Nội dung toàn văn Tiêu chuẩn quốc gia TCVN 3573:2009 về Các chỉ tiêu thống kê về độ chính xác và tính ổn định của các nguyên công công nghệ – Phương pháp tính toán
TIÊU CHUẨN QUỐC GIA
TCVN 3573: 2009
CÁC CHỈ TIÊU THỐNG KÊ VỀ ĐỘ CHÍNH XÁC VÀ TÍNH ỔN ĐỊNH CỦA CÁC NGUYÊN CÔNG CÔNG NGHỆ – PHƯƠNG PHÁP TÍNH TOÁN
Statistical indexes of precision and stability of technological operations – Methods of calculation
Lời nói đầu
TCVN 3573: 2009 thay thế cho TCVN 3573-1981;
TCVN 3573: 2009 do Ban kỹ thuật tiêu chuẩn quốc gia TCVN/TC 69 Ứng dụng các phương pháp thống kê biên soạn, Tổng cục Tiêu chuẩn Đo lường Chất lượng đề nghị, Bộ Khoa học và Công nghệ công bố.
CÁC CHỈ TIÊU THỐNG KÊ VỀ ĐỘ CHÍNH XÁC VÀ TÍNH ỔN ĐỊNH CỦA CÁC NGUYÊN CÔNG CÔNG NGHỆ – PHƯƠNG PHÁP TÍNH TOÁN
Statistical indexes of precision and stability of technological operations – Methods of calculation
1. Phạm vi áp dụng
Tiêu chuẩn này quy định các chỉ tiêu thống kê về độ chính xác và tính ổn định của các nguyên công công nghệ, quy định các phương pháp tính các chỉ tiêu đó theo các số liệu thống kê thu được khi đo các chi tiết.
Tiêu chuẩn áp dụng cho các nguyên công hoàn chỉnh và bán nguyên công chế tạo các chi tiết sản xuất hàng loạt hoặc sản xuất với khối lượng lớn.
2. Quy định chung
2.1. Việc xác định độ chính xác và tính ổn định của các nguyên công công nghệ được tiến hành tùy theo hiện trạng nhân lực và trang bị dụng cụ đo.
2.2. Việc kiểm tra xác định độ chính xác và tính ổn định của các nguyên công công nghệ thường nên tiến hành trong các trường hợp dưới đây.
– Kiểm tra định kỳ độ chính xác của các máy cắt gọt.
– Sản xuất sản phẩm mới.
– Đưa các máy cắt gọt và các trang bị mới vào sử dụng.
– Sau khi trung tu hoặc đại tu thiết bị.
– Khi đưa các phương pháp thống kê vào quản lý chất lượng.
2.3. Việc kiểm tra độ chính xác và tính ổn định của các nguyên công công nghệ được tiến hành qua việc đo và kiểm tra từng thông số riêng biệt của chi tiết.
2.4 Trên cơ sở tiêu chuẩn này, có thể quy định danh mục các chỉ tiêu độ chính xác và tính ổn định của các nguyên công công nghệ sao cho phù hợp với điều kiện và mục đích khảo sát của mình đồng thời quy định cụ thể phương pháp tính cũng như các giá trị giới hạn cho phép của chúng.
3. Cách lập mẫu
3.1. Để xác định các chỉ tiêu về độ chính xác và tính ổn định của các nguyên công công nghệ, cần phải lấy các mẫu theo quy định dưới đây.
3.1.1. Mẫu tức thời có cỡ từ 5 đến 20 chi tiết được lấy kế tiếp trên cùng một máy. Mẫu này dùng để xác định ảnh hưởng của các yếu tố ngẫu nhiên đối với chất lượng chế tạo các chi tiết.
