Tiêu chuẩn Việt Nam TCVN3112:1993

  • Loại văn bản: Tiêu chuẩn Việt Nam
  • Số hiệu: TCVN3112:1993
  • Cơ quan ban hành: ***
  • Người ký: ***
  • Ngày ban hành: ...
  • Ngày hiệu lực: ...
  • Lĩnh vực: Xây dựng
  • Tình trạng: Không xác định
  • Ngày công báo: ...
  • Số công báo: Còn hiệu lực

Nội dung toàn văn Tiêu chuẩn Việt Nam TCVN 3112:1993 về bê tông nặng – phương pháp thử xác định khối lượng riêng


TIÊU CHUẨN VIỆT NAM

TCVN 3112 : 1993

BÊ TÔNG NẶNG – PHƯƠNG PHÁP THỬ XÁC ĐỊNH KHỐI LƯỢNG RIÊNG
Heavyweight concrete – Method for determination of specific mass.

Tiêu chuẩn này quy định phương pháp thử khối lượng riêng của bê tông nặng.

1. Thiết bị thử

Bình khối lượng riêng (hình la) hoặc bình tam giác dung tích 100ml có nút thuỷ tinh và ống dẫn mao quản (hình 1b).

Cần phân tích chính xác tới 0,01g;

Búa con;

Cối chày đồng;

Bình hút ẩm;

Tủ sấy 2000C;

Nước lọc;

Dầu hoả Cồn 900C

Sàng kính thước mắt 2 hoặc 2,5mm.

2. Chuẩn bị mẫu thử

2.1. Lấy 3 viên mẫu hình dạng bất kỳ theo điều

3.4 TCVN 3105 : 1993.

2.2. Đập nhỏ các viên mẫu tới cơ hạt dưới 2 hoặc 2,5mm trộn đều, rút gọn dẫn mẫu tới còn 200g (cách rút gọn : Dàn đều mẫu thành hình bánh đa, vạch hai đường kính chia mẫu thành 4 phần lấy hai phần bất kỳ đối đỉnh).

Tán nhỏ mẫu thành bột trong cối chày đồng. Sấy bột tới khối lượng không đổi rồi để nguội tới nhiệt độ phòng trong bình hút ẩm. Từ bột đã để nguội, cân làm hai mẫu mỗi mẫu 50g để thử song song.

3. Tiến hành thử

3.1. Nếu thử bằng bình cổ cao (hình la) thì trước tiên niệu chỉnh thể tích các vạch mức của từng bình, sau đó đổ dầu hỏa vào bình tới vạch số 0. Làm hai bình song song. Dùng bông thấm sạch phần dầu dính ở cổ bình rồi cẩn thận đổ qua phễu vào mỗi bình 50g mẫu. Xoay lắc bình quanh trục thẳng đứng trong 10 phút cho không khí thoát ra hết rồi đo thể tích dầu tăng lên trong bình sau khi cho mẫu (V).

3.2. Nếu thử bằng bình tam giác (hình 1b) thì đổ môi phần mẫu thử vào một bình đã rửa sạch, sấy khô (hoặc rửa cồn để khô) và cân sẵn (m1). Cân bình chứa mẫu (m2).

Đổ dầuu hoả vào bình tới vạch định mức, dùng bông thẩm sạch phần dầu trên vạch định mức rồi cân bình chứa dầu và mẫu (m3) sau đó sẽ đổ mẫu thử ra, rửa sạch bình; đổ nước cất vào đến vạch định mức rồi lại cân (m4).

4. Tính kết quả

4.1. Khối lượng riêng của mẫu thử (U) được tính bằng g/cm3 chính xác tới 0,0lg, theo công thức:

                                           (1)

Trong đó :

m – Khối lượng bột mẫu, 50g;

V – Phần thể tích dầu do mẫu chiếm chỗ, tính bằng cm3. Khi thử bằng bình tam giác :

Trong đó :

rd – Khối lượng riêng của dầu hoả, lấy bằng 0,93g/cm3;

m1 – Khối lượng bình không tính bằng g;

m2 – Khối lượng bình chứa bột mẫu, tính bằng g;

m3 – Khối lượng bình chứa bột mẫu và dầu hoả, tính bằng g;

m4 – Khối lượng bình chứa nước cất, tính bằng g.

4.2. Khối lượng riêng của bê tông là trung bình cộng kết quả của hai lần thử khi các kết quả thử chênh lệch nhau không quá 0,O05g/cm3

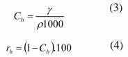
4.3. Khi biết khối lượng thể tích (xác định theo TCVN 3115 : 1993) và khối lượng riêng (xác định theo tiêu chuẩn này) có thể tính độ chặt Cb (Phần đơn vị) và độ rỗng rb (% khối lượng) của bê tông theo các công thức :

Trong đó :

y – Khối lượng thể tích của bê tông, tính bằng Kg/m3.

r – Khối lượng riêng của bê tông, tính bằng g/cm3.

5. Biên bản thử

Trong biên bản ghi rõ :

– Ký hiệu mẫu;

– Ngày và nơi lấy mẫu;

– Ngày thử;

– Khối lượng riêng của từng mẫu;

– Độ chặt và độ rỗng của bê tông (nếu có);

– Chữ ký của người thử.

Leave a Reply

Your email address will not be published. Required fields are marked *