Nội dung toàn văn Tiêu chuẩn Việt Nam TCVN 3254:1989 về an toàn cháy – Yêu cầu chung
|
Thứ tự |
Thuật ngữ |
Định nghĩa |
|
1 |
Đám cháy |
Sự cháy không kiểm soát được gây nên thiệt hại về người và tài sản |
|
2 |
An toàn cháy |
Tình trạng hoặc tính chất của công trình, các thiết bị sản xuất…đảm bảo ngăn ngừa sự hình thành đám cháy và hạn chế hậu quả do đám cháy gây ra nhờ các biện pháp tổ chức, các giải pháp kĩ thuật và công nghệ |
|
3 |
Hệ thống phòng cháy |
Tổng hợp tất cả các yêu cầu, các biện pháp và phương tiện kĩ thuật để loại trừ khả năng xuất hiện đám cháy |
|
4 |
Hệ thống chống cháy |
Tổng hợp yêu cầu, các biện pháp và phương tiện để ngăn ngừa,hạn chế sự lan toả của đám cháy,ngăn chặn các yếu tố nguy hiểm và có hại đối với con người, hạn chế đến mức thấp nhất về người và tài sản. |
|
5 |
Chữa cháy |
Hoạt động của các lực lượng và các phương tiện ngăn chặn sự lan toả của đám cháy và dập tắt đám cháy. |
|
6 |
Tính dễ cháy |
Khả năng của vật chất trong những điều kiện tồn tại cụ thể của cháy. |
|
7 |
Hệ thống thoát khói |
Tổng hợp các biện pháp tổ chức kĩ thuật để đưa khói ở các nhà và công trình khi bị cháy ra ngoài. |
|
8 |
Nguồn gây cháy |
Nguồn năng lượng dẫn đến sự cháy của vật chất |
|
9 |
Môi trường dễ cháy |
Môi trường chứa hỗn hợp chất dễ cháy và chất ôxy hoá |
|
10 |
Lối thoát nạn |
Lối dẫn đến cửa thoát nạn ra ngoài (TCVN 3991-1985) |
|
11 |
Giới hạn chụi lửa |
Thời gian( tính bằng giờ hoặc phút) từ khi bắt đầu thử chụi lửa theo tiêu chuẩn các mẫu cho tới lúc xuất hiện một trong các trạng thái giới hạn của kết cấu và cấu kiện (TCVN 3991-1985) |
Phụ lục 2
Các chỉ số cơ bản của chất nguy hiêm cháy
Những kí hiệu quy ước được dùng trong các bảng tra của tiêu chuẩn này:
M: Phân tử lượng. Đối với mỗi chất riêng biệt phân tử lượng được xác định phù hợp với quy ước quốc tế năm 1971 về hóa tinh khiết và hóa ứng dụng.
Đối với các sản phẩm kĩ thuật và hỗn hợp nhiều thành phần, phân tử lượng của nó được xác định từ thành phần hóa học, hay công thức hóa học quy ước.
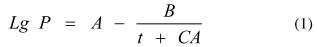
A,B, C : Là những hằng số của phương trình Antyan (1) cho biết sự phụ thuộc giữa áp suất hơi bão hòa của các chất (hỗn hợp) với nhiệt độ (t).
![]()
P : áp suất của hơi (mmHg)
…
…
…
Mọi chi tiết xin liên hệ: ĐT: (028) 3930 3279 DĐ: 0906 22 99 66
tbc: Nhiệt độ bùng cháy trong cốc kín (0C).
: Giới hạn nồng độ bắt cháy dưới của chất khí hoặc hơi trong không khí ở áp suất khí quyển được xác định ở nhiệt độ 250C (tính bằng 2 thể tích). Đại lượng này sử dụng để tính giới hạn nồng độ bắt cháy dưới của một chất nào đó ở nhiệt t bất kì theo công thức sau:
, t = d (1,02 – 0,000799 . t) (2)
, t: Giới hạn nồng độ bắt cháy dưới của chất khí hoặc hơi trong không khí ở điều kiện áp suất khí quyển và nhiệt độ t cần xác định (% thể tích).
Kat : Hệ số an toàn đối với giới hạn nồng độ bắt cháy dưới. Hệ số Kat này được sử dụng để tính toán xác định giới hạn cho phép của nồng độ an toàn nổ theo công thức sau (khi mức ddộ an toàn không bắt cháy của hỗn hợp bằng 0,999).

GCNAN: Giới hạn cho phép nồng độ an toàn nổ.
Trong trường hợp tính GCNAN đối với những hỗn hợp không đồng nhất về vật lý bao gồm hỗn hợp và hơi cháy thì giá trị của hệ số an toàn được giới hạn ở bảng 1 và 2 phải được nhân với 5.
D0 : Hệ số khuếch tán của khí (hoặc hơi) trong không khí ơ điều kiện 1at và nhiệt độ 00 C (cm2 /s).
…
…
…
Mọi chi tiết xin liên hệ: ĐT: (028) 3930 3279 DĐ: 0906 22 99 66

T : Nhiệt độ k
n : Chỉ số thực nghiệm, giá trị của chỉ số này được nêu trong cột cuối cùng ở bảng 1 và 2. ở cột 8 của bảng 1 và 2 có các kí hiệu quy ước sau:
CKC : Chất không cháy – Chất không có khả năng cháy trong không khí có thành phần bình thường ;
ckc : Chất khó cháy – Chất có khả năng cháy khi đưa nguồn lửa vào, nhưng không duy trì được sự cháy khi đưa nguồn lửa ra ngoài.
CC : Chất cháy – Chất có khả năng tiếp tục cháy sau khi đã tách bỏ nguồn lửa.
