Tiêu chuẩn Việt Nam TCVN4554:2009

  • Loại văn bản: Tiêu chuẩn Việt Nam
  • Số hiệu: TCVN4554:2009
  • Cơ quan ban hành: ***
  • Người ký: ***
  • Ngày ban hành: ...
  • Ngày hiệu lực: ...
  • Lĩnh vực: Lĩnh vực khác
  • Tình trạng: Không xác định
  • Ngày công báo: ...
  • Số công báo: Còn hiệu lực

Nội dung toàn văn Tiêu chuẩn quốc gia TCVN 4554:2009 về Thống kê ứng dụng – Ước lượng và khoảng tin cậy đối với các tham số của phân bố Weibull


TIÊU CHUẨN QUỐC GIA

TCVN 4554 : 2009

THỐNG KÊ ỨNG DỤNG – ƯỚC LƯỢNG VÀ KHOẢNG TIN CẬY ĐỐI VỚI CÁC THAM SỐ CỦA PHÂN BỐ WEIBULL

Applied statistics – Estimation and confidence intervals for parameters of Weibull distribution

Lời nói đầu

TCVN 4554 : 2009 thay thế cho TCVN 4554-1988;

TCVN 4554 : 2009 do Ban kỹ thuật tiêu chuẩn quốc gia TCVN/TC 69 Ứng dụng các phương pháp thống kê biên soạn, Tổng cục Tiêu chuẩn đo lường Chất lượng đề nghị, Bộ Khoa học và Công nghệ công bố.

 

THỐNG KÊ ỨNG DỤNG – ƯỚC LƯỢNG VÀ KHOẢNG TIN CẬY ĐỐI VỚI CÁC THAM SỐ CỦA PHÂN BỐ WEIBULL

Applied statistics – Estimation and confidence intervals for parameters of Weibull distribution

1. Phạm vi áp dụng

Tiêu chuẩn này quy định các quy tắc xác định các ước lượng và khoảng tin cậy cho các tham số của phân bố Weibull dựa vào mẫu ngẫu nhiên đơn giản rút ra từ tổng thể có phân bố Weibull.

2. Thuật ngữ và định nghĩa

Tiêu chuẩn này sử dụng các thuật ngữ và định nghĩa trong TCVN 8244-2 (ISO 3534-2), Thống kê học – Từ vựng và ký hiệu – Thống kê ứng dụng.

3. Các đặc trưng cơ bản

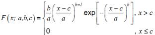
3.1. Đại lượng ngẫu nhiên X được gọi là có phân bố Weibull (ba tham số) nếu hàm phân bố của nó có dạng:

                                             (1)

trong đó: a > 0 là tham số tỉ lệ;

b > 0 là tham số dạng;

c là tham số định vị.

Nếu c = 0 thì phân bố Weibull được gọi là phân bố Weibull hai tham số.

Khi b = 1, phân bố Weibull trở thành phân bố mũ.

Khi b = 2, phân bố Weibull trở thành phân bố Rayleigh.

3.2. Hàm mật độ của đại lượng ngẫu nhiên X có phân bố Weibull có dạng:

                              (2)

3.3. Kỳ vọng, phương sai, hệ số biến động, độ bất đối xứng của đại lượng ngẫu nhiên X có phân bố Weibull:

Kỳ vọng:

E(X) = aKb + c                                                                                       (3)

Phương sai:

D(X) = a2 +                                                                                       (4)

Hệ số biến động:

                                                                                       (5)

Độ bất đối xứng

                                                         (6)

trong đó:

Kb = r                                                                                        (7)

gb =                                                                            (8)

và ký hiệu r chỉ hàm số sau:

r(y) =                                                                                  (9)

Các giá trị Kb, gb, rb, vb cho trong Bảng 2.

4. Các vấn đề chung

Có mẫu ngẫu nhiên đơn giản x1, …, xnx có phân bố Weibull với ba tham số a, b, c.

4.1. Các ước lượng điểm

a) Ước lượng a khi bc đã biết;

b) Ước lượng ab khi c đã biết;

c) Ước lượng ac khi b đã biết;

d) Ước lượng cả ba tham số;

e) Ước lượng kỳ vọng, phương sai, hệ số biến phân.

4.2. Khoảng tin cậy

a) Khoảng tin cậy của tham số a khi bc đã biết;

b) Khoảng tin cậy của tham số a khi b chưa biết và c đã biết;

c) Khoảng tin cậy của tham số b khi a chưa biết và c đã biết;

4.3. Tiêu chuẩn sử dụng hai phương pháp ước lượng: phương pháp mô men và phương pháp hợp lý cực đại. Phương pháp mô men đơn giản hơn, phương pháp hợp lý cực đại chính xác hơn nhưng tính toán phức tạp hơn, nó được dùng tốt nhất trong trường hợp sử dụng máy tính.

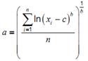
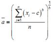
5. Ước lượng của tham số a khi bc đã biết

Nếu bc đã biết, ước lượng  của a có dạng:

                                                                                 (10)

6. Ước lượng của các tham số a, b khi c đã biết

6.1. Ước lượng đơn giản có thể nhận được bằng cách sau:

1) Tính

y =                                                                                (11)

                                                                  (12)

2) Tính ước lượng của tham số b dưới dạng

                                                                                               (13)

3) Tính ước lượng  của tham số a dưới dạng

=exp                                                                                   (14)

trong đó hằng số Ơle g = 0,577 226 và

 = 1, 282 55

Khi n bé, ước lượng  có độ chệch đáng kể. để có ước lượng không chệch  của tham số b cần hiệu chỉnh như sau:

 = M (n) x                                                                                      (15)

M(n) được gọi là hệ số không chệch và cho trong Bảng 1.

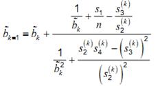
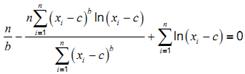
6.2. Các ước lượng , của các tham số a, b (khi c đã biết) theo phương pháp hợp lý cực đại nhận được bằng cách giải hệ phương trình (các ẩn số là ab).

                                               (16)

                                                                             (17)

Phương trình (16) có thể giải bằng phương pháp xấp xỉ liên tiếp Newton Raphson theo công thức:

                                                  (18)

trong đó:

                                                                                 (19)

                                                                               (20)

                                                                (21)

                                                              (22)

 là xấp xỉ thứ k của nghiệm . Có thể dùng ước lượng  (theo 4.1) làm xấp xỉ thứ nhất. Quá trình xấp xỉ liên tiếp sẽ kết thúc khi điều kiện sau được thỏa mãn:

                                                              (23)

Ở đây e là số dương nhỏ cho trước, chẳng hạn e = 10-5.

Ước lượng của a nhận được bằng cách thay b bằng  vào phương trình (17).

Với n < 120=”” ước=”” lượng=”” không=”” chệch=”” của=”” tham=”” số=””>b có thể nhận được bởi

= B (n)                                                                                           (24)

Hệ số hiệu chỉnh B(n) cho trong Bảng 1.

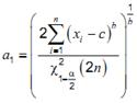
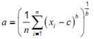
7. Ước lượng của các tham số ac khi b đã biết

7.1. Nếu b đã biết thì việc xác định các ước lượng  và của tham số ac theo phương pháp mô men được tiến hành theo thứ tự sau (tuy nhiên khi b ≤ 1 nên ứng dụng trực tiếp phương pháp ở 7.3).

1) Tính các đặc trưng mẫu

                                                                                         (25)

                                                                        (26)

2) Ứng với giá trị b cho trước, theo Bảng 2 tìm các giá trị gbKb.

3) Ước lượng  của a được tính theo công thức

=                                                                                                 (27)

4) Từ các giá trị mẫu x1, x2, …, xn tìm xmin (giá trị nhỏ nhất) và tính

                                                                                       (28)

Ước lượng  của c là nhỏ nhất trong hai số c* và xmin.

