Nội dung toàn văn Tiêu chuẩn Việt Nam TCVN 4315:1986 về xỉ hạt lò cao dùng để sản xuất xi măng
TIÊU CHUẨN VIỆT NAM
TCVN 4315 : 1986
XỈ HẠT LÒ CAO DÙNG ĐỂ SẢN XUẤT XI MĂNG
Blast furnace granulated slag for cement production
Tiêu chuẩn này áp dụng cho xỉ hạt lò cao là loại xỉ thu được khi luyện gang và được làm lạnh nhanh tạo thành dạng hạt nhỏ. Loại xỉ này được làm phụ gia cho xi măng Poóc lăng xỉ hạt lò cao và xi măng Poóc lăng.
1. Yêu cầu kĩ thuật
1.1. Căn cứ vào hệ số chất lượng và thành phần hoá học, xỉ hạt lò cao được phân ra làm hai hạng phù hợp với bảng sau:
|
Tên chỉ tiêu |
Hạng |
|
|
1 |
2 |
|
|
1. Hệ số chất lượng không nhỏ hơn 2. Hàm lượng nhôm ôxýt (Al2O3), tính bằng %, không nhỏ hơn 3. Hàm lượng magiê ôxýt (MgO), tính bằng %, không lớn hơn 4. Hàm lượng titan diôxýt (TiO2), tính bằng %, không lớn hơn 5. Hàm lượng mangan diôxýt (MnO), tính bằng %, không lớn hơn |
1,7 9,0 10,0 3,0 2,0 |
1,4 7,0 12,0 3,0 4,0 |
Chú thích:
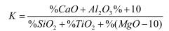
1. Hệ số chất lượng được tính theo công thức:
![]()
2. Khi hàm lượng magiê ôxýt trong xỉ hạt lò cao lớn hơn 10% thì hệ số chất lượng được tính theo công thức:
![]()
1.2. Độ ẩm của xỉ hạt lò cao được quy định theo sự thoả thuận giữa bên cung cấp và bên tiêu thụ
1.3. Lượng xỉ ở dạng cục trong một lò không lớn hơn 5% tính theo khối lượng. Kích thước dạng cục đó không được lớn hơn 100 mm.
1.4. Xỉ hạt lò cao không được phép lẫn đá, sỏi, than, đặc biệt là hợp kim sắt.
2. Phương pháp thử
2.1. Lấy mẫu thử
2.1.1. Mẫu xỉ hạt lò cao được lấy theo lô, khối lượng tính môI lô là 400t. Nếu lượng xỉ nhỏ hơn 400t vẫn được coi là một lô đủ.
2.1.2. Mỗi lô xỉ phải lấy không ít hơn 10 vị trí khác nhau sao cho mẫu đại diện cho cả lô xỉ, mỗi vị trí lấy khoảng 2kg. Trộn đều các mẫu đó lại, dùng phương pháp chia tư lấy mẫu trung bình là 10kg. Mẫu này được chia làm 2 phần bằng nhau: một phần dùng để thí nghiệm kiểm tra các chỉ tiêu theo yêu càu của tiêu chuẩn này. Phần còn lại giữ làm mẫu lưu. Thời gian lưu mẫu là một tháng.
2.2. Độ ẩm và thành phần hoá học của xỉ hạt lò cao được xác định theo TCVN 141:1986.
2.3. Xác định lượng xỉ ở dạng cục.
Dùng kĩ thuật cân 1kg xỉ hạt đã được lấy theo mục 2.1. Sàng toàn bộ lượng xỉ này qua sàng có kích thước lỗ 100 mm (bộ sàng phân loại cốt liệu bê tông) cho đến khi lượng xỉ lọt qua sàng không lớn hơn 1 gam trong 1 phút. Cân khối lượng phần còn lại trên sàng.
Lượng xỉ ở dạng cục (m), được tính bằng % khối lượng, theo công thức:
![]()
Trong đó:
m1: lượng xỉ còn lại trên sàng, tính bằng g;
mo: lượng xỉ ban đầu , tính bằng g. Kết quả là trung bình cộng của 2 lần thử.
3. Bảo quản và vận chuyển
3.1. Xỉ hạt lò cao được bảo quản và vận chuyển riêng theo từng loại.
3.2. Mỗi lô xỉ phải có giấy chứng nhận kèm theo, trong đó ghi rõ: Tên và địa chỉ cơ sở sản xuất;
Số liệu lô;
Loại xỉ;
Khối lượng xuất;
Thành phần hóa học;
Số hiệu tiêu chuẩn này.
3.3. Xỉ hạt lò cao được vận chuyển rời hoặc đổ đống.


