Nội dung toàn văn Tiêu chuẩn Việt Nam TCVN 4348:1986 về đất sét để sản xuất gạch, ngói nung – phương pháp xác định hàm lượng nhôm oxyt
TIÊU CHUẨN VIỆT NAM
TCVN 4348 : 1986
ĐẤT SÉT ĐỂ SẢN XUẤT GẠCH NGÓI NUNG – PHƯƠNG PHÁP XÁC ĐỊNH HÀM LƯỢNG NHÔM OXYT
Clay for production of burnt tiles and bricks – Method for determination aluminium oxide content
1. Quy định chung
Theo TCVN 4S46: 1986.
2. Phương pháp thử
2.1. Nguyên tắc
Tách nhôm khỏi các thành phần khác bằng kiềm mạnh, tạo Complexonat nhôm với ETDA dĐ, giải phóng EDTA khỏi Complexonat nhôm bằng natri clorua, chuẩn độ lượng EDTA được giải phóng bằng dung dịch kẽm axetat tiêu chuẩn theo chỉ thị xylenol da cam ở độ pH5.
2.2. Hoá chất và chuẩn bị dung dịch thử
Axit clohyđric theo TCVN 2298: 1978 và pha loãng (1 + 1);
Dung dịch natri hyđroxyt 30% và 10%
Dung dịch natri florua 3%;
Hỗn hợp chỉ thị xylenol da cam 1% nghiền nhỏ và trộn đều 0,lg thuốc thử với 10g kali clorua;
Dung dịch đệm pH khoảng 5: hoà 100ml amonihyđrôxy 25% vào 200ml nước; thêm tiếp vào dung dịch 1000ml axit axetic đậm đặc rồi thêm nước thành 1000ml trộn đều;
Dung dịch EDTA 0,025M;
Dung dịch EDTA l%;
Dung dịch kêm axeta 0,025M ; hoà tan 5,65 gam kẽm axetat vào 100ml nước đã có sẵn 2ml axit axetic đặc, chuyền dung dịch vào bình định mức 1000ml định mức, lắc đều.
2.3. Xác định hệ số chuyển (K) của dung dịch kêm axetat 0,025M pha được theo dung dịch chuẩn EDTA 0,025M.
Lấy từ 10 – 25ml dung dịch chuẩn EDTA 0,025M vào cốc thuỷ tinh dung tích khoảng 250ml thêm vào cốc 15ml dung dịch đệm pH 5 và nước cắt đến khoảng 100ml thêm tiếp vào cốc một ít hỗn hợp chỉ thị xylenol da cam l%. Dùng dung dịch kẽm axetat pha được chuẩn độ dung dịch trong cốc đến khi mầu dung dịch chuyển từ vàng sang hồng.
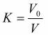
Hệ số chuyển (K) được nhĐ theo công thức:

Trong đó:
V0 – Thể tích dung dịch chuẩn EDTA 0,025M lấy đem chuẩn độ, tính bằng ml;
V – Thể tích dung dịch kẽm axetat tiêu thụ hi chuẩn độ, tính bằng ml.
Cho phép dùng dung dịch kẽm nitrat hoặc kẽm Clorua thay cho dung dịch kẽm axetat.
2.4. Tiến hành thử
Lấy 50 ml dung dìch A (mục 2.4.2 TCVN 4347: 1986) vào cốc thuỷ tinh, thêm vào cốc 25ml dung dịch natri hyđroxyt 30% và đun sôi 2 – 3 phút. Để nguội dung dịch, chuyển vào bình định mức 250ml, định mức lắc đều. Lọc dung dịch qua giấy lọc khô phần khô cho vào một bình nón khô (bỏ phần dung dịch lọc đầu). Lấy 100ml dung dịch lọc trong bình nón vào cốc thuỷ tinh, thêm vào cốc 15ml dung dịch EDTA 1% và một ít chỉ thị xylenol da cam, dùng dung dịch axit clohyđric (1 +1) và natri hyđroxyt 10% điều chỉnh dung dịch đến xuất hiện màu vàng. Thêm vào cốc 15ml dung dịch đệm pH5 và đun sôi 1 – 2 phút, để nguội dung dịch và dùng dung dịch thêm axetat 0,024M chuẩn độ đến xuất hiện màu hồng. Thêm vào cốc 15 – 20ml dung dịch natri florua 3% và đun sôi 2 – 3 phút khi nào dung dịch có màu vàng. Để nguội dung dịch, dùng dung dịch kẽm axetat 0,025M chuẩn độ lượng EDTA vừa được giải phóng khỏi phức với nhôm đến khi màu chuyển từ vàng sang hồng.
2.5. Tính kết quả
2.5.1. Hàm lượng nhôm oxyt (X2) tính bằng phần trăm, theo công thức:
![]()
Trong đó:
V – Thể tích dung dịch kẽm axetat 0,025M tiêu thụ khi chuẩn độ lượng EDTA được giải phóng khỏi phức, tính bằng ml;
K – Hệ số nồng độ giữa dung dịch EDTA 0,025M và dung dịch kẽm axetat 0,025M ;
0,0012745 – Khối lượng nhôm oxit tương ứng với 1ml dung dịch kẽm axetat 0,025M tính bằng g/ml ;
m – Lượng mẫu thử lấy để xác định hàm lượng nhôm oxyt tính bằng g.
2.5.2. Chênh lệch giữa hai kết quả xác định song song không lớn hơn 0,30% (tuyệt đối).


