Tiêu chuẩn Việt Nam TCVN3117:1993

  • Loại văn bản: Tiêu chuẩn Việt Nam
  • Số hiệu: TCVN3117:1993
  • Cơ quan ban hành: ***
  • Người ký: ***
  • Ngày ban hành: ...
  • Ngày hiệu lực: ...
  • Lĩnh vực: Xây dựng
  • Tình trạng: Không xác định
  • Ngày công báo: ...
  • Số công báo: Còn hiệu lực

Nội dung toàn văn Tiêu chuẩn Việt Nam TCVN 3117:1993 về bê tông nặng – phương pháp xác định độ co


TIÊU CHUẨN VIỆT NAM

TCVN 3117 : 1993

BÊ TÔNG NẶNG – PHƯƠNG PHÁP XÁC ĐỊNH ĐỘ CO
Heavyweight concrete – Method for determination of shrinkage

Tiêu chuẩn này quy định phương pháp xác định độ co của bê tông nặng.

1. Thiết bị thử

Đồng hồ đo co ngót chính xác tới 0,001mm (hình 1a) .

Chốt và đầu đo (hình 1b).

Tủ khí hậu có nhiệt độ 27 ± 20C, độ ẩm 80 ± 5% .

2. Chuẩn bị mẫu thử

2.1. Độ co của bê tông chỉ xác định trên các nhóm mẫu đúc. Các mẫu được đúc và bảo dưỡng cho tới khi tháo khuôn theo TCVN 3105 : 1993.

Trên hai mặt mẫu tiếp giáp với thành đứng của khuôn nhẹ nhàng đục 4 lỗ sâu rộng bằng tấm gắn đầu đo và dùng vữa gắn chắc các chốt đo vào các vị trí này (để giảm thao tác đục có thể để lỗ chờ khi đúc mẫu). Các chốt đo phải nằm cân đối trên hai đường trung bình của hai mặt mẫu. Khoảng cách giữa các chốt được lấp bằng một phần hai hoặc hai phần ba chiều dài mẫu.

Gắn chốt xong, mẫu được giữ ẩm liên tục một ngày rồi được ngâm nước thêm hai ngày nữa.

3. Tiến hành thử

3.1. Lấy mẫu khỏi thùng ngâm, lau ráo mặt ngoài mẫu. Đặt mẫu vào tủ khí hậu, gắn đầu đo và tiến hành đo ngay số liệu đầu tiên.

Khi đo, đặt mẫu bê tông ở tư thế thẳng đứng, hai đầu đồng hồ tiềp xúc với đầu đo.

Xoay đi xoay lại đồng hồ hai ba lần để đạt tới vị trí tiếp xúc ổn định rồi đọc đồng hồ và ghi số đo vào nhật ký thí nghiệm. Coi đây là số đo đầu.

3.2. Tuần tự như vậy đo xong vị trí này, chuyển đồng hồ sang vị trí khác, đo xong mẫu này chuyển đồng hồ sang đo mẫu khác cho tới khi đo xong tất cả các mẫu.

3.3. Các số đo được xác định tính từ lần đo đầu tiên, sau l, 3, 7, 14 ngày và sau đó hai tuần một lần cho tới khi kết thúc.

Chú thích: Trong trường hợp cần đo biến dạng của bê tông (gồm cả biến dạng nhiệt lẫn độ co nở) trong điều kiện của một môi trường cụ thể thì mẫu không đạt trong tủ khí hậu mà đặt đúng trong điều kiện môi trường đó;

Tại từng thời điểm lấy số đo co ngót đường thời cần tiến hành cân mẫu để theo dõi sự thay đổi dộ ẩm của mẫu. Đo nhiệt độ và độ ẩm thực của tủ khí hậu.

3.4. Độ co của bê tông được xác định trong khoảng thời gian không ít hơn 120 ngày.

Trong trường hợp chênh lệch số đo giữa ba lần sau cùng không vượt quá sai số của đồng hồ đo thì cho phép kết thúc thí nghiệm sớm hơn thời gian quy định.

4. Tính kết quả

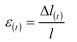
4.1. Độ co của từng viên mẫu bê tông tại thời điểm được tính bằng mm/m theo công thức:

Trong đó :

∆l(t)–  Chênh lệch chiều dài giữa các chồt đo của mẫu tại thời điểm t so với ban đầu, tính bằng mm;

l – Khoảng cách giữa các chốt đo, tính bằng m;

∆l(t), l – Được lấy theo số đo trung bình trên hai mặt của từng viên mau.

4.2. Độ co của bê tông tại thời điểm t là trung bình số học của ba kết quả thử trên ba viên mẫu cùng tổ tính chính xác tới 0,001mm.

5. Biên bản thử

Trong biên bản thử ghi rõ :

– Ký hiệu mẫu;

– Tuổi mẫu bê tông khi thử;

– Ngày xác định số đo đầu và các ngày đo tiếp theo.

– Nhiệt độ, độ ẩm của tủ khí hậu tại mỗi thời điểm đo.

– Khối lượng mẫu ở mỗi thời điểm đo;

– Độ co của từng viên mẫu và độ co trung bình của cả tổ mẫu bê tông.

Leave a Reply

Your email address will not be published. Required fields are marked *