3.1.2. Mẫu chung bao gồm từ 10 mẫu tức thời trở lên. Các mẫu tức thời đó được lấy kế tiếp ở cùng một máy trong khoảng thời gian giữa hai lần hiệu chỉnh hoặc trong khoảng thời gian kể từ khi sử dụng thiết bị tới khi thay thế nó. Nhờ mẫu này, ta xác định được ảnh hưởng riêng biệt của các yếu tố ngẫu nhiên và hệ thống đối với chất lượng chế tạo các chi tiết trong khoảng thời gian giữa hai lần hiệu chỉnh nhưng chưa tính được sai số hiệu chỉnh.
3.1.3. Để xác định ảnh hưởng chung của các yếu tố ngẫu nhiên và hệ thống cũng như xác định sai số hiệu chỉnh đối với chất lượng các chi tiết được chế tạo trên cùng một máy, phải dùng mẫu có cỡ từ 50 tới 200 chi tiết được lấy ngẫu nhiên tại máy đó và đã có một hoặc vài lần hiệu chỉnh.
3.1.4. Để xác định ảnh hưởng chung của các yếu tố ngẫu nhiên và hệ thống, trong đó có sai số hiệu chỉnh và tình trạng thiết bị, phải dùng mẫu có cỡ từ 50 tới 200 chi tiết lấy ngẫu nhiên trên cùng một nhóm máy thực hiện cùng một nguyên công ở các mức hiệu chỉnh khác nhau.
4. Đo và thủ tục ghi các số liệu
4.1. Việc đo các tham số của các chi tiết tốt nhất nên được tiến hành bằng các dụng cụ đo có độ chia không lớn hơn 1/6 miền dung sai cho phép của đại lượng cần đo.
4.2. Khi ghi giá trị đo có thể ghi giá trị cụ thể của thông số hoặc độ lệch của chúng so với một gốc tính chọn trước. Giá trị gốc chọn trước của thông số cần khảo sát có thể là giá trị định mức hoặc giá trị nào đó miễn là cho độ lệch của tất cả hay phần lớn các giá trị đo so với nó đều cùng một dấu (cộng hoặc trừ).
4.3. Đối với các chi tiết cỡ lớn và các chi tiết có hình dạng phức tạp thì việc đo chỉ phải tiến hành tại những điểm đã quy định trong tài liệu kỹ thuật hoặc trong quy trình kiểm tra.
5. Các chỉ tiêu về độ chính xác và tính ổn định các nguyên công công nghệ
5.1. Các chỉ tiêu đặc trưng mức độ sai số ngẫu nhiên và sai số hệ thống được xác định theo các mẫu tức thời lấy trong khoảng thời gian giữa các lần hiệu chỉnh
5.1.1. Chỉ tiêu mức hiệu chỉnh K1 được tính theo công thức (1)
(1)
trong đó:
xđ – trị số đúng cần hiệu chỉnh
– giá trị trung bình số học của mẫu tức thời đầu tiên lấy ngay sau khi vừa hiệu chỉnh thiết bị
w – độ rộng khoảng dung sai đối với tham số đó.
Chỉ tiêu K1 đặc trưng cho độ chính xác của việc hiệu chỉnh thiết bị vào thời kỳ đầu sau khi hiệu chỉnh.
5.1.2. Chỉ tiêu K2 về độ chuyển dời tâm phân tán được tính theo công thức:
(2)
trong đó:
– giá trị trung bình số học của mẫu tức thời cuối cùng trước lúc hiệu chỉnh thiết bị
Chỉ tiêu K2 đặc trưng cho độ lớn tương đối của sai số hệ thống.
5.1.3. Chỉ tiêu K3 về tính ổn định trong một chu kỳ hiệu chỉnh:
(3)
s1 và s n là các độ lệch chuẩn tính được từ mẫu tức thời đầu tiên và mẫu tức thời cuối cùng trong một chu kỳ hiệu chỉnh.
Chỉ tiêu K3 đặc trưng cho mức độ biến đổi độ phân tán các kích thước của tham số đo trong chu kỳ hiệu chỉnh.
