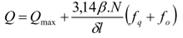
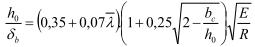
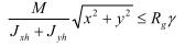
Tiêu chuẩn Việt Nam TCVN 5575:1991 về kết cấu thép – tiêu chuẩn thiết kế đã được thay thế bởi Tiêu chuẩn quốc gia TCVN 5575 : 2012 về Kết cấu thép – Tiêu chuẩn thiết kế .
Nội dung toàn văn Tiêu chuẩn Việt Nam TCVN 5575:1991 về kết cấu thép – tiêu chuẩn thiết kế
TIÊU CHUẨN VIỆT NAM
TCVN 5575 : 1991
KẾT CẤU THÉP – TIÊU CHUẨN THIẾT KẾ
Steel structures – Design standard
1. Quy định chung
1.1. Tiêu chuẩn này dùng để thiết kế các kết cấu thép của nhà và công trình.
Tiêu chuẩn này dùng để thiết kế các kết cấu thép của cầu, đường hầm giao thông, đường ống dưới đất.
Chú thích: khi thiết kế các kết cấu thép ở trong những điều kiện sử dụng đặc biệt (ví dụ: kết cấu lò cao, các đường ống dẫn chính, các đường ống dẫn chính, các đường ống công nghệ, bể chứa có chức năng riêng biệt, kết cấu nhà chịu tác động của động đất, của nhiệt độ lớn hoặc của môi trường xâm thực, các công trình thuỷ công ở biển…) vỏ kết cấu nhà và công trình đặc biệt, và các dạng kết cấu đặc biệt (kết cấu ứng suất trước, kết cấu không gian, kết cấu treo…) cần phải xét thêm những yêu cầu riêng, thể hiện đặc điểm làm việc của kết cấu đó.
1.2. Khi thiết kế các kết cấu thép ngoài những quy định trong tiêu chuẩn này phải tuân theo những quy định của các tiêu chuẩn hiện hành khác có liên quan.
1.3. Phải chú ý bảo vệ các kết cấu thép chống ăn mòn và chống cháy. Không được phép tăng bề dày của thép cán và của thép ống với mục đích đề phòng ăn mòn và nâng cao khả năng chống cháy.
Các cấu tạo cần phải bảo đảm lộ rõ để dễ theo dõi, làm sạch, sơn, không để tụ hơi nước và phải thông thoáng gió.
Những thép định hình rỗng, tiết diện kín phải được bịt kín.
1.4. Khi thiết kế các kết cấu thép cần:
– Tiết kiệm kim loại;
– Lựa chọn sơ đồ tối ưu của công trình và tiết diện của các cấu kiện trên cơ sở kinh tế-kĩ thuật;
– Dùng các thép cán định hình và những mác thép có hiệu quả kinh tế;
– Dùng các kết cấu đã được điển hình hoá và tiêu chuẩn hoá;
– Dùng các kết cấu tiên tiến (hệ không gian từ những cấu kiện tiêu chuẩn hoá, những kết cấu có chức năng chịu lực kết hợp với bao che, kết cấu ứng suất trước, kết cấu hỗn hợp dây mảnh và dầm cứng, kết cấu tấm mỏng và kết cấu liên hợp từ hai mác thép…)
– Phải xét đến yêu cầu công nghiệp hoá việc chế tạo và lắp ghép kết cấu;
– Dùng các kết cấu tốn ít nhất công chế tạo, vận chuyển và lắp ráp;
– Xét đến tính sản xuất hàng loạt dây chuyền và lắp ghép khối lớn của kết cấu;
– ưu tiên sử dụng những dạng liên kết tiên tiến được thực hiện tại nhà máy (hàn tự động, hàn bán tự động, liên kết mặt bích những đầu tì được bào nhẵn, bu lông trong đó có bu lông cường độ cao…).
– Dùng những liên kết lắp ghép bằng bu lông, đặc biệt chú ý tới bu lông cường độ cao; liên kết hàn lắp ghép được dùng trong những điều kiện phù hợp.
1.5. Khi thiết kế các kết cấu thép cho nhà và công trình phải sử dụng những sơ đồ kết cấu bảo đảm tính bền, tính ổn định và tính bất biến hình không gian của chúng trong quá trình vận chuyển, lắp ráp và sử dụng.
1.6. Mác của thép kết cấu và thép làm liên kết cũng như các yêu cầu riêng đối với loại thép đó lấy theo những tiêu chuẩn kĩ thuật nhà nước hoặc của nước ngoài, cần được ghi trong các bản vẽ thiết kế, bản vẽ chế tạo kết cấu thép và trong các văn bản đặt hàng vật liệu.
1.7. Sơ đồ tính toán và những giả thiết tính toán cơ bản phải thể hiện được điều kiện làm việc thực tế của kết cấu thép.
Kết cấu thép cần được khảo sát như một hệ thống không gian hoàn chỉnh.
Khi phân chia những hệ thống không gian hoàn chỉnh thành các kết cấu phẳng riêng biệt phải kể đến tác động tương hỗ giữa các bộ phận với nền móng. Trong điều kiện có thể, cần sử dụng máy tính điện tử để lựa chọn sơ đồ tính và thiết kế tiết diện kết cấu thép.
1.8. Khi tính toán kết cấu thép cho phép kể đến biến dạng không đàn hồi của thép.
Đối với các kết cấu siêu tĩnh không thiết lập, phương pháp tính toán kể đến biến dạng không đàn hồi của thép. Nội lực tính toán (mômen uốn và xoắn, các lực dọc và ngang) được xác định theo giả thiết biến dạng đàn hồi của thép trên sơ đồ không biến dạng.
Khi đảm bảo những cơ sở kinh tế- kĩ thuật phù hợp, việc tính toán cho phép tiến hành theo sơ đồ biến dạng có kể đến ảnh hưởng chuyển vị của kết cấu do tải trọng.
1.9. Các cấu kiện kết cấu thép bằng thép cán hoặc thép cán hoặc thép ống phải có tiết diện nhỏ nhất, thoả mãn các yêu cầu của tiêu chuẩn này. Trong các tiết diện tổ hợp được thiết lập theo tính toán, ứng suất tính toán không nên thấp hơn 95% cường độ tính toán của vật liệu.
2. Vật liệu cho kết cấu và liên kết
2.1. Tất cả các kết cấu được chia làm bốn nhóm, tuỳ theo mức độ quan trọng của nhà và công trình cũng như điều kiện sử dụng của chúng. Các mác thép cho từng nhóm kết cấu nhà và công trình lấy theo bảng 49 (phụ lục 1).
2.2. Khi hàn kết cấu thép dùng:
– Que hàn hồ quang: nếu hàn tay;
– Dây hàn: nếu hàn tự động hoặc bán tự động cháy dưới lớp thuốc hàn;
– Dây hàn cháy trong hơi các bon.
Các vật liệu hàn lấy theo bảng 54 (phụ lục 2).
2.3. Khối đúc (phần gối…) dùng trong kết cấu thép được thiết kế từ thép các bon (xem bảng 52 phụ lục 2) tương ứng các yêu cầu đối với nhóm đúc II và III, hoặc từ gang xám (xem bảng 53 phụ lục 2).
2.4. Đối với liên kết bu lông dùng bu lông và đai ốc (êcu) bằng thép cần tuân theo các quy định của các tiêu chuẩn: “Bu lông và đai ốc – TCVN 1876:1976 đến TCVN 1915:1976”.
Cấp độ bền của vật liệu làm bu lông được xác định theo bảng 57.
Đối với bu lông ở cấp bền 4.6; 4.8; 5.6 và 5.8 dùng đai ốc, cấp độ bền 4 đối với bu lông ở cấp độ bền 6.6 và 6.8 dùng đai ốc cấp độ bền 5 và 6.
2.5. Mác của thép để làm bu lông móng lấy theo bảng 60-a, cấu tạo và kích thước của chúng lấy theo bảng 60-b.
Mác của thép làm bu lông (hình chữ U) để giữ dây neo của các cột thông tin vô tuyến, cột điện và những thiết bị phân phối điện lấy theo bảng 60-a (phụ lục 2).
2.6. Việc sử dụng bulông cường độ cao cho phép tham khảo lựa chọn dựa trên cơ sở của các tiêu chuẩn Liên Xô tương ứng. (Xem bảng 61phụ lục 3). Đai ốc và vòng đệm xem giới thiệu các tiêu chuẩn Liên Xô tương ứng trong phụ lục 9
2.7. Đối với các bộ phận chịu lực của mái tua, dây neo cột điện và cột đỡ các thiết bị của trạm phân phối điện, trụ vỏ thép, cũng như các bộ phận chịu kéo trong kết cấu ứng xuất cho trước cho phép tham khảo các tiêu chuẩn Liên Xô tương ứng (xem giới thiệu trong phụ lục 9).
2.8. Những đặc trưng vật lý của vật liệu dùng trong kết cấu thép được ghi trong phụ lục 3
2.9. Khi chọn vật liệu cho kết cấu và liên kết cần chú ý:
– Nếu dùng vật liệu của Liên Xô có thể hoàn toàn sử dụng các số liệu trong tiêu chuẩn này.
– Nếu dùng vật liệu trong nước hoặc của các nước khách cần có những quy đổi tương ứng về đặc trưng cơ lý và các yêu cầu khác so với thép của Liên Xô.
3. Các đặc trưng tính toán của vật liệu và liên kết
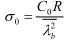
3.1. Cường độ tính toán của thép cán và thép ống đối với những dạng khác nhau của trạng thái ứng suất được xác định theo các công suất của bảng 1
Bảng 1
|
Trạng thái ứng suất |
Kí hiệu |
Cường độ tính toán của thép cán và thép ống |
|
|
1 |
2 |
3 |
|
|
Kéo nén và uốn |
Theo giới hạn chảy |
R |
R=Ơc/yvl |
|
Theo sức bền tức thời |
Rb |
Rb= σb/yvl |
|
|
Trượt |
Rc |
Rc= 0,58σc/yvl |
|
|
ép mặt theo mặt phẳng tì đầu (khi có gia công phẳng) |
Rcm |
Rcm= σb/yvl |
|
|
ép mặt cục bộ trong các khớp trụ (cổ trục) khi tiếp xúc chặt |
|
R’cm= 0,5σb/yvl |
|
|
ép theo đường kính của con lăn(khi tiếp xúc tự do trong các kết cấu có độ di động hạn chế |
Rclăn |
R’clăn=0,025σb/yvl |
|
|
Kéo theo hướng chiều dầy của thép cán |
RG |
R’δ = 0,5σb/yvl |
|
Chú thích: yvl – hệ số độ tin cậy của vật liệu, xác định theo mục 3,2
3.2. Giá trị hệ số độ tin cậy của vật liệu thép cán và thép ống cho phép tham khảo các tiêu chuẩn Liên Xô tương ứng (Xem bảng 48 phụ lục 1). Cường độ tính toán của thép cán và thép ống cho phép tham khảo các tiêu chuẩn Liên Xô tương ứng (xem bảng 50 và 51 phụ lục 1).
3.3. Cường độ tính toán của khối đúc từ thép các bon và Gang xám lấy theo bảng 52 và 52 phụ lục 2
3.4. Cường độ tính toán của liên kết hàn đối với những dạng liên kết và trạng thái ứng xuất khác nhau được xác định theo công thức trong bảng 2.
Bảng 2
|
Dạng liên kết |
Trạng thái ứng xuất |
Kí hiệu |
Cường độ tính toán |
|
|
Đầu nối |
Nén kéo và uốn khi hàn tự động. Nửa tự động hàn tay có kiểm tra chất lượng của đường hàn |
Theo giới hạn chảy |
Rh |
Rh=R |
|
Theo sức bền tức thời |
|
|
||
|
Kéo và uốn khi hàn tự động tự động hàn và hàn tay |
Theo giới hạn chảy |
Rh |
Rh=0,85R |
|
|
Cắt |
Rhc |
Rhc =Rc |
||
|
Góc |
Cắt (quy ước) |
Theo kim loại của đường hàn |
Rg |
Rg =0,55 |
|
Theo kim loại của biên nóng chảy |
Rbg |
Rbg =0,45σb |
||
Chú thích:
1. Đối với những đường hàn bằng tay giá trị cường độ tiêu chuẩn của kim loại đường hàn được chỉ dẫn theo bảng 55-a (phụ lục2)
2. Đối với những đường hàn tự động hoặc nửa tự động giá trị của Rrtcg lấy theo bảng 55 b (phụ lục 2)
3. Giá trị hệ số độ tin cậy theo vật liệu của đưòng hàn yvth lấy bằng: 1,25 khi giá trị của Rtch không lớn hơn 490 MPa (5000kg/cm2 ); 1,35MPa (6000kg/cm2 ) và lớn hơn.
Cường độ tính toán của liên kết đối đầu các cấu kiện bằng thép có cường độ tiêu chuẩn khác nhau được lấy theo trường hợp liên kết đối đầu của thép có cường độ tiêu chuẩn nhỏ hơn.
Cường độ tính toán của thép hàn trong liên kết có dạng đường hàn góc được ghi trong bảng 55 – a (phụ lục 2)
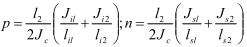
3.5. Cường độ tính toán của liên kết một bulông được xác định theo các công thức ở trong bảng 3.
Bảng 3
|
Trạng thái ứng suất |
Ký hiệu |
Cường độ tính toán của liên kết một Bulông |
|||
|
Cắt và kéo các bulông khớp |
ép mật của các cấu kiện từ thép có giới hạn chảy nhỏ hơn 440 MPa (4500 kg/cm2) |
||||
|
4.6;5.6;6.6 |
4.8;5.8 |
8.8 |
|||
|
Cắt |
Rblc |
Rblc =38σblb c b |
Rblc =0,4 σblb c b |
Rblc =0,4 σblb c b |
– |
|
kéo |
Rblk |
Rblk =0,42 σblb k b |
Rblk =0,4 σblb k b |
Rblk =0,5 σblb k b |
– |
|
ép mặt a) Bulông độ chính xác cao b) Bulông độ chính xác bình thường và bulông thô |
Rblcm |
–
– |
–
– |
–
– |
Rblcm =(0,5+340Vb/E) σb
Rblcm =(0,5+280Vb/E) σb |
Cường độ tính toán chịu cắt và kéo của các bu lông trong liên kết được lấy theo bảng 58, cường độ tính toán chịu ép mặt của các cấu kiện lấy theo bảng 59 (phụ lục 2).
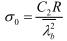
3.6. Cường độ tính toán chịu kéo (Rm.bl) của bu lông móng được xác định theo công thức:
Rmk,bl =0,4σb (1)
Cường độ tính toán chịu kéo (Ruk.bl) của bu lông hình chữ U (trong mục 2.5) được tính theo công thức:
(2)
Cường độ tính toán chịu kéo của bu lông móng và bu lông hình chữ U lấy theo bảng 60-a (phụ lục 2).
3.7. Cường độ tính toán chịu kéo của bu lông cường độ cao Rblek được xác định theo công thức:
(3)
Trong đó: σbl – sức bền tức thời nhỏ nhất của bulong khi đứt lấy theo bảng 61 (phụ lục 3)
3.8. Cường độ tính toán chịu kéo (Rđ) của dây thép cường độ cao có dạng bó (sợi thẳng) hoặc bên được tính theo công thức:
Rd = 0,63 σb (4)
3.9. Giá trị của cường độ tính toán (lực) chịu kéo của dây thép lấy bằng giá trị của lực kéo đứt cáp (xác định theo các tiêu chuẩn Nhà Nước hoặc các điều kiện kĩ thuật) chia cho hệ số độ tin cậy ybl(ybl= 1,6)
4. Điều kiện làm việc và chức năng của kết cấu
4.1. Khi tính toán kết cấu thép cần tính đến:
– Hệ số độ tin cậy theo chức năng của kết cấu (ycn) (lấy theo bảng 4);
– Mức độ quan trọng của nhà và công trình.
Khi thiết kế sẽ chia giá trị giới hạn của khả năng chịu lực, giá trị tính toán của cường độ, giá trị giới hạn của biến dạng cho hệ số độ tin cậy ycn hoặc nhân giá trị của tải trọng tính toán, nội lực hoặc các tác động blốc với ycn
Bảng 4
|
Loại nhà và công trình |
Hệ số độ tin cậy theo chức năng ycn |
|
Loại 1 Nhà và công trình có ý nghĩa kinh tế quốc dân hoặc xã hội đặc biệt quan trọng như: Nhà máy nhiệt điện; những khu trung tâm của lò luyện kim; ống khói cao hơn 200m; tháp vô tuyến bể chứa dầu và các sản phẩm dầu có thể tính lớn hơn 10.000m3; những công trình thể thao có mái che với khán đài; nhà hát hộ sinh; viện bảo tàng; kho lưu trữ Nhà nước Loại 2 Nhà và công trình có ý nghĩa kinh tế quốc dân hoặc xã hội quan trọng như: các cơ sở công nghiệp nông nghiệp, nhà dân dụng và thông tin liên lạc không ghi loại 1 và 3 Loại 3 Nhà và công trình có ý nghĩa xã hội và kinh tế quốc dân hạn chế như: kho không có quá trình phân loại và đóng gói để giữ các sản phẩm nông nghiệp, phân bón, sản phẩm hoá học, than… nhà kính trồng trọt, nhà ở 1 tầng, cột dây thông tin liên lạc, cột đỡ đèn chiếu sáng các khu dân cư hàng rào của nhà và các công trình tạm… |
1
0,95
0,9 |
|
Chú thích: Đối với những nhà và công trình tạm có thời hạn phục vụ nhỏ hơn 5 năm lấy gen bằng 0,8 |
|
– Hệ số độ tin cậy yb= 1,3 đối với các cấu kiện của kết cấu được tính toán độ bền theo sức bền tức thời.
– Hệ số điều kiện làm việc y và hệ số điều kiện làm việc liên kết ylk lấy theo bảng 5, bảng 34 và phụ lục 4.
Bảng 5
|
Các cấu kiện của kết cấu |
Hệ số điều kiện làm việc γ |
|
1. Dầm đặc và các thanh chịu nén trong giàn của sàn dưới các phòng của nhà hát, câu lạc bộ, rạp chiếu bóng, khán đài, cửa hàng, kho giữ sách và kho lưu trữ …khi trọng lượng của sàn bằng hoặc lớn hơn tải trọng tạm thời 2. Cột của các nhà công cộng và gối đỡ của tháp nước 3. Các thanh chịu nén chính (trừ thanh ở gối) của hệ thanh bụng tiết diện chữ T tổ hợp từ các thép góp của giàn hàn ở mái và sàn (thí dụ: vì kèo và những giàn tương tự) khi độ mảnh lớn hơn hoặc bằng 60) 4. Dầm đặc khi tính toán ổn định tổng thể 5. Các thanh căng, thanh kéo, thanh neo, thanh treo, được làm từ thép cán 6. Các cấu kiện của kết cấu thanh ở mái và sàn a) Thanh chịu nén (trừ loại tiết diện ống kín) khi tính toán ổn định; b) Thanh chịu kéo trong kết cấu hàn; c) Các thanh chịu kéo, nén và các bản nối trong kết cấu bu lông (trừ kết cấu dùng bu lông cường độ cao) từ thép có giới hạn chảy nhở hơn 440Mpa (4500kg/cm2), chịu tải trọng lĩnh khi tính toán về độ bền 7. Dầm tổ hợp đặc,cột và các bảng nối bằng thép có giới hạn chảy nhỏ hơn 440Mpa(4500kg/cm2) chịu tải trọng tĩnh, được làm bằng liên kết bu lông cường độ cao, khi tính toán theo độ bền 8. Tiết diện của các cấu kiện cán, hàn và các bản nối bằng thép có giới hạn chảy nhỏ hơn 440Mpa (4500kg/cm2) ở những chỗ nối bằng bu lông (trừ bu lông cường độ cao), chịu tải trọng tĩnh, khi tính toán theo độ bền: a) Dầm đặc và cột; b) kết cấu thanh cửa mái và sàn 9. Các thanh bụng chịu nén của kết cấu không gian rỗng từ các thép góc đơn đều cạnh hoặc không đều cạnh (được liên kết bằng cạnh lớn): a) được liên kết trực tiếp với thanh cạnh trên một cạnh bằng các đường hàn hoặc bằng hai bu lông trở lên, đặc dọc theo thép góc: – thanh xiên theo hình 9,a,b, – thanh chống theo hình 9,c – thanh xiên theo hình 9,c – thanh chống theo hình 9,d,e b) Được liên kết trực tiếp với thanh cánh trên một cạnh bằng một bu lông (trừ các chỉ dẫn trong điều 9,c của bảng), cũng như liên kết qua bản mắt không phụ thuộc dạng liên kết; c) khi hệ thanh bụng hình chữ thập với một bu lông liên kết theo hình 9,h 10. Các thanh chịu nén bằng thép góc đơn, được liên kết theo một cạnh (đối với thép góc không đều cạnh chỉ theo cạnh nhỏ), trừ các cấu kiện của kết cấu đã nêu trong điều 9 của bảng, và dàn phẳng bằng thép góc đơn |
0,9
0,95 0,80
0,95 0,9 0,95 0,95 1,05
1,10
1,10 1,05
0,90 0,90 0,85 0,80
0,75 0,70
0,75 |
|
Chú thích: 1. Các hệ số điều kiện làm việc (γ <1) khi tính toán sẽ không xét cùng lúc 2. Các hệ số điều kiện làm việc trong các mục 1 và 6, c; 1 và 7; 1 và 8;2 và 7; 2 và 8, a; 3 và 6, c; 6, b; khi tính toán sẽ không xét cùng lúc. 3. Các hệ số điều kiện làm việc trong các mục 3; 4; 6, a, c; 7; 8; 9 và 10 cũng như trong các điều 5 và 6,b (trừ các liên kết hàn đối đầu). Sẽ không xét đến khi tính liên kết của các cấu kiện được khảo sát. 4. Các trường hợp không nêu ở trên khi tính toán lấy y bằng1 |
|
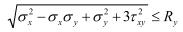
5. Tính toán các cấu kiện kết cấu thép chịu lực dọc trục và uốn
Các cấu kiện chịu kéo đúng tâm và nén đúng tâm
5.1. Tính toán độ bền các cấu kiện chịu kéo hoặc nén đúng tâm do lực dọc trục (N) theo công thức:
(5)
Tính toán bộ bền của tiết diện tại nơi liên kết có các cấu kiện chịu kéo là những thép góc chịu đơn, được liên kết bằng những bulông trên một cạnh theo công thức (5) và (6). Giá trị của hệ số điều kiện làm việc (y) trong công thức (6) lây theo phụ lục 4.
5.2. Đối với những cấu kiện chịu kéo bằng thép có tỉ số giữa cường độ chịu kéo theo sức bền tức thời (Rb) và hệ số tin cậy (yg) lớn hơn cường độ tính toán theo giới hạn chảy (R) (Rb/yg>R), có thể sử dụng khi thép đã đạt giới hạn chảy tính theo công thức
(6)
5.3. Tính toán ổn định các cấu kiện đặc chịu nén đúng tâm theo công thức :
(7)
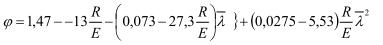
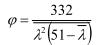
φ- Hệ số tròn dọc được xác định theo công thức sau:
Khi o <λ≤ 2,5:
(8)
Khi 2,5 < λ ≤ 4,5:
(9)
Khi λ > 4,5
(10)
Giá trị của hệ số uốn dọc (φ) lấy theo bảng 72
5.4. Tính toán những thanh từ những thép góc đơn chịu nén đúng tâm theo các chỉ dẫn ở điều 5.3, khi xác định độ mảnh của các thanh đó bán kính (r) của tiết diện thép góc và chiều dài tính toán l0 lấy theo các quy định của điều 6.1 đến 6.7
Tính toán các thanh của kết cấu không gian từ những thép góc đơn được tiến hành theo các chỉ dẫn cảu điều 15.10
5.5. Những cấu kiện chịu nén có bản bụng đặc, tiết diện hở hình chữ ∏ với λx<3λy (λx, λy) – độ mảnh tính toán của cấu kiện với trục x và trục y cần phai tăng cường bằng các bản giằng; và cần tuân theo các chỉ dẫn của điều 5.6 và 5.8(xem hình 1).
Khi không có các bản giằng hoặc thanh giằng thì cấu kiện này ngoài việc kiểm tra theo công thức (7), phải kiểm tra tính ổn định ở trạng thái uốn xoắn theo công thức:
![]()
Trong đó:
φy – Hệ số uốn dọc được tính theo các chỉ dẫn ở điều 5.3;
c – Hệ số, xác định theo công thức :
(12)
α = ax /h – Khoảng cách tương đối giữa trọng tâm chịu kéo và trọng tâm chịu uốn.
ở đây:

jw – Mô men quán tính quạt của tiết diện
bi, δi – Bề rộng và chiều dày của bản trong tiết diện
Đối với tiết diện có dạng như trên hình 1.a, các giá trị JW,JY H2 Và α được xác định theo những công thức:

Trong đó :β =b/h.
5.6. Đối với những thanh tổ hợp chịu nén có các thanh liên kết bằng bản giằng hoặc thanh giằng, hệ số uốn dọc M với trục ảo (trục thẳng góc với mặt phẳng của bản giằng hoặc thanh giằng) cần xác định theo công thức (8) đến (10), trong đó thay
bằng
tgdg ;
tgdg =
tgdg
Giá trị của
tgdg được tính theo bảng 6, phụ thuộc vào
tgdg.


Trong đó thanh tổ hợp có thanh giằng, ngoài việc kiểm tra ổn định của toàn thanh còn phải kiểm tra ổn định của từng nhánh nằm trên đoạn giữa các mắt.
Độ mảnh riêng rẽ của từng nhánh λ1, λ2, λ3 của các đoạn giữa các bản giằng không lớn hơn 40.
Khi có một mặt phẳng, dùng tấm đặc thay cho bản giằng (hình 1, b, c) thì độ mảnh của nhánh được tính theo bán kính quán tính của một nửa tiết diện đối với trục thẳng góc với mặt phẳng của bản giằng.
Trong những tổ hợp có thanh giằng, độ mảnh của các nhánh riênh rẽ giữa các mắt không được lớn hơn 80 và không được vượt quá độ mảnh tương đương (λtgdg), của toàn thanh. Cho phép dùng độ mảnh của nhánh đối với những giá trị lớn hơn (nhưng không quá 120) khi thanh được tính theo sơ đồ biến dạng.
5.7. Các cấu kiện tổ hợp từ các thép góc, góc, thép […, liên kết sát nhau hoặc qua các bản nối được tính toán như các thanh bụng đặc khi thoả mãn điều kiện khoảng cách lớn nhất giữa các bản hàn (khoảng tĩnh không) hay giữa tâm của các bulông ở biên không được vượt quá :
– 40 r đối với cấu kiện chịu nén;
– 80 r đối với cấu kiện chịu nén;
Bán kính quán tính r của thép góc, thép [trong cấc tiết diện dạng chữ T hoặc chữ i lấy đối với trục song song với mặt phẳng của bản nối, trong tiết diện dạng chữ thập lấy bán kính quán tính nhỏ nhất.
Trong phạm vi chiếu dài của cấu kiện chịu nén phải đặt không ít hơn 2 tấm đệm.
5.8. Tính toán các cấu kiện liên kết (bản giằng, thanh giằng) của những thanh tổ hợp chịu được tiến hành theo lực cắt quy ước (Qqu lấy không đổi trên toàn chiều dài thanh và xác định công thức;
![]()
Trong đó :
β – Hệ số lấy bằng giá trị nhỏ hơn trong 2 giá trị Mmin/M hoặc V/(M R)
φ – Hệ số uốn dọc trong mặt phẳng của những cấu kiện liên kết.
φmin – Giá nhỏ hơn trong những hệ số dọc (trong mặt phẳng của các cấu kiện liên kết trong mặt phẳng thẳng góc với chúng.
σ/F – ứng suất nén trong cấu kiện.
Lực cắt quy ước Qqu sẽ được phân chia như sau:
Khi chỉ rõ các bản giằng (thanh giằng) thì Qqu được phân chia đều cho các bản giằng, thì Qqu sẽ chia đôi, một nửa cho tấm đặc còn một nửa cho các bản giằng (thanh giằng);
Khi tính toán các thanh ba mặt đều nhau, lực cắt quy ước tác dụng trên hệ thống các cấu kiện liên kết thuộc một mặt phẳng được lấy bằng 0,8 Qqu.
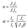
5.9. Bản giằng và liên kết của nó với nhánh cột (hình3) cần được tính như các cấu kiện của giàn không có thanh xiên với:
– Lực cắt bản Tb theo công thức:
Tb=Qb1/b
– Mô men uốn bản trong mặt phẳng (Mb) theo công thức :
Mb =Qb1/2
Trong đó : Qb – lực cắt quy ước tác dụng lên hệ thống bản giằng trong một mặt phẳng.
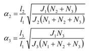
5.10. Các thanh giằng cần được tính như các thanh bụng của đàn.Khi tính các thanh xiên giao nhau của hệ giằng chữ thập có các thanh chống ngang (hình 4) cần kể thêm nội lực phụ (Np) xuất hiện trong thanh xiên do sự ép của các nhánh. Giá trị của Np được xác định theo công thức:
![]()
Trong đó :
Nnh –Nội lực trong một nhánh của thanh
Fnh– Diện tích tiết diện của một nhánh
Fx –Diện tích tiết diện của một thanh xiên;
α – Hệ số, xác định được công thức
α = al2/(a3+2b3) (27)
Với a,l và b – những kích thước lấy theo hình 4
5.11. Các thanh được dùng để làm giảm chiều dài tính toán của những cấu kiện chịu nén phải được tính với nội lực cắt quy ước trong cấu kiện chịu nén cơ bản theo công thức (23).
Các cấu kiện chịu uốn
5.12. Tính toán độ bền các cấu kiện (trừ dầm bụng mỏng,dầm có lỗ và dầm cầu trục) chịu uốn ở một trong những mặt phẳng chính theo công thức:
![]()
Trong đó :Wth.min– Mô men chống uốn nhỏ nhất của tiết diện đối với trục đang xét;
giá trị của ứng xuất tiếp (t) trong tiết diện của cấu kiện chịu uốn cần thoả mãn điều kiện :
(29)
Khi bản bụng bị giảm yếu do những lỗ bu lông, giá trị W trong công thức (29) cần được nhân với hệ số D, trong đó D xác định như sau:
α = a/ (a – d)
a – Bước của lỗ đinh;
d – Đường kính của lỗ.
5.13. Độ bền của bản bụng dầm tại những nơi đặt tải trọng ở cánh trên, cũng như ở các tiết diện gối dầm khi không được tăng cường bằng các sườn cứng, được kiểm tra theo ứng xuất cục bộ bằng công thức :
(31)
Trong đó :
P – Giá trị tính toán của tải trọng (lực)
Z – Chiều dài phân bố quy ước của tải trọng xác định theo điều kiện tựa đối với trường hợp tựa theo hình 5

Trong đó : t- Chiều dày cánh trên của dầm,nếu dầm lưới là dầm hàn (hình 5a) hoặc khoảng cách từ mặt trên của cánh đến điểm bắt đầu uốn cong của bụng dầm nếu dầm dưới dầm cán (hình 5b).
5.14. Khi tính toán dầm theo công thức (28), bản bụng của nó phải thoả mãn điều kiện :
(33)
Trong đó:
– ứng xuất pháp song song với trục của dầm;
σy – ứng xuất pháp vuông góc với trục của dầm trong đó Vch được xác định theo công thức (31);
y- Khoảng cách từ điểm đang khảo sát đến trục chính (x-x) của tiết diện;
– ứng xuất tiếp trung bình khi tính có kể đến công thức (30)
σb,hb – Chiều dày và chiều cao của bản bụng
Chú thích: Khi dùng công thức(33) các ứng xuất Vx và Vy được xác định tại cùng một điểm của dầm và lấy với dấu tương ứng của chúng.
5.15. Kiểm tra ổn định dầm tiết diện I, chịu uốn trong mặt phẳng bản bụng (khi đã thoả mãn các yêu cầu ở điều 5.12 và 5.14) theo công thức:
(34)
Trong đó:
WC – Mô men chống uốn, xác định đối với cánh chịu nén;
φd – Hệ số, xác định theo phụ lục 7
Khi xác định giá trị Md chiều dài tính toán chịu nén được lấy như sau:
a) Trường hợp là dầm đơn giản
– Lấy bằng khoảng cách giữa các điểm cố kết của cánh chịu nén không cho chuyển vị ngang (các mắt của hệ giằng dọc hoặc ngang của các điểm liên kết của phần cứng)
– Lấy bằng chiều dài nhịp dần (1) khi không có hệ giằng.
b) Trường hợp là dầm côn sơn :
– Lấy bằng khoảng cách giữa các điểm cố kết của cánh chịu nén trong mặt phẳng ngang khi có các liên kết với cánh tại đầu mút và dọc theo chiều dài con sơn.
– Lấy bằng chiều dài con sơn, khi đầu mút cánh chịu nén của con sơn không được cố kết trong mặt phẳng ngang.
5.16. Không cần kiểm tra ổn định tổng thể của dầm khi:
a) Tải trọng truyền qua sàn đặc cứng, tựa liên tục lên cánh chịu nén của dầm và được liên kết chặt với dầm (các tấm bê tông cốt thép bằng bê tông nặng nhẹ, xốp, các sàn thép phẳng thép hình, thép sóng..)
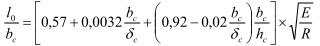
b) Tỉ số giữa chiều dài và tính toán của dầm (l0) và bề rộng của cánh chịu nén bc không vượt quá giá trị xác định theo công thức của bảng 7 đối với những tiết diện chữ i đối xứng và những dầm có cánh chịu nén mở rộng nhưng bề rộng của cánh chịu khéo không nhỏ hơn 0,75 bề rộng cánh chịu nén.
Bảng 7
|
Vị trí đặt trọng tải |
Giá trị lớn nhất l0/bc khi không cần kiểm tra ổn định của dầm các và hàn (khi 1dhc/bc<6 và 15dhc/Vc d35) |
|
1 |
2 |
|
ở cánh trên |
|
|
ở cánh dưới |
|
|
Không phụ thuộc mức đạt tải khi tính đoạn đầu giữa các điểm cố kết hoặc khi uốn thuần tuý |
|
5.17. Kiểm tra đọ bền của các cấu kiện chịu uốn trong hai mặt phẳng chính theo công thức :
![]()
Trong đó : x và y – Các tọa độ của điểm đang xét với các trục chính.
Không yêu cầu cần kiểm tra ổn định của các dầm uốn chính trong 2 mặt phẳng khi thoả mãn các yêu cầu của điều 5.16
5.18. Tính toán độ bền của cá dầm đơn giản tiết diện đặc bằng thép có giới hạn chảy nhỏ hơn 580 Mpa (5900 Kg /cm2) chịu tải trọng tính (sau khi đã thoả mãn các điếu kiện nêu trong các điều 5.19 đến 5.21 và 7.24) theo các công thức (có thể kể đến biến dạng dẻo):
– Khi uốn ở một trong các mặt phẳng chính và khi ứng xuất tiếp W d0,9 Rc (Trừ những tiết diện gối):
(39)
– Khi uốn trong hai mặt phẳng chính và ứng xuất và khi ứng xuất tiếp W d0,5 Rc(trừ những tiết diện gối)
![]()
Trong đó :
M, MX, MY– Các giá trị tuyệt đối của mô men uốn;
C1 – Hệ số, được xác định theo các công thức (42)và (43);
Cx,và CY – Các hệ số, lấy theo bảng 66 (phụ lục 5)
Tiết diện gối của dầm (khi M=0; MX=0; MY=0) được kiểm tra theo công thức:
(41)
Khi chịu uốn thuần túy, trong các công thức (39) và (40) các hệ số C1,,CX,CY được thay tương ứng như sau:
clm = 0,5(1+c); cxm = 0,5(1+cx); cxy = 0,5(1+cy)
Khi tiết diện chịu tác dụng đồng thời cả mômen uốn M và lực cắt Q, thì hệ số c1 được
xác định như sau:
– Nếu t ≤0.5 RC lấy c1=c; (42)
– Nếu 0.5 RC ≤ W ≤ 0.9 Rc lấy c1= 1.05βc (43)
(44)
ở đây :
c – Hệ số lấy theo bảng 66 (phụ thuộc 5)
δb,hb – Chiều dày và chiều cao của bản dụng;
α – Hệ số,m lấy bằng 0,7 đối với tiết diện chữ I, chịu uốn trong mặt phẳng của bản bụng; lấy bằng 0 đối với các loại tiết diện khác;
c1– Hệ số lấy không nhỏ hơn 1 và không lớn hơn hệ số c
Khi tính toán theo các chỉ dẫn của điều 5.20;7.5;7.24 và 13.1, giá trị của các hệ số c,cx,cY trong những công thức (39),(40) cho phép được lấy theo các giá trị nhỏ hơn của bảng 66 (phụ lục 5) nhưng không nhỏ hơn 1,0.
Khi bản bụng bị giảm yếu do các lỗ bu lông giá trị của ứng xuất W cần nhân với hệ số xác định theo công thức (30)
5.19. Chỉ tính toán độ bền kể đến sự phát triển biến dạng dẻo của dầm thay đổi đối với một tiết diện có tổ hợp nội lực M và Q bất lợi nhất. Trong các tiết diện còn lại không cho phép tính toán có kể đến đến sự phát triển của biến dạng dẻo.
5.20. Để đảm bảo ổn định tổng thể của dầm khi tính với sự phát triển của biến dạng dẻo cần phải: hoặc tuân thủ theo những chỉ dẫn của diều 5.16,a; hoặc lấy giá trị lớn nhất của tỉ số giữa chiều dài tính toán của dầm với bề rộng của cánh chịu nén l0/b0 được xác định theo công thức của bản 6, giảm đi bằng cách nhân với hệ số.
δ = [1-0,7 (c1-1)/(c – 1)], với 1 c1 ≤ c.
Những dầm có cánh chịu nén nhỏ hơn cánh chịu kéo được tính toán kể đến sự phát triển dạng dẻo, chỉ khi thoả mãn chỉ dẫn của điều 5.16, a;
5.21. Trong những dầm được tính toán kể đến sự phát triển của biến dạng dẻo, bản bụng cần được tăng cường bằng những sườn cứng ngang theo các chỉ dẫn của điều 7.10 ;7.12 và 7.13 kể cả những chỗ đặt tải trọng tập trung.
5.22. Đối với những dầm liên tục và dầm ngầm có tiết diện chữ I không đổi chịu uốn trong mặt phẳng có độ cứng lớn nhất, chiều dài các nhịp lân cận khác nhau không quá 20%, chịu tải trọng tĩnh, khi đã thoả mãn các chỉ dẫn của điều 5.20;5.21;7.5;và 7.24 thì việc tính toán độ bền cần tiến hành theo công thức (39) có thể kể đến sự phân bố lại mô men gối và nhịp.
Giá trị toán của mô men uốn M được xác định theo công thức:
M=α Mmax (45)
Trong đó :
Mmax – Mô men uốn lớn nhất tại nhịp hoặc gối được xác định dàm liên tục khi giả thiết vật liệu làm việc đàn hồi.
α – Hệ số phân bố mô men, xác định theo công thức:
(46)
ở đây : Mqu_– Mô men uốn quy ước được tính như sau:
a) Trong những dầm liên tục tựa tự do 2 đầu, lấy trị số lớn hơn trong 2 trị số sau :
(47)
Mqu = 0,5M2 (48)
Trong đó:
M1 – Mô men ở nhịp biên, được tính như dầm một nhịp kê tự do (kí hiệu mã là trị số cực đại của biểu thức đứng sau nó);
M2– Mô men uốn lớn nhất trong nhịp trung gian được tính như dầm một nhịp kê tự do;
a – Khoảng cách từ tiết diện có mô men M1 tác dụng đến gối biên;
l – Chiều dài của nhịp biên
b) Trong dầm 1 nhịp và dầm liên tục có 2 đầu ngàm thì Mqư = 0,5 M3. Trong đó M3 – giá trị lớn nhất trong các mô men tính được khi coi dầm kê khớp ở các gối tựa.
c) Trong dầm có một đầu ngàm và đầu kia kê tự do thì giá trị của Mqư được xác định theo công thức (47).
Giá trị tính toán của lực cắt Q trong công thức (44) được lấy ở nơi có mô men lớn nhất (MMax) tác dụng. Nếu MMax là mô men uốn ở nhịp thì cần phải kiểm tra tiết diện ở gối dầm.
5.23. Kiểm tra độ bền của dầm liên tục và dầm ngàm,thoả mãn các chỉ dẫn của điều 5.22, trong trường hợp uốn theo hai mặt phẳng chính, khi t ≤ 0,5 Rc, theo công thức (40) có đến sự phân bố lại các mô mem gối và nhịp trong hai mặt phẳng chính theo các chỉ dẫn của điều 5.22.
Các cấu kiện chịu tác dụng đồng thời của lực dọc trục và uốn
5.24. Khi không cần kiểm tra độ bền của các cấu kiện chịu nén lệch tâm và nén uốn khi giá trị của độ lệch tâm tính đổi (m) nhỏ hơn hoặc bằng 20, tiết diện không bị giảm yếu và giá trị của các mô men uốn dùng để kiểm tra độ bền và ổn định là như nhau.
5.25. Kiểm tra độ bền của các cấu kiện chịu nén lệch tâm nén uốn, kéo lệch tâm và kéo uốn được làm từ các loại thép có giới hạn chảy nhỏ hơn 580 MPa= (5900kG /cm2), không chịu tác dụng trực tiếp của tải trọng động, khi t ≤ 0,5 RC và N/(FTH R) > 0,1 theo công thức:
![]()
Trong đó :
M, MX và MY – Các giá trị tuyệt đối của lực dọc và các mô men uốn, trong tổ hợp nộ lực bất lợi nhất.
N,CX và CY – Các hệ số lấy theo phụ lục 5
Nếu N/(Fth R) ≤ 0,1 thì chỉ được dùng công thức (49) khi thoả mãn các yêu cầu của mục 7.5 và 7.24.Trong các trường hợp khác, kiểm tra độ bền theo công thức :
(50)
Trong đó: x và y – Các tọa độ điểm dạng khảo sát của tiết diện với trục chính của nó.
5.26. Các cấu kiện chịu nén lệch tâm và nén uốn, cần được kiểm tra ổn định trong mặt phẳng tác dụng của mô men (dạng mất ổn định phẳng) và ngoài mặt phẳng tác dụng của mô men (dạng mất ổn định uốn xoắn).
5.27. Kiểm tra ổn định các cấu kiện chịu nén lệch tâm và nén uốn có tiết diện không đổi (kể đến các chỉ dẫn ở mục 5.28 và 5.33) trong mặt phẳng tác dụng của mô men uốn trùng với mặt phẳng đối xứng, được tiến hành theo công thức :
(51)
Trong công thức (51) hệ số φlt được xác định như sau:
a) Đối với các thanh đặc theo bảng 74 phụ thuộc vào độ mảnh quy ước O và độ lệch tâm tính đổi m1:
m1= ηm (52)
Trong đó:
η -Hệ số ảnh hưởng hình dạng của tiết diện
m-Độ lệch tâm tương đối,tính theo công thức sau:
![]()
(e – Độ lệch tâm; W – Mô men kháng của tiết diện, được lấy với thớ chịu nén lớn nhất);
b) Đối với các thanh rỗng có những thanh giằng hoặc bản giằng nằm trong các mặt phẳng song song với mặt phẳng uốn,lấy theo bảng 75 phụ thuộc vào độ mảnh tương đương quy ước
tgdg (
tgdg theo bảng 6) và độ lệch tâm tương đối m:
![]()
Trong đó :
a- Khoảng cách từ trục chính vuông góc với mặt phẳng uốn của tiết diện đến trục của nhánh chịu nén lớn nhất, nhưng không nhỏ hơn khoảng cách đến trục của bản bụng nhánh. Khi tính độ lệch tâm e=M/N, các giá trị M và N được lấy theo những chỉ dẫn Kiểm tra ổn định của các thanh rỗng ba mặt đều nhau, có các thanh giằng hoặc bản giằng, tiết diện không đổi theo chiều dài hoặc nén lệch tâm hoặc nén uốn, theo các chỉ dẫn của phần 15.
Không cần kiểm tra ổn định của các thanh đặc khi m1>20 và các thanh rỗng khi m>20.
5.28. Các cấu kiện chịu nén lệch tâm được làm từ thép có giới hạn chảy cao hơn 580 MPa (5900 kg/cm2), có tiết diện không đối xứng (dạng tiết diện 10 và 11 của bảng 73 (phụ lục 6) ngoài việc tính theo công thức (51) cần được kiểm tra độ bền theo công thức:
(54)
Trong đó :W – Được tính đối với thớ chịu kéo, hệ số xác định theo công thức :
δ=1-Nλ2/(π2 EFng) (55)
5.29. Các giá trị tính toán của lực dọc N và mô men uốn M được lấy trong cùng một tổ hợp tải trọng khi tính toán cấu kiện theo sơ đồ không biến dạng với giả thiết thép biến dạng đàn hồi.
Khi đó các giá trị của M được lấy như sau :
a) Đối với cột tiết diện không đổi của hệ khung – mô men lớn nhất trong phạm vi chiều dài của cột;
b) Đối với cột bậc _ mô men lớn nhất ở đoạn cột có tiết diện không đổi;
c) Đối với một đầu ngàm, một đầu tự do – mô men ở ngàm nhưng không nhỏ hơn mô men tại tiết diện cách chân cột một đoạn một phần 3 chiều dài cột;
d) Đối với cánh trên chịu nén của dàn và của các tấm dạng cấu trúc tinh thể, chịu tải trọng tác dụng không đúng mắt – mô men lớn nhất trong khoảng một phần ba chiều dài khoang mắt của cánh khi tính cánh như một dầm liên tục đàn hồi;
e) Đối với các thanh chịu nén có gối tựa hai đầu là khớp và tiết diện có một trục đối xứng trùng với mặt phẳng uốn – mô men xác định theo công thức của bảng 8:
Bảng 8
|
Độ lệch tâm tương đối với Mmax trong các trường hợp |
Giá trị tính toán của M khi độ mảnh quy ước của thanh |
|
|
|
|
|
|
M ≤ 3 3 < m ≤ 20 |
|
M=M1
|
|
Chú thích : Mmax-mô men uốn lớn nhất trong phạm vi chiều dài của thanh; M1 – Mô men uốn lớn nhất trong phạm vi 1/3 chiều dài của thanh,nhưng không nhỏ hơn 0,5 Mmax; m- Độ lệch tâm tương đối xác định theo công thức: m= Mmax..Fng/(N.W)(trong tất cả mọi trường hợp cần lấy M ≤0,5 Mmax😉 |
||
h) Đối với các thanh chịu nén có gối tựa hai đầu là khớp và tiết diện có hai trục đối xứng, giá trị tính toán của độ lệch tâm tính đổi m1 theo bảng 76(phụ lục 6)
5.30. Kiểm tra ổn định của các cấu kiện chịu nén lệch tâm có tiết diện không đổi ngoài mặt phẳng tác dụng của mô men khi uốn chúng trong mặt phẳng có độ cứng lớn nhất (JX>JY), trùng với mặt phẳng đối xứng theo công thức:
(56)
Trong đó :
C – Hệ số lấy theo chỉ dẫn ở mục 5.31;
φy – Hệ số lấy theo chỉ dẫn ở mục 5.3;
5.31. Hệ số C trong công thức (56)xác định như sau:
– Khi giá trị của độ lệch tâm tương đối mx ≤ 5 thì:
(57)
Trong đó :αvà β-Các hệ số,lấy theo bảng 9

