Nội dung toàn văn Tiêu chuẩn Việt Nam TCVN 4605:1988 về kỹ thuật nhiệt – kết cấu ngăn che – Tiêu chuẩn thiết kế
TIÊU CHUẨN VIỆT NAM
TCVN 4605 : 1988
KĨ THUẬT NHIỆT – KẾT CẤU NGĂN CHE – TIÊU CHUẨN THIẾT KẾ
Heating techniques – Insulating components – Design standard
1. Phạm vi và đối tượng áp dụng.
Tiêu chuẩn này dùng để thiết kế cách nhiệt cho kết cấu ngăn che cho các nhà và công trình có điều kiện vi khí hậu quy định.
Chú thích:
1. Khi thiết kế tường ngoài phải tính trước các biện pháp chống ẩm.
2. Thiết kế che nắng cho kết cấu ngăn che cần tuân theo các chỉ dẫn riêng.
2. Tính nhiệt trở và ẩm trở của kết cấu ngăn che
2.1 Tổng nhiệt trở của kết cấu ngăn che nhiều lớp R0 ,tính bằng (m2.h 0C)/kcal, xác định theo công thức:
R0 =Rt + RkC + Rn (m2.h. 0C)/kcal. (1)
Trong đó:
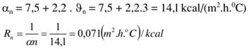
Rt = – Nhiệt trở mặt trong kết cấu ngăn che, tính bằng (m2.h. 0C)/kcal;
Rn = – Nhiệt trở mặt ngoài kết cấu ngăn che, tính bằng (m2.h. 0C)/kcal;
αt; αn – Hệ số trao đổi nhiệt mặt trong và mặt ngoài kết cấu ngăn che xác định theo bảng 3 và bảng 4.
RkC – Nhiệt trở của các lớp kết cấu ngăn che đồng nhất xác định theo công thức (2);
Trong đó:
RkC = R1+ R2 + Rkk + … + Ri (2)
R1 , R2 , Ri – Nhiệt trở của các lớp kết cấu ngăn che riêng biệt, tính bằng (m2.h. 0C)/kcal xác định theo chỉ dẫn điều 2.2;
Rkk – Nhiệt trở của lớp không khí kín trong kết cấu ngăn che tính bằng (m2.h. 0C)/kcal lấy theo chỉ dẫn điều 2.3;
Chú thích: Nhiệt trở của các lớp kết cấu ngăn che không đồng nhất xác định theo chỉ dẫn điều 2.5
2.2 Nhiệt trở các kết cấu ngăn che một lớp hoặc từng lớp riêng biệt của kết cấu ngăn che nhiều lớp R, tính bằng (m2.h. 0C)/kcal, xác định theo công thức:
(3)
Trong đó:
δ – Chiều dày của kết cấu một lớp hoặc mỗi lớp kết cấu trong kết cấu ngăn che nhiều lớp, tính bằng m;
– Hệ số dẫn nhiệt của vật liệu lớp kết cấu trên, tính bằng kcal/(m.h.oC), xác định theo phụ lục 3;
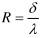
2.3 Nhiệt trở các lớp không khí kín trong kết cắu ngăn che Rkk ,tính bằng (m2 .h.oC)/kcal, phụ thuộc vào chiều dày, vị trí của nó và hướng truyền nhiệt, xác định theo bảng 1.
Bảng 1
|
Chiều dày của lớp không khí kín mm |
Nhiệt trở của lớp không khí kín, Rkk |
|||
|
Đối với lớp không khí nằm ngang khi dòng nhiệt từ dưới lên trên và đối với lớp không khí thẳng đứng |
Đối với không khí nằm ngang khi dòng nhiệt từ trên đi xuống |
|||
|
Khi nhiệt độ của không khí trong lớp khí là |
||||
|
Dương |
Âm |
Dương |
Âm |
|
|
1 |
2 |
3 |
4 |
5 |
|
10 20 30 50 100 150 Từ 200 đến 300 |
0,15 0,16 0,16 0,16 0,17 0,18 0,18 |
0,17 0,18 0,19 0,20 0,21 0,21 0,22 |
0,16 0,18 0,19 0,20 0,21 0,22 0,22 |
0,18 0,22 0,24 0,26 0,27 0,28 0,28 |
Chú thích:
1. Giá trị Rkk ghi trong bảng 1 tương ứng với mức chênh lệch nhiệt độ trên hai mặt các lớp không khí là
= 100C. Khi
nhỏ hơn 10oC thì trị số ghi trong bảng 1 cần nhân với các hệ số hiệu chỉnh sau :
– Khi mức chênh lệch nhiệt độ 80C thì hệ số hiệu chỉnh là 1,05
” 60C ” 1,10
” 40C ” 1,15
” 20C ” 1,20
2. Khi ốp thêm lớp giấy aluminium trên bề mặt kết cấu một phía hay hai phía lớp không khí thì nhiệt trở của tầng không khí kín Rkk sẽ xấp xỉ gấp hai lần.
2.4 Trị số tổng nhiệt trở Ro cửa chiếu sáng (cửa sổ, cửa trời, cửa ban công) lấy theo bảng 2.
Bảng 2
|
Loại cửa chiếu sáng |
Khoảng cách giữa các lớp kính, mm |
Rc (m2.h.0C)/kcal |
|
1. Khung đơn (một lớp kính) 2. Khung kép (hai lớp kính) 3. Khung đặt rời (hai lớp kính) 4. Các hộp kính rỗng thẳng đứng |
– Từ 50 đến 55 Từ 100 đến 110 – |
0,20 0,40 0,44 0,50 |
Chú thích:
1. Trong bảng 2 trị số nhiệt trớ ghi trong bảng dùng cho cửa sổ, cửa ban công, cửa trời có khung gỗ khi áp dụng đối với các cửa sổ có khung kim loại giá trị ghi trong bảng phải giảm10%.
2. Đối với các cửa chiếu sáng khác không ghi trong bảng 2 cần xác định bằng thực nghiệm.
2.5 Nhiệt trở của các lớp kết cấu ngăn che không đồng nhất (ví dụ: tường xăy bằng gạch có lỗ rỗng ở giữa được lấp bằng vật liệu cách nhiệt, tường bằng panen kiểu cũ chữ U hay kiểu ô cờ được lấp bằng bê tông xỉ bọt.. .) cần xác định theo các bước sau:
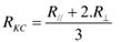
a. Khi kết cấu ngăn che được cắt bởi các mặt song song với phương dòng nhiệt thì nhiệt trở của nó (kí hiệu là R//) tính bằng (m2.h.oC)/kcal, xác định theo công thức sau:

Trong đó:
R1, R2, …Rn – Nhiệt trở của các phần kết cấu 1, 2, …n do các mặt vỏ cứng cách nhiệt chia ra, xác định theo công thức (3) , tính bằng (m2.h. 0C)/kcal.
F1, F2,…Fn – Diện tích các phần kết cấu riêng biệt tính bằng m2 ;
b. Khi kết cấu ngăn che được cắt bởi các mặt thẳng góc với phương dòng nhiệt thì nhiệt trở của nó (kí hiệu là
) được xác định như sau:
Đối với lớp đồng chất tính theo biểu thức (3) , không đồng chất tính theo biểu thức (4) . Và nhiệt trở
– của toàn bộ kết cấu được xác định bằng tổng nhiệt trở của các lớp riêng biệt, tính bằng (m2h.0C)/kcal;
= R1+ R2 + … + Rn (5)
Trong đó: R1, R2, Rn, – Nhiệt trở của các lớp riêng biệt, tính bằng (m2.h.0C)/kcal
c. Khi R// lớn hơn
25% thì nhiệt trở của các lớp kết cấu ngăn che tính theo biểu thức sau:
(6)
Trong đó:
RKC– Nhiệt trở của kết cấu ngăn che nhiều lớp không đồng nhất tính bằng (m2.h.oC)/kcal.
d – Khi R// lớn hơn
quá 25% thì nhiệt trở của các lớp kết cắu ngăn che không đồng nhất được xác định trên cơ sở tính toán trường nhiệt độ như sau:
![]()
Trong đó:
t.tb;
n.tb – Nhiệt độ trung bình bề mặt trong và bề mặt ngoài kết cấu ngăn che, 0C, cần xác định bằng thực nghiệm hoặc bằng phương pháp tính theo “sơ đồ mắt lưới”;
q – Nhiệt lượng truyền qua kết cấu ngăn che tính bằng kcal/(m2.h), xác định theo biểu thức (8);
q =αt (tt –
t.tb) = αn (
n.tb – tn) (8)
Trong đó:
– αt , αn – Xác địnhbằng bảng 3 và 4;
tt , tn – Nhiệt độ không khí bên trong và bên ngoài kết cấu ngăn che;
Tổng nhiệt trở của kết cấu ngăn che có thể được xác định theo công thức;
(9)
Chú thích: Các biểu thức (7), (8), (9) thiết lập trong điều kiện tt , lớn hơn tn. Nếu tn lớn hơn tt, thì dạng công thức giữ nguyên, nhưng đại lượng tt và tn đổi chỗ cho nhau.
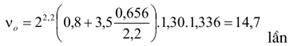
2.6 Hệ số trao đổi nhiệt mặt trong kết cấu ngăn che tính bằng kcal/(m2.h. 0C), xác định theo bảng 3.
Bảng 3
|
Bề mặt kết cấu ngăn che |
αt , kcal/(m2.h.0C) |
|
1. Đối với phòng đóng kín cửa a. Mặt trong tường, sàn, trần phẳng hoặc có sườn (gờ) lồi khi tỉ lệ chiều cao của sườn (h) trên khoảng cách (a) giữa các sườn :
b. Như trên, với c. Đối với trần có sườn ô cờ, khi 2. Đối với phòng mở cửa thông thoáng Trong đó: Vt – Tốc độ chuyển động của không khí Trong phòng tính bằng m/s |
7,5
6,5
6,0
0.8
4,3 + 3,3. |
2.7 Hệ số trao đổi nhiệt mặt ngoài kết cấu ngăn che tính bằng kcal/(m2.h. oC), xác định theo bảng 4.
Bảng 4
|
Bề mặt kết cấu ngăn che |
αn, kcal/(m2.h.0C) |
|
1. Tường và cửa chiếu sáng thẳng đứng 2. Mái |
5 + 10 7,9 + 2,2.Vn |
Trong đó:
Vn – Vận tốc gió ngoài nhà dùng cho tính toán, lấy theo TCVN 4088- 85; mùa đông:
là vận tốc lớn nhất tháng lạnh nhất; mùa hè: là vận tốc nhỏ nhất tháng nóng nhất.
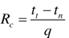
2.8 ẩm trở của kết cấu ngăn che (Rai) được xác định theo công thức sau:
(10)
Trong đó:
δi– Chiều dài của lớp vật liệu thứ i, (mm);
µj – Hệ số xuyên ẩm xác định theo phụ lục 3, tính bằng g/mhmmHg;
3. Quán tính nhiệt và độ ổn định nhiệt của kết cấu.
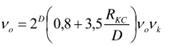
3.1 Chỉ số nhiệt quán tính (D) của kết cấu ngăn che được xác định theo công thức
D = R1.S1 + R2S2 + … + RnSn (11)
Trong đó:
R1, R2,…,Rn – Nhiệt trở của các lớp kết cấu ngăn che xác định theo công thức (3)
S1, S2,…,Sn – Hệ số ổn định nhiệt của vật liệu các lớp kết cấu ngăn che với chu kỳ 24 giờ xác định theo phụ lục 1 được tính bằng kcal/(m2.h.0C)
3.2 Hệ số bắt đầu dao động nhiệt độ của kết cấu ngăn che (
0) được xác định theo công thức (12), (13):
a. Khi D lớn hơn hoặc bằng 1,5:
(12)
b. Khi D nhỏ hơn hoặc bằng 0,5:
0 = Vmin = R0αt (13)
c. Khi D nhỏ hơn 1,5 và lớn hơn 0,5:
0 = Vmin + (0,8 + 1,15Rkc)
0.
k – 0,16
min D2 (14)
Trong đó: ở các biểu thức (12), (13), (14):
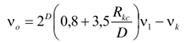
k – Hệ số hiệu chỉnh kể đến ảnh hưởng của tầng không khí kín làm tăng hệ số tắt dần dao động nhiệt của kết cấu được xác định theo công thức sau:
![]()
( Rkk – Nhiệt trở của lớp không khí kín);
0 – Hệ số hiệu chỉnh kể đến ảnh hưởng của thứ tự các lớp kết cấu:
![]()
S1, S2 Hệ số ổn định nhiệt của vật liệu lớp cách nhiệt và lớp chịu lực, lấy theo phụ lục 1, kcal/(m2.h.0C) , thứ tự chỉ số l, 2 lấy theo chiều đồng nhiệt.
RkC – Nhiệt trở của các lớp kết cấu ngăn che:
Đồng nhất – Xác định theo công thức (2);
Không đồng nhất – Xác định theo chi dẫn Điều 2.5;
D – Chỉ số nhiệt quán tính xác định theo chỉ dẫn Điều 3.1;
R0 – Tính theo công thức (l);
αt– Lấy theo bảng 3;
4. Thiết kế cách nhiệt cho nhà có điều kiện vi khí hậu tự nhiên
4.1 Thiết kế cách nhiệt chống lạnh cho nhà trong mùa đông.
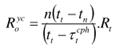
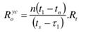
4.1.1. Tổng nhiệt trở (R0) của kết cấu ngăn che xác định theo biểu thức (1) – ứng với các thông số khí hậu mùa đông – không được nhỏ hơn nhiệt độ yêu cầu (R0) theo điều kiện chống đọng sương trên mặt trong kết cấu được xác định bằng công thức sau:
![]()
Trong đó:
tn – Trị số tính toán của nhiệt độ không khí ngoài nhà được quy định trong
TCVN 5687: 1992 “Thông gió, điều tiết không khí và sưởi ấm” và theo
TCVN 4088: 1985 “Số liệu khí hậu dùng trong thiết kế xây dựng”;
Rt – Lấy như trong công thức (l);
tt – Nhiệt độ trung bình của không khí trong nhà mùa đông dùng cho tính toán lấy theo yêu cầu công nghệ của nhà hoặc công trình có chức năng tương ứng;
t8 – Nhiệt độ điểm sương của không khí trong phòng, tính bằng 0C, lấy theo biểu đồ I – d, hoặc tra bảng;
n – Hệ số phụ thuộc vào vị trí mặt ngoài kết cấu ngăn che, xác định theo bảng 5
Bảng 5
|
Kết cấu ngăn che |
n |
|
1 |
2 |
|
1.Tường ngoài, mái nhà, sàn nằm trên tầng hầm lạnh 2. Sàn hầm mái với mái lợp bằng thép lẻ, ngói, xi măng amiăng và có lớp không khí thông gió. 3. Tường và sàn phân chia các phòng sưởi ấm và thông với không khí ngoài nhà. 4.Tường và sàn ngăn cách các phòng có sưởi ấm và không có sưởi ấm không thông với không khí ngoài nhà. 5. Sàn trên tầng hầm lạnh có cửa chiếu sáng ở xung quanh. 6. Như trên không có cửa chiếu sáng ở xung quanh tường. |
1,0 0,9
0,7
0,4 0,75 0,6 |
4.1.2. Tổng nhiệt trở (R0 ) của kết cấu ngăn che xác định theo công thức (l) – ứng với các thông số khí hậu mùa đông không được nhỏ hơn nhiệt trở yêu cầu
theo điều kiện tiện nghi nhiệt xác định theo công thức (18):