5.2. Các chỉ tiêu về độ phân tán và tính ổn định độ phân tán
5.2.1. Các chỉ tiêu về độ phân tán K4 được tính theo các kết quả đo của các mẫu (ngoài mẫu tức thời)
(4)
trong đó:
w – mức phân tán của thông số kiểm tra và được xác định theo các kết quả khảo sát ở mẫu tương ứng.
w = l x s (5)
l – hệ số phụ thuộc vào quy luật phân bố xác suất các giá trị đo của thông số kiểm tra. Hệ số này được xác định theo A.3.1 của Phụ lục A.
s – độ lệch chuẩn của các giá trị đo của tham số kiểm tra trong mẫu tương ứng.
Chỉ tiêu K4 đặc trưng cho mức độ phù hợp giữa mức phân tán thực tế của tham số đo so với miền dung sai.
5.2.2. Chỉ tiêu mức ổn định phân tán K5 được tính theo các mẫu (ngoại trừ mẫu tức thời) lấy trong những khoảng thời gian khác nhau.
(6)
trong đó:
K4(t2) – chỉ tiêu mức độ phân tán tính theo công thức (4) đối với khoảng thời gian t2;
K4(t1) – chỉ tiêu mức độ phân tán tính theo công thức (4) đối với khoảng thời gian t1;
Chỉ tiêu K5, đặc trưng cho sự biến đổi theo thời gian của các chỉ tiêu độ phân tán.
5.2.3. Các khoảng thời gian t1 và t2 được chọn tùy thuộc vào trạng thái quá trình sản xuất, trạng thái các nguyên công riêng biệt của nó và phải được quy định trước trong quy trình kiểm tra, phân tích thống kê độ chính xác và tính ổn định các nguyên công công nghệ.
5.3. Các chỉ tiêu độ chính xác và tính ổn định các nguyên công công nghệ được tính theo các kết quả của các mẫu nên đều là các đại lượng ngẫu nhiên và cần phải được đánh giá về độ tin cậy. Việc đánh giá các chỉ tiêu này được cho trong Phụ lục B.
5.4. Căn cứ theo điều kiện cụ thể của việc sản xuất và các yêu cầu đối với chất lượng chế tạo các chi tiết, cần quy định cụ thể các giá trị cho phép giới hạn của các hệ số và độ chính xác, tính ổn định của các nguyên công công nghệ có liên quan.
Phụ lục A
(quy định)
Tính giá trị trung bình số học và độ lệch chuẩn của các mẫu
A.1. Tính giá trị trung bình
và độ lệch chuẩn s theo một mẫu
A.1.1. Cỡ mẫu bé (n ≤ 20)
A.1.1.1. Giá trị trung bình hay tâm phân tán được tính theo công thức:
(A.1)
hoặc:
![]()
với x0 là gốc tính chọn trước.
VÍ DỤ 1:
|
n = 5 |
x1= 13,20 |
|
chọn x0 = 13 |
x2= 13,29 |
|
|
x3= 13,36 |
|
|
x4= 13,25 |
|
|
x5= 13,25 |
|
Theo (A.1) |
|
|
Theo (A.1) |
|
A.1.1.2 Độ lệch chuẩn s:

hoặc:
(A.4)
trong đó:
R = xi max – xi min
dn là hệ số phụ thuộc và cỡ mẫu được cho trước trong Bảng A.1.
Bảng A.1
|
n |
dn |
|
n |
dn |
|
2 |
1,128 |
|
11 |
3,173 |
|
3 |
1,693 |
|
12 |
3,258 |
|
4 |
2,059 |
|
13 |
3,336 |
|
5 |
2,326 |
|
14 |
3,407 |
|
6 |
2,534 |
|
15 |
3,472 |
|
7 |
2,704 |
|
16 |
3,352 |
|
8 |
2,847 |
|
17 |
3,558 |
|
9 |
2,970 |
|
18 |
3,600 |
|
10 |
3,075 |
|
19 |
3,689 |
|
|
|
|
20 |
3,735 |
VÍ DỤ 2: Theo số liệu ở ví dụ 1 thì:
s =
= 0,06
s=
= 0,06
A.1.2. Cỡ mẫu lớn (n > 20)
A.1.2.1. Nếu các kết quả đo là các số chỉ gồm 1 đến 2 chữ số thì tính theo công thức (từ A.1 đến A.4).
