Tiêu chuẩn Việt Nam TCVN4511:1988

  • Loại văn bản: Tiêu chuẩn Việt Nam
  • Số hiệu: TCVN4511:1988
  • Cơ quan ban hành: ***
  • Người ký: ***
  • Ngày ban hành: ...
  • Ngày hiệu lực: ...
  • Lĩnh vực: Xây dựng
  • Tình trạng: Không xác định
  • Ngày công báo: ...
  • Số công báo: Còn hiệu lực

Nội dung toàn văn Tiêu chuẩn quốc gia TCVN 4511:1988 về Studio âm thanh – Yêu cầu kỹ thuật về âm thanh xây dựng


TIÊU CHUẨN VIỆT NAM

TCVN 4511 : 1988

Nhóm G

STUĐIÔ ÂM THANH – YÊU CẦU KĨ THUẬT VỀ ÂM THANH XÂY DỰNG

Sound studio – Technical specifications for buildings acoustics

Tiêu chuẩn này áp dụng cho việc thiết kế mới các thể loại Stuđiô âm thanh trong phát thanh, truyền hình, điện ảnh và các lĩnh vực thu thanh khác theo kỹ thuật đơn thể và lập thể.

Tiêu chuẩn này khuyến khích áp dụng đối với công tác thiết kế cải tạo các Stuđiô hiện có và các công trình có sẵn thành Stuđiô âm thanh.

Tiêu chuẩn này được áp dụng đồng bộ với TCVN 4510 : 1988

1. Yêu cầu cách âm đối với âm thanh truyền lan qua không khí.

1.1 Cách âm giữa các phòng trong tòa nhà

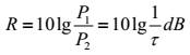
Độ cách âm truyền lan qua không khí giữa các phòng ký hiệu là R – được định nghĩa bằng biểu thức :

Trong đó :

P1 – là công suất âm thanh tác động lên bề mặt bên phía phòng 1 của tường ngăn cách giữa 2 phòng (dB).

P2 – là công suất âm thanh xuyên qua tường ngăn bức xạ vào phòng 2. (dB)

t =  là hệ số xuyên âm.

Độ cách âm cần thiết giữa các phòng trong tổ hợp Stuđiô là một đại lượng phụ thuộc tần số và được quy định bằng một đường cong chuẩn (Hình 1) kết hợp với các trị số cho mỗi loại phòng (bảng 1).

Các kết cấu có trị số Rkk nằm phía trên đường cong là đạt yêu cầu, nằm dưới đường cong là không đạt yêu cầu cần thiết (tham khảo phần phụ lục).

Hình 1. Đường cong chuẩn cho độ cách âm không khí (DRkk = 0)

1.2 Cách âm với môi trường bên ngoài

Yêu cầu về độ cách âm của các phòng trong Stuđiô với môi trường bên ngoài (đường phố, sân bay, xí nghiệp, bệnh viện…) hoàn toàn phụ thuộc vào thực trạng của khu vực xây dựng Stuđiô, tức là vào mức tạp âm, phô năng lượng và các đặc tính âm học khác của nguồn âm. Khi thiết kế phải căn cứ vào các số liệu khảo sát tại chỗ và các quy định về mức tạp âm tối đa cho phép trong Stuđiô để quyết định độ cách âm cần thiết cho từng trường hợp cụ thể.

Số liệu tham khảo về mức thanh áp của các nguồn ôn thông thường cho trong phụ lục.

Bảng 1 – Mức tăng – giảm độ cách âm không khí, DRkk (dB)

Từ

Vào phòng

Hành lang

Phòng vang

Phòng chuẩn bị

Phòng khống chế

Phòng máy đạo diễn (nhạc cụ)

Phòng máy thu lời và truyền âm

Phòng kiểm thính

Phòng thu lời

Phòng thu nhạc

Phòng thu kịch

 

1

2

3

4

5

6

7

8

9

10

11

10

40

40

15

15

15

15

10

30

10

15

10

30

10

15

10

35

10

35

Thu kịch

Cùng tổ hợp

Cùng tổ hợp

10

20

40

15

15

10

15

10

30

15

20

10

30

10

15

30

35

30

30

Thu nhạc

Cùng tổ hợp

Khác tổ hợp

5

30

35

5

5

10

10

10

25

10

15

10

25

5

5

15

30

10

30

Thu lời

Cùng tổ hợp

5

30

35

5

5

10

10

10

25

10

15

15

25

5

5

15

30

10

30

Kiếm thính

Cùng tổ hợp

Khác tổ hợp

-10

20

25

-5

-5

0

0

10

15

5

5

15

15

-5

0

20

20

20

20

Máy thu lời và truyền âm

Cùng tổ hợp

Khác tổ hợp

-15

25

35

5

5

10

10

10

20

0

5

0

15

0

0

5

20

5

20

Máy đạo diễn (nhạc kịch)

