Tiêu chuẩn Việt Nam TCVN4198:1995

  • Loại văn bản: Tiêu chuẩn Việt Nam
  • Số hiệu: TCVN4198:1995
  • Cơ quan ban hành: ***
  • Người ký: ***
  • Ngày ban hành: ...
  • Ngày hiệu lực: ...
  • Lĩnh vực: Xây dựng
  • Tình trạng: Không xác định
  • Ngày công báo: ...
  • Số công báo: Còn hiệu lực

Nội dung toàn văn Tiêu chuẩn Việt Nam TCVN 4198:1995 về đất xây dựng – các phương pháp xác định thành phần hạt trong phòng thí nghiệm


TIÊU CHUẨN VIỆT NAM

TCVN 4198 : 1995

ĐẤT XÂY DỰNG – CÁC PHƯƠNG PHÁP XÁC ĐỊNH THÀNH PHẦN HẠT TRONG PHÒNG THÍ NGHIỆM
Soils – Laboratory methods of determination of grain size distribution

Tiêu chuẩn này quy định phương pháp xác định thành phần hạt của đất loại cát và đất loại sét trong phòng thí nghiệm, dùng cho xây dựng.

1. Quy định chung

1.1. Thành phần hạt của đất là hàm lượng các nhóm hạt có độ lớn khác nhau ở trong đất được biểu diễn bằng tỉ lệ phần trăm so với khối lượng của mẫu đất khô tuyệt đối đã lấy để phân tích.

1.2. Xác định thành phần hạt là phân chia đất thành từng nhóm các cỡ hạt gần nhau về độ lớn và xác định hàm lượng phần trăm của chúng.

1.3. Thành phần hạt của đất cát được xác định bằng phương pháp sàng (rây), theo hai cách:

–  Không  rửa  bằng  nước  (rây  khô)  để  phân  chia  các  hạt  có  kích  thước  từ  10  đến 0,5mm

– Có rửa nước (rây ướt), để phân chia các hạt có kích thước từ 10 đến 0,1mm.

1.4. Thành phần hạt của đất loại cát và đất loại sét được xác định bằng phương pháp tỉ trọng kế khi phân chia các hạt có kích thước từ 0,01 đến 0,002 mm và bằng phương pháp rây với các hạt lớn hơn 0,1mm.

1.5. Việc lấy mẫu đất thí nghiệm được thực hiện theo TCVN 2683: 1991 “Đất xây dựng. Phương pháp lấy, bao gói, vận chuyển và bảo quản mẫu”. Mẫu để xác định thành phần hạt cần được:

a)  Nghiền nhỏ trong cối sứ bằng chày có đầu bọc cao su, để tách các hạt có kích thước lớn hơn 0,1mm;

b) Đun sôi trong nước sau khi đã được nghiền nhỏ và thay thế từng thành phần phức chất  trao  đổi  của  đất  bằng  ion  NH4+   để  tách  các  hạt  có  kích  thước  nhỏ  hơn 0,1mm.

Đối với đất có huyền phù (thể vẩn) bị kết tủa, khi thí nghiệm phải đun sôi mẫu trong nước và thay thế từng phần phức chất trao đổi của đất bằng ion Na+

1.6. Thành  phần  hạt  của  đất  được  xác  định  từ  các  mẫu  ở  trạng  thái  khô  gió,  đã  được nghiền nhỏ trong cối sứ bằng chày có đầu bọc cao su, hoặc trong máy nghiền không làm vỡ hạt.

Chú thích:

Đối với bùn, đất than bùn vở than bùn, cho phép xác định thành phần hạt từ các mẫu có độ ẩm tự nhiên.

1.7. Khi xác định thành phần hạt của đất cát bằng phương pháp rây có rửa nước, phải dùng nước máy, nước mưa hoặc nước sông đã được lọc sạch; còn khi xác đình thành phần hạt của đất loại sét bằng phương pháp tỉ trọng kế, phải dùng nước cất.

1.8. Khi  xác  định  thành  phần  hạt  của  đất  bằng phương  pháp  tỉ  trọng  kế,  phải  giữ  cho bình đựng huyền phù không bì rung, không chịu những tác động khác, không bị ảnh hưởng của nắng và nhiệt độ cao.

1.9. Các phép cân trên cân kĩ thuật phải được tiến hành với độ chính xác đến 0,01g; cân các mẫu đất có khối lượng 200g và lớn hơn cho phép tiến hành với độ chính xác đến 1g.  Các  phép  cân  trên  cân  phân  tích  phải  được  tiến  hành  với  độ  chính  xác  đến 0,001g.

1.10. Mỗi mẫu đất để xác định thành phần hạt chỉ cho phép tiến hành thí nghiệm một lần.

Số lượng mẫu phân tích ao nhiệm vụ nghiên cứu quyết định. Đối với những công trình quan trọng, khi chọn cấp phối hạt, chọn đất làm vật liệu đắp, v. v. thì cần phải tiến  hành  thí  nghiệm  song  song  để  xác  định  thành  phần  hạt.  Với  hàm  lượng  của nhóm hạt ít hơn 10%, sai số được phép giữa hai lần là 1%, với hàm lượng nhóm hạt trên 10%, được phép dưới 3%.

2. Dụng cụ và thiết bị thí nghiệm

2.1. Để xác định thành phần hạt của đất bằng phương pháp rây, cần dùng các dụng cụ và thiết bị sau đây:

– Cân kĩ thuật, có độ chính xác đến 0,0lg;

– Bộ rây (có ngăn đáy) có kích thước lỗ: 10; 5; 2; 1; 0,5; 0,25 và 0,1mm;

– Cối sứ và chày bọc cao su;

– Tủ sấy điều chỉnh được nhiệt độ;

– Bình hút ẩm có canxi clorua;

– Bát đựng đất;

– Quả lê bằng cao su (để dồn rửa hạt đất, hút nước);

– Dao con;

– Cân có độ chính xác đến 1g;

– Máy sàng lắc.