Trong đó:
tt , tn , Rt ,n – Tương ứng như công thức (17);
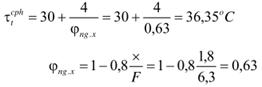
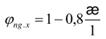
– Nhiệt độ cho phép của bề mặt trong kết cấu ngăn che,0C đối với nhà dân dụng được xác định như sau:
![]()
(19)
jng.x – Hệ số bức xạ giữa vi phân diện tích bề mặt cơ thể con người và bề mặt kết cấu”X” và được giới hạn như sau: không nhỏ hơn hoặc bằng 0,5 và không lớn hơn và bằng l xác định bởi công thức sau:
(20)
Trong đó:
jng.x – Khoảng cách giữa bề mặt cơ thể con người và bề mặt kết cấu cần xét, tính bằng m:
Đối với tường thì jng.x = 0,8
Đối với trần nhà dân dụng thì jng.x = H – 1,2
Đối với trần nhà công nghiệp thì: jng.x = H – 1,6
(H là chiều cao phòng được tính bằng m)
1 – Kích thước đặc trưng của bề mặt kết cấu được tính bằng m, xác định theo (21);
(21)
F – Diện tích bề mặt kết cấu, được tính bằng m2;
Chú thích:Sau khi đã tính được
theo cả hai biểu thức (17), (18), ta sẽ lấy
có giá trị lớn hơn làm tiêu chuẩn thiết kế. Xem ví dụ tính toán 9.1;
4.1.3. Chiều dày của lớp cách nhiệt được tính bằng m, xác định theo công thức (22):
δ =
.R =
(R0 yc – Rt – Rn – Rkc) (22)
Trong đó:
– Hệ số dẫn nhiệt của vật liệu lớp cách nhiệt tính bằng kcal/(m2.h.0C);
Rkc – Nhiệt trở của kết cấu tính theo công thức (2) không kể lớp cách nhiệt;
Rt , Rn – Theo công thức (1);
4.2 Thiết kế cách nhiệt chống nóng cho nhà về mùa hè
4.2.1. Tổng nhiệt trở (R0) của kết cấu ngăn che, tính bằng (m2.h.0C)/kcal xác định theo biểu thức (1) – ứng với các thông số khí hậu mùa hè – Không được nhỏ hơn nhiệt trở yêu cầu (
) xác định theo công thức (23);

Trong đó:
t1 – Nhiệt độ trung bình của không khí trong nhà về mùa hè lấy theo yêu cầu công nghệ của nhà và công trình có chức năng tương ứng;
[∆t] – Trị số cho phép của chênh lệch nhiệt độ phòng và nhiệt độ không khí trong phòng tạm thời lấy [∆t] bằng 1,5 0C;
– Nhiệt trở mặt trong kết cấu ngăn che tính bằng (m2.h.0C)/kcal,
αt – Lấy theo bảng 3;
KV – Hệ số kể đến ảnh hưởng của tốc độ chuyển động của không khí trong phòng theo bảng 6.
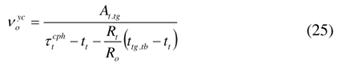
ttg.tb – Nhiệt độ tổng trung bình ngoài nhà mùa hè dùng cho tính toán, xác định theo biểu thức (24);
![]()
Trong đó:
αn – Hệ số trao đổi nhiệt mặt ngoài kết cấu ngăn che tính bằng kcal/(m2.h.0C) lấy theo bảng 4 (ứng với tốc độ gió ngoài nhà mùa hè);
j– Hệ số hấp thụ bức xạ mặt trời của mặt ngoài kết cấu ngăn che xác định từ phụ lục 4;
Itb – trị số trung bình của tổng xạ mặt trời chiếu lên bề mặt kết cấu tính bằng kcal (m2.h) lấy theo số liệu của đài trạm khí tượng;
tn.tb – Trị số trung bình của nhiệt độ không khí ngoài nhà mùa hè dùng cho tính toán được quy định trong TCVN 5687: 1992 “thông gió – điều tiết không khí – sưởi ấm” và theo TCVN 4088- 85 “số liệu khí hậu dùng trong thiết kế xây dựng”
Bảng 6
|
V(m/s) |
0,05 |
0,1 |
0,2 |
0,3 |
0,6 |
0,9 |
1,2 |
1,5 |
1,8 |
2,1 |
|
KV |
0,5 |
0,59 |
0,67 |
0,73 |
0,78 |
0,82 |
0,84 |
0,86 |
0,87 |
0,88 |
4.2.2. Hệ số tắt dần dao động nhiệt độ của kết cấu ngăn che (
0) xác định theo chỉ dẫn
Điều 3.1; 3.2 không được nhỏ hơn hệ số tắt dần dao động nhiệt độ yêu cầu (
) xác định bằng biểu thức sau:

Trong đó:
R0 – Xác định như công thức (l);
ttg.tb , tt Rt – Xác định như trong công thức (23) ;
– Nhiệt độ bề mặt trong cho phép của kết cấu ngăn che xác định như sau:

At,tg – Biên độ dao động nhiệt độ tổng ngoài nhà được xác định:

