Tiêu chuẩn Việt Nam TCVN 346:1986 về cát xây dựng – phương pháp xác định hàm lượng sunfat và sunfit đã được thay thế bởi Tiêu chuẩn Việt Nam TCVN 7572-16:2006 về Cốt liệu cho bê tông và vữa – Phương pháp thử – Phần 16: Xác định hàm lượng sulfat và sulfit trong cốt liệu nhỏ do Bộ Khoa học và Công nghệ ban hành .
Nội dung toàn văn Tiêu chuẩn Việt Nam TCVN 346:1986 về cát xây dựng – phương pháp xác định hàm lượng sunfat và sunfit
TIÊU CHUẨN VIỆT NAM
TCVN 346 : 1986
CÁT XÂY DỰNG – PHƯƠNG PHÁP XÁC ĐỊNH HÀM LƯỢNG SUNFAT VÀ SUNFIT
Sand for construction works – Method for determination of sulphate and sulfite content
Tiêu chuẩn này ban hành để thay thế TCVN 346 : 1970, xác định hàm lượng sunfat , sunfit tính ra SO3.
1. Thiết bị và thuốc thử
Cân kĩ thuật;
Lưới sàng (4900 lỗ/cm2)
Cân phân tích;
Bình hút ẩm;
Tủ sấy;
Cốc nung (dung tích 500ml);
Máy khuấy;
Bếp điện;
Lò nung;
Máy lắc;
Bình đong (dung tích 1000ml);
Thuốc thử (chất chỉ thị bari clorua); Metyl đỏ.
2. Chuẩn bị mẫu thử.
2.1. Lấy theo TCVN 337 : 1986.
2.2. Sàng mẫu qua lưới sàng có kích thước mắt sàng 5mm để loại bỏ những hạt sỏi ra.
Lấy 400g cát đem nghiền nhỏ cho lọt qua lưới sàng (4900 lỗ/cm2). Từ đó lấy 200g cát đã nghiền nhỏ chia làm 2 phần để tiến hành thử 2 lần song song. Số cát đã nghiền còn dư lại dùng để thăm dò SO3 trước khi định lượng.
3. Tiến hành thử
3.1. Thử thăm dò : Đổ 40 – 50g cát đã nghiền vào cốc 500ml cho thêm vào 250ml nước cất khnấy đều trong thời gian trên 4 giờ sau đó nhỏ 2 – 3 giọt axit clohydric và 5ml bari clorua 10% vào cốc, đun tới 500C rồi để yên trong 4 giờ. Khi trong cốc đó lắng chất mầu trắng tức là trong cát có chứa các muối- gốc sunfat, sunfit. Lúc đó cần tiến hành thử để xác định hàm lượng SO3.
3.2. Lấy 100g cát đã sấy khô đến khối lượng không đổi và đã nghiền nhỏ cho lọt qua lưới sàng (4900 lỗ/cm2). Đổ mẫu thử vào bình có 500ml nước cất, đút nút kín, bọc sáp bên ngoài và lắc đều trong thời gian không ít hơn 4 giờ. Sau đó lại khuấy đều và lọc qua giấy lọc. Lấy 100ml dung dịch đã lọc, cho vào cốc nung có chứa 250ml nước cất, nhỏ 4- 5 giọt chất chỉ -thị mầu vào đó để cho dung dịch biến mầu. Nhỏ axít clohyđric (HCl) vào cốc cho đến khi dung dịch có mầu đỏ thì lại nhỏ 4 – 5 giọt chất chỉ thị mầu vào đó. Đun dung dịch đến gần sôi, đổ 15ml bari clorua (BaCl2) 10% vào cốc rồi trộn đều lên. Muốn cho bari sunfat (BaSO4) kết tinh nhiều thì đem đun dung dịch tới 60 – 700C trong 2 giờ rồi để yên trong vài giờ nữa hoặc để cách đêm.
Lọc dung dịch qua giấy lọc không tro đã nhúng nước, tráng cốc bằng nước lọc và cũng đổ lên giấy lọc cho cặn đọng bên trên giấy lọc.
Bỏ giấy lọc cặn vào chén nung đã rửa sạch và cân sẵn. Đặt chén nung vào lò nung có nhiệt độ 700 – 800 0C trong 15 – 20 phút. Lấy chén ra để nguội trong bình hút ẩm đến nhiệt độ phòng rồi đem cân bằng cân phân tích, chính xác đến 0,0001g.
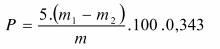
4. Tính kết quả
Hàm lượng SO3 chứa trong mẫu thử (P) tính bằng phần trăm (% ) chính xác đến 0,01% theo công thức :
![]()
Trong đó :
m1 – Khối lượng chén chứa cặn, tính bằng g.
m0 – Khối lượng chén không chứa cặn, tính bằng g.
m – Khối lượng mẫu thử, tính bằng g.
0,343 – Hệ số chuyển BaSO4 thành SO3.


