Tiêu chuẩn Việt Nam TCVN4351:1986

  • Loại văn bản: Tiêu chuẩn Việt Nam
  • Số hiệu: TCVN4351:1986
  • Cơ quan ban hành: ***
  • Người ký: ***
  • Ngày ban hành: ...
  • Ngày hiệu lực: ...
  • Lĩnh vực: Xây dựng
  • Tình trạng: Không xác định
  • Ngày công báo: ...
  • Số công báo: Hết hiệu lực

Nội dung toàn văn Tiêu chuẩn Việt Nam TCVN 4351:1986 về đất sét để sản xuất gạch ngói nung – phương pháp xác định hàm lượng magie oxyt


TIÊU CHUẨN VIỆT NAM

TCVN 4351 : 1986

ĐẤT SÉT ĐỂ SẢN XUẤT GẠCH NGÓI NUNG – PHƯƠNG PHÁP XÁC ĐỊNH HÀM LƯỢNG MAGIÊ OXYT
Clay for production of burnt tiles and bricks – Methods for determination of magnesium oxide content

1. Quy định chung

Theo TCVN 4346: 1986.

2. Phương pháp thử

2.1. Nguyên tắc

Chuẩn độ lượng canxi và magiê trong mẫu bằng dung dịch chuẩn EDTA 0,01 M ở pH khoảng 10 theo chỉ thị eriôcrôm T đen (ETOO). Xác định hàm lượng magiê ôxyt theo hiệu số thể tích dung dịch EDTA 0,01 M tiêu thụ.

2.2. Hoá chất

Dung dịch kali xyanua 5%;

Dung dịch đệm pH = 10 hoà tan 54g amôn clorua vào 650ml nước, thêm tiếp 350ml amon hyđroxyt 25% khuấy đều ;

Hỗn hợp chỉ thị eriocrôm T đen (ETOO) l% nghiền mịn và trộn đều 0,1g eriocrôm T đen với 10g kali clorua. Bảo quản trong lọ thuỷ tinh màu ;

Dung dịch chuẩn EDTA 0,01M.

2.3. Tiến hành thử

Lấy 100ml dung dịch B (mục 2.3.l TCVN 4350: 1986) vào cốc, thêm tiếp 15ml dung dịch đệm pH 10,2ml dung dịch kali xyanua 5% và một ít chỉ thị eriocrôm T đen 1% khuấy đều. Chuẩn độ tổng lượng canxi và magiê trong dung dịch bằng dung dịch tiêu chuẩn EDTA 0,0lM, kết thúc chuẩn độ khi màu dung dịch chuyển từ đỏ (rượư nho) sang xanh nước biển.

2.4. Tính kết quả

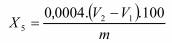
2.4.1. Hàm lượng magiê oxyt (X5) tính bằng phần trăm, theo công thức:

Trong đó:

V1 – Thể tích dung dịch tiêu chuẩn EDTA 0,0lM tiêu thụ khi chuẩn độ lượng canxi (mục 2.3.2 TCVN 4350: 1986), tính bằng ml;

V2– Thể tích dung dịch tiêu chuẩn EDTA 0,01M tiêu thụ khi chuẩn độ tổng lượng canxi và magiê, tính bằng ml;

0,0004 – Khối lượng magiê oxyt tương ứng với 1 ml dung dịch EDTA 0,01M tính bằng g/ml.

m- Lượng mẫu thử lấy để xác định hàm lượng magiê oxyt, tính bằng g.

2.4.2. Chênh lệch giữa hai kết quả xác định song song không lớn hơn 0,01% (tuyệt đối) .

Leave a Reply

Your email address will not be published. Required fields are marked *