Nội dung toàn văn Tiêu chuẩn Việt Nam TCVN 4448:1987 về hướng dẫn lập quy hoạch xây dựng thị trấn huyện lị
TIÊU CHUẨN VIỆT NAM
TCVN 4448 : 1987
HƯỚNG DẪN LẬP QUY HOẠCH XÂY DỰNG THỊ TRẤN HUYỆN LỊ
Guidance for making provincial district building plans
1. Quy định chung
1.1. Hướng dẫn lập quy hoạch xây dựng thị trấn huyện lị nhằm thống nhất cách lập đồ án quy hoạch xây dựng thị trấn huyện lị, hướng dẫn thiết kế, đáp ứng các hiệu quả nhu cầu xây dựng và quản lí xây dựng ở cấp huyện trên phạm vi cả nước.
Hướng dẫn lập quy hoạch xây dựng thị trấn huyện lị áp dụng cho lập quy hoạch xây dựng:
Thị trấn huyện lị (trung tâm của toàn huyện ); Thị trấn vùng ( trung tâm của khu vực huyện );
Thị trấn nông trường (trung tâm nông trường thuộc huyện );
Thị trấn du lịch hoặc thị trấn có tính chất đặc biệt khác (nếu có) thuộc nhu cầu phát triển của cấp huyện.
Chú thích:
1) Các điểm dân cư được hình thành do tỉnh hoặc Trung ương đầu tư cho công nghiệp địa phương ở cấp đô thị hay thị trấn, nếu không liên quan tới đặc điểm cấp huyện, thị xã thì được nghiên cứu lập đồ án theo quy trình, tiêu chuẩn thiết kế đô thị.
2) Các điểm dân cư nông thôn (thôn, xóm,ấp) tồn tại trong hệ thống dân cư trên địa bàn huyện được nghiên cứu lập đồ án theo tiêu chuẩn thiết kế quy hoạch xây dựng hợp tác xã.
1.2. Hướng dẫn này không đi sâu hướng dẫn đầy đủ nội dung, trình tự phương pháp lập đồ án; không đi sâu việc hướng dẫn xác định vị trí, tính chất, quy mô và hạng mục công trình cụ thể được đầu tư tại thị trấn huyện lị.
1.3. Hướng dẫn này áp dụng để chỉ đạo quản lí việc thực hiện xây dựng theo quy hoạch của từng vùng, từng điểm cụ thể, trước hết là địa điểm cấp đất xây dựng, lập luận chứng kinh tế kĩ thuật, xây dựng công trình theo năm kế hoạch xây dựng.
Tính chất và chức năng huyện lị:
1.4. Huyện lị là trung tâm của toàn huyện có chức năng sau đây:
– Trung tâm hành chính, chính trị: là đầu mối tập trung chỉ đạo thống nhất và toàn diện mọi hoạt động trong huyện;
– Trung tâm kinh tế –kĩ thuật: là nơi tập trung các cơ sở công nghiệp,tiểu thủ công nghiệp, các cơ sở công nghiệp phục vụ sản xuất, cơ sở thương nghiệp trức tiếp chỉ đạo trực tiếp kinh doanh và lưu thông phân phối hàng hoá ;
– Trung tâm văn hoá -xã hội: là nơi tập trung các cơ sở văn hoá đào tạ, giáo dục y tế, thông tin, khoa học trong huyện;
– Trung tâm dịch vụ công cộng: là nơi tập trung các cơ sở cấp huyện phục vụ nhu cầu sinh hoạt văn hoá và đời sống của nhân dân trong huyện.
Huyện còn kiêm chức năng của một cụm kinh tế –kĩ thuật và phục vụ công cộng trực tiếp cho một khu vực (còn gọi là tiểu vùng) trong huyện.
1.5. Quy mô thị trấn huyện lị được phân loại để lập quy hoạch theo bảng 1.
Bảng 1
|
Dân số |
Loại thị trấn huyện lị |
Ghi chú |
|
Từ 15.000 đến 25.000 dân |
I |
Là huyện lị kế thừa cơ sở thị trấn có quy mô đang được tếp tục củng cố và phát triển là đô thị trong tương lai. |
|
Từ 5000 đến 15.000 dân |
II |
Là huyện lị được kế thừa cơ sở thị trấn có quy mô vừa và nhỏ đang được phát triển |
|
Dưới 5.000 dân |
III |
Là huyện lị cũ hoặc mới đang được hình thành phát triển thị trấn huyện lị. |
1.6. Thị trấn huyện lị có những đặc điểm sau:
– Quy mô dân số từ 2000 đến 2500 dân, được xác định là cấp thị trấn trong giai đoạn quá độ phát triển của cấp huyện (không kế những thị trấn huyện lị được kế thừa từ các thị xã cũ hoặc được đầu tư công nghiệp Trung ương và địa phương lớn);
– Không có ngoại thị nhưng có thành phần nông nghiệp trong cơ cấu dân cư và cơ cấu lao động;
– Tỷ lệ thành phần cơ bản, thành phần lao động lớn hơn đô thị và thành phàn thuộc thấp ( xem điều 2,3)
– Phần lớn nhà ở có sân vườn, số tăng bình quân thấp, chỉ tiêu sử dụng đất thấp và được phân phối khác với khu dân dụng của đô thị (đối với thị trấn huyện lị lấy theo bảng 2 điều 1.14).
– Cấu trúc của thị trấn huyện lị không phân theo cấp như đô thị (nhóm tiểu khu,khu thành phố, trung tâm thành phố…) mà phân theo đặc tính riêng ( nhóm trung tâm khu vực vùng);
– Không tổ chức theo cơ cấu tầng bậc (phân cấp) hoặc cấu trúc tuyến phi tầng bậc hiện đại (liên cấp phục vụ ) như đô thị bám theo các trục đường, cầu nối giao thông quan trọng tạo thành cấu trúc tuyến đường phố.
Phương châm nguyên tắc đồ án quy hoạch xây dựng thị trấn huyện lị.
1.7. Quy hoạch xây dựng thị trấn huyện lị phải xuất phát từ quy hoạch xây dựng vùng huyện, tạo tiền đề cho việc lập nhiệm vụ xây dựng cụ thể các cơ sở kinh tế ( trước hết là các công trình sản xuất, cơ sở kĩ thuật, các công trình có khả năng kết hợp giữa phục vụ kinh doanh và quốc phòng) và khu dân cư trong thị trấn huyện lị phù hợp quá trình chuyển hoá của hệ thống dân cư trên đại bàn huyện
1.8. Triệt để vận dụng các cơ sở xây dựng, hết sức tiết kiệm đất xây dựng, hạn chế sử dụng đất canh tác để xây dựng.
1.9. Quy hoạch và kế hoạch phải toàn diện, gắn bó với việc đáp ứng nhu cầu xây dựng phục vụ phát triển kinh tế, quốc phòng và đời sống bằng phục vụ xây dựng hiện đại (vốn, vật liệu, kĩ thuật trang bị thi công…) với khả năng trình độ xây dựng sau này.
Không xây dựng mới các công trình tạm thời cấp IV.
1.10. Triệt để thực hiện phương châm: Nhà nước, tập thể và nhân dân trong huyện và trong thị trấn huyện lị cùng đóng góp để xây dựng thị trấn huyện lị phù hợp với khả năng kinh tế cũng như nhu cầu xây dựng đòi hỏi của cấp huyện.
1.11. Triệt để tận dụng về khai thác vật liệu địa phương; các hình thức kiến trúc truyền thống phù hợp với đặc điểm địa phương về phong cảnh và trình độ xây dựng, cảnh quan thiên nhiên và môi trường có tính điều kiện kĩ thuật như điạ chất thuỷ văn, địa chất công trình …
1.12. Cơ sở kinh tế kĩ thuật đồ án quy hoạch xây dựng thị trấn huyện lị bao gồm các tài liệu, số liệu hiện trạng phương hướng phát triển thị trấn huyện lị về những yêu cầu xây dựng trong mối quan hệ kinh tế xã hội vùng,bản đồ gốc cần thiết.
1.13. Mốc thời gian xây dựng theo quy hoạch để nghiên cứu tính toán lập đồ án được xác định theo bậc thang của năm kế hoạch Nhà nước cụ thể là:
Mốc thời gian xây dựng theo quy hoạch ngắn hạn từ 5 đến 7 năm; Mốc thời gian xây dựng theo quy hoạch dài hạn từ 20 đến 25 năm;
Các mốc thời gian này được xác định chung cho thị trấn huyện lị cải tạo hoặc xây dựng mới.
1.14. Các chỉ tiêu kinh tế kĩ thuật cần thiết cho việc lập đồ án quy hoạch xây dựng cho thị trấn huyện lị được quy định trong bảng 2.
|
Thời gian |
Diện tích sàn (m2/ người) |
Diện tích đất dân dụng ( m2/ người) |
Số tầng cao bình quân |
|
Ngắn hạn từ 5 đến7 năm Dài hạn từ 20 đến 25 năm |
từ 10 đến 12 từ 12 đến 15 |
từ 40 đến 60 từ 60 đến 80 |
từ 1,2 đến 1,5 từ 1,5 đến 1,8 |
Chú thích: Khi sử dụng các chỉ tiêu ở bảng 2 có thể vận dụng từng loại thị trấn huyện lị, mức độ cải tạo hoặc xây dựng mới đối với từng địa hình, điều kiện kinh tế xã hội của từng vùng khác nhau (miền Bắc, miền Nam, đồng bằng, thượng du, miền núi ) nhưng không được vượt quá các chỉ số được nêu trong bảng 2.
Trình tự lập đồ án quy hoạch xây dựng thị trấn huyện lị.
1.15. Đồ án quy hoạch xây dựng thị trấn huyện lị bao gồm: phần luận chứng kinh tế –kĩ thuật, quy hoạch chung và quy hoạch xây dựng đợt đầu được tiến hành theo các bước sau đây:
Bước 1. Kiểm tra khảo sát toàn diện và thu thập các tài liệu, tư liệu về điều kiện thích tự nhiên, kinh tế, kĩ thuật xã hội của các điểm xây dựng. Phương hướng nhiệm vụ xây dựng được xác định trong luận chứng kinh tế kĩ thuật để được phê duyệt.
Bước 2. Phân tích và tổng hợp các số liệu để làm cơ sở cho đồ án thiết kế, tiến hành so sánh và lựa chọn phương án, thoả thuận với các cơ quan chủ quản các ngành có liên quan.
Bước 3. Lập hồ sơ thiết kế chính thức trình duyệt đồ án (xem phụ lục 1 hướng dẫn).
1.16. Khi lập đồ án quy hoạch chung cần nghiên cứu theo tình tự các vấn đề sau đây:
– Tính chất cơ bản, quy mô dân số và đất đai của thị trấn huyện lị;
– Các chỉ tiêu kinh tế, kĩ thuật chủ yếu của giai đoạn trước mắt và dài hạn;
– Lựa chọn đất đai xây dựng;
– Xác định cơ cấu quy hoạch và xu hướng phát triển không gian thị trấn huyện lị;
– Bố trí các khu chức năng như các xí nghiệp, trạm trạ, kho tàng, khu trung tâm công cộng cây xanh, vườn hoa, các khu ở, các bến xe, bến thuyền;
– Tổ chức giao thông;
– Chuẩn bị kĩ thuật đất đai xây dựng và mạng lưới các công trình khác.
1.17. Quy hoạch chung thị trấn huyện lị (bao gồm cả phần luận chứng kinh tế –kĩ thuật và quy hoạch tổng thể ) được triển khai theo trình tự các bước sau đây:
Bước 1. nghiên cứu đồ án quy hoạch chung của toàn huyện, điều tra khảo sát về tài liệu về tình hình hiện trạng, dự kiến phát triển về kinh tế -xã hộ, cụ thể cần nghiên cứu các vấn đề sau đây:
– Mối liện hệ giữa thị trấn huyện lị về toàn huyện về vị trí, tính chất, quy mô, nhiệm vụ và mức độ đầu tư xây dựng tại thị trấn huyện lị;
– Các điều kiện tự nhiên, địa hình địa mạo, chế độ thủy văn, địa chất đặc điểm của huyện và thị trấn huyện lị;
– Các tài liệu về ttài nguyên khoáng sản, các dự kiến về kế hoạch phát triển nông lâm, công nghiệp của vùng tỉnh có liên quan cấp vốn đầu tư xây dựng,sử dụng đất đai và tổ chức phát triển xây dựng thị trấn huyện lị;
– Dân số phân theo nam nữ và độ tuổi lao động, tỉ lệ tăng dân số tự nhiên và cơ học; số lượng lao động phân theo ngành nghề và yêu cầu sử dụng lao động hiện trạng xây dựng ( đối với thị trấn huyện lị cải tạo );
– Khả năng cung cấp vật liệu xây dựng
– Khả năng đất đai xây dựng;
– Khả năng về công trình cấp điện, cấp nước…với các mạng lưới kĩ thuật khác;
– Làm đẹp cảnh quan thiên nhiên về bảo vệ môi trường.