A.1.2.2. Nếu các kết quả đo là các số gồm nhiều chữ số thì ta phân toàn bộ miền biến thiên các giá trị đo làm k khoảng, mỗi khoảng có độ rộng d. Số khoảng chia có thể tính theo công thức:
k ~ ![]()
còn độ rộng của mỗi khoảng có thể tính theo công thức:
d= ![]()
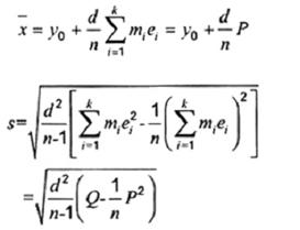
Mọi giá trị đo lớn hơn đầu mút bên trái và nhỏ hơn hoặc bằng đầu mút bên phải của khoảng i đều xem là thuộc khoảng thứ i và nhận chung giá trị bằng giá trị điểm giữa yi của khoảng thứ i đó. Số các giá trị đo thuộc khoảng thứ i gọi là tần số mi. Đặt:
ei = ![]()
trong đó y0 là gốc tính mới và thường chọn bằng giá trị yi của khoảng trung tâm hoặc khoảng có tần số lớn nhất. Lúc đó:

VÍ DỤ 3: Cho 60 giá trị đo theo bảng sau:
|
13,07 |
13,09 |
13,08 |
13,10 |
13,10 |
13,11 |
13,12 |
13,12 |
13,13 |
13,09 |
|
13,14 |
13,24 |
13,14 |
13,15 |
13,10 |
13,18 |
13,17 |
13,21 |
13,28 |
13,25 |
|
13,18 |
13,19 |
13,23 |
13,15 |
13,20 |
13,14 |
13,18 |
13,14 |
13,17 |
13,21 |
|
13,16 |
13,24 |
13,16 |
13,18 |
13,29 |
13,15 |
13,20 |
13,27 |
13,18 |
13,21 |
|
13,22 |
13,16 |
13,10 |
13,26 |
13,17 |
13,20 |
13,15 |
13,17 |
13,14 |
13,26 |
|
13,12 |
13,13 |
13,24 |
13,12 |
13,24 |
13,22 |
13,11 |
13,28 |
13,10 |
13,25 |
Miền biến thiên dãy giá trị đo từ 13,07 tới 13,34. Ta phân miền biến thiên này làm 14 khoảng, mỗi khoảng có độ rộng d = 0,02 và chọn y0= 13,18 là giá trị đại diện của khoảng thứ 6 có tần số lớn nhất mi= 10. Các bước tính toán cho ở bảng sau:
|
TT |
Khoảng |
mi |
yi |
ei |
miIi |
miIi2 |
|
|
1 |
13,00 – 13,09 |
3 |
13,08 |
-5 |
-15 |
75 |
|
|
2 |
13,09 – 13,11 |
5 |
13,10 |
-4 |
-20 |
80 |
|
|
3 |
13,11 – 13,13 |
6 |
13,12 |
-3 |
-18 |
54 |
|
|
4 |
13,13 – 13,15 |
8 |
13,14 |
-2 |
-16 |
32 |
|
|
5 |
13,15 – 13,17 |
7 |
13,16 |
-1 |
-7 |
7 |
|
|
6 |
13,17 – 13,19 |
10 |
13,18 |
0 |
0 |
0 |
|
|
7 |
13,19 – 13,21 |
6 |
13,20 |
1 |
6 |
6 |
|
|
8 |
13,21 – 13,23 |
3 |
13,22 |
2 |
6 |
12 |
|
|
9 |
13,23 – 13,25 |
5 |
13,24 |
3 |
15 |
45 |
|
|
10 |
13,25 – 13,27 |
2 |
13,26 |
4 |
8 |
32 |
|
|
11 |
13,27 – 13,29 |
3 |
13,28 |
5 |
15 |
75 |
|
|
12 |
13,29 – 13,31 |
1 |
13,30 |
6 |
6 |
36 |
|
|
13 |
13,31 – 13,33 |
0 |
13,32 |
7 |
0 |
0 |
|
|
14 |
13,33 – 13,35 |
1 |
13,34 |
8 |
8 |
64 |
|
|
n = 60 |
|
P = – 12 |
|
|
Q = 518 |
||
Từ đó:

= 13, 18 +
x (-12) = 13,178

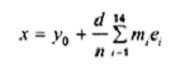
A.2. Tính giá trị trung bình
và độ lệch chuẩn theo một số mẫu
A.2.1. Trong trường hợp này giá trị trung bình được tính theo công thức:

trong đó:
– giá trị trung bình của mẫu tức thời thứ j;
m – số lượng các mẫu.