Trong đó: ở các biểu thức (26) , (28), (29):
jng.x – Xác định theo công thức (20);
Atn – Biên độ dao động nhiệt độ của không khí ngoài nhà, được tính bằng 0C;
tn.tb – Xác định như trong công thức (24);
tn,max – Trị số max của nhiệt độ không khí ngoài nhà xác định theo TCVN 4088- 85 “số liệu khí hậu dùng trong thiết kế xây dựng”;
A1 – Biên độ dao động của bức xạ mặt trời chiếu lên bề mặt kết cấu, kcal/(m2.h)
Imax , Itb – Trị số max và trị số trung bình của tổng xạ mặt trời chiếu lên bề mặt kết cấu: kcal/(m2.h), lấy theo số liệu của đài trạm khí tượng;
Chú thích:
1. Với những công trình yêu cầu đảm bảo điều kiện tiện nghi nhiệt tổng thể, chỉ cần tính toán theo công thức (23).
2. Với những công trình có yêu cầu đảm bảo cả hai điều kiện tiện nghi nhiệt (tiện nghi nhiệt tổng thể và tiện nghi nhiệt cục bộ) thì phải tính toán theo cả hai công thức thỏa mãn (23) và (25).
5. Thiết kế cách nhiệt cho nhà có điều kiện vi khí hậu nhân tạo.
5.1 Thiết kế cách nhiệt chống lạnh cho nhà trong mùa đông.
5.1.1. Đối với nhà có trang bị hệ thống sưởi ấm trong mùa đông, tổng nhiệt trở (R0) của kết cấu ngăn che phải thỏa mãn điều kiện đã được quy định ở điều 4.l.l và 4.l.2.
5.1.2. Ngoài quy định của điều 5.l.l tổng nhiệt trở của kết cấu ngăn che phải được xác
định như theo điều kiện kinh tế. Xem chỉ dẫn điều 5.3.
5.2 Thiết kế chống nóng cho nhà về mùa hè.
5.2.1. Đối với nhà có trang bị hệ thống điều hòa không khí – công trình có yêu cầu ổn định nhiệt theo thời gian – tổng nhiệt trở R0, của kết cấu ngăn che phải thỏa mãn điều kiện đã được quy định ở điều 4.2.1 và điều kiện sau đây:
0 phải không được nhỏ hơn
xác định theo công thức (30) :
(30)
Trong đó:
At.tg – xác định theo công thức (27);
0 – xác định theo chỉ dẫn điều 3.1 và 3.2;
5.2.2. Ngoài quy định của điều 5.2.1 tổng nhiệt trở (R) của kết cấu ngăn che phải được xác định theo điều kiện kinh tế, xem chỉ dẫn điều 5.3;
Chú thích:
1. Khi thiết kế các công trình kiến trúc việc ưu tiên cho chống nóng hay chống lạnh là chủ yếu, phải xét cụ thể vào mỗi vùng khí hậu, theo “bản đồ phân vùng khí hậu xây dựng Việt Nam”, trong TCVN 4088: 1985 “Số liệu khí hậu dùng trong thiết kế xây dựng”
2. Đối với nhà vừa có yêu cầu chống lạnh vừa có yêu cầu chống nóng ta phải xác định
theo các biểu thức (17), (18), (23) rồi chọn
có trị số lớn hơn làm tiêu chuẩn thiết kế.
5.3 Đối với nhà có trang bị hệ thống sưởi ấm hoặc hệ thống điều tiết không khí thì tổng nhiệt trở của kết cấu ngăn che được tính bằng (m2’h.0C)/kcal xác định theo điều kiện kinh tế sau đây:
R0 yc = R0 kt = Rt + Rn + Rcn kt + Rkc (31)
Trong đó:
Rt, Rn – Xác định như trong công thức (l);
RkC – Tổng nhiệt trở của các lớp kết cấu (trừ lớp cách nhiệt), xác định theo công thức (2);
Rcn kt – Nhiệt trở kinh tế của lớp cách nhiệt được tính bằng (m2.h.oC)/kcal, xác định như sau:
![]()
Trong đó:
n – Hệ số kể đến tương quan (tỉ số) giữa nhiệt trở của lớp cách nhiệt với tổng nhiệt trở của kết cấu ngăn che, lấy bằng 0,85;
tth – Nhiệt độ của không khí ở phía có nhiệt độ thấp: Đối với hệ thống sưởi là nhiệt độ trung bình không khí ngoài nhà tính trong suốt thời gian sưởi ấm mùa đông, oC; Đối với hệ thống điều tiết không khí – là nhiệt độ không khí trong phòng, được tính như bằng 0C;
tc – Nhiệt độ không khí ở phía ngoài có nhiệt độ cao; Đối với hệ thống sưởi ấm – là nhiệt độ không khí trong phòng, 0C. Đối với hệ thống điều tiết không khí – là nhiệt độ của không khí trung bình ngoài nhà tính trong suốt thời gian điều tiết không khí mùa hè được tính bằng oC;
Z – Số giờ cần sưởi ấm trong năm (đối với hệ thống sưởi) hoặc cần điều tiết trong năm (đối với hệ thống điều tiết không khí) được tính bằng h/năm;
Snh – Giá thành nhiệt năng lấy theo đơn giá do Nhà nước quy định, được tính bằng đồng/kcal;
Scn – Giá thành vật liệu cách nhiệt, đ/m3, lấy theo đơn giá Nhà nước quy định;
T – Thời gian hoàn vốn công trình, thường lấy bằng 8 đến 12 năm;
cn – Hệ số dẫn nhiệt của lớp cách nhiệt được tính bằng kcal/(m.h.0C), lấy theo phụ lục 3;
Chú thích: Ta có thể xác định được chiều dày của lớp cách nhiệt được tính bằng m, theo công thức sau:
![]()
6. Chế độ ẩm của kết cấu ngăn che
6.1 Chỉ tính toán chế độ ẩm cho kết cấu ngăn che đối với những phòng có điều kiện khí
hậu nhân tạo (kho lạnh, phòng có điều hòa không khí hoặc có trang bị sưởi ấm).
6.2 Lượng ẩm đi qua kết cấu ngăn che được tính bằng g/(m2.h) xác định theo công thức sau:
(34)
Trong đó:
cn – áp suất riêng phần của hơi nước trong không khí ngoài nhà, được tính bằng mmHg;
ct – áp suất riêng phần hơi nước trong không khí trong nhà, được tính bằng mmHg;
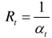
Rac – Tổng ẩm trở của kết cấu ngăn che, được tính bằng (mmHg.m2.h)/g xác định theo công thức:
Rac = Rat + ∑Rai + Ran (35)
Trong đó:
Rat – ẩm trở của mặt trong của kết cấu ngăn che có thể xác định gần đúng theo bảng 7;
Ran – ẩm trở mặt ngoài của kết cấu ngăn che xác định như sau:
– Khi V nhỏ hơn hoặc bằng lm/s thì Ran = 0,25;
– Khi V bằng 2 đến 3m/s thì Ran =0,12;
– Khi V bằng 4 đến 5m/s thì Ran =0,6;
V- Tốc độ gió ngoài nhà, được tính bằng m/s;
Rai – ẩm trở của lớp kết cấu thứ i xác định theo chỉ dẫn Điều 2.8;
Bảng 7
|
Đặc tính của phòng |
Độ ẩm không khí ở gần bề mặt kết cấu % |
ẩm trở Rat (mmHg.h.m2)/g |
|
1. Rất khô, có lượng nhiệt thừa lớn 2. Khô được sưởi ấm 3. ẩm bình thường 4. Hơi ẩm 5. ẩm 6. Khi bề mặt kết cấu lưuôn lưuôn có nước ngưng đọng (đọng sương bề mặt) |
25 40 55 70 85 100 |
0,30 0,91 0,60 0,34 0,16 0 |
Chú thích: ẩm trở của vật liệu lá móng lấy theo phụ lục 5
7. Lượng khí thấm qua kết cấu ngăn che
Chỉ tiêu này chỉ quy định cho kho lạnh. Lượng khí thấm qua từ trong ra ngoài qua kết cấu ngăn che của kho lạnh được tính bằng kg/(m2.h). Xác định theo công thức :
![]()
Trong đó:
Gk – Lượng khí thấm qua kết cấu ngăn che (tường, mái) được tính bằng kg/(m2.h)
Rk – Trở khí của kết cấu ngăn che, được tính bằng (mm cột nước x m2 xh)/kg; xác định theo biểu thức (37);
Rk = Rk1+ Rk2 + … + Rkn (37)
Rk1,Rk2 ,… ,Rkn – Trở khí của lớp kết cấu riêng biệt lấy theo phụ lục 6;
P – Mức chênh lệch áp suất không khí trong và ngoài nhà, được tính bằng cột nước, xác định như sau:
P = H(
t –
n) (38)
Trong đó:
H – Chiều cao nhà (tính từ mặt đất đến mái đua) được tính bằng m;
t ,
n – Khối lượng riêng của không khí trong và ngoài nhà, được tính bằng kg/m3 xác định theo biểu thức (39);
![]()
Trong đó:
t – Nhiệt độ không khí: trong nhà (ứng với
t) lấy theo yêu cầu của phòng 0C; ngoài nhà (ứng với Xn) là nhiệt độ ngày cao nhất mùa hè ứng với miền khí hậu đặt công trình, lấỵ theo TCVN 4088- 86.
Phụ lục 1
(Bắt buộc áp dụng)
Các ví dụ tính toán
Ví dụ 1: Thiết kế cách nhiệt cho mái nhà theo yêu cầu chống lạnh trong mùa đông.
Cho trước các thông số sau :
T1 bằng 250C; tn bằng 50C; độ ẩm trong phòng jt bằng 75%
Tốc độ gió ngoài nhà Vn bằng 3m/s, nhà đóng cửa phòng rộng 6m, dài 3m, cao 3,6m.
Kết cấu mái xem hình 1