Bước2. Xử lí, phân tích và tổng hợp các tài liệu để thu thập từ bước 1 bao gồm:
– Tính toán và lập luận chứng các dự án về dân số, đất đai và các dự án kĩ thuật khác theo khối lượng của dự án xây dựng phát triển;
– Sơ phác các phương án cơ cấu và quy hoạch chung thị trấn huyện lị (phân khu chức năng, tổ chức không gian);
– Đánh giá các phương án, lập vốn đầu tư, tính toán hiệu quả kinh tế,báo cáo phương án với cơ quan đặt hàng và các ngành chuyên môn có liên quan để so sánh và lựa chọn phương án tốt nhất .
Bước 3. Lập sơ đồ trình duyệt đồ án quy định chung. Đồ án phải được sửa đổi hoàn chỉnh về nội dung để lập sơ đổ trình duyệt cấp trên. Nội dung hồ sơ trình duyệt bao gồm: báo cáo thuyết minh, bản đồ, sơ đồ, biểu đồ, số liệu, tài liệu cùng các văn bản khác đã được quy định trong các văn bản quản lí xây dựng của Nhà nước (xem phụ lục1)
1.18. Đồ án quy hoạch xây dựng đợt đầu là thành phần quan trọng trong giai đoạn quy hoạch chung, để chỉ đạo giải quyết địa điểm xây dựng cho các công trình trong kế hoạch xây dựng của thị trấn huyện lị sẽ được triển khai theo những yêu cầu sau đây:
a) Đề án quy hoạch xây dựng đợt đầu được nghiên cứu cơ sở luận chứng kinh tế –kĩ thuật quy hoạch xây dựng đợt đầu do Uỷ ban nhân dân huyện lập ra. Nội dung bản luận chứng này phải quy định ra các điểm sau:
– Quy mô dân số;
– Kế hoạch xây dựng và yêu cầu bố trí các hạng mục công trình, xí nghiệp, kho tàng, bến bãi…được xây dựng mới hoặc cải tạo mở rộng, nhà ở, công trình công cộng và các công trình kĩ thuật;
– Các chỉ tiêu kinh tế, kĩ thuật chủ yếu xây dựng đợt đầu;
– Khả năng cung cấp vật liệu xây dựng, khả năng vốn đầu tư và lực lượng thi công.
b) Đồ án quy hoạch xây dựng đợt đầu phải phù hợp với đồ án quy hoạch chung và phải thể hiện rõ những nội dung sau đây:
– Bố trí các xí nghiệp, cơ sở tiểu thủ công nghiệp, bến bãi, kho tàng được xây dựng mới hoặc mở rộng.
– Bố trí và giới hạn các khu ở xây dựng đợt đầu, các công trình xây dựng công cộng trong khu ở như nhà trẻ, mẫu giáo, quầy hàng, khu ở nhà nước xây và khu ở do nhân dân xây;
– Bố trí các công trình công cộng trong trung tâm thị trấn huyện lị vườn hoa,trụ sở cơ quan v.v…
– Các khu vực san lấp mặt bằng, đường ống thoát nước mưa, đường cống thoát nước bẩn( nếu có);
– Các đường giao thông, bến xe, bến thuyền;
– Bố trí các đường ống kĩ thuật như cấp nước, cấp điện như trạm bơm, đài nước, trạm biến áp;
– Tính toán nhu cầu vật liệu xây dựng, các thiết bị xây dựng, nhu cầu lực lượng thi công;
– Khái toán giá thành và cân đối vốn đầu tư xây dựng;
– Những biện pháp thực hiện đồ án xây dựng đợt đầu;
c) Lập sơ đồ trình duyệt đồ án quy hoạch đợt đầu. Đồ án sau khi được bổ sung sửa đổi hoàn chỉnh về nội dung được lập hồ sơ trình duyệt. Nội dung hồ sơ trình duyệt bao gồm: phần báo cáo, các thuyết minh, bản đồ, cùng với các văn bản pháp lí cần thiết khác( xem phụ lục1).
1.19. Đồ án quy hoạch chung và quy hoạch đợt đầu cần hoàn thiện để trình một lần (nội dung thuyết minh quy hoạch đợt đầu là một phần của quy hoạch chung của thị trấn huyện lị ). Sau khi các cấp có thẩm quyền xét duyệt, đồ án là cơ sở pháp lí, chỉ đạo và triển khai xây dựng theo năm kế hoạch.
2. Lựa chọn đất đai xây dựng, xác định quy mô dân số, đất đai và phân khu vực chức năng chung của thị trấn huyện lị.
Lựa chọn đất đai xây dựng
2.1. Chọn đất đai xây dựng nhất thiết phải dựa trên cơ sở đánh giá, phân tích cụ thể khu đất xây dựng, kết hợp chặt chẽ với yêu cầu tăng cường quản lí ruộng đất, với yêu cầu kĩ thuật và kinh tế xây dựng đồng thời phù hợp yêu cầu về tính chất, chức năng hoạt động của từng công trình.Trước hết phải căn cứ vào các tài liệu khảo sát về địa hình, địa chất kết hợp với khảo sát tại hiện trường để lập bản đồ đánh giá đất đai xây dựng.
2.2. Đánh giá, phân loại đất đai xây dựng theo bảng 3
Bảng 3
|
Chỉ tiêu cơ bản |
Phân loại |
|||
|
Đất xây dựng thuận lợi |
Đất xây dựng ít thuận lợi |
Đất xây dựng không thuận lợi |
Đất không được phép xây dựng |
|
|
Độ dốc Cường độ chịu nén
Lụt úng
Mức nước ngầm Hiện tượng sụt lở Hiện tượng sói mòn Xử lí kĩ thuật nền móng phức tạp Hiện tượng các tơ dự kiến khai thác mỏ Dit ích lịch sử thắng cảnh Nằm trong khu quân sự, khu cách ly |
Nhỏ hơn 10% Tốt, lớn hơn 1, 0 daN/cm2
Không
Thấp Không Không Không
Không
Không
Không |
Từ 10 đến 30% Nhỏ hơn hoặc bằng1, 0daN/cm2 tần suất 1đến 2% mức ngập không quá 0, 5m Cao Không có ít
có
Không
Không |
Lớn hơn 30% Kém
Mức ngập lụt Cao
Cao Cao có có
có
Không
Không |
– –
– –
– – – –
– có
có |
Đánh giá chọn đất xây dựng cần đánh giá tổng hợp về kinh tế, kiến trúc, kĩ thuật xã hội…để xác định khả năng sử dụng đất xây dựng cho phù hợp.
Xác định quy mô dân số:
2.3. Quy mô dân số của thị trấn huyện lị ở mỗi giai đoạn được xác định trên cơ sở phát triển kinh tế và xã hội. Dân số thị trấn huyện lị bao gồm 3 loại thành phần: thành phần tạo lập phục vụ và lệ thuộc. Tỷ lệ thành phần nhân khẩu được xác định theo bảng 4.
Bảng 4
|
Giai đoạn quy hoạch |
Thành phần nhân khẩu |
Tỷ lệ thành phần nhân khẩu đối với loại thị trấn huyện lị có quy mô dân số |
|
|
từ 5.000đến 15.000 người |
Dưới 5000 người |
||
|
Từ 5 đến 7 năm Từ 20 đến 25 năm |
Nhân khẩu tạo lập |
Từ 45 đến 40 Từ 35 đến 30 |
Từ 50 đến 45 Từ 40 đến 35 |
|
Từ 5 đến 7 năm Tứ 20 đến 25 năm |
Nhân khẩu phục vụ |
Từ 15 đến 12 Từ 20 đến 22 |
Từ 10 đến 12 Từ 16 đến 18 |
|
Từ 5 đến 7 năm Từ 20 đến 25 năm |
Nhân khẩu lệ thuộc |
Từ 40 đến 44 Từ 45 đến 48 |
Từ 40 đến 43 Từ 44 đến 47 |
Chú thích:
1) Thành phần tạo lập thị trấn huyện lị bao gồm: các cán bộ, công nhân viên chức làm việc tại các cơ quan đóng ở thị trấn huyện lị nhưng phục vụ cho nhu cầu chung của toàn huyện và ngoài huyện, học sinh các trường chuyên nghiệp, trường phổ thông lưu trú tại thị trấn huyện lị; lực lượng quân đội ở thị trấn huyện lịvà lực lượng lao động nông nghiệp của thị trấn (nếu bộ phận nào làm nhiệm vụ chuyên phục vụ thị trấn huyện lị thì không tính vào nhân khẩu tạo lập; nếu làm nhiệm vụ sản xuất nông nghiệp theo kế hoạch của huyện thì được tính vào thành phần tạo lập của thị trấn huyện lị).
2) Thành phần phục vụ bao gồm: các cán bộ, công nhân viên làm việc và phục vụ cho nhu cầu thị trấn huyện lị (lực lượng này không tính thuần nhất theo tổ chức quốc doanh Nhà nước mà còn kết hợp với lực lượng lao động phục vụ các thành phần kinh tế khác có khả năng tồn tại hoạt động quá độ phát triển của thị trấn huyện lị).
3)Thành phần lệ thuộc bao gồm: các nhân khẩu ăn theo cán bộ, công nhân viên và người lao động thuộc hai thành phần nêu trên (thành phần này trong các thị trấn huyện lị thường thấp hơn so với các đô thị).
2.4. Phương pháp tính toán quy mô dân số ở huyện lị.
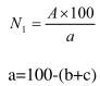
2.4.1. Nếu có đủ điều kiện phân tích, xác định được đầy đủ và chính xác trị số cơ bản tuuyệt đối (nhân khẩu tạo lập)thì có thể vận dụng bảng tỉ lệ thành phần nhân khẩu để tính quy mô dân số bằng phương pháp cân bằng lao động theo công thức sau:
![]()
Trong đó:
N1– dân số của thị trấn huyện lị ở năm quy hoạch;
A- tổng số lao động cơ bản được xác định (còn gọi là trị tuyệt đối của thành phần tạo lập) từ phân tích thống kê (huyện lị cũ) và được dự báo đến năm quy hoạch (vận dụng theo bảng 4 điều 2.3)
a – tỉ lệ thành phần cơ bản đến năm quy hoạch
a=100 – (b+c) trong đó b là tỉ lệ thành phần phục vụ, là tỉ lệ thành phần lệ thuộc .
2.4.2. Nếu không có đủ đặc điểm phân tích xác định trị số nhân khẩu cơ bản của thị trấn huyện lị (do quy hoạch vùng chưa được nghiên cứu đầy đủ) thì nên áp dụng phương pháp tính toán quy mô dân số thị trấn huyện lị trên cơ sở xác định tổng lượng lao động phát triển của thị trấn huyện lị và tỉ lệ tương quan giữa hai loại thành phần: thành phần lao động chung (bao gồm lao động cơ bản và phục vụ )và thành phần lệ thuộc trong cơ cấu dân cư thị trấn huyện lị.
Công thức tính toán sau:
N1= B*K
Trong đó:
B –tổng lượng lao động (trị số lao động tuyệt đối của thành phần tạo lập và phục vụ ) được xác định theo thống kê lao động và phát triển do nhu cầu phát triển kinh tế xã hội tới năm quy hoạch.
K – hệ thống dân số xác định đến năm quy hoạch tương ứng tỉ lệ lao động trên dân số.
Chú thích:
1. Hệ số k hay tỉ lệ lao động trên dân số thay đổi phụ thuộc vào mức độ sử dụng lao động xã hội và tình hình dân số tự nhiên của thị trấn huyện lị dự đoán đến năm quy hoạch có thể lấy K=2, 5.
2. Dân số N, tính theo hai công thức có thể khác nhau. Độ chính xác của công thức phụ thuộc vào việc xác định số lao động tuyệt đối, tỉ lệ thành phần dân cư và hệ số K.
2.4.3. Nếu là thị trấn huyện lị cũ cải tạo và mở rộng thì cần tính dân số theo khả năng tự nhiên để có giải pháp điều hoà dân số, có thể áp dụng công thức sau:
N1=N0(1+n)t (3)
Trong đó:
t- thời gian quy hoạch ( quy hoạch đợt đầu lấy 5 năm, quy hoạch dài hạn lấy từ 15 đến 20 năm);
Nt –dân số của thị trấn huyện lị theo tăng tự nhiên đến năm cần quy hoạch
N0 – dân số hiện có;
n -tỉ lệ (%) tăng dân số tự nhiên (tỉ lệ này được xác định theo hướng sinh đẻ có kế hoạch), phải chọn nhỏ hơn tỉ lệ phần trăm tăng dân số hiện tại; tỉ lệ này có tỉ lệ bình quân trong thời gian quy hoạch .
