Nội dung toàn văn Tiêu chuẩn Việt Nam TCVN 3118:1993 về bê tông nặng – phương pháp xác định cường độ nén
TIÊU CHUẨN VIỆT NAM
TCVN 3118 : 1993
BÊ TÔNG NẶNG – PHƯƠNG PHÁP XÁC ĐỊNH CƯỜNG ĐỘ NÉN
Heavyweight concrete – Method for determinatien of compressive strength
Tiêu chuẩn này quy định phương pháp xác định cường độ chịu nén của bê tông nặng.
1. Thiết bị thử.
Máy nén;
Thước lá kim loại;
Đệm truyền tải (sử dụng khí nén các nửa viên mẫu đầm sau khi uốn gẫy).
1.1 Máy nén được lắp đặt tại một vị trí cố định.
Sau khi lắp, máy phải định kì l năm một lần hoặc sau mỗi lần sửa chữa được cơ quan đo lường Nhà nước kiểm tra và cấp giấy chứng thực hợp lệ.
1.2 Đệm truyền tải (hình 1) được làm bằng thép dày 20 ± 2mm có rãnh cách đều mẫu 30 ± 2mm. Phần truyền tải vào mẫu có kích thước bằng kích thước tiết diện của các viên mẫu đầm (100 x 100 ; 150 x 150 ; 200 x 200mm).
2. Chuẩn bị mẫu thử
2.1 Chuẩn bị mẫu thử nén theo nhóm mẫu. Mẫu nhóm mẫu gồm 3 viên. Khi sử dụng bê tông khoan cắt từ kết cấu, nếu không có đủ 3 viên thì được phép lấy 2 viên làm một nhóm mẫu thử.
2.2 Việc lấy hôn hợp bê tông, đúc bảo dưỡng, khoan cắt mẫu bê tông và chọn kích thước viên mẫu thử nén phải được tiến hành theo TCVN 3105: 1993.
2.3 Viên chuẩn để xác định cường độ nén cửa bê tông là viên mẫu lập phương kích thước 150 x 150 x 150mm. Các viên mẫu lập phương kích thước khác viên chuẩn và các viên mẫu trụ sau khi thử nén phải được tính đổi kết quả thử về cường độ viên chuẩn.
2.4 Kết cấu sản phẩm yêu cầu thử mẫu để nghiệm thu thi công hoặc đưa vào sửa dụng ở tuổi trạng thái nào thì phải thử nén các viên mẫu ở đúng tuổi và trạng thái đó.
2.5 Kiểm tra và chọn hai mặt chịu nén của các viên mẫu thử sao cho:
a. Khe hở lớn nhất giữa chúng với thước thẳng đặt áp sát xoay theo các phương không vượt quá 0,05mm trên 100mm tính từ điểm tì thước.
h. Khe hở lớn nhất giữa chúng với thành thước kẻ góc vuông khi đặt thành kia áp sát các mặt kề bên của mẫu lập phương hoặc các đường sinh của mẫu trụ không vượt quá 1mm trên 100nm tính từ điểm tì thước trên mặt kiểm tra.
c. Đối với các viên mẫu lập phương và các viên nửa dầm đã uốn không lấy mặt tạo bởi đáy khuôn đúc và mặt hở để đúc mẫu làm hai mặt chịu nén.
2.6 Trong trường hợp các mẫu thử không thoả mãn các yêu cầu ghi ở điều 2.3 mẫu phải được gia công lại bằng cách mài bớt hoặc làm phẳng mặt bằng một lớp hồ xi măng cứng đanh không dày quá 2mm. Cường độ của lớp xi măng này khi thử phải không được thấp hơn một nửa cường độ dự kiến sẽ đạt của mẫu bê tông.
3. Tiến hành thử
3.1 Xác định diện tích chịu lực của mẫu
3.1.1. Đo chính xác tới 1mm các cặp cạnh song song của hai mặt chịu nén (đối với mẫu lập phương) các cặp đường kính vuông góc với nhau từng đôi một trên từng mặt chịu nén (đối với mẫu trụ), xác định diện tích hai mặt chịu nén trên và dưới theo các giá trị trung bình của các cặp cạnh hoặc các cặp đường kính đã đo. Diện tích chịu lực nén của mẫu khi đó chính là trung bình số học diện tích của hai mặt.
3.1.2. Diện tích chịu lực khi thử các nửa viên dầm đã uốn gãy được tính bằng trung bình số học diện tích các phần chung giữa các mặt chịu nén phía trên và phía dưới với các đệm thép truyền lực tương ứng.
3.2 Xác định tải trọng phá hoại mẫu
3.2.1. Chọn thang lực thích hợp của máy để khi nén tải trọng phá hoại nằm trong khoảng 20 – 80% tải trọng cực đại của thang lực nén đã chọn. Không được nén mẫu ngoài thang lực trên.
3.2.2. Đặt mẫu vào máy nén sao cho một mặt chịu nén đã chọn nằm đúng tâm thớt dưới của máy. Vận hành máy cho mặt trên của mẫu nhẹ nhàng tiếp cận với thớt trên của máy. Tiếp đó tăng tải liên tực với vận tốc không đổi và bằng 6 r 4 daN/cm2 trong một giây cho tới khi mẫu bị phá hoại. Dùng tốc độ gia tải nhỏ đối với các mẫu bê tông có cường độ thấp, tốc độ gia tải lớn đối với các mẫu bê tông cường độ cao.
3.2.3. Lực tối đa đạt được là giá trị tải trọng phá hoại mẫu.
4. Tính kết quả
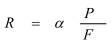
4.1 Cường độ nén từng viên mẫu bê tông (R) được tính bằng daN/cm2 (KG/cm2) theo công thức:
![]()
Trong đó:
P – Tải trọng phá hoại, tính bằng daN; .