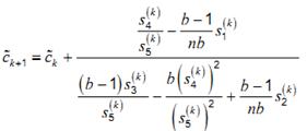
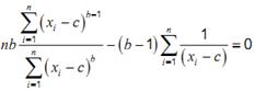
7.2. Nếu b > 1, ước lượng hợp lý cực đại của các tham số ac được xác định bằng cách giải hệ phương trình (các ẩn số là ac)

                                                  (29)

                                                                          (30)

Phương trình (29) có thể giải bằng phương pháp xấp xỉ liên tiếp theo Newton Raphson theo công thức

                                      (31)

trong đó

                                                                                  (32)

                                                                             (33)

                                                                           (34)

                                                                            (35)

                                                                              (36)

ở đây là xấp xỉ thứ k của giá trị .

Để làm xấp xỉ thứ nhất có thể lấy giá trị  theo 7.1. Nếu = xmin thì lấy giá trị nhỏ hơn một chút, chẳng hạn = xmin – 0, 001 (xmax – xmin), với xmax là giá trị lớn nhất trong mẫu. Tương tự, để có , nếu  ≥ xmin thì lấy giá trị trong khoảng  và xmin (ví dụ  = 0,5 ( + xmin)).

Quá trình xấp xỉ liên tiếp sẽ kết thúc khi thỏa mãn điều kiện:

                                                           (37)

Với e là số dương nhỏ cho trước, ví dụ e = 10-5.

Ước lượng  của a nhận được bằng cách thay c bằng  vào phương trình (30).

7.3. Nếu b ≤ 1, ước lượng  của c được nhận như sau

 = xmin

Ước lượng  của a nhận được bằng cách thay c bằng  vào công thức (10) ở điều 5.

8. Ước lượng của các tham số a, b, c

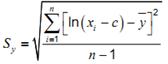
Trong trường hợp này, các ước lượng bằng phương pháp mô men thu được theo cách sau:

1) Tính các đặc trưng mẫu  và s theo các công thức (25), (26) và

                                                        (39)

2) Thay rb bằng rv và căn cứ vào giá trị này (có thể dùng nội suy tuyến tính) để tìm trong Bảng 2 các giá trị b, gb, Kb tương ứng.

3) Lấy giá trị b tìm được làm ước lượng .

4) Các ước lượng của ac được tìm theo phương pháp ở 7.1 với điều kiện b = .

9. Ước lượng của kỳ vọng, phương sai, hệ số biến động

Ước lượng của kỳ vọng, phương sai, hệ số biến động của đại lượng ngẫu nhiên x có phân bố Weibull (ba tham số) được xác định như sau:

1) Ước lượng các tham số chưa biết theo các phương pháp đã nêu từ điều 5 đến điều 8;

2) Ứng dụng công thức (3) để ước lượng kỳ vọng, nếu tham số nào trong đó chưa biết thì thay bằng ước lượng của nó, còn hệ số Kb tìm trong Bảng 2;

3) Ứng dụng công thức (3) để ước lượng phương sai, nếu tham số nào trong đó chưa biết thì thay bằng ước lượng của nó, còn hệ số gb tìm trong Bảng 2;

4) Dùng công thức (5) để ước lượng hệ số biến động, nếu tham số nào trong đó chưa biết thì thay bằng ước lượng của nó, còn hệ số Kb và gb tìm trong Bảng 2.

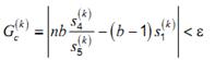
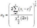
10. Khoảng tin cậy của tham số a khi các tham số bc đã biết

Khoảng tin cậy hai phía (a1; a2) của tham số a khi giá trị của các tham số bc đã biết với mức tin cậy 1 – a xác định bởi

                                                                             (40)

                                                                             (41)

trong đó  là giá trị q – phân vị của phân bố c2 với v bậc tự do, giá trị này cho trong Bảng 6.

Khoảng tin cậy một phía với mức tin cậy 1 – a xác định bởi a1 nếu khoảng là (a1; +¥) hoặc a2 nếu khoảng là (–¥; a2), nhưng trong công thức (40) và (41), thay a/2 bằng a

11. Khoảng tin cậy của các tham số a và b khi tham số c đã biết

11.1. Khoảng tin cậy hai phía (a1; a2) với mức tin cậy 1 – a của tham số a khi b chưa biết và c đã biết được xác định bởi công thức

a1 = exp                                                                             (42)

a2 = exp                                                                             (43)

trong đó  và  là các ước lượng của ab theo phương pháp hợp lý cực đại nêu trong 6.2.

Phân vị zq tìm trong Bảng 3 khi 5 ≤ n ≤ 120. Nếu n > 120 có thể dùng công thức gần đúng

Zq = uq                                                                                     (44)

trong đó uqq – phân vị của phân bố chuẩn tra trong Bảng 5.

11.2. Khoảng tin cậy hai phía (b1; b2) với mức tin cậy 1 – a của tham số b khi a chưa biết và c đã biết được xác định bởi công thức

b1 =                                                                                             (45)

b2 =                                                                                               (46)

trong đó là ước lượng hợp lý cực đại của tham số b theo 7.2. Phân vị p tìm trong Bảng 4 nếu 5 ≤ n ≤ 120. Nếu n > 120 thì áp dụng công thức gần đúng

                                                                              (47)

trong đó uqq – phân vị của phân bố chuẩn chuẩn hóa tra trong Bảng 5.

11.3. Để xác định khoảng tin cậy một phía với mức tin cậy 1 – a của tham số b cần xác định b1 nếu khoảng tin cậy là (b1; +¥) hoặc b2 nếu khoảng tin cậy là (–¥; b2) và trong các giá trị của phân vị phải thay a/2 bằng a.

12. Các bảng số

Bảng 1 – Các hệ số không chệch M(n), B(n)

n

M(n)

B(n)

 

n

M(n)

B(n)

5

6

7

8

9

10

11

12

13

14

15

16

18

20

22

24

26

28

30

32

34

36

38

40

0,738

0,778

0,806

0,831

0,848

0,863

0,875

0,884

0,893

0,900

0,906

0,912

0,921

0,928

0,934

0,939

0,943

0,947

0,950

0,953

0,955

0,957

0,959

0,961

0,669

0,752

0,792

0,820

0,842

0,859

0,872

0,883

0,893

0,901

0,908

0,914

0,923

0,931

0,938

0,943

0,947

0,951

0,955

0,958

0,960

0,962

0,964

0,966

 

42

44

46

48

50

52

54

56

58

60

62

64

66

68

70

72

74

76

78

80

85

90

100

120

0,963

0,965

0,966

0,967

0,969

0,970

0,971

0,972

0,973

0,974

0,975

0,976

0,976

0,977

0,978

0,978

0,979

0,979

0,980

0,980

0,982

0,983

0,984

0,986

0,968

0,970

0,971

0,972

0,973

0,974

0,975

0,976

0,977

0,978

0,979

0,980

0,980

0,981

0,981

0,982

0,982

0,983

0,983

0,984

0,985

0,986

0,987

0,990

Bảng 2 – Các đặc trưng cơ bản của phân bố Weibull

b

Kb

gb

vb

rb

0,200

0,210

0,220

0,230

0,240

0,250

0,260

0,270

0,280

0,290

0,300

0,310

0,320

0,330

0,340

0,350

0,360

0,370

0,380

0,390

0,400

0,410

0,420

0,430

0,440

0,450

0,460

0,470

0,480

0,490

0,500

0,510

0,520

0,530

0,540

0,550

0,560

0,570

0,580

0,590

0,600

0,610

0,620

0,630

0,640

120,0

80,36

56,33

41,06

30,94

24,00

19,09

15,51

12,85

10,83

9,261

8,024

7,035

6,234

5,575

5,029

4,571

4,184

3,853

3,569

3,323

3,109

2,921

2,756

2,609

2,479

2,362

2,257

2,163

2,077

2,000

1,930

1,865

1,806

1,752

1,702

1,657

1,614

1,575

1,538

1,505

1,473

1,444

1,416

1,390

1901

1091

665,1

426,7

286,1

199,4

143,6

106,5

81,03

63,06

50,08

40,48

33,25

27,71

23,39

19,98

17,24

15,02

13,20

11,70

10,44

9,377

8,475

7,703

7,037

6,460

5,956

5,515

5,125

4,780

4,472

4,197

3,951

3,728

3,528

3,345

3,179

3,028

2,889

2,762

2,645

2,537

2,437

2,345

2,259

15,84

13,58

11,81

10,39

9,248

8,307

7,524

6,865

6,304

5,824

5,408

5,045

4,727

4,445

4,195

3,972

3,771

3,590

3,426

3,277

3,141

3,016

2,901

2,795

2,697

2,606

2,522

2,443

2,370

2,301

2,236

2,175

2,118

2,064

2,013

1,965

1,919

1,876

1,835

1,795

1,758

1,722

1,688

1,656

1,625

190,1

144,2

112,3

89,46

72,69

60,09

50,45

42,94

36,99

32,22

28,33

25,14

22,48

20,25

18,36

16,74

15,35

14,15

13,09

12,17

11,35

10,63

9,983

9,404

8,883

8,413

7,986

7,597

7,243

6,917

6,619

6,343

6,089

5,853

5,634

5,431

5,241

5,063

4,896

4,740

4,593

4,455

4,325

4,201

4,085

Bảng 2 (tiếp theo)