Chú thích:
1. Nếu N1 và Nt khác nhau ±10% thì phải điều hoà bằng một số biện pháp sau đây:
a) Khi N1 lớn hơn Nt thì phải:
– Giảm tỉ lệ tăng tự nhiên để tính toán thông qua biện pháp sinh đẻ có kế hoạch, khống chế dân số phát triển nhanh quá mức điều hoá ( dưới trị số khống chế sinh đẻ của từng vùng);
– Điều bớt một phần nhân khẩu phi lao động hoặc lao động thừa trong các cơ sở làm việc sản xuất, tăng cường cho đào tạo, nghĩa vụ quân sự, các cơ sở công nghiệp của Nhà nước xây dựng khu kinh tế mởitong và ngoài huyện;
– Mở rộng hoặc tăng thêm các cơ sở sản xuất tiểu thủ công nghiệp, sửa chữa phục vụ để thu hút lực lượng lao động tại chỗ cho phát triển sản xuất và phục vụ đời sống hoặc chuyên hoá tăng cường lực lượng tạm thời cho sản xuất của thị trấn (tuỳ thực tế ở từng nơi mà vận dụng cả ba hình thức này).
b) Khi Nt nhỏ hơn N1 thì phải:
– Chuyển hoá lực lượng lao động nông nghiệp trong huyện thành lực lượng lao động cho thị trấn huyện lị.
– Giảm đến mức tối đa việc cung cấp lao động cho trung ương và xây dựng kinh tế mới (trong trường hợp này không được tăng tỉ lệ sinh đẻ và phải theo quy định của Nhà nước.
– Tăng cường lực lượng cán bộ và lao động của tỉnh và Trung ương.
2. N1 là dân số ( sau khi đã cân đối với Nt) chỉ dùng để tính toán bố rícho nhu cầu ở, phục vụ hàng ngày của dân cư sống tại thị trấn huyện lị. Nhu cầu phục vụ một khu vực trong huyện và phục vụ toàn huyện cần lất trị số dân số một khu vựcvà dân số toàn huyện để tính quy mô xây dựng cho những công trình có chức năng phục vụ tương ứng với quy mô một khu vực và toàn huyện ( quy mô công trình quy nnày ứng với quy mô dân số được xác định trong quy hoạch vùng huyện, chỉ cần tính toán kiểm tra trước khi cân bằng).
Xác định quy mô đất đai:
2.5. Quy mô đất đai xây dựng của thị trấn huyện lị được xác định trrên cơ sở phân loại chức năng sử dụng các loại các loại như đất dân dụng, đất công trình kho tàng, trạm trại, đất khác (giao thông đối ngoại, quân sự, nghĩa địa, di tích lịch sử, danh lam thắng cảnh…)
2.6. Chỉ tiêu đất dân dụng đối với:
– Vùng đồng bằng trung duven biển lấy từ 40 đến 60 m2/1người;
– Vùng đất dốc, đồi núi lấy từ 60 đến 80 m2/1người.
Với quy mô dân số đã được tính toán, có thể áp dụng chỉ tiêu để xác định quy mô đất đai tương ứng có tính chất khống chế trong quá trình lập hạng mục công trình sử dụng đất quy hoạch khu dân dụng.
Các loại đất công nghiệp kho tàng trạm trại và đất khác trong phạm vi xây dựng thị trấn huyện lị được xác định cụ thể theo yêu cầu của từng loại công trình(sử dụng chỉ tiêu hoặc những quy định của từng ngành, từng nơi cụ thể )
Riêng đất công nghiệp kho tàng, trạm trại tạm thời được xác định coa tính chất khái quát theo tương quan tỉ lệ với đất dân dụng (làm cơ sở bước đầu trong việc xác định quy mô đất đai xây dựng ). Loại đất này chiếm từ 1/4 đến 1/6 đất dân dụng.
Phân khu chức năng thị trấn huyện lị.
2.7. Đất đai xây dựng sau khi được đánh giá tính toán xác định cần phân bố thành từng khu theo tính chất chức năng theo yêu cầu cụ thể sau:
a) Khu sản xuất và phục vụ sản xuất bao gồm:
Các công trình tiểu thủ công nghiệp, kho tàng, trạm trại, giao thông đối ngoại và công nghiệp lớn (nếu có), những công trình yêu cầu gần hoặc thuận tiện với nguồn nguuyên liệu có đặc tính hoạt động mạnh, gây ồn, bụi nhiễm độc hoặc yêu cầu yên tĩnh môi trường sạch chủ yếu phải bố trí ở phạm vi các khu đất cuối hướng gió, cuối dòng chảy so với khu vực xây dựng toàn thị trấn. Mức độ tập trung và phân cực phụ thuộc vào đặc tính và yêu cầu hoạt động của từng loại cụ thể. Trường hợp buộc phải bố trí đầu hướng gió và dòng chảy thì phải cần có biện pháp cách li, xử lí kĩ thuật, bảo vệ môi trường cho các khu vực khác của thị trấn.
b) Khu dân dụng bao gồm: các công trình công cộng, nhà ở, cây xanh…công trình gắn với sinh hoạt hằng ngày có đặc tính giao tiếp mạnh, gây ồn, bụi hoặc yên tĩnh, trang nghiêm, chủ yếu được bố trí ở phạm vi khu đất đầu hướng gió đầu dòng chảy so với khu vực xây dựng toàn thị trấn. Mức độ tập trung, phân cực phụ thuộcvào đặc tính hoạt động cụ thể của từng loại công trình .
c) Khu sử lí vệ sinh đầu mối bao gồm: những công trình tập trung ô nhiễm môi trường, dễ xử lí nhất thiết bố trí trong khu đất cuối dòng chảy và cuối hướng gió so với khu vực xây dựng toàn thị trấn. Nhất thiết tách khỏi khu vực bố trí công trình sản xuất dân dụng.Trường hợp không đảm bảo điều kiện này, phải xử lí kĩ thuật nghiêm ngặt và cụ thể.
d) Các khu bao gồm: khu quân sự, đình chùa, di tích lịch sử, danh lam thắng cảnh, những công trình đặc biệt, thường nằm trong phạm vi xây dựng thị trấn gắn bó với các khu vực khác của thị trấn huyện lị.
2.8. Việc phân khu chức năng không những phải phù hợp với từng loại công trình theo tính chất chức năng mà phải bố trí linh hoạt giữa các khu chức năng với nhau, hoặc các khu chức năng chủ yếu khác để đảm bảo mối quan hệ khăng khít hữu cơ, có điều kiện xây dựng và phát triển tự nhiên, ít phải xử lí kĩ thuật phức tạp.
2.9. Không nên phân khu độc hại ven sông lớn, có tàu thuyền qua lại; ven quốc lộ (giao thông đối ngoại) có lưu lượng xe ngày đêm lớn, hoặc có địa hình, địa thế phức tạp chia cắt.
Có thể phân bố xen kẽ hoặc gắn liền có tính chất tổng hợp một số bộ phận của các khu chức năng chủ yếu có đặc tính gần giống nhau, không gây ảnh hưởng lớn đến quan hệ hoạt động.
trong các thị trấn huyện lị cũ để xây dựng các công trình sản xuất và phục vụ sản xuất trong khu dân dụng phụ thuộc khu chức năng thì mức độ ảnh hưởng mà có biện pháp xử lí cụ thể như di chuyển, chuuyển hoá, giữ nguyên, hạn chế phát triển, cách li hoặc cải tạo mở rộng…
2.10. Trên cơ sở phân khu chức năng chungtoàn bộ thị trấn cần tiến hành quy hoạch từng khu vực( cụm hoặc khu chức năng) nhằm xác định khu đất và tổ chức tổng mặt bằng cho từng công trình sẽ xây dựng.
2.11. Nguyên tắc quy hoạch xây dựng các khu chức năng trong thị trấn là: cần quán triệt hướng tập trung công trình thành trung tâm với một hoặc nhiều chức năngkết hợp, gắn với khả năng xây dựng thực tế trong từng kế hoạch kinh tế xây dựng dứt điểm từng công trình, tổng khu vực, nhằm đạt hiệu quả kinh tế xây dựng và sử dụng cao sớm tạo bộ mặt kiến trúc đẹp cho thị trấn .
2.12. Việc hình thành trung tâm (tụ điểm hoạt động) theo cụm hoặc theo tuyến phố tuỳ thuộc vào những điều kiện cụ thể về gia đình, khả năng xây dựng và ý đồ bố trí không gian chung trên toàn thị trấn.Trong điều kiện xây dựng chưa đồng bộ hiện nay xét đến quy luật hình thành, tập quán xã hội trong giai đoạn quá độ, cần bố trí và vận dụng cả hai dạng, vừa theo tuyến phố, vừa theo cụm điểm của những quảng trường tập trung.
3. Quy hoạch xây dựng các công trình sản xuất, phục vụ sản xuất
3.1. Các công trình sản xuất, phục vụ sản xuất có chức năng là trung tâm trang bị về hướng dẫn kĩ thuật của huyện là đầu mối tiếp xúc giữa công nghiệp với nông nghiệp. Khi quy hoạch phải chú ý những vấn đề sau đây:
– Cần quy hoạch xây dựng tập trung ở thị trấn huyện lị và các cụm kinh tế kĩ thuật khác các công trình trạm trại, tiểu thủ công nghiệp.
– Mức độ về số lượng, quy mô các công trình sản xuất, phục vụ sản xuất được xác định trên cơ sở phương hướng đầu tư sản xuất của các cấp trung ương tỉnh, huyện và được cụ thể hoá bằng các dự án phân vùng kinh tế, dự án quy hoạch của các chuyên ngành về quy hoạch xây dựng phát triển cơ sở vật chất kĩ thuật nông công nghiệp trên từng địa bàn vùng huyện. Khi tiến hành quy hoạch cụ thể các công trình sản xuất và phục vụ sản xuất được đầu tư xây dựng tại thị trấn huyện lị theo dự án về quy hoạch xây dựng của từng huyện.
Quy hoạch xây dựng các trạm, trại, kho tàng kĩ thuật
3.2. Mạng lưới trạm trại bao gồm:
– Trạm trại phục vụ trồng trọt như các trạm và trại và trại giống cây trồng (giống lúa, giống ngô, giống cây vụ đông, giống bèo dâu…) trạm bảo vệ thực vật, trạm thủy nông, trạm cơ khí và sửa chữa máy nông nghiệp, trạm vật tư nông nghiệp;
– Trạm trại phục vụ chăn nuôi như: các trạm và trại giống gia súc (giống lợn, gia cầm, giống cá…) trạm truyền hình nhân tạo, trạm thú y, trạm chế biến thức ăn gia súc, trạm ấp trứng…
ở những huyện trung du miềm núi có rừng và chuyên trồng cây công nghiệp, ần bố trí thêm trạm trại phục vụ cho từng loại cây như: trạm kiểm lâm, trạm cây công nghiệp (quế, dầu, sở …) trạm nông hoá…một số huyện vùng ven biển, bố trí xây dựng thêm trạm, trại nghiên cứu hải sản, nuôi cá, tôm….
3.3. Tuỳ điều kiện cụ thể của từng nơi mà quy hoạch bố trí trạm trại thích hợp, gắn trong cơ cấu thị trấn và cụm kinh tế kĩ thuật, phục vụ thuận tiện đến từng đơn vị trong vùng đến từng khu vực sản xuất trên địa bàn huyện. Phần lớn các công trình trạm trại được bố trí ở ngay thị trấn huyện lị và một số hợp tác xã nông nghiệp xung quanh, gắn với những điểm dân cư nông nghiệp gần các thị trấn huyện lị.
3.4. Cần xác định cụ htể mối quan hệ sản xuất (gắn bó về dây truuyền công nghệ ) các trạm trại tăng cường tác dụng hỗ trợ lên nhau. Quy hoạch cần theo dự kiến phân từng cụm liên hoàn như sau:
– Cụm công trình trạm trại cơ khí sửa chữa máy nông nghiệp, trạm máy kéo, trạm vật tư nông nghiệp, có thể gắn với các công trình công nghiệp và dân dụng liên quan như: xưởng mộc, dân dụng, trường cơ sở cơ giới, các hợp tác xã cơ khí sửa chữa, xưởng dệt tập trung.