Cùng tổ hợp

Khác tổ hợp

-15

15

-10

10

5

-5

5

-10

15

10

Khống chế

-15

15

-10

-10

5

-5

5

-10

15

10

Chuẩn bị

-10

25

0

0

15

5

15

0

20

20

Phòng vang

2. Không được đặt các nguồn tạp âm, nhất là các nguồn âm ở dạng xung và các nguồn gây chấn động trực tiếp đến kết cấu vào trong tổ hợp Stuđiô (phòng đặt máy điều hòa khí hậu trung tâm, xưởng cơ khí, thang máy hay cầu thang, khu vệ sinh…). Trường hợp cần thiết, phải sử dụng các kết cấu và vật liệu đặc biệt để chống ồn, rung (đệm hoặc gioăng cao su, lò xo thép, bông khoáng hoặc bông thủy tinh…)

3. Yêu cầu cách âm đối với sàn

Độ cách âm cần thiết đối với sàn được quy định bằng một đường cong chuẩn (hình 2) biểu thị mức tạp âm L8 đo được dưới một sàn tiêu chuẩn, kết hợp với các trị số DL8 cho mỗi loại phòng (bảng 2)

Trị số DL8 dương có nghĩa là đường cong tịnh tiến xuống (theo chiều âm của trục tung), trị số DL8 âm có nghĩa là đường cong tịnh tiến lên (theo chiều dương của trục tung).

Đường cong chuẩn ứng với giá trị DL8 = 0. Các sàn có trị số L8 nằm phía dưới đường cong là đạt yêu cầu, nằm phía trên đường cong là không đạt yêu cầu về độ cách âm cần thiết (xem phụ lục).

Bảng 2 – Yêu cầu về mức tăng/ giảm của trị số DL8, dB

Stuđiô thu nhạc

Phòng thu nhạc thính phòng

20

Phòng thu nhạc giao hưởng, nhạc giải trí

15

Phòng máy đạo diễn

10

Phòng pha âm phức tạp

10

Phòng kiểm thính tiêu chuẩn

15

Phòng thuyết minh chương trình

15

Stuđiô thu kịch

Phòng thu kịch nói

20

Phòng thu ca kịch (tuồng, chèo,cải lương)

15

Phòng máy đạo diễn

10

Phòng kiểm thính tiêu chuẩn

15

Stuđiô thu lời

Phòng đọc

15

Phòng máy thu lời

5

Phòng chuẩn bị (Phát thanh viên)

0

Stuđiô truyền âm

Phòng máy truyền âm

0

Phòng đọc trực tiếp (dẫn giải chương trình)

0

Phòng chuẩn bị (phát thanh viên)

0

Stuđiô pha in

Nhạc

5

Lời

0

Phòng máy ghi âm

0

Các phòng vang

Nhạc nghiêm túc

15

Nhạc nhẹ

10

Phòng khống chế phân phối tín hiệu

 

0

4. Yêu cầu cách âm đối với cửa thông tin

Cửa kính thông tin phải được cấu tạo bằng nhiều lớp kính, mỗi lớp có một chiều dày d khác nhau (nhỏ nhất d = 5mm)và phải có kết cấu đặc biệt .

– Các lớp kính không được ghép song song mà phải ghép nghiêng với nhau một góc từ 7o đến 12o và cách nhau ít nhất là 10cm.

– Giữa khung (gỗ hoặc kim loại) và kính phải lót đệm cách âm (tốt nhất là đệm cao su).

– Kích thước của cửa tùy thuộc vào chức năng của Stuđiô và kích thước các phòng.

Độ cách âm cần thiết của các loại cửa thông tin được quy định trong bảng 3. Việc áp dụng các số liệu trong bảng này phải căn cứ vào những yêu cầu cụ thể đã quy định trong phần 1.1 để lựa chọn.