b

Kb

gb

vb

rb

0,650

0,660

0,670

0,680

0,690

0,700

0,710

0,720

0,730

0,740

0,750

0,760

0,770

0,780

0,790

0,800

0,810

0,820

0,830

0,840

0,850

0,860

0,870

0,880

0,890

0,900

0,910

0,920

0,930

0,940

0,950

0,960

0,970

0,980

0,990

1,000

1,02

1,04

1,06

1,08

1,10

1,12

1,14

1,16

1,18

1,20

1,22

1,366

1,344

1,322

1,302

1,284

1,266

1,249

1,233

1,218

1,204

1,191

1,178

1,166

1,154

1,143

1,133

1,123

1,114

1,105

1,096

1,088

1,080

1,073

1,066

1,059

1,052

1,046

1,040

1,034

1,029

1,023

1,018

1,013

1,009

1,004

1,000

0,991 9

0,984 3

0,977 4

0,970 9

0,964 9

0,959 3

0,954 2

0,949 3

0,944 8

0,940 7

0,936 8

2,179

2,104

2,035

1,970

1,908

1,851

1,797

1,747

1,699

1,653

1,611

1,570

1,532

1,496

1,461

1,428

1,397

1,367

1,339

1,311

1,285

1,261

1,237

1,214

1,192

1,171

1,151

1,132

1,113

1,095

1,078

1,061

1,045

1,029

1,014

1,000

0,972 5

0,946 7

0,922 5

0,899 7

0,878 3

0,858 0

0,838 9

0,820 8

0,803 6

0,787 2

0,771 7

1,595

1,566

1,539

1,512

1,487

1,462

1,439

1,416

1,394

1,373

1,353

1,333

1,314

1,296

1,278

1,261

1,244

1,227

1,212

1,196

1,182

1,167

1,153

1,139

1,126

1,113

1,100

1,088

1,076

1,064

1,053

1,042

1,431

1,020

1,010

1,000

0,980 4

0,961 7

0,943 8

0,926 7

0,910 2

0,894 4

0,879 2

0,864 6

0,850 5

0,836 9

0,823 8

3,974

3,869

3,770

3,675

3,585

3,498

3,416

3,338

3,262

3,190

3,121

3,005

2,991

2,930

2,871

2,815

2,760

2,707

2,657

2,608

2,560

2,514

2,470

2,427

2,385

2,345

2,306

2,268

2,231

2,195

2,160

2,127

2,094

2,062

2,030

2,000

1,942

1,886

1,833

1,782

1,734

1,688

1,643

1,601

1,560

1,521

1,483

Bảng 2 (tiếp theo)

b

Kb

gb

vb

rb

1,24

1,26

1,28

1,30

1,32

1,34

1,36

1,38

1,40

1,42

1,44

1,46

1,48

1,50

1,52

1,54

1,56

1,58

1,60

1,62

1,64

1,66

1,68

1,70

1,72

1,74

1,76

1,78

1,80

1,82

1,84

1,86

1,88

1,90

1,92

1,94

1,96

1,98

2,00

2,02

2,04

2,06

2,08

2,10

2,12

2,14

0,933 1

0,929 7

0,926 5

0,923 6

0,920 8

0,918 2

0,915 8

0,913 5

0,911 4

0,909 4

0,907 6

0,905 9

0,904 3

0,902 7

0,901 3

0,900 0

0,898 8

0,897 6

0,896 6

0,895 6

0,894 7

0,893 8

0,893 0

0,892 2

0,891 6

0,890 9

0,890 3

0,889 8

0,889 3

0,888 8

0,888 4

0,888 0

0,887 7

0,887 4

0,887 1

0,886 8

0,886 6

0,886 4

0,886 2

0,886 1

0,885 9

0,885 8

0,885 8

0,885 7

0,885 6

0,885 6

0,756 9

0,742 8

0,729 3

0,716 4

0,704 1

0,692 3

0,681 0

0,670 1

0,659 6

0,649 6

0,639 9

0,630 6

0,621 6

0,612 9

0,604 6

0,596 5

0,588 6

0,581 1

0,573 7

0,566 6

0,559 7

0,553 0

0,546 5

0,540 2

0,534 1

0,528 2

0,522 4

0,516 7

0,511 2

0,505 9

0,500 7

0,495 6

0,490 6

0,485 8

0,481 1

0,476 5

0,472 0

0,467 6

0,463 3

0,459 0

0,454 9

0,450 9

0,447 0

0,443 1

0,439 3

0,435 6

0,811 2

0,798 9

0,787 1

0,775 7

0,764 7

0,754 0

0,743 6

0,733 5

0,723 8

0,714 3

0,705 1

0,696 1

0,687 4

0,679 0

0,670 7

0,662 7

0,654 9

0,647 3

0,639 9

0,632 7

0,625 6

0,618 8

0,612 0

0,605 6

0,599 1

0,592 8

0,586 7

0,580 7

0,574 9

0,569 2

0,563 6

0,558 1

0,552 7

0,547 5

0,542 3

0,537 3

0,532 3

0,527 5

0,522 7

0,518 1

0,513 5

0,509 0

0,504 6

0,500 3

0,496 0

0,491 9

1,447

1,412

1,378

1,346

1,314

1,284

1,255

1,226

1,198

1,172

1,146

1,120

1,096

1,072

1,049

1,026

1,004

0,982 8

0,962 0

0,941 6

0,921 8

0,902 4

0,883 5

0,865 0

0,847 0

0,829 3

0,812 1

0,795 2

0,778 7

0,762 6

0,746 8

0,731 3

0,716 1

0,701 2

0,686 7

0,672 4

0,658 4

0,644 6

0,631 1

0,617 9

0,604 9

0,592 1

0,579 5

0,567 2

0,555 1

0,543 2

Bảng 2 (tiếp theo)