– Khi giá trị của đọ lệch tâm tương đối t 10 thì:
(58)
Trong đó : φd – Hệ số lấy theo các chỉ dẫn của mục 5.15 và phụ lục 7 như đối với dầm với cánh chịu nén có từ hai điểm có kết trở lên; đối với tiết diện kín φd =10
– Khi giá trị của độ lệch tâm tương đối 5<mx<10 thì:
C = C5(2-0,2mx)+ C10(0,2mx-1) (59)
Trong đó : C5 -Được xác định theo công thức (57) khi mx =5,còn C10 – theo công thức (58) khi mx=10
Khi xác định độ lệch tâm tương đối mx, mô men tính toán Mx được lấy như sau:
a) Đối với những thanh 2 đầu liên kết khớp,giữ không cho chuyển vị thẳng góc với mặt phẳng tác dụng của mô men – mô men lớn nhất trên khoảng một phần ba chiều dài của thanh (nhưng không nhỏ hơn 1 nửa mô men lớn nhất trên chiều dài của thanh)
b) Đối với những thanh có một ngàm và một đầu tự do – mô men ở ngàm (nhưng không nhỏ hơn mô men tại tiết diện cách ngàm đoạn một phần ba chiều dài của thanh)
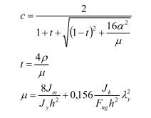
Khi độ mảnh
thì hệ số C không được vượt quá tải:
– Đối với những thanh tiết diện kín :C=1
– Đối với các thanh tiết diện chữ I có hai trục đối xứng – giá trị C xác định theo công thức:
(60)
Trong đó:
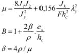
δ=4ρ/μ ; ρ= (Jx+Jy)/(Fng.h2c)
μ = 2 +0,156
; ![]()
ở đây : bi và δi– bề rộng và bề dày các tấm của tiết diện;
hc – khoảng cách giữa trục các tấm cánh;
– Đối với các tiết diện chữ I và chữ T có một trục đối xứng hệ số C không được lớn hơn giá trị xác định theo công thức (137) ở phụ lục 6.
5.32. Các cấu kiện chịu nén lệch tâm, bị uốn trong mặt phẳng có độ cứng nhỏ nhất (JY<Jx và ey ¹ 0), nếu λx>λy được tính theo công thức (51), đồng thời kiểm tra ổn định ngoài mặt phẳng tác dụng của mô men uốn như thanh chịu nén trung tâm theo công thức:
(61)
Trong đó :φx – Hệ số, lấy theo các chỉ dẫn của mục 5.2
Nếu λx ≤ λy không cần kiểm tra ổn định ngoài mặt phẳng tác dụng của mô men
5.33. Đối với các thanh rỗng chịu nén lệch tâm có các thanh giằng đặt trong các mặt phẳng song song với mặt phẳng uốn, ngoài việc kiểm tra ổn định tổng thể của thanh theo công thức (51) cần phải kiểm tra từng nhánh riêng như thanh chịu nén trung tâm theo công thức (7)
Khi xác định lực dọc trong mỗi nhánh cần kể đến nội lực phụ NM do mô men. Giá trị của NM khi uốn trong mặt phẳng vuông góc với trục y-y (bảng 6) được tính theo công thức : NM=M/b đối với các tiết diện dạng 1 và 3; NM=M/2b đối với tiết diện dạng 2; Đối với tiết diện dạng 3 khi uốn trong mặt phẳng vuông góc với trục x-x nội lực mô men NM=1,16M/b (b – khoảng cách giữa trục của các nhánh)
Các nhánh riêng rẽ của thanh rỗng chịu nén lệch tâm có những bản giằng cần phải kiểm tra ổn định như các cấu kiện chịu nén lệch tâm, có kể đến những nội lực do mô men và sự uốn cục bộ của nhánh do lực cắt thực tế hoặc quy ước (như đối với các thanh cánh của giàn không có thanh xiên), cũng như theo các chỉ dẫn của mục 5.36
5.34. Kiểm tra ổn định của các thanh bụng đặc, chịu nén và uốn trong 2 mặt phẳng chính, khi mặt phẳng có độ cứng lớn nhất (JX>Jy) trùng với mặt phẳng đối xứng, theo công thức:
(62)
Trong đó: ![]()
ở đây φlt.Y xác định theo các chỉ dẫn của mục 5.27 khi thay các đại lượng m và λ trong công thức bằng các đại lượng my và Oy tương ứng; C lấy theo các chỉ dẫn của mục 5.31
Khi tính độ lệch tâm tính đổi ml.y= ηmy, đối với tiết diện chữ I có cánh không như nhau, hệ số K được lấy như đối với tiết diện dạng 8 của bảng 73 (phụ lục 6)
Nếu ml.y<mx, thì ngoài việc kiểm tra theo công thức (62) cần kiểm tra theo công thức (51) và (56) khi lấy ey =C
Giá trị của các độ lệch tâm tương đối được xác định theo công thức sau:
(63)
Trong đó: Wx và Wy – Các mô men kháng của tiết diện lấy với thớ chịu nén lớn nhất đối với các trục tương ứng x – x, y – y
Nếu λx > λy thì ngoài việc tính toán theo công thức (62) cần tiến hành kiểm tra thêm theo công thức (51) với ey =0
Trong trường hợp mặt phẳng có độ cứng lớn nhất (Jx>Jy) không trùng với mặt phẳng đối xứng, giá trị tính toán của mx sẽ tăng lên 25%
5.35. Kiểm tra ổn định của thanh rỗng gồm hai nhánh bụng đặc, trục đối xứng y-y (hình 6) có những thanh giằng nằm trong hai mặt song song, chịu nén và uốn trong hai mặt phẳng chính theo cách sau đây:
a) Về độ ổn định tổng thể trong mặt phẳng song song với mặt phẳng của những thanh giằng theo chỉ dẫn của mục 5.27, lấy ey =0
b) Về độ ổn định của các nhánh riêng biệt như cấu kiện lệch tâm theo các công thức (51) và (56); khi đó lực dọc trong mỗi nhánh được xác định có thể kể đến nội lực do mô men Mx (xem mục 5.33), còn mô men My phân phối cho các nhánh theo tỉ lệ độ cứng của chúng (nếu My tác dụng trong mặt phẳng của một trong các nhánh thì coi như nó truyền hoàn toàn lên nhánh ấy)Khi kiểm tra theo công thức (51), thì độ mảnh lấy theo chỉ dẫn ở mục 6.13, khi kiểm tra công thức (56) thì độ mảnh lấy khoảng cách lớn nhất giữa các mắt các thanh giằng.
5.36. Bản giằng hoặc thanh giằng của cột rỗng chịu nén lệch tâm được tính toán theo các chỉ dẫn của mục 5.9 và 5.10. Lực cắt được lấy theo giá trị lớn nhất trong hai giá trị: lực cắt thực tế Q và lực cắt quy ước Qqu tính theo chỉ dẫn của mục 5.8.
Khi lực cắt thực tế lớn hơn lực cắt quy ước thì không nên dùng liên kết bản giằng trong các cấu kiên rỗng chịu nén lệch tâm.
Bộ phận gối tựa
5.37. Khi cần phân bố thật đều áp lực dưới gối tựa thì phải dùng gối khớp cố định có bản đệm trung tâm, gối tiếp tuyến, còn khi phản lực lớn thì dùng gối cân bằng.
Trong trường hợp khi kết cấu bên dưới cần loại bổ lực ngang do dầm hay giàn tựa cố định gây ra cần dùng gối tựa di dộng phẳng hay có con lăn.
Hệ số ma sát trong gối di động phảng phất lấy bằng 0,3 trong gối tựa con lăn lấy bằng 0,03.
5.38. Trong khớp trụ (trục) của gối cân bằng, việc kiểm tra ép mặt được tiến hành (khi góc trung tâm của mặt tiếp xúc bằng hoặc lớn hơn π/2) theo công thức :
(64)
Trong đó : A – áp lực trên gối;
r và l – Bán kính chiều dài của khớp;
R1cm – Cường độ tính toán ép mặt cục bộ khi tiếp xúc chặt, lấy theo chỉ dẫn của mục 3.1
5.39. Tính toán con lăn chịu nén xuyên tâm được tiến hành theo công thức:
(65)
Trong đó:
n – số lượng con lăn;
d và l – Đường kính và chiều dài con lăn;
Rc.lăn – cường độ tính toán chịu nén xuyên tâm của con lăn khi tiếp xúc tự do, lấy theo các chỉ dẫn của mục 3.1
6. Chiều dài tính toán và độ mảnh giới hạn của các cấu kiện kết cấu thép
Chiều dài tính của các thanh trong giàn phẳng và hệ giằng
6.1. Chiều dài tính toán lo của các thanh trong giàn phẳng và hệ giằng (trừ hệ thanh bụng chữ thập của giàn) được lấy theo bảng 10.
Bảng 10
|
Phương uốn dọc |
Chiều dài tính toán lo |
||
|
Thanh cánh |
Thanh xiên và thanh đứng ở gối |
Các thanh bụng khác |
|
|
1. Trong mặt phẳng giàn a) Đối với các giàn trừ những giàn thuộc điều 1.6 b) Đối với các giàn từ những thép góc đơn và các giàn có liên kết giữa thanh bụng với thanh cánh dạng chữ T 2. Trong phương vuông góc với mặt phẳng giàn (ngoài mặt phẳng giàn): a) Đối với giàn, trừ những giàn thuộc điều 2.b b) Đối với các giàn có những thanh cánh bằng thép hình kín và liên kết giữa thanh bụng với thanh cánh dạng chữ T |
l
l
l1 |
l
l
l1 |
0,8l
0,9l
l1 |
|
Chú thích : l – Chiều cao hình học của thanh (khoảng cách giữa tâm các mắt) trong mặt phẳng giàn; l1 – Khoảng cách giữa các mắt được liên kết không cho di chuyển vị trí ra ngoài mặt phẳng của giàn (bởi các cánh giàn, các hệ giằng, các tấm mái cứng liên kết với thanh cánh bằng đường hàn hoặc bu lông…) |
|||
6.2. Nếu dọc theo chiều dài của thanh tác dụng các lực nén N1 và N2(N1> N2) thì chiều dài tính toán lo ngoài mặt phẳng giàn của nó (hình 7, c, d,và hình 8) được tính theo công thức :
(66)
Trong trường hợp này việc kiểm tra ổn định cần phải tiến hành theo lực N1
6.3. Chiều dài tính toán l0 của thanh bụng chữ thập (hình 7, e) cần lấy như sau:
– Trong mặt phẳng giàn: bằng khoảng cách từ tâm của mắt giàn đến điểm giao nhau của chúng (l0=1);
– Ngoài mặt phẳng giàn: đối với thanh chịu nén – lấy theo bảng 13, đối với thanh kéo – bằng chiều dài hình học của thanh (l0=l1)

Bảng 11
|
đặc điểm mắt giao nhau của các thanh bụng |
Chiều dài tính toán l0 ngoài mặt phẳng giàn nếu thanh đỡ là thanh |
||
|
Chịu kéo |
Không chịu lực |
Chịu nén |
|
|
Cả hai thanh không gián đoạn Thanh đỡ gián đoạn và có phủ bản mắt; – Thanh khảo sát không gián đoạn – Thanh khảo sát gián đoạn và có phủ bản mắt |
l
0,7l1 0,7l1 |
0,7l1
l1 – |
l1
0,7l1 – |
|
Chú thích : l – Khoảng cách từ tâm của mắt dàn đến điểm giao nhau của thanh l1– Chiều dài hình học của thanh |
|||
6.4. Bán kính quán tính r của tiết diện các thanh làm bằng các thép góc đơn lấy như sau:
– Khi chiều dài tính toán của thanh bằng l hoặc 0,9l (l – khoảng cách giữa các mắt gần nhất) lấy giá trị nhỏ nhất (r=rmin);
– Trong trườn hợp còn lại: lấy đối với trục của thép góc hoặc song song với mặt phẳng giàn (r = rx hoặc r = ry phụ thuộc vào phương uốn dọc).
Chiều dài tính toán của các thanh trong kết cấu không gian rỗng
Từ các thép góc đơn
6.5. Chiều dài tính toán l0 và bán kính tiết diện r của các thanh chịu nén khi xác định độ mảnh được lấy theo bảng 12.
|
Thanh |
l0 |
r |
|
Cánh: – Theo hình 9.a,b,c – Theo hình 9.d,e,h Xiên: – Theo hình 9.b,c,d – Theo hình 9.a,e – Theo hình 9.h Chống: – Theo hình 9.b – Theo hình 9.c |
lm 1,14 lm
μd.ld μd.ldc .ld
0,8lc 0,65 lc |
rmin rx hoặc ry
rmin rmin rmin
rmin rmin |
|
Chú thích : ldc – chiều dài quy ước của thanh xiên lấy theo bảng 13 μd – hệ số quy đổi chiều dài tính toán của thanh xiên lấy theo bảng 14 |
||
Bảng 13
|
đặc điểm mắt giao nhau của các thanh bụng |
Chiều dài quy ước ldc của thanh xiên nếu thanh đỡ là thanh |
||
|
Chịu kéo |
Không chịu lực |
Chịu nén |
|
|
Cả hai thanh không gián đoạn Thanh đỡ gián đoạn và có phủ bản mắt: – kết cấu theo hình 9.a – Kết cấu theo hình 9.e Khi 1 < n ≤3 Khi n > 3 Mắt giao nhau của các thanh được giữ không cho chuyển vị ra ngoài mặt phẳng giàn (bằng các tấm cứng..) |
ld
1,3ld
(1,75-0,75n)ld 1,3ld
ld |
1,3ld
1,6ld
(1,9 – 0,1n)ld 1,6ld
ld |
0,8ld
ld
ld ld
ld |
|
Chú thích : Ld – Chiều dài của thanh xiên theo hình 9.a,e
Trong đó : Jm.min và Jd.min – Các mô men quán tính nhỏ nhất của thanh cánh và thanh xiên tương ứng |
|||
Bảng 14
|
Liên kết của thanh với cánh |
n |
Giá trị của Pd khi l/rmin bằng |
||
|
d 60 |
60 < và d 60 |
> 60 |
||
|
Bằng đường hàn, bu lông (nhỏ không nhỏ hơn 2) Không có bản mắt |
≤ 2
≥ 6 |
1,14
1,04 |
0,54 + 0,36 3,56+28,8 |
0,765
0,74 |
|
Bằng một bulông |
Không phụ thuộc n |
1,12 |
0,64 + 28,8 |
0,82 |
|
Chú thích: n – xem bảng 13 l – chiều dài,lấy bằng :ld – theo hình 9.b,c,d,h ldc – theo bảng 13(đối với các thanh theo hình 9.a,c) 1. Giá trị của μd khi n trong khoảng từ 2 đến 6 được xác định theo nội suy tuyến tính. 2. Khi liên trực tiếp của thanh xiên với thanh cánh bằng đường hàn hoặc bu lông (không dùng bản mắt), và đầu kia qua bản mắt thì hệ số chiều dài tính toán cần lấy bằng 0,5(1+μd ); khi liên kết ở cả 2 đầu của thanh xiên đều có bản mắt thì μd =1,0 |
||||