Chú thích: Cho phép sử dụng các bộ rây chuẩn của các nước phương Tây có kích thước tương đương.

2.2. Để xác định thành phần hạt của đát bằng phương pháp tỉ trọng kế, cần dùng những dụng cụ và thiết bị chỉ dẫn ở Điều 2.1 và những dụng cụ sau đây:

– Cân phân tích;

–  Tỉ  trọng  kế  có  thang  từ  0,995  đến  1,030  và  có  giá  trị  của  mỗi  vạch  chia  là 0,001(loại B) (hình 1) hoặc tỉ trọng kế có thang chia từ 0 đến 60 (loại A) (hình 2);

– Bộ phận đun và làm lạnh bằng nước (hệ thống ống xoắn và bếp điện);

– Các phễu có đường kính từ 2 đến 3cm và 14cm;

– Các bình tam giác (hình 3) có dung tích 1000cm3  các ống đo bằng thủy tinh có dung tích 1000cm3  và đường kính 60 ± 2mm (hình 4);

Nhiệt kế có độ chính xác 0,50C;

– Que khuấy (hình 5);

– Đồng hồ bấm giây;

– Máy rửa;

– ống hút cỡ 5cm3  và 50cm3;

– Thước thẳng dài 20cm có vạch chia milimét.

3. Các phương pháp thí nghiệm

3.1. Xác định thành phần hạt của đất bằng phương pháp rây

3.1.1. Chuẩn bị mẫu thí nghiệm

a)  Để phân chia đặt ra thành các nhóm hạt bằng phương pháp rây khô, cân  dùng bộ rây có kích thước lỗ 10; 5; 2; 1; 0,5mm; bằng phương pháp rây ướt cân dùng lại bộ rây có lỗ 10; 5; 2; 1; 0,5 va thêm hai cỡ 0,25 và 0,25 và 0,1mm

Lắp các rây thành chồng (cột) theo thứ tự tăng dần kích thước của lỗ kể từ đáy trở lên

b) Mẫu trung bình để phân tích được lấy theo phương pháp chia tư. Để lấy mẫu cần trộn đều đất đã khô gió (phơi khô trong không khí), rồi rải thành một lớp mỏng trên tờ giấy dầy hoặc trên tấm gỗ mỏng. Dùng dao con, rạch thành hai đường vuông góc chia bề mặt lớp đất ra thành bốn phần tương đương và sau đó gạt bỏ đất ở hai phấn đối xứng ra ngoài. Đất ở hai phần còn lại được trộn đều và tiếp tục làm lại như trên cho đến khi nào khối lượng đất còn lại vào khoảng.

– 100 – 200 g đối với đất không chứa các hạt có kích thước lớn hơn 2mm.

– 300 – 900g đối với đất chứa đến 10% (theo khối lượng) các hạt có kích thước lớn hơn 2mm;

– 1000 – 2000g đối với đất chứa 10 đến 30% các hạt có kích thước lớn hơn 2mm;

– 2000 – 5000g đối với đất chứa trên 30% các hạt có kích thước 2mm.

Chú thích: Hàm lượng các hạt lớn hơn 2mm được ước lượng bằng mắt. _

c) Cân mẫu đất trung bình trên cân kĩ thuật với độ chính xác quy định ở Điều  1.9 của tiêu chuẩn này.

3.1.2. Tiến hành phân tích theo phương pháp rây khô:

a) Lấy một mẫu đất trung bình và cân khối lượng của nó (theo các Mục b và c Điều 3.1.1). Đổ mẫu đất vào rây trên cùng và lắc bằng tay hoặc bằng máy qua bộ sàng tiêu chuẩn (Mục a Điều 3.I.1). Khi sàng mẫu đất có khối lượng lớn hơn 1000g thì nên đổ đất vào rây thành hai đợt.

Từng nhóm hạt còn lại trên các rây, bắt đấu từ rây trên cùng, được đổ vào cối sứ và nghiền thêm bằng chày có đầu bọc cao su, sau đó lại sàng qua chính rây đó, cho đến khi đạt yêu cầu.

Để kiểm tra việc sàng lắc các nhóm hạt đất đã đạt yêu cầu hay chưa, cần rây đất lên trên mặt tờ giấy trắng; nếu thấy có các hạt đất rơi xuống tờ giấy thì đổ các hạt đó vào sàng tiếp cho đến khi kiểm tra không thấy một hạt đất nào rơi xuống giấy nữa mới thôi.

b) Cân riêng từng nhóm hạt còn lại trên các rây và lọt xuống ngăn đáy. Lấy tổng khối lượng của tất cả các nhóm hạt và so sánh với khối lượng của mẫu đất trung bình lấy để phân tích. Nếu sai lệch của khối lượng quá l% thì phải phân tích lại.

Khối lượng đất tổn hao khi dùng bộ rây được phân chia cho tất cả các nhóm hạt, theo tỉ lệ khối lượng của chúng.

c)  Hàm  lượng của  mỗi  nhóm  hạt  (P),  biểu diễn bằng  phần trăm,  được  tính theo công thức (l):

Trong đó:

mh  – khối lượng nhóm hạt, tính bằng gam;

m – khối lượng của mẫu trung bình lay để phân tích, tính bằng gam. Kết quả tính toán được biểu diễn với độ chính xác đến 0,1% .

d) Trìng bày các kết quả phân tích dưới dạng bảng số lượng chứa phần trăm trong đất của các nhóm hạt có kích thước lớn hơn 10; 10 đến 5; 5 đến 2; 2 đến 1; 1 đến 0,5 và nhỏ hơn 0,5mm.

Kết quả phân tích kèm theo chú thích về phương pháp xác định.