Hình 1
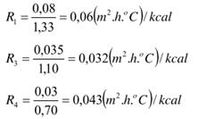
1. Bê tông cốt thép chịu lực có λ 1 bằng 1,33 được tính bằng kcal/m.h.0C (bảng 1), δ1 bằng 0,08m;
2. Lớp cách nhiệt (chiều dày cần phải tính);
3. Bê tông đá dăm có λ s bằng 1,10 được tính bằng kcal/(m.h.0C) (bảng 1) δ3 bằng 0,035m;
4. Gạch lá nem và vữa lát có λ 4 bằng 0,7, được tính bằng kcal/(m.h.0C), lấy theo bảng δ4
Giải:
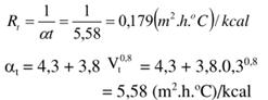
1. Xác định nhiệt trở của mặt ngoài và mặt trong của mái – theo bảng 4.
theo bảng 3 ứng với trường hợp đóng kín cửa và trân phòng: Dt bằng 7,5
![]()
2. Tính nhiệt trở của các lớp kết cấu riêng biệt (bê tông chịu lực, bê tông chống thấm và
gạch lá nem).

3. Xác định nhiệt trở yêu cầu theo điều kiện chống đọng sương :
– Từ công thức (16) :
![]()
Trong đó: n =1 (theo bảng 5)
Ts = 200C – Lấy từ biểu đồ
T1 = 250C – Đã cho
Tn = 50C – Đã cho
Rt = 0,133 – Đã tính ở trên
![]()
4. Xác định nhiệt trở yêu cầu theo điều kiện tiện nghi nhiệt
Theo công thức (17)
![]()
Trong đó: n, tt , tn,Rt – đã biết:
– tính theo công thức (18)
![]()
Trong đó: ![]()
æ= khoảng cách từ đầu người đến trần bằng: 3,6 -1,6 2m
F: Diện tích trần bằng 6×9 = 54m2
Do đó :
![]()
Ta chọn
bằng 0,532 làm tiêu chuẩn thiết kế. Vậy lớp cách nhiệt cần có nhiệt trở là
R2 lớn hơn hoặc bằng
– RO – Rt – R1 – R3 – R4
R2 lớn hơn hoặc bằng 0,532 – 0,339
R2 lớn hơn hoặc bằng 0,193
Nếu chọn bê tông xỉ có λ2 bằng 0,35 (phụ lục 1) làm vật liệu cách nhiệt ở mái thì chiều dày lớp cách nhiệt phải là:
δ2 = R2. λ2 = 0,199 . 0,35 = 0,07m
5. Tính kiểm tra:

Ví dụ 2:
Kiểm tra khả năng cách nhiệt của mái nhà trong mùa nóng (nhà có điều kiện vi khí hậu tự nhiên), địa điểm xây dựng tại Hà Nội – Cho biết:
– Mái có cấu tạo từ trên xuống (hình 2):
Lớp 1 – ngói xi măng lưới thép mầu xám có δ1 = 0,02m
Lớp 2 – tầng không khí kín δkk = 0,55m
Lớp 3 – Bê tông bọt (J= l000kg/m3) δ3 = 0,150 m
Lớp 4 – Bản đáy panen bê tông cốt thép δ4 = 0,03m
– Mái có độ dốc nhỏ nên được xem là mái bằng có: Ttb = 366 kcal/(m2.h)
A1 = 741 kcal/(m2.h); tm = 4,10C; tt = 29oC
tn.tb = 30,3oC; Vn = 2,2 m/s .
– Kích thước phòng rộng 3m, dài 6m, cao 3m;

Giải: Tra bảng 1: λ1: = l,75 kcal/ (m.h.0C)
S1 = 14,13 kcal/(m2.h.oC); λ3 = 0,35 kcal/m.h.oC
S2 = 4,25 ” ; λ = l,75 “
S4 = 12,85 ” ;
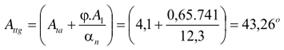
Tra bảng 2: j = 0,65 (ứng với mái xi măng lưới thép mầu xám)
1. Kiểm tra điều kiện tiện nghi nhiệt tổng thể
a. Tính nhiệt trở yêu cầu: ![]()
Từ công thức (23):
![]()
Kv = 0,73 – lấy từ bảng 6 ứng với Vt (chọn) = 0,3m/s

(αt – lấy từ bảng 3)
αn = 7,5 + 2,2 . Vn = 7,5 + 2,2 . 2,2 =12,3 kcal/(m2.h.0C)
(αn– lấy từ bảng 4)
b. Tính tổng nhiệt trở của kết cấu ngăn che :

Kết luận: Ro lớn hơn
2. Kiểm tra theo điều kiện tiện nghi nhiệt cục bộ :
a. Tính: Attg .
Từ công thức (27)

Theo công thức (26)

Trong đó:
x = 3,0 – 1,2 = 1,8m
F = 6 . 3 = 18m2 (diện tích phòng)
Theo công thức (25) :

b) Tính
0 :
– Quán tính nhiệt của các lớp :
D = R1.S1 + R2.S2 + R3.S3 + R4.S4 = 0,011×14,13+(0,20+0,428). 4,25 + 0,017. 12,25 = 2,2
– D lớn hơn 1,5 nên theo công thức (12)
0 được xác định:
![]()
Trong đó: Rkc = R1 + R2 + R3 + R4 = 0,011 + 0,2 + 0,420 + 0,017 = 0656