6.6. Chiều dài tính toán l0 và bán kính của tiết diện r dùng để xác định độ mảnh của các thanh trong xà phẳng (thí dụ trên hình 21) được lấy theo bảng 15
Bảng 15
|
Kết cấu xà |
Chiều dài tính toán lo và bán kính quán tính của tiết diện r |
|||
|
Thanh cánh |
Thanh bụng |
|||
|
l0 |
r |
l0 |
r |
|
|
Các thanh cánh và thanh bụng từ các thép góc đơn (hình 21,a) |
lm lm |
rmin rx |
ld, lc – |
rmin – |
|
Các thanh cánh từ thép chữ U và thanh bụng từ thép góc đơn(hình 21,b) |
lm 1,12lm1 |
rx ry |
ld, lc – |
rmin – |
|
Chú thích : rx – bán kính của tiết diện với trục song song với mặt phẳng hệ thanh bụng của xà |
||||
Chiều dài tính toán của các thanh trong hệ không gian hai lớp lưới
(kết cấu cấu trúc)
6.7. Chiều dài tính toán của các thanh trong kết cấu cấu trúc được lấy theo bảng 16
Bảng 16
|
Các thanh của kết cấu cấu trúc |
Chiều dài tính toán l0 |
|
1.Ngoài các chỉ dẫn ở điều 2 và 3 2.Cánh liên tục (không gián đoạn ở mắt) và được liên kết với cấu kiện mắt hình cầu hoặc trụ bằng đường hàn đối đầu 3.Từ thép góc đơn được liên kết tại mắt theo một cạnh : a)Bằng đường hàn hoặc bu lông (không ít hơn 2) bố trí dọc theo thanh khi l/rmin≤ 90 90<l/rmin≤120 120<l/rmin≤150(chỉ đối với các thanh bụng) 150<l/rmin≤200 (chỉ đối với các thanh bụng) c)Bằng một bu lông khi l/rmin≤ 90 90<l/rmin≤120 120<l/rmin≤150(chỉ đối với các thanh bụng) 150<l/rmin≤200 (chỉ đối với các thanh bụng) |
l
0,85l
l 0,9l 0,75l 0,7l
l 0,95l 0,85l 0,8l |
|
Chú thích: l – chiều dài hình học của thanh (khoảng cách giữa các mắt của kết cấu trúc) |
|
Bán kính quán tính tiết diện r của các thanh trong kết cấu trúc dùng để xác định độ mảnh cần lấy như sau:
– Đối với các thanh chịu nén uốn lấy theo trục vuông góc hoặc song song với mặt phẳng uốn (r = rx hoặc r = ry)
– Trong các trường hợp còn lại lấy giá trị nhỏ nhất (r = rmax)
Chiều dài tính toán của cột (thanh đứng)
6.8. Chiều dài tính toán của cột (thanh đứng) có tiết diện không đổi hoặc các đoạn của cột bậc được xác định công thức :
l0 = μl (67)
Trong đó : l – chiều dài của cột, đoạn riêng của nó hoặc chiều cao của tầng và μ- hệ số chiều dài tính toán.
6.9. Hệ số chiều dài tính toán μ của cột và thanh đứng có tiết diện không đổi phụ thuộc vào điều liên kết của các đầu mút của chúng và tải trọng.
6.10. Hệ số chiều dài tính toán à của cột có tiết diện không đổi của khung một tầng trong mặt phẳng khung khi liên kết cứng và ngang với cột và tải trọng tác dụng ở các mắt trên được xác định theo các công thức:
– Khi liên kết khớp cột với móng
(68)
– Khi liên kết cứng cột với móng :
(69)
Trong công thức (86) và (69) ký hiệu:
![]()
ở đây :
Jc Và lc – Mô men quán tính tiết diện và chiều dài của cột được kiểm tra;
Jr1, Jr2, lc – Mô mem quán tính tiết diện và chiều dài của các xà ngang liên kết với cột đó
Khi liên kết khớp xà ngang với cột trong công thức (69) dùng n = 0
Khi tải trọng phân bố giưa các cột không đều nhau và có khối lượng mái cứng hoặc hệ giằng dọc nối đầu trên của tất cả các cột giá trị của hệ số à xác định theo công thức (68) hoặc (69) đối với cột chịu tải nhiều hơn sẽ giảm đi bằng cách nhân với lượng:
, nhưng không được nhỏ hơn khi nhân với 0,7
ở đây :
nc và Jc – Nội lực tính toán và mô men quán tính tiết diện tương ứng của cột khảo sát;
∑N và ∑J – Tổng các nội lự tính toán và mô men quán tính tiết diện tương ứng của tất cả các cột của khung khảo sát và của bốn khung lân cận (2 khung mỗi phía). Tất cả các nội lực phải do cùng một tổ hợp tải gây lên nội lực NC trong cột được khảo sát.
6.11. Hệ số chiều dài tính toán à trong mặt phẳng khung của các đoạn riêng trong các cột bậc được xác định theo mục lục 6.Khi xác định các hệ số chiều dài tính toán à của cột bậc trong khung nhà công nghiệp một tâng cho phép:
– Không kể đến ảnh hưởng của mức chịu tải và độ cứng của các cột lân cận.
– Chỉ xác định chiều dài tính toán của các cột đối với tổ hợp tải trọng cho giá trị lực dọc lớn nhất trên các đoạn riêng của cột và giá trị nhận được à sẽ dùng cho cả các tổ hợp tải trọng khác.
– Đối với khung nhiều nhịp (từ hai nhịp trở lên) khi có khối mái cứng hoặc hệ giằng dọc nối dầu trên tất cả các cột đảm bảo sự làm việc không gian của công trình thì xác định chiều dài tính toán của cột như đối với thanh đứng được liên kết cố định ở mức xà ngang.
– Đối với cột bậc khi thoả mãn điều kiện l2/l1 ≤ 0,6 và N1/N2 ≥ thì giá trị của m lấy theo bảng 17.
Bảng 17
|
Điều kiện liên kết đầu trên của cột |
Hệ số P đối với đoạn cột |
||
|
Dưới khi |
Trên |
||
|
0,1 ≤ J1/J2 ≤ 0,3 |
0,05 ≤ J1/J2 ≤ 0,1 |
||
|
Đầu tự do Chỉ liên kết không cho quay Tựa khớp cố định Liên kết ngàm |
2,5 2,0 1,6 1,2 |
3,0 2,0 2,0 1,5 |
3,0 3,0 2,5 2,0 |
|
Chú thích: l1, J1, N1 – Chiều dài, mômen quán tính tiết diện và lực dọc của phần cột dưới l1, J2.N2 – Cũng như vậy của phân cột trên |
|||
6.12. Hệ số chiều dài tính toán P đối với cột của khung độc lập nhiều tầng (từ 3 tầng trở lên) khi n ≥ 0,03 và P ≥ 0,03 được xác định theo công thức:
– Khi n > 0,2:
(70)
– Khi n ≤ 0,2 :
(71)
![]()
Trong đó :
Jc và lc – Mômen quán tính tiết diện và chiều dài của cột được kiểm tra;
J11, J12, li1, li2 – Mô men quán tính tiết diện và chiều dài của các xà ngang liên kết với đầu dưới của cột.
Js1, Js2, ls1, ls2 – Mô men quán tính tiết diện và chiều dài của các xà ngang liên kết với đầu trên của cột.
Khi tỉ số H/B ≥ 6 (H – Chiều cao của cả khung; B – bề rộng của khung) cần phải kiểm tra ổn định tổng thể của khung như một thanh tổ hợp ngàm ở móng và đầu trên tự do.
Đối với các cột của khung hai tầng các giá trị của hệ số P xác định theo công thức (70) hoặc (71) cần nhân với hệ số 0,9.
6.13. Chiều dài tính toán của cột trong phương dọc nhà (ngoài mặt phẳng khung) được lấy bằng khoảng cách giữa các điểm cố kết không chuyển vị ra ngoài mặt phẳng khung các gối của cột, dầm cầu trục và dàn đỡ kèo; các mặt liên kết củ hệ giằng và xà ngang… Chiều dài tính toán được phép xác định trên cơ sở sơ đồ tính kể đến những điều kiện liên kết thực tế của các đầu cột.
6.14. Chiều dài tính toán các nhánh của gối phẳng trong các bằng truyền tải được lấy như sau:
– Trong phương dọc băng tải: lấy chiều cao của cột (từ đấu của chân cột đến trục của cánh dưới dàn hoặc dầm) nhân với hệ số P xác định như đối với cột có tiết diện không đổi, phụ thuộc vào điều kiện liên kết ở các đầu cột;
– Trong phương ngang (trong mặt phẳng của gối) lấy khoảng cách giữa tâm của các mút; đồng thời phải kiểm tra ổn định tổng thể của gối như một thanh tổ hợp ở móng và đầu trên tự do.
Độ mảnh giới hạn của các thanh chịu nén
6.15. Độ mảnh của các thanh chịu nén không được vượt quá các giá trị trong bảng 18
Bảng 18
|
Các thanh của kết cấu |
Độ mảnh giới hạn của các thanh chịu nén |
|
1. Thanh cánh, thanh đứng và thanh xiên ở gối truyền phản lực gối (của giàn phẳng, kết mặt không gian từ các thép góc đơn, kết cấu cấu trúc) 2. Các thanh của giàn phẳng (trừ các thanh ở điều 1) 3. Các thanh của kết cấu không gian và kết cấu cấu trúc hàn từ các thép góc đơn (trừ các thanh ở điều 1): – Khi α = 1 – 0,5 ≤ α ≤ 1 – α < 0,5 4. Các thanh của kết cấu không gian và kết cấu cấu trúc từ các thép góc đơn dùng liên kết bulông (trừ các thanh ở điểm 1) – Khi α = 1 – 0,5 ≤ α ≤ 1 – D > 0,5 5. Cánh trên của giàn không được gia cường trong quá trình lắp ráp (độ mảnh giới hạn sau khi lắp ráp phải lấy theo điều 1) 6. Cột chính 7. Các cột phụ (cột sườn tường, cửa mái…) các thanh giằng của cột, các thanh của hệ giằng đứng giữa các cột (ở dưới dầm cầu chạy) 8. Các thanh giằng (trừ các thanh ở điều 7) cũng như các thanh dùng để làm giảm chiều dài tính toán của thanh nén, và các thanh không chịu lực khác. |
120 150
150 210 đến 60 α 180
180 210 đến 40α 200
220
120 150 200 |
|
Chú thích: hệ số α = N/M EngR |
|
Độ mảnh giới hạn của các thanh chịu kéo
6.16. Độ mảnh của các thanh chịu kéo không được vượt quá các giá trị trong bảng 19
Bảng 19
|
Các thanh của kết cấu |
Độ mảnh giới hạn của các thanh kết cấu chịu kéo khi tác động lên kết cấu các tải trọng |
||
|
Động đặt trực tiếp lên kết cấu |
Tĩnh |
Cấu trục (xem chú thích 4) và các tải trọng đường sắt |
|
|
1. Cánh và các thanh xiên ở gối của giàn phẳng (kể cả giàn hãm) và của các kết cấu cấu trúc. 2. Các thanh của giàn và kết cấu cấu trúc (trừ các thanh ở điều 1). 3. Cánh dưới của dầm và giàn cầu trục. 4. Các thanh của hệ giằng đứng giữa các cột (ở dưới dầm cầu trục). 5. Các thanh giằng khác. 6. Thanh cánh và thanh xiên ở gối của cột đường dây tải điện 7. Các thanh của cột đường dây tải điện từ thép góc đơn (trừ các thanh trong điều 6). 8. Cũng như vậy từ các tiết diện chữ T hoặc chữ thập (và trong các thanh kéo của xà ngang từ các thép góc đơn) khi kiểm tra uốn trong mặt phẳng thẳng đứng. |
250
350 –
300 400 250
350
150 |
400
400 –
300 400 –
–
– |
250
300 150
200 300 –
–
– |
|
Chú thích: 1. Trong các công trình không chịu tải trọng động chỉ cấn kiểm tra độ mảnh của các thanh chịu kéo trong mặt phẳng thẳng đứng. 2. Không hạn chế độ mảnh của các thanh chịu kéo do ứng xuất trước. 3. Đối với các thanh chịu kéo mà nội lực có thể đối dầu khi tải trọng ở vị trí bất lợi nhất, thì độ mảnh giới hạn phải lấy như đối với thanh chịu nén khi đó khoảng cách giữa các bản đệm liên kết trong các thanh tổ hợp không được vượt quá 40r. 4. Các giá trị của độ mảnh giới hạn được xác định với cầu trục có số lượng chu kỳ các tác dụng của tải trọng n ± 2,106. 5. các tải trọng động đặt trực tiếp lên kết cấu là các tải trọng được dùng trong tính toán theo bền mỏi hoặc khio tính kể đến các hệ số động. |
|||
7. Kiểm tra ổn định của bản bụng và bản cánh của các cấu kiện chịu uốn và chịu nén
Kiểm tra ổn định của bản bụng của dầm
7.1. Để bảo đảm ổn định cục bộ của bản bụng dầm, cần gia cường chúng bằng;
– Các sườn ngang chính đặt trên suốt chiều cao của bản bụng;
– Các sườn ngang chính và các sườn dọc
– Các sườn ngang chính các sườn ngắn trung gian và các sườn dọc (khi đó các sườn ngắn trung gian phải đặt giữa cánh) chịu nén và sườn dọc.
Các ô chữ nhật của bản bụng (các tấm) năm giữa các cánh và các sườn cứng ngang chính cạnh nhau phải được kiểm tra theo ổn định. Khi đó các kích thước tính toán của ở bản được kiểm tra là:
a – Khoảng cách giữa trục và sườn ngang chính;
ho – Chiều cao tính toán của bản bụng (hình 10) trong các dầm hàn bằng cả chiều cao của bản bụng; trong dầm liên kết bản cánh dùng bulông cường độ cao bằng khoảng cách giữa các mép gần nhau nhất của các thép góc trên hai cánh; trong các dầm tổ hợp từ các thép hình cán bằng khoảng cách giữa các điểm bắt đầu uốn cong; trong các đinh hình cong (hình 11) bằng khoảng cách giữa mép của các đoạn uốn cong.

7.2. Kiểm tra ổn định của bản bụng dầm phải kể đến tất cả các thành phần của trọng thái ứng suất (σ, t, σch)
Các ứng suất σ, t và σch được tính theo giả thiết vật liệu làm việc đàn hồi trên tiết diện nguyên không kể đến hệ số φd
ứng suất nén σ ở biên tính toán của bản bụng (lấy dấu “+”) và ứng suất tiếp trung bình t được tính theo các công thức:

Trong đó :
Hb – Chiều cao toàn bộ của bản bụng
M và Q – Giá trị trung bình tương ứng của mô men và lực cắt trong phạm vi của ô; nếu chiều dài của ô lớn hơn chiều cao tính toán của nó thì M và Q được tính cho phần chịu lực lơn hơn ứng với chiều dài bằng chiều cao của ô; nếu trong phạm vi của ô momen và lực cắt đổi dấu thì giá trị trung bình của chúng được tính trên phần có dấu không đổi.
ứng suất cục bộ σch trong bản bụng do các tải trọng tập trung phải được xác định theo các chỉ dẫn ở mục 5.13 và 13.34 (khi γj = 1,1).
Nếu trong các ô các tải trọng tập trung đặt trên cánh chịu kéo thì cần kiểm tra đồng thời hai thanh phần của trang thái ứng suất:σ và t hoặc σch và t
Được dùng đường hàn một bên trong các dầm kiểm tra ổn đinh của bản bụng vế trái của các công thức (74). (79), (82) và (87) không vượt quá 0,9.
7.3. Khi thoả mãn điều kiện (33), không cần kiểm tra ổn định của bản bụng nếu độ mảnh quy ước của bản bụng:
không vượt quá các giá trị:
– 3,5 khi không có ứng suất cục bộ trong các dầm dùng đường hàn cánh hai bên;
– 3,2 khi không có ứng suất cục bộ trong các dầm dùng đường hàn cánh một bên;
– 2,5 khi có ứng suất cục bộ trong các dầm dùng đường hàn cánh hai bên.
Khi đó cần đặt các sườn cứng ngang chính theo các chỉ dẫn ở mục 7.10; 7.12 và 7.13.
7.4. Kiểm tra ổn định của bản bụng dầm có tiết diện đối xứng, được gia cường chỉ bằng các sườn cứng ngang chính, khi không có ứng suất cục bộ (σch = 0) và độ mảnh quy ước của bản bụng λb ≤ 6 được tiến hành theo bản công thức:
|
(74)
Trong đó: γ – hệ số lấy theo bảng 7
(75)
(76)
Trong công thức (75) hệ số C0 lấy như sau :
– Đối với dầm hàn : theo bảng 22 phụ thuộc vào giá trị của hệ số t:
Bảng 20
|
t |
≤ 0,8 |
1,0 |
2,0 |
4,0 |
6,0 |
10,0 |
≥ 30 |
|
C0 |
30,0 |
31,5 |
33,3 |
34,6 |
34,8 |
35,1 |
35,5 |
![]()
Với bc, δc – Chiều rộng và chiều dày của cánh dầm chịu nén;
β – Hệ số lấy theo bảng 21
Bảng 21
|
Dầm |
Điều kiện làm việc của cánh chịu nén |
β |
|
Cầu trục |
Ray cầu trục không được hàn Ray cầu trục được hàn |
2 ¥ |
|
Các loại khác |
Khi có tấm tựa liên tục Các trương hợp khác |
¥ 0,8 |
|
Chú thích: đối với các ô của dầm cầu trục nếu tải trọng tập trung đặt trên cánh chịu kéo thì khi tính hệ số t dùng E = 0,8 |
||
– Đối với dầm dùng liên kết bulông cường độ cao C0 = 33,3
Trong công thức (76) công thức
![]()
Với d – Cạnh nhỏ trong các cạnh của bản (ho hoặc a).
μ – Tỉ số giữa cạnh lớn và cạnh nhỏ của bàn.
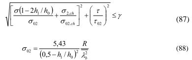
7.5. Kiểm tra ổn định của bản bụng dầm có tiết diện đối xứng kể đến sự phát triển củ biến dạng dẻo khi không có ứng suất cục bộ (Vcb = 0) và khi W d 0,9 Rc, Fc/Fb t 0,25; 2,2 < Ob d 6 được tiến hành theo công thức:
M ≤ R γ h02 δb (Fc/Fb + α) (78)
Trong đó α = 0,24 – 0,15 (t/Rc)2 – 8,5.10-3 (λb– 2,2)2;
ở đây γ lấy theo bảng 5 và t xác định theo công thức (73).
7.6. Kiểm tra ổn định bảng bụng của dầm có tiết diện đối xứng, được gia cường chỉ bằng các sườn cứng ngang chính (hình 12), khi có ứng suất cục bộ (σcb ≠ 0) tiến hành theo công thức:
(79)
ở đây: γ – lấy theo bảng 5
σ, σcb, t – xác định theo chỉ dẫn của mục 7.2;
t0 – xác định theo công thức (76)
Giá trị của σ0, và σcb trong công thức (79) được xác định như sau:
a) Khi a/ h0 ≤ 0,8:
σ0 – theo công thức (75)
(80)
Với:
![]()
C1 – hệ số, đối với dầm hàn lấy theo bảng 22 phụ thuộc vào tỉ số a/ho và giá trị của t theo công thức (77); đối với dầm bulông cường độ cao – theo bảng 22 với giá trị của t =10.
Nếu tải trọng đặt ở cánh chịu kéo thì khi kiểm tra bản bụng kể đến Vcb và W còn khi xác địnhk hệ số t theo công thức (77) các trị số bc và Gc lấy tương ứng với bề rộng và chiều dày của cánh chịu kéo;
b) Khi a/ho > 0,8 và tỉ số σcb/δ lớn hơn các giá trị cho trong bảng 23:
(81)
Trong đó:
C2 – hệ số lấy theo bảng 24
σ0,cb – Theo công thức (80), trong đó nếu a/ho > 2 thí lấy a = 2 h0
c) Khi a/ ho > 0,8 và tỉ số Vcb/V không lớn hơn các giá trị trong bảng 23:
σ0 – Theo công thức (75)
σ0,cb – Theo công thức (80) nhưng thay a trong công thức (80) và trong bảng 22 bằng a/2
Trong mọi trường hợp t0 phải được tính theo kích thước thực của ô bản.