Bảng 3 – Yêu cầu về độ cách âm của cửa thông tin (R là độ cách âm trung bình trong dải tần từ 63 Hz đến 4000Hz)

Loại cửa

Vị trí lắp đặt

Giữa

Cửa kính 3 lớp

R ³ 65 dB

Phòng thu nhạc

Phòng máy đạo diễn

Phòng kiểm thính

Phòng thu kịch (lời và nhạc)

Phòng máy đạo diễn

Phòng kiểm thính

Phòng thu lời

Phòng máy ghi âm

Cửa kính 2 lớp

R ³ 40 dB

Phòng máy đạo diễn của tổ hợp Stuđiô

Phòng chuẩn bị của phát thanh viên

5. Yêu cầu cách âm đối với cửa ra vào

Các cửa ra vào các Stuđiô (bao gồm cả phòng thu và phòng máy, phòng kiểm thính, phòng vang…) đều phải sử dụng cửa cách âm có kết cấu đặc biệt. Các cửa này không chỉ đảm bảo cho tiếng ồn ở ngoài không lọt vào Stuđiô mà cả âm thanh trong Stuđiô không lọt ra ngoài, gây ồn sang các Stuđiô lân cận.

Cửa cách âm cho các Stuđiô lớn (phòng thu nhạc giao hưởng, thu kích cỡ lớn…) cho phép dùng cửa hai cánh hoặc một cánh, đơn hoặc kép (giữa hai lần cửa có khoang tiêu âm), có kích thước thông thủy khoảng 2.000 x 2.000mm. Với các Stuđiô nhỏ (thu lời phòng máy đạo diễn…) dùng loại cửa một cánh, đơn hoặc kép (giữa 2 lần cửa có khoang tiêu âm), kích thước thông thủy khoảng 1.000 x 2.000mm.

Độ cách âm cần thiết của cửa ra vào giữa các phòng được xác định theo yêu cầu đã quy định trong 1.1.

Trong bảng 4 quy định chung độ cách âm các cửa ra vào giữa các Stuđiô.Việc sử dụng các số liệu trong bảng này phải căn cứ vào yêu cầu cụ thể và độ cách âm cần thiết của từng loại Stuđiô, vào đặc điểm cấu tạo của tường và cửa cũng như mối liên kết giữa chúng.

Bảng 4 – Yêu cầu về độ cách âm của cửa ra vào

( là độ cách âm trung bình trong dải tần từ 65 Hz đến 4000 Hz)

( dB)

Vị trí lắp đặt

Giữa

Từ 60 đến 65

Phòng thu kịch (lời và nhạc)

Phòng máy đạo diễn (lời và nhạc)

Từ 55 đến 60

Phòng thu lời

Phòng máy thu lời

Từ 50 đến 55

Phòng đọc trực tiếp

Phòng máy truyền âm

Từ 40 đến 50

Phòng thu nhạc

– Phòng máy đạo diễn

– Phòng kiểm thính

Hành lang

Phòng thu kịch, thu lời, thu nhạc thính phòng

Từ 35 đến 40

Phòng máy đạo diễn (nhạc)

Phòng kiểm thính

Phòng máy thu lời và truyền âm

Phòng máy thu lời và truyền âm khác tổ hợp

Hành lang

Phòng thu nhạc (dàn nhạc lớn, hợp xướng, phòng đạo diễn, kiểm thính, phòng vang)

Từ 25 đến 35

Phòng máy truyền âm

Phòng chuẩn bị (của phát thanh viên)

Hành lang

Phòng ghi âm

Phòng khống chế, phân phối tín hiệu

 

PHỤ LỤC

1. Về độ cách âm

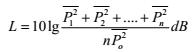
Độ chênh lệch mức âm giữa 2 phòng Ph1 và Ph2 được xác định bằng hiệu số của mức thanh áp L1 đo trong phòng Ph1 và mức thanh áp L2 đo trong phòng Ph2

D = L1 – L2 dB

ở đây L1 và L2 là giá trị trung bình của mức thanh áp, được xác định tại nhiều điểm trong mỗi phòng Ph1 và Ph2

Trong đó : p0 = 2.10-5 N/m2 là thanh áp được quy định làm chuẩn

Cần lưu ý : Độ cách âm R không bằng độ chênh lệch mức âm giữa hai phòng, vì tổng lượng hút âm A2 (của phòng Ph2) và diện tích S của bề mặt ngăn cách giữa 2 phòng có ảnh hưởng tới trị số D. Trong thực tế, độ cách âm R giữa hai phòng Ph1 và Ph2 được xác định bởi công thức :

R = D + 10lg dB

Từ đó rút ra:

D = R – 10lg dB

Điều đó có nghĩa là : nếu phòng cần cách âm (ở đây Ph2) được xử lý âm thanh với tổng lượng hút âm A2 lớn thì mức tạp âm trong phòng đó sẽ giảm đi khá nhiều, mặc dù độ cách âm R của phòng vang) thì mức tạp âm thực tế trong phòng sẽ tăng lên. Hiệu quả này có ý nghĩa quan trọng trong việc quy hoạch và thiết kế các tổ hợp Studiô âm thanh.