CCL : Chất cháy lỏng – Chất lỏng có khả năng tự cháy sau khi đã tách bỏ nguồn lửa và có nhiệt độ bùng cháy cao hơn 510C (trong cốc kín) hay 560C (trong cốc hở).
CLDC : Chất lỏng dễ cháy – Chất lỏng có khả năng tự duy trì sự cháy sau khi đã tách bỏ nguồn lửa và có nhiệt độ cháy không quá 610C (trong cốc kín) hay không quá 660C (trong cốc hở).
CCK : Chất cháy khí – Chất khí có khả năng tạo ra một hỗn hợp cháy và nổ voí không khí ở nhiệt độ không quá 550C.
…
…
…
Mọi chi tiết xin liên hệ: ĐT: (028) 3930 3279 DĐ: 0906 22 99 66
Bảng 1- Giá trị của các chỉ số nguy hiểm cháy của các chất riêng biệt
Chất
Công thức hoá học
M
Các hằng số của phương trình Antyan
Khoảng nhiệt độ của giá trị hằng số phương trình Antyan
Tính dễ cháy, tính bắt cháy và nguy hiểm nổ
tbo0C
j0d %
…
…
…
Mọi chi tiết xin liên hệ: ĐT: (028) 3930 3279 DĐ: 0906 22 99 66
Kat
D0
cm2/n
n
A
B
C
1
2
…
…
…
Mọi chi tiết xin liên hệ: ĐT: (028) 3930 3279 DĐ: 0906 22 99 66
4
5
6
7
8
9
10
11
12
…
…
…
Mọi chi tiết xin liên hệ: ĐT: (028) 3930 3279 DĐ: 0906 22 99 66
Amyalxêtat
C7H14O2
130,0,196
7,16870
1579,510
221,365
25÷147
CLDC
25
…
…
…
Mọi chi tiết xin liên hệ: ĐT: (028) 3930 3279 DĐ: 0906 22 99 66
1,35
0,0520
1,87
Amylen
C5H12
70,134
6,78568
1014,290
229,783
…
…
…
Mọi chi tiết xin liên hệ: ĐT: (028) 3930 3279 DĐ: 0906 22 99 66
CLDC
<-18
1,49
1,48
0,0690
1,84
Rượu emelic
C5H12O
88,149
…
…
…
Mọi chi tiết xin liên hệ: ĐT: (028) 3930 3279 DĐ: 0906 22 99 66
1287,625
161,330
74÷15
CLDC
49
1,48
2
0,0661
1,87
…
…
…
Mọi chi tiết xin liên hệ: ĐT: (028) 3930 3279 DĐ: 0906 22 99 66
NH3
17,030
–
–
–
–
CCK
–
1,70
…
…
…
Mọi chi tiết xin liên hệ: ĐT: (028) 3930 3279 DĐ: 0906 22 99 66
0,198
1,88
Anilin
C6H7N
93,128
6,92129
1457,020
176,195
35÷184
…
…
…
Mọi chi tiết xin liên hệ: ĐT: (028) 3930 3279 DĐ: 0906 22 99 66
-73
1,32
1,37
0,0622
1,87
Axetanađêhit
C2H4O
44,053
7,19160
…
…
…
Mọi chi tiết xin liên hệ: ĐT: (028) 3930 3279 DĐ: 0906 22 99 66
233,413
80÷20
CCK
-38
4,12
1,26
0,11
1,83
Axetylen
…
…
…
Mọi chi tiết xin liên hệ: ĐT: (028) 3930 3279 DĐ: 0906 22 99 66
26,038
–
–
–
–
CNN*
–
2,5
2
…
…
…
Mọi chi tiết xin liên hệ: ĐT: (028) 3930 3279 DĐ: 0906 22 99 66
1,79
Benzen
C6H6
78,113
6,48898
902,275
178,099
-0+6
CLDC
…
…
…
Mọi chi tiết xin liên hệ: ĐT: (028) 3930 3279 DĐ: 0906 22 99 66
1,43
1,37
0,775
1,86
Butadien 1,3
C4H6
54,091
–
–
…
…
…
Mọi chi tiết xin liên hệ: ĐT: (028) 3930 3279 DĐ: 0906 22 99 66
–
CCK
–
2,02
1,29
0,0806
1,82
Butan
C6H10
…
…
…
Mọi chi tiết xin liên hệ: ĐT: (028) 3930 3279 DĐ: 0906 22 99 66
–
–
–
–
CCK
–
-1,799
1,24
0,0606
…
…
…
Mọi chi tiết xin liên hệ: ĐT: (028) 3930 3279 DĐ: 0906 22 99 66
Butan-1
C4H8
56,107
–
–
–
–
COL
–
…
…
…
Mọi chi tiết xin liên hệ: ĐT: (028) 3930 3279 DĐ: 0906 22 99 66
1,39
0,0801
1,83
Siêu Butan -2
C1H8
56,107
–
–
–
…
…
…
Mọi chi tiết xin liên hệ: ĐT: (028) 3930 3279 DĐ: 0906 22 99 66
CCH
29
-1,85
1,31
0,0801
1,82
Butyl Axâtat
C6H12O12
116,160
…
…
…
Mọi chi tiết xin liên hệ: ĐT: (028) 3930 3279 DĐ: 0906 22 99 66
1340,743
199,757
0÷100
CLDC
38
1,43
2
0,0574
1,87
…
…
…
Mọi chi tiết xin liên hệ: ĐT: (028) 3930 3279 DĐ: 0906 22 99 66
C4H10O
74,122
9,59730
2664,684
279,638
