Tiêu chuẩn Việt Nam TCVN4506:1987

  • Loại văn bản: Tiêu chuẩn Việt Nam
  • Số hiệu: TCVN4506:1987
  • Cơ quan ban hành: ***
  • Người ký: ***
  • Ngày ban hành: ...
  • Ngày hiệu lực: ...
  • Lĩnh vực: Xây dựng
  • Tình trạng: Không xác định
  • Ngày công báo: ...
  • Số công báo: Hết hiệu lực

Tiêu chuẩn Việt Nam TCVN 4506:1987 về nước cho bê tông và vữa – yêu cầu kỹ thuật đã được thay thế bởi Tiêu chuẩn quốc gia TCVN 4506:2012 về Nước trộn bê tông và vữa – Yêu cầu kỹ thuật .

Nội dung toàn văn Tiêu chuẩn Việt Nam TCVN 4506:1987 về nước cho bê tông và vữa – yêu cầu kỹ thuật


TIÊU CHUẨN VIỆT NAM

TCVN 4506 : 1987

NƯỚC CHO BÊ TÔNG VÀ VỮA – YÊU CẦU KĨ THUẬT
Water for concretes and mortars – Technical requirements

Tiêu chuẩn này áp dụng cho nước dùng để trộn bê tông, trộn vữa, rửa cốt liệu và bảo dưỡng bê tông.

Tiêu chuẩn này không áp dụng cho nước dùng trong bê tông xi măng lưới thép. Tiêu chuẩn này là bắt buộc áp dụng.

1 Yêu cầu kĩ thuật

Nước dùng trong bê tông và vữa phải đảm bảo các yêu cầu sau:

1.1. Không chứa váng dầu hoặc váng mỡ.

1.2. Không có mầu khi dùng cho bê tông và vữa hoàn thiện.

1.3. Lượng hợp chất hữu cơ không vượt quá 15mg/l.

1.4. Có độ pH không nhỏ hơn 4 và không lớn hơn 12,5.

1.5. Tuỳ theo mục đích sử dụng, lượng muối hoà tan lượng ion sunfat, lượng ion Clo và lượng cặn không tan không vượt quá các giá trị quy định trong bảng dưới đây:

mg/l

Mục đích sử dụng

Muối hoà tan

Ion sunfat

Ion Clo

Cặn không tan

1. Nước trộn bê tông và nước trộn vữa bảo vệ cốt thép cho các kết cấu bê tông cốt thép ứng suất trước.

2. Nước trộn bê tông và nước trộn vữa chèn mối nối cho các kết cấu bê tông cốt thép thông thường, cho các công trình xả nước và các thành phần của kết cấu khối lớn có tiếp xúc với mức nước thay đổi.

3. Nước trộn bê tông cho các công trình dưới nước và các phần bên trong của kết cấu khối lớn. Nước trộn bê tông không cốt thép. Nước trộn vữa xây trát các kết cấu không có yêu cầu trang trí bề mặt.

4. Nước trộn vữa và bảo dưỡng bê tông các kết cấu có yêu cầu trang trí bề mặt. Nước rửa, tưới ướt và sàng ướt cốt liệu.

5. Nước bảo dưỡng bê tông các kết cấu không có yêu cầu trang trí bề mặt (trừ công trình xả nước).

6. Nước tưới ướt các mạch ngừng trước khi đổ tiếp bê tông tưới ướt các bề mặt bê tông trước khi chèn khe nối. Nước bảo dưỡng bê tông các công trình xả nước và làm nguội bê tông trong các ống xả nhiệt của khối lớn.

2000

 

 

5000

 

 

10.000

 

 

5000

 

30.000

 

1000

600

 

 

2700

 

 

2700

 

 

2700

 

2700

 

500

350

 

 

1200

 

 

3500

 

 

1200

 

20.000

 

350

200

 

 

200

 

 

300

 

 

500

 

500

 

500

Chú thích:

1. Khi sử dụng xi măng alumin hoặc xi măng thạch cao alumin làm chất kết dính cho bê tông và vữa, nước dùng cho tất cả các mục đích sử dụng phải theo đúng quy định của mục 1.