2. Về cách sử dụng bảng 1 và hình 1

Bảng 1 quy định mức tăng hoặc giảm độ cách âm không khí DRkk (Giữa các Studiô với nhau) so với đường cong chuẩn trong hình 1.

Thí dụ 1: Từ phòng thu kịch vào phòng thu kịch tổ hợp ứng với trị số DRkk là 10 dB có nghĩa là đường cong chuẩn trong hình 1 phải tịnh tiến theo 10 dB theo chiếu dương trục tung. Đường cong đã tịnh tiến đó biểu thị độ cách âm cần thiết giữa 2 phòng nói trên, ứng với các tần số trong dải từ 63 Hz đến 8000 Hz. Như vậy độ cách âm ở 1000 Hz sẽ là (55 +10) = 65 dB; ở 100 Hz sẽ là (33 + 10) = 43 dB,…

Thí dụ 2 : Từ phòng khống chế vào phòng chuẩn bị ứng với trị số DRkk là – 10 dB có nghĩa là đường cong chuẩn trong hình 1 phải tịnh tiến xuống 10 dB theo chiều âm của trục tung. Như vậy, độ cách âm cần thiết giữa phòng khống chế và phòng chuẩn bị ở tần số 500 Hz sẽ là (52 – 10) = 42 dB ; ở 4000 Hz sẽ là (54 – 10) = 44 dB

3. Mức thanh áp của một số nguồn ôn thông thường.

– Công viên yên tĩnh

25 đến 30 dB

– Tạp âm đường phố các khu dân cư rất yên tĩnh

35 đến 40 dB

– Trò chuyện bình thường

50 đến 60 dB

– Tạp âm đường phố đông đúc

80 đến 85 dB

– Máy khoan áp lực ở khoảng cách 5 m, mô tô không có ống giảm âm (10m)

95 đến 100 dB

– Động cơ máy bay ở khoảng cách 3m

120 đến 125 dB

Mức âm tối đa trong các phòng

 

– Dàn nhạc giao hưởng lớn, dàn nhạc nhẹ

110 dB lin

– Phát lại âm nhạc trong phòng vang

110 dB lin

– Nhạc thính phòng

105 dB lin

– Kiểm thính âm nhạc trong phòng đạo diễn âm nhạc

100 dB lin

– Kiểm thính nhạc và lời trong phòng máy thu lời, pha âm

90 dB lin

– Kiểm thính nhạc và lời trong phòng truyền âm

85 dB lin

– Phát lại tiếng nói hoặc âm nhạc trong phòng thu lời

80 dB lin

– Tiếng nói (trò chuyện thông thường ở khoảng cách 1 mét)

90 dB lin

– Các nguồn âm khác trong hành lang

80 dB lin

4. Về yêu cầu cách âm đối với sàn

Tiếng động từ tầng trên truyền qua sàn xuống tầng dưới chủ yếu do bước chân đi lại, xê dịch bàn ghế, thiết bị… truyền lan theo rồi bức xạ vào môi trường không khí. Vì thế việc xác định độ cách âm của sàn được tiến hành bằng phương pháp dùng búa máy tiêu chuẩn gõ lên mặt sàn(búa tạo lên một lực chuẩn). Đường cong trên hình 2 được xây dựng bằng cách đo mức âm theo dải 1 octa ở phòng dưới, khi búa máy tiêu chuẩn gõ trên 1 sàn tiêu chuẩn (như kết cấu dưới đây).

Cấu tạo của sàn tiêu chuẩn

(Để xây dựng đường cong Ls tiêu chuẩn)

Yêu cầu cách âm cần thiết của sàn được xác định bằng cách tịnh tiến đường cong chuẩn trong hình 2 theo trị số DL8 trong bảng 2.

Thí dụ : Yêu cầu cách âm cần thiết của trần phòng thu kịch ứng với DL2 = 20 dB, có nghĩa là đường cong chuẩn trong hình 2 phải tịnh tiến xuống dưới (theo chiều âm của trục tung) một khoảng bằng 20 dB. Như vậy, mức âm trong phòng đó khi búa máy tiêu chuẩn gõ trên sàn của tầng trên chỉ được phép:

Từ 31,5 Hz đến 315 Hz ≤ (70 – 20) dB = 50 dB

ở tần số 1000 Hz           ≤ (65 – 20) dB = 45 dB

v.v…

Nếu trị số L8 vượt lên trên đường cong đó tức là yêu cầu về độ cách âm của sàn không đạt.

 

Leave a Reply

Your email address will not be published. Required fields are marked *