– Cụm trạm chế biến thức ăn gia súc gắn với trại giống chăn nuôi lợn, gia cầm, cá…) trạm thú y, trạm thụ tinh nhân tạo…
– Cụm trại giống cây trồng (lúa màu, cây công nghiệp thực phẩm, phân xanh) gần với trạm bảo vệ thực vật, trạm thuỷ nông, trạm nông hoá thổ nhưỡng…
– Cụm kho trạm vật tư nông nghiệp, lâm nghiệp, hải sản, vật liệu xây dựng, bách hoá, lương thực…gắn với khu vực bến bãi giao thông thuỷ bộ, các công ty kinh doanh và hậu cần tổng hợp phục vụ sản xuất nông, lâm, ngư nghiệp và lưu thông phân phối.
3.5. Cần bố trí các cụm trại liên hoànmột cách hợp lí về vị trí gắn với đại thế và điều kiện thiên nhiên thuận lợi ở từng nơi, trừ một số trạm có yêu cầu kĩ thuật đất đai và vi khí hậu riêng (trạm giống cây trồng, đất can huyện tác tốt, trạm bảo vệ thực vật cần phân khu vực có nhiều sâu bệnh, các cụm trại liên hoàn khác cần sử dụng đất gò đống, sườn đồi đất canh tác xấu…). Để đảm bảo vệ sinh quốc phòng, an ninh các cụm trại, cần có khoảng cách li nhất định đối với khu dân cư và công trình dân dụng khác. Khoảng cách li tối thiểu phải là 20 m. Cần lợi dụng địa hình và chướng ngại tự nhiên để che chắn công trình chính.
3.6. Các cụm trạm traị cần gắn với các tuyến kĩ thuật như giao thông thuỷ bộ, điện nước…Phải kết hợp các yêu cầu kĩ thuật để sử dụng chung các công trình đầu mối như: bến bãi giao thông, trạm biến áp điện, trạm xử lí nước thải trước khi xả ra nguồn nước sinh hoạt chung.
3.7. Quy mô đất đai và yêu cầu kĩ thuật đối với từng trạm trại, kho tàng lấy theo bảng 5.
Bảng 5
|
Trạm trại |
Quy mô |
Diện tích (ha) |
Yêu cầu |
|
1 |
2 |
3 |
4 |
|
1.Xưởng sửa chữa cơ khí huyện |
Từ 100 đến 150 lao động |
từ 1 đến 1, 2 |
– Nước 100lít/ người ngày – Điện 80 đến 100KW – Cách khu dân dụng 130m chống ồn |
|
2. Đội cơ khí nông nghiệp |
|
từ 0, 3 đến 0, 5 |
– Nước100lít/ngườingày – Điện 80-100KW – Cách khu dân dụng 130m, chống ồn |
|
3. Trạm giống lúa cấp II |
20ha 50 ha |
từ 0, 8 đến 1 từ 0, 8 đến 1 |
– Nơi đất canh tác tốt |
|
4. Kho giống lúa cấp II |
100 tấn 200 tấn |
từ 0, 12 đến 1, 5 từ 0, 20 đến 0, 25 |
– Nơi đất canh tác tốt |
|
5. Trạm bảo vệ thực vật |
|
từ 1, 7 đến 2, 0 |
– Nước 3m3- 5m3/ngày – Điện từ 5 đến 10 KW |
|
6. Kho phânkhoáng khô (vôi+hoá chất) |
200 tấn 500 tấn 1000 tấn 1500 tấn |
từ 0.09 đén 0.12
từ 0, 32 đến 0, 45 từ 0.45 đến 0.65 |
Tránh tiếng ồn, bụi bặm ánh sáng ban đêm qúa mạnh Khoảng cách li 200m, cao ráo không ngập lụt |
|
7. Xưởng chế biến thức ăn gia súc Chế biến hoa màu |
2 tấn/giờ
15 tấn bột/N |
từ 1, 0 đến 1, 2 từ 1, 0 đến 1, 2 |
Gần nguồn nguyên liệu(cách xa 10 đến 15km) Điện 100 đến 150KW Nước 5 đến 10m3/ngày |
|
8. Trạm vật tư nông nghiệp – Khu làm việc – Kho thuốc trừ sâu – Kho phân hoá học – Kho vôi – Kho giống cây trồng – Kho nông cụ |
|
từ 1, 0 đến 1, 2
0, 5 0, 7 từ 0, 3 đến 0, 5 từ 0, 1 đến 0, 2 từ 0, 3 đến 0, 2
0, 2 |
Gần bến bãi giao thông Cao ráo không ngập, có cây xanh cách li khu dân dụng 30m
Bảo đảm khoảng cách phòng cháy giữa các công trình 10m |
|
9. Trại bèo dâu phân xanh |
|
1ha |
Thoáng đãng |
|
10. Trạm thú ý huyện |
Đồng bằng trung du |
từ 0, 04 đến 0.06 từ 0, 006 đến 0, 08 |
Khoảng cách li 200m gắn với các trại chăn nuôi |
|
11. Trạm truyền tinh nhân tạo |
100 lợn |
từ 0, 5 đến 0, 6 |
Khoảng cách li 400m thoáng mát yên tĩnh |
|
12. Trại lợn sinh sản |
100 nái cơ bản 200 nái cơ bản |
từ 0, 7 đến 0, 9 từ 1, 2 đến 1, 4 |
Như trên Như trên |
|
13.Trại lợn thịt |
500 con 1000 con 2000 con |
từ 0, 3 đến 0, 4 từ 0, 6 đến 0, 8 từ 1, 0 đến 1, 2 |
Như trên Như trên Như trên |
|
14. Trại lợn thịt tự túc giống |
500 con 1000 con 2000 con |
từ 0, 4 đến 0, 5 từ 0, 5 đến 0, 8 từ 1, 3 đến 1, 6 |
Như trên Như trên Như trên |
|
15. Trại gà trứng |
2, 5 triệu trứng
5 triệu trứng |
từ 1, 7 đến 2, 3
từ 2, 6 đến 4, 2 |
khoảng cách li 500m tránh ô nhiễm tiếng ồn Như trên |
|
16. Trại gà vịt |
75 tấn /năm |
từ 1, 7 đến 2, 3 |
Như trên |
|
17. Lò ấp vịt |
150 tấn/ năm |
từ 2, 6 đến 4, 2 từ 0, 4 đến 0, 5 |
Như trên Như trên |
Quy hoạch xây dựng các công trình công nghiệp tiểu thủ công nghiệp.
3.8. Tuỳ thuộc vào đặc điểm tài nguyên, nguồn nguyên liệu, lao động, truyền thống và phương hướng quy hoạch sản xuất của từng huyện và nhiệm vụ kế hoạch củatỉnh mà xác định cơ cấu, hạng và quy mô công trình tiểu thủ công nghiệp thích hợp. Cơ cấu tiểu thủ công nghiệp cấp huyện có thể phân theo ngành cơ bản như sau:
a) Công trình cơ khí chế tạo và sửa chữa nhỏ bao gồm: xưởng cơ khí huyện với chức năng sản xuất công cụ, sửa chữa tiểu tu máy móc cơ điện…Cần xem xét tình hình công trình cơ khí chung cho tỉnh. Nên kết hợp xưởng cơ khí huyện với trạm cơ giới và cơ khí sản xuất hàng tiêu dùngvà xuất khẩu để hình thành một cụm xí nghiệp, cơ khí tổng hợp với dây truyền công nghệ cơ động, dễ chuyển hoá, thích ứng với phương án sản phẩm đa dạng. Cơ khí huyện lấy nhiệm vụ gia công và lắp ráp là chính.
b) Công nghiệp chế biến nông lâm, hải sản là mục tiêu phục vụ chính của tiểu tủ công nghiệp huyện. Cần quy hoạch phát triển toàn diện, phong phú ở cả ba khu vực: Nhà nước, tập thể, gia đình nhằm tận dụng triệt để mọi nguồn nguuyên phế liệu (từ sản xuất nông, lâm, ngư nghiệp trong huyện ) tạo ra hàng hoá công nghiệp với hiệu quả kinh tế cao, phục vụ phát triển đời sống và xuất khẩu.
c) Công nghiệp sản xuất hàng tiêu dùng dựa trên cơ sở nguồn nguuyên liệu tại chỗ do Nhà nước cung cấp để gai công mặt hàng phục vụ tiêu dùng, xuất khẩu theo thế mạnh, truyền thống của huyện .
d) Công nghiệp sản xuất vật liệu xây dựng (gạch, ngói, vôi, đa, cát, sỏi…).Cần có xưởng bê tông và mộc xây dựng sản xuất các cấu kiện lắp ráp nhỏ.
3.9. Phần lớn các công trình sản xuất cần bố trí tập trung tại thị trấn huyện lị. Nhằm thu hút nhiều lao động, tạo cơ sở nhanh chóng thị trấn phát huy khả năng sử dụng các hệ thống kĩ thuật tập trung (giao thông, vận tải, điện nước..) tiện quản lí chỉ đạo và hợp tác sản xuất. Không bố trí quá phân tán hoặc cục bộ theo từng tính chất chức năng công trình hoặc liên kết tính chất tổng hợp của vài loại công trình.
Cần bố trí kết hợp những công trình tiểu thủ công nghiệp lớn với một số trạm trại, các cơ sở sản xuất hình thành tại thị trấn huyện lị tạo thành một vài cụm tập trung để tiết kiệm đất xây dựng, tận dụng hết công suất của những công trình kĩ thuật đầu mối và tạo khả năng tận dụng phế liệu trong sản xuất. Đảm bảo khoảng cách li với khu dân dụng là 50m.
Đặc biệt những công trình tiểu thủ công nghiệp, sản xuất hàng tiêu dùng và xuất khẩu không gây ô nhiễm môi trường như: thêu, ren, mây tre, sơn mài, dệt lụa tơ tằm…có thể bố trí ngay trong khu dân dụng, xen kẽ trên trục phố chính.
3.10. Dự kiến công trình tiểu thủ công nghiệp toàn bộ thị trấn huyện lị lấy từ 15 đến 25 m2/ người.
Khi cấp đất cụ thể cần dựa theo luận chứng kinh tế – kĩ thuật của từng công trình. Khi cấp đất đai cụm tiểu thủ công nghiệp tập rung được cân đối theo tỉ lệ sau:
– Diện tích đất xây dựng nhà xưởng chính và phụchiếm 50 đến 60%.
– Diện tích đất xây dựng hành chính phục vụ chiếm 3 đến 5%;
– Diện tích đất giao thông nội bộ chiếm từ 5 đến 7%;
– Diện tích cây xanh và đất dự trữ chiếm 30 đến 35%.
4. Quy hoạch xây dựng dân dụng
Tổ chức quy hoạch chung
4.1. Khu dân dụng của thị trấn huyện lị bao gồm: nhà ở, các công trình phục vụ công cộng, cây xanh, mạng lưới kĩ thuật hạ tầng (đường giao thông, điện nước…). Quy hoạch xây dựng khu dân dụng phải hợp lí, thuận tiện về mặt hoạt động, tiết kiệm được vốn đầu tư và đất đai xây dựng, thể hiện được bộ mặt kiến trúc mới, phù hợp với phong cảnh độc đáo của từng địa phương.
4.2. Khu dân dụng của thị trấn huyện lị không cần thiết phải phân khu chức năng và cấp phục vụ một cách rõ rệt, cứng nhắc. Cần lưu ý tới quan hệ giao thông đối ngoại là chính. Tổ chức không gian khu dân dụng nên theo dạng tuyến phố chính, kết hợp các cụm chức năng tập trung (hành chính, y tế…).
Chú thích:
1. Trong khu dân dụng có thể phân bố mức độ phục vụ như sau:
Cấp phục vụ hàng ngày gồm một số công trình phục vụ nhu cầu thiết yếunhư nhà trẻ, mẫu giáo, trường phổ thông cơ sở, các cơ sở dịch vụ nhỏ (chữa xe đạp, quầy tạp phẩm, cắt tóc, may vá…). Phải phân bố đều trong các cụm nhóm nhà ở của khu dân dụng bảo đảm bán kính và quy mô xây dựng phục vụ thích hợp;các công trình khác thuộc cấp phục vụ hàng ngày và phục vụ toàn huyện, cho khu vực trong huyện và cho thị trấn huyện lị phải được tính toán và phân loại bố trí tập trung xen kẽ theo dải hoặc điểm linh hoạt nhưng phù hợp với dạng tuyến phố của thị trấn huyện lị.
2. Đặc biệt lưu ý khi bố trí linh động các khu chức năng để tạo thành tổng thể các hoạt động chức năng được thuận tiện và hài hoà. Cần phân tích tính chất chức năng, yêu cầu cụ thể và mối quan hệ giữa chúng để bố trí gắn bó với nhà ở, tạo thêm liên kết trong tổng thể chức năng ở, làm việc và sản xuất. Có thể phân tích tính chất chức năng và yêu cầu cụ thể của các công trình theo các cụm nhóm sau đây:
– Cụm công trình quản lí hành chính, chỉ đạo kinh tế (bao gồm uỷ ban huyện, huyện uỷ và các ngành có liên quan) có yêu cầu trang nghiêm, thuận tiện để nhân dân đi lại giao tiếp, nhưng không được bố trí ở nơi ồn và bụi.