1÷126
CLDC
1,81
…
…
…
Mọi chi tiết xin liên hệ: ĐT: (028) 3930 3279 DĐ: 0906 22 99 66
0,0681
1,86
Hyđrô
H2
2,016
–
–
–
–
…
…
…
Mọi chi tiết xin liên hệ: ĐT: (028) 3930 3279 DĐ: 0906 22 99 66
4,09
1,24
0,66
1,70
Vimin clrua
C16H3CL
62,199
–
…
…
…
Mọi chi tiết xin liên hệ: ĐT: (028) 3930 3279 DĐ: 0906 22 99 66
–
–
CCK
4,0
1,36
0,104
1,82
Hexandecan
…
…
…
Mọi chi tiết xin liên hệ: ĐT: (028) 3930 3279 DĐ: 0906 22 99 66
226,445
6,78749
1655,405
136,869
105÷287
CCL
128
0,473
1,56
…
…
…
Mọi chi tiết xin liên hệ: ĐT: (028) 3930 3279 DĐ: 0906 22 99 66
1,86
Hexan
C6H14
86,177
6,87024
1166,274
223,661
-54÷69
CLDC
…
…
…
Mọi chi tiết xin liên hệ: ĐT: (028) 3930 3279 DĐ: 0906 22 99 66
1,242
1,24
0,0663
1,55
Rượu Hexylen
C6H14O
102,176
7,27800
1420,273
…
…
…
Mọi chi tiết xin liên hệ: ĐT: (028) 3930 3279 DĐ: 0906 22 99 66
56÷157
CCL
63
1,23
1,37
0,0988
1,87
Heptan
C7H16
…
…
…
Mọi chi tiết xin liên hệ: ĐT: (028) 3930 3279 DĐ: 0906 22 99 66
6,95154
1295,405
219,819
-60÷98
CLDC
-4
1,074
1,24
0,0609
…
…
…
Mọi chi tiết xin liên hệ: ĐT: (028) 3930 3279 DĐ: 0906 22 99 66
hydrazin
N2H4
32,045
8,87325
226,447
266,316
84÷112
CNN*
38
…
…
…
Mọi chi tiết xin liên hệ: ĐT: (028) 3930 3279 DĐ: 0906 22 99 66
2
0,167
1,86
Glixêrin
C3N3O3
92,094
9,05259
3074,220
214,712
…
…
…
Mọi chi tiết xin liên hệ: ĐT: (028) 3930 3279 DĐ: 0906 22 99 66
CCL
198
3,09
2
0,08
1,9
Đê can
C10H22
142,284
…
…
…
Mọi chi tiết xin liên hệ: ĐT: (028) 3930 3279 DĐ: 0906 22 99 66
1890,975
227,700
17÷174
CLDC
47
0,760
1,24
0,0502
1,45
…
…
…
Mọi chi tiết xin liên hệ: ĐT: (028) 3930 3279 DĐ: 0906 22 99 66
C4H6O
70,091
6,98810
228,589
–
CLDC
<-30
2,0
…
…
…
Mọi chi tiết xin liên hệ: ĐT: (028) 3930 3279 DĐ: 0906 22 99 66
0,0765
1,84
Etedimetyl
C2H6O
46,069
–
–
–
25÷153
…
…
…
Mọi chi tiết xin liên hệ: ĐT: (028) 3930 3279 DĐ: 0906 22 99 66
–
3,49
2
0,108
1,85
Đunnetylphomamit
C3H7NO
73,094
7,03446
…
…
…
Mọi chi tiết xin liên hệ: ĐT: (028) 3930 3279 DĐ: 0906 22 99 66
204,342
12÷101
CLDC
58
2,35
1,3
0,0898
1,87
Dioxan-1,4
…
…
…
Mọi chi tiết xin liên hệ: ĐT: (028) 3930 3279 DĐ: 0906 22 99 66
88,106
1632,425
1632,425
250,725
–
CLDC
11
2,14
1,72
…
…
…
Mọi chi tiết xin liên hệ: ĐT: (028) 3930 3279 DĐ: 0906 22 99 66
1,85
Dflodiclomêtan
C2F2CL2
120,914
–
–
–
-24÷83
CCK
…
…
…
Mọi chi tiết xin liên hệ: ĐT: (028) 3930 3279 DĐ: 0906 22 99 66
không có
–
0,0806
1,81
1,2 Dicloetan
C2H4CL2
98,960
1460,179
1640,179
…
…
…
Mọi chi tiết xin liên hệ: ĐT: (028) 3930 3279 DĐ: 0906 22 99 66
-33÷59
CLDC
12
4,60
1,32
0,0845
1,86
Dietylamin
C4H11N
…
…
…
Mọi chi tiết xin liên hệ: ĐT: (028) 3930 3279 DĐ: 0906 22 99 66
1267,557
1267,557
236,329
-60÷35
CLDC
-26
1,77
1,30
0,0756
…
…
…
Mọi chi tiết xin liên hệ: ĐT: (028) 3930 3279 DĐ: 0906 22 99 66
Etedietyl
C4H10O
74,122
1098,945
1098,945
232,372
48÷214
CLDC
-43
…
…
…
Mọi chi tiết xin liên hệ: ĐT: (028) 3930 3279 DĐ: 0906 22 99 66
1,3
0,0772
2,14
Didecan
C12H26
170,337
2463,739
2463,739
253,884
…
…
…
Mọi chi tiết xin liên hệ: ĐT: (028) 3930 3279 DĐ: 0906 22 99 66
CCL
77
0,634
1,36
0,0399
1,88
Izônbutan
C4H10
58,123
…
…
…
Mọi chi tiết xin liên hệ: ĐT: (028) 3930 3279 DĐ: 0906 22 99 66
–
–
CCK
–
1,81