Do đó
![]()
Phụ lục 2
(Bắt buộc áp dụng)
Kí hiệu và đơn vị đo của các đại lượng nhiệt kĩ thuật
|
Tên gọi |
Kí hiệu |
Đơn vị đo |
|
|
Hệ kĩ thuật |
Hệ SI |
||
|
1 |
2 |
3 |
4 |
|
1. Hệ số dẫn nhiệt của vật liệu 2. Hệ số truyền nhiệt của kết cấu ngăn che 3. Nhiệt trở của kết cấu ngăn che 4. Nhiệt trở yêu cầu của kết cấu ngăn che 5. Nhiệt trở của lớp không khí kín 6. Hệ số tỏa nhiệt mặt trong kết cấu ngăn che 7. Hệ số tỏa nhiệt mặt ngoài kết cấu ngăn che 8. Nhiệt dung riêng của vật liệu 9. Hệ số ổn định nhiệt của vật liệu 10. Tổng xạ mặt trời lên bề mặt ngoài kết cấu ngăn che 11. Quán tính nhiệt của kết cấu ngăn che 12. áp suất riêng phần của hơi nước |
K 1 Ro= R yc o Rkk αt αn G S 1 D c |
kcal/(m.h.0C) kcal/(m2.h.0C) (m2 .h. 0C)/kcal (m2.h.0C)/kcal (m2.h.0C)/kcal kcal/(m2.h.0C) kcal/(m2.h.0C) kcal/(kg.0C)
kcal/(m2.h.0C) kcal/(m2.h) kcal/(m2.h) mmHg |
1,163W(m.0K) 1,163W(m2.0K) 0,860(m2.0K)/W 0,860(m2.0K)/W 0,860(m2.0K)/W 1,163W/(m2.0K) 1,163W/(m2.0K) 4186J/(kg.0K)
1,163W/m2.0K 1,163W/m2 1.163W/m2 133,332N/m2 |
|
13. Hệ số xuyên ẩm của vật liệu
14. ẩm trở của kết cấu
15. Độ ẩm tương đối của không khí
16. Khí trở của vật liệu các lớp kết cấu ngăn che
17. Mức chênh lệch áp suất không khí giữa mặt trong nhà và mặt ngoài kết cấu ngăn che 18. Lượng khí thấm qua kết cấu 19. Nhiệt độ không khí ngoài nhà dùng cho tính toán 20. Nhiệt độ không khí bên trong dùng cho tính toán 21.Nhiệt độ điểm sương 22. Nhiệt độ mặt trong kết cấu ngăn che 23. Biên độ giao động nhiệt độ 24. Hệ số hấp thụ bức xạ mặt trời 25. Hệ số tắt dần dao động nhiệt độ của kết cấu ngăn che 26. Vận tốc gió dùng cho tính toán 27. Chiều dày kết cấu ngăn che 28. Diện tích từng phần bề mặt kết cấu ngăn che 29. Khối lượng vật liệu |
µ
Rat
j
Rk
∆P
Gk tn
tb
ts
A j
δ F
|
(m.h.mmHg)
(m2.h.mmHg)/g
%
(m2 .h.mmH2O)/kg
mmH2O
kg/(m2.h.0C) 0C
0C
0C 0C 0C 0C m/s
m m2
kg/m3 |
2,08.10– 9 kg /( m.s. 4,7996.106 ( m2 .s.
3,5304.10 4 ( m2 .s. 9,807N/m2
2,8.10 -4kg/(m2.s) (0C+273)0K (0C+273)0K
(0C+273)0K
(0C+273)0K (0C+273)0K (0C+273)0K – m/s
m m2
kg/m3 |
Phụ lục 3
(Tham khảo)
CHỈ TIÊU VẬT LÍ CỦA VẬT LIỆU XÂY DỰNG
|
STT |
Tên vật liệu |
Khối lượng riêng ψ |
Hệ số dẫn nhiệt λ |
Nhiệt dung riêng C |
Hệ số ổn định nhiệt khi Z=24 giờ S |
Hệ số xuyên ẩm µ.10-2 |
|||
|
1 |
2 |
3 |
4 |
5 |
6 |
7 |
8 |
9 |
10 |
|
Vật liệu amiăng |
|||||||||
|
1 2
3 |
Tấm xi măng amiăng Tấm cách nhiệt xi măng nt |
900 500
300 |
0,30 0,11
0,08 |
0,348 0,127
0,092 |
0,2 0,2
0,2 |
0,036 0,036
0,836 |
5,45 1,69
1,12 |
6,32 1,96
1,29 |
0,36 5,20 |
|
Bê tông |
|||||||||
|
4
5 6 7 8 9 10 11 12 13 14 15 16 17 |
Ngói xi măng lưới thép Bê tông cốt thép Bê tông đá dăm Bê tông gạch vỡ Bê tông xỉ Bê tông gạch xỉ Bê tông gạch xỉ Bê tông bọt Bê tông bọt Bê tông bọt Bê tông bọt Bê tông bọt silicát Bê tông bọt silicát Bê tông bọt silicát |
2500
2400 2200 1800 1500 1200 1000 1000 800 600 400 800 600 400 |
1,75
1,39 1,10 0,75 0,60 0,45 0,35 0,34 0,25 0,10 0,13 0,25 0,18 0,13 |
2,03
1,54 1,27 0,87 0,69 0,52 0,40 0,39 0,25 0,21 0,15 0,29 0,21 0,15 |
0,2
0,2 0,29 0,2 0,19 0,18 0,18 0,2 0,2 0,2 0,2 0,2 0,2 0,2 |
0,836
0,836 1,212 0,836 0,794 0,752 0,752 0,836 0,836 0,836 0,836 0,836 0,836 0,836 |
14,13
12,45 11,20 8,40 6,65 5,05 4,05 4,20 3,22 2,97 1,69 3,22 2,36 1,65 |
16,39
14,91 12,99 9,74 7,71 5,85 4,69 4,87 3,73 2,74 1,96 3,73 2,73 1,94 |
–
0,4 0,6 0,9 1,2 1,40 1,80 1,00 1,40 1,70 2,70 2,45 2,85 3,25 |
|
Vật liệu thạch cao |
|||||||||
|
18
19 20 |
Tấm thạch cao ép tường Tấm thạch cao Bê tông thạch cao xỉ lò |
1000
1000 1000 |
0,2
0,33 0,32 |
0,23
0,38 0,37 |
0,2
0,2 0,19 |
0,836
0,836 0,794 |
3,30
4,45 4,00 |
3,82
5,16 4,64 |
0,72
1,40 2,00 |
|
Vật liệu đất, vật liệu nhét đầy |
|||||||||
|
21 |
Đất sét nén chặt và gạch đất sét |
2000 |
0,80 |
0,93 |
0,2 |
0,836 |
9,10 |
10,55 |
1,3 |
|
22 23 24
25
26
27 |
Gạch mộc Đất phong hóa Đất thô làm vật liệu nhét đầy Vật liệu nhét đầy bằng đất phong hóa khô Đất silicát dùng để nhét đầy Tấm cách nhiệt bằng than bùn |
1600 1000 1600
400
600
225 |
0,60 1,00 0,50
0,45
0,15
0,06 |
0,69 1,16 0,58
0,52
0,17
0,07 |
0,25 0,2 0,2
0,2
0,20
0,40 |
1,05 0,836 0,836
0,836
0,836
1,672 |
7,90 9,70 6,45
5,70
1,84
1,2 |
9,16 11,25 7,48
6,61
2,13
1,39 |
2,3 – 2,2
2,5
4,0
2,5 |
|
Gạch xây |
|||||||||
|
28
29 30 31
32 |
Gạch xây với vữa nặng Gạch xây với vữa nhẹ Gạch silicát Gạch rỗng (v=1300) xây với vữa nặng (v=1400) Gạch xây nhiều lỗ xây với vữa nặng |
1800
1700 1900 1350
1300 |
0,79
0,65 0,75 0,5
0,45 |
0,92
0,75 0,87 0,58
0,52 |
0,21
0,21 0,2 0,21
0,21 |
0,879
0,879 0,836 0,879
0,879 |
8,30
7,75 7,75 6,05
5,65 |
9,63
8,99 8,99 7,01
6,55 |
1,4