Bảng 22
|
t |
Giá trị của C1 đối với dầm hàn khi a/ h0 bằng |
||||||||
|
≤ 0,5 |
0,6 |
0,8 |
1,0 |
1,2 |
1,4 |
1,6 |
1,8 |
≥ 0,2 |
|
|
≤ 1 2 4 6 10 ≥ 30 |
11,5 12,0 12,3 12,4 12,4 12,5 |
12,4 13,0 13,3 13,5 13,6 13,7 |
14,8 16,1 16,6 16,8 16,9 17,0 |
18,0 20,4 21,6 22,1 22,5 22,9 |
22,1 25,7 28,1 29,1 30,0 31,0 |
27,1 32,1 36,3 38,3 39,7 41,6 |
32,6 39,2 45,2 48,7 51,0 53,8 |
38,9 46,5 54,9 59,4 63,3 68,2 |
45,6 55,7 65,1 70,4 76,5 83,6 |
Bảng 23
|
Dầm |
T |
Giá trị giới hạn của Vch/V khi a/ h0 bằng |
|||||||
|
0,8 |
0,9 |
1,0 |
1,2 |
1,4 |
1,6 |
1,8 |
t 2,0 |
||
|
Hàn |
≤ 1 2 4 6 10 ≥ 30 |
0 0 0 0 0 0 |
0,146 0,109 0,072 0,066 0,059 0,047 |
0,183 0,169 0,129 0,127 0,122 0,112 |
0,267 0,277 0,281 0,288 0,296 0,300 |
0,359 0,406 0,479 0,536 0,574 0,633 |
0,445 0,543 0,711 0,874 1,002 1,283 |
0,540 0,652 0,930 1,192 1,539 2,249 |
0,618 0,799 1,132 1,468 2,154 3,939 |
|
Bulông cường độ cao |
– |
0 |
0,121 |
0,184 |
0,378 |
0,643 |
1,131 |
1,614 |
2,347 |
Bảng 24
|
a/ho |
0,8 |
0,9 |
1,0 |
1,2 |
1,4 |
1,6 |
1,8 |
≥ 2,0 |
|
C2 |
Theo bảng 21 C2 = C0 |
37,0 |
39,2 |
45,2 |
52,8 |
62,0 |
72,6 |
84,7 |
7.7. Theo bản bụng của dầm có tiết diện đối xứng ngoài các sườn cứng ngang chính, còn được gia cường bằng một sườn cứng dọc đặt cách mép tính toán (chịu nén) của ô bàn một đoạn h1 (hình 13), thì phải kiểm tra riêng từng phần của ô bản do sườn đó ngăn đôi ra;
a) Bản 3 nằm giữa cánh chịu nén và sườn dọc được kiểm tra theo công thức:
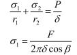
σ/σ0l + σcb/σ0lcb + (t/t0l)2≤ γ (82)
Trong đó : γ – Lấy theo bảng giá 5, còn V và Vcb và W – xác định theo các chỉ dẫn ở mục 7.2
Các giá trị σ0l và δ01cb được xác định theo các công thức:
– Khi σcb =o
(83)
Với :
![]()
– Khi σcb # 0 và μ1 ≤ 2 (μ1 =a/h1) :

Nếu a/h > 2 thì khi tính σ0l và δ01cb dùng a= 2h1
t01 xác định theo công thức (76), (các kích thước của ô bản được kiểm tra khi thay các giá trị vào).
b) Bản 4 nằm giữa sườn dọc và chịu kéo được kiểm tra theo công thức :

Trong đó
σ02,cb– Được xác định theo công thức (80) và bảng 24 với t = 0,8 khi thay thế giá trị của tỷ số a/ho bằng a/(ho-h1):
t0 2-Được xác định theo công thức (76) khi thay nó bằng các kích thước của bản được kiểm tra
σ2,cb = 0,4σcb– Khi đặt tải chịu nén (hình 13a)
σ2,cb =σcb– Khi đặt cách tải ở cánh chịu kéo (hình 13.b)
Hệ số γ lấy theo bảng 5

7.8. Nếu gia cường bản 3 bằng các sườn ngang phụ ngắn thì phải kéo dài chúng đến sát sườn dọc (hình 14).
Trong trường hợp này bản 3 được kiểm tra theo các công thức (82) – (86), trong đó giá trị của a được thay bằng a1 (a1 – khoảng cách giữa trục các sườn ngắn cạnh nhau – hình 14). Bản 4 cần được kiểm tra theo các chỉ dẫn của mục 7.7, b.
7.9. Kiểm tra ổn định của bản bụng dầm có tiết diện không đối xứng (cánh chịu nén mở rộng) theo công thức của mục 7.4; 7,6 đến 7,8 có kể đến các thay đổi sau:
a) khi bản bụng chỉ được gia cường bằng các sườn cứng ngang, trong các công thức (75),(81) và bảng 24 giá trị của h0 được lấy bằng hai lần khoảng cách từ trục trung hoà đến biên tính toán (chịu nén) của ô bản. Nếu a/h0 > 0,8 và σcb ≠ o thì cần kiểm tra cả hai trường hợp theo các chỉ dẫn của mục 7.6 b, và 7.6 c, không phụ thuộc vào giá trị của σcb/σ.
b) Khi bản bụng được gia cường bằng các sườn ngang và một sườn dọc đặt ở vùng chịu nén :
Trong công thức (83), (84) và (87) thay h1/h0 bằng α h1/2ho.
Trong công thức (88) thay (0,5 – h1/ho) bằng (1/α -h1/ho.
ở đây : α = (σ – σ1) / σ. Với σ1 – ứng suất ở biên chịu nén kéo (mang dấu “-”) của ô bản được kiểm tra.
Trong trường hợp cánh chịu kéo được mở rộng (không chất tải) việc kiểm tra ổn định do tác dụng đồng thời của các ứng suất V và W cần tiến hành theo công thức (90).
7.10. Cần phải gia cường bản bụng của dầm bằng các sườn cứng ngang nếu giá trị độ mảnh quy ước của bản bụng λb > 2,2 khi có tải trọng di động trên cánh dầm.
Khoảng cách giữa các sườn cứng ngang không được vượt quá 2h0 khi λb > 3,2 và 22,5h0 khi λb ≤ 3,2.
Cho phép khoảng cách giữa các sườn vượt quá các giá trị trên cho tới trị số 3h0 nếu: bản bụng của dầm thoả mãn việc kiểm tra theo các mục 7.4, 7.6 và ổn định tổng thể của dầm được đảm bảo theo các yêu cầu của mục 5.16a hoặc 5.16b; ngoài ra giá trị l0/bc của cánh chịu nén không được vượt quá các giá trị xác định theo các công thức của bảng 7 đối với trọng tải đặt ở cánh trên.
ở các chỗ đặt tải trọng tập trung cố định lớn và tai gối phải đặt ở các sườn cứng ngang. Trong bản bụng chỉ được gia cường bằng các sườn cứng ngang, bề rộng phần nhô ra của các sườn bs khi bố trí cặp sườn đối xứng không được nhỏ hơn h0/30 + 40 mm, khi các sườn ở một bên – không nhỏ hơn h0/24 + 50 mm; chiều này của sườn ![]()
Cho phép gia cường bản bụng của dầm bằng các sườn cứng bố trí ở một bên từ các thép góc đơn được hàn cói bản bụng theo mép của cánh thép góc. Mô men quán tính của các sườn này được tính đối với các trục trùng với biên của bản bụng giáp với sườn và không nhỏ hơn so với khi bố trí cặp sườn đối xứng.
7.11. Khi gia cường bản bụng bằng một sườn cứng dọc, mô men quán tính cần thiết Js của tiết diện sườn cứng cần lấy như sau:
– Đối với sườn ngang theo công thức:
J = 3h0δb3 (89)
– Đối với sườn dọc theo công thức của bảng 25 có so với các giá trị giới hạn.
Bảng 25
|
H1/h0 |
Mô men quán tính của tiết diện sườn dọc Jsd |
Giá trị giới hạn |
|
|
Nhỏ nhất Jsd.min |
Lớn nhất Jsd.m |
||
|
0,20 0,25 0,30 |
(25 – 0,5 a/h0)a2δb3 /h0 (1,5 – 0,4 a/h0) a2δb3 /h0 1,5h0δb3 |
1,5 h0δb3 1,5h h0δb3 – |
7h0δb3 3,5h0δb3 – |
|
Chú thích : Khi tính Jsd đối với các giá trị trung gian của h1/h0 cho phép nội suy tuyến tính |
|||
Khi bố trí sườn dọc và ngang ở một bên của bản bụng, mô men quán tính tiết diện của mỗi sườn được tính với mỗi trục trùng với biên của bản bụng giáp với sườn.
Kích thước nhỏ nhất phần nhô ra của các bản sườn cứng và dọc cần lấy theo các chỉ dẫn ở mục một 7.10
7.12. Phần bản bụng trên gối của dầm tiết diện tổ hợp được gia cường bằng các sườn cứng phải được kiểm tra theo uốn dọc ra ngoài mặt phẳng như một thanh cứng chịu phản lực gối. Tiết diện tính toán của thanh đứng bao giờ cũng gồm tiết diện của sườn cứng và các – phần bản bụng ở hai bên sườn, mỗi bên rộng 0,65δb
Chiều dài tính toán của thanh đứng lấy bằng chiều cao của bản bụng.
Mút dưới của các sườn gối phải được bào nhẵn tì sát hoặc hàn với cánh dưới của dầm.
Khi chịu phản lực gối ứng suất trong tiết diện đó trong trường hợp thứ nhất (hình 15a)- không vượt quá cường độ tính toán của thép cán về ép mặt Rcm nếu a≤ 1,5δs và về nén R nếu a≥1,5δa; trong trường hợp thứ hai (hình 16 b)- không vượt quá cường độ ép mặt Rcm.
Trong trường hợp hàn sườn gối với cáng dưới của dầm thì đường hàn phải tính với tác động của phản lực gối.
7.13. Sườn cứng một bên ở chỗ cánh trên đặt tải trọng tập trung phải được kiểm tra như một thanh đứng chịu nén lệch tâm với độ lệch tâm bằng mặt giữa của bản bụng đến trọng tâm của của tiết diện tính toán thanh đứng. tiết diện tính toán của thanh đứng bao gồm tiết diện của sườn đứng và các thành phần bản bụng ở hai bên sườn mỗi bên rộng 0,65δb
. Chiều dài tính toán của thanh đứng bằng chiều cao của bản bụng.
Bản bụng của các cấu kiện chịu nén đúng tâm, nén lệch tâm và nén uốn.
7.14. Tỉ số giữa chiều cao tính toán h0 và chiều dầy Gb của bản bụng của cấu kiện chịu nén đúng tâm không được lớn hơn các giá trị trong bảng 26.
Bảng 26
|
Tiết diện của cấu kiện |
Tỉ số lớn nhất h0/δb khi giá trị của độ mảnh quy ước |
|
|
|
|
|
|
Chữ I |
h0/δb = |
h0/δb = (0,36 0,8 |
|
Chữ [, ống hình chữ nhật (h0 – theo cạnh lớn của hình hộp |
h0/δb = |
h0/δb = (0,85 0,19 |
|
ống hình vuông |
h0/δb = 0,9 |
h0/δb = (0,76 0,17 |

Khi tiết diện của cấu kiện được chọn theo độ mảnh giới hạn,cũng như với các cơ sở tính toán phù hợp thì giá trị lớn nhất của h0/δb được nhân với hệ số
φ / σ (ở đây σ = N/Fng) nhưng không được lớn hơn khi nhân với 1,25. Khi đó giá trị của h0/δb đối với tiết diện chữ I không được vượt quá 3,2 ![]()
7.15. Khi tính các cấu kiện chịu nén lệch tâm và nén uốn có tiết diện chữ I và ống chữ nhật (hình 16) theo các công thức (51) và (62), tỷ số giữa chiều cao tính toán ho của bản bụng và chiều dầy δb không được lớn hơn các giá trị trong bảng 27.
Bảng 27
|
Giá trị của độ lệch tâm tương ứng |
Giá trị lớn nhất của h0/Gb khi độ mảnh quy ước của thanh |
|
|
|
|
|
|
m≤ 0,3 |
h0/δb = |
|
|
m≥ 1 |
h0/δb=1,3 |
h0/δb(0,9 0,5 |
|
Chú thích: khi giá trị củ độ lệch tâm tương đối 0,3 < m < 1thì giá trị lớn nhất của h0/δb được xác định bằng nội suy tuyến tính giữa các giá trị của h0/δb được tính với m = 0,3 và m = 1 |
||
Khi tiết diện của cấu kiện được chọn theo độ mảnh giới hạn cũng như khi các cơ sở tính toán phù hợp, giá trị lớn nhất của h0/δb được nhân với hệ số
(ở đây V = N/Fng nhưng không lớn hơn khi nhân với 1,25 (trong đó φm = φh hoặc φm = φh.xy). Khi đó giá trị của h0/δb không được quá 3,2
7.16. Khi tính toán cấu kiện chịu nén lệch tâm và nén uốn có tiết diện chữ I hoặc ống chữ nhật (hình 16) theo công thức (56) tỉ số giữa chiều cao tính toán ho của bản bụng và chiều dày phụ thuộc vào giá trị α = (σ – σ1)/σ (với σ – ứng suất nén lớn nhất tại biên tính toán của bản bụng), lấy dấu “+”, khi tính không kể đến các hệ số φh, φh,xy hoặc Cφ;
σ1 – ứng suất tương ứng tại biên tính toán đối diện bản bụng và không được lớn hơn các giá trị tính toán sau đây:
– Khi α ≤ 0,5 theo điều 7.14;
– Khi α ≤ 1 – theo công thức:
(90)
Trong đó: β = 1,4 (2α – 1)t/σ; (với t = Q/δbho – ứng suất tiếp trung bình trong tiết diện khảo sát);
– Khi 0,5 < α <1 – nội suy tuyến tính giữa các giá trị được tính với α = 0,5 và α = 1.
7.17. Đối với các cấu kiên chịu nén lệch tâm và nén uốn có tiết diện khác với tiết diện chữ I hoặc ống chữ nhật (trừ tiết diện chữ T) như trong điều 7.16, giá trị của tỉ số h0/Gb được nhân với hệ số 0,75.
7.18. Đối với các cấu kiện chịu nén đúng tâm, nén lệch tâm và nén uốn tiết diện chữ T có độ mảnh quy ước O và 0,8 đến 4, tỷ số giữa chiều cao tính toán của bản bụng chữ T và chiều dày khi 1 ≤ b0/h0 ≤ 2 không được vượt quá các giá trị tính theo công thức :
![]()
Trong đó:
bc – bề rộng của cánh chữ T;
ho – Chiều cao tính toán của bản bụng chữ T.
7.19. Trong các cấu kiện chịu nén đúng tâm tiết diện chữ I với bản bụng có chiều cao tính toán h0 và được gia cường bằng cặp sườn dọc đặt ở giữa bản bụng, giá trị của h0/δb được quy định ở điều 7.14 được nhân với hệ số β, hệ số này khi (Jsb/h0δ3b) ≤ 6 được xác định theo công thức:
(92)
ở đây : Jsb – mômen quán tính của tiết diện sườn dọc
Khi gia cường bản bụng của cấu kiện chịu nén lệch tâm hoặc nén uốn bằng sườn cứng dọc đặt ở giữa bản bụng và có Jsd ≥ 6hoδ3b. Phần chịu tải lớn hơn của bản bụng và trục của sườn phải được khảo sát như bản độc lập và kiểm tra theo các chỉ dẫn điều 7.16.
Nếu đặt sườn ở một bên của bản bụng thì mômen quán tính của nó phải được tính đối với trục trùng với biên tiếp giáp bản bụng.
Sườn cứng dọc được kể vào tiết diện tính toán của cấu kiện.
Các kích thước tối thiểu của phần nhô ra của các sườn cứng dọc cần lấy theo các yêu vầu của điều 7.10.
7.20. Trong các cấu kiện chịu nén trung tâm, cho phép thiết kể tiết diện với bản bụng có giá trị ho/δb vượt quá các giá trị lấy theo điều 7.14 nhưng không lớn hơn 1,5 lần. Khi đó trong tính toán chỉ dùng kích dùng thước của phần bản bụng xác định theo điều 7.14. Trong các cấu kiện chịu nén lệch tâm và nén uốn cho phép thiết kế tiết diện với bản bụng có giá trị h0/δb vượt quá các giá trị lấy theo bảng 26 khi đó trong tính toán chỉ lấy 2 phần biên của bản bụng có chiều rộng bằng 0,85 δb
tính từ hai mép của chiều cao tính toán của bản bụng.
Những thay đổi chiều cao tính toán của bản bụng ở trên khi dùng để xác định diện tích tiết diện Fng khi kiểm tra theo các công thức (51), (56) và (62).
7.21. Khi bản bụng của cột đặc có h0/δb ≥ 2,2
thì phải gia cường bằng các sườn cứng ngang đặt cách nhau một khoảng từ 2,5 đến 3ho; trên mỗi cấu kiện vận chuyển không được đặt ít hơn hai sườn. Các kích thước nhỏ nhất của phần nhô ra của sườn cứng ngang phải lấy theo các yêu cầu ở điều 7.10.
Các tấm cánh (bản cánh) của những cấu kiện chịu nén đúng tâm, nén lệch tâm, nén uốn và chịu uốn.
7.22. Chiều rộng tính toán của phần nhô ra của các tấm cánh (bản cánh) bc cần lấy bằng khoảng cách: trong dầm hàn – từ biên của bản bụng đến mép của bản cánh; trong các phép hình cán – từ điểm bắt đầu uốn cong đến biên của bản cánh; trong các thép hình cong – từ biên chỗ lượn cong của bản bụng đến biên của bản cánh.
7.23. Trong các cấu kiện chịu nén đúng tâm, nén lệch tâm và nén cuốn có độ mảnh quy ước λ từ 0,8 đến 4, tỉ số giữa bề rộng tính toán của bản cánh bc với chiều dày δc không được lớn hơn các giá trị quy định trong bảng 28.
Bảng 28
|
Đặc điểm của bản cánh (tấm cánh và của tiết diện cấu kiện) |
Tỉ số lớn nhất bc/δc |
|
Cánh không viền của chữ I và chữ T |
bc/δc = (0,56+0,10 |
|
Cánh được viền của chữ I và chữ T |
bc/δc = (0,54+0,15 |
|
Cánh không viền của thép góc đều cạnh và các thép hình cong (trừ thép chữ [) |
bc/δc = (0,35+0,07 |
|
Cánh được viền bằng sườn của thép góc đều cạnh và thép hình cong |
bc/δc = (0,50+0,18 |
|
Cánh lớn không viền của thép góc không đều cạnh và cánh của thép [ |
bc/δc = (0,38+0,08 |
|
Cánh được viền bằng sườn và cánh được gia cường bằng bản của các thép hình cong |
bc/δc = (0,85+0,19 |
7.24. Trong các cấu kiện chịu uốn, tỉ số bề rộng phần nhô ra của cánh chịu nén bc với chiều dày δc không được lớn hơn các giá trị của bảng 29.
Bảng 29
|
Tính toán các cấu kiện chịu uốn |
Đặc điểm của phần nhô ra |
Tỷ số lớn nhất bc/δc |
|
Trong giới hạn của biến dạng đàn hồi |
Không viền |
bc/δc = 0,5 |
|
Viền bằng sườn |
bc/δc = 0,75 |
|
|
Kể đến sự phát triển của biền dạng dẻo (1) |
Không viền |
bc/δc = 0,11h0 / δb nhưng không lớn hơn 0,5 |
|
Viền bằng sườn |
bc/δc = 0,16h0 / δb nhưng không lớn hơn 0,75 |
|
|
Chú thích: 1. Khi h0 / δb ≤ 2,7 – Đối với cánh không viền : bc/δc =0,3 – Đối với cánh viền bằng sườn : bc/δc =0,45 2. h0– Chiều cao tính toán của dầm; δb – Chiều dày bản bụng của dầm. |
||
7.25. Chiều cao sườn viền cảu cánh hsv (tính từ trục của cánh) không được nhỏ hơn 0,3bc đối với các cấu kiện không được gia cường bằng bản (hình 11); và 0,2bc đối với các cấu kiện được gia cường bằng bản; khi đó chiều dày của sườn không được nhỏ hơn 2hsv![]()
7.26. Trong các cấu kiện chịu nén đúng tâm có tiết diện hình ống hay hình hộp, tỉ số lớn nhất của chiều rộng tính toán của bảng cánh với chiều dày bc/Gc phải lấy theo bảng 26 như đối với bản bụng của tiết diện hình ống và hình hộp.
Trong các cấu kiện chịu nén lệch tâm và nén uốn có tiết diện hình ống và hình hộp tỷ số lớn nhất bc/δc cần lấy như sau:
– Khi m ≤ 0,3 : như đối với cấu kiện chịu nén đúng tâm;
– Khi m ≥ 1,0 và
≤ 2 + 0,04m : bc / δc=![]()
– Khi m ≥ 1,0 và
≤ 2 + 0,04m : bc / δc=(0,4+0,3
)(1-0,01m)![]()
7.27. Khi chọn tiết diện của các cấu kiện chịu nén đúng tâm, nén lệch tâm và nén uốn theo độ mảnh giới hạn, và cấu kiện chịu uốn theo độ võng giới hạn cũng như với các cơ sở tính toán phù hợp, giá trị lớn nhất của bc/δc sẽ được nhân với hệ số lớn hơn khi nhân với hệ số
nhưng không lớn hơn khi nhân với 1,25.
ở đây φm và σ được lấy:
Đối với các cấu kiện chịu nén đúng tâm và nén uốn: φm là giá trị nhỏ hơn trong các giá trị φ, φm, φh.xy, Cφ dùng khi kiểm tra ổn định của các cấu kiện σ = N/Fng;
– Đối với các cấu kiện chịu uốn: φm = 1; σ là giá trị lớn hơn trong hai giá trị.