1,21
0,0819
1,87
…
…
…
Mọi chi tiết xin liên hệ: ĐT: (028) 3930 3279 DĐ: 0906 22 99 66
C4H8
56,11
–
–
–
–
CCK
–
1,78
…
…
…
Mọi chi tiết xin liên hệ: ĐT: (028) 3930 3279 DĐ: 0906 22 99 66
0,0801
1,82
Rượu Izôbutylen
C4H10O
74,122
8,70512
2058,392
452,642
-9÷116
…
…
…
Mọi chi tiết xin liên hệ: ĐT: (028) 3930 3279 DĐ: 0906 22 99 66
28
1,81
2
0,0756
1,87
Izôpentam
C5H12
72,150
6,79306
…
…
…
Mọi chi tiết xin liên hệ: ĐT: (028) 3930 3279 DĐ: 0906 22 99 66
233,493
-83÷28
CLDC
-52
1,36
1,32
0,0700
1,86
Izôprôlabenzen
…
…
…
Mọi chi tiết xin liên hệ: ĐT: (028) 3930 3279 DĐ: 0906 22 99 66
120,194
6,93773
1460,668
207,652
31÷53
CLDC
36
0,93
2
…
…
…
Mọi chi tiết xin liên hệ: ĐT: (028) 3930 3279 DĐ: 0906 22 99 66
1,87
Rượu Izôproopyl
C3H8O
60,096
8,38562
1733,000
232,380
-26÷148
CLDC
…
…
…
Mọi chi tiết xin liên hệ: ĐT: (028) 3930 3279 DĐ: 0906 22 99 66
2,23
1,76
0,0831
1,92
m. Xilol
C8H10
106,167
7,00849
1461,925
…
…
…
Mọi chi tiết xin liên hệ: ĐT: (028) 3930 3279 DĐ: 0906 22 99 66
-20÷220
CLDC
25
1,00
2
0,0671
1,87
O-Xilol
C8H10
…
…
…
Mọi chi tiết xin liên hệ: ĐT: (028) 3930 3279 DĐ: 0906 22 99 66
6,99891
1474,679
213,686
-20÷220
CLDC
32
1,00
2
0,0671
…
…
…
Mọi chi tiết xin liên hệ: ĐT: (028) 3930 3279 DĐ: 0906 22 99 66
n-Xilol
C8H10
106,167
6,99184
1454,328
215,411
13÷220
CLDC
25
…
…
…
Mọi chi tiết xin liên hệ: ĐT: (028) 3930 3279 DĐ: 0906 22 99 66
2
0,0671
1,87
Mêtan
CH4
16,0426
–
–
–
…
…
…
Mọi chi tiết xin liên hệ: ĐT: (028) 3930 3279 DĐ: 0906 22 99 66
CCK
–
5,28
1,26
0,196
1,76
Rượu Metyl
C4H4O
32,042
…
…
…
Mọi chi tiết xin liên hệ: ĐT: (028) 3930 3279 DĐ: 0906 22 99 66
1660,454
245,818
-10÷90
CLDC
8
6,7
1,40
0,129
2,08
…
…
…
Mọi chi tiết xin liên hệ: ĐT: (028) 3930 3279 DĐ: 0906 22 99 66
C5H10O
86,133
7,8642
1870,4
273,2
-17÷103
CLDC
6
1,49
…
…
…
Mọi chi tiết xin liên hệ: ĐT: (028) 3930 3279 DĐ: 0906 22 99 66
0,0664
1,86
Mêtyletyl-xêtôn
C4H8O
72,107
1,02453
1292,791
232,340
-48÷80
…
…
…
Mọi chi tiết xin liên hệ: ĐT: (028) 3930 3279 DĐ: 0906 22 99 66
-6
1,90
1,46
0,0760
1,86
Napatlen
C10H8
128,173
10,55455
…
…
…
Mọi chi tiết xin liên hệ: ĐT: (028) 3930 3279 DĐ: 0906 22 99 66
243,569
0÷80
CC
81
0,906
1,27
0,0622
1,89
N.Nonan
…
…
…
Mọi chi tiết xin liên hệ: ĐT: (028) 3930 3279 DĐ: 0906 22 99 66
128,257
7,05283
1510,695
211,502
2÷150
CLDC
31
0,843
1,24
…
…
…
Mọi chi tiết xin liên hệ: ĐT: (028) 3930 3279 DĐ: 0906 22 99 66
1,57
Oxýt Cácbon
CO
28,010
–
–
–
–
CCK
…
…
…
Mọi chi tiết xin liên hệ: ĐT: (028) 3930 3279 DĐ: 0906 22 99 66
12,5
1,9
0,149
1,72
Oxýt Etylen
C2H4O
44,0530
–
–
…
…
…
Mọi chi tiết xin liên hệ: ĐT: (028) 3930 3279 DĐ: 0906 22 99 66
–
CNN*
–
3,66
1,78
0,110
1,83
H-Octan
C8H18
…
…
…
Mọi chi tiết xin liên hệ: ĐT: (028) 3930 3279 DĐ: 0906 22 99 66
6,96903
1379,556
211,896
-14÷126
CLDC
14
0,945
1,24
0,0503
…
…
…
Mọi chi tiết xin liên hệ: ĐT: (028) 3930 3279 DĐ: 0906 22 99 66
H-Pantadecan
C15H32
212,418
6,94237
1739,084
157,545
92÷270
CCL
115
…
…
…
Mọi chi tiết xin liên hệ: ĐT: (028) 3930 3279 DĐ: 0906 22 99 66
1,50
0,0358
1,90
H-Pentan
C5H12
72,150
6,84715
1062,555
231,805
…
…
…
Mọi chi tiết xin liên hệ: ĐT: (028) 3930 3279 DĐ: 0906 22 99 66
CLDC
-44