1,6 1,6 2,0
– |
|
Vật liệu trát và vữa |
|||||||||
|
33 34 35 36 37 38 39
40
41 42 |
Vữa xi măng Vữa tam hợp Vữa vôi trát ngòai Vữa xỉ nt Vôi vữa trát trong Vữa vôi trát mặt ngoài tấm Vữa vôi cộng xỉ quặng Tấm ốp mặt bằng thạch cao Tấm sợi gỗ cứng ốp mặt |
1800 1700 1600 1400 1200 1600 1400
1200
1000 700 |
0,8 0,75 0,75 0,35 0,45 0,60 0,45
0,4
0,2 0,2 |
0,93 0,87 0,87 0,40 0,52 0,69 0,52
0,49
0,23 0,23 |
0,2 0,2 0,2 0,18 0,18 0,2 0,25
0,19
0,24 0,35 |
0,836 0,836 0,836 0,753 0,753 0,836 1,05
0,794
1,000 1,465 |
8,86 8,15 7,5 6,0 5,05 7,05 6,4
4,85
3,5 3,35 |
10,03 9,45 9,16 6,96 5,85 8,17 7,42
5,62
4,06 3,85 |
1,2 1,3 1,8 1,5 1,8 1,8 1,6
1,8
1,0 1,0 |
|
Vật liệu xỉ |
|||||||||
|
43 44 45 |
Xỉ lò nt Xỉ lò cao dạng hạt |
1000 700 500 |
0,25 0,19 0,14 |
0,29 0,23 0,16 |
0,18 0,18 0,18 |
0,753 0,753 0,753 |
3,40 2,50 1,81 |
3,94 2,90 2,09 |
2,0 2,90 3,0 |
|
46 |
Gạch xỉ |
1400 |
0,5 |
0,58 |
0,18 |
0,753 |
5,75 |
6,67 |
– |
|
Vật liễu cuộn |
|||||||||
|
47 48 49
50 51 52
53 |
Giấy các tông tốt Giấy các tông thường Giấy các tông gợn sóng Giấy tẩm dầu thông và nhựa đường Thảm dùng trong nhà Thảm bông khoáng chất Thảm bông khoáng chất |
1000 700 150
600 150 200
250 |
0,20 0,15 0,055
0,15 0,05 0,06
0,063 |
0,23 0,17 0,0
0,17 0,058 0,069
0,072 |
0,35 0,35 0,35
0,35 0,45 0,45
0,48 |
1,465 1,465 1,465
1,465 1,883 1,883
0,753 |
4,25 5,0 0,87
2,25 0,75 0,75
0,85 |
4,93 5,8 1,009
3,30 0,87 0,87
0,98 |
– – –
– 4,5 6,5
6,0 |
|
Sản phẩm nông nghiệp |
|||||||||
|
54 55 56 57 58 |
Trấu Cây lác Rơm Tấm ép bằng rơm Tấm ép bằng cây lác |
250 400 320 300 360 |
0,18 0,19 0,08 0,09 0,09 |
0,753 0,794 0,093 0,1 0,1 |
0,49 0,35 0,36 0,35 0,36 |
1,883 1,465 1,47 1,465 1,47 |
1,21 2,09 1,55 1,6 1,74 |
1,40 2,42 1,79 1,89 2,02 |
– – – – – |
|
Vật liệu thủy tinh |
|||||||||
|
59 60 61 62 |
Kính cửa sổ Sợi thủy tinh Thủy tinh bọt Thủy tinh bọt |
2500 200 500 500 |
0,65 0,05 0,10 0,14 |
0,75 0,058 0,116 0,162 |
0,2 0,2 0,2 0,2 |
0,836 0,836 0,836 0,836 |
0,2 0,72 1,25 1,9 |
0,24 0,24 1,39 2,20 |
– 6,5 0,3 0,3 |
|
Vật liệu gỗ |
|||||||||
|
63 64 65
66
67
68 |
Gỗ thông ngang thớ Gỗ thông dọc thớ Mùn cưa Mùn cưa tẩm thuốc chống mọt Mùn cưa trộn với nhựa thông Gỗ dán Tấm bằng sợi gỗ ép nt |
550 550 250 300 300 600 600 250 250 |
0,15 0,30 0,02 0,11 0,10 0,15 0,14 0,065 0,05 |
0,165 0,36 0,093 0,127 0,116 0,17 0,16 0,075 0,058 |
0,6 0,6 0,6 0,55 0,45 0,6 0,6 0,6 0,6 |
2,511 2,511 2,51 2,302 1,603 2,5 2,51 2,51 2,51 |
3,6 5,05 1,75 2,15 1,9 3,75 3,6 1,6 1,1 |
4,17 5,85 2,03 2,49 2,20 4,35 4,17 1,85 1,27 |
0,22 4,3 3,5 3,5 3,3 0,3 1,5 3,2 4,3 |
|
69 70 71 72 73 |
nt Tấm gỗ sần Tấm từ phế liệu của lie |
250 150 |
0,06 0,05 |
0,07 0,058 |
0,5 0,45 |
2,10 1,083 |
1,1 0,94 |
1,27 1,09 |
0,5 0,4 |
|
Vật liệu khác |
|||||||||
|
74 75 76 |
Tấm silicát in hoa Tấm silicát in hoa Tấm silicát in hoa |
600 400 250 |
0,2 0,14 0,4 |
0,23 0,16 0,116 |
0,55 0,55 0,55 |
2,302 2,302 2,302 |
4,15 2,83 1,09 |
4,814 3,28 2,190 |
1,4 1,4 1,4 |
Chú thích:
1. Trị số v=0,4 = 0,6.10-2là thuộc về loại bê tông có đặc trưng trung bình, đối với bê tông đặc trưng hơn như bê tông đầm bằng máy rung thì v nhỏ hơn.
Đối với gỗ thì tùy theo diện tích khe nứt nhiều hay ít mà dùng các trị số khác nhau như sau:
Khi diện tích khe nứt tỉ lệ 1% thì v=0,9.10-2. Khi diện tích khe nứt tỉ lệ 3% thì v=1,8.10-2. Khi diện tích khe nứt tỉ lệ 5% thì v=1,5.10-2
2. Hệ số dẫn nhiệt của vật liệu cũng như các đặc tính vật lí khác không có trong bảng có thể xác định được trên cơ sở của kết quả thực nghiệm.
Phụ lục 4
(Tham khảo)
HỆ SỐ HẤP THỤ BỨC XẠ MẶT TRỜI CỦA CÁC BỀ MẶT KẾT CẤU VÀ VẬT LIỆU XÂY DỰNG
|
Số TT |
Bề mặt, vật liệu và mầu sắc |
Hệ số M |
|
1 |
2 |
3 |
|
1 2 3 4
5 6 7 8 9 10 11 12 13 14 15 16 17 18 19 20 21 22 23 24 25 26 27 28 29 30 31 |
1. Vật liệu Giấy trắng Than bùn khô Gốm hạt Xỉ 2. Mặt tường Đá vôi mài nhẵn màu sáng Đá vôi mài nhẵn màu thẫm Sa thạch màu vàng Sa thạch màu vàng thẫm Sa thạch màu đỏ Đá cẩm thạch mài nhẵn, màu trắng Đá cẩm thạch mài nhẵn, màu sẫm Đá granit mài nhẵn, màu xám nhạt Đá granit mầu xám, đánh bóng Gạch tráng men, mầu trắng Gạch tráng men, mầu nâu sáng Gạch thông thường, có bụi bẩn Gạch thông thường, mầu đỏ mới Gạch gốm ốp mặt, mầu sáng Mặt bê tông nhẵn phẳng Mặt trát vữa, quét mầu vàng – trắng Mặt trát vữa, quét mầu xẫm Mặt trát vữa, quét mầu trắng Mặt trát vữa, quét mầu lam nhạt Mặt trát vữa, quét mầu xi măng nhạt Mặt trát vữa, quét mầu trắng như tuyết Silicát hơi Gỗ mộc Gỗ sơn mầu xẫm Gỗ sơn mầu vàng nhạt Tre nhẵn bóng Tre thông thường |
0,20 0,64 Từ 0,8 đến 0,85 0,81
