Nội dung toàn văn Tiêu chuẩn Việt Nam TCVN 4199:1995 về đất xây dựng – phương pháp xác định sức chống cắt trong phòng thí nghiệm ở máy cắt phẳng
TIÊU CHUẨN VIỆT NAM
TCVN 4199 : 1995
ĐẤT XÂY DỰNG – PHƯƠNG PHÁP XÁC ĐỊNH SỨC CHỐNG CẮT TRONG PHÒNG THÍ NGHIỆM Ở MÁY CẮT PHẲNG
Soil – Laboratoy method of determination of shear resistance in a shear box appratus
Tiêu chuẩn này quy định phương pháp xác định sức chống cắt của đất loại sét và đất loại cát có kết cấu nguyên hoặc được chế bị trong phòng thí nghiệm, ở máy cắt theo một mặt phẳng định trước, dùng cho xây dựng .
Tiêu chuẩn này không áp dụng cho đất cát thô và đất sỏi sạn, đất loại sét ở trạng thái chảy và bị chảy dưới tác dụng của áp lực thẳng đứng ơ ≤ 1.105 N/m2 (1 KG/cm2) trong điều kiện nở hông.
1. Quy định chung
1.1. Sức chống cắt
của đất là phản lực của nó đối với ngoại lực ứng với lúc đất bắt đầu bị phá hoại và trượt lên nhau theo một mặt phẳng nhất định.
1.2. Sức chống cắt của cùng một loại đất sẽ không giống nhau, tùy theo trạng thái vật lí của nó (mức độ phá hoại cấu trúc tự nhiên, độ chặt, độ ẩm), cũng như điều kiện thí nghiệm (phương pháp thí nghiệm, cơ cấu máy móc, kích thước mẫu thí nghiệm, tốc độ cắt v.v…).
1.3. Để nhận được kết quả tin cậy nhất, thí nghiệm xác định sức chống cắt phải được tiến hành trong điều kiện gần giống với điều kiện làm việc của đất dưới công trình hoặc trong thân công trình.
1.4. Sức chống cắt W của mẫu đất là ứng suất tiếp tuyến nhỏ nhất, được tính theo công thức (1):
![]()
Với ứng suất này, mẫu đất bị cắt theo một mặt phẳng định trước dưới áp lực thẳng đứng V theo công thức (2):
![]()
Trong đó :
P và Q lần lượt là lực pháp tuyến và lực tiếp tuyến với mặt cắt, tính bằng Niutơn;
F – diện tích mặt cắt, tính bằng centimét vuông.
1.5. Quan hệ giữa sức chống cắt W và áp lực thẳng đứng trên mặt phẳng cắt được biểu diễn bằng phương trình (3);
![]()
Trong đó :
tgj – tang góc ma sát trong của đất;
C – lực dính đơn vị của đất loại sét, hoặc thông số tuyến tính của đất loại cát, tính bằng Niutơn trên mét vuông hay (KG/cm2)
Để xác định giá trị tgM và C của đất, cần phải tiến hành xác định W ứng với ít nhất là 3 trị số khác nhau của ơ đối với cùng một phương pháp thí nghiệm.
Chú thích : Để tìm giá trị tính toán tgM và C của đất thuộc một lớp, cần phải có ít nhất 6 lần xác định W cho mỗi giá trị V đối với cùng một phương pháp thí nghiệm.
1.6. Các phương pháp xác định sức chống cắt cần phải được quy định trong từng trường hợp cụ thể, phụ thuộc vào :
– Giai đoạn thiết kế và loại công trình;
– Điều kiện làm việc của đất trong quan hệ với công trình;
– Thành phần, đặc điểm cấu trúc, trạng thái và tính chất của đất.
1.7. Tùy theo tương quan giữa tốc độ truyền lực nén và lực cắt, cùng điều kiện thoát nước của mẫu đất khi thí nghiệm, có thể phân biệt các phương pháp (sơ đồ) chính sau đây để xác định sức chống cắt:
– Không nén trước (không thoát nước, không cố kết), đưa cắt nhanh -được gọi là cắt nhanh không cố kết;
– Nén trước đến ổn định (thoát nước, cố kết), rồi cắt chậm – được gọi là cắt chậm cố kết;
– Nén trước đến ổn định (thoát nước, cố kết), rồi cắt nhanh – được gọi là cắt nhanh cố kết.
1.8. Việc làm bão hòa mẫu đất thí nghiệm bằng nước và nén mẫu trước phải được tiến hành phù hợp với điều kiện làm việc của đất dưới công trình hoặc trong thân công trình.