b

Kb

gb

vb

rb

2,16

2,18

2,20

2,22

2,24

2,26

2,28

2,30

2,32

2,34

2,36

2,38

2,40

2,42

2,44

2,46

2,48

2,50

2,52

2,54

2,56

2,58

2,60

2,62

2,64

2,66

2,68

2,70

2,72

2,74

2,76

2,78

2,80

2,82

2,84

2,86

2,88

2,90

2,92

2,94

2,96

2,98

3,00

3,02

3,04

3,06

0,885 6

0,885 6

0,885 6

0,885 7

0,885 7

0,885 8

0,885 8

0,885 9

0,886 0

0,886 1

0,886 2

0,886 3

0,886 5

0,886 6

0,886 8

0,886 9

0,887 1

0,887 3

0,887 4

0,887 6

0,887 8

0,888 0

0,888 2

0,888 4

0,888 6

0,888 8

0,889 1

0,889 3

0,889 5

0,889 7

0,890 0

0,890 2

0,890 5

0,890 7

0,890 9

0,891 2

0,891 4

0,891 7

0,891 9

0,892 2

0,892 5

0,892 7

0,893 0

0,893 2

0,893 5

0,893 8

0,432 0

0,428 4

0,424 9

0,421 5

0,418 2

0,414 9

0,411 7

0,408 5

0,405 4

0,402 3

0,399 3

0,396 4

0,393 5

0,390 6

0,387 8

0,385 0

0,382 3

0,379 7

0,377 0

0,374 5

0,371 9

0,369 4

0,367 0

0,364 5

0,362 1

0,359 8

0,357 5

0,355 2

0,352 9

0,350 7

0,348 5

0,346 4

0,344 3

0,342 2

0,340 1

0,338 1

0,336 1

0,334 1

0,332 1

0,330 2

0,328 3

0,326 4

0,324 6

0,322 7

0,320 9

0,319 1

0,487 8

0,483 8

0,479 8

0,476 0

0,472 1

0,468 4

0,464 7

0,461 1

0,457 5

0,454 0

0,450 6

0,447 2

0,443 8

0,440 6

0,447 3

0,434 1

0,4310

0,437 9

0,424 9

0,421 9

0,428 9

0,416 0

0,413 1

0,410 3

0,417 5

0,404 8

0,402 1

0,409 4

0,396 8

0,394 2

0,391 6

0,399 1

0,386 6

0,384 2

0,381 7

0,379 3

0,377 0

0,374 7

0,372 4

0,370 1

0,367 8

0,365 6

0,363 4

0,361 3

0,359 2

0,357 1

0,531 5

0,520 0

0,508 7

0,497 6

0,486 6

0,475 8

0,465 2

0,4548

0,444 5

0,434 4

0,424 4

0,414 6

0,404 9

0,395 4

0,386 0

0,376 8

0,367 6

0,358 6

0,349 8

0,341 0

0,332 4

0,323 9

0,315 5

0,307 2

0,299 0

0,290 9

0,283 0

0,275 1

0,267 3

0,259 7

0,252 1

0,244 6

0,237 3

0,230 0

0,222 8

0,215 6

0,208 6

0,201 7

0,194 8

0,188 0

0,181 3

0,174 7

0,138 1

0,161 6

0,155 2

0,148 9

Bảng 2 (tiếp theo)

b

Kb

gb

vb

rb

3,08

3,10

3,12

3,14

3,16

3,18

3,20

3,22

3,24

3,26

3,28

3,30

3,32

3,34

3,36

3,38

3,40

3,42

3,44

3,46

3,48

3,50

3,52

3,54

3,56

3,58

3,60

3,62

3,64

3,66

3,68

3,70

3,72

3,74

3,76

3,78

3,80

3,82

3,84

3,86

3,88

3,90

3,92

3,94

3,96

3,98

0,894 0

0,894 3

0,894 6

0,894 8

0,895 1

0,895 4

0,895 7

0,895 9

0,896 2

0,896 5

0,896 7

0,897 0

0,897 3

0,897 6

0,897 8

0,898 1

0,898 4

0,898 7

0,898 9

0,899 2

0,899 5

0,899 7

0,900 0

0,900 3

0,900 6

0,900 8

0,901 1

0,901 4

0,901 6

0,901 9

0,902 2

0,902 5

0,902 7

0,903 0

0,903 3

0,903 5

0,903 8

0,904 1

0,904 3

0,904 6

0,904 8

0,905 1

0,905 4

0,905 6

0,905 9

0,906 1

0,317 4

0,315 6

0,313 9

0,312 2

0,310 5

0,308 9

0,307 2

0,305 6

0,304 0

0,302 4

0,300 8

0,299 3

0,297 8

0,296 2

0,294 8

0,293 3

0,291 8

0,290 4

0,288 9

0,287 5

0,286 1

0,284 7

0,283 4

0,282 0

0,280 7

0,279 3

0,278 0

0,276 7

0,275 4

0,274 2

0,272 9

0,271 6

0,270 4

0,269 2

0,268 0

0,266 8

0,265 6

0,264 4

0,263 2

0,262 1

0,260 9

0,259 8

0,258 7

0,257 6

0,256 5

0,255 4

0,355 0

0,352 9

0,350 9

0,348 9

0,346 9

0,344 9

0,343 0

0,341 1

0,339 2

0,337 3

0,335 5

0,333 7

0,331 8

0,330 1

0,328 3

0,326 5

0,324 8

0,323 1

0,321 4

0,319 7

0,318 1

0,316 5

0,314 8

0,313 2

0,311 7

0,310 1

0,308 5

0,307 0

0,305 5

0,304 0

0,302 5

0,301 0

0,299 5

0,298 1

0,296 7

0,295 3

0,293 9

0,292 5

0,291 1

0,289 7

0,288 4

0,287 0

0,285 7

0,284 4

0,283 1

0,281 8

0,142 6

0,136 4

0,130 3

0,124 2

0,118 2

0,112 3

0,106 4

0,100 6

0,094 81

0,089 12

0,083 49

0,077 89

0,072 37

0,066 92

0,061 52

0,056 15

0,050 85

0,045 61

0,040 40

0,035 26

0,030 17

0,025 09

0,020 10

0,015 14

0,010 24

0,005 371

0,000 543 6

– 0,004 208

– 0,008 934

– 0,013 62

– 0,018 27

– 0,022 85

– 0,027 43

– 0,031 95

– 0,036 40

– 0,040 87

– 0,045 25

– 0,049 63

– 0,053 94

– 0,058 25

– 0,062 51

– 0,066 70

– 0,070 87

– 0,075 01

– 0,079 15

– 0,083 22

Bảng 2 (tiếp theo)

b

Kb

gb

vb

rb

4,00

4,02

4,04

4,06

4,08

4,10

4,12

4,14

4,16

4,18

4,20

4,22

4,24

4,26

4,28

4,30

4,32

4,34

4,36

4,38

4,40

4,42

4,44

4,46

4,48

4,50

4,52

4,54

4,56

4,58

4,60

4,62

4,64

4,66

4,68

4,70

4,72

4,74

4,76

4,78

4,80

4,82

4,84

4,86

4,88

4,90

4,92

0,906 4

0,906 7

0,906 9

0,907 2

0,907 4

0,907 7

0,907 9

0,908 2

0,908 4

0,908 7

0,908 9

0,909 2

0,909 4

0,909 7

0,909 9

0,910 2

0,910 4

0,910 7

0,910 9

0,911 1

0,911 4

0,911 6

0,911 9

0,912 1

0,912 3

0,912 6

0,912 8

0,913 0

0,913 3

0,913 5

0,913 7

0,914 0

0,914 2

0,914 4

0,914 7

0,914 9

0,915 1

0,915 3

0,915 6

0,915 8

0,916 0

0,916 2

0,916 4

0,916 7

0,916 9

0,917 1

0,917 3

0,254 3

0,253 2

0,252 2

0,251 1

0,250 1

0,249 0

0,248 0

0,247 0

0,246 0

0,245 0

0,244 0

0,243 0

0,242 0

0,241 1

0,240 1

0,239 2

0,238 2

0,237 3

0,236 4

0,235 4

0,234 5

0,233 6

0,232 7

0,231 8

0,231 0

0,230 1

0,229 2

0,228 4

0,227 5

0,226 7

0,225 8

0,225 0

0,224 2

0,223 3

0,222 5

0,221 7

0,220 9

0,220 1

0,219 3

0,218 6

0,217 8

0,217 0

0,216 2

0,215 5

0,214 7

0,214 0

0,213 2

0,280 5

0,279 3

0,278 0

0,276 8

0,275 6

0,274 3

0,273 1

0,271 9

0,270 8

0,269 6

0,268 4

0,267 3

0,266 1

0,265 0

0,263 9

0,262 8

0,261 7

0,260 6

0,259 5

0,258 4

0,257 3

0,256 3

0,255 2

0,254 2

0,253 2

0,252 1

0,251 1

0,250 1

0,249 1

0,248 1

0,247 1

0,246 2

0,245 2

0,244 2

0,243 3

0,242 4

0,241 4

0,240 5

0,239 6

0,238 7

0,237 7

0,236 8

0,236 0

0,235 1

0,234 2

0,233 3

0,232 5

– 0,087 22

– 0,091 24

– 0,096 24

– 0,099 14

– 0,103 1

– 0,107 0

– 0,110 8

– 0,114 6

– 0,118 4

– 0,122 1

– 0,125 9

– 0,129 6

– 0,133 2

– 0,136 9

– 0,140 4

– 0,144 1

– 0,147 6

– 0,151 1

– 0,154 6

– 0,158 1

– 0,161 6

– 0,164 9

– 0,168 3

– 0,171 7

– 0,175 1

– 0,178 4

– 0,181 7

– 0,185 0

– 0,188 2

– 0,191 5

– 0,194 6

– 0,197 8

– 0,201 0

– 0,204 1

– 0,207 2

– 0,210 3

– 0,213 4

– 0,216 4

– 0,219 4

– 0,222 4

– 0,225 4

– 0,228 4

– 0,231 3

– 0,234 2

– 0,237 1

– 0,240 0

– 0,242 9

Bảng 2 (tiếp theo)