1,471
1,24
0,0729
1,83
R-Pioolin
C6H7N
93,128
…
…
…
Mọi chi tiết xin liên hệ: ĐT: (028) 3930 3279 DĐ: 0906 22 99 66
1632,315
224,787
70-÷145
CLDC
39
1,43
1,25
0,0754
1,88
…
…
…
Mọi chi tiết xin liên hệ: ĐT: (028) 3930 3279 DĐ: 0906 22 99 66
C5H5N
79,101
6,78610
1217,730
196,342
-19÷116
CLDC
20
1,85
…
…
…
Mọi chi tiết xin liên hệ: ĐT: (028) 3930 3279 DĐ: 0906 22 99 66
0,0828
1,87
Propen
C3H8
44,096
–
–
–
–
…
…
…
Mọi chi tiết xin liên hệ: ĐT: (028) 3930 3279 DĐ: 0906 22 99 66
–
2,310
1,24
0,0977
1,80
Piropilen
C3H6
42,080
–
…
…
…
Mọi chi tiết xin liên hệ: ĐT: (028) 3930 3279 DĐ: 0906 22 99 66
–
–
CCK
–
2,300
1,32
0,0962
1,82
H-rượu Piropilen
…
…
…
Mọi chi tiết xin liên hệ: ĐT: (028) 3930 3279 DĐ: 0906 22 99 66
0÷97
CLDC
…
…
…
Mọi chi tiết xin liên hệ: ĐT: (028) 3930 3279 DĐ: 0906 22 99 66
Sufua Hydrô
C3H8O
60,096
8,31708
1751,981
225,125
–
…
…
…
Mọi chi tiết xin liên hệ: ĐT: (028) 3930 3279 DĐ: 0906 22 99 66
2,43
1,58
0,085
1,88
Sufua Cácbon
H2
34,076
–
–
…
…
…
Mọi chi tiết xin liên hệ: ĐT: (028) 3930 3279 DĐ: 0906 22 99 66
-15÷80
CCK
–
4,0
1,45
0,141
1,82
Xtirela
CS2
…
…
…
Mọi chi tiết xin liên hệ: ĐT: (028) 3930 3279 DĐ: 0906 22 99 66
7,00048
1202,471
245,616
-7÷146
CLDC
-43
1,33
1,56
0,0890
…
…
…
Mọi chi tiết xin liên hệ: ĐT: (028) 3930 3279 DĐ: 0906 22 99 66
Trihyđrô
C8H8
104,151
7,94049
2113,057
272,986
25÷66
CLDC
31
…
…
…
Mọi chi tiết xin liên hệ: ĐT: (028) 3930 3279 DĐ: 0906 22 99 66
1,32
0,0674
1,88
C4H8O
72,107
5,99964
753,805
175,793
…
…
…
Mọi chi tiết xin liên hệ: ĐT: (028) 3930 3279 DĐ: 0906 22 99 66
CLDC
-16
1,78
1,94
0,0583
1,84
C14H30
198,391
…
…
…
Mọi chi tiết xin liên hệ: ĐT: (028) 3930 3279 DĐ: 0906 22 99 66
1950,497
190,513
-30÷200
CCL
103
0,542
1,45
0,0370
1,89
…
…
…
Mọi chi tiết xin liên hệ: ĐT: (028) 3930 3279 DĐ: 0906 22 99 66
C7H8
92,140
6,95508
1345,087
219,516
59÷236
CLDC
4
1,25
…
…
…
Mọi chi tiết xin liên hệ: ĐT: (028) 3930 3279 DĐ: 0906 22 99 66
0,0753
1,65
2,4 Trimetylpentan
C13H28
184,364
7,96895
2468,910
250,310
…
…
…
Mọi chi tiết xin liên hệ: ĐT: (028) 3930 3279 DĐ: 0906 22 99 66
90
0,585
1,40
0,0384
1,89
Axitactic (chất khí lý tưởng)
C8H18
114,230
6,8117
…
…
…
Mọi chi tiết xin liên hệ: ĐT: (028) 3930 3279 DĐ: 0906 22 99 66
221,085
-15÷131
CLDC
-10
1,0
1,31
0,0427
1,86
…
…
…
Mọi chi tiết xin liên hệ: ĐT: (028) 3930 3279 DĐ: 0906 22 99 66
60,052
–
–
–
–
–
–
5,5
2,0
…
…
…
Mọi chi tiết xin liên hệ: ĐT: (028) 3930 3279 DĐ: 0906 22 99 66
–
Axít axêtic
C3,7H7,4O3,7
111,097
7,79846
1787,752
245,908
0÷118
CLDC
…
…
…
Mọi chi tiết xin liên hệ: ĐT: (028) 3930 3279 DĐ: 0906 22 99 66
3,33
1,32
0,107
1,90
H-Undecan
C11H24
156,311
7,68008
2102,959
…
…
…
Mọi chi tiết xin liên hệ: ĐT: (028) 3930 3279 DĐ: 0906 22 99 66
31÷197
CCL
62
0,692
1,32
0,0417
1,88
Focmandehit
CH2O
…
…
…
Mọi chi tiết xin liên hệ: ĐT: (028) 3930 3279 DĐ: 0906 22 99 66
6,28480
607,399
197,626
-19÷60
CCK
–
7,0
1,3
0,146
…
…
…
Mọi chi tiết xin liên hệ: ĐT: (028) 3930 3279 DĐ: 0906 22 99 66
Phydrittalit
C8H4O3
148,118
7,99959
2879,067
277,501
134÷285
CC
153
…
…
…
Mọi chi tiết xin liên hệ: ĐT: (028) 3930 3279 DĐ: 0906 22 99 66
1,31
0,0616
1,87
Flotriclometan
CC:3F