– Cụm công trình kinh tế, thương nghiệp bao gồm: các công ty, cửa hàng dịch vụ, chợ… có yêu cầu gần đầu mối giao thông trên các tuyến phố chính để thu hút khách qua lại trao đổi kinh doanh, mua bán hàng hoá;
– Cụm công trình văn hoá, giáo dục, y tế (bao gồm: bệnh viện, trường học, nhà văn hoá, sân vận động, vườn cây…) có yêu cầu yên tĩnh, thoáng mát đẹp, không được bố trí nơi bụi và ồn.
3. Hướng bố trí phân khu chức năng dân dụng tương đối cơ độngvà phù hợp là: gắn liền nhà ở với từng bộ phận chức năng hoạt động công cộng.
4. Tuỳ hình thức bố trí theo tuyến phố là chính (kết hợp theo nhóm tập trung như nêu ở mục 2) nhưng cần tránh tình trạng quá kéo dài và dàn mảnh khu dân dụngtheo trục tuyến giao thông đối ngoại quan trọng (quốc lộ, tỉnh lộ lớn). Chỉ phát triển khống chế trong phậm vi 1km đối với các huyện đồng bằng.
4.3. Khu dân dụng cần được quy hoạch bố trí phù hợp, thuận lợi cho các hoạt động và tạo được tầm nhìn bao quát. Không được bố trí ở khu vực hay ngập úng, phải san lấp nhiều. Đối với vùng có sông, suối, kênh, rạch phải bố trí gần sông suối để giao lưu, lấy nước cho sinh hoạt. Cần bố trí gắn liền thôn xóm có vườn cây tạo nên vi khí hậu tốt và sinh động về không gian kiến trúc thị trấn huyện lị trong nông thôn. Ngoài ra, cũng cần tận dụng điều kiện thiên nhiên, kết hợp bố trí điều kiện che chắn, tổ chức chiến đấu bảo vệ theo yêu cầu quốc phòng toàn diện, trong đó thị trấn huyện lị là một pháo đài kiên cố trong hệ thống pháo đài cấp huyện.
4.4. Các công trình kiến trúc trong khu dân dụng tuy được bố trí quy hoạch theo khu đất riêng nhưng không khép kín. Bố trí mặt bằng đứng phải phù hợp với ý đồ tổ chức không gian quy hoạch chung (theo tuyến phố hoặc quảng trường). Các công trình công cộng nên bố trí hợp khối với tầng cao từ 1 đến 3 tầng, tạo không gian kiến trúc sinh động và liên tục. Phải tôn trọng chỉ giới xây dựng, có thể huy động vốn của dân và của tập thể để làm hè phố, trồng cây xanh ven đường theo hướng dẫn quy hoạch chung.
Chú thích:
Có thể phân định chi tiết bố cục quy hoạch công trình dân đúng theo hướng sau đây:
Hình thành một vài trục phố chính trên đó bố trí xen kẽ nhà ở, các cửa hàng thương mại dịch vụ, (bách hoá, lương thực, thực phẩm, hiệu sách, cửa hàng được, sửa chữa đồ dùng v.v…) các hợp tác xã sản xuất hàng tiêu dùng hàng xuất khẩu (thêu ren, thảm, mỹ nghệ…) các trụ sở công ty huyện và thị trấn, rạp chiếu phim, ngân hàng, bưu điện…
Hình thành những điểm nhấn ở ngã ba, ngã tư, hợp khối công trình cùng chức năng tạo thành quảng trường trung tâm như cụm công trình hành chính huyện (trụ sở huyện uỷ, uỷ ban, các ban ngành), công trình văn hoá – công viên ( nhà văn hoá đa chức năng, thư viện, nhà truyền thống, công viên cây xanh), cụm công trình giáo dục – thể dục thể thao huyện (trường phổ thông trung học dạy nghề, sân vận động huyện …), cụm công trình y tế huyện, phòng y tế, đội vệ sinh phòng dịch, nhà an dưỡng, trạm đông y…) ở ven khu dân dụng.
Cần bố trí những nhóm nhà ở gia đình bao lấy các công trình như: nhà trẻ, mẫu giáo, trường phổ thông cơ sở. Bố trí phía sau trục phố chính những cụm trung tâm. Những nhóm nhà ở này gắn với những đường đa nhánh hoặc đường xương cá cụt. Cần tận dụng khu đất trống trong thổ cư nông nghiệp kề bên để bố trí lô đất cho cán bộ công nhân viên trong thị trấn.
4.5. Đất xây dựng cho khu dân dụng được tính theo chỉ tiêu sau(m2/ người):
– Vùng đồng bằng lấy từ 40 đến 50;
– Vùng trung du ven biển lấy từ 50 đến 60;
– Vùng miền núi lấy từ 50 đến 60.
Tiêu chuẩn diện tích đất xây dựng khu dân dụng lấy theo bảng 6 (tính bình quân cho các vùng ứng với diện tích sàn nhà ở 12m2/1 người và tầng cao từ 2 đến 3 tầng).
Bảng 6
|
Loại đất |
Đơn vị tính m2/ người |
Tỉ lệ chiếm đất |
Ghi chú |
|
1. Đất ở 2. Đất công cộng 3. Đât giao thông quảng trường 4. Đất cây xanh |
Từ 25 đến35 từ 25 đến20 Từ 5 đến 10
Từ 1 đến 3 |
30 50 15
5 |
Tính tới dân số N1. Ngoài ra cần kết hợp việc xác định N2, N3 đối với từng thị trấn huyện lị cụ thể tính toán đầy đủ nhu cầu đất đất bổ xung cho bảng này. |
|
Tổng cộng |
Từ 46 đến 65 |
100% |
|
Chú thích:
1. Trường hợp cải tạo lại thị trấn huyện lị thì mức độ sử dụng diện tích thực tế có thể tăng, giảm so với bảng 6 nhưng không vượt quá 10%.
2. Số tầng câo bình quân được tính theo phương pháp của đô thị, thị trấn huyện lị phát triển. Số tầng cao bình quân từ 1, 5 (giai đoạn trước mắt) đến 2, 5 giai đoạn trong quy hoạch dài hạn ứng với nhu cầu phục vụ chung toàn huyện.
Bố trí mạng lưới các công trình công công
4.6. Mạng lưới công trình công cộng bao gồm:
– Các công trình hành chính;
– Các công trình thương nghiệp, phân phối lưu thông;
– Các công trình văn hoá, thể thao;
– Các công trình giáo dục, y tế.
Quy mô các công trình phục vụ được tính toán phu hợp với các nhu cầu phục vụ như: phục vụ nhu cầu toàn huyện, phục vụ nhu cầu một khu vực trong huyện và phục vụ trực tiếp cho nhu cầu hàng ngày của dân thị trấn huyện lị, được bố trí tập trung, liên cấp trong cơ cấu của khu dân dụng.
4.7. Các công trình công cộng là những công trình chính của những “trục” và cụm, trung tâm trong khu dân dụng. Bố trí không gian bên ngoài công trình phải thoáng, phải xa mép đường trục, tạo những sân vườn và quảng trường sinh hoạt chung. Một vái công trình công cộng có quy mô lớn tập trung thành cụm có thể xây dựng từ 2 đến 3 tầng kết hợp để tạo không gian sân vườn và quảng trường chung. Hình thức kiến trúc các công trình này phải thực hiện nghiên cứu phối kết đơn giản, nhưng tạo được không gian hài hoà về đẹp, tô điểm cho bộ mặt chính của thị trấn huyện lị. Cần bố trí gần các tuyến hoặc đầu mối giao thông đối ngoại để thuận tiện trong huyện khi nhân dân đến sinh hoạt. Cần bố trí công trình văn hoá, hành chính ở những nơI cao ráo, có phong cảnh đẹp hoặc bề thế, có tầm nhìn rộng (nhà văn hoá huyện, uỷ ban nhân dân huyện, huyện uỷ…).
4.8. Chỉ tiêu đất đai và yêu cầu bố trí cụ thể các công trình công cộng có trong thị trấn huyện lị được xác định theo bảng 7.
Bảng 7
|
Tên công trình |
Chỉ tiêu đất xây dựng |
Yêu cầu bố trí |
|
1 |
2 |
3 |
|
I- Công trình hành chính sự nghiệp |
|
Cần kết hợp lại trong một khu vực hợp khối chung tạo quảng trường. Chọn vị trí cao ráo nghiêm trang tránh khu thương nghiệp, đường đối ngoại, có thể gần khu văn hoá- công viên. |
|
1. Trụ sở uỷ ban huyện, huyện uỷ |
2000m2/trụ sở |
|
|
2. Trụ sở các ban ngành kinh tế – xã hội |
Không quá 500m2/trụ sở |
|
|
3. Huyện đội công an |
1000m2/ 1 cơ quan |
|
|
II- Công trình văn hoá- công viên thể thao |
|
Là công trình văn hoátiêu biểu, hình thành trung tâm công cộng chính của huyện. Cần ưu tiên vị trí và tập trung xây dựng sớm Gắn với trung tâm văn hoá, hành chính huyện Có thể bố trí trên trục phố chính Gắn với công viên nhà văn hoá huyện Có thể bố trí gần trường phổ thông trung học, dạy nghề. |
|
1. Nhà văn hoá huyện – Hội trường đa năng – Nhà truyền thống – Thư viện, triển lãm – Sinh hoạt chuyên đề |
từ 0, 6 đến 0, 8 ha |
|
|
2. Câu lạc bộ thanh thiếu niên |
0, 2ha |
|
|
3. Công viên, quảng trường |
Từ 0, 5 đến 1 ha |
|
|
4. Nhà hát, rạp chiếu bóng |
0, 3 đến 0, 4 |
|
|
5. Sân khấu ngoài trời |
0, 5 ha |
|
|
6. Sân vận động huyện |
1 ha |
|
|
III- Công trình giáo dục |
|
Nên bố trY tế 18 đến 24 lớp phục vụ |
|
1. Trường phổ thông trung học (phục vụ khu vực liên xã) – Trường phổ thông cơ sở (phục vụ tại thị trấn ) – Các trường dạy nghề (cơ sở) |
Từ 25 đến 30 m2/học sinh Từ 20 đến 25 m2/học sinh |
cho một khu vực bán kính 5km. Cân đối nhóm ở trong thị trấn . Gắn với trường phổ thông trung học, sân bãi thể thao thành một cụm công trình công cộng. |
|
IV- Công trình y tế |
|
Cần bố trí ở rìa khu dân dụng tiện giao thông đối ngoại, cao ráo, thoáng mát, vệ sinh, tiện nguồn nước sử dụng . Cần phối hợp thành một cụm sử dụng chung một số công trình phụ gắn với cây xanh bên ngoài. Nếu ở thị trấn huyện lị thì nằm trong bệnh viện huyện Gắn với nhóm ở thị trấn |
|
– Bệnh viện huyện (từ 100 đến 300 giường) |
Từ 100 đến 200 giường |
|
|
– Trạm đông ý (kế cả vườn thuốc) |
Từ 0, 5 đến 0, 8 ha |
|
|
– Nhà điều dưỡng |
Từ 0, 3 đến 0, 5 ha |
|
|
– Phòng khám đa khoa (từ 30 đến 50 giường ở cụm kinh tế – kĩ thuật) |
0, 1 ha |
|
|
– Trạm y tế thị trấn |
|
|
|
V- Công trình thương nghiệp dịch vụ |
|
Các công trình thương nghiệp dịch vụ nên bố trí hợp khối trên trục phố chính (trung tâm tuyến phố)
Nên chú ý phục vụ khách vãng lai
Chợ cần bố trí ở khu dân dụng gần khu bến bãi giao thông thuỷ bộ. Bố trí trên đường vào thị trấn cách xa khu dân dụng 500m. |
|
1. Cửa hàng công nghệ thực phẩm |
Từ 0, 2 đến 0, 5 ha |
|
|
2. Các cửa hàng chuyên bán: – Lương thực, nông sản – Điện máy – Vật liệu xây dựng |
Từ 40 đến 50 m2/chỗ bán |
|
|
3. Hiệu sách |
từ 0, 1 đến 0, 2 ha |
|
|
4. Cửa hàng thuốc |
0, 1 ha |
|
|
5. Các dịch vụ nhỏ: cắt tóc sửa chữa |
Từ 0, 6 đến 0, 1 ha |
|
|
6. Cửa hàng ăn uống giải khát |
Từ 15 đến 20m2/ 1chỗ |
|
|
7. Bưu điện |
Từ 10 đến 12 m2/ghế |
|
|
8. Nhà khách (từ 20 đến 30 giường) |
0, 1 ha |
|
|
9. Chợ huyện |
20m2/ giường |
|
|
10. Bến xe khách |
Từ 0, 5 đến 0, 8 ha |
|
|
11. Trạm xăng dầu |
Từ 0, 3 đến 0, 5 ha |
|
|
12. Nghĩa địa, nghĩa trang liệt sĩ |
500m2 |
Quy hoạch xây dựng các nhóm tập thể và gia đình
4.9. Trong thị trấn huyện lị cần quy hoạch những nhóm nhà ở hộ gia đình và nhà ở tập thể cho cán bộ nhân viên làm việc tại thị trấn.