Để làm bão hòa các mẫu đất bằng nước nhằm xác định W ở trạng thái bão hoà, nên dùng loại nước uống được. Đối với các mẫu đất có chứa muối dễ hòa tan (Na, Mg, K), thì làm bão hòa bằng nước dưới đất ở chỗ lấy mẫu, hoặc bằng loại nước có tính thành phần hóa học giống với nước dưới đất.
Thời gian làm bão hòa mẫu đất không ít hơn :
– 10 phút đối với đất cát;
– 6 giờ đối với cát pha và sét pha có chỉ số dẻo Ip không lớn hơn 12;
– 12 giờ đối với sét pha có Ip lớn hơn 12 và sét có Ip không lớn hơn 22 ,
– 24 giờ đối với sét có Ip từ 23 đến 35 ;
– 48 giờ đối với sét có Ip lớn hơn 35.
Việc nén trước các mẫu đất thông thường (có chỉ số sệt B < 0,75) có thể tiến hành ở máy nén riêng hoặc trực tiếp ở hộp máy cắt.
Khi nén trước mẫu, tăng lực nén lần lượt theo từng cấp tương ứng với áp lực thẳng đứng V. Giá trị mỗi cấp phụ thuộc vào trạng thái của đất.
Đối với đất loại sét có độ sệt B lớn hơn 1, các cấp lần lượt như sau :
0,3 x 105 ; 0,5 x 105 ; 0,75 x 105 N/m2 và 1,0 x 105N/m2, sau đó mỗi cấp là 0,5 x 105N/m2 (0,5 KG/cm2) Cho đến giá trị áp lực cuối cùng. Đối với đất loại sét cứng, nửa cứng và dẻo cứng (có độ sệt B nhỏ hơn 0,50) và đất cát thì tăng theo cấp 0,5 x 105N/m2 (0,5 KG/cm2) cho đến khi đạt 3,0 x 105 N/m2 (3KG/cm2); sau dó tiếp tục tăng mỗi cấp 1 x 105 N/m2 (1 KG/cm2) cho đến giá trị áp lực cuối cùng.
Mỗi cấp áp lực trung gian được giữ không ít hơn :
– 5 phút đối với đất cát;
– 30 phút đối với đất loại sét.
Cấp cuối cùng được giữ đến khi đạt tới ổn định quy ước về biến dạng. Biến dạng nén của mẫu đất đạt tới ổn định quy ước, nếu giá trị của nó không vượt quá 0,01mm sau một thời gian không ít hơn :
– 5 phút đối với đất cát;
– 3 giờ đối với cát pha;
– 12 giờ đối với sét pha và sét.
Chú thích :
1) Đối với sét pha có thể xem là đã đạt tới ổn định về biến dạng, nếu thời gian tác dụng áp lực lên mẫu không ít hơn 24 giờ. Đối với sét có chỉ số dẻo Ip lớn hơn 30 và sét mềm yếu thì phải kéo dài thời gian quy định (để biến dạng không vượt quá 0,01mm) trong 24 giờ.
2) Nếu mẫu đất được nén trước ở thiết bị riêng đến 6n định quy ước, thì khi dỡ mẫu chuyển sang hộp cắt để tiến hành cắt cũng phải nén lại theo từng cấp áp lực 0,5 x 105 N/m2 cho đến khi đạt giá trị 2,0 x 105 N/m2 (2 KG/cm2), sau đó tiếp tục tăng theo cấp 1 x 105 N/m2 (1KG/cm2) cho đến giá trị áp lực đã tác dụng ở thiết bị nén trước. Thời gian giữ mỗi cấp áp lực nén trung gian trên hộp cắt là:
– 2 phút đối với đất cát ;
– 5 phút đối với đất loại sét ;
– riêng cấp cuối được giữ trong thời gian :
– 5 phút đối với đất cát ,
– 30 phút đối với cát pha ;
– 1 giờ đối với sét pha và sét.
1.9. Phải quy định trước loại mẫu thí nghiệm (nguyên trạng hoặc chế bị ở độ chặt – độ ẩm yêu cầu), phương pháp (sơ đồ) cắt, giá trị các cấp áp lực nén V số lần thí nghiệm lặp (thử nghiệm song song), v.v.
Giá trị áp lực nén (thẳng đứng) nhỏ nhất phải bằng áp lực thiên nhiên; giá trị áp lực thẳng đứng lớn nhất phải lớn hơn tổng áp lực thiên nhiên và áp lực do công trình truyền thống.
Số lần thí nghiệm lặp cho giá trị V được quy định theo yêu cầu của nhiệm vụ khảo sát.