138,368
–
–
–
…
…
…
Mọi chi tiết xin liên hệ: ĐT: (028) 3930 3279 DĐ: 0906 22 99 66
CKC
–
Không có
–
0,0603
1,83
Diobenzen
C6H6CL
112,558
…
…
…
Mọi chi tiết xin liên hệ: ĐT: (028) 3930 3279 DĐ: 0906 22 99 66
1607,316
235,351
-35÷132
CLDC
28
1,4
1,53
0,0628
2,09
…
…
…
Mọi chi tiết xin liên hệ: ĐT: (028) 3930 3279 DĐ: 0906 22 99 66
C2H5CL
64,514
6,82723
954,119
299,554
-90÷12
CCK
–
3,92
…
…
…
Mọi chi tiết xin liên hệ: ĐT: (028) 3930 3279 DĐ: 0906 22 99 66
0,0981
1,82
Xiclohexan
C6H12
84,161
6,64788
1095,531
210,064
-45÷81
…
…
…
Mọi chi tiết xin liên hệ: ĐT: (028) 3930 3279 DĐ: 0906 22 99 66
-18
1,31
1,75
0,0648
1,89
Etan
C2H6
30,069
–
…
…
…
Mọi chi tiết xin liên hệ: ĐT: (028) 3930 3279 DĐ: 0906 22 99 66
–
–
CCK
–
3,07
1,27
0,121
1,78
Etylaxetan
…
…
…
Mọi chi tiết xin liên hệ: ĐT: (028) 3930 3279 DĐ: 0906 22 99 66
88,106
6,99240
1200,297
214,262
-43÷77
CLDC
-3
2,28
1,44
…
…
…
Mọi chi tiết xin liên hệ: ĐT: (028) 3930 3279 DĐ: 0906 22 99 66
1,89
Etylbenzen
C8H10
106,167
6,95904
1425,464
213,345
-20÷220
CLDC
…
…
…
Mọi chi tiết xin liên hệ: ĐT: (028) 3930 3279 DĐ: 0906 22 99 66
1,03
1,58
0,0671
1,87
Etylen
C2H4
88,054
–
–
…
…
…
Mọi chi tiết xin liên hệ: ĐT: (028) 3930 3279 DĐ: 0906 22 99 66
–
CNN*
–
3,11
1,2
0,109
1,80
Etylenlicol
C2H6O2
…
…
…
Mọi chi tiết xin liên hệ: ĐT: (028) 3930 3279 DĐ: 0906 22 99 66
9,01261
2753,183
252,009
53÷198
CCL
112
4,29
2
0,099
…
…
…
Mọi chi tiết xin liên hệ: ĐT: (028) 3930 3279 DĐ: 0906 22 99 66
Rượu Etyl
C2H6O
46,069
8,68665
1918,508
252,125
-31÷78
CLDC
13
…
…
…
Mọi chi tiết xin liên hệ: ĐT: (028) 3930 3279 DĐ: 0906 22 99 66
2
0,110
1,51
Etylenlozen
C4H10O2
90,122
8,74133
2392,56
272,15
…
…
…
Mọi chi tiết xin liên hệ: ĐT: (028) 3930 3279 DĐ: 0906 22 99 66
CLC
43
2,00
2
0,0721
1,86
* Chất có khả năng phân huỷ nổ dưới áp suất cao và có tác dụng của nguồn lửa
Bảng 2- giá trị chỉ số nguy hiểm của các hỗn hợp và sản phẩm kĩ thuật
Sản phẩm tiêu chuẩn nhà nước thành phần hỗn hợp trọng lượng
…
…
…
Mọi chi tiết xin liên hệ: ĐT: (028) 3930 3279 DĐ: 0906 22 99 66
M
Các hằng số của phương trình Antyan
Khoảng nhiệt độ của giá trị hằng số phương trình Antyan
Tính dễ cháy, tính bắt cháy và nguy hiểm nổ
tboC
ϕd0 %
thể tích
Kat
D0 cm2/n
…
…
…
Mọi chi tiết xin liên hệ: ĐT: (028) 3930 3279 DĐ: 0906 22 99 66
A
B
MA
1
2
3
4
5
6
…
…
…
Mọi chi tiết xin liên hệ: ĐT: (028) 3930 3279 DĐ: 0906 22 99 66
8
9
10
11
12
13
Xăng A-72
C6,391H13,108
97,2
…
…
…
Mọi chi tiết xin liên hệ: ĐT: (028) 3930 3279 DĐ: 0906 22 99 66
682,876
222,066
-60÷85
CLDC
-96
1,08
2
0,0605
2
…
…
…
Mọi chi tiết xin liên hệ: ĐT: (028) 3930 3279 DĐ: 0906 22 99 66
C7,024H13,706
98,2
4,99831
664,976
221,695
-60÷95
CLDC
-36
1,06
…
…
…
Mọi chi tiết xin liên hệ: ĐT: (028) 3930 3279 DĐ: 0906 22 99 66
0,0615
2
Nhiên liệu Hzen “λ”
C12,343H23,889
172,3
5,95338
1255,73
199,523
+40÷110
…
…
…
Mọi chi tiết xin liên hệ: ĐT: (028) 3930 3279 DĐ: 0906 22 99 66
>35
0,61
2
0,0470
2
ГOCT 305-73
…
…
…
Mọi chi tiết xin liên hệ: ĐT: (028) 3930 3279 DĐ: 0906 22 99 66
Xăng hàng không
…
…
…
Mọi chi tiết xin liên hệ: ĐT: (028) 3930 3279 DĐ: 0906 22 99 66
102,2
8,41944
2629,65
384,195
-40÷110
CLDC
-34
0,92
2
…