0,35 0,50 0,54 0,62 0,73 0,30 0,65 0,55 0,60 0,26 0,55 0,77 Từ 0,70 đến 0,74 0,45 Từ 0,54 đến 0,65 0,48 0,73 0,40 0,59 0,47 0,32 Từ 0,56 đến 0,59 0,59 0,77 0,60 0,43 0,60 |
|
32 33 34 35 36 37 38 39 40 41 42 43 44 45 46 47 48 49 50 51
52 53 54 55 56
57 58 59 60 61 62 63 64 65 66 67 68 |
3. Mặt mái Tấm fibrô xi măng mới, mầu trắng Tấm fibrô xi măng, sau 6 tháng sử dụng Tấm fibrô ximăng, sau 12 tháng sử dụng Tấm fibrô ximăng, sau khi quét lại bằng nước xi măng Tấm fibrô ximăng, sau 6 năm sử dụng Tấm bông khoáng gợn sóng Tấm bông khoáng mầu nâu sáng nhạt Giấy dầu lợp nhà, để thô Giấy dầu lợp nhà, rắc hạt khoáng phủ mặt Giấy dầu lợp nhà, rắc hạt cát mầu xám Giấy dầu lợp nhà, rắc hạt cát mầu xẫm Tôn, mầu sáng Tôn, mầu đen Ngói mầu đỏ hay mầu nâu Ngói xi măng mầu xám Thép đánh bóng hay mạ trắng Thép đánh bóng mầu xanh Thép tráng kẽm, mới Thép tráng kẽm, bị bụi bẩn Nhôm không làm bóng Nhôm đánh bóng 4. Mặt quét sơn Sơn mầu đỏ sáng, (mầu hồng) Sơn mầu xanh da trời Sơn bằng chất cô ban, mầu xanh sáng Sơn bằng chất cô ban, mầu tím Sơn mầu vàng Sơn mầu đỏ 5. Vật liệu xuyên sáng Màng Pôlyclovinin dầy 0,1mm Màng Pôlyamit dầy 0,08 mm Màng Pôlyetylen dày 0,085 mm Kính dày 7mm Kính cửa dày 4,5mm Kính có chất hút nhiệt bề mặt, dày 6mm Kính ảnh, dày 17mm Kính hữu cơ không mầu sắc, dày 1,2mm Kính hữu cơ không mầu sắc, dày 2,7mm Kính hữu cơ không mầu sắc, dày 1,4mm |
0,42 0,61 0,71 0,59 0,83 0,61 0,53 0,91 0,84 0,88 0,90 0,80 0,86 Từ 0,65 đến 0,72 0,65 0,45 0,76 0,64 0,90 0,52 0,26
0,52 0,64 0,58 0,83 0,44 0,63
0,096 0,164 0,109 0,076 0,04 0,306 0,02 0,123 0,46 0,34 |
Phụ lục 5
(Tham khảo)
ẨM TRỞ CỦA VẬT LIỆU LÁ MỎNG
|
Vật liệu lá mỏng |
Chiều dày lớp δ (mm) |
Rat m2.h.mmHg/g |
|
1 |
2 |
3 |
|
1. Bìa cứng bình thường 2. Tấm thạch cao ghép 3. Tấm xẻ gỗ cứng 4. Tấm xẻ gỗ mềm 5. Lớp quét bi tum nóng 1 lần 6. Dầu quét 2 lần với lớp gắn matit hoặc sơn lót 7. Sơn men 8. Lớp phủ men Pôlyvininclorit 2 lần 9. Lớp phủ men clo cao su 2 lần 10. Lớp phủ matit izơn 1 lần 11. Lớp phủ men – bi tum kukerxol 1 lần 12. Lớp phủ men – bi tum kukerxol 2 lần 13. Pecgamin 14. Giấy dầu 15. Thảm giấy dầu 2 lớp (1 lớp giấy dầu và 1 lớp pecgamin với matit bitum) |
1 8 8 10 – – – – – – – 0,4 1,5 10 |
0,12 0,90 0,80 0,40 2,00 4,80 3,60 29,00 26,00 4,50 4,80 8,10 2,50 8,30 18,60 |
Phụ lục 6
(Tham khảo)
TRỞ KHÍ CỦA VẬT LIỆU CÁC LỚP KẾT CẤU NGĂN CHE
|
Vật liệu các lớp kết cấu ngăn che |
Chiều dày lớp δ(mm) |
Rk m2.h.mmHg/kg |
|
1 |
2 |
3 |
|
1. Bê tông (liên tục không có mạch xây) 2. Lớp giấy bồi thường 3. Đá vôi vỏ sò 4. Lớp ốp mặt tường bằng tấm gốm hay khối nhỏ 5. Bìa cứng xây dựng (không nổi) 6. Tường gạch đặc với vữa dày hơn 1 gạch 7. Tường gạch đặc với vữa dày hơn 1 gạch và nhỏ hơn 8. Tường gạch đặc với vữa nhẹ dày hơn 1 gạch 9. Tường gạch đặc với vữa nhẹ dày hơn 1 gạch và nhỏ hơn 10. Tường gạch gốm rỗng dày 1/2 gạch với vữa nặng 11. Tường gạch bê tông xỉ với vữa nặng 12. Tường gạch bê tông xỉ với vữa nhẹ 13. Tấm ghép từ bảng gỗ, ghép tiếp đầu hoặc ghép 1/4 14. Tấm ghép hai lớp từ mảnh gỗ với lớp đệm bằng giấy xây dựng 15. Tấm ghép bằng tấm gỗ ép sơ sợi mềm không có xi măng với tấm than bùn có lèn gạch xây 16. Tấm ghép bằng tấm gỗ ép sơ sợi mềm không có xi măng với tấm than bùn không lèn gạch xây 17. Lớp lót bằng tấm gỗ so ép cứng có lèn mạch xây 18. Tấm ghép bằng lớp ốp mặt thạch cao (lớp trát khô có lèn mạch xây) 19. Silicát hơi đặc (không có mạch xây) 20. Bê tông bột hấp không có mạch xây 21. Bê tông bột không hấp không có mạch xây 22. Thủy tinh bọt đặc (không có mạch xây) 23. Tấm bông khoáng 24. Giấy dầu 25. Stirôfo 26. Bìa hắc ín 27.Gỗ dán (không có mạch xây) 28. Bê tông xỉ đặc không có mạch xây 29. Lớp trát ximăng trên mặt đá hoặc gạch 30. Lớp trát xi măng trên lớp trát vôi 31. Lớp trát vôi thạch cao trên gỗ |
100 – 500 nhỏ hơn 250 1,3 lớn hơn 250 250 và nhỏ hơn lớn hơn 250 250 và nhỏ hơn – 400 400 từ 20 đến 25 50
từ 15 đến 70
từ 15 đến 70 140 10 140 100 100 12
50 1,5 từ 50 đến 100 1,5 từ 3 đến 4 100 15 15 20 |
2000 2 0,6 0,2 6,5 1,8
0,2 0,2 0,1 0,9 1,3 0,1 0,01 10
0,25 0,05 2,10 2 2,1 200 20 không thấm khí
0,2 không thấm khí 8 50 300 1,4 38 14,5 1,7 |
Chú thích:
1. Khi bề dày của các lớp khác độ dày ghi trong bảng , đại lượng Rk cần xác định :a)Nếu dày hơn tỉ
lệ thuận với trị số ghi trong bảng. b)Nếu mỏng hơn – trên cơ sở kết quả thí nghiệm.
|
2. Đối với tường gạch đã có miết mạch ở mặt ngoài trở khí cần tăng 2 (m2.h.mmH O)/kg đối với trị
số ghi trong bảng.
3. Đối với các lớp không khí và các lớp vật liệu xốp (xỉ, keramzit da bọt) tóc, sợi (bông khoáng rơm phoi bào…) trong khi tính toán Rk coi bằng không, không phụ thuộc vào chiều dày của lớp.