Cần bố trí nhà ở cho từ 60 đến 80% dân số thị trấn trong đó có 30 đến 40% sống tập thể, từ 60 đến 70% sống theo hộ gia đình (tính cả sô dân nông nghiệp thuộc thị trấn huyện lị).
4.10. Cần bố trí thnàh từng nhóm gồm 300 đến 500 người, ngay về phía sau của nx trục và cụm trung tâm công trình công cộng để tiện bố trí nhóm trẻ và phục vụ điện nước. Đối với nhà ở tập thể có thể bố trí gần, sau nhà làm việc hoặc xen kẽ trên trục phố của thị trấn.
4.11. Việc quy hoạch xây dựng những nhóm nhà ở, dựa trên phương châm “ Nhà nước và nhân dân cùng làm”. Nhà nước hướng dẫn quy hoạch chia lô đường sá, hệ thống kỹ thuật chung, hướng dẫn áp dụng những thiết kế điển hình, phân phối nguyên vật liệu cần thiết để cán bộ công nhân viên dựng nhà ở trong lô đất của mình theo những hướng dẫn quy hoạch cụ thể.
4.12. Quy hoạch nhóm nhà ở cần tận dụng địa hình tự nhiên, hạn chế đào đắp và chặt phá cây để xây dựng. Nhà ở phải được bố trí hướng tốt (hướng gió chủ đạo) của địa phương. ở những khu vực đất có độ dốc, cần bố trí theo đường đồng mức. Cần chú ý bố cục không gian nhóm nhà ở một cách sinh động. Chú ý sử dụng lô đất chia theo hộ gia đình một cách hợp lí nhất. Trong giai đoạn trước mắt có thể bố trí giếng nước sinh hoạt cho từng hộ gia đình hoặc chung cho một cụm từ 5 đến 10 nhà. Mỗi hộ có thể xây dựng hố xí hai ngăn hoặc hố xí bán tự hoại.
Chú thích: Hướng tốt phụ thuộc vi khí hậu của từng địa phương nhưng phải đảm bảo mát mẻ về mùa hè, ấm về mùa đông và không bị bức xạ trực tiếp của mặt trời. Góc đón gió tốt của công trình phải lớn hơn hoặc bằng 300.
4.13. Diện tích đất trong nhóm nhà ở gồm: đất ở gia đình (chia lô), hoặc đất ở tập thể, đất công trình công cộng phục vụ nhóm nhà ở, đất cây xanh, đất đường sá. Chỉ tiêu đất được quy định trong bảng 8.
Bảng 8
m2/người
|
Loại đất ở |
Chỉ tiêu |
Ghi chú |
|
1. Đất ở gia đình 2. Đất công trình phục vụ nhóm nhà ở
3. Đất giao thông cây xanh |
Từ 25 đến 30
2 3 |
Lô đất hộ gai đình lấy từ 100 đến 200m2/hộ Nhà trẻ dịch vụ nhỏ ở trong 1 đến 2 nhóm lấy từ 500 đến 1000m2 Nội bộ trong nhóm ở |
4.14. Cần triệt để tận dụng đất thổ cư nông nghiệp trong thị trấn huyện lị hoặc vùng cận để bố trí xen cấy thêm nhà ở cho nhân dân thị trấn, nhằm tăng mật độ ở, đồng thời cải tạo những điểm dân cư này thành các nhóm ở thị trấn. Diện tích lô đất những khu vực này có thể lấy từ 200 đến 300m2/hộ để phát tnển kinh tế vườn và cung cấp một phần cho nhu cầu của thị trấn huyện lị.
5. Quy hoạch cây xanh
5.1. Cây xanh trong thị trấn huyện lị bao gồm: cây xanh ở vườn hoa, trong sân, ven hồ quảng trường của thị trấn, câv xanh của vườn quanh các công trình kiến trúc, cây xanh trồng trên đường phố, cây xanh cách li một số công trình trạm trại nông nghiệp và tạo những tuyến vỏ bọc chiến đấu xung quanh thị trấn.
5.2. Cần kết hợp với cây xanh bao quanh thị trấn tạo nên thị trấn cây xanh. Những dãy phố cũ, nhà cửa quá chen chúc cần trồng cây xanh xen kẽ làm đẹp thị trán, cải tạo vi khí hậu.
5.3. Diện tích cây xanh tính theo bảng cân bằng đất đai chung trong khu dân dụng diện tích này chủ yếu tính cho vườn hoa, sân vườn chung cho toàn thị trấn) . Nên khai thác những mặt nước sẵn có (hồ, ao, sông, suối) hoặc đào thêm (kết hợp nuôi cá) đưa vào sử dụng trong khu văn hóa thể thao làm tăng diện tích thoáng của thị trấn (khi quy hoạch chỉ tính 30% diện tích này vào diện tích cây xanh).
5.4. Cây xanh, vườn hoa, sân vườn sử dụng chung nên bố trí gắn với những cụm trung tâm phục vụ công cộng đông người (như cụm công trình văn hóa, thương nghiệp chính). Phải chọn ở nơi có địa hình, địa thế đẹp, có tầm nhìn rộng, đất có khả năng trồng nhiều loại cây. Cần kết hợp bố trí trên khu đất một số công trình kiến trúc nhỏ nhất nhà nghỉ, quầy giải khát, vườn cảnh, sân chơi của trẻ nhỏ… Diện tích có bóng mát trên từng khu đất phải lớn hơn 50% . Diện tích của mỗi khu đất dành cho sân vườn sử dụng chung phải lớn hơn 0, 2ha.
5.5. Cây xanh bao quanh các công trình kiến trúc được tính trong diện tích đất của tổng công trình. Cần trồng cây xanh tạo bóng mát che cho công trình ở những hướng nắng chiếu trực tiếp vào công trình. Cần tạo ra những sân vườn sinh hoạt chung, ở phía trước mặt công trình trồng hoa, cây cảnh thấp, cây tán thoáng, có hoa đẹp. Cần có tường rào cây xanh kết hơp sân vườn của một vải công trình công cộng kề nhau, tạo nên mảng không gian cây xanh liên tục.
5.6. Cần quy hoạch trồng theo hàng lối, khống chế thể loại, độ cao, thấp… tạo nên màu xanh và có hoa liên tục quanh năm (chú ý đến điều kiện khí hậu và loại cây trồng riêng ở từng địa phương) . Khi bố trí nên dựa vào dạng đường phố và không gian kiến trúc để tổ chức cho phù hợp. Mỗi đường phố chỉ nên trồng từ l đến 3 loại cây. Không nên trồng loại cây có quả thu hút ruồi, muỗi, gây mất vệ sinh.
5.7. Những dải cây xanh cách li, tạo vỏ bọc chiến đấu bên ngoài thị trấn cần bảo đảm liên tục và nhiều tầng. chú ý trồng những cây phát triển nhanh như: tre, phi lao, bạch đàn, duối, trên những dải đất xấu hoặc ven các kênh rạch vừa có tác dụng cách li tiếng ồn, bụi chống gió bão, vừa có thể kết hợp lấy gỗ, làm chất đất và xây dựng.
6. Quy hoạch giao thông
6.1. Giao thông đối ngoại của thị trấn huyện lị chủ yếu là đường ô tô. Một số ít thị trấn huyện lị có đường thủy và đường sắt đi qua. Bến ô tô khách, bến thuyền và ga đường sắt là công trình giao thông đối ngoại cần quy hoạch.
6.2. Nếu đường quốc lộ hoặc tỉnh lộ xuyên qua thị trấn huyện lị và đồng thời là trục chính của thị trấn huyện lị thì phải bảo đảm chỉ giới xây dựng cách đường đỏ là 10m. Nếu lưu lượng xe trên 500 xe/ngày đêm thì cần làm đường tránh ra ngoài thị trấn.
6.3. Bến ô tô khách nên bố trí gần đầu mối giao thông đảm bảo sự liên hệ thuận tiện với trung tâm công cộng. Bến ô tô hàng hóa nên bố trí gần kho tàng xí nghiệp công nghiệp và tiểu thủ công nghiệp.
Bến ca nô, thuyền có thể là bến hỗn hợp chở hành khách và hàng hóa, bố trí có bờ sông ổn định, đủ mớn nước, không bị ngập lụt và an toàn. Vị trí của bến ca nô, bến thuyền nên bố trí ở gần khu vực sản xuất và không cách quá xa khu dân Riêng bến hành khách có thể bố trí gần khu trung tâm.
Trường hợp có đường sắt đi qua và ga đỗ gần thị trấn huyện lị thì phảỉ có đường liên hệ thuận tiện giữa ga và thị trấn huyện lị. Bố trí các khu chức năng không được hưởng đến ga, cần có khoảng cách li với nhà ga và đường tầu từ 50 đến 100m.
6.4. Mạng lưới đường phải được quy hoạch thống nhất để bảo đảm giao thông thuận tiện an toàn và nhanh chóng.
Mạng lưới đường trong thị trấn huyện lị được phân loại như sau:
a) Đường chính là đường trục bảo đảm liên hệ giữa các khu chức năng với bên ngoài
b) Đường nhánh là đường nối từ đường chính vào các khu chức năng;
c) Ngõ phố là đường trong các nhóm nhà ở, nối các nhà ở với đường nhánh.
6.5. Thiết kế mạng lưới đường phải chú ý đến khả năng phát triển trong tương lai. Những yêu cầu kĩ thuật của các loại đường nên theo quy định trong bảng 9.
Bảng 9
|
Loại đường |
Loại mặt đường |
Chiều rộng làn xe(m) |
Số làn xe hai chiều |
Chiều rộng đường đỏ(m) |
Độ dốc dọc tối đa(%) |
Rmin bình đồ (m) |
Rmaxcong đứng |
Ghi chú |
|
|
Cong lồi (m) |
Cong lõm (m) |
||||||||
|
1. Đường chính |
Đường nhựa hoặc cấp phối |
3, 5 |
2 |
Từ 25 đến 30(tương ứng tầng cao) |
60 |
200 |
4000 |
1000 |
Đường 2 chiều 2 bên có hè phố |
|
Đường chính |
Đường cấp phối hoặc đường nhựa |
3 |
2 |
20 |
50 |
100 |
2000 |
500 |
Đường 2 chiều không có hè phố |
|
Đường ngõ |
Đường đá, gạch, cấp phối |
3 |
1 |
18 |
Từ 40 đến 50 78-80 |
30 |
2000 |
500 |
Cho đi bộ, xe đạp và xe con Cho đi bộ và xe con |
6.6. Khi có lưu lượng ô tô lớn qua thị trấn huyện lị cần bố trí trạm xăng dầu để cung cấp xăng dầu trong huyện và xe quá cảnh. Diện tích đất xây dựng trạm xăng dầu khoảng 1000m2.Khoảng cách li tính từ trạm xăng dầu đến công trình kiến trúc không được nhỏ hơn 50m.
6.7. Bãi đỗ xe ô tô nên bố trí ven đường phố, gần khu trung tâm và các cơ sở sản xuất. Diện tích một chỗ để xe cần tính như sau:
– Xe tải, xe ca lấy từ 15m2;
– Xe con lấy 25 m2;
7. Chuẩn bị kỹ thuật đất đai xây dựng
7.1. Công tác chuẩn bị đất đai xây dựng bao gồm:
– Công tác tôn đắp nền;
– Tổ chức hệ thống thoát nước mưa;
– Công tác chống lũ lụt, chống sụt lở, xói mòn;
7.2. Khi nghiên cứu biện pháp chuẩn bị kĩ thuật phải cố gắng giữ gìn bảo vệ mặt đất, cây xanh và phong cảnh thiên nhiên.
7.3. Quy hoạch san đắp nền phải đảm bảo các điều kiện sau:
– Phù hợp với hệ thông thoát nước mưa;
– Phù hợp với độ dốc cho phép của đường phố;
– Tận dụng đến mức cao nhất địa hình thiên nhiên, giữ gìn lớp đất mầu;
– Khối lượng đào lắp ít và cân đối giữa đào và lắp;
– Hạn chế chiều cao lớp đất đắp so với chiều trung bình của đáy móng công trình;
– San đắp nền không được gây nên tình trạng lún trượt trên mái dốc;
– Nước mưa trên toàn khu vực được thoát ra bằng hệ thống mương, kênh, khe suối. Hệ thống thoát nước mưa không được xả vào nguồn nước sinh hoạt.