…
…
Mọi chi tiết xin liên hệ: ĐT: (028) 3930 3279 DĐ: 0906 22 99 66
2
B70 ГOCT 1012-72
…
…
…
Mọi chi tiết xin liên hệ: ĐT: (028) 3930 3279 DĐ: 0906 22 99 66
Nhiên liệu diezen “λ”
C14,511H29,120
203,6
5,87629
1314,04
…
…
…
Mọi chi tiết xin liên hệ: ĐT: (028) 3930 3279 DĐ: 0906 22 99 66
60÷240
CLDC
>40
0,52
2
0,0481
2
ГOCT 305-73
…
…
…
Mọi chi tiết xin liên hệ: ĐT: (028) 3930 3279 DĐ: 0906 22 99 66
…
…
…
Mọi chi tiết xin liên hệ: ĐT: (028) 3930 3279 DĐ: 0906 22 99 66
Dầu lửa thắp sáng
C10,914H21,832
153,1
6,47119
1394,72
204,260
40÷190
CLDC
>40
…
…
…
Mọi chi tiết xin liên hệ: ĐT: (028) 3930 3279 DĐ: 0906 22 99 66
2
0,0426
2
K 022 ГOCT 4735-68
C7,991H9,98
106,0
7,05479
1478,16
220,535
…
…
…
Mọi chi tiết xin liên hệ: ĐT: (028) 3930 3279 DĐ: 0906 22 99 66
CLDC
24
1,00
2
0,0672
2
Xilola (hỗn hợp chất đồng phân)
…
…
…
Mọi chi tiết xin liên hệ: ĐT: (028) 3930 3279 DĐ: 0906 22 99 66
…
…
…
Mọi chi tiết xin liên hệ: ĐT: (028) 3930 3279 DĐ: 0906 22 99 66
C10,5H9,98
147,3
8,01130
2218,30
273,15
CLDC
>33
0,70
…
…
…
Mọi chi tiết xin liên hệ: ĐT: (028) 3930 3279 DĐ: 0906 22 99 66
0,0497
2
Dầu máy biến thế
C21,74H42,28S0,04
303,9
7,75932
2524,17
174,010
20÷80
…
…
…
Mọi chi tiết xin liên hệ: ĐT: (028) 3930 3279 DĐ: 0906 22 99 66
>150
0,291
2
0,0312
2
ГOCT 10121-76
…
…
…
Mọi chi tiết xin liên hệ: ĐT: (028) 3930 3279 DĐ: 0906 22 99 66
164÷343
Dầu AMT -3 CCTY
…
…
…
Mọi chi tiết xin liên hệ: ĐT: (028) 3930 3279 DĐ: 0906 22 99 66
…
…
…
Mọi chi tiết xin liên hệ: ĐT: (028) 3930 3279 DĐ: 0906 22 99 66
38.101234-72
S0,34H0,07
312,9
6,99959
2240,001
167,85
170÷376
CCL
…
…
…
Mọi chi tiết xin liên hệ: ĐT: (028) 3930 3279 DĐ: 0906 22 99 66
0,35
2
0,0335
2
Dầu AMT – 3CCT
C19,04H24,58
…
…
…
Mọi chi tiết xin liên hệ: ĐT: (028) 3930 3279 DĐ: 0906 22 99 66
TY 38.101243-72
S0,196H0,04
…
…
…
Mọi chi tiết xin liên hệ: ĐT: (028) 3930 3279 DĐ: 0906 22 99 66
6,49540
2023,77
164,09
171÷396
CCL
>170
0,43
2
0,0397
…
…
…
Mọi chi tiết xin liên hệ: ĐT: (028) 3930 3279 DĐ: 0906 22 99 66
Dung môi hoà tan M (H- butyxetut 30: Etylaxetat-5
Rượu etylen 60
Rượu Izoovtylan-5)
C2,761H7,147
…
…
…
Mọi chi tiết xin liên hệ: ĐT: (028) 3930 3279 DĐ: 0906 22 99 66
H1,187
59,4
8,93204
…
…
…
Mọi chi tiết xin liên hệ: ĐT: (028) 3930 3279 DĐ: 0906 22 99 66
267,760
÷50
CLDC
6
2,79
2
0,0916
2
…
…
…
Mọi chi tiết xin liên hệ: ĐT: (028) 3930 3279 DĐ: 0906 22 99 66
55,2
9,57161
248,728
290,920
0÷50
CLDC
10
2,85
2
…
…
…
Mọi chi tiết xin liên hệ: ĐT: (028) 3930 3279 DĐ: 0906 22 99 66
2
C4,791H8,318
81,5
8,07751
1761,043
251,546
0÷50
CLDC
…
…
…
Mọi chi tiết xin liên hệ: ĐT: (028) 3930 3279 DĐ: 0906 22 99 66
1,72
2
0,0776
2
Dung môi hoà tan
…
…
…
Mọi chi tiết xin liên hệ: ĐT: (028) 3930 3279 DĐ: 0906 22 99 66
≈315TY 6-10-1013-70
…
…
…
Mọi chi tiết xin liên hệ: ĐT: (028) 3930 3279 DĐ: 0906 22 99 66
…
…
…
Mọi chi tiết xin liên hệ: ĐT: (028) 3930 3279 DĐ: 0906 22 99 66
(Buylexetat) 18: Xilôla-25
…
…
…
Mọi chi tiết xin liên hệ: ĐT: (028) 3930 3279 DĐ: 0906 22 99 66
Toluen 25
…
…
…
Mọi chi tiết xin liên hệ: ĐT: (028) 3930 3279 DĐ: 0906 22 99 66
Rượu Butylen Etyleloxol
…
…
…
Mọi chi tiết xin liên hệ: ĐT: (028) 3930 3279 DĐ: 0906 22 99 66