3.1.3. Tiến hành phân tích theo phương pháp rây ướt.

a)  Lấy một mẫu đất trung bình, cân khối lượng của nó (theo các Mục b và c Điều 3.1.1) và đổ đất vào các bát nhỏ đã được cân trước. Dùng nước làm ẩm đất và nghiền đất bằng chày có đầu bọc cao su. Sau đó đổ nước vào đất, khuấy đục huyền phù và để lắng 10 đến 15 giây. Đổ nước có các hạt không lắng (thể vẫn) qua rây có lỗ 0,1mm.

Cứ tiến hành khuấy đục và đổ lên rây như vậy cho đến khi nước bên trên các hạt lắng xuống hoàn toàn trong mới thôi.

Dùng quả lê cao su bơm nước  dội sạch các hạt còn lại trên rây vào bát, gạn đổ nước trong bát đi.

Sấy đất trong các bát cho đến trạng thái khô gió và cân bát  với đất  để tìm khối lượng của đất sau khi dội rửa các hạt nhỏ hơn 0,1mm qua rây.

Xác định khối lượng các hạt có kích thước nhỏ hơn 0,1mm theo hiệu số giữa khối lượng của mẫu trung bình lấy để phân tích và khối lượng của đất sau khi đã rửa đi các hạt có kích thước nhỏ hơn 0,1mm.

Sàng đã được rửa bỏ các hạt có kích thước nhỏ hơn 0,1mm qua bộ rây tiêu chuẩn (mục a Điều 3.1.1.) và kiểm tra việc sàng các nhóm hạt qua từng rây, như chỉ dẫn ở mục a, Điều 3.1.2.  của tiêu chuẩn này.

b)  Cân  riêng  từng  nhóm  hạt  bị  giữ lại  trên các rây. Lượng đất tổn hao khi sàng được phải chia cho các nhóm hạt theo tỉ lệ khối lượng của chúng.

Tính hàm lượng phần trăm của mỗi nhóm hạt theo công thức (1).

c)  Kết quả phân tích được trình bày dưới dạng bảng, trong đó ghi lượng chứa phần trăm các nhóm hạt có kích thước lớn hơn 10; 10 đến 5; 2 đến 1; 1 đến 0,5; 0,5 đến 0,25; 0,25 đến 0,1 và nhỏ hơn 0,1mm; đồng thời có chú thích về phương pháp xác định.

3.2. Xác định thành phần hạt của đất bằng phương pháp tỉ trọng kế là tiến hành đo mật độ của huyền phù bằng tỉ trọng kế đã được hiệu chỉnh trước, theo chỉ dẫn ở các Điều từ 1.1 đến 1.6 của Phụ lục thuộc tiêu chuẩn này.

3.2.1. Khi phân tích các mẫu đất có huyền phù không kết tủa, để rửa hạt và pha loãng huyền phù, đều phải dùng nước cất có thêm dung dịch NH4OH nồng độ 25% theo liều lượng 0,5cm3  cho một lít nước cất.

3.2.2. Cách chuẩn bị mẫu trung bình để phân tích.

a) Bằng phương pháp chia tư, lấy một mẫu đất 200g ở trạng thái khô gió và sàng qua bộ rây có kích thước lỗ 10; 5; 2; 1; 0,5mm.

Cân các nhóm hạt bị giữ lại các rây và nhóm hạt đã lọt xuống ngăn đáy. Nếu trong mẫu đất không có hạt lớn, thì không cần phải sàng qua các rây có lỗ 1mm và lớn hơn.

Đối với các mẫu đất nói trong phần chú thích của Điều 1.6 thì không tiến hành những công việc trên.

b) Cũng bằng phương pháp chia tư, lấy một mẫu đát trung bình đã lọt qua rây có kích thước lỗ 0,5mm, cho vào trong một bát đã biết khối lượng và cân bát có chứa đất để xác định khối lượng của đát có cơ hạt nhỏ hơn 0,5mm dùng vào phân tích.

Khối lượng của mẫu đất này được lấy vào khoảng:

20g đối với đất sét;

30g đối với đất sét pha;

40g đối với đất cát pha;

Đối với đất bùn, đất than bùn và than bùn, đã nói ở phần chú thích của điều 1.6, thì khối lượng của mẫu phân tích nên lấy lớn hơn nhưng trị số nêu trên, tùy theo độ ẩm tự nhiên của chúng.

Đồng thời với việc lấy mẫu trung bình để xác định thành phần hạt, phải lấy mẫu để xác định độ ẩm và khối lượng riêng của đất.

Chú thích: Cho phép lấy khối lượng riêng của đất theo số liệu ghi trong các sổ tay kỹ thuật về đất.

c) Kiểm tra sự ngưng keo (kết tủa) của huyền phù

Bằng phương pháp chia tư, lấy một mẫu đất có khối lượng vào khoảng 2g, dùng chày có đầu bọc cao su nghiền mẫu đất đó với 4 đến 6cm3  nước cất trong bát, sau đó đổ thêm vào bát 14 đến 16cm3  nước cất và đun sôi huyền phù trong khoảng thời gian từ 5 đến 10 phút. Đổ huyền phù trong bát vào một ống nghiệm hoặc vào một ống đo có dung tích từ 100 đến 150cm3  và đổ thêm một lượng nước cất, sao cho thể tích của huyền phù lên đến khoảng 100cm3  đối với đất sét, 70cm3  đối với sét pha và 50cm3  đối với đất cát pha.

Lắc huyền phù rồi để yên trong bình. Nếu sau thời gian đó huyền phù kết tủa và vật kết tủa sau khi đã rơi xuống đáy ống nghiệm (hoặc đáy ống đo) có kết cấu rời, dạng bông và dịch thể trên chất kết tủa trong suốt, thì coi đất là có kết tủa và có muối hoà tan, cần phải xử li trước khi tiến hành phân tích.

d) Tiến hành xử lí đất có kết tủa và có muối hòa tan bằng phương pháp rửa.

Đem khối lượng đất dùng để phân tích cho vào phễu có lót giấy lọc. Rót nước cất đun  sôi  để  nguội  vào  phễu  có  đất  để  lọc  muối  hòa  tan  vào  trong  bình  tam  giác 1000cm3. Trong quá trình rửa, chú ý giữ cho mặt dung dịch cao hơn mặt đất trong phễu 5mm.