– ở vùng đồng bằng nên sử dụng hồ ao có sẵn có điều kiện kết hợp nuôi cá;
– Đối với vùng khô nóng kéo dài cần tổ chức kênh tưới xuyên qua thị trấn huyện lị để cấp nước cho hồ ao và tưới cây;
– Khu đất xây dựng thị trấn huyện lị phải được bảo vệ chống lũ lụt;
– Đối với thị trấn huyện lị vùngđồi núi phải xây dựng ở độ cao trên mức lũ cao nhất đã điều tra, đồng thời phải có mương chặn dòng nước từ sườn đồi núi cho chảy ra khe suối, không cho nước chảy vào thị trấn huyện lị;
– Đối với thị trấn huyện lị vùng đồng bằng cần có giải pháp chống úng nội đồng, tôn đắp nền từng phần hoặc đắp đê ngăn lũ;
7.4. Khi xây dựng ở khu đất bị ngập nước mưa, có sói mòn, sụt lở phải có gải pháp trồng cây, đánh đập, gia cố mái dốc, nắn dòng chảy, xây dựng công trình tiêu năng.
8. Quy hoạch các công trình kĩ thuật
Cấp điện
8.1. Cấp điện cho thị trấn huyện lị được phân làm hai loại:
– Điện dùng cho nhu cầu sản xuất;
– Điện dùng cho nhu cầu dân dụng (chiếu sáng, dùng cho các dụng cụ gia đình, cho các thiết bị động lực v.v…).
8.2. Điện lấy từ lưới điện quốc gia hoăc các trạm thuỷ điện nhỏ của địa phương. Các công trình thuỷ điện nhỏ phải kết hợp chặt chẽ với công tác thuỷ lợi và chống lũ.
Đối với các công trình quan trọng cần điện thường xuyên như phòng mổ bệnh viện, các xí nghiệp có công trình sản xuất liên tục, cần có nguồn dự phòng tại chỗ để đảm bảo cung cấp điện liên tục.
8.3. Đối với lưới phân phối điện áp từ 35KV trở xuống, cho phép xây dựng đường dây trên không. Các tuyến điện cao thế trên 35KV phải đưa ra ngoài khu dân cư, hành lang bảo vệ rộng từ 12 đến 50m.
Khu vực trạm biến thế phải có hàng rào bao quanh, diện tích khu đất xây dựng trạm biến thế lấy từ 150 đến 300m2.
8.4. Điện dùng cho dân dụng theo quy định trong bảng 10
Bảng 10
|
Đơn vị sử dụng |
Giai đoạn đầu |
Tương lai |
|
W/người KWh/ người năm Số giờ sử dụng công suất lớn nhất |
35 70 2.000 |
200 600 3.000 |
Điện chiếu sáng cho đường phố phải đảm bảo độ rọi nhỏ nhất là 0, 5 lux.
8.5. Điện truyền thanh, điện thông tin phải đảm bảo các yêu cầu sau đây:
Vị trí trạm truyền thanh, thông tin hữu tuyến phải đảm bảo yêu cầu quốc phòng gắn với khu trung tâm văn hoá, chính trị thuận tiện cho cung cấp điện và xa các nguồn gây cảm nhiễm tạp âm. Diện tích xây dựng trạm truyền thanh lấy từ 400 đến 600 m2.
Đường dây điện của hệ thống truyền thanh không được dùng chung trên hàng cột với đường dây điện thoại dùng dây trần. Nên bố trí đường dây truyền thanh và đường dây điện thoại nối ở hai phía đường khác nhau.
Cấp nước
8.6. Nước cho thị trấn huyện lị gồm các loại sau:
Nước sinh hoạt trong các nhóm nhà ở;
Nước dùng cho các công trình công cộng;
Nước tưới rửa đường;
Nước dùng cho sản xuất của các xí nghiệp tiểu thủ công nghiệp; Nước dùng cho hệ thống cấp nước và hao phí rò rỉ đường ống; Nước dự trữ để chữa cháy;
Nước dự phòng để phục vụ cho việc mở rộng thị trấn huyện lị.
8.7. Tiêu chuẩn nước sinh hoạt tính cho đợt đầu lấy từ 80 đến 100 lít/ người ngày và tính cho quy hoạch dài hạn từ 150 đến 200 lít/người ngày.
Tiêu chuẩn dùng nước cho các công trình công cộng lấy theo yêu cầu cụ thể của từng công trình, sơ bộ có thể lấy từ 6 đến 8% lượng nước sinh hoạt.
Tiêu chuẩn nước dùng rửa đường, tưới cây vườn rau, vườn hoa sơ bộ lấy 15 đến 25% lượng nước sinh hoạt.
Tiêu chuẩn nước dùng cho sản xuất và sinh hoạt của công nhân trong xí nghiệp lấy theo xí nghiệp có công suất và tính chất sản xuất tương tự, hoặc lấy theo tiêu chuẩn nước dùng cho một đơn vị sản phẩm.
Nước dùng cho hê thống cấp nước lấy theo yêu cầu cụ thể của hệ thống cấp nước, sơ bộ có thể lấy từ 4 đến 6% công suất của nhà máy nước.
Lượng nước chứa cháy có thể lấy từ 10 đến 15 lít/s.
8.8. Chọn và sử dụng các nguồn nước cấp, phải dựa các tài liệu khảo sát thăm dò có hệ thống các nguồn nước và phải được sự đồng ý của các cơ quan quản lí nguồn nước và cơ quan y tế.
Nguồn nước phải đảm bảo yêu cầu về lưu lượng và chất lượng nước và các điều kiện vệ sinh nguồn nước.
8.9. Công trình thu trước mặt phải đặt ở đầu nguồn nước. Khi chọn vị trí công trình lấy nước cần tiến hành đồng thời các việc chọn vị trí trạm xử lí nước bẩn và miệng xả nước bẩn.
Trạm xử lí nước phải đặt ở đầu hướng gió chính cách li với khu dân cư và kho tàng xí nghiệp. Diện tích khu đất xây dựng trạm xử lí nước lấy từ 0, 5 đến 1, 0 ha.
8.10. Mạng lưới đường ống cấp nước có thể thiết kế mạch vòng hoặc mạng lưới cụt nhưng phải đảm bảo đủ lưu lượng và áp lực trong giờ dùng nước nhiều nhất và kiểm tra khi có đám cháy.
8.11. Ngoài những quy định trên đây khi thiết kế cụ thể cần áp dụng các tiêu chuẩn hiện hành về cấp nước.
Thoát nước
8.12. Đối với thị trấn huyện lị có thể sử dụng hệ thống cống chung. Nên xây dựng các đường cống, bằng gạch hoặc bằng đá trên mặt có tấm nắp đan bêtông để đảm bảo an toàn giao thông và tránh hôi thối.
8.13. Khoảng cách li vệ sinh của các công trình làm sạch nước bẩn đến khu dân cư hoặc xí nghiệp thực phẩm lấy theo quy định sau:
Công trình xử lí bằng cơ học có sân phơi bùn :200m;
Khu đất tưới dưới 1 ha: 50m;
Khu ruộng tưới trên 1 ha: :150m;
Công trình xử lí bằng cơ học và bằgn sinh vật nhân tạo công suất đến ngày 50m3/ngày; :100m
Trạm bơn nước bẩn công suất đến 50.000m3/ngày :25m
Số liệu về số lượng chất thải tính theo đầu người trong 1 năm lấy theo bảng 11
Bảng 11
|
Chất thải |
Số lượng chất thải người/năm |
|
|
Tíhh ra kg |
Tính ra lít |
|
|
Số lượng chất thải tính chung Phân của xí 2 ngăn (điểm xỉ than bùn70%) Rác đường phố, quảng trường tính cho 1m2/diện tí |
từ 120 đến150 ” 200 ” 300 ” 5 ” 15 |
500 Từ 200 đến 300 ” 3 ” 8 |
8.14. Cần tổ chức các bãi khu xử lí phân rác. Bãi phân rác phải bố trí ngoài giới hạn thị trấn huyện lị. Diện tích và khoảng cách li lấy theo bảng 12.
Bảng 12
|
Nơi chứa, xử lí |
Diện tích bãi (ha/1000 tấn/năm) |
Khoảng cách li vệ sinh (m) |
|
Khu ủ phân tươi Bãi đổ rác Bãi đổ phân và huỷ hoại Bãi huỷ hoại rác để làm phân bón |
0, 04 Từ 0.2đến 0, 05 “ 1 “ 2 “ 2 “ 4 |
500 500 500 1000 |
Phải có phương tiện thu dọn rác trên đường phố và các khu công cộng. Mỗi thị trấn huyện lị cần trang bị 4 đến 5 xe chở rác công cộng đẩy tay.
Phụ lục 1
Nội dung hồ sơ quy hoạch chung và quy hoạch xây dựng đợt đầu
1. Trình duyệt đồ án và lập hồ sơ chính thức quy hoạch chung thị trấn huyện lị
Đồ án quy hoạch chung được nghiên cứu và thể hiện trên bản đồ địa hình tỉ lệ 1/5000 đến 1/2000.
Thành phần và nội dung hồ sơ đồ án quy hoạch tổng thể thị trấn huyện lị gồm có:
1.1. Các bản đồ bản vẽ bao gồm:
– Sơ đồ mối quan hệ giữa thị trấn huyện lị và vùng huyện(liên huyện cấp thiết) được thể hiện trên bản đồ tỉ lệ 1/25.000.
– Bản đồ hiện trạng sử dụng đất đai, địa chất công trình, địa chất thuỷ văn tỉ lệ 1/2000 đến1/5000.
– Bản đồ hiện trang kiến triúc thị trấn huyện lị tỉ lệ 1/2000
– Bản đồ hiện trạng các mạng lưới kĩ thuật giao thông, điện. cống cấp thoát nước tỷ lệ 1/2000.
– Bản đồ đánh gía hiện trạng đất đai xây dựng trong giới hạn đất đai điều kiện xây dựng và công trình kiến trúc kĩ thuật hiện có tỉ lệ 1/5000 đến 1/2000 (thể hiện rõ 3 loại đất: thuận lợi, ít thuận lợi và không thuận lợi cũng như tính chất, khả năng sử dụng của các công trình kiến trúc kĩ thuật hiện có).
– Bản đồ quy hoạch tổng thể thị trấn huyện lị là bản vẽ chính được thể hiện trên bản đồ địa hình tỉ lệ từ 1/5000 đến 1/2000. Trên đó thể hiện rõ giới hạn của các khu chức năng như: xí nghiệp, kho tàng, bến bãi khu ở, khu trung tâm, vườn cây mối quan hệ giữa chúng. Thể hiện rõ nét trên vị trí mặt bằng những công trình trọng điểm như trụ sở uỷ ban nhân dân dân huyện, công trình văn hoá, thương nghiệp, đầu mối giao thông kĩ thuật chính.
– Bản đồ quy hoạch giao thông thể hiện tỉ lệ 1/5000 đến 1/2000 phù hợp với quy hoạch tổng thể. Trên đó thể hiện rõ các loại tuyến giao thông chính đối nội, đối ngoại, các quảng trường, đầu mối giao thông: bến xe, bến thuyền, bến cảng… Thể hiện rõ chỉ giới đường đỏ xây dựng đối với các trục phố chính và các mặt cắt tương ứng tỉ lệ 1/200.
– Bản đồ chuẩn bị kĩ thuật đất đai xây dựng thể hiện tỉ lệ 1/5000 đến 1/2000. Trên đó chỉ rõ các khu vực phải đào, đắp, tôn nền, thoát nước mặt hồ chứa, cống điều tiết, các cốt thiết kế khống chế, độ dài, độ dốc, đường kính hệ thống cống, tuyến thoát nước.
– Bản đồ về cấp nước sản xuất và sinh hoạt tỉ lệ 1/5000 đến 1/2000.
– Bản đồ về cấp điện sản xuất và sinh hoạt tỉ lệ 1/5000 đến 1/2000.
– Bản đồ mạng lưới thoát nước bẩn tỉ lệ1/5000 đến 1/2000.
– Bản đồ sơ phác mặt bằng và phối kết không gian khu trung tâm được thể hiện ở tỉ lệ 1/1000 đến 1/2000 hoặc 1/500, trên đó thể hiện rõ đường nét và hình khối không gian (kém theo khối cảnh hoặc mô hình).