A.2.2. Độ lệch chuẩn tính theo một số mẫu tức thời có cùng cỡ mẫu được xác định theo công thức:

A.3. Xác định mức phân tán
A.3.1. Mức phân tán w – hay độ rộng khoảng dung sai đối với tham số đo sẽ được xác định một cách phù hợp với quy luật phân bố xác suất các giá trị đo của chỉ tiêu cần kiểm tra.
A.3.1.1. Trường hợp các giá trị đo được theo luật phân bố chuẩn
Tâm phân tán của các giá trị đo không bị thay đổi theo thời gian, độ sai lệch xảy ra đồng đều về cả hai phía so với tâm phân tán. Đồ thị mật độ phân bố có dạng như trên Hình A.1 a) Lúc đó:
W = 6 x s
A.3.1.2. Trường hợp các giá trị đo tuân theo luật phân bố, kết hợp giữa phân bố chuẩn và phân bố đều
Trong trường hợp này tâm phân tán bị thay đổi từ từ theo thời gian, độ lệch xảy ra đồng đều về cả hai phía so với tâm phân tán. Đồ thị mật độ phân bố có dạng như trên Hình A.1 b) Lúc đó:
W = 2 x ly x s
A.3.1.3. Trường hợp các giá trị đo tuân theo luật phân bố Maxwel
Tâm phân tán không bị thay đổi theo thời gian còn độ lệch xảy ra không đối xứng so với tâm phân tán. Đồ thị mật độ phân bố có dạng như trên Hình A.1 c) Lúc đó:
W = 5,25 x s
Giá trị hệ số ly cho trong bảng sau:
|
g |
3,0 |
2,4 |
2,1 |
1,8 |
1,5 |
1,2 |
1,0 |
0,2 |
0,6 |
0,4 |
0,2 |
0 |
|
ly |
2,00 |
2,10 |
2,15 |
2,23 |
2,30 |
2,40 |
2,50 |
2,60 |
2,70 |
2,80 |
2,90 |
3,0 |
trong đó:
![]()

Hình A.1 – Đồ thị mật độ phân bố
Phụ lục B
(quy định)
Đánh giá độ tin cậy của các chỉ tiêu về độ chính xác và độ ổn định của các nguyên công công nghệ
Các phương pháp đánh giá độ tin cậy của các chỉ tiêu về độ chính xác và độ ổn định của các nguyên công công nghệ được chọn phụ thuộc vào chỉ tiêu đó bao gồm bao nhiêu đại lượng ngẫu nhiên và đặc điểm các đại lượng ngẫu nhiên đó. Chẳng hạn trong chỉ tiêu mức hiệu chỉnh bao gồm một đại lượng ngẫu nhiên x còn trong chỉ tiêu mức phân tán cũng chỉ có một đại lượng ngẫu nhiên s. Theo cách xác định x và s ta có thể xem x và s là có phân bố chuẩn.
B.1. Xác định khoảng tin cậy cho giá trị trung bình và độ lệch chuẩn
B.1.1. Với độ tin cậy 1 –
, giá trị trung bình tương ứng cỡ mẫu nằm trong khoảng:

trong đó:
– hệ số cho trong Bảng B.1 của tiêu chuẩn này phụ thuộc vào độ tin cậy s = 1 –
và bậc tự do k = n -1 ;
s – độ lệch chuẩn;
n – số các chỉ tiêu trong mẫu.