Chú thích :
1. Giá trị áp lực nén nhỏ nhất nên xuất phát từ độ bền kiến trúc của đất : lấy bằng trị số tải trọng bắt đầu gây ra biến dạng tức thời của mẫu thí nghiệm 0,01mm. Giá trị áp lực nén lớn nhất tác dụng lên mẫu đất đối với sơ đồ cắt nhanh không nén trước phải bảo quản không làm đất bị phá hoại kết cấu và ngoài qua khe hở giữa hai phần của hộp cắt. Giá trị này phụ thuộc vào trạng thái của đất; đối với đất yếu, thường chỉ từ 1 đến 2 KG/cm2; đối với đất dẻo cứng, nửa cứng : 2÷ 3 KG/cm2; đối với đất cứng: 3 ÷ 4 KG/cm2, có thể tới 6KG/cm2. Từ đó sẽ định ra giá trị các cấp giá trị các cấp trung gian tương ứng.
2. Để tiến hành thí nghịêm lặp, cho phép dùng các mẫu cắt ra từ các khối mẫu khác nhau lấy ở cùng một lớp đất. Đối với trường hợp có nén trước bởi một cấp áp lực nào đó, nếu như năng thiết bị cho phép, có thể dùng ngay mẫu đất vừa cắt xong để cắt thêm lần nữa theo mặt phẳng khác và làm kết qủa thí nghiệm cho trị áp lực nén đó.
1.10. Lực cắt có thể được truyền lên mẫu đất thành từng cấp hoặc tăng liên tục.
Khi cắt chậm, tăng lực cắt thành từng cấp; trị số mỗi cấp không vượt quá 5% áp lực nén tương ứng dùng khi cắt. Chỉ truyền cấp lực cắt sau lên mẫu, khi đã đạt đến ổn định quy ước về biến dạng cắt ∆L : không vượt quá 0,01mm/phút. Cũng có thể tăng liên tục lực cắt, với điều kiện : đảm bảo tốc độ cắt (thể hiện qua biến dạng ngang) không quá 0,01mm/phút.
Chú thích :
1. Đối với máy cắt ứng biến, để đảm bảo tốc độ cắt 0,01mm/phút thì trong 20 phút tay quay chỉ được quay 1 vòng. Muốn thế nên thay phương pháp quay tay băng môtơ có hộp điều chỉnh tốc độ để truyền đều đặn lực cắt cho máy.
2. Khi cắt nhanh, việc truyền lực cắt được thực hiện như sau: Đối với máy cắt ứng lực, cứ cách 15 y 20 giây tăng lực cắt một lần, sao cho quá trình cắt kết thúc trong khoảng từ 4 đến 5 phút; sau mỗi lần tăng lực cắt một lần. Lúc đầu tăng lực cắt mỗi lần bằng 7 ÷ 10 áp lực thẳng đứng ; khi biến dạng ngang do một cấp nào đó lớn gấp từ 1,5 đến 2 lần đo cấp trước , thì chỉ tăng từ 4 đến 6% áp lực thẳng đứng.
Đối với máy cắt ứng biến, cần xuay đều tay quay từ 8 đến 12 giây một vòng, nếu mẫu đất có đường kính từ 60 đến 80mm.
1.11. Để xác định sức chống cắt của đất, thường dùng các mẫu trụ tròn với đường kính không nhỏ hơn 64mm và chiều cao bằng từ 1/3 đến 1/2 đường kính.
Chú thích :
1. Đối với đất loại sét đồng nhất, cho phép dùng các mẫu có đường kính không nhỏ hơn 50mm.
3. Đối với đất có kết cấu phá hoại, cho phép dùng các mẫu có dạng khối chữ nhật với tỉ lệ giữa cạnh nhỏ và cạnh lớn là 1 : 1,5, tiết diện mẫu lớn hơn 40cm2 và chiều cao bằng 1/2cạnh nhỏ .
1.12. Việc đo biến dạng đứng (nén) và biến dạng ngang (cắt) của mẫu được tiến hành với độ chính xác đến 0,01mm ; các phép cân được tiến hành với độ chính xác đến 0,01g.
Các kết quả, xác định W cũng như việc tính toán tgM và C được biểu diễn với độ chính xác hai số lẻ thập phân ; M – với độ chính xác đến 10 (một độ).
2. Thiết bị thí nghiệm
2.1. Các máy cắt một mặt phẳng được chia làm hai loại theo cách tăng lực cắt:
Các máy loại A- lực cắt tác dụng trực tiếp, được tăng từng cấp (máy cắt ứng lực), để tăng tải có thể dùng trọng lượng nước hoặc bi chì.
Các máy loại B – lực cắt tác động gián tiếp, được tăng liên tục theo tốc độ cho trước (máy cắt ứng biến).
