
90
65
59
81
54
60
…
…
…
Mọi chi tiết xin liên hệ: ĐT: (028) 3930 3279 DĐ: 0906 22 99 66
79
74
76
77
53
79
97
88
93
…
…
…
Mọi chi tiết xin liên hệ: ĐT: (028) 3930 3279 DĐ: 0906 22 99 66
79
87
53
85
87
83
71
77
95
…
…
…
Mọi chi tiết xin liên hệ: ĐT: (028) 3930 3279 DĐ: 0906 22 99 66
76
69
97
63
70
69
94
88
91
…
…
…
Mọi chi tiết xin liên hệ: ĐT: (028) 3930 3279 DĐ: 0906 22 99 66
61
94
117
104
109
93
92
104
62
…
…
…
Mọi chi tiết xin liên hệ: ĐT: (028) 3930 3279 DĐ: 0906 22 99 66
107
98
86
91
Bảng F2: Áp lực gió tính toán của một số trạm quan trắc khí tượng vùng hải đảo, áp dụng cho mục 6.4.3.
Trạm quan trắc khí tượng
Áp lực gió ứng với các chu kì lặp, daN/m2
5 năm
10 năm
…
…
…
Mọi chi tiết xin liên hệ: ĐT: (028) 3930 3279 DĐ: 0906 22 99 66
50 năm
1. Bạch Long Vĩ
2. Cô Tô
3. Cồn Cỏ
4. Côn Sơn
5. Hòn Dấu
6. Hòn Ngư
7. Hoàng Sa
8. Phú Quốc
…
…
…
Mọi chi tiết xin liên hệ: ĐT: (028) 3930 3279 DĐ: 0906 22 99 66
10. Trường Sa
147
130
95
81
131
94
86
103
…
…
…
Mọi chi tiết xin liên hệ: ĐT: (028) 3930 3279 DĐ: 0906 22 99 66
103
173
153
114
94
154
110
102
123
…
…
…
Mọi chi tiết xin liên hệ: ĐT: (028) 3930 3279 DĐ: 0906 22 99 66
119
201
177
135
108
178
128
120
145
…
…
…
Mọi chi tiết xin liên hệ: ĐT: (028) 3930 3279 DĐ: 0906 22 99 66
136
241
213
165
128
214
153
145
175
…
…
…
Mọi chi tiết xin liên hệ: ĐT: (028) 3930 3279 DĐ: 0906 22 99 66
160
PHỤ LỤC G
PHƯƠNG PHÁP XÁC ĐỊNH MỐC CHUẨN TÍNH ĐỘ CAO NHÀ VÀ CÔNG TRÌNH
Khi xác định hệ số k trong bảng 5, nếu mặt đất xung quanh nhà và công trình không bằng phẳng thì mốc chuẩn để tính độ cao z được xác định như sau:
G.1. Trường hợp mặt đất có độ dốc nhỏ so với phương nằm ngang i ≤ 0,3, độ cao z được kể từ mặt đất đặt nhà và công trình tới điểm cần xét.
G.2. Trường hợp mặt đất có độ dốc 0,3 < i < 2, độ cao z được kể từ mặt cao trình quy ước Z0 thấp hơn mặt đất thực tới điểm cần xét.
Mặt cao trình quy ước Z0 được xác định theo Hình G1.

…
…
…
Mọi chi tiết xin liên hệ: ĐT: (028) 3930 3279 DĐ: 0906 22 99 66
Bên trái điểm A: Zo = Z1
Trên đoạn BC: Zo = H(2 – i)/1,7
Bên phải điểm D: Zo – Z2
Trên đoạn AB và CD: Xác định Zo bằng phương pháp nội suy tuyến tính
G.3. Trường hợp mặt đất có độ dốc lớn i ≥ 2, mặt cao trình quy ước Zo để tính độ cao z thấp hơn mặt đất thực được xác định theo Hình G2.

Hình G2.
Bên trái điểm C: Zo = Z1
Bên phải điểm D: Zo = Z2
…
…
…
Mọi chi tiết xin liên hệ: ĐT: (028) 3930 3279 DĐ: 0906 22 99 66
CHUYỂN ĐỔI ĐƠN VỊ ĐO LƯỜNG
1. Bội số và ước số của hệ đơn vị SI:
Tên
Ký hiệu
Độ lớn
Diễn giải
giga
G
…
…
…
Mọi chi tiết xin liên hệ: ĐT: (028) 3930 3279 DĐ: 0906 22 99 66
1.000.000.000
mega
M
106
1.000.000
kilo
k
103
1.000
…
…
…
Mọi chi tiết xin liên hệ: ĐT: (028) 3930 3279 DĐ: 0906 22 99 66
h
102
100
deca
da
10
10
deci
d
…
…
…
Mọi chi tiết xin liên hệ: ĐT: (028) 3930 3279 DĐ: 0906 22 99 66
0,1
centi
c
10-2
0,01
mili
m
10-3
0,001
…
…
…
Mọi chi tiết xin liên hệ: ĐT: (028) 3930 3279 DĐ: 0906 22 99 66
µ
10-6
0,000.001
nano
n
10-9
0,000.000.001
2. Chuyển đổi đơn vị thông thường:
Đại lượng
…
…
…
Mọi chi tiết xin liên hệ: ĐT: (028) 3930 3279 DĐ: 0906 22 99 66
Ký hiệu
Chuyển đổi
Chiều dài
kilomet
met
decimet
centimet
milimet
km
…
…
…