Để kiểm tra việc rửa muối, cần lấy hai ống nghiệm, cho vào mỗi ống 2cm3  dung dịch  nước  lọc  qua  phễu,  rồi  thêm  vào  ống  nghiệm  thứ  nhất  vài  giọt  HC10%  và Bacl2  5% ống thứ hai vài giọt HNO3  10% và AgNO3  5% . Nếu cả hai ống không thấy hiện tượng kết tủa trắng, thì chứng tỏ đất đã được rửa sạch muối hòa tan.

Sau khi đã rửa xong, xác định lượng chứa  muối hòa tan trong đất bằng cách đổ nước lọc qua phễu vào một ống có khắc độ để đo thể tích của nó. Sau đó lắc đều ống và lấy ra hai mẫu nước lọc có thể tích khoảng 100cm3. Đổ nước này vào bát, khô ở 1050C, để nguội trong bình hút ẩm và cân trên cân phân tích với độ chính xác tới 0,001g.

Chú thích: Khi đất chứa ít chất kết tủa và muối hòa tan hoặc công trình nghiên cứu không quan trọng có thể bỏ qua điều này. Trong trường hợp đó không cần ngâm mẫu đất và tiếp đó  cũng  không  phải  đun  sôi,  mà  tiến  hành  cho  qua  rây  ngay  sau  khi  khuấy  lắc  trong nước.

e) Cho mẫu đất trung bình dùng để phân tích (loại không có kết tủa hoặc có kết tủa nhưng đã được rửa như điều 3.2.3.

d) vào bình tam giác có dung tích từ 750 đến 1000cm3; dùng tia nước rửa sạch phần đất còn lại trong bát hoặc trên phễu lọc.

Đổ  thêm  nước  vào  bình  tam  giác,  sao  cho  lượng  nước  tổng  cộng  gấp  mười   lần khối lượng của mẫu đất và ngâm mẫu đất trong một ngày đêm.

g) Cho thêm vào bình 1cm3  dung dịch NH4OH nồng độ 25%, đậy bình lại bằng một cái nút của bộ phận làm lanh (hệ thống ống xoắn) hoặc đậy bằng một cái phễu có đường kính từ 2 đến 3cm và đun sôi huyền phù trong thời gian 1giờ.

Để nguội huyền phù cho đến nhiệt độ trong phòng, sau đó rót qua rây 0,1mm vào trong ống đo hình trụ có dung tích 1000cmđ. Để rót, cần đặt phễu có đường kính 14cm trên miệng ống đo, rồi đặt rây vào miệng phễu.

Chú thích: Đối với đất có huyền phù kết tủa khi kiểm tra ngưng keo nhưng thuộc loại đất trong chú thích của mục d Điều 3.2.2, thì sau khi cho mẫu vào bình tam giác và thêm nước  theo  quy  định  trên,  cần  tiến  hành  lắc  đều  và  độ  huyền  phù  vào  ống  đo  qua  rây 0,1mm; không phải ngâm trong 1 ngày đêm và cũng không phải đun sôi.

h) Rửa trôi các hạt trên rây 0,1mm bằng tia nước vào bát và dùng chày có đầu bọc cao su nghiền kĩ, sau đó đổ huyền phù mới tạo thành trong bát qua rây 0,1mm vào ống đo. Cứ tiếp tục nghiền phần đất đọng lại trong bát và đổ huyền phù qua rây cho đến khi phần nước ở trên các hạt (còn lại dưới đáy bát) hoàn toàn trong. Chú ý khi không nên dùng nhiều nước, để bảo đảm huyền phù qua rây vào ống đo gần tới 1000cm3.

Đổ dồn các hạt còn lại trên rây và các hạt lắng lại ớ đáy bát vào một bát hay lọ thủy  tinh  có  khối  lượng  biết  trước,  đun  cho  bốc  hơi.  Sau  đó,  đem  sấy  đến  khối lượng không đổi, rồi cho qua rây có kích thước lỗ 0,25 và 0,lmm, Trường hợp phân tích loại đất đã nói trong chú thích của Điều 1.6 thì sàng các hạt đã được sấy đến khối lượng không đổi qua bộ rây có kích thước lỗ 10; 5; 2; 1; 0,5; 0,25; 0,1mm.

Cho các hạt đã lọt qua rây có lỗ 0,1mm vào ống đo chứa huyền phù, để tiến hành phân tích bằng tỉ trọng kế.

Cân các nhóm hạt bị giữ lại trên các rây để xác định lượng chứa của chúng.

Đổ thêm nước vào ống đo (nếu cần) cho đúng 1000cm3

Khi phân tích loại đất có huyền phù kết tủa (có hiện tượng ngưng keo) thì trước lúc đổ thêm nước, phải cho vào ống đo 25cm3  pirôphôtphat natri (Na4P2O7) có nồng độ 4% hoặc 6,7% (4% tính cho pirôphôtphat natri không ngậm nước;6,7% tính cho pirôphôtphat natri ngậm nước).

3.2.3. Tiến hành phân tích bằng tỉ trọng kế.

a) Dùng  que  để  khuấy  huyền  phù  trong  thời  gian  1  phút  (cứ  2  giây kéo  lên  đẩy xuống một lần), ghi điểm thôi khuấy và sau 20 giây thận trọng thả tỉ trọng kế vào trong huyền phù. Phải để tỉ trọng kế nổi tự do, không được chạm vào thành ống đo

b) Tiến hành đọc đợt đầu mật độ của huyền phù theo mép trên của mặt khun qua 30 giây, 1 phút, 2 phút, và 5 phút từ khi thôi khuấy và không lấy tỉ trọng kế ra khỏi ống đo. Thời gian đọc số trên tỉ trọng kế không được lâu  quá 5 đến 7 giây.