Chú thích : Đối với các máy loại B, có thể cơ khí hoá việc truyền lực cắt nhờ hệ thống quay bằng điện có hộp điều chỉnh tốc độ, hoặc các hệ thống cơ học khác. Để cắt đất yếu, các máy phải có hệ thống truyền lực thẳng đứng trực tiếp từ cấp áp lực 1 x 104 N/m2 (0,1KG/cm2) hoặc các vòng ứng biến đo được biến dạng ngang ở ứng suất cắt 5 x 102 N/m2 (0,005 KG/cm2)
2.2. Hộp cắt phải bao gồm phần không di động ở phía trên và phần di động ở dưới. Đối với đất loại sét, cho phép dùng loại máy có phần trượt di động ở phía trên và phần không di động ở phía dưới.
Cấu tạo của hộp cắt cần phải bảo đảm :
Lực cắt Q tác dụng đúng trên mặt phẳng và đúng trên trục đối xứng của hộp đựng mẫu đất;
Có thể thêm hoặc bớt nước ở hộp cắt, cũng như giữ được độ ẩm của mẫu trong quá trình thí nghiệm (ở điều kiện tự nhiên hoặc cho trước);
Có khả năng hiệu chỉnh, xác định lực ma sát giữa phần không di động và phần di động của hộp cắt theo các trị ứng suất pháp.
2.3. Hộp cắt phải được lắp trên đế loại trừ các tác dụng động bên ngoài, lắp được đồng hồ đo biến dạng đứng và biến dạng ngang. Khi dùng mô tơ điện và hộp số, phải lắp chúng riêng trên một đế vững. Khi nén trước mẫu đất trực tiếp ở hộp cắt trong điều kiện bão hoà nước, phải dùng vít hãm để giữ khỏi trương nở.
2.4. Dao vòng cắt, nén của máy ứng lực nên gồm hai phần có thể lắp cứng lại được với nhau khi chuẩn bị và nén trước mẫu.
Với những mẫu đất không tự giữ được hình dạng, phải lắp thêm vào dao vòng một đáy cứng có nhiều lỗ rỗng nhỏ.
2.5. Tấm nén truyền lực thẳng đứng lên mẫu cần bảo đảm cho được thêm nước vào mẫu hoặc thoát nước từ mẫu ra dễ dàng.
2.6. Máy dùng để nén trước cần có thiết bị cánh tay đòn, đảm bảo để lực được đặt ở chính tâm của mẫu trong hộp nén. Máy phải có các bộ phận để nén mẫu bão hoà nước (trong trạng thái ngập nước) và nén ở độ ẩm tự nhiên hoặc độ ẩm cho trước, cũng như đo được biến dạng nén của mẫu. Cụ thể, máy nén cần phải có.
Hộp để làm bão hòa nước cho mẫu đất và vít hãm để loại trừ khả năng trương nở của đất trong quá trình làm ướt mẫu.
Thiết bị bảo đảm giữ độ ẩm tự nhiên hoặc độ ẩm cho trước trong qua trình nén
Đồng hồ đo biến dạng nén của mẫu đất.
2.7. Phần hộp cắt, hộp nén và các bộ phận khác tiếp xúc với nước phải làm bằng vật liệu không gỉ.
2.8. Đồng hồ đo biến dạng đứng và biến dạng ngang của mẫu đất phải được lắp trên đế cứng, có hồ sơ hiệu chỉnh, bảo đảm độ chính xác đến 0,01mm.
2.9. Vòng đo lực ngang trong máy cắt ứng biến phải có độ biến dạng đàn hồi tốt dưới tác dụng của áp lực lớn hơn 2 x 103N/m2 (0,02KG/cm2) và nhỏ hơn 6 x 105 N/m2(6 KG/cm2).
Chú thích: Khi cắt đất yếu, phải dùng vòng đo ứng biến co độ biến dạng đàn hồi tốt trong khoảng áp lực từ 5 x 102 đến 3 x 10 5N/m2 (0,005 đến 3 KG/cm2)
2.10. Quả cân dùng để tăng lực thẳng đứng phải có các cấp 0,1 x 105 ; 0,25 x 105 ; 0,5 x 105 N/m2 (0,1 ; 0,25 ; 0,50 và 10 KG/cm2)
Để tăng lực cắt trong các máy loại A (điều 2.1, cần phải có nhiều quả cân 50g, 100g và 200g.
2.11. Các máy cắt, máy nén cần được đặt trong phòng có nền vững chắc, không bị rung động và cách xa các thiết bị nhiệt.
2.12. Trước khi làm việc, các máy cắt phải được kiểm tra và hiệu chỉnh. Việc hiệu chỉnh máy cắt tiến hành theo hướng dẫn ở phụ lục của tiêu chuẩn này.