8. Tính toán kết cấu thép tấm.
Tính toán theo độ bền
8.1. Kiểm tra độ bền của kết cấu tấm (vỏ tròn xoay) theo trạng thái ứng suất phi mômen
theo công thức:
(93)
Trong đó:
σx và σy – Các ứng suất thép theo hai phương vuông góc với nhau
γ – hệ số điều kiện làm việc lấy theo các chỉ dẫn của tiêu chuẩn quốc tế các công trình công nghiệp và theo bảng 5.
Khi có các giá trị tuyệt đối của các ứng suất chính không được lớn hơn giá trị của cường độ tính toán nhân với J.
txy – ứng suất tiếp.
8.2. Các ứng suất trong vỏ mỏng tròn xoay phi mô men (hình 17) chịu áp lực của chất lỏng, chất khí hoặc vật liệu hạt được xác định theo các công thức sau:

Trong đó :
σ1 và σ2 – Các ứng suất tương ứng với phương kính tuyến và phương vòng.
r1 và r2 – Các bán kính cong các phương trong các phương trình chính của mặt trung bình của vỏ;
P – áp lực tính toán trên một đơn vị bề mặt của vỏ;
δ – Chiều dày của vỏ
F – hình chiếu lên trục Z – Z của toàn bộ áp lực tính toán tác dụng lên phần vỏ acb

8.3. Các ứng suất trong vỏ mỏng kín tròn xoay phi mô men chịu áp lực phân bố đều bên trong được xác định theo các công thức sau:
(96)
– Đối với vỏ cầu
(97)
– Đối với vỏ nón:
(98)
Trong đó:
P – áp lực tính toán bên trong lên một đơn vị bề mặt của vỏ;
r – Bán kính mặt trung bình của vỏ (hình 18);
β – Góc giữa đường sinh của mặt nón và trục Z- Z (hình 18).
8.4. ở những chỗ thay đổi hình dạng và chiều dày của cỏ cũng như thay đổi tải trọng và phải tính đến ứng suất cục bộ (hiệu ứng biên).
Tính toán theo ổn định
8.5. Vỏ trụ tròn kín, chịu nén đều song song với đường sinh được kiểm tra ổn định theo công thức sau:
δ1 ≤ γδlth (99)
Trong đó : δ1 – ứng suất tính toán trong vỏ;
δlth – ứng suất tới hạn, bằng giá trị nhỏ hơn trong các giá trị y R hoặc CE δ/r
(với r là bán kính mặt trung bình của vỏ; δ là chiều dày vỏ);
Giá trị của hệ số Y khi 0 <r/δ ≤ 300 được xác định theo công thức:
(100)
Giá trị này của hệ số C lấy theo bảng30
Bảng 30
|
r/δ |
00 |
200 |
300 |
400 |
600 |
800 |
1000 |
1500 |
2500 |
|
C |
0,22 |
0,18 |
0,16 |
0,14 |
0,11 |
0,09 |
0,08 |
0,07 |
0,06 |
8.6. Trong trường hợp nén lệch tâm song song với đường sinh uốn thuần tuý trong mặt phẳng đường kính, khi ứng suất tiếp ở chỗ có mô men lớn nhất không vượt quá giá trị 0,07E (δ/r)3/2 ứng suất σ1th được tăng lên (1- 0,1σ1,/σ1 ) lần, trong đó : σ’1, là ứng suất nhỏ nhất (ứng suất kéo được coi là âm).
Các thép ống được tính như thanh chịu nén hoặc uốn, khi độ mảnh quy ước
=
phải thoả mãn điều kiện:
![]()
Các ống này được kiểm tra ổn định theo các yêu cầu của chương 5, không phụ thuộc vào việc kiểm tra ổn định của thanh ống. Không cần kiểm tra ổn định của thành ống không có khe hoặc thành ống hàn điện nếu giá trị của r/δ không vượt quá một nửa giá trị được xác định theo công thức (101).
8.7. Panen trụ được kê theo hai đường sinh và hai cung định hướng, chịu nén đều dọc theo hai đường sinh khi b2/(rδ) d 20 (với b – bề rộng panen đo theo cung định hướng) cần tính toán theo ổn định như theo các công thức sau:
(102)
– Khi ứng suất tính toán σ =R:
(103)
Khi 0,8 R < σ < R tỉ số lớn nhất b/δ được xác định theo nội suy tuyến tính.
Nếu b2/(rδ) > 20 thì phải kiểm tra ổn định của panen như vỏ theo các chỉ dẫn ở điều 8.5.
8.8. Kiểm tra ổn định của vỏ trụ kín tròn xoay chịu tác dụng của áp lực phân bố đều phía ngoài vuông góc với mặt bên theo công thức sau:
σ2 ≤ γ.σ2th (104)
Trong đó: σ2 = Pr/δ – ứng suất vòng tính toán trong vỏ
σ2th – ứng suất tới hạn, xác định theo công các công thức sau:
– Khi 0,5 ≤ l/r ≤ 10:
σ2th = 0,05 E (r/l) (δ/r)3/2 (105)
– Khi l/r ≥ 20:
σ2th = 0,17 E (δ/r)2 (106)
– Khi 10<l/r < 20 ứng suất σ2th được xác định theo nội suy tuyến tính.
Trong đó: l – chiều dài của vỏ trụ
Kiểm tra ổn định vỏ trụ kín tròn xoay được tăng cường bằng các sườn vòng với bước giữa trục của chúng s ≥ 0,5r theo các công thức (104) đến (106) khi thay giá trị l = s : Trong trường hợp này phải thoả mãn điều kiện ổn định của sườn trong mặt phẳng của nó như một thanh chịu nén theo các yêu cầu kỹ thuật của điều 5.3 với N= Prs và chiều dài tính toán của thanh l0 = 1,8r, khi đó tiết diện tính toán của của sườn được kể thêm phần vỏ rộng 0,65δ 0,65δ
về một phía tính từ trục của sườn, và độ mảnh quy ước thanh công thức không vượt quá 3,5.
Mô men quán tính của sườn cứng đặt ở một phía, được lấy với trục trùng với trục tiếp giáp của vỏ sườn.
8.9. Kiểm tra độ ổn định vỏ trụ tròn kín, chịu tác dụng đồng thời của các tải trọng nêu trên điều 8.5 và 8.8 theo công thức:
(107)
Trong đó:
σ1th – Được tính theo chỉ dẫn của điều 8.5
σ2th – Theo các chỉ dẫn của điều 8.8
8.10. Kiểm tra ổn định vỏ nón tròn xoay có góc nghiêng β ≤ 600, chịu lực nén dọc trục N (hình 19) theo công thức sau:
N ≤ γNth (108)
Trong đó:
Nth – lực tới hạn xác định theo công thức sau:
Nth = 6,28 rmδ.σ1thcos2β (109)
Với δ – chiều dày của vỏ;
σ1th – Giá trị của ứng suất được tính theo các chỉ dẫn của điều 8.5 khi thay bán kính r bằng rm
8.11. Kiểm tra ổn định của vỏ nón tròn xoay chịu tác dụng của áp lực phân bố đều bên ngoài (P) vuông góc với mặt vỏ theo công thức:
σ2 ≤ Jγ.σ2th (111)
Trong đó :
σ2 = P rm/δ – ứng suất vòng tính toán trong vỏ;
σ2th – ứng suất tới hạn xác định theo công thức:
σ2th = 0,55 E(rm/h) (δ/rm)3/2 (112)
Với: h – chiều cao của vỏ nón (giữa hai đáy);
rm – bán kính xác định theo công thức (110)
8.12. Kiểm tra ổn định vỏ nón tròn xoay chịu tác dụng đồng thời của các tải trọng nêu trong điều 8.10 và 8.11 theo công thức:
(113)
Trong đó các giá trị Nth và σ2th được tính theo công thức (109)và (112).
8.13. Kiểm tra ổn định vỏ cầu (hoặc chỏm cầu) khi r/δ ≤ 750, chịu tác dụng của áp lực phân bố đều ở ngoài vông góc với mặt vỏ, theo công thức:
σ ≤ γσth (114)
Trong đó σ = Pr/2δ – ứng suất tính toán
σth = 0,1E δ/r – ứng suất tới hạn, lấy không lớn hơn R
r – bán kính mặt trung bình của vỏ
9. Tính toán các cấu kiện của kết cấu thép theo độ bền mỏi
9.1. Phải sử dụng các giải pháp kết cấu ít chịu ảnh hưởng của tập chung ứng suất và kiểm tra theo độ bền mỏi các kết cấu thép và các cấu kiện như : dầm cầu trục, dầm sàn công tác, các cấu kiện của kết cấu thép và các cầu đỡ tải, các kết cấu ở dưới động cơ… chịu trực tiếp các tải trọng di động tác dụng ngắn hạn: tải trọng rung động hoặc các dạng tải trọng khác có số lượng chu kì tải trọng từ 105 trở lên.
Số lượng chu kì tải trọng được lấy theo các yêu cầu công nghệ sử dụng.
Tính toán kết cấu theo độ bền mỏi được tiến hành đối với các tải trọng được quy định trong tiêu chuẩn “Tải trọng và tác động”. Tiêu chuẩn thiết kế TCVN 2737 : 1978.
9.2. Kiểm tra độ bền mỏi theo công thức:
σmax ≤ α Rmγm (115)
Trong đó Rm – Cường độ mỏi tính toán, lấy theo bảng 31 phụ thuộc vào cường độ tức thời của thép và nhóm cấu kiện ở bảng 83 (phụ lục 8).
α – Hệ số kể đến số lượng chu kỳ tải trọng n và được tính theo công thức:
– Đối với nhóm cấu kiện 1 và 2;
(116)
– Đối với nhóm cấu kiện 3- 8:
(117)
γm – Hệ số xác định theo bảng 32 phụ thuộc vào dạng của trạng thái ứng suất và hệ số không đối xứng của ứng suất ρ =σmin/σmax; ở đây σmax và σmin – tương ứng với các giá trị ứng suất lớn nhất và nhỏ nhất theo giá trị tuyệt đối trong cấu kiện khảo sát, tính theo tiết diện giảm yếu không kể đến các hệ số φ, φh, φd.
Khi dấu các ứng suất khác nhau, hệ số không đối xứng của ứng suất được lấy dấu “-”.
Bảng 31
|
Nhóm |
Giá trị của Rm khi cường độ tức thời kéo dứt của thép σh, Mpa (kg/cm2) |
||||
|
cấu kiện |
< 420 (4300) |
≥ 420 (4300) <440 (4500) |
≥ 440 (4500) < 520 (5300) |
≥ 5200 (5300) < 580 (5900) |
≥ 580 (5900) < 675 (6900) |
|
1 2 |
120 (1220) 100 (1020) |
128 (1300) 106 (1080) |
132 (1350) 108 (1100) |
136 (1390) 110 (1120) |
145 (1480) 116 (1180) |
|
3 4 5 6 7 8 9 |
Đối với mọi mác thép 90 (920) Đối với mọi mác thép 75 (765) Đối với mọi mác thép 60 (610) Đối với mọi mác thép 45 (460) Đối với mọi mác thép 36 (370) Đối với mọi mác thép 27 (275) |
||||
Bảng 31
|
Vmax |
Hệ số đối xứng của ứng suất U |
Công thức để tính hệ số Jm |
|
Kéo |
-1 ≤ ρ ≤ 0
0 ≤ ρ ≤ 0,8
0,8 ≤ ρ < 1 |
|
|
Nén |
-1 ≤ ρ <1 |
|
Khi tính toán độ bền mỏi theo công thức (115) tích Rmγm không được vượt quá Rb/γb.
9.3. Phải sử dụng các giải pháp kết cấu ít chịu ảnh hưởng của ứng suất tập trung và trường hợp cần thiết phải kiểm tra độ bền mỏi theo số liệu chu kỳ bé các kết cấu thép và các cấu kiện chịu trực tiếp các tải trọng có số lượng chu kỳ tác dụng nhỏ hơn 105.
10. Tính toán các cấu kiện của kết cấu thép độ bền kể đến phá hoại dòn.
10.1. Các cấu kiện chịu kéo trung tâm, kéo lệch tâm, cũng như các vùng chịu kéo của các cấu kiện chịu uốn cần kiểm tra độ bền theo cường độ tính toán của phá hoại dòn theo công thức:
σ ≤ β Rb/γb (118)
Trong đó:
σmax – ứng suất kéo lớn nhất trong tiết diện tính toán của cấu kiện, tính theo tiết diện giảm yếu không kể đến các hệ số động và φd
β – hệ số lấy theo bảng (84) (Phụ lục 8)
Chú thích: Các cấu kiện được kiểm tra bền kể đến phá hoại dòn khi thiết kế cần dùng các giải pháp để không phải tăng diện tích tiết diện được xác định theo các chỉ dẫn của chương 5.
11. Tính toán liên kết của kết cấu thép
Liên kết hàn
11.1. Kiểm tra liên kết đối đầu chịu kéo hoặc nén đúng tâm theo công thức:

(119)
Trong đó;
δb – Chiều dày nhỏ nhất của các cấu kiện được liên kết;
lb – Chiều dài tính toán của đường hàn bằng chiều dài toàn bộ của nó trừ đi 2Gb, hoặc bằng chiều dài toàn bộ nếu các đầu của đường hàn kéo dài quá giới hạn nối.
Đối với các cấu kiện của các kết cấu tính toán theo điều 5.2, khi tính toán liên kết hàn đối đầu trong công thức (199) thay
|
Rh bằng Rhb/γb.
Không cần kiểm tra liên kết hàn đối đầu khi dùng vật liệu hàn theo phục lục 2, các cấu kiện liên kết được hàn đầy đủ và có kiểm tra chất lượng đường hàn.
11.2. Liên kết hàn dùng đường hàn góc chịu tác dụng của lực dọc và lực cắt được kiểm tra về cắt (quy ước) theo hai tiết diện (hình 20).
– Theo kim loại của đường hàn (tiết diện 1)
N / (βh hhlh) ≤ Rgγ (120)
– Theo kim loại ở biên nóng chảy (tiết diện 2)
N / (βh hhlh) ≤ Rbgγ (121)
Trong đó:
lb – Chiều dài tính toán của đường hàn lấy bằng chiều dài toàn bộ của nó trừ đi 10 mm;
hb – Chiều cao đường hàn góc;
βh,βb – Các hệ số lấy như nhau: khi hàn các cấu kiện từ thép có giới hạn chảy nhỏ hơn 580 M∏
a(5900kg/cm2)theo bảng 33; với giới hạn chảy cao hơn 580 M∏ a (5900 kg/cm2) không phụ thuộc vào phương pháp hàn, vị trí đường hàn và đường kính que hàn, lấy βh =0,7và βb=1
Đối với đường hàn góc trong các cấu kiện làm từ thép có giới hạn chảy nhỏ hơn295 M∏ a (3000 kg/cm2) dùng que hàn hoặc dây hàn có cường độ tính toán lấy theo điều 3.4 với điều kiện:
1,1Rbg ≤ Rg ≤ Rbg βh /βb; Nếu các cấu kiện từ thép có giới hạn chảy cao hơn 295 M∏ a (3000 kg/cm2) thì cho phép dùng que hàn hoặc dây hàn sao cho thoả mãn điều kiện Rbg < Rg ≤ Rbg βh /βb
Bảng 33
|
Phương pháp hàn đường kính dây hàn d mm |
Vị trí đường hàn |
Hệ số |
Giá trị hệ số βh và βb khi chiều cao đường hàn mm |
|||
|
3- 8 |
9 – 12 |
14 – 16 |
≥ 18 |
|||
|
Hàn tự động D = 3 ÷5 |
nghiêng |
βb |
1,1 |
0,7 |
||
|
βb |
1,15 |
1,0 |
||||
|
Nằm |
βb |
1,1 |
0,9 |
0,7 |
||
|
βb |
1,15 |
1,05 |
1,0 |
|||
|
Hàn tự động và bán tự động khi d = 1,4 ÷2 |
nghiêng |
βb |
0,9 |
0,8 |
0,7 |
|
|
βb |
1,05 |
1,1 |
||||
|
Nằm |
βb |
0,9 |
0,8 |
0,7 |
||
|
βb |
1,05 |
1,0 |
||||
|
Hàn tay bán tự động với dây hàn đặc d < 1,4 hoặc dây hàn có lõi thuốc hàn |
nghiêng nằm ngang thẳng đứng ngược |
βb βb |
0,7 1,0 |
|||
|
Chú thích: Giá trị của các hệ số tương ứng với chế độ hàn tiêu chuẩn |
||||||
Khi chọn que hàn hoặc lấy dây hàn cần kể đến các nhóm kết cấu như chỉ dẫn trong 54, 55 (phục lục 2).
11.3. Tính toán liên kết hàn dùng đường hàn góc chịu tác dụng của mô men trong mặt phẳng bố trí đường hàn được tiến hành theo hai tiết diện bằng các công thức;
(122)
– Theo kim loai đường hàn:
(123)
Trong đó Wh – M ô men kháng của tiết diện tính toán theo kim loại đường hàn
Wb – Mô men kháng của tiết diện tính toán theo kim loại ở đường biên nóng chảy.
Tính toán liên kết hàn dùng đường hàn góc chịu tác dụng của mô men uốn trong mặt phẳng bố trí đường hàn được tiến hành ở hai tiết diện theo các công thức:
– Theo kim loại đường hàn:
(124)
– Theo kim loại ở biên nóng chảy :
(125)
Trong đó:
Jxh và Jyh – Các mô men quán tính của tiết diện tính toán theo kim loại đường hàn đối với các trục chính của nó.
Jxb và Jyb – Các mômen quán tính của tiết diện tính toán theo kim loại ở biên nóng chảy;
x và y – Các tọa độ của những điểm ở xa nhất so với trọng tâm chịu kéo của tiết diện tính toán của đường hàn với trục chính của nó.
11.4. Kiểm tra liên kết hàn đối đầu không được kiển tra vật lý về chất lượng trong cùng một tiết diện có tác dụng đồng thời của ứng suất tiếp theo công thức (33) trong đó các giá trị σx, σy, txy và R được thay tương ứng bằng σx = σxh, σy = σyh là những ứng suất nháp trong liên kết hàn theo hai phương vuông góc với nhau; txy = txyh là ứng suất tiếp trong liên kết hàn R = Rh.
11.5. Kiểm tra liên kết hàn dùng đường hàn góc chịu tác dụng đồng thời lực dọc, lực cắt và mômen theo điều kiện:
tg ≤Rg γ và tbg ≤ Rbg.γ (126)
Trong đó: tg và tbg là các ứng suất trong tiết diện tính toán tương ứng với kim loại đường hàn và kim loại ở biển nóng chảy, bằng tổng hình học các ứng suất gây bởi lực dọc, lực cắt và mômen.
Liên kết bulông
11.6. Khi liên kết bulông chịu tác dụng của lực dọc N đi qua trọng tâm chịu kéo của liên kết thì lực phân phối lên bulông được coi như đều nhau.
11.7. Khả năng chịu lực lớn nhất của một bulông (n)bl được xác định theo công thức:
– Chịu cắt :
– Chịu ép mặt:
– Chịu kéo :
Chú thích: các kí hiệu trong bảng công thức (127) đến (129) : Rcbl.Rcmbl, Rkbl – các cường độ tính toán của liên kết bulông.
d – Đường kính ngoài của thân bulông;
Fbl = πd2/4 – Diện tích tiết diện tính toán của thân bulông;
Fblth, – Diện tích tiết diện thực của bulông đối với các bulông có ren, giá trị của Fblth dung theo bảng 62
∑δ – Tổng chiều dày nhỏ nhất của các bản thép cùng trượt về một phía.
nc – Số lượng mặt cắt tính toán của một bulông
δlk – Hệ số điều kiện làm việc của liên kết, lấy theo bảng 34
Đối với liên kết một bulông phải tính đến hệ số điều kiện làm việc J theo điều 11.8.
11.8. Số lượng bulông n trong liên kết khi chịu lực dọc N được xác định theo công thức:
(130)
Trong đó: [N]min – Giá trị nhỏ nhất trong các khả năng chịu lực của một bulông được tính theo điều 11.7.
Bảng 34
|
Tính chất của liên kết |
Hệ số điều kiện làm việc của liên kết γlk |
|
1. Liên kết nhiều bulông khi tính toán chịu cắt và ép mặt với bulông Tính (độ chính xác nâng cao) – Thô và độ chính xác bình thường 2. Liên kết bulông trong các cấu kiện của kết cấu hàn bằng thép có giới hạn chảy nhỏ hơn 380 M∏ a (3900) kg/cm2 chịu ép mặt khi các khoảng cánh: a – dọc theo lực, từ mép của cấu kiện đến trọng tâm của lỗ gần nhất, a = 1,5d (đối với liên kết một bulông và nhiều bulông), và b – giữa trọng tâm các lỗ = 2d (trong liên kết nhiều bulông). |
1,0 1,9
0,85 |
|
Chú thích: 1. Các hệ số trong các điều 1 và 2 được kể đến cùng một lúc 2. Khi giá trị các khoảng cánh a và b nằm giữa các giá trị điều 2 và bảng 38 hệ số γlk được xác định bằng nội suy tuyến tính. |
|
11.9. Khi liên kết chịu tác dụng của mô men gây trượt các cấu kiện được liên kết, thì lực phân phối cho các bulông được lấy tỷ lệ với khoảng cách từ trọng tâm của liên kết đến bu lông khảo sát.
11.10. Bulông chịu cắt kéo đòng thời được kiểm tra về cắt và kéo riêng biệt.
bulông chịu cắt do tác dụng đồng thời của lực dọc và mô men được kiểm tra theo hợp lực của các thang phần lực
11.11. Khi các kết cấu liên kết với nhau qua bản nối hoặc qua các cấu kiện trung gian,cũng như các liên kết dùng bản nối một phía, số lượng bulông cần được tăng lên so với tính toán 10%
Khi liên kết các cánh nhô ra của thép góc hoặc thép bằng những đoạn nối ngắn, thì số lượng bulông dùng để liên kết một trong các cánh của đoạn nối ngắn cần tăng lên 50% so với tính toán.
Liên kết bulông cường độ cao
11.12. Liên kết bulông cường độ cao được tính toán với giả thiết nội lực tác dụng trong liên kết được truyền bằng ma sát nảy sinh trên các mặt tiếp xúc của các cấu kiện được liên kết do lực xiết của các bulông cường độ cao. Khi do lực dọc được coi như phân bố đều cho các bulông.
11.13. Lực tính toán [N]bl mà mỗi mặt ma sát của mỗi cấu kiện liên kết có thể chịu được do lực xiết của các bulông cường độ được xác định theo công thức:
[N]bl = Rkblc γlk. Fthbl.f/γc (131)
Trong đó:
Rkblc – Cường độ tính toán khi chịu kéo của bulông cường độ cao;
f – Hệ số ma sát lấy theo bảng 35
γc – Hệ số độ tin cậy lấy theo bảng 35
Fthbl – Diện tích tiết diện thực của bulông, lấy theo bảng 62
γlk – Hệ số điều kiện làm việc của liên kết, phụ thuộc số lượng bulông n cần thiết để tiếp nhận nội lực tính toán và lấy bằng:
0,8 khi n < 5
0,9 khi 5 ≤ n < 10
1,0 khi n ≥ 1,0
Số lượng bulông cường độ cao n trong liên kết khi chịu lực dọc được xác định theo công thức:
![]()
Trong đó: nms – Số lượng mặt ma sát của liên kết
Bulông cường độ cao được xiết bằng lực dọc trục bulông.
P = Rkblc.Fthbl
Bảng 35
|
Phương pháp làm sạch các mặt phẳng liên kết |
Phương pháp điều chỉnh lực xiết của bulông |
Hệ số ma sát f |
Hệ số γc khi tải trọng và khi độ dung sai giữa đường kính của lỗ và bulông σmm |
|
|
Động khi σ = 3÷6 Tĩnh khi σ = 5÷6 |
Động khi σ = 1 Tĩnh khi σ = 1÷ 4 |
|||
|
1. Phun cát thạch anh hoặc bột kim loại hai mặt phẳng liên kết không có mặt bảo vệ. |
Theo M Theo α |
0,58 0,58 |
1,35 1,20 |
1,12 1,02 |
|
2. Phun cát thạch anh hoặc bột kim loại hai mặt phẳng liên kết có lớp bảo vệ là mạ kẽm hoặc nhôm. |
Theo M Theo α |
0,5 0,5 |
1,35 1,20 |
1,12 1,02 |
|
3. Làm sạch một mặt phẳng có lớp bảo vệ là keo pôlime và một silic cácbua bằng cát thạch anh hoặc bột kim loại mặt phẳng khác không có lớp bulông bảo vệ bằng bàn trải sắt. |
Theo M Theo α |
0,5 0,5 |
1,35 1,20 |
1,12 1,02 |
|
4. Bằng ngọn lửa hơi đốt hai mặt phẳng không có lớp bảo vệ. |
Theo M Theo α |
0,42 0,42 |
1,35 1,20 |
1,12 1,02 |
|
5. Bằng bàn trải sắt đánh sạch hai mặt phẳng không có lớp bảo vệ. |
Theo M Theo α |
0,35 0,35 |
1,35 1,25 |
1,17 1,06 |
|
6. Không đánh sạch |
Theo M Theo α |
0,25 0,25 |
1,70 1,50 |
1,30 1,20 |
|
Chú thích: phương pháp điều chỉnh lực xiết theo M nghĩa là điều chỉnh theo mômen xoắn, còn theo góc quay của đai ốc. |
||||
11.14. Kiểm tra độ bền các cấu kiện liến kết bị giảm yếu bởi các lỗ bulông cường độ cao được tiến hành khi cho răng một nửa lực đi qua mỗi bulông trong tiết diện khảo sát đã được truyền bằng lực ma sát. Việc kiểm tra tiết diện giảm yếu được tiến hành như sau: Khi tải trọng động – theo diện tích tiết diện thực Fth khi tải trọng tĩnh theo diện tích tiết diện ngang Fng nếu Fth ≥ 0.85 Fng hoặc theo diện tích quy ước Fqư = 1,18 Fth nếu Fth < 0,85 Fng.
Liên kết có đầu mút được phay nhẵn
11.15. Khi liên kết các cấu kiện có đầu mút được phay nhẵn (trong đầu nối với ở thân cột …) thì lực nén được xem như truyền toàn bộ qua đầu mút.
Trong các cấu kiện chịu nén lệch tâm, nén uốn, những mối hàn và bulông (kể cả bulông cường độ cao) của liên kết được kiểm tra theo lực kéo lớn nhất do tác dụng của mômen và lực dọc trong tổ hợp bất lợi nhất, cũng như theo lực trượt do tác dụng của lực cắt.
Liên kết cánh của các dầm tổ hợp
11.16. Đường hàn và bulông cường độ cao liên kết bản bụng và bản cánh của dầm chữ I tổ hợp được tính toán theo bảng 36.
Khi không có các sườn cứng để truyền các tải trọng lớn cố định việc tính toán liên kết cánh trên được tiến hành như đối với tải trọng tập trung di động.
Khi đặt tải trọng tập trung cố định lên cánh dưới của dầm thì đường hàn và bulông cường độ cao dùng liên kết cánh này với bản bụng được tính theo các công thức từ (138) đến (140) của bảng 36 không phụ thuộc vào sự có mặt của sườn cứng ở chỗ đặt tải trọng.
Đường hàn cánh được hàn thấu hết toàn bộ chiều dày của bản bụng coi như có độ bền bằng độ bền của bản bụng
11.17. Trong dầm dùng liên kết bulông cường độ cao có bản cánh ghép nhiều tấm, liên kết của mỗi tấm ở sau điểm cắt lý thuyết của nó được tính với một nửa nội lực mà tiết diện của tấm có thể chịu được. Liên kết của mỗi tấm ở giữa của điểm cắt thực tế của nó và điểm cắt đứt của tấm trước được tính với cả nội lực mà tiết diện của tấm có thể chịu được.
Bảng 36
|
Đặc điểm của tải trọng |
Dạng liên kết |
Công thức tính toán liên kết dầm tổ hợp |
|
1 |
2 |
3 |
|
Cố định |
Đường hàn góc: – Hai phía |
T/2βhhh ≤ Rgγ (133) T/2βbhh ≤ Rgγb (134) |
|
– Một phía |
T/βhhh ≤ Rgγ (135) T/βhhh ≤ Rgγb (136) |
|
|
– Bulông cường độ cao |
aT ≤ nms [N]bl .γ (137) |
|
|
Di động |
Đường hàn Góc hai phía |
|
|
Bulông cường độ cao |
aT ≤ nms [N]bl .γ (140) |
|
|
Chú thích:
S – Mômen lực nguyên của cánh dầm với trục trung hòa
γfb– Hệ số lấy theo tiêu chuẩn tải trọng và tác động; z- Chiều dài phân bố quy ước của tải trọng tập trung lấy theo chỉ dẫn của mục 5.13. và 13.34; a- Bước của bu lông cường độ cao ở cạnh α- Hệ số α = 0,4 khi tải trọng đặt ở cánh trên và bản bụng tì sát cánh trên α = 1 khi bản bụng không tì sát cánh trên cũng như khi tải trọng đặt ở cánh dưới; [N]b – Lực tính toán của bu lông cường độ cao, được tính theo công thức (131) |
||
12. Các yêu cầu chung khi thiết kế kết cấu thép
Các chỉ dẫn chính
12.1. Khi thiết kế kết cấu thép cần:
– Dự kiến hệ thống giằng để đảm bảo sự ổn định và bất biến hình không gian của toàn bộ kết cấu và các cấu kiện của chúng trong quá trình lắp ráp và sử dụng. Việc quyết định hệ giằng phụ thuộc vào các thông số cơ bản của công trình và chế độ sử dụng nó (sơ đồ kết cấu, nhịp, loại cầu trục và chế độ làm việc của chúng, tác dụng của nhiệt độ…);
– Tính đến các khả năng sản xuất, công suất của các thiết bị công nghệ và cầu trục của nhà máy sản xuất kết cấu thép, cũng như thiết bị nâng chuyển và trang thiết bị khác của tổ chức lắp ráp.
– Khi phân chia kết cấu thành những bộ phận vận chuyển phải xét đến hình thức và kích thước của phương tiện giao thông đảm bảo thực hiện tối đa khối lượng công việc tại nhà máy.
– Sử dụng khả năng phay các đầu mút của những cấu kiện lớn chịu nén và nén lệch tâm (nếu không có ứng suất kéo biên lớn) khi có thiết bị phù hợp ở nhà máy sản xuất.
– Dự kiến cánh liên kết lắp ráp các cấu kiện (làm các giá lắp ráp…).
– Trong liên kết bulông lắp giáp dùng bulong thô, bu lông độ chính xác thường và bulông cường độ cao; trong trường hợp khi liên kết chịu lực thẳng đứng lớn (liên kết giàn, xà ngang của khung …) cần dùng gối đỡ; khi liên kết chịu mômen uốn dùng bulông thô và bulông độ chính xác thường, làm việc chịu kéo.
12.2. Khi thiết kế kết cấu thép cần loại trừ các ảnh hưởng có hại của biến dạng và ứng suất dư (ví dụ biến dạng hàn cũng như ứng suất tập trung).
Dự kiến các giải pháp kết cấu thích ứng (phân bố ứng suất điều nhất trong các cấu kiện và chi tiết, không có các góc nhô và thay đổi tiết diện đột ngột cũng như các chỗ tập trung ứng suất khác), các biện pháp công nghệ (trình tự lắp giáp và hàn, độ vồng trước, gia công cơ khí những vùng cần thiết bằng cách bào, phay, đánh sạch bằng đá mài …).
12.3. Trong liên kết hàn cần loại trừ khả năng phá hoại dòn kết cấu trong quá trình lắp ráp và sử dụng do tổ hợp của các yếu tố bất lợi sau:
– ứng suất cục bộ lớn do tải trọng tập trung, do biến dạng của các chi tiết liên kết cũng như do ứng suất dư;
– Các nguyên nhân gây tập trung ứng suất đột ngột bố trí tại những vùng có ứng suất cục bộ lớn và nằm cắt ngang phương tác dụng của ứng suất kéo;
– Nhiệt độ hạ thấp làm theo chuyển sang trạng thái dòn. Quá trình này phụ thuộc thành phần hoá học, cấu trúc của các mác thép và chiều dày của thép cán.
Khi thiết kế kết cấu hàn cần chú ý sao cho kết cấu bụng đặc có sự tập trung ứng suất ít hơn và ít ảnh hưởng bởi sự lệch tâm hơn so với kết cấu rỗng.
12.4. Kết cấu thép cần được chống ăn mòn theo các quy định của tiểu chuẩn bảo vệ kết cấu xây dựng khỏi ăn mòn.
12.5. Các kết cấu chịu tác dụng của kim loại nóng chảy (trong công nghiệp luyện kim) cần được bảo vệ bằng các lớp phủ gạch chịu lửa hoặc bê tông chịu nhiệt.
Các kết cấu chịu tác dụng dài hạn của nhiệt bức xạ, nhiệt đối lưu hoặc tác dụng ngắn hạn của ngọn lửa do sự cố các thiết bị nhiệt cần được bảo vệ bằng các màn kim loại treo hoặc tường lót bằng gạch hoặc bê tông chịu nhiệt.
Yêu cầu đối với liên kết hàn
12.6. Trong các kết cấu dùng liên kết hàn cần phải:
– Ưu tiên dùng các phương pháp sản xuất cơ khí hoá cao khi hàn;
– Đảm bảo sự tiếp cận dễ dàng tới chỗ cần hàn có kể đến phương pháp công nghệ hàn được lựa chọn.
12.7. Mép bản thép gần chỗ hàn cần gia công theo quy định ở bảng 54.
12.8. Kích thước và hình dạng của đường hàn góc được quy định như sau:
a) Chiều cao của đường hàn góc hh không được lớn hơn 1,2 δ (δ chiều dày nhỏ nhất của các cấu kiện được liên kết);
b) Chiều cao của đường hàn góc hh lấy theo tính toán nhưng không được nhỏ hơn các giá trị trong bảng 37.
Bảng 37
|
Dạng liên kết |
Phương pháp hàn |
Giới hạn chảy của thép MIIa (KG/cm2) |
Chiều cao nhỏ nhất của đường hàn khi chiều dày lớn nhất của các cấu kiện được hàn δ mm |
||||||
|
4-5 |
6-10 |
11-16 |
17-12 |
23-32 |
33-40 |
41-80 |
|||
|
Chữ T với các đường hàn góc hai phía chồng và góc |
Tay |
≤ 430 (4400) |
4 |
5 |
6 |
7 |
8 |
9 |
10 |
|
>430 (4400) ≤ 580 (5900) |
5 |
6 |
7 |
8 |
9 |
10 |
12 |
||
|
Tự động và bán tự động |
≤ 430 (4400) |
3 |
4 |
5 |
7 |
7 |
8 |
9 |
|
|
≤ 430 (4400) ≤589 (5900) |
4 |
5 |
6 |
6 |
8 |
9 |
10 |
||
|
Chữ T với các đường hàn góc một phía |
Tay |
≤380 (3900) |
5 |
6 |
7 |
8 |
9 |
10 |
12 |
|
Tự động và bán tự động |
4 |
5 |
6 |
7 |
8 |
9 |
10 |
||
|
Chú thích: Các kết cấu từ thép có giới hạn chảy > 580 MIIa (5900 kg/cm2 và với tất cả các đường loại thép khi chiều dày các cấu kiện > 80 mm chiểu cao nhất của đường hàn góc dùng theo các quy định kỹ thuật riêng. |
|||||||||
c) Chiều dày tính toán của đường hàn góc được nhỏ hơn 4hh và không nhỏ hơn 40mm.
d) Chiều dài tính toán đường hàn góc bên không được lớn hơn 85βh.hh (βh– hệ số lấy theo bảng 35) trừ các đường hàn mà nội lực tác dụng lên tất cả chiều dài đường hàn.
e) Kích thước của phần chồng nhau không được nhỏ hơn 5 lần chiều dày nhỏ nhất của các cấu kiện được hàn;
h) Tỷ số kích thước các cạnh góc vuông của đường hàn có chiều dày khác nhau cho phép dùng đường hàn có các cạnh không đều nhau; khi đó cạnh gắn với cấu kiện có chiều dày mỏng hơn cần tuân theo các quy định của điều 12.8,a, và cạnh gắn với cấu kiện có chiều dày lớn hơn – theo quy định của điều (12.8,b);
i) Đối với các kết cấu chịu tải trọng động và rung động khi tính toán theo độ bền mỏi hoặc theo độ bền có kể đến sự phần loại dòn, đường hàn góc sẽ được làm thoải đều đến thép cơ bản.
12.9. Để liên kết các sườn cứng, vách cứng và cách của cấu kiện I hàn cho phép dùng đường hàn góc một bên, khi đó chiều cao của đường hàn hh lấy theo tính toán, nhưng không được nhỏ hơn các quy định trong bảng 37. Không được dùng đường hàn góc một bên đối với các kết cấu:
– Thộc nhóm 1;
– Làm việc trong các môi trường có mức độ ăn mòn trung bình và cao.
12.10. Đối với các đường hàn góc tính toán và cấu tạo trong thiết kế chỉ cần rõ phương pháp hàn loại que hàn hoặc dây hàn, vị trí đường hàn khi hàn.
12.11. Liên kết hàn đối đầu của các tầm thường hàn thẳng và có dùng các bản dẫn.
Trong điều kiện lắp ghép cho phép hàn một phía có hàn đầy thêm ở đáy đường hàn và hàn vào bản thép lót được giữ lại.
12.12. Không được dùng liên kết hỗn hợp, m trong đó một phần lực được tiếp nhận bằng đường hàn, một phần bằng bulông.
12.13. Đường hàn gián đoạn cũng như đinh tán điện được thực hiện bằng hàn thủ công vào các lỗ khoan trước, chỉ cho phép dùng trong các kết cấu nhóm 4.
Yêu cầu đối với liên kết bulông cường độ cao
12.14. Lỗ trong các chi tiết kết cấu theo được làm theo các quy định của tiêu chuẩn về sản xuất và công tác nhiệm thu đối với kết cấu kim loại.
12.15. Bulông tính được dùng trong các liên kết mà lỗ của cả chồng bản thép được khoan thủng ngang đến đường kính thiết kế, hoặc khoan thủng hay đập thủng từng bản thép và chi tiết riêng theo khuôn dẫn tới lỗ có đường kính nhỏ hơn, sau đó khoan tiếp cả chồng bản thép đến đường kính thiết kế.
Bulông thường và bulông trong liên kết nhiều bulông được dùng cho các kết cấu làm bằng thép có giới hạn chảy từ 380 MPa (3900 kh/cm2) trở xuống.
12.16. Cho phép liên kết các cấu kiện vào mắt liên kết bằng một bulông.
12.17. Trong cá kiên kết bulông làm việc chịu cắt không được dùng các bulông mà trên chiều dài của phần không ren có các đoạn với đường kính khác nhau.
12.18. Dưới đai ốc của bulông phải đặt vòng đệm, dưới đai ốc và mũ của bulông cường độ cao phải đặt vòng đệm, việc lựa chọn vòng đệm bulông cường độ cao có nút và đai ốc có kích thước mở rộng theo yêu cầu của điều 2.6.
Khi dung sai giữa đường kính danh nghĩa của lỗ và bulông không vượt quá 3mm cho phép đặt một vòng đệm dưới đai ốc.
Phần có gen của bulông (trừ bulông cường độ cao) phải nằm ra ngoài chồng bản liên kết.
12.19. Các loại bulông (kể cả bulông cường độ cao) phải được bố trí theo các quy định của bảng 38.
Thông thường cá bulông nên bố trí theo khoảng cách lớn nhất ở chỗ nối và ở các mắt cần bố trí bulông theo khoảng cách nhỏ nhất.
Khi bố trí bulông kiểu so le khoảng cách giữa tầm của chúng dọc theo lực không được nhỏ hơn a+1,5d (a-khoảng cách giữa các hàng theo kiểu ngang lực; d- đường kính lỗ bulông).
Khi bố trí như vậy tiết diện của cấu kiện Fth kể đến giảm yếu, chỉ do các lỗ bulông nằm theo chiều ngang lực (không theo đường zic zắc).
12.20. Trong các liên kết dùng bulông thô, bulông thường và bulông tinh (trừ bulông cường độ cao) cần xét đến cách chống vòng đệm long ra (đặt long đen lò xo hoặc vòng đệm hãm).
Bảng 38
|
Đặc điểm của khoảng cách |
Trị số của khoảng cách |
|
1. Khoảng cách giữa tâm bulông theo hướng bất kỳ: a) Nhỏ nhất b) Lớn nhất trong cá dãy biên khi không có thép góc viền chịu kéo và chiụ nén c) Lớn nhất trong các dãy giữa cũng như trong các dãy biên khi có thép góc viền: – Khi chịu kéo – Khi chịu nén 2. Khoảng cách từ tâm bulômg đến mép của cấu kiện: a) Nhỏ nhất dọc theo lực b) Nhỏ nhất ngang lực – Khi mép cắt – Khi mép cán c) Lớn nhất d) Nhỏ nhất đối với bulông cường độ cao khi mép bất kỳ và hướng lực bất kỳ |
2,5d 8d hoặc 12δ
16d hoặc 24δ 12d hoặc 18δ
2d 1,5d 1,2d 4d hoặc 8δ
1.3d |
|
Chú thích: 1. Trong các cấu kiện liên kết từ thép có giới hạn chảy cao 380MII a (3900 kg/cm2) khoảng cách nhỏ nhất giữa các bulông cần lấy bằng 3d 2. Các ký hiệu dùng trong bảng 38: d – Đường kính của lỗ bulông δ – Chiều dày của cấu kiện ngoài mỏng nhất 3. Trong các cấu kiện liên kết từ thép có giới hạn chảy nhỏ hơn hoặc bằng 380 MII a (3900 kg/cm2) cho phép giảm khoảng cách từ tâm bulông đến mép của cấu kiện theo hướng dọc lực và khoảng cách nhỏ nhất giữa tâm các bulông khi tính toán kể đến các hệ số điều kiện làm việc tương ứng theo điều 11.7 và 15.14 |
|
13. Các yêu cầu bổ sung khi thiết kế nhà sản xuất và các công trình
Độ võng tương đối và sự nghiêng lệch của kết cấu
13.1. Độ võng được xác định theo tải trọng tiêu chuẩn không kể đến sự giảm yếu của tiết diện do lỗ bulông và không xét đến hệ số động.
Độ võng tương đối thẳng đứng của các cấu kiện không được vượt quá các giá trị cho ở bảng 39.
Đối với các kết cấu có độ võng cấu tạo độ võng thẳng đứng lấy bằng hiệu số giữa giá trị của độ võng toàn bộ và độ võng cấu tạo. Độ võng tương đối của các kết cấu không được nêu trong bảng 39 cần được thiết lập theo các yêu cầu riêng, nhưng không được vượt quá 1/150 chiều dài của nhịp dầm hoặc của hai lần phần vươn ra của công sơn.
13.2. Độ võng ngang tương đối của thanh đứng, xà ngang và của panen tường treo không được vượt quá 1/300; của dầm đỡ cửa kính không được vượt quá 1/200 chiều dài của nhịp.
13.3. Độ lệch ngang tương đối của cột ở mức cánh trên của dầm cầu trục không được vượt quá các giá trị nêu trong bảng 40.
Độ võng ngang của các kết cấu hãm (dầm và giàn) của cầu trục có số chu kỳ tác dụng của tải trọng từ 2.106 trở lên không được vượt quá 1/2000 nhịp.
Độ lệch của cột theo hướng ngang và dọc nhà cũng như độ võng của kết cấu hãm của cầu trục được tính do lực hãm xác định theo các quy định của tiêu chuẩn tải trọng và tác động.
Lực hãm dọc được phân bố cho tất cả hệ giằng đứng đặt trong khoảng một khối nhiệt độ. Khí không có hệ giằng đắng thì phân phối cho tất cả các cột của khối nhiệt độ.
Bảng 39
|
Các cấu kiện của kết cấu |
Độ võng tương đối của cấu kiện (đối với nhịp l) |
|
1. Dầm và dàn cầu trục: – Chế độ làm việc nhẹ (bao gồm cầu trục tay, Pa- lăng điện và pa – lăng) – Chế độ làm việc trung bình – Chế độ làm việc nặng và rất nặng 2. Dầm sàn công tác của nhà sản xuất khi có đường ray: – Khổ rộng – Khổ hẹp 3. Dầm sàn công tác củ a nhà sản xuất khi không có đường ray và dầm sàn giữa các tầng. – Dầm chính – Các dầm khác và dầm cầu thang – Sàn thép 4. Dầm và dàn của mái và của sàn hầm mái – Có tréo thiết bị nâng chuyển hoặc thiết bị cộng nghệ, – Không thiết bị treo – Xà gỗ – Sàn định hình 5. Các cấu kiện của sườn tường – Xà ngang – Dầm đỡ cửa kính |
1/400 1/500 1/600
1/600 1/400
1/400 1/250 1/150
1/400 1/250 1/200 1/150
1/300 1/200 |
|
Chú thích: 1. Đối với công sơn nhịp l lấy bằng hai lần phần vươn ra của công sơn 2. Khi có lớp vữa trát, độ võng của dầm sàn chỉ do tải trọng tạm thời gây ra không được lớn hơn 1/350 chiều dài nhịp. |
|
Bảng 40
|
Hướng lệch |
Độ lệch tương đối của cột (đối với chiều cao h) |
|
|
Trong các cấu cạn lộ thiên đỡ cầu trục |
Trong các nhà và công trình có các cấu trục với số chu kì tải trong lớn hơn hoặc bằng 2.106 |
|
|
1. Ngang nhà : – Khi tính toán theo đổ phẳng – Khi tính toán theo sơ đồ không gian |
1/4000
– |
1/2500
1/4000 |
|
2. Dọc nhà |
1/4000 |
1/4000 |
|
Chú thích: h- chiều cao của cột tính từ đáy để cột đến đỉnh ray dầm cầu trục. |
||
13.4. Độ lệch ngang của cột đỡ hành lang băng tải không được lớn hơn 1/250h (h – chiều cao của cột đỡ tính đến cánh dưới của giàn hoặc dầm).
13.5. Khoảng cách lớn nhất giữa các khe nhiệt độ của khung thép nhà mọt tầng và các công trình được lấy theo bảng 41
Bảng 41
|
Đặc điểm của nhà và công trình |
Khoảng cách lớn nhất (m) |
||
|
Giữa các khe nhiệt độ |
Từ khe nhiệt độ hoặc từ đầu mút nhà đến trục của hệ giằng đướng giằng đứng gần nhất |
||
|
Theo dọc nhà |
Theo ngang nhà |
||
|
Nhà có cách nhiệt và các xưởng nóng Cầu cạn lộ thiên |
230 200 130 |
150 120 – |
90 75 50 |
|
Chú thích: Khi trong phạm vi đoạn nhiệt độ của nhà và công trình có hai hệ giằng đứng thì khoảng cách giữa các hệ giằng đó (tình từ trục không được vượt quá các giá trị; đối với nhà lấy từ 40-50m;đối với cầu cạn lộ thiên lấy từ 25-30m). |
|||
Khi vượt quá 50% so với các giá trị của bảng 41, cũng như tăng độ cứng của khung bằng tường hoặc các kết cấu khác thì cần tính đến tác dụng của nhiệt độ biến dạng không đàn hồi của kết cấu và tính dẻo của các mắt.
Dàn mái và hệ thanh không gian hai lớp lưới của mái phẳng
13.6. Trục các thanh trong giàn và hệ thanh không gian hai lớp lưới phải hội tụ tại tâm các mắt. Trục này trong giàn hàn là trục đi qua trọng tâm của tiết diện thanh (làm tròn đến 5mm), trong giàn liên kết bulông là trục của hàng bulông gần với sống thép góc nhất.
Cho phép không tính đến độ lệch trục của cá cánh giàn khi thay đổi tiết diện nếu độ lệch đó không vượt quá 1,5% chiều cao của cánh.
Khi có lệch tâm tại các mắt thì việc tính toán các thanh của giàn và của hệ thanh không gian hai lớp phải kể đến mô men uốn tương ứng.
Khi tải trọng đặt ngoài mắt giàn, các thanh cánh phải tính toán theo nén uốn.
13.7. Khi nhịp của giàn mái lớn hơn 36m nên làm độ vồng cấu tạo bằng độ võng đi tĩnh tải và tải trọng dài hạn. Trong các mái bằng độ vòng cấu tạo của giàn mái (không phụ thuộc vào trị số của nhịp lấy bằng 1/200 nhịp.
13.8. Khi tính toán giàn có các thành bằng thép góc hoặc theo chữ T, liên kết của các thanh tại các mắt giàn được coi là khớp.
Nếu các thanh giàn có tiết diện chữ I, chữ H và thép ống chỉ được tính toán giàn theo thép sơ đồ khớp, khi tỉ số giữa chiều cao của tiết diện với chiều dài của thanh không lớn hơn 1/10.
Khi vượt quá tỷ số này phải tính đến mômen uốn phụ trong các thanh so độ cứng của mắt gây nên. Việc kể đến độ cứng của mắt trong giàn cho phép tiến hành theo các phương pháp gần đúng, cho phép xác định lực dọc theo sơ đồ khớp.
13.9. Khoảng cách giữa mép của các thanh bùng và thanh cánh ở mắt giàn có bản mắt được lấy bằng a (a = 6δ – 20 mm) nhưng không lớn hơn 80mm (δ – chiều dày bản mắt, mm). Khe hở giữa các đầu mút của các thanh nồi ở cánh giàn có phủ các bản ghép, không nhỏ hơn 50mm.
Đường hàn liên kết thanh bụng của giàn nối bản mắt cần kéo dài vào cạnh đầu thanh một đoạn 20mm.
13.10. Tại mắt giàn có cá cánh là thép chữ T, chữ I hoặc thép góc đơn, liên kết đối đầu bản mắt với cánh cần dùng đường hàn thấu suốt chiều dày của bản mắt với cánh cần dùng đường hàn thấu suốt chiều dày của bản mắt. Trong các kết cấu nhóm 1 việc nối bản mắt với thanh vần được làm theo các quy định ở điều 7 của bản 83 (xem phụ lục 8)
Cột
13.11. Các đoạn vận chuyển của cột rỗng có các thanh giằng bố trí trong hai mặt phẳng cần được gia cường bằng các vách cứng đặt ở hai đầu của mỗi đoạn.
Trong cột rỗng có các thanh giằng bố trí trong một mặt phẳng cần đặt các vách cứng cách nhau không quá 4m.
13.12. Trong các cột chịu nén đúng tâm và các thanh đứng có đường hàn liên kết cánh ở một bên, tại các mắt liên kết với hệ giằng, dầm, thanh chống và các cấu kiện khác, trong vùng truyền lực cần dùng các đường hàn liên kết cánh ở hai bên và kéo dài quá phạm vi liên kết (mắt) một đoạn 30h về mỗi phía.
13.13. Các đường hàn góc tại liên kết chồng giữa bản mắt của thanh giằng với cột cần lấy theo tính toán và bố trí gián đoạn, so le ở hai cạnh của bản mắt dọc theo cột; khi đó khoảng không hàn không được vượt quá 15 lần chiều dày bản mắt, khi bàn tay dùng đường hàn liên tục trên cả chiều dài bản mắt.
13.14. Khi nối lắp ghép, đầu mút cột cần được phay nhẵn, dùng đường hàn nối đầu hoặc dùng bản ghép với các đường hàn hoặc bulông (kể cả bulông cường độ cao). Khi hàn các bản ghép được hàn cần cách chỗ nối 30 mm về mỗi phía. Cho phép dùng liên kết mặt bích để truyền lực nén bằng tiếp xúc chặt và truyền lực kéo bằng các bulông.
Hệ giằng
13.15. Trong mỗi khối nhiệt độ nhà cần bố trí một hệ thống giằng
13.16. Cánh dưới của dầm và giàn cần trục có nhịp lớn hơn 12m cần được tăng cường bằng hệ giằng ngang.
13.17. Hệ giằng đứng giữa các cột chính ở dưới mức dầm cầu trục khi cột hai nhánh cần phải bố trí mặt phẳng của từng nhánh cột.
Các nhánh của hệ giằng hai nhánh được liên kết với nhau bằng các thanh giằng.
13.18. Hệ giằng ngang hướng ngang nhà được bố trí ở mức cánh trên hoặc cánh dưới của giàn vì kèo trong các nhịp ở đầu khe nhiệt độ.
Khi khối nhiệt độ dài hơn 144m cần đặt hệ giằng ngang trung gian.
Những giàn vì kèo không nối trực tiếp với hệ giằng ngang cần được tăng cường trong mặt phẳng bố trí giằng này bằng các thanh trống và thanh kéo.
ở các chỗ bố trí hệ giằng ngang cần đặt hệ giằng đứng ở giữa các giàn.
Khi có khối mái cứng, tại mức cánh trên cần có hệ giằng tạm để hiệu chỉnh kết cấu và đảm bảo ổn định của chúng trong quá trình lắp ráp.
13.19. Hệ giằng dọc cánh dưới của các giàn vì kèo cần được bố trí dọc các dãy cột biên: trong các nhà có cầu trục với chế độ làm việc nặng và rất nặng; trong các mái giàn có đỡ kèo;
trong các nhà 1 hoặc 2 nhịp có cầu trục sức nâng từ 10T trở lên và khi độ cao cánh dưới của giàn vì kèo lớn hơn 18m, không phụ thuộc sức nâng cầu trục.
Trong các nhà lớn hơn 3 nhịp, hệ giằng dọc cánh dưới cần bố trí dọc các dãy cột giữa và không được cánh nhau quá 1 nhịp, đối với các nhà có cầu trục với chế độ làm việc nặng và rất nặng; không được cánh nhau quá 2 nhịp đối với các nhà khác.
13.20. Hệ giằng ngang cánh trên và cánh dưới trong các giàn đơn giản của hành lang bằng tải được bố trí riêng cho từng nhịp.
13.21. Khi trong mái bố trí hệ giằng chéo chữ thập việc tính toán hệ giằng được phép tiến hành theo sơ đồ quy ước với giả thiết thanh xiên chỉ chịu lực kéo.
Khi xác định nội lực trong các thanh của hệ giằng cho phép không xét đến sự nén của các cánh giàn.
13.22. Khi các sàn mỏng trong các mặt phẳng cánh dưới của giàn cho phép kể đến sự làm việc của sàn.
13.23. Trong mái nhà treo với hệ chịu lực phẳng (dây hai lớp, hệ nặng với các dây cứng cần có hệ giằng ngang và đứng giữa các hệ thống chịu lực.
Dầm
13.24. Trong dầm chữ I hàn không được dùng các bản cánh gồm nhiều tấm thép.
Trong dầm bulông cường độ cao cho phép bản cánh gồm nhiều tấm thép nhưng số lượng tấm không được lớn hơn 3m, khi đó diện tích các thép góc cánh không được nhỏ hơn 30% diện tích toán cánh.
13.25. Các đường hàn cánh của dầm hàn cũng như đường hàn liên kết của các cấu kiện phụ (thí dụ sườn cứng) vào dầm cần hàn liên tục.
13.26. Khi dùng đường hàn cánh 1 bên trong dầm chữ I hàn chịu tải trọng tĩnh thì cần thoả mãn các yêu cầu sau:
– Tải trọng tính toán cần phải đặt đối xứng nhau qua thiết diện ngang của dầm.
– Cánh chịu nén của dầm phải đảm bảo ổn định theo yêu cầu của điều 5.16 a tại chỗ cánh dầm có tải trọng tập trung (kể cả tải trọng của các tấm bê tông có sườn) cần đặt các sườn cứng ngang
Trong xà ngang của kết cấu khung tại các mắt gối phải dùng đường hàn cánh hai bên. Không được dùng đường hàn cánh một bên trong các dầm tính toán theo quy định của các điều từ 5.18-5.23.
13.27. Các sườn cứng của dầm hàn phải đặt cách đầu nối của bản bụng một khoảng không nhỏ hơn 10 lần chiều dày của bản bụng. Tại các chỗ giao nhau giữa đường hàn đối đầu của bản bụng dọc các đường hàn liên kết sườn với bản bụng phải đặt cách đường hàn một đoạn 40mm.
13.28. Trong các dầm hàn chữ I của các kết cấu nhóm 2- 4 thường dùng sườn cứng một bên bố trí cả một phía của dầm.
Trong dầm thường dùng đường hàn cánh một bên, các sườn cứng phải bố trí ở phía bản bụng đối diện với bố chí của đường hàn cánh.
Dầm cầu trục
13.29. Kiểm tra độ bền của dầm câu trục do tác dụng của tải trọng đứng và ngang theo các quy định ở điều 5.17.
13.30. Kiểm tra độ bền của bản bụng dầm cầu trục (trừ các dầm ổn định theo bền mỏi với số chu kỳ có tải trọng từ 2.106 trở lên theo công thức (33) trong đó khi kiểm tra tiết diện gối của dầm liên tục thay hệ số 1,15 bằng 1,3.
13.31. Kiểm tra ổn định của dầm cầu trục theo các quy định ở điều 5.15.
13.32. Kiểm tra ổn định của bản bụng và bản cánh của dầm cầu trục theo các quy định của phần 7.
13.33. Tính toán bền mỏi của dầm cầu trục được tiến hành theo các quy định của phần 9.
Đối với dầm cầu trục có số chu kỳ của tải trong 2.106 bản bụng dầm phải được kiểm tra theo điều 13.34 và về mỏi theo điều 13.35.
Tải trọng cầu trục để kiểm tra dầm cầu trục theo bền và mỏi được lấy theo các quy định của tiêu chuẩn tải trọng tác động.
Số chu kỳ tải trọng của dầm cầu trục là số lượt nâng tải trong thời hạn phục vụ của cầu trục do yêu cầu sản xuất.
13.34. Vùng chịu nén của dầm cầu trục bằng thép, có giới hạn chảy từ 430 Mpa (4400kg/cm2) trở xuống phải thoả mãn điều kiện:

![]()
Trong đó :

β – hệ số lấy bằng 1,15 khi tính toán dầm đơn giản; bằng 1,3 khi tính toán tiết diện tại gối của dầm liên tục;
M và Q – Mô men uốn và lực cắt trong tiết diện của dầm do tải trọng tính tóan;
P- áp lực tính toán của bánh xe cầu trục không kể đến hệ số động.
γr– Hệ số tăng tải trọng tập trung thẳng đứng trên một bánh xe cầu trục lấy theo quy định của tiêu chuẩn tải trọng và tác động.
Jk = Jkr +bcδc3/3 – Tổng các mômen quán tính xoắn bản thân của ray và của cánh;
δc và bc – Chiều dày và chiều rộng của cánh rện (chịu nén) của dầm
z – Chiều dài quy ước, được xác định theo công thức sau:
(146)
Trong đó:
C – Hệ số, lấy bằng 3,25 đối với dầm hàn và cán; bằng 4,5 đối với dầm bulông cường độ cao;
Jlk – Tổng các mômen quán tính bản thân của cánh dầm và của ray cầu chạy hoặc là mômen quán tính chung của cánh và cánh khi hàn ray bằng các đường hàn đảm bảo sự làm việc đồng thời của ray và cánh;
Mk– Mômen xoắn cục bộ, được xác định theo công thức :
Mk= Pe +0,75Qkhr (147)
Trong đó:
a- Độ lệch tâm quy ước bằng 15mm;
Qk – Tải trọng ngang tính toán gây bởi sự nghiêng lệch của cầu trục và sự không song song của đường ray cầu trục lấy theo quy định của tiêu chuẩn “Tải trọng và tác động. Tiêu chuẩn thiết kế TCVN 2737 : 1978”
Hr – Chiều cao của ray trục.
13.35. Kiểm tra độ bền mỏi vùng trên của bụng dầm cầu trục hàn theo công thức :
(148)
Rm– Cường độ mỏi tính toán với mọi mác thép lấy Rm= 75 MIIa (765 kg/cm2) đối với vùng trên chịu nén của bản bụng (tiết diện tại nhịp dầm) Rm =65 MIIa (665kh/cm2) đối với vùng trên chịu kéo của bản bụng (tiết diện tại gối của liên tục).
Giá trị của các ứng suất trong công thức (148) được xác định theo điều 13.34.
Đường hàn cánh trên của dầm cầu trục tính toán theo bền mỏi với số chu kỳ của tải trọng n ≥ 2.106 cần phải hàn thấu hết chiều dày của bản bụng.
13.36. Các mép tự do của cánh chịu kéo dầm cầu trục và dầm của sàn công tác chịu trực tiếp tải trọng di động phải được cán, bào nhẵn hoặc cắt bằng hàn ôxy hồ quang.
13.37. Các kích thước của sườn cứng trong dầm cầu trục cần lấy theo các quy định của điều 7.10 khi đó bề rộng phần nhô ra của sườn hai bên không được nhỏ hơn 90mm. Sườn cứng ngang hai bên không cần hàn với cánh dầm. Mút của sườn cứng tỳ chặt vào cánh trên của dầm; trong các dầm cầu trục có số chu kỳ của tải trọng n ≥ 2.106 đầu mút sườn tì vào cánh trên phải được bào nhẵn.
Trong các dầm cầu trục chế độ làm việc nhẹ và trung bình cho phép dụng các sườn cứng ngang một bên được hàn với bản bụng và cánh trên dầm, bố trí sườn theo điều 13.28.
13.38. Khi kiểm tra độ bền của các dầm cầu trục treo phải kể đến các ứng suất pháp cục bộ do áp lực của bánh xe cầu trục theo hướng dọc trục và ngang trục dầm.
Kết cấu tấm
13.39. Chu vi các cấu kiện cứng ngang của vỏ cần phải thiết kế kín.
13.40. Tải trọng tập trung truyền lên kết cấy thép tấm cần thông qua các cấu kiện cứng
13.41. Để giảm ứng xuất cục bộ, chỗ nối các vỏ có hình dạng khác nhau cần làm trơn thoải.
13.42. Việc thực hiện các đường hàn đối đầu phải được dự kiến trước hoặc hàn hai phía, hoặc hàn một phía có hàn đầy thêm ở đáy hoặc trên bản lót.
Trong thiết kế phải ghi rõ các điều kiện cần thiết để đảm bảo sự đặc kín của liên kết theo yêu cầu sử dụng.
13.43. Trong kết cấu thép tấm thường dùng liên kết hàn đối đầu. Khi chiều dày tấm nhỏ hơn hoặc bằng 5mm, hoặc khi liên kết lắp ghép cho phép dùng liên kết chồng,
13.44. Khi cấu tạo kết cấu thép cần ưu tiên phương pháp sản xuất và lắp ráp công nghiệp bằng cách dùng:
– Các tấm hoặc bằng kích thước lớn; phương pháp cuộn thép sản xuất sẵn dạng vỏ
– Hình khai triển để cắt đảm bảo ít phế liệu nhất;
– Hàn tự động.
Liên kết lắp ráp
13.45. Liên kết lắp ráp các kết cấu của nhà và công trình có dầm cầu trục tính theo bền mỏi, cũng như các kết cấu dưới đường sắt cần thực hiện bằng hàn hoặc bulông cường độ cao. Bulông thô và bulông thường trong liên kết lắp ráp được dùng:
– Để liến kết xà gồ, cấu kiện của kết cấu cửa mái, hệ giằng, cánh trên của giàn (khi có hệ giằng cánh dưới hoặc mái cứng) hệ giằng đứng của giàn và của mái, các cấu kiện của sườn tường.
– Để liên hệ giằng cánh dưới của giàn khi có khối mái cứng (các tấm bê tông cốt thép hoặc bê tông lưới thép bằng bêtông xốp, các tấm thép định hình…).
– Để liên kết giàn vì kèo và giàn đỡ kèo với cột và giàn vì kèo với giàn đỡ kèo, với điều kiện áp lực gối thẳng đứng truyền qua gối đỡ;
– Để liên kết các dầm cần trục đơn giản với nhau cũng như cánh dưới của chúng với các cột không gặp với hệ giằng đứng.
– Để liên kiết dầm của sàn công tác không chịu tác dụng của tải trọng động;
– Để liên kết các kết cấu phụ.
14. Các yêu cầu sung khi thiết kế nhà ở, nhà công cộng và cádc công trình nhà khung.