Chú thích: Để tiện thao tác, khi đọc tỉ trọng kế loại B có thể đơn giản đi, tức là bỏ số 1và chuyển dấu phẩy lùi về phải 3 số lẻ; trong trường hợp này gạch chia phần nghìn sẽ là số nguyên, còn số lẻ phần mười nghìn ước lượng bằng mắt sẽ và số lẻ phần mười.

c) Lấy tỉ trọng kế ra khỏi huyền phù và cho vào trong ống đựng nước cất.

Khuấy lại huyền phù lần thứ hai và cho tỉ trọng kế vào huyền phù để đọc mật độ của  nó.  Đọc  tiếp  tỉ  trọng  kế  sau  15  phút;  30  phút;  l,5;  2;  3;  và  4  giờ  kể  từ  khi ngừng khuấy. Thời gian đọc có thể kéo dài và tùy theo yêu cầu mà quy định. Mỗi lần đọc nên thả tỉ trọng kế trước 5 đến 10 giây và hơi sâu hơn lần trước một chút. Sau mỗi lần đọc xong, lấy tỉ trọng kế ra khỏi huyền phù và nhúng vào ống đựng nước sạch, đo nhiệt độ và không khuấy lại.

d) Kiểm tra nhiệt độ của huyền phù với độ chính xác đến 0,50C trong vòng 5 phút đầu  (trước  khi  bắt  đầu thí  nghiệm)  và  sau  mỗi  lần  đo  mật  độ  của  nó  bằng  tỉ trọng kế. Nếu nhiệt độ khác r200C thì phải ghi lại để hiệu chỉnh số đọc trên tỉ trọng kế theo bảng 1 của Phụ lục.

e) Cần phải hiệu chỉnh số đọc mật độ huyền phù về chỉ tiêu không” của tỉ trọng kế, về chất làm phân tán và về chiều cao mặt khum theo các điều từ A.1.3 đến A.16 của Phụ lục A.

3.2.4. Chỉnh lí các kết quả phân tích

a) Tính lượng chứa muối hòa tan theo công thức (2):

Trong đó:

Pm–  lượng chứa muối hòa tan,tính bằng phần trăm khối lượng;

mm  – khối lượng bình quân của muối trong hai mẫu nước lọc lấy ra, tính bằng gam;

v- thể tích bình quân của 2 mẫu nước lọc lấy ra, tính bằng centimet khối;

V- tổng thể tích nước lọc, tính bằng gam;

m1– khối lượng mẫu đất trung bình ở trạng thái khô gió, được lấy để phân tích bằng tỉ trọng kế, tính bằng gam;

W-  độ ẩm của mẫu đất ở trạng thái khô gió, tính bằng phần trăm.

b) Tính khối lượng chứa phần trăm các nhóm hạt có kích thước lớn hơn 10; 10 đến 5;5 đến 2; 2 đến l; l đến 0,5 và nhỏ hơn 0,5mm, theo Mục c Điều 3.l.2. Chú ý, khi tính khối lượng của mẫu đất (m) lấy để phân tích thành phần hạt, phải có hiệu chỉnh về độ hút ẩm hoặc độ ẩm tự nhiên.

c) Tính khối lượng phần hạt của mẫu đất trung bình lấy để phân tích (mo) bằng tỷ trong kế theo công thức (S):

Trong đó:

m1–  Khối  lượng  của,  mẫu  đất  trung  bình  lấy  để  phân  tích  bằng  tỉ  trọng  kế  ở trạng thái khô gió (hoặc có độ ẩm tự nhiên trong trường hợp đất bùn, than bùn v.v…), tính bằng gam;

W-  lượng hút ẩm (hoặc độ ẩm tự nhiên), tính bằng phần trăm.

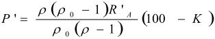
d) Tính lượng chứa phần trăm (P) của các nhóm hạt có kích thước nhỏ hơn 0,5mm và lớn hơn 0,25mm (hoặc lớn hơn 0,lmm) so với tổng khối lượng đất đem phân tích thành phần hạt, theo công thức (4):

Trong đó:

mh  – khối lượng của nhôm hạt trên rây 0,25 (hoặc 0,1mm) đã được sấy khô đến giá trị không đổi, tính bằng gam;

m0  – khối lượng phần hạt của mẫu đắt trung bình lấy để phân tích bằng tỉ trọng kế, xác định theo Điều 3.2.5c, tính bằng gam;

K – lượng chứa tổng cộng của căc nhóm hạt có kích thước lớn hơn 0,5mm, tính bằng phần trăm.

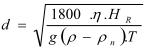
e) Tính toán đường kính (d) của các hạt bằng milimet theo toán đồ Stokes như chỉ dẫn ở mục 2 của Phụ lục, hoặc theo công thức (5):

Trong đó:

HR  – Cự li chìm lắng của các hạt kế từ bề mặt dịch the cho đến trọng tâm của bầu tỉ trọng kế ứng với số đọc đã hiệu chỉnh R trong thời gian T, tính bằng centimet;

η – hệ số nhớt của nước tính bằng Poazơ, xác định theo bảng 2 của Phụ lục, phụ thuộc vào nhiệt độ;

g- gia tốc trọng trường, bằng 981 cm/s2;

r – khối lượng riêng của hạt đất, tính bằng gam trên centimet khối

rn  – khối lượng riêng của nước, lấy bằng 1 gam trên centimet khối;

T- thời gian chìm lắng kể từ lúc bắt đầu thôi khuấy huyền phù cho đến khi đọc được R, tính bằng giây.