Mỗi năm, ít nhất phải hai lần hiệu chỉnh vòng ứng biến và hiệu chỉnh máy cắt để xác định trị số lực ma sát ứng với các cấp áp lực khác nhau.
Chú thích : Truớc khi thí nghiệm, máy cắt ứng lực phải được kiểm tra: mức nằm ngang của máy mức nằm ngang của dây cáp, điểm truyền lực ngang và mặt cắt; độ thăng bằng và độ nhạy của các cánh tay đòn truyền lực đứng và lực ngang.
3. Chuẩn bị mẫu thí nghiệm.
3.1. Để xác định sức chống cắt (r), phải chuẩn bị một số mẫu (về số lượng mẫu thí nghiệm, xem Điều l.5 của tiêu chuẩn này), lắp sẵn và tạo khe hở giữa hai phần hộp cắt. Độ lớn của khe hở không quá lmm.
Các mẫu thí nghiệm có kết cấu nguyên và độ ẩm tự nhiên được chuẩn bị bằng cách cắt từ mẫu đất nguyên trạng ra từng khối và lấy vào các dao vòng cắt theo phương pháp xác định khối lượng thể tích bằng dao vòng. Đồng thời với việc cắt mẫu đất, cần lấy đất để xác định độ ẩm.
Mặt dưới và trên của mẫu đất phải được gạt phẳng, ngang mép dao vòng và đặt giấy thấm đã làm ẩm trước. Để cắt nhanh không thoát nước, phải thay giấy thấm bằng giấy can (hoặc nilông mỏng).
Với mẫu cắt (không giữ được hình dạng), thì chuẩn bị bằng cách đổ cát ở trạng thái khô gió vào dao vòng lắp trong hộp cắt có đáy cứng với nhiều lỗ rỗng nhỏ (điều 2.4)
Phải đổ cát như thế nào để dao vòng được đầy hoàn toàn theo đúng yêu cầu độ chặt. Khối lượng (m) của cát đổ vào, tính bằng gam, được xác định theo công thức (4).
m = γk.v (4)
Trong đó :
yk -khối lượng thể tích khô, tính bằng gam trên centimét khối;
v – thể tích trong của dao vòng hộp cắt, tính bằng centimét khối.
Các mẫu đất loại sét có kết cấu phá hoại và độ chặt, độ ẩm cho trước được chuẩn bị như sau:
Đổ mẫu đất vào một cái đĩa đã biết trước khối lượng (đĩa bằng sứ hoặc kim loại), thể tích đất lấy bằng hai lần thể tích dao vòng hộp cắt, nghiền đất bằng chày bọc cao su để làm vụn các hòn lớn hơn 8mm và xác định độ ẩm W0. Cân đĩa có chứa đất, rồi trừ đi khối lượng đĩa, sẽ xác định được khối lượng đất (m0) tính bằng gam;
Khối lượng đất m1, tính bằng gam, ứng với độ ẩm cho trước Wl được tính toán từ m0 và W0, theo công thức (5) :
![]()
Trong đó :
W0– độ ẩm của đất lúc lấy mẫu, tính bằng phần trăm;
W1 – độ ẩm cho trước cần phải chế bị, tính bằng phần trăm
Nếu độ ẩm của đất W0 nhỏ hơn độ ẩm cho trước Wl thì cần thêm nước ; nếu lớn hơn thì hong khô đất trong không khí cho đến khi khối lượng của nó bằng m1. Khối lượng của nước cần thêm vào hoặc bớt đi được xác định bằng lượng sai khác giữa m0 và m1.
Sau mỗi lần thêm nước, phải trộn đất lại cẩn thận, lúc hong khô cũng thường xuyên đào đất bằng que.
Tiến hành chế bị mẫu (tạo mẫu) bằng cách lấy một khối lượng đất đã chuẩn bị như trên cho vào dao vòng hộp cắt. Khối lượng đất m cần đầ đổ đầy vào dao vòng hộp cắt ứng với độ chặt e và độ ẩm cho trước W1 được tính theo công thức (6):
![]()
Trong đó :
V- thể tích trong của dao vòng hộp cắt, tính bằng centimét khối;
W1– độ ẩm cho trước, tính bằng phần trăm;
e – hệ số rỗng ứng với độ chặt cho trước;
r – khối lượng riêng của đất, tính bằng gam trên centimét khối.
Chú thích :
1. Mẫu đất cát hoặc đất loại sét có kết cấu phá hoại trong dao vòng hộp cắt phải được chế bị thành từng lớp rồi đầm chặt. Khi cần, phải dùng kích để ép. Khi đã đầy, mặt đất trong dao vòng cần phải được gạt bằng và phủ một tờ giấy thấm đã làm ẩm trước.