b

Kb

gb

vb

rb

4,94

4,96

4,98

5,00

5,05

5,10

5,15

5,20

5,25

5,30

5,35

5,40

5,45

5,50

5,55

5,60

5,65

5,70

5,75

5,80

5,85

5,90

5,95

6,00

6,05

6,10

6,15

6,20

6,25

6,30

6,35

6,40

6,45

6,50

6,55

6,60

6,65

6,70

6,75

6,80

6,85

6,90

6,95

7,00

7,05

7,10

7,15

0,917 5

0,917 7

0,918 0

0,918 2

0,918 7

0,919 2

0,919 7

0,920 2

0,920 8

0,921 3

0,921 7

0,922 2

0,922 7

0,923 2

0,923 7

0,924 1

0,924 6

0,925 1

0,925 5

0,926 0

0,926 4

0,926 9

0,927 3

0,927 7

0,928 1

0,928 6

0,929 0

0,939 4

0,939 8

0,930 2

0,930 6

0,931 0

0,931 4

0,931 8

0,932 2

0,932 5

0,932 9

0,933 3

0,933 7

0,934 0

0,934 4

0,934 7

0,935 1

0,935 4

0,935 8

0,936 1

0,936 5

0,212 5

0,211 8

0,211 0

0,210 3

0,208 5

0,206 8

0,205 1

0,203 4

0,201 7

0,200 1

0,198 5

0,196 9

0,195 3

0,193 8

0,192 3

0,190 8

0,189 4

0,187 9

0,186 5

0,185 1

0,183 7

0,182 4

0,181 1

0,179 8

0,178 5

0,177 2

0,176 0

0,174 7

0,173 5

0,172 3

0,171 1

0,170 0

0,168 8

0,167 7

0,166 6

0,165 5

0,164 4

0,163 3

0,162 3

0,161 2

0,160 2

0,159 2

0,158 2

0,157 2

0,156 2

0,155 2

0,154 3

0,231 6

0,230 7

0,229 9

0,229 1

0,227 0

0,224 9

0,222 9

0,221 0

0,219 1

0,217 2

0,215 3

0,213 5

0,211 7

0,209 9

0,208 2

0,206 5

0,204 8

0,203 1

0,201 5

0,199 9

0,198 3

0,196 8

0,195 3

0,193 8

0,192 3

0,190 8

0,189 4

0,188 0

0,186 6

0,185 2

0,183 9

0,182 6

0,181 3

0,180 0

0,178 7

0,177 4

0,176 2

0,175 0

0,173 8

0,172 6

0,171 4

0,170 3

0,169 1

0,168 0

0,166 9

0,165 8

0,164 7

– 0,245 8

– 0,248 5

– 0,251 3

– 0,254 1

– 0,261 0

– 0,267 8

– 0,274 4

– 0,281 0

– 0,287 4

– 0,293 8

– 0,300 1

– 0,306 2

– 0,312 2

– 0,318 2

– 0,324 0

– 0,329 8

– 0,335 6

– 0,341 3

– 0,346 7

– 0,352 3

– 0,357 6

– 0,362 9

– 0,368 1

– 0,373 3

– 0,378 4

– 0,383 4

– 0,388 4

– 0,393 2

– 0,398 0

– 0,402 7

– 0,407 5

– 0,412 1

– 0,416 6

– 0,421 2

– 0,425 6

– 0,430 0

– 0,434 4

– 0,438 6

– 0,442 9

– 0,447 0

– 0,451 2

– 0,455 1

– 0,459 3

– 0,463 2

– 0,467 1

– 0,471 1

– 0,474 8

Bảng 2 (tiếp theo)