…
…
…
Mọi chi tiết xin liên hệ: ĐT: (028) 3930 3279 DĐ: 0906 22 99 66
C5,962H9,799O0,845
95,0
7,71160
1699,687
241,000
0÷50
CLDC
16
1,25
…
…
…
Mọi chi tiết xin liên hệ: ĐT: (028) 3930 3279 DĐ: 0906 22 99 66
0,0704
2
Dung môi P-4
C5,452H7,798O0,223
81,7
7,17192
1373,667
242,828
-15÷100
…
…
…
Mọi chi tiết xin liên hệ: ĐT: (028) 3930 3279 DĐ: 0906 22 99 66
-9
1,60
2
0,0774
2
(Xilola-15)
…
…
…
Mọi chi tiết xin liên hệ: ĐT: (028) 3930 3279 DĐ: 0906 22 99 66
Toluen-70)
…
…
…
Mọi chi tiết xin liên hệ: ĐT: (028) 3930 3279 DĐ: 0906 22 99 66
…
…
…
Mọi chi tiết xin liên hệ: ĐT: (028) 3930 3279 DĐ: 0906 22 99 66
(Axeton -15)
…
…
…
Mọi chi tiết xin liên hệ: ĐT: (028) 3930 3279 DĐ: 0906 22 99 66
Dung môi P-5
C6,231H7,798O0,223
86,3
7,15373
1415,199
…
…
…
Mọi chi tiết xin liên hệ: ĐT: (028) 3930 3279 DĐ: 0906 22 99 66
-15÷100
CLDC
-9
1,57
2
0,0725
2
(H. Butylaxetat-30)
…
…
…
Mọi chi tiết xin liên hệ: ĐT: (028) 3930 3279 DĐ: 0906 22 99 66
…
…
…
Mọi chi tiết xin liên hệ: ĐT: (028) 3930 3279 DĐ: 0906 22 99 66
Xilon-40Axeton-30)
…
…
…
Mọi chi tiết xin liên hệ: ĐT: (028) 3930 3279 DĐ: 0906 22 99 66
Dung mooi P-12
C5,309H8,655O0,897
86,8
7,17850
1378,851
245,099
…
…
…
Mọi chi tiết xin liên hệ: ĐT: (028) 3930 3279 DĐ: 0906 22 99 66
CLDC
-9
1,57
2
0,0725
2
(R-Butylaxetat-30
…
…
…
Mọi chi tiết xin liên hệ: ĐT: (028) 3930 3279 DĐ: 0906 22 99 66
…
…
…
Mọi chi tiết xin liên hệ: ĐT: (028) 3930 3279 DĐ: 0906 22 99 66
…
…
…
Mọi chi tiết xin liên hệ: ĐT: (028) 3930 3279 DĐ: 0906 22 99 66
C6,839H9,217O0,515
99,6
7,04804
1403,079
221,483
0÷100
…
…
…
Mọi chi tiết xin liên hệ: ĐT: (028) 3930 3279 DĐ: 0906 22 99 66
10
1,26
2
0,0637
2
Những đơn vị cơ bản của hệ số đo lường
Đại lượng
…
…
…
Mọi chi tiết xin liên hệ: ĐT: (028) 3930 3279 DĐ: 0906 22 99 66
Tên
Quốc tế
Nga
Độ dài
Khối lượng
Thời gian
Cường độ dòng điện
Nhiệt độ động
Cường độ sáng
…
…
…
Mọi chi tiết xin liên hệ: ĐT: (028) 3930 3279 DĐ: 0906 22 99 66
Góc không gian
mét
kilôgam
Giây
Ampe
Kenvin
Canđêla
rađian
steradian
…
…
…
Mọi chi tiết xin liên hệ: ĐT: (028) 3930 3279 DĐ: 0906 22 99 66
kg
S
A
K
cđ
rad
s
M
kГ
…
…
…
Mọi chi tiết xin liên hệ: ĐT: (028) 3930 3279 DĐ: 0906 22 99 66
a
mc
k
pag
cp
Những đơn vị phụ của hệ đo lường có tên chuyên dùng
Đại lượng
Đơn vị
…
…
…
Mọi chi tiết xin liên hệ: ĐT: (028) 3930 3279 DĐ: 0906 22 99 66
Tên
Kí hiệu
Quốc tế
Nga
Tần số
Lực
áp suất
Năng lượng
Công suất
…
…
…
Mọi chi tiết xin liên hệ: ĐT: (028) 3930 3279 DĐ: 0906 22 99 66
Điện áp
Điện dung
Điện trở
Điện dẫn
Từ thông
Từ cảm
Cảm kháng
Quang thông
Độ rọi
…
…
…
Mọi chi tiết xin liên hệ: ĐT: (028) 3930 3279 DĐ: 0906 22 99 66
i-on
Liều lượng tương đương của bức xạ
Hec
Niu ton
Pascan
Jun
Oát
Culon
Von
…
…
…
Mọi chi tiết xin liên hệ: ĐT: (028) 3930 3279 DĐ: 0906 22 99 66
Om
MO
Vêbe
Tesla
Henri
Lumen
Lux
…
…
…
Mọi chi tiết xin liên hệ: ĐT: (028) 3930 3279 DĐ: 0906 22 99 66
givep
hz
N
pa
J
w
C
V
P
…
…
…
Mọi chi tiết xin liên hệ: ĐT: (028) 3930 3279 DĐ: 0906 22 99 66
S
W
T
H
lm
lx
Gy
…
…
…
Mọi chi tiết xin liên hệ: ĐT: (028) 3930 3279 DĐ: 0906 22 99 66
BT
k
B
Φ
OM
CM
…
…
…
Mọi chi tiết xin liên hệ: ĐT: (028) 3930 3279 DĐ: 0906 22 99 66
T