2. Cho phép chế bị đồng thời một số lớp thuộc mẫu đất loại sét có cùng độ chặt và độ ẩm, trong bình có dung tích bằng thể tích tất cả các mẫu thí nghiệm.
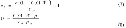
3.2. Đối với mỗi mẫu đất chế bị, cần tính hệ số rỗng e0 và độ bão hòa nước G của nó theo công thức (7) và (8) :

Trong đó :
W- độ ẩm của đất, tính bằng phần trăm ;
r – khối lượng riêng của đất, tính bằng gam trên centimét khối
rn – khối lượng riêng của nước, lấy bằng 1 gam trên centimét khối;
λw – khối lượng thể tích của đất trong dao vòng, tính bằng gam trên centimét khối.
3.3. Nếu cần thí nghiệm theo sơ đồ nén trước thì đem mẫu đất đã chuẩn bị trong dao vòng cắt, đặt vào hộp máy nén hoặc hộp máy cắt, lắp tấm nén, đồng hồ đo biến dạng nén, đánh số và truyền áp lực thẳng đứng V lên mẫu, theo chỉ dẫn ở Điều 1.8 của tiêu chuẩn này.
Khi xác định sức chống cắt của các mẫu đất loại sét trong điều kiện bão hòa nước, phải tiến hành làm ướt mẫu thí nghiệm theo chỉ dẫn ở Điều l.8 của tiêu chuẩn này. Trong trường hợp đó phải khống chế chiều cao của mẫu bằng vít và đổ dần nước vào hộp máy nén hoặc hộp máy cắt cho đến mặt trên của mẫu, nhưng không được đổ nước tràn ngập lên mặt mẫu trong nửa thời gian đầu làm bão hòa.
Sự cần thiết dùng vít hãm đối với đất trương nở cũng như tăng áp lực nén trước đối với các loại đất trong thời gian bão hòa cần được xem xét và quy định trước.
Sau khi đã đạt ổn định về biến dạng nén dưới áp lực thẳng đứng, tiến hành tính hệ số rỗng en của mẫu theo công thức (9) :
en = e0 – ∆e (1 + e0) (9)
Trong đó :
e0 – hệ số rỗng của mẫu đất trước khi truyền áp lực ;
∆e = h/h0 – biến dạng nén tương đối của mẫu sau khi nén dưới áp lực σ, bằng tỉ số giữa biến dạng nén của mẫu ∆h (mm) và chiều cao ban đầu h0 (mm) của mẫu.
Chú thích :
1. Khi cắt theo sơ đồ không nén trước, trong điều kiện không bão hòa nước thì không theo các quy định ở Điều 3.3 mà tiến hành thí nghiệm cắt ngay.
2. Mẫu cắt rời được chế bị trực tiếp trong hộp cắt, còn mẫu đất dính được ấn từ dao vòng sang hộp cắt.
4. Tiến hành thí nghiệm.
4.1. Nếu nén mẫu đất trên máy riêng trước khi xác định sức chống cắt W dưới áp lực thẳng đứng V, thì cần dỡ tải nhanh chóng, chuyển mẫu vào hộp cắt, tăng tải trở lại cho bằng áp lực nén trước V, theo chú thích ở Điều 1.8 của tiêu chuẩn này.
Chú thích : Nếu mẫu đất được nén trước ở trạng thái ngập nước, thì truớc khi dỡ tải, phải hút hết nước ra khỏi hộp nén và sau khi dỡ tảỉ phải nới vít hãm mẫu. Chỉ cho nước vào hộp cắt sau khi đã truyền lên mẫu cấp áp lực nén nhỏ nhất khi cắt.
Nếu mẫu đất được nén trực tiếp trong hộp cắt, thì tiến hành cắt ngay sau khi ổn định biến dạng nén.
4.2. Sau khi truyền lên mẫu thí nghiệm áp lực nén cho trước, rút chốt giữ hộp cắt và tạo khe hở giữa hai thớt trên và dưới. Chiều rộng khe hở vào khoảng 0,5 đến 1mm.
Lắp đồng hồ đo biến dạng ngang và điều chỉnh cho kim của nó về vị trí ban đầu (hoặc số 0).
4.3. Tác dụng ứng suất cắt
(N/m2 hoặc KG/cm2) lên mẫu theo Điều 1.10 của tiêu chuẩn này. Sau 2 phút, tiến hành theo dõi số đọc ở đồng hồ đo biến dạng cắt cho đến khi ổn định.
Dựa vào trị số biển dạng ∆L đã đạt ổn định quy ước, vẽ biểu đồ quan hệ ∆L = f (
) sau khi đã hiệu chỉnh W cho giá trị ma sát ở máy.
