Nội dung toàn văn Tiêu chuẩn Việt Nam TCVN 3120:1993 về bê tông nặng – phương pháp xác định cường độ kéo khi bửa
TIÊU CHUẨN VIỆT NAM
TCVN 3120 : 1993
BÊ TÔNG NẶNG – PHƯƠNG PHÁP THỬ CƯỜNG ĐỘ KÉO KHI BỬA
Heavyweight cencrete – Method for determination of direct tensile strength
Tiêu chuẩn này quy định phương pháp xác định cường độ kéo khi bửa của bê tông nặng.
1. Thiết bị thử
Máy nén như TCVN 3118 : 1993,
Gối truyền tải;
Đệm gỗ.

1.1. Gối truyền tải (sử dụng khi thử bửa các viên mẫu lập phương hoặc các viên mẫu dầm) được làm bằng thép với thiết diện là cung của đường tròn bán kính 75mm và dài bằng kích thước cạnh của viên mẫu lập phương (2).
1.2. Tấm đệm gỗ (3) được làm bằng gỗ dán nhiều lớp dài bằng kích thước cạnh của mẫu lập phương hoặc đường sinh của mẫu trụ, rộng 15 ± 2mm và dày 4 ± 1mn. Môi tấm đệm gỗ chỉ sử dụng cho một lần thử.
2. Chuẩn bị mẫu thử
2.1. Chuẩn bị mẫu thử theo nhóm. Mỗi nhóm mẫu gồm 3 viên.
Khi sử dụng mẫu khoan, cắt từ kết cấu, bản phẩm, nếu không có đủ 3 viên thì được phép lấy 2 viên làm một tổ mẫu thử.
2.2. Việc lấy mẫu hỗn hợp bê tông, chọn kích thước hình dáng viên mẫu, đúc, bảo dưỡng hoặc khoan cắt các viên mẫu thử phải được tiến hành theo TCVN 3105 : 1993.
2.3. Mẫu chuẩn để xác định cường độ kéo khi bửa của bê tông là viên mẫu lập phương kích thước 150 x 150 x 150mm. Các viên mẫu có kích thước khác sau khi thử phải được tính đổi kết quả thử về cường độ kéo khi bửa của viên chuẩn.
2.4. Kết cấu sản phẩm yêu cầu nghiệm thu ở tuổi và trạng thái nào thì phải thử bửa mẫu ở đúng tuổi và trạng thái đó.
3. Tiến hành thử
3.1. Xác định diện tích thiết diện chịu kéo khi thử bửa cửa các viên mẫu.
3.1.1. Trên các viên mẫu lập phương kẻ khung tạo bởi hai đường sẽ đặt lực và hai đường trung bình trên hai mật viên mẫu vuông góc với các đường đặt lực sao cho phẳng khung vuông góc với mặt hở cửa viên mẫu bê tông khi đổ. Trên các viên mẫu trụ kẻ khung tạo bởi hai đường sinh và hai đường kính cũng nằm trên một mặt phẳng.
3.1.2. Diện tích tiết diện chịu kéo khi bửa chính là diện tích của khung đã kê tính theo các giá trị trung bình của các cập cạnh, song song với nhau từng đôi một đo chính xác tới 1mm.
3.2. Tẩy sạch các vết gợn bẩn trên bể mặt của tám nén, đệm truyền tải và viên mẫu ở các phần sẽ tiếp xúc nhau khi thử.
3.3. Dựa theo các khung đã kẻ đặt mẫu chính tâm máy giữa các tấm đệm truyền tải. Thử bửa mẫu trụ theo sơ đồ hình la, mẫu lập phương theo sơ đồ hình 1b, mẫu dầm theo sơ đồ hình 1c.
3.4. Bửa mẫu bằng cách tăng tải liên tục lên mẫu với tốc độ không đổi và bằng 0,6 ± 04daN/cm2 (KG/cm2) trong một giây cho đến khi mẫu bị bửa đổi. Thời gian bửa vỡ một viên mẫu ít nhất 30 giây.
Lực tối đa đạt được khi bửa là tải trọng bửa đôi mẫu.
4. Tính kết quả.
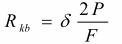
4.1. Cường độ kéo khi bửa của từng viên mẫu bê tông được tính bằng daN/cm2 chính xác tới 0,5 daN/cm2 theo công thức:
![]()
Trong đó :
P – Tải trọng bửa đôi mẫu, tính bằng daN;
F – Diện tích tiết diện chịu kéo khi bửa của viên mãu, tính bằng cm2;
δ – Hệ số chuẩn đổi cường độ kéo khi bửa từ các viên mẫu kích thước khác viên chuẩn về viên mẫu lập phương kích thước chuẩn 150 x 150 x150mm.
Giá trị δ được xác định bằng thực nghiệm theo phương pháp như ghi ở phụ lục của TCVN 3118 : 1993.
4.2. Cường độ kéo khi bửa của bê tông là giá trị cường độ trung bình của ba viên trong tổ mẫu nếu giá trị lớn nhất và nhỏ nhất không lệch nhau quá 15% so với giá trị của viên trung bình.
Nếu một trong hai giá trị trên lệch quá 15% so với viên trung bình thì loại bỏ cả hai giá trị lớn nhất và nhỏ nhất. Khi đó cường độ kéo bửa của bê tông được tính theo giá trị của viên trung bình còn lại.
4.3. Khi tổ mẫu chỉ có hai viên, cường độ kéo khi bửa của bê tông được tính bằng trung bình số học kết quả thử của hai viên mẫu đó.
5. Biên bản thử
Trong biên bản thử ghi rõ :
– Ký hiệu mẫu;
– Nơi lấy mẫu;
– Tuổi bê tông, điều kiện bảo dưỡng, trạng thái khi thử;
– Mác bê tông thiết kế
– Kích thước từng viên mẫu;
– Diện tích chịu kéo khi bửa và tải trọng bửa của từng viên
– Cường độ kéo khi bửa của từng viên và cường độ kéo khi bửa trung bình
– Chữ ký của người thử.