F – Diện tích chịu lực nén của viên mẫu, tính bằng cm2;
α – Hệ số tính đổi kết quả thử nén các viên mẫu bê tông kích thước khác viên chuẩn về cường độ của viên mẫu chuẩn kích thước 150 x 150 x 150mm.
Giá trị α lấy theo bảng 1.
Bảng 1
|
Hình dáng và kích thước của mẫu (mm) |
Hệ số tính đổi |
|
Mẫu lập phương 100 x 100 x 100 150 x 150 x 150 200 x 200 x 200 300 x 300 x 300 Mẫu trụ 71,4 x 143 và 100 x 200 150 x 300 200 x 400 |
0,91 1,00 1,05 1,10
1,16 1,20 1,24 |
Chú thích:
1. Không được phép sử dụng các giá trị D thấp hơn các giá trị ghi trong bảng 1.
2. Cho phép sử dụng các giá trịD lớn hơn các giá trị ghi ở bảng 1 khi D được xác định bằng thực nghiệm theo phương pháp ghi ở phụ lục của tiêu chuẩn này.
3. Khi nén các mẫu nửa dầm giá trị hệ số chuyển đổi cũng được lấy như mẫu lập phương cùng tiết diện chịu nén.
4.2 Khi thử các mẫu trụ khoan cắt từ các cáu kiện hoặc sản phẩm mà tỉ số chiều cao với đường kính của chúng nhỏ hơn 2 thì kết quả cũng tính theo công thức và hệ số D ghi ở điều 4. 1 nhưng được nhân thêm với hệ số E lấy theo bảng 2.
Bảng 2
|
H/d |
1,9 |
1,8 |
1,7 |
1,6 |
1,5 |
1,4 |
1,3 |
1,2 |
1,1 |
1,0 |
|
|
0,99 |
0,98 |
0,97 |
0,95 |
0,94 |
0,93 |
0,92 |
0,91 |
0,90 |
0,89 |
4.3 Cường độ chịu nén của bê tông được xác định từ các giá trị cường độ nén của các viên trong tổ mẫu bê tông như sau:
4.3.1. So sánh các giá trị cường độ nén lớn nhất và nhỏ nhất với cường độ nén của viên mẫu trung bình.
Nếu cả hai giá trị đo đều không lệch quá 15% so với cường độ nén của viên mẫu trung bình thì cường độ nén của bê tông được tính bằng trung bình số học của ba kết quả thử trên ba viên mẫu. Nếu một trong hai giá trị đó lệch quá 15% so với cường độ nén của viên mẫu trung bình thì bỏ cả hai kết quả lớn nhất và nhỏ nhất. Khi đó cường độ nén của bê tông là cường độ nén của một viên mẫu còn lại.
4.3.2. Trong trường hợp tổ mẫu bê tông chi có hai viên thì cường độ nén của bê tông được tính băng trung bình số học kết quả thử của hai viên mẫu đó.
5. Biên bản thử
Trong biên bản thử ghi rõ:
– Kí hiệu mẫu;
– Nơi lấy mẫu;
– Tuổi bê tông, điều kiện bảo dưỡng, trạng thái mẫu lúc thử;
– Mác bê tông thiết kế;
– Kích thước từng viên mẫu;
– Diện tích chịu nén của từng viên;
– Tải trọng phá hoại từng viên;
– Cường độ chịu nén của từng viên và cường độ chịu nén trung bình,
– Chữ kí của người thử.
Phụ lục
Xác định hệ số tính đổi bằng thực nghiệm
1. Hệ số tính đổi được xác định riêng cho từng mác bê tông, từng loại bê tông, từng máy nén và từng lô khuôn đúc mẫu kích thước khác viên chuẩn.
2. Để xác định hệ số tính đổi cần thử 8 tổ mẫu (mỗi tổ 3 viên) kích thước chuẩn và 8 tổ mẫu tương ứng cho mỗi loại khuôn kích thước khác viên chuẩn.
3. Các mẫu kích thước chuẩn và kích thước khác viên chuẩn phải được chế tạo từ một mẫu hỗn hợp bảo dưỡng, đóng rắn trong cùng một điều kiện và thử ở cùng một tuổi. Khi thử, các mẫu kích thước chuẩn và khác chuẩn phải có khối lượng thể tích chênh lệch nhau không quá 2%.
4. Sau khi nén mẫu, tiến hành các tính toán sau:
4.1. Hệ số tính đổi cho từng cáp tổ mẫu kích thước chuẩn và không chuẩn.
(1)
Trong đó:
– Cường độ bê tông trung bình của tổ mẫu kích thước chuẩn và khác chuẩn thứ i.
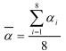
4.2. Hệ số tính đổi trung bình:
(2)
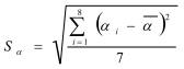
4.3. Phương sai Sα.
(3)
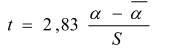
4.4. Giá trị t
![]()
Và phân biệt ra theo giá trị t ba trường hợp sau:
a. Nếu t ≥ 1,4 thì sử dụng hệ số D xác định bằng thực nghiệm;
b. Nếu t < l,4 thì sử dụng hệ số D tra theo bảng l của tiêu chuẩn này;
c. Không phụ thuộc vào t nếu
< α tra bảng thì phải sử dụng α tra theo bảng 1 của tiêu chuẩn này.
5. Giá trị của hệ số tính đổi được xác định ở các phòng thí nghiệm cơ sở có sự tham gia của các phòng thí nghiệm chuyên về bê tông của các Bộ. Sau đó được các tổ chức có thẩm quyền thông qua.
6. Việc kiểm tra các hệ số tính đổi bằng thực nghiệm cần được tiến hành ít nhất một lần trong hai năm.


