Tiêu chuẩn Việt Nam TCVN 340:1986 về cát xây dựng – phương pháp xác định khối lượng thể tích xốp và độ xốp đã được thay thế bởi Tiêu chuẩn Việt Nam TCVN 7572-6:2006 về Cốt liệu cho bê tông và vữa – Phương pháp thử – Phần 6: Xác định khối lượng thể tích xốp và độ hổng do Bộ Khoa học và Công nghệ ban hành .
Nội dung toàn văn Tiêu chuẩn Việt Nam TCVN 340:1986 về cát xây dựng – phương pháp xác định khối lượng thể tích xốp và độ xốp
TIÊU CHUẨN VIỆT NAM
TCVN 340 : 1986
CÁT XÂY DỰNG – PHƯƠNG PHÁP XÁC ĐỊNH KHỐI LƯỢNG THỂ TÍCH XỐP VÀ ĐỘ XỐP
Sand for construction works – Method for determination of volummetric mass and porosity
Tiêu chuẩn này ban hành để thay thế TCVN 340 : 1970
Tiêu chuẩn này quy định phương pháp xác định khối lượng thể tích xốp và độ xốp ở trạng thái không nén chặt.
1. Thiết bị
ống đong dung tích 1 lít (kích thước bên trong : đường kính 108mm, chiều cao 108mm);
Cân kĩ thuật; Tủ sấy;
Thước lá kim loại;
Loại sàng có kích thước mắt sàng 5mm.
2. Chuẩn bị mẫu thử
2.1. Lấy 5 ÷ 10 kg (tuỳ theo lượng sỏi trong cát) mẫu theo TCVN 337 : 1986 rồi sấy đến khối lượng không đổi. Sau đó để nguội mẫu đến nhiệt độ phòng rồi sàng qua lưới sàng có kích thước mắt sàng 5mm.
3. Tiến hành thử
Lấy cát đã chuẩn bị ở trên, đổ từ độ cao 10 cm vào ống đong sạch, khô và cân sẵn cho đến khi cát tạo thành hình chóp trên miệng ống đong, dùng thước kim loại gạt ngang miệng ống rồi đem cân.
4. Tính kết quả
4.1. Khối lượng thể tích xốp của cát (pv) tính bằng kg/m3, chính xác đến l0 kg/cm3 theo công thức:

Trong đó :
m1 – Khối lượng ống đong, tính bằng kg;
m2 – Khối lượng ống đong chứa cát ngang miệng, tính bằng kg;
v – Thể tích ống đong, tính bằng m3.
4.2. Tiến hành thử hai lần hai mẫu thử khác nhau. Khối lượng thể tích xốp của cát là trung bình cộng kết quả của hai lần thử.
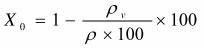
4.3. Xác định độ xốp của cát dựa vào kết quả thử khối lượng riêng theo TCVN 339 :1986, và khối lượng thể tích xốp (pv) theo mục 4.1. Độ xốp của cát (X0) tính bằng % chính xác đến 0,1% , theo công thức:
|
![]()
Trong đó :
rv – Khối lượng thể tích xốp của cát, tính bằng kg/m3
r – Khối lượng riêng của cát, tính bằng g/cm3.