b

Kb

gb

vb

rb

7,20

7,25

7,30

7,35

7,40

7,45

7,50

7,55

7,60

7,65

7,70

7,75

7,80

7,85

7,90

7,95

8,00

8,10

8,20

8,30

8,40

8,50

8,60

8,70

8,80

8,90

9,00

9,10

9,20

9,30

9,40

9,50

9,60

9,70

9,80

9,90

10,0

10,5

11,0

11,5

12,0

12,5

13,0

13,5

14,0

14,5

15,0

0,936 8

0,937 1

0,937 5

0,937 8

0,938 1

0,938 4

0,938 7

0,939 1

0,939 4

0,939 7

0,940 0

0,940 3

0,940 6

0,940 9

0,941 2

0,941 5

0,941 7

0,942 3

0,942 9

0,943 4

0,943 9

0,944 5

0,945 0

0,945 5

0,946 0

0,946 5

0,947 0

0,947 4

0,947 9

0,948 4

0,948 8

0,949 3

0,949 7

0,950 1

0,950 5

0,950 9

0,951 4

0,953 3

0,955 1

0,956 7

0,958 3

0,959 7

0,961 1

0,962 3

0,963 5

0,964 6

0,965 7

0,153 3

0,152 4

0,151 5

0,150 6

0,149 7

0,148 8

0,147 9

0,147 1

0,146 2

0,145 4

0,144 5

0,143 7

0,142 9

0,142 1

0,141 3

0,140 5

0,139 7

0,138 2

0,136 7

0,135 2

0,133 8

0,132 4

0,131 0

0,129 7

0,128 4

0,127 1

0,125 8

0,124 6

0,123 4

0,122 2

0,121 0

0,119 9

0,118 7

0,117 6

0,116 6

0,115 5

0,114 5

0,109 5

0,105 0

0,100 8

0,096 99

0,093 44

0,090 13

0,087 06

0,084 18

0,081 49

0,078 97

0,163 7

0,162 6

0,161 6

0,160 6

0,159 6

0,158 6

0,157 6

0,156 6

0,155 6

0,154 7

0,153 8

0,152 8

0,151 9

0,151 0

0,150 1

0,149 2

0,148 4

0,146 7

0,145 0

0,143 3

0,141 7

0,140 2

0,138 7

0,137 2

0,135 7

0,134 3

0,132 9

0,131 5

0,130 1

0,128 8

0,127 5

0,126 3

0,125 0

0,123 8

0,122 6

0,121 5

0,120 3

0,114 9

0,109 9

0,105 4

0,101 2

0,097 36

0,093 78

0,090 46

0,087 37

0,084 48

0,081 78

– 0,478 8

– 0,482 3

– 0,486 1

– 0,489 8

– 0,493 3

– 0,496 9

– 0,500 3

– 0,503 8

– 0,507 5

– 0,511 0

– 0,524 3

– 0,517 6

– 0,520 9

– 0,524 1

– 0,527 4

– 0,530 7

– 0,533 6

– 0,540 1

– 0,546 2

– 0,552 2

– 0,557 9

– 0,563 6

– 0,569 4

– 0,574 7

– 0,580 3

– 0,585 7

– 0,590 9

– 0,595 6

– 0,600 7

– 0,605 9

– 0,610 5

– 0,615 1

– 0,619 9

– 0,624 6

– 0,629 3

– 0,633 5

– 0,637 8

– 0,658 8

– 0,677 4

– 0,695 0

– 0,710 7

– 0,725 7

– 0,739 8

– 0,753 5

– 0,764 9

– 0,776 2

– 0,787 1

Bảng 3 – Phân vị Zq của đại lượng ngẫu nhiên

n

q

0,02

0,05

0,10

0,90

0,95

0,98

5

6

7

8

9

10

11

12

13

14

15

16

17

18

19

20

22

24

26

28

30

32

34

36

38

40

42

44

46

48

50

52

54

56

58

60

62

64

66

68

70

72

74

76

78

80

85

90

95

100

110

120

– 1,631

– 1,396

– 1,196

– 1,056

– 0,954

– 0,876

– 0,813

– 0,762

– 0,719

– 0,683

– 0,651

– 0,624

– 0,599

– 0,578

– 0,558

– 0,540

– 0,509

– 0,483

– 0,460

– 0,441

– 0,423

– 0,408

– 0,394

– 0,382

– 0,370

– 0,360

– 0,350

– 0,341

– 0,333

– 0,325

– 0,318

– 0,312

– 0,305

– 0,299

– 0,294

– 0,289

– 0,284

– 0,279

– 0,274

– 0,270

– 0,266

– 0,262

– 0,259

– 0,255

– 0,252

– 0,248

– 0,241

– 0,234

– 0,227

– 0,221

– 0,211

– 0,202

– 1,247

– 1,007

– 0,874

– 0,784

– 0,717

– 0,665

– 0,622

– 0,587

– 0,557

– 0,532

– 0,509

– 0,489

– 0,471

– 0,455

– 0,441

– 0,428

– 0,404

– 0,384

– 0,367

– 0,352

– 0,338

– 0,326

– 0,315

– 0,305

– 0,296

– 0,288

– 0,280

– 0,273

– 0,266

– 0,260

– 0,254

– 0,249

– 0,244

– 0,239

– 0,234

– 0,230

– 0,226

– 0,222

– 0,218

– 0,215

– 0,211

– 0,208

– 0,205

– 0,202

– 0,199

– 0,197

– 0,190

– 0,184

– 0,179

– 0,174

– 0,165

– 0,158

– 0,888

– 0,740

– 0,652

– 0,591

– 0,544

– 0,507

– 0,477

– 0,451

– 0,429

– 0,410

– 0,393

– 0,379

– 0,365

– 0,353

– 0,342

– 0,332

– 0,314

– 0,299

– 0,286

– 0,274

– 0,264

– 0,254

– 0,246

– 0,238

– 0,231

– 0,224

– 0,218

– 0,213

– 0,208

– 0,203

– 0,198

– 0,194

– 0,190

– 0,186

– 0,183

– 0,179

– 0,176

– 0,173

– 0,170

– 0,167

– 0,165

– 0,162

– 0,160

– 0,158

– 0,155

– 0,153

– 0,148

– 0,144

– 0,139

– 0,136

– 0,129

– 0,123

0,772

0,666

0,598

0,547

0,507

0,475

0,448

0,425

0,406

0,389

0,374

0,360

0,348

0,338

0,328

0,318

0,302

0,288

0,276

0,265

0,256

0,247

0,239

0,232

0,226

0,220

0,214

0,209

0,204

0,199

0,195

0,191

0,187

0,184

0,181

0,177

0,174

0,171

0,169

0,166

0,164

0,161

0,159

0,157

0,155

0,153

0,148

0,143

0,139

0,136

0,129

0,123

1,107

0,939

0,829

0,751

0,691

0,644

0,605

0,572

0,544

0,520

0,499

0,480

0,463

0,447

0,433

0,421

0,398

0,379

0,362

0,347

0,334

0,323

0,312

0,302

0,293

0,285

0,278

0,271

0,264

0,258

0,253

0,247

0,243

0,238

0,233

0,229

0,225

0,221

0,218

0,214

0,211

0,208

0,205

0,202

0,199

0,197

0,190

0,185

0,179

0,175

0,166

0,159

1,582

1,291

1,120

0,003

0,917

0,851

0,797

0,752

0,714

0,681

0,653

0,627

0,605

0,584

0,566

0,549

0,519

0,494

0,472

0,453

0,435

0,420

0,406

0,393

0,382

0,371

0,361

0,352

0,344

0,336

0,328

0,321

0,315

0,309

0,303

0,297

0,292

0,287

0,282

0,278

0,274

0,269

0,266

0,262

0,258

0,255

0,246

0,239

0,232

0,226

0,215

0,205

Bảng 4 – Phân vị của đại lượng ngẫu nhiên

n

q

0,02

0,05

0,10

0,90

0,95

0,98

5

6

7

8

9

10

11

12

13

14

15

16

17

18

19

20

22

24

26

28

30

32

34

36

38

40

42

44

46

48

50

52

54

56

58

60

62

64

66

68

70

72

74

76

78

80

85

90

95

100

110

120

0,604

0,623

0,639

0,653

0,665

0,676

0,686

0,695

0,703

0,710

0,716

0,723

0,728

0,734

0,739

0,743

0,752

0,759

0,766

0,772

0,778

0,783

0,788

0,793

0,797

0,801

0,804

0,808

0,811

0,814

0,817

0,820

0,822

0,825

0,827

0,830

0,832

0,834

0,836

0,838

0,840

0,841

0,843

0,845

0,846

0,848

0,852

0,855

0,858

0,861

0,866

0,871

0,683

0,697

0,709

0,720

0,729

0,738

0,745

0,752

0,759

0,764

0,770

0,775

0,779

0,784

0,788

0,791

0,798

0,805

0,810

0,815

0,820

0,824

0,828

0,832

0,835

0,839

0,842

0,845

0,847

0,850

0,852

0,854

0,857

0,859

0,861

0,863

0,864

0,866

0,868

0,869

0,871

0,872

0,874

0,875

0,876

0,878

0,881

0,883

0,886

0,888

0,893

0,897

0,766

0,778

0,785

0,792

0,797

0,802

0,807

0,811

0,815

0,819

0,823

0,826

0,829

0,832

0,835

0,838

0,843

0,848

0,852

0,856

0,860

0,863

0,866

0,869

0,872

0,875

0,877

0,880

0,882

0,884

0,886

0,888

0,890

0,891

0,893

0,894

0,896

0,897

0,899

0,900

0,901

0,903

0,904

0,905

0,906

0,907

0,910

0,912

0,914

0,916

0,920

0,923

2,277

2,030

1,861

1,747

1,665

1,602

1,553

1,513

1,480

1,452

1,427

1,406

1,388

1,371

1,356

1,343

1,320

1,301

1,284

1,269

1,257

1,246

1,236

1,227

1,219

1,211

1,204

1,108

1,192

1,187

1,182

1,177

1,173

1,169

1,165

1,162

1,158

1,155

1,152

1,149

1,146

1,144

1,141

1,139

1,136

1,134

1,129

1,124

1,120

1,116

1,110

1,104

2,779

2,436

2,183

2,015

1,896

1,807

1,738

1,682

1,636

1,597

1,564

1,535

1,510

1,487

1,467

1,449

1,418

1,392

1,370

1,351

1,334

1,319

1,306

1,294

1,283

1,273

1,265

1,256

1,249

1,242

1,235

1,229

1,224

1,218

1,213

1,208

1,204

1,200

1,196

1,192

1,188

1,185

1,182

1,179

1,176

1,173

1,166

1,160

1,155

1,150

1,141

1,133

3,518

3,067

2,640

2,377

2,199

2,070

1,972

1,894

1,830

1,777

1,732

1,693

1,660

1,630

1,603

1,579

1,538

1,504

1,475

1,450

1,429

1,409

1,392

1,377

1,363

1,351

1,339

1,329

1,319

1,310

1,301

1,294

1,286

1,280

1,273

1,267

1,262

1,256

1,251

1,246

1,242

1,237

1,233

1,229

1,225

1,222

1,213

1,206

1,199

1,192

1,181

1,171

Bảng 5 – Phân vị uq của phân bố chuẩn N (0, 1)