2. Trong những trường hợp đặc biệt, cho phép sử dụng nước không thoả mãn quy định trong bảng, nếu qua thí nghiệm so sánh với nước tiêu chuẩn này không gây ảnh hưởng tới công việc thi công và chất lượng quy định trong thiết kế.

2 Lấy mẫu và phương pháp thử

2.1. Lấy mẫu, bảo quản và vận chuyển nước để kiểm tra theo TCVN 2652: 1978 .

Chú thích: Nước uống dùng cho bê tông và vữa không phải kiểm tra chất lượng.

2.2. Xác định váng dầu mỡ và mầu nước bằng quan sát mắt thường.

2.3. Xác định lượng hợp chất hữu cơ theo TCVN 2671: 1978 .

2.4. Xác định độ PH theo TCVN 2655: 1978 .

2.5. Xác định lượng ion sunfat theo TCVN 2659: 1978.

2.6. Xác định lượng ion Clo theo TCVN 2656: 1978.

2.7. Xác định lượng cặn không tan:

2.7.1. Thiết bị thử:

Bình trục dung tích 1000ml;

Phễu và giấy lọc băng xanh;

Tủ sấy 200oC;

Cân kĩ thuật chính xác tới 0,001g.

2.7.2. Tiến hành thử.

Khuấy lắc kĩ mẫu nước và lấy ra 500ml cho vào bình trụ lọc nước qua phễu có giấy lọc băng xanh đã sấy khô đến khối lượng không đổi và cân sẵn từ trước. Sau đó đưa phễu chứa cặn trên giấy lọc vào tủ sấy, sấy ở 105oC đến khối lượng không đổi.

2.7.3. Tính kết quả.

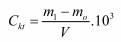
Lượng cặn không tan (Ckt) tính bằng mg/l theo công thức

Trong đó:

mo – Khối lượng phễu và giấy lọc, tính bằng mg;

m1 – Khối lượng phễu và giấy lọc chứa cặn đã sấy khô đến khối lượng không đổi, tính bằng mg;

V – Thể tích nước đem thử, tính bằng ml.

Lượng cặn không tan là trung bình số học của hai kết qủa thử sai lệch cho phép không quá 10 mg/l.

2.8. Xác định lượng muối hoà tan.

2.8.1. Thiết bị thử:

Bát sứ dung tích 500ml;

Pipet;

Đũa thuỷ tinh;

Tủ sấy 200oC;

Cân kĩ thuật chính xác tới 0,001g;

Nước cất;

Dung tích natri cacbonat 1%.

2.8.2. Tiến hành thử.

Từ mẫu nước lấy ra 250ml đã lọc sạch cặn. Cho vào bát sứ đã sấy khô đến khối lượng không đổi và cân sẵn từ trước. Đặt bát trê bếp điện, cho nước trong bát bay hơi từ từ đến khi còn lại một ít thì dùng Pipet nhỏ 25ml dung dịch natri cacbonat 1% vào bát và dung đũa thuỷ tinh khuấy kĩ. Sau đó rửa đũa thuỷ tinh bằng nước cất. Nước này hứng vào bát chứa dung dịch. Đặt bát chứa dung dịch vào tủ sấy, tăng dần từ nhiệt độ phòng đến 150oC và sấy đến khối lượng không đổi, cân bát chứa muối hoà tan và natri cacbonat.

2.8.3. Tính kết quả.

Lượng muối hoà tan (Mht) trong nước tính bằng mg/l theo công thức:

Trong đó:

m – Khối lượng bát sứ có chứa muối hoà tan và natri cacbonat, tính bằng mg;

m1 – Khối lượng bát sứ, tính bằng mg;

m2 – Khối lượng muối natri cacbonat, tính bằng mg;

V – Thể tích nước đem thử, tính bằng ml.

Lượng muối hoà tan của nước là trung bình số học của hai kết qủa thử sai lệch cho phép không quá 50 mg/l.

Leave a Reply

Your email address will not be published. Required fields are marked *