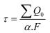
Chú thích : Giá trị mỗi cấp lực cắt Q0 được tính bằng N hay (KG) theo công thức (10);
Q0 = 0,05σ.F.α (10)
Trong đó :
F- tiết diện ngang của vòng dao cắt, tính bằng centimét vuông ;
α – tỉ số cánh tay đòn quay của thiết bị cắt (ví dụ đối với máy cắt ứng lực ГГ∏ – 30, α = 1 : 10) ;
σ – áp lực thang đứng tác dụng lên mẫu khi cắt, tính bằng Niutơn trên mét vuông (KG/cm2) ;
0,05 – hệ số, được quy định ở Điều l.l0 của tiêu chuẩn này.
Nếu
truyền lên mẫu một cách liên tục, thì phải tiến hành ghi biến động biến dạng cắt.
Chú thích : Nếu máy cắt không có bộ phận tự ghi, thì người thí nghiệm phải ghi biến dạng từng phút cho đến khi màu đất bị cắt, tức là khi kim đồng hồ đo biến dạng chạy lùi hoặc dừng lại (đối với máy cắt ứng biên) và khi biến dạng không ngừng tăng nhanh hoặc đạt tới 5mm đối với máy cắt ứng lực).
4.4. Tính toán và vẽ biểu dồ :
Lập biểu đồ liên hệ giữa biến dạng cắt và ứng suất cắt cho mỗi trị áp lực thẳng đứng σ.
Đối với máy cắt ứng lực, trị số ứng suất cắt W được tính bằng Niutơn trên mét vuông hay (KG/cm2) theo công thức (11) :
![]()
Trong đó :
∑Q0 – tổng lực cắt truyền lên mẫu đắt, tính bằng Niutơn ;
F- diện tích mẫu đất, tính bằng centimét vuông ;
α- tỉ số cánh tay đòn truyền lực cắt.
Đối với máy cắt ứng biến, trị số ứng suất cắt W được tính bằng Niutơn trên mét vuông hay (KG/cm2) theo công thức (12) :
= C.R (12)
Trong đó :
C – hệ số hiệu chỉnh, thực chất là hằng số đàn hồi, của vòng ứng biến, cũng là hệ số chuyển từ biến dạng 0,01mm hoặc 0,001mm sang đơn vị lực Niutơn trên mét vuông hay (KG/cm2) ;
R – số đọc của đồng hồ đo biến dạng trên vòng do lực ngang (biến dạng của vòng đo ứng biến).
4.5. Sức chống cắt
của mẫu đất được lấy bằng trị số cực đại W trên biểu đồ ∆L = f (
) , hoặc trên đồ thị ứng với ∆L không vượt quá 5mm. Nếu W tăng đều thì lấy giá trị ứng với ∆L = 5mm.
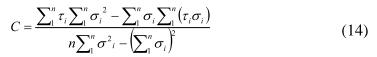
4.6. Các thông số tgj và C của đất tính theo các công thức (13) và (14) :

Trong đó :

n -số lần xác định W ;
j – giá trị góc ma sát trong (tìm bằng cách tra bảng khi đã tính được tgM), tính bằng độ ;
i, σi – lần lượt là giá trị riêng biệt của sức chống cắt và áp lực thẳng đứng ;
C – lực dính của đất, tính bằng Niutơn trên mét vuông hay (KG/cm2).
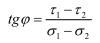
Chú thích:
1. Trường hợp số mẫu thí nghiệm ít và càc điểm biểu diễn kết quả thí nghiệm nằm gần trên một đường thẳng thì cho phép xác định các thông số sức chống cắt bằng càch lập biểu đồ liên hệ giữa
và σ. Muốn thế, trên trục hoành đặt các trị số của áp lực thẳng đứng σ (N/m2) và trên trục tung đặt các trị số tương ứng của ứng suất cắt
(N/m2). Qua các điểm vạch một đường thẳng cắt truc hoành ở một điểm. Điểm đó biểu diễn lực dính C(N/m2), còn hệ số ma sát trong tgM xác định theo công thức (15)
![]()
Trong đó :
1;
2 – ứng suất cắt lấy trên đường thẳng đứng, tương ứng với áp lực thẳng đứng σ1 và σ2
2. Trường hợp những điểm biểu diễn kết quả thí nghiệm bị phân tán quá 2% do sai số trong thao tác hoặc chênh lệch về độ ẩm và độ chặt, thì phải ghi chú nguyên nhân và không vạch đường biểu diễn qua chúng.