B.1.2. Với độ tin cậy 1 – a, độ lệch chuẩn sẽ nằm trong khoảng:

trong đó:
và
được cho trong bảng phân bố (Bảng B.2) tương ứng với các xác suất P1=
P2 = 1-
số bậc tự do k= n – 1.
B.1.3. Độ tin cậy thống kê 1 – a có thể chọn bằng 0,90; 0,95 hoặc 0,99 tùy theo yêu cầu độ chính xác cần khống chế các chi tiết được chế tạo.
VÍ DỤ: Từ cỡ mẫu n= 60 ta tính được
= 13,14 và độ lệch chuẩn s = 0,59. Ta cần lập khoảng tin cậy cho giá trị trung bình
và khoảng tin cậy cho độ lệch chuẩn s.
Cho độ tin cậy s = 1 – a = 90 % tức là a = 10 %. Với số bậc tự do k = 59 ta có ta= 1,67. Từ đó:

Khoảng tin cậy cho các giá trị trung bình tính từ dãy 60 giá trị đo sẽ là (13,012; 13,268).
Đối với khoảng tin cậy cho độ lệch s ta có:
P1 =
= 0,05 và P2 = 1-
= 0,95
Theo Bảng B.2 với k= 59 ta có:
= 78,00 và
= 41,00
Từ đó:

Vậy khoảng tin cậy cho độ lệch chuẩn s là: (0,510; 0,708).
Bảng B.1 – Bảng các giá trị phân bố Student
|
k |
Mức ý nghĩa a |
|||||
|
0,05 |
0,025 |
0,01 |
0,005 |
0,001 |
0,0005 |
|
|
1 |
6,31 |
12,7 |
31,8 |
63,7 |
318,3 |
636,6 |
|
2 |
2,02 |
4,30 |
6,96 |
9,92 |
22,3 |
31,6 |
|
3 |
2,35 |
3,818 |
6,54 |
5,84 |
10,2 |
12,9 |
|
4 |
2,13 |
2,78 |
3,75 |
4,60 |
7,17 |
8,61 |
|
5 |
2,02 |
2,57 |
3,37 |
4,03 |
5,89 |
6,87 |
|
6 |
1,94 |
2,45 |
3,14 |
3,71 |
5,21 |
5,96 |
|
7 |
1,89 |
2,36 |
3,00 |
3,50 |
4,79 |
5,41 |
|
8 |
1,86 |
2,31 |
2,90 |
3,36 |
4,50 |
5,04 |
|
9 |
1,83 |
2,26 |
2,82 |
3,25 |
4,30 |
4,78 |
|
10 |
1,81 |
2,23 |
2,76 |
3,17 |
4,14 |
4,59 |
|
11 |
1,80 |
2,20 |
2,72 |
3,11 |
4,02 |
4,44 |
|
12 |
1,76 |
2,18 |
2,68 |
3,05 |
3,93 |
4,32 |
|
13 |
1,77 |
2,16 |
2,65 |
3,01 |
3,85 |
4,22 |
|
14 |
1,76 |
2,14 |
2,62 |
2,98 |
3,76 |
4,14 |
|
15 |
1,75 |
2,13 |
2,60 |
2,95 |
3,73 |
4,07 |
|
16 |
1,75 |
2,12 |
2,58 |
2,92 |
3,69 |
4,01 |
|
17 |
1,74 |
2,11 |
2,57 |
2,90 |
3,65 |
3,97 |
|
18 |
1,73 |
2,10 |
2,55 |
2,88 |
3,61 |
3,92 |
|
19 |
1,73 |
2,09 |
2,54 |
2,86 |
3,58 |
3,88 |
|
20 |
1,72 |
2,09 |
2,53 |
2,85 |
3,55 |
3,85 |
|
21 |
1,72 |
2,08 |
2,52 |
2,83 |
3,53 |
3,82 |
|
22 |
1,72 |
2,07 |