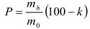
f) Tính lượng chứa phần trăm (P) của các hạt có kích thước nhỏ bơn đường kính nào đó đã cho trước (xác định theo Mục e) của Điều 3.2:5, theo công thức (6) và (7)

– Đối với tỉ trọng kế loại B:

– Đối với tỉ trọng kể loại A:

Trong đó:

r0  – khối lượng riêng dùng để khắc độ, lấy bằng 2,65 gam trên cetimét khối

Các kí hiệu r, rn, m0  ,K giống như chỉ dẫn ở các điều trên

R’A,R’B  – số đọc đã hiệu chỉnh trên tỉ trọng kể loại A hoặc loại B. Với tỉ trọng kể loại A, dùng công thức (8):

R’A  = RA  + mA  +nA  – cA  (8)

ra– số đọc tỉ trọng kế loại A;

nA  – Số hiệu chỉnh mặt cong và độ khắc theo tỷ trọng kế A;

mA– Số hiệu chỉnh nhiệt độ theo tỉ trọng kế A.

Với tỉ trọng kế loại B, dùng công thức (9):

R’B  = pB  + mH  +nB  – cB  (9)

RB  – Số đọc tỉ trọng kế loại B (đã đơn giản hóa);

nB  – Số hiệu chỉnh mặt cong độ khắc theo tỉ trọng kế loại B (đã đơn giản hóa);

mB  – Số hiệu chỉnh nhiệt độ theo tỉ trọng kế loại B (đã đơn giản hóa);

CB  -Số hiệu chỉnh chất phân tán theo tỉ trọng kế B.

Chú thích: Trong các công thức trên sẽ lấy K: 0 đối với trường hợp đất đem phân tích thành phần hạt không có các hạt lớn hơn 0,5mm.

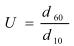
Độ không đồng nhất của đất được biểu diễn bằng hệ số không đồng nhất U – là tỉ số giữa các đường kính hạt ứng với các lượng chứa 60 và 10% so với tổng khối lượng mẫu đất phân tích thành phần hạt, được xác định theo công thức (10):

g)   Vẽ đường thành phần hạt  trong hệ tọa độ  nửa lôgurit:  trên trục hoành biểu thị lograit của đường kính hạt và trên trục tung – lượng chứa phần trăm của hạt Theo  đường  biểu  diễn,  xác  định  lượng  chứa  phần  trăm  của  các  nhóm  hạt  0,5  đến 0,25; 0,25 đến 0,1; 0,1 đến 0,5; 0,05 đến 0,01; 0,01 đến 0,005 (hoặc 0,01 đến ảnh và nhỏ hơn 0,005mm (hoặc nhỏ hơn 0,002mm) tùy theo yêu cầu nghiên cứu.

h)   Kết  quả  phân  tích được  trình bày dưới  dạng  bảng,  trong  đó  nêu  rõ  lượng  chứa phần trăm của các hạt có kích thước lớn hơn 10; từ 10 đến 5; từ 5 đến 2; từ 2 đến 1; từ 1 đến 0,5; từ 0,5 đến 0,25; từ 0,25 đến 0,1; từ 0,1 đến 0,05 , từ 0,05 đến 0,01; từ 0,01 đến 0,005 (hoặc từ 0,01 đến 0,002) và nhỏ hơn 0,005 (hoặc nhỏ hơn 0,002mm).

Kèm theo kết quả phân tích phải có chú thích về độ hút ẩm (hoặc độ ẩm tự nhiên) của đất, về chất dùng để ổn định, phá kết tủa huyền phù, về quá trình rửa muối, v.v.

Phụ lục A

A.1. Hiệu chỉnh tỉ trọng kế

Có nhiều loại tỉ trọng kế. Thường dùng nhất là tỉ trọng kế loại A (đo khối lượng của các hạt trong dịch thể) và tỉ trọng kế loại B (đo khối lượng riêng của dịch thể). Trước khi sử dụng chúng cần phải tiến hành hiệu chỉnh.

A.1.1. Xác định khoảng cách từ mặt dịch thể đến trọng tâm của khối nước do tỉ trọng kế choán chỗ HR  ứng với mỗi một vạch chia trên thang tỉ trọng kế làm riêng cho từng chiếc và từng ống đo.

Các trị số HR  dùng để xác định đường kính các hạt theo Mục c Điều 3.2.5 của tiêu chuẩn này.

A.1.3. Khoảng cách HR  (cự li chìm lắng của các hạt đất), đo bằng cm, đối với mỗi vạch chia ở thang tỉ trọng kế, được tính theo công thức (1):

HR  = L1  + (a – b) (1)

Trong đó:

a  –  khoảng  cách  từ  vạch  chia  cuối  cùng  đến  trọng  tâm  của  khối  nước  do  bầu  tỉ trọng kế choán chỗ, tính bằng centimet;

b – chiều cao dâng nước trong ống đo, khi tỉ trọng kế chìm xuống đến trọng tâm của khối nước bị bầu tỉ trọng kế choán chỗ, tính bằng centimet;

L1  – khoảng cách từ vạch chia cuối cùng trên thang tỉ trọng kế đến các vạch chia phía trên tính bằng centimet;

A.1.2.1. Đối với tỉ trọng kế loại B, khoảng cách L1  có thể xác định theo công thức.

Trong đó:

N – số vạch chia phần nghìn trên thang tỉ trọng kế kể từ vạch chia cuối cùng

(thường 1.030 hoặc 1.050) đến vạch chia 1.000, là trị số không đổi đối với tỉ trọng kế đã cho.

M – số vạch chia phần nghìn trên thang tỉ trọng kế kể từ vạch chia 1.000 đến mặt huyền phù (là trị thay đổi-tùy theo độ chìm lắng của tỉ trọng kế). M luôn luôn bằng số đọc trên tỉ trọng kế;

L  –  chiều  dài  của  thang  khắc  trên  tỉ  trọng  kế  kể  từ  vạch  cuối  (1.080  hoặc 1.050) đến vạch 1.000, tính bằng centimet, (là trị không đổi đối với tỉ trọng kế đã cho).

Trong công thức trên, trị số của M được lấy từ l đến 30.

Để thuận tiện cho việc dùng toán đồ sau này, nên lập sẵn biểu đồ quan hệ giữa HRvà M cho từng tỉ trọng kế và ống đo dùng trong phân tích.