q

uq

q

uq

q

uq

0,001

0,005

0,010

0,020

0,025

− 3,090

− 2,576

− 2,326

− 2,054

− 1,960

0,050

0,100

0,900

0,950

0,975

− 1,645

− 1,282

1,282

1,645

1,960

0,980

0,990

0,995

0,999

2,054

2,326

2,576

3,090

Bảng 6 – Phân vị  của phân bố

n

q

n

0,01

0,05

0,1

0,99

0,95

0,9

6

8

10

12

14

16

18

20

22

24

26

28

30

32

34

36

38

40

42

44

46

48

50

52

54

56

58

60

62

64

0,872

1,646

2,558

3,571

4,660

5,812

7,015

8,260

9,542

10,856

12,198

13,565

14,953

16,362

17,789

19,233

20,691

22,164

13,650

25,148

26,657

28,177

29,707

31,246

32,793

34,350

35,913

37,485

39,063

40,649

1,635

2,733

3,940

5,226

6,571

7,962

9,390

10,851

12,338

13,848

15,379

16,928

18,493

20,072

21,664

23,269

24,884

26,509

28,144

29,787

31,439

33,098

34,764

36,437

38,116

39,801

41,492

43,188

44,889

46,595

2,204

3,490

4,865

6,304

7,790

9,312

10,865

12,443

14,041

15,659

17,292

18,939

20,599

22,271

23,952

25,643

27,343

29,051

30,765

32,487

34,215

35,949

37,689

39,433

41,183

42,937

44,696

46,459

48,226

49,996

16,812

20,090

23,209

26,217

29,141

32,000

34,805

37,566

40,289

42,980

45,642

48,278

50,892

53,486

56,061

58,619

61,162

63,691

66,206

68,710

71,201

73,683

76,154

78,616

81,069

83,513

85,950

88,379

90,802

93,217

12,592

15,507

18,307

21,026

23,685

26,296

28,869

31,410

33,924

36,415

38,885

41,337

43,773

46,194

48,602

50,998

53,384

55,758

58,124

60,481

62,830

65,171

67,505

69,832

72,153

74,468

76,778

79,082

81,381

83,675

10,645

13,362

15,987

18,549

21,064

23,542

25,989

28,412

30,813

33,196

35,563

37,916

40,256

42,585

44,903

47,212

49,513

51,805

54,090

56,369

58,641

60,907

63,167

65,422

67,673

69,919

72,160

74,397

76,630

78,860

6

8

10

12

14

16

18

20

22

24

26

28

30

32

34

36

38

40

42

44

46

48

50

52

54

56

58

60

62

64

Bảng 6 (kết thúc)

n

q

n

0,01

0,05

0,1

0,99

0,95

0,9

66

68

70

72

74

76

78

80

82

84

86

88

90

92

94

96

98

100

110

120

130

140

150

200

300

400

500

600

800

1 000

42,240

43,838

45,442

47,051

48,666

50,286

51,910

53,540

55,174

56,813

58,456

60,103

61,754

63,409

65,068

66,730

68,396

70,065

78,458

86,923

95,451

104,03

112,67

156,43

245,97

337,16

429,39

522,36

709,90

898,91

48,305

50,020

51,739

53,462

55,189

56,920

58,645

60,391

62,132

63,876

65,623

67,373

69,126

70,882

72,640

74,401

76,164

77,929

86,792

95,705

104,66

113,66

122,69

168,28

260,88

354,64

449,15

544,18

735,36

927,59

51,770

53,548

55,329

57,113

58,900

60,690

62,483

64,278

66,076

67,876

69,679

71,484

73,291

75,100

76,912

78,725

80,541

82,358

91,471

100,62

109,81

119,03

128,28

174,84

269,07

364,21

459,93

556,06

749,19

943,13

95,626

98,028

100,43

102,82

105,20

107,58

109,96

112,33

114,70

117,06

119,41

121,77

124,12

126,46

128,80

131,14

133,48

135,81

147,41

158,95

170,42

181,84

193,21

249,45

359,91

468,72

576,49

683,52

895,98

1107,0

85,965

88,250

90,531

92,808

95,081

97,351

99,617

101,88

104,14

106,40

108,65

110,90

113,15

115,39

117,63

119,87

122,11

124,34

135,48

146,57

157,61

168,61

179,58

233,99

341,40

447,63

553,13

658,09

866,91

1074,7

81,085

83,308

85,527

87,743

89,956

92,166

94,374

96,578

98,780

100,98

103,18

105,37

107,57

109,76

111,94

114,13

116,32

118,50

129,39

140,23

151,05

161,83

172,58

226,02

331,79

436,65

540,93

644,80

851,67

1057,7

66

68

70

72

74

76

78

80

82

84

86

88

90

92

94

96

98

100

110

120

130

140

150

200

300

400

500

600

800

1 000

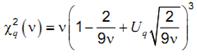
Đối với các giá trị 100 < v=””>< 1=”” 000=”” không=”” có=”” trong=”” bảng=”” thì=”” có=”” thể=”” dùng=”” nội=”” suy=”” tuyến=”” tính=”” để=”” tìm=””>

Đối với giá trị v > 1 000, dùng công thức gần đúng như sau:

                                                           (48)

Trong đó Uqq – phân vị của phân bố chuẩn có trong Bảng 5.

 

Phụ lục A

(tham khảo)

Chỉ dẫn các ký hiệu

Tên

Ký hiệu

Điều hay mục

Đại lượng ngẫu nhiên có phân bố Weibull

X

3.1

Đặc trưng của mẫu

, s

7.1

Độ bất đối xứng

rb

3.3

Giá trị cực đại của x1, …, xn

xmax

7.2

Giá trị cực tiểu của x1, …, xn

xmin

7.1

Hàm Gamma

r

3.3

Hàm phân bố đại lượng ngẫu nhiên có phân bố Weibull

F

3.1

Hàm mật độ của đại lượng ngẫu nhiên có phân bố Weibull

¦

3.2

Hằng số Ơle

g

6.1

Hệ số biến động

vb

3.3

Hệ số không chệch đối với ước lượng đơn giản

M(n)

6.1

Hệ số không chệch đối với ước lượng hợp lý cực đại

B(n)

6.2

Khoảng tin cậy

 

 

 

hai phía đối với tham số a

(a1; a2)

10; 11.1

 

một phía đối với tham số a

(a1; +¥), (−¥ ;a2)

10; 11.3

 

hai phía đối với tham số b

(b1; b2)

11.2

 

một phía đối với tham số b

(b1; +¥), (−¥ ;b2)

11.3

Kỳ vọng

E(X)

3.3

Mức tin cậy

1 – a

10

Phân bố Rayleigh

 

3.1

Phân bố Weibull

 

3.1

Phương pháp xấp xỉ liên tiếp Newton Raphson

 

6.2

Phân vị

q

11.2

 

zq

11.1

Phân vị của phân bố c2

10

Phân vị của phân bố chuẩn chuẩn hóa

Uq

5.1

Phương sai

D(X)

3.3

Tham số của phân bố Weibull

a, b, c

3.1

Ước lượng của các tham số a, b, c

5; 6.1; 7.1

Ước lượng của các tham số a, b theo phương pháp đơn giản

6.1

Ước lượng của các tham số a, b,c theo phương pháp hợp lý cực đại

6.2; 7.2

Ước lượng không chệch của tham số b

6.1; 6.2

CHÚ THÍCH: Dấu “^” để chỉ ước lượng không chênh lệch, dấu “~” để chỉ ước lượng theo phương pháp hợp lý cực đại, dấu “–” để chỉ ước lượng trong các trường hợp khác.

 

Phụ lục B

(tham khảo)

Các ví dụ

B.1. Ví dụ 1 (cho điều 5)

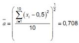
Trong Bảng B.1 có mười giá trị quan sát độc lập của đại lượng ngẫu nhiên có phân bố Weibull với tham số c = 0,5; b = 2. Hãy ước lượng a.

Bảng B.1

1,305

1,685

0,743

1,285

1,001

0,826

1,345

1,422

0,763

1,069

Ước lượng  của tham số a được tính theo công thức (10), điều 6.

B.2. Ví dụ 2 (cho 6.1)

Thí nghiệm về độ mỏi khi phải chịu ứng suất 250 MPa được tiến hành với 16 vật mẫu. Giả sử số vòng quay đến mức vật mẫu bị hỏng là đại lượng ngẫu nhiên có phân bố Weibull với tham số c = 0. Cần ước lượng các tham số ab. Các kết quả của thí nghiệm (số triệu vòng quay) ghi trong Bảng B.2.

