Nội dung toàn văn Tiêu chuẩn Việt Nam TCVN 3110:1993 về hỗn hợp bê tông nặng phương pháp phân tích thành phần
TIÊU CHUẨN VIỆT NAM
TCVN 3110 : 1993
HỖN HỢP BÊ TÔNG NẶNG – PHƯƠNG PHÁP PHÂN TÍCH THÀNH PHẦN
Concrete mixture – Method of composition analyse
Tiêu chuẩn này quy định phương pháp phân tích thành phần hỗn hợp bê tông nặng nhằm kiểm tra so sánh khối lượng vật liệu xi măng, cát, đá dăm hoặc sỏi và nước thực tế đã dùng trong 1m3 bê tông so với khối lượng vật liệu theo thiết kế.
1. Thiết bị thử
a) Cân kĩ thuật 50kg;
b) Bộ sàng cát 5mm; 1,2mm và 0,15mm;
c) Tủ sấy 2000C;
d) Khay sấy,
e) Bay, xẻng để xúc hỗn hợp bê tông.
2. Chuẩn bị mẫu thử
2.1. Mẫu hỗn hợp bê tông được lấy ở trong các phương tiện vận chuyển trước khi đổ vào công trình theo TCVN 3105 : 1979. “Hỗn hợp bê tông nặng và bê tông nặng – Phương pháp lấy mẫu và chuẩn bị mẫu. Khối lượng mẫu lấy ra để thử tùy thuộc vào cỡ hạt lớn nhất của cốt liệu được quy định ở bảng l.
Bảng 1
|
Cỡ hạt lớn nhất của cốt liệu (mm) |
Khối lượng mẫu tối đa lấy ra để thử (g) |
Khối lượng mẫu thử tối thiểu (g) |
|
5 10 40 70 |
3000 7000 12000 25000 |
1000 3000 5000 10000 |
2.2. Khi vận chuyển mẫu bê tông về phòng thí nghiệm, mẫu phải được bảo quản trong thùng kim loại có nắp kín để không bị mất nước và phải được thử ngay. Trường hợp mẫu thử phải để lâu hơn 30 phút kể từ khi lấy mẫu thì phải trộn thêm vào mẫu thử 5% H3PO4 (tính theo khối lượng xi măng) để kéo dài thời gian đông cứng của bê tông.

3. Tiến hành thử
3.1. Chia mẫu thử theo cột 2 bảng 1 thành hai phần tương đối bằng nhau, rồi cân khối lượng của từng mẫu thử theo khối lượng quy định ở cột 3 bảng 1 (m10 và m20)
3.2. Xác định khối lượng nước dùng trong mẫu thử
Đem mẫu thử m10 – sấy khô ở nhiệt độ 105 r 50C tới khối lượng không đổi rồi cân lại để tính ra khối lượng nước dùng trong mẫu thử theo công thức :
mn=m10 –m11
Trong đó :
mn – Khối lượng nước dùng trong mẫu thử, tính bằng g;
m10 – Khối lượng mẫu thử, tính bằng g;
m11 – Khối lượng mẫu thử đã sấy khô tới khối lượng không đối, tính bằng g.
3.3. Các tạp chất bùn, đất sét và bụi cỡ hạt nhỏ hơn 0,15mm (mb) trong cát, đá dăm (sỏi) được xác định trước ở mẫu cát đá dăm (sỏi) theo mục 3- 7 TCVN 1772 : 1975 “Đá sỏi trong xây dựng – Phương pháp thử” và TCVN 343 : 1975 “Cát xây dựng. Phương pháp xác định hàm lượng chung của đất sét và bụi” hoặc lấy theo phiếu kết quả nghiệm chất lượng cắt đá dăm (sỏi).
3.4. Xác định khối lượng vật liệu các loại xi măng, cát, đá dăm (sỏi) dùng trong mẫu thử.
Mẫu thử m20 được rửa sạch bằng nước nóng từ 30 ÷ 500C, trên bộ sàng 5mm, 1,2mm và 0,15mm cho tới khi nước rửa mẫu chảy qua sàng không còn vẩn đục (hình 1).
Đem mẫu vật liệu đã rửa sạch trên các sàng sấy khô tới khối lượng không đổi ở nhiệt độ 105 ± 50C rồi cân lại để thí nghiệm thành phần cấp phối hạt theo TCVN 1772 : 1975 “Đá sỏi trong xây dựng. Phương pháp thử” và tính tỉ lệ cát đá dăm (sỏi), (Kcđ).
4. Kết quả thử
4.1. Khối lượng các vật liệu dùng trong mẫu thử được xác định theo công thức:

Trong đó :
mcd – Khối lượng cát, đá dăm (sỏi) kể cả các tạp chất bùn, bụi đất trong mẫu thử tính bằng g
m21 – Tổng khối lượng cát, đá dăm (sỏi) dùng trong mẫu thử trên các sàng 5mm; l,2mm và 0,15mm, tính bằng g
mb – Hàm lượng bùn, bụi, đất sét nhỏ hơn 0,15mm, tính bằng %;
mx – Hàm lượng xi măng trong mẫu thử, tính bằng g.
4.2. Tính tỉ lệ cát, đá dăm (sỏi) xi măng và xi măng nước theo công thức :

Trong đó :
µcd – Tỉ lệ cát đá dăm (sỏi)/xi măng
Z- Tỉ lệ nước/xi măng.
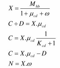
4.3. Tính khối lượng vật liệu xi măng, cát, đá dăm (sỏi) và nước dùng trong 1m3 hỗn hợp bê tông.

Trong đó :
Kcd – Tỉ lệ cát/đá dăm (sỏi) tính theo điều 3.4 bằng phần đơn vị;
mhb – Khối lượng thể tích của hỗn hợp bê tông, tính bằng kg/m3;
X, C, D và N – khối lượng xi măng, cát, đá dăm (sỏi) và nước dùng trong 1m3 bê tông, tính bằng kg.
5. Biên bản thử.
Trong biên bản thử phải ghi rõ :
a) Thời gian và địa điểm lấy mẫu thử;
b) Thành phần phối liệu bê tông theo thiết kế;
c) Thànhphần phối liệu bê tông thí nghiệm;
d) Mức độ chênh lệch vật liệu của hỗn hợp bê tông thí nghiệm được so sánh với thiết kế
e) Chữ kí của người thử.