Mọi chi tiết xin liên hệ: ĐT: (028) 3930 3279 DĐ: 0906 22 99 66
dm
cm
mm
= 1000 m
1m = 10dm = 100cm = 1000mm
= 0,1m
= 0,01m
= 0,001m
Diện tích
…
…
…
Mọi chi tiết xin liên hệ: ĐT: (028) 3930 3279 DĐ: 0906 22 99 66
hecta
met vuông
decimet vuông
centimet vuông
km2
ha
m2
dm2
cm2
…
…
…
Mọi chi tiết xin liên hệ: ĐT: (028) 3930 3279 DĐ: 0906 22 99 66
= 10.000m2 = 100a
= 100dm2
= 100cm2
= 100mm2
Thể tích
met khối
decimet khối
hectolít
decalít
…
…
…
Mọi chi tiết xin liên hệ: ĐT: (028) 3930 3279 DĐ: 0906 22 99 66
m³
dm3
hl
dal
l
= 1000dm3 = 1.000.000cm3 = 1000 lít
= 1 lít
= 10 dal = 100lít
= 10 lít
…
…
…
Mọi chi tiết xin liên hệ: ĐT: (028) 3930 3279 DĐ: 0906 22 99 66
kilomet/giờ
met/giây
km/h
m/s
= 0,278 m/s
Khôi lượng
tấn
kilogam
gam
…
…
…
Mọi chi tiết xin liên hệ: ĐT: (028) 3930 3279 DĐ: 0906 22 99 66
T
kg
g
mg
= 10 tạ = 100yến = 1000kg = 1.000.000g
= 1000g
= 1000mg
= 0,001g
Lực
…
…
…
Mọi chi tiết xin liên hệ: ĐT: (028) 3930 3279 DĐ: 0906 22 99 66
mega niuton
kilo niuton
niuton
MN
kN
N
= 1.000.000N
= 1000N; 1Tf = 9,81KN » 10KN
1kgf = 9,81N
10N = 1kg.m/s2
…
…
…
Mọi chi tiết xin liên hệ: ĐT: (028) 3930 3279 DĐ: 0906 22 99 66
pascal
atmotphe
Pa
…
…
…
Mọi chi tiết xin liên hệ: ĐT: (028) 3930 3279 DĐ: 0906 22 99 66
= 1N/m2; 1kgf/cm2 = 9,81.104N/m2
0,1 MN/m2; 1kgf/m2 = 9,81 N/m2
= 9,81Pa
10N/m² = 1daN/m2
=1kgf/cm2=10Tf/m2=1 cột nước cao 10 mét có tiết diện ngang 1 cm2 ở 40C
Trọng lượng thể tích
1kgf/m3 = 9,81N/m3
10N/m³;
…
…
…
Mọi chi tiết xin liên hệ: ĐT: (028) 3930 3279 DĐ: 0906 22 99 66
Nhiệt độ
độ Kelvin
độ Celcius
0K
0C
= 273,150K
Năng lượng, công, nhiệt lượng
megajule
…
…
…
Mọi chi tiết xin liên hệ: ĐT: (028) 3930 3279 DĐ: 0906 22 99 66
juie
milijule
kilocalo
MJ
kJ
J
mJ
Kcal
= 1.000.000J
…
…
…
Mọi chi tiết xin liên hệ: ĐT: (028) 3930 3279 DĐ: 0906 22 99 66
= 1Nm
= 0,001J
= 427kgm = 1,1636Wh; 1 mã lực giờ = 270.000kgm = 632Kcal
Công suất năng lượng/thời gian
megaoat
kilooat
mã lực
oat
…
…
…
Mọi chi tiết xin liên hệ: ĐT: (028) 3930 3279 DĐ: 0906 22 99 66
MW
KW
hp
W
mW
=1.000.000W
=1000W=1000J/s= 1,36 mã lực
=0,239 Kcal/s
…
…
…
Mọi chi tiết xin liên hệ: ĐT: (028) 3930 3279 DĐ: 0906 22 99 66
=1 J/s
=0,001W
Tần số (chu kỳ/giây)
hec
Hz
=1s-1
3. Chuyển đổi đơn vị Anh sang hệ SI:
Đại lượng
Tên
…
…
…
Mọi chi tiết xin liên hệ: ĐT: (028) 3930 3279 DĐ: 0906 22 99 66
Chuyển đổi
Chiều dài
mile (dặm Anh)
yard (thước Anh)
foot (bộ Anh)
inch (phân Anh)
mile
yd
ft
…
…
…
Mọi chi tiết xin liên hệ: ĐT: (028) 3930 3279 DĐ: 0906 22 99 66
= 1609m
= 0,9144m
= 0,3048m
= 2,54cm
Diện tích
Square mile (dặm vuông)
acre (mẫu vuông)
square yard (thước vuông)
square foot (bộ vuông)
…
…
…
Mọi chi tiết xin liên hệ: ĐT: (028) 3930 3279 DĐ: 0906 22 99 66
ac
sq.yd
sq.ft
= 259 ha = 2590000 m2
= 4047 m2
= 0,836 m2
= 0,0929 m2
Thể tích
cubic yard (thước khối)
…
…
…
Mọi chi tiết xin liên hệ: ĐT: (028) 3930 3279 DĐ: 0906 22 99 66
cubic inch (phân khối Anh )
cu.yd
cu.ft
cu.in
= 0,7646 m3
= 28.32 dm3
= 16,387 cm3
Khối lượng
long ton
…
…
…
Mọi chi tiết xin liên hệ: ĐT: (028) 3930 3279 DĐ: 0906 22 99 66
pound
ounce
tn.lg
tn.sh
lb
oz
= 1016 kg
= 907,2 kg
= 0,454 kg
…
…
…
Mọi chi tiết xin liên hệ: ĐT: (028) 3930 3279 DĐ: 0906 22 99 66