Bảng B.2

0,163

0,207

0,215

0,227

0,230

0,254

0,256

0,262

0,264

0,269

0,478

0,302

0,341

0,372

0,374

0,425

0,523

0,552

0,633

0,706

0,793

0,800

0,807

0,864

1,02

1,03

 

 

 

 

 

 

Theo các công thức (11), (12), (13), (14) của 6.1 có

= -0,914

= 0, 562

= 2, 280

= 0, 516

n = 120 nên để có ước lượng không chệch  của b ta phải nhân  với (26). Theo Bảng 1, M (26) = 0,943, từ đó  = 0,943 x 2,280 = 2,150.

B.3. Ví dụ 3 (cho 6.2)

Theo các số liệu ở ví dụ 2, tìm các ước lượng hợp lý cực đại của a và b.

Ta lấy ngay = 2, 280 và chọn e = 0,000 1. Tính

a1 = = -23, 760

= 6, 866

Tương tự, tính

 = 8,060

 = -3,217

 = 2,934

 = 1,893

 = 0,818

 = 7,864

 = -3,039

 = 2,731

 = 1,895

 = 0,0216

 = 7,859

 = -3,035

 = 2,726

 = 1,895

 = 0,000 015

Vì điều kiện = 0,000 015 < 0,=”” 000=”” 1=”” thỏa=”” mãn=”” nên=”” ta=”” lấy=””>= 1, 895 , ước lượng  tính theo công thức

Để có ước lượng không chệch cần nhân với hệ số không chệch B theo Bảng 1

 = 0,947 x 1,895 = 1,795

B.4. Ví dụ 4 (cho 7.1)

Trong Bảng B.3 cho dãy 20 số liệu quan sát độc lập một đại lượng ngẫu nhiên có phân bố Weibull với tham số b = ln 5. Hãy ước lượng các tham số ac theo phương pháp mô men.

Bảng B.3

0,070 1

0,074 0

0,080 9

0,091 0

0,103 0

0,109 0

0,117 0

0,118 0

0,135 0

0,142 0

0,143 0

0,154 0

0,154 0

0,157 0

0,158 0

0,180 0

0,202 0

0,215 0

0,222 0

0,235 0

 

 

 

 

Tính

 = 0,143

 = 0,049 3

Theo Bảng 2, gb = 0, 612 9, Kb = 0,902 7, bởi vậy

= = 0,080 4

c* = 0,143 – 0,080 4 x 0,902 7 = 0,070 4

Vì c* > xmin = 0,070 1 nên lấy  = 0,070 1.

B.5. Ví dụ 5 (cho 7.2)

Theo điều kiện của ví dụ 4, ước lượng a và c theo phương pháp hợp lý cực đại.

Chọn ngay xấp xỉ thứ nhất của c là = 0, 07 và chọn e = 0,000 1.

Bảng B.4

K

ck

1

2

3

4

5

6

7

8

9

10

0,070 00

0,069 90

0,069 70

0,069 32

0,068 81

0,067 48

0,066 20

0,066 43

0,065 28

0,065 27

106.102

5 616

3 111

1 848

1 202

867,4

703

642

632

632

100.106

252.106

641.104

170.104

498.103

181.103

919.102

685.102

650.102

649.102

190

161

140

124

113

104

98,4

96,0

95,5

95,5

4,970

4,983

4,997

5,023

5,064

5,125

5,190

5,227

5,235

5,235

0,461

0,462

0,463

0,466

0,471

0,480

0,490

0,496

0,497

0,497

4 983

2 484

1 232

600,5

278,5

113,3

33,8

4,91

0,135

0,000 06

= 0,000 06 < 0,000=”” 1=”” nên=”” quá=”” trình=”” xấp=”” xỉ=”” liên=”” tiếp=”” đã=”” hoàn=””>

Như vậy, = c10 = 0, 065 27 và

B.6. Ví dụ 6 (cho điều 8)

Nghiên cứu tuổi thọ của 100 sản phẩm, các kết quả được trình bày trong Bảng B.5.

Giả sử tuổi thọ của sản phẩm tuân theo phân bố Weibull, hãy ước lượng các tham số a, b, c.

Bảng B.5

319

345

339

306

302

301

365

318

366

314

342

343

315

329

393

318

339

360

377

393

354

373

307

350

320

318

422

311

367

364

334

330

352

317

416

309

376

374

313

302

316

365

317

352

322

310

345

403

368

335

313

339

341

334

318

319

406

354

320

365

383

435

311

198

392

360

307

337

315

334

465

312

417

304

330

331

309

431

368

329

354

312

341

394

366

320

345

417

309

344

343

348

339

315

353

349

421

311

368

395

Tính

= 347,53

= 35, 899

Bằng phép nội suy tuyến tính theo Bảng 2 với Gb = 0,945 2 tìm được  = 1,618; Kb= 0,895 7 và gb = 0,567 2.

Tương tự như ví dụ 4, tính được

= 63, 29

c* = 347,53 – 0,895 7 x 63,29 = 290,84

Vì xmin = 301 nên lấy  = 290,84.

B.7. Ví dụ 7 (cho điều 9)

Với các điều kiện của ví dụ 4, hãy ước lượng kỳ vọng, phương sai, hệ số biến động. đối với tham số chưa biết hãy ước lượng bằng phương pháp hợp lý cực đại.

Sẽ biết b = 1,5. Theo ví dụ 5, biết = 0, 065 37 và a% = 0, 085 2 . Theo Bảng 2, được Kb= 0,902 7 và Gb = 0,612 9. để ước lượng kỳ vọng, dùng công thức (3) trong đó lấy  và  thay cho a và c. Ta có ước lượng

E(X) = 0,085 2 x 0,902 7 + 0,065 3 = 0,142

Để ước lượng phương sai D(X) dùng công thức (4) trong đó lấy a% thay cho a.

D(X) = 0,085 22 x 0,612 92 = 0,002 73

Để ước lượng hệ số biến động dùng công thức (5) trong đó đó lấy  và thay cho a và c.

 = 0,368

B.8. Ví dụ 8 (cho điều 10)

Với các số liệu ở ví dụ 1, hãy xác định khoảng tin cậy hai phía của tham số a với mức tin cậy 1 – a = 0,9.

Trong ví dụ 1 đã biết

= 5,011

Theo Bảng 6

(20) = 31, 410 ;      (20) = 10, 851

Vậy

a1 = = 0, 565

a2 = = 0, 961

Vậy khoảng tin cậy với mức tin cậy 1 – a = 0,9 của tham số a là (0,565; 0,961).

B.9. Ví dụ 8 (cho điều 11)

Với các số liệu ở ví dụ 2, hãy tìm khoảng tin cậy hai phía của tham số b với mức tin cậy 1 – a = 0,9 và khoảng tin cậy một phía (a1; +¥) của tham số a với mức tin cậy 1 – a = 0,9.

Theo ví dụ 3,  = 0, 532;  = 1, 895 .

Với a = 0,1 và n = 26, theo Bảng 4 0,05  0, 810, 0,95 = 1, 370 và theo Bảng 3 z0,9 = 0,276.

Từ đó

b1 = = 1,383

b2 = = 2, 340

a1 = 0, 532 x exp = 0, 460

Vậy khoảng tin cậy của tham số b cần tìm là (1, 383; 2, 340) và của tham số a là (0, 460; +¥).

 

MỤC LỤC

Lời nói đầu

1. Phạm vi áp dụng

2. Thuật ngữ và định nghĩa

3. Các đặc trưng cơ bản

4. Các vấn đề chung

5. Ước lượng của tham số a khi b và c đã biết

6. Ước lượng của các tham số a và b khi c đã biết

7. Ước lượng của các tham số a và c khi b đã biết

8. Ước lượng của các tham số a, b và c

9. Ước lượng của kỳ vọng, phương sai, hệ số biến động

10. Khoảng tin cậy của tham số a khi b và c đã biết

11. Khoảng tin cậy của các tham số a và b khi c đã biết

12. Các bảng số

Phụ lục A (tham khảo) Chỉ dẫn các ký hiệu

Phụ lục B (tham khảo) Các ví dụ

Leave a Reply

Your email address will not be published. Required fields are marked *