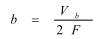
A.1. Chiều cao dâng nước trong ống đo khi tỉ trọng kế chìm xuống đến trọng tâm của khối nước bị bầu tỉ trọng kế choán chỗ (b), đo bằng cm, được xác định theo công thức (3):

Trong đó:

Vb  – thể tích của bầu tỉ trọng kế (tính đến vạch chia cuối cùng trên thang tỉ trọng kế), tính bằng centimet khối;

F – tiết diện ngang của ống đo, tính bằng centimet vuông.

Thể tích bầu tỉ trọng kế (Vb) được xác định như sau:

Đổ 900 đến 920cm3  nước cất có nhiệt độ 200C vào trong môt ống đo bằng thủy tinh có dung tích 1000cm3. Nhúng chìm tỉ trọng kế cho đến vạch cuối cùng và ghi độ dâng lên của mực nước. Hiệu giữa mực nước trong khi nhúng chìm tỉ trọng kế và khi không có tỉ trọng kế chính là bằng thể tích (Vb) của bầu

Tiết  diện  ngang  của  ống đo (F)  được  xác  định bằng cách đo chiều cao(H) từng đoạn ống, ghi thể tích Vb  tương ứng của đoạn đó và tìm tiết diện của nó F = V/H Cần đo chiều cao (H) nhiều lần ở các đoạn khác nhau để tìm trị số tiết diện trung bình của ống đo.

A.1.2.1. Khoảng cách từ vạch chia cuối cùng đến trọng tâm của khối nước do bầu choán chỗ (a) được xác định như sau:

Đổ 900cm3  nước cất ở nhiệt độ 200C vào trong ống đo bằng thủy tinh dùng để đựng huyền phù khi phân tích.

Dán một miếng giấy kẻ li lên mặt bầu. Nhúng tỉ trọng kế vào ống đo cho đến khi mực nước trong ống dâng lên đúng bằng nửa thể tích (Vb) của bầu. Ghi chỗ tiếp xúc giữa mặt nước dâng lên và bầu, đó chính là trung tâm bầu. Đo khoảng cách từ vạch chia cuối cùng trên thang đến trung tâm bình tỉ trọng kế, được trị số a, tính bằng centimet.

A.1.3. Xác định số hiệu chỉnh chỉ số “C” (tức là hiệu chỉnh độ khắc) của tỉ trọng kế như sau:

Đổ đầy nước cất ở 200C vào một ống đo và nhúng tỉ trọng kế vào nước Tiến hành đọc mật độ của nước, số đọc được là mật độ đơn vị.

Hiệu giữa vạch chia thang và số đọc lúc tỉ trọng kế đứng yên trong nước cất ở 200C bằng số hiệu chỉnh đưa vào tính toán.

Cộng số hiệu chỉnh vào cho mỗi một số đọc trên thang tỉ trọng kế, nếu khi kiểm tra thấy tỉ trọng kế chỉ dưới 1000 và trừ đi, nếu tỉ trọng kế chỉ trên 1.000

Chú thích: Để chính xác hơn, có thể hiệu chỉnh các độ khắc của tỉ trọng kế bằng những dung dịch có mật độ lớn hơn mật độ của nước.

Pha chế các dung dịch axit hoặc muối ở 200C có mật độ tương ứng với số đọc của tỉ trọng kế

Thả tỉ trọng kế vào các dung dịch và lấy các số đọc tương ứng. Sau mỗi lần đọc, lấy các dung dịch cho vào bình tỉ trọng và cân ở 200C. Sau đó đổ nước cất, cũng vào bình tỉ trọng đó, và cân ở 200C với độ chính xác tới 0,0001 gam

Số đọc chuẩn xác của tỉ trọng kế loại B (200/200C) được tính theo công thức (4):

Trong đó:

md  – khối lượng của dung dịch axit (hoặc muối) trong bình tỉ trọng ở 200C, tính bằng gam;

mn  –  khối lượng của nước cất trong bình tỷ trọng ở 200C, tính bằng gam.

Đối với mỗi dung dịch xác định ít nhất hai lần trị số RB

Sai số cho phép của hai lần xác định song song là 0,0002.

Số đọc chuẩn xác của tỉ trọng kế loại A tính theo công thức (5):

RA  = (RB – 1) 1601 x 5041 (5)

Hệ số giữa số đọc thực đo khi thả tỉ trọng kế vào dung dịch và số đọc chuẩn xác là trị số hiệu chỉnh độ khắc.

A.1.3. Trong  tính  toán  phải  hiệu  chỉnh  chiều  cao  mặt  cong,  nếu  tỉ  trọng  kế  được  khắc theo mép dưới  của mặt cong. (Nếu tỉ trọng kế khắc theo mép trên của mặt cong thì không phải hiệu chỉnh).

Thả tỉ trọng kế vào ống đo đựng đầy nước cất ở 200C. Tiến hành đọc theo các số dọc theo mép dưới và mép trên của mặt cong. Hiệu các số đọc trên tỉ trọng kế đã đứng yên chính là số hiệu chỉnh chiều cao mặt cong. Cộng thêm số hiệu chỉnh vào cho mỗi một số đọc trên thang tỷ trọng kế khi đo mật độ  của huyền phù.

Chú thích: Nếu kết hợp hiệu chỉnh mặt cong với hiệu chỉnh độ khắc và vẽ đường biểu diễn quan hệ số đọc tỉ trọng kế với các số hiệu đó để dùng trong tính toán.

A.1.5. Khi trong phân tích có dùng chất làm phân tán đất, thì phải xác định số hiệu chỉnh cho chất phân tán này.

Đổ 950 cm3  nước cất vào trong một ống đo thả tỉ trọng kế vào và tiến hành đọc theo mép trên của mặt cong.

Cho thêm chất phân tán vào ống đo với một lượng yêu cầu, sau đó đổ nước vào ống cho đến 1.000cm3, lắc hỗn hợp rồi thả tỉ trọng kế vào trong hỗn hợp đó và lại tiến hành đọc theo mép trên của mặt cong.