2,51 |
2,82 |
3,51 |
3,79 |
|
23 |
1,71 |
2,07 |
2,50 |
2,81 |
3,49 |
3,77 |
|
24 |
1,71 |
2,06 |
2,49 |
2,80 |
3,47 |
3,75 |
|
25 |
1,71 |
2,06 |
2,49 |
2,79 |
3,45 |
3,73 |
|
26 |
1,71 |
2,06 |
2,48 |
2,78 |
3,44 |
3,71 |
|
27 |
1,70 |
2,05 |
2,47 |
2,77 |
3,42 |
3,69 |
|
28 |
1,70 |
2,05 |
2,47 |
2,76 |
3,41 |
3,67 |
|
29 |
1,70 |
2,05 |
2,46 |
2,76 |
3,40 |
3,66 |
|
30 |
1,70 |
2,04 |
2,46 |
2,75 |
3,39 |
3,65 |
|
40 |
1,68 |
2,02 |
2,42 |
2,70 |
3,31 |
3,55 |
|
60 |
1,67 |
2,00 |
2,39 |
2,66 |
3,23 |
3,46 |
|
120 |
1,66 |
1,98 |
2,36 |
2,62 |
3,16 |
3,37 |
|
|
1,64 |
1,96 |
2,33 |
2,58 |
3,09 |
3,29 |
Bảng B.2 – Giá trị
cho theo xác suất P và k = n -1
|
k |
Mức ý nghĩa a |
|||||
|
0,005 |
0,025 |
0,05 |
0,95 |
0,975 |
0,999 |
|
|
1 |
7,80 |
5,00 |
3,80 |
0,004 |
0,001 |
0,00 |
|
3 |
13,00 |
9,30 |
7,80 |
0,35 |
0,20 |
0,01 |
|
5 |
17,00 |
12,70 |
11,00 |
1,10 |
0,83 |
0,15 |
|
7 |
20,50 |
16,00 |
14,00 |
2,20 |
1,70 |
0,90 |
|
10 |
15,00 |
20,50 |
18,50 |
3,90 |
3,20 |
1,50 |
|
13 |
33,00 |
27,50 |
25,00 |
7,40 |
6,20 |
3,40 |
|
20 |
40,00 |
34,00 |
31,00 |
11,00 |
9,60 |
6,00 |
|
25 |
47,00 |
20,50 |
38,00 |
14,50 |
13,00 |
8,60 |
|
30 |
54,00 |
47,00 |
44,00 |
18,50 |
16,70 |
11,50 |
|
36 |
62,00 |
54,00 |
51,00 |
23,00 |
20,21 |
15,00 |
|
40 |
66,00 |
60,00 |
56,00 |
26,00 |
24,00 |
18,00 |
|
46 |
74,00 |
60,00 |
62,00 |
31,00 |
29,00 |
21,00 |
|
50 |
78,00 |
72,00 |
68,00 |
35,00 |
32,00 |
24,00 |
|
56 |
86,00 |
78,00 |
74,00 |
40,00 |
37,00 |
28,00 |
|
60 |
92,00 |
84,00 |
78,00 |
41,00 |
40,00 |
31,00 |
|
66 |
98,00 |
90,00 |
86,00 |
48,00 |
46,00 |
36,00 |
|
70 |
104,00 |
95,00 |
90,00 |
52,00 |
48,00 |
39,00 |
MỤC LỤC
Lời nói đầu
1. Phạm vi áp dụng
2. Quy định chung
3. Cách lập mẫu
4. Đo và thủ tục ghi các số liệu
5. Các chỉ tiêu về độ chính xác và tính ổn định các nguyên công công nghệ
Phụ lục A (quy định) Tính giá trị trung bình số học và độ lệch chuẩn của các mẫu
Phụ lục B (quy định) Đánh giá độ tin cậy của các chỉ tiêu về độ chính xác và độ ổn định các nguyên công công nghệ