1.2. Các văn bản thuyết minh, phụ lục bao gồm:
– Bản chính hoặc bản sao các quyết định của uỷ ban nhân dân dân tỉnh, tỉnh uỷ, các biên bản thoả thuận với các ngành có liên quan và quy mô, tính chất phương hướng phát triển không gian thị trấn huyện lị.
– Thuyết minh quy hoạch tổng thể trong đó nêu rõ các điều kiện tự nhiên khí hậu, cơ sở kinh tế, văn hoá, kĩ thuật… Các chỉ tiêu kinh tế – kĩ thuật chủ yếu. Thuyết minh rõ ý đồ phát triển phân khu chức năng, ý đồ quy hoạch các mạng lưới kĩ thuật, so sánh, đánh giá về lựa chon phương án. Nêu rõ điều kiện xây dựng đợt đầu, các biện pháp thực hiện đồ án và các vấn đề tồn tại.
– Các phụ lục gồm các biểu bảng thống kê sơ đồ và biểu đồ.
2. Trình duyệt đồ án và lập hồ sơ chính thức quy hoạch xây dựng đợt đầu thị trấn huyện lị
2.1. Phân bố hồ sơ đồ án quy hoạch xây dựng đợt đầu được thể hiện trên bản đồ tỉ lệ 1/2000 hoặc 1/5000 bao gồm:
– Bản đồ tổng mặt bằng xây dựng đợt đầu;
– Bản đồ quy hoạch giao thông;
– Bản đồ chuẩn bị kĩ thuật đất đai xây dựng;
– Bản đồ cấp nước và cấp điện;
– Bản đồ thoát nước bẩn;
– Bản đồ quy hoạch khu trung tâm xây dựng đợt đầu tỉ lệ 1/1000 hoặc 1/500.
2.2. Thuyết minh đồ án quy hoạch xây dựng đợt đầu nêu rõ dân số, các cơ sở sản xuất, kho tàng các công trình văn hoá, thương nghiệp, dịch vụ công cộng, diện tích nhà ở, vườn hoa, các công trình xây dựng đợt đầu, ý đồ quy hoạch kiến trúc, các giải pháp kĩ thuật, khả năng cung cấp vật liệu xây dựng, lực lượng xây dựng, vốn đầu tư các loại. Thuyết minh cần nêu rõ các giải pháp thực hiện và công tác chuẩn bị xây dựng, giải pháp mặt bằng, đền bù ruộng đất, hoa màu di chuyển dân v.v…
3. Lập, bảo quản sơ đồ
3.1. Các đồ án quy hoạch tổng thể và quy hoạch xây dựng đợt đầu sau khi được phê duyệt được lập hồ sơ.
3.2. Các bản đồ, sơ đồ, bản vẽ phải thể hiện bằng kí hiệu thống nhất. Các bản vẽ mẫu, cũng phải tuân theo quy định về màu sắc. Các chữ số và chữ viết phải rõ ràng nghiêm túc, nội dung trên bản vẽ phải chính xác, dễ hiểu. Thuyết minh phải dễ hiểu, xúc tích.
3.3. Trên các bản đồ, sơ đồ, bản vẽ của hồ sơ phải ghi rõ cấp phê duyệt đồ án, số văn bản và ngày tháng phê duyệt, chữ kí của thủ trưởng và con dấu của cơ quan thiết kế, chữ kí của chủ trì, cán bộ thiết kế, xưởng trưởng, quản lí kĩ thuật và cán bộ kiểm tra đồ án.
3.4. Các bản vẽ, các bản đồ trong hồ sơ phải đánh số thứ tự, ghi rõ trên từng bản vẽ, hồ sơ phải đóng thành tập có bìa chắc chắn để bảo quản tốt.
Phụ lục 2
Thí dụ tính toán xác định tầng cao, dân số và đất dân dụng của trung tâm thị trấn huyện lị

1. Công thức tính chiều cao bình quân:
Trong đó:
Ttb-tầng cao trung bình;
X1, X2, Xi –tỉ lệ tầng caocủa các loại nhà ở
T1, T2, Ti –số tầng cao nhà ở(1, 2, 3… tầng).
Thí dụ: Nhà ở thị trấn huyện lị bao gồm:
– Nhà ở gia đình có sân vườn: loại 1 tầng:30% loại 2 tầng: 30%
– Nhà ở tập thể cho cán bộ, loại 2 tầng:20%
Công nhân viên trong cơ quan loại 3 tầng:20%
áp dụng công thức trên ta có:

2. Tính quy mô dân số của thị trấn huyện lị:
a- Phương pháp 1:

Phân tích xác định số lượng nhân khẩu cơ bản tuyệt đối A=2000 người (lao động cơ bản trong thành phần tạo lập).
Vận dụng đối với mốc quy hoạch dài hạn ở một thị trấn huyện lị nào đó lấy tỉ lệ
![]()
thành phần trong bảng 4 điều 2.3. Ta có dân số:
a=100-(18+42)=40
b=48c=42
Từ đó tận dụng tỉ lệ phục vụ và lệ thuộc trong bảng tương ứng ta tìm được dân số phục vụ và lệ thuộc.
N1 = B x K
a- Phương pháp 2
Phân tích xác định tổng lượng lao động (kế cả cơ bản phục vụ)
B=2600 người, vận dụng hệ số K=2, 5;ta có:
N1=2600 2, 5=6500 người
N1 = 2600 x 2,5
Hệ số K=2, 0; ta có
Từ đó vận dụng tỉ lệ các thành phần đã xác định để tính trị số lệ thuộc, phục vụ cần thiết.
3. Cách tính cân bằng đất dân dụng theo dân số:
– Lấy trị số N1…4000 dân
– Lấy trị số N2-N3 …khoảng 15000 dân
– Vận dụng chỉ tiêu cân bằng đất dân dụng.
Ta có bảng cân bằng đất đai ở thị trấn huyện lị như sau:
Bảng 1
|
Loại đất |
Tiêu chuẩn diện tích(m2/người) |
Diện tích (ha) |
Tỉ lệ chiếm đất(%) |
Ghi chú |
|
1. Đất ở |
35 |
14 |
30 |
N1=4000 dân |
|
2. Đất công cộng |
20 |
30 |
50 |
N2+N3=15000 dân |
|
3. Đất giao thông quảng trường |
7 |
10, 5 |
15 |
|
|
4.Đất cây xanh |
3 |
4, 5 |
5 |
|
|
Tổng cộng |
63 |
59 |
100 |
|
Phụ lục 3
Phân loại hạng mục công trình xây dựng tại thị trấn huyện lị
(Dùng để tham khảo phân tích, tính toán quy mô dân số theo phương pháp 1)
|
Hạng mục |
Số người |
Ghi chú |
|
1 |
2 |
3 |
|
A. Cơ quan quản lí hành chính kinh tế – xã hội và phục vụ cấp huyện 1. Uỷ ban nhân dân huyện 2. Huyện uỷ 3. Huyện đội 4. Công an huyện 5.Toà án huyện 6. Thanh tra, kiểm sát huyện 7. Mặt trận tổ quốc huyện 8. Huyện đoàn 9. Phụ nữ 10. Ngân hàng huyện 11. Tài chính huyện |
Từ 100 đến 160 “ 60 “ 80 “ 60 “ 80 “ 20 “ 25 “ 5 “ 10 “ 5 “ 10 “ 5 “ 8 “ 3 “ 5 “ 3 “ 5 “ 20 “ 30 “ 20 “ 30 |
Gồm các phòng ban trực thuộc Gồm các ban trực thuộc |
|
12. Bưu điện truyền thanh huyện |
“ 15 “ 20 |
Phục vụ toàn huyện |
|
13. Bệnh viện huyện |
“ 50 “ 100 |
|
|
14. Phòng khám đa khoa |
“ 20 “ 30 |
|
|
15. Công ty công nghệ phẩm |
“ 30 “ 50 |
|
|
16. Công ty lương thực |
“ 12 “ 15 |
Cho toàn huyện |
|
17. Công ty thực phẩm |
“ 15 “ 20 |
|
|
18. Công ty ăn uống |
“ 15 “ 20 |
|
|
19. Công ty chiếu bóng |
“ 15 “ 20 |
Thuộc nhà văn hoá huyện |
|
20. Liên hiệp hợp tác xã |
“ 20 “ 30 |
|
|
21. Tổng đội hoặc công ty xây dựng |
“ 100 “ 500 |
|
|
B. Các trường đào tạo trung, sơ cấp và trường phổ thông |
|
|
|
1. Trường sơ cấp xây dựng, giao thông,thuỷ lợi,kiến trúc |
20 |
|
|
2. Trường sơ cấp kĩ thuật nông nghiệp |
20 |
|
|
3. trường sơ cấp tài chính kế hoạch |
Từ 15 đến 20 |
|
|
4. Trường Đảng, trường dân chính |
“20 “ 30 |
|
|
5. Trường dạy nghề thủ công |
“ 19 “ 20 |
Phục vụ cho một khu vực huyện |
|
6. Trường phổ thông trung học |
“20 “ 30 |
Phục vụ cho toàn huyệ |
|
7. Trường vừa học vừa làm |
“ 15 “ 20 |
|
|
C. Các xí nghiệp thủ công |
|
Số người phụ thuộc vào quy mô công suất của từng loại xí nghiệp được xác định cụ thể theo luận chứng kinh tế kĩ thuật đầu tư xây dựng phát triển công nghiệp tiểu thủ công nghiệp của huyện đặt tại thị trấn huyện lị |
|
1. Xí nghiệp chế biến lương thực thực phẩm |
– |
|
|
2. Xí nghiệp chế biến thức ăn gia súc |
– |
|
|
3. Xí nghiệp xay xát |
– |
|
|
4. Xí nghiệp mộc sản xuất vật liệu xây dựng và hàng tiêu dùng |
– |
|
|
5. Xí nghiệp cơ khí sản xuất và sửa chữa máy và hàng nông cụ |
– |
|
|
5. Xí nghiệp thủ công nghiệp |
– |
|
|
– May |
|
|
|
– Đan lát |
|
|
|
– Dệt thảm chiếu cói |
|
|
|
– Gốm |
|
|
|
– Gạch ngói |
|
|
|
7. Xí nghiệp chế biến dầu các loại hoa quả, giấy thực phẩm hộp, đường và những công trình |
– |
Đã phát triển nhiều ở miền Nam |
|
D. Trạm trại kho tàng |
|
|
|
1.Trạm cơ khí và sửa chữa máy nông nghiệp |
Từ 60 đến 100 |
|
|
2. Trạm phân phối thức ăn gia súc |
15 |
|
|
3. Trạm nghiên cứu sinh thái cây trồng |
15 |
|
|
4. Trạm thuỷ nông |
“ 10 “ 15 |
|
|
5. Trạm bảo vệ thực vật |
“ 15 “ 20 |
|
|
6. Trạm thú y |
“ 15 “ 20 |
|
|
7. Trạm vật tư kĩ thuật nông nghiệp |
“ 20 “ 30 |
Có thể trở thành công ty |
|
8. Trạm vật liệu (công ty cung ứng) |
“ 30 “ 50 |
Nt |
|
9. Trạn thu mua nông sản |
“ 30 “ 50 |
nt |
|
10. Trạm ngoại thương thu mua hàng xuất khẩu |
“ 20 “ 30 |
Nt |
|
11. Trạm điện lực (nếu có) |
“ 5 “ 3 |
|
|
12. Trạm cấp nước (nếu có) |
“ 3 “ 5 |
|
|
13. Trạm bèo |
“ 30 “ 50 |
|
|
14. Trại giống cây trồng |
“ 20 “ 30 |
|
|
15. Trại cây ăn quả |
“ 10 “ 15 |
|
|
16. Traị giống lợn |
“ 30 “ 60 |
|
|
17. Trại trâu bò |
“ 20 “ 30 |
|
|
18. Trại gà, vịt |
“ 20 “ 30 |
|
|
19. Trại cá |
“ 15 “ 20 |
|
|
20. Trại hoa (nếu có) |
“ 10 “ 15 |
|
|
21. Kho lương thực (tổng kho) |
“ 5 “ 8 |
|
|
22. Kho giống cây trồng |
“ 5 “ 8 |
|
|
23. Kho vật tư kĩ thuật nông nghiệp |
“ 5 “ 8 |
|
|
24. Kho vật liệu xây dựng |
“ 5 “ 8 |
Tập trung khu vực tổng kho, nhập và phân phối theo các công ty hoặc các trạm tương ứng |
|
25. Kho nhiên liệu |
“ 3 “ 5 |
|
|
26. Kho phân hoá học |
“5 “ 8 |
|
|
27. Kho công nghệ thực phẩm |
“5 “ 8 |
|