4.7. Các kết quả tính toán j và C phải ghi kèm theo phương pháp và sơ đồ thí nghiệm, mô tả và phân loại đất, trạng thái của đát thí nghiệm (phá hoại hay không phá hoại kết cấu) và điều kiện xác định
(trong điều kiện bão hòa nước có dùng hoặc không dùng vít hãm đối với đất trương nở, giữ độ ẩm tự nhiên hoặc độ ẩm cho trước); trị số σ tác dụng lúc xác định W và các đặc trưng vật lí e, G, W trước và sau khi cắt (hoặc nén trước).
Phụ lục A
Hiệu chỉnh máy cắt phẳng
A.1. Hiệu chỉnh máy cắt ứng biến
A.1.1. Tháo bàn máy ra và treo ngược bàn máy với vòng đo lực ngang theo hướng thẳng đứng
A.1.2. Đặt khung truyền lực lên hòn bị truyền lực đặt ở đầu nút đường kính của vòng đo lực ngang và mắc đồng hồ đo biến dạng vào giá.
A.1.3. Điều chỉnh kim đồng hồ đo biến dạng về số “0” và đặt lực lên giá của khung truyên lực (khi tăng phải kể đến khối lượng khung), ghi số đọc ở đồng hồ đo biến dạng .
A.1.4. Tăng lực theo từng cấp 50, 100, 150, 200, 250, 300 …đến 1200N (120 kG) và đợi kim đồng hồ đo biến dạng ổn định rồi mới đọc.
A.1.5. Dỡ tải trọng theo các cấp nói trên (1200, 1150, 1100,… 150, 100, 50 N) và ghi số đọc để kiểm tra độ đàn hồi của vòng đo lực ngang.
A.1.6. Làm lại các Điều 14 và 1.5 ít nhất ba lần và lấy số đọc trung bình của các lấn tăng lực làm giá trị để tính toấn,
A.1.7. Hệ số C (hằng số đàn hồi) của vòng đo lực ngang (vòng ứng biến) được tính theo công thức (1) :

N/m2 hay (KG/cm2)/0,01mm (0,001cm)
Trong đó :
P- giá trị các cấp tải trọng truyên lên vòng đo lực, tính bằng Niutơn hay (KG);
R- trị trung bình của các số đọc (biến dạng của vòng đo lực ngang) ứng với cấp tải trọng P, tính bằng 0,0lmm (hoặc 0,00lcm) ;
F – diện tích mặt cắt của dao vòng cắt, tính bàng centimet vuông
Chú thích : Có thể tính hệ số C trên biểu đồ quan hệ đường thẳng giữa số đọc trung bình R và tải trọng P trong trường hợp này :
, tính bằng N/m2, hay (KG/cm2)/0,01mm (0,001cm).
A.2. Hiệu chỉnh máy cắt ứng lực
A.2.1. Kiểm tra độ nhạy và sự thẳng bằng của các tay đòn truyên lực ngang và lực thẳng đứng bằng cách đặt lực d 50g vào giá treo ; lúc ấy nó phải rời khỏi vị trí thăng bằng.
A.2.2. Để kiểm tra sự trùng nhau giữa phương truyền lực của tay đòn truyền lực ngang với mặt đất, cần vặn các vít lắp chặt hai thớt trên và dưới của hộp cắt lại với nhau, dùng nivô kiểm tra độ nằm ngang của chúng. Nếu chưa đạt phải điều chỉnh lại.
Bảng đỗi chiếu các đơn vị đo
|
Tên chỉ tiêu cơ lí |
Kí hiệu |
Đơn vị đo hiện dùng |
||
|
Trong tiêu chuẩn này |
ở liên Xô trước đây |
Quốc tế |
||
|
Khối lượng riêng của đất Khối lượng riêng của nước Khối lượng thể tích của đất Khối lượng thể tích cốt đất Độ chặt lớn nhất Độ ẩm Độ hút ẩm Giới hạn chảy Giới hạn dẻo Chỉ số dẻo Chỉ số độ sệt Độ rỗng Hệ số rỗng Hệ số không đồng nhất Mức độ bão hoà Hệ số nén lùn Modun tổng biến dạng Hệ số cố kết Mức độ cố kết Hệ số nở hông Hệ số áp lực hông Sức chống cắt Góc ma sát trong Lực dính Hệ số thấm |
r rn γw γc γcmax W Wh WL WP IP B n e Kk G a E0 Cv U µ
j C k |
γ(γM) γp γ γck γcmax W W WT WP In B n e KH G a(m0 ) E0 Cv U µ
j C KФ |
rs γw r rd rdmax w – WL WP IP IL n e Cu Sr a E Cv U µ K
Ф C k |
g/cm3 g/cm3 g/cm3 g/cm3 % % % % % 1 % 1 1 % cm2/KG KG/cm2 cm2/s cm2/năm % 1 1 KG/cm2 Độ KG/cm2 CM/s cm/ng.đ |