Hiệu giữa số đọc  lần thứ hai  và số đọc lần đầu chính là số hiệu chỉnh cho chất phân tán. Khi đo mật độ huyền phù thì mỗi một số đọc trên thang tỉ trọng kế phải được trừ đi giá trị hiệu chỉnh này.

A.1.6. Hiệu chỉnh nhiệt độ

Nếu có sự sai khác giữa nhiệt độ dung dịch khi phân tích và nhiệt độ tỉ trọng kế khi  hiệu chỉnh (200C), thì cần phải  hiệu chỉnh số đọc theo các trị số hiệu chỉnh nhiệt độ trong bảng 1.

Bảng A.1- Bảng trị số hiệu chỉnh nhiệt độ

Nhiệt độ dung dịch, 0C

Số hiệu chỉnh tỉ trọng  kế  loại A

Số hiệu chỉnh tỉ trọng  kế  loại B

Nhiệt độ dung dịch, 0C

Số hiệu chỉnh tỉ trọng  kế  loại A

Số hiệu chỉnh tỉ trọng kế loại B

10

10,5

11,0

11,5

12,0

12,5

13,0

13,5

14,0

14,5

15,0

15,5

16,0

16,5

17,0

17,5

18,0

18,5

19,0

19,5

20,0

-2,0

-1,9

-1,9

-1,8

-1,8

-1,7

-1,6

-1,5

-1,4

-1,3

-1,2

-1,1

-1,0

-0,9

-0,8

-0,7

-0,5

-0,4

-0,3

-0,1

-0,0

-0,0012

-0,0012

-0,0011

-0,0011

-0,0011

-0,0010

-0,0010

-0,0009

-0,0009

-0,0008

-0,0008

-0,0007

-0,0006

-0,0006

-0,0005

-0,0004

-0,0003

-0,0003

-0,0002

-0,0001

-0,000

20,5

21,0

21,5

22,0

23,0

23,5

24,0

24,5

25,0

25,5

26,0

26,5

27,0

27,5

28,0

28,5

29,0

29,5

29,5

30,0

+0,1

+,03

+0,5

+0,6

+0,8

+0,9

+1,1

+1,3

+1,5

+1,7

+1,9

+2,1

+2,2

+2,5

+2,6

+2,9

+3,1

+3,3

+3,5

+3,7

+0,0001

+0,0002

+0,0003

+0,0004

+0,0005

+0,0006

+0,0007

+0,0008

+0,0009

+0,0010

+0,0011

+0,0015

+0,0014

+0,0015

+0,0016

+0,0018

+0,0019

+0,0021

+0,0022

+0,0023

 

Bảng A.2 – Hệ số của nước ứng với các nhiệt độ từ 10 đến 400C

Nhiệt độ 0C

Hệ số nhớt, Poazơ

Nhiệt độ, 0C

Hệ số nhớt, Poazơ

10

11

12

13

14

15

16

17

18

19

20

21

22

23

24

25

0,01308

0,01272

0,01236

0,01208

0,01171

0,01140

0,01111

0,01086

0,01056

0,01050

0,01005

0,00981

0,00958

0,00936

0,00914

0,00894

26

27

28

29

30

31

32

33

34

35

36

37

38

39

40

 

0,00874

0,00854

0,00836

0,00818

0,00801

0,00784

0,00768

0,00752

0,00737

0,00722

0,00718

0,00695

0,00681

0,00668

0,00656

 

 

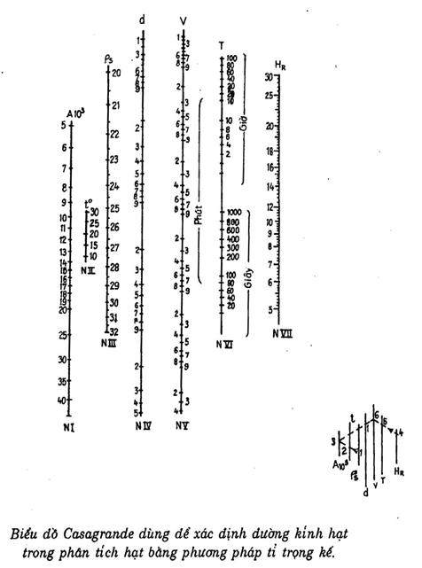
A.2. Quy tắc dùng toán đồ

A.2.1. Toán đồ Casagrande được thành lập theo công thức Stokes gồm 7 thang (xem hình vẽ). Kí hiệu các thang được trình bày trên hình vẽ.

Trước khi dùng toán đồ, phải tiến hành hiệu chỉnh nó bằng cách ghi lên phía phải của thang VII các trị số M, tức là mang trị M đặt đố diện với các trị HRtương ứng với chúng (ở phía trái của thang) tính theo công thức ở Điều 2.1 phụ lục này.

A.2.2. Khi xác định đường kính của các hạt theo tính toán đồ thị thì dùng sơ đồ đọc trên tỉ trọng kế được tiến hành theo thứ tự sau đây:

a) Đặt một cái thước lên thang III tại điểm ứng với khối lượng riêng của đất (r) và trên thang II tại điểm ứng với nhiệt độ (t0C) của huyền phù. Tìm giao điểm của đường thẳng đó với thang I.

b) Trên phía phải của thang VII tại điểm ứng với số đọc đã hiệu chỉnh trên tỷ trọng kế (với các số hiệu chỉnh cho nhiệt độ, cho mặt khum, cho đất phân tán), vạch một đường thẳng nối với một điểm trên thang VI ứng với thời gian đọc (T) và tìm giao điểm của đường thẳng đó với thang V (thang tốc độ chìm lắng của các hạt)

c) Vạch một đường thẳng nối các điểm đã tìm được trên thang I và thang V để tìm giao điểm của nó với thang IV. Giao điểm này chính là đường kính hạt (d) cần phải xác định.

 

Leave a Reply

Your email address will not be published. Required fields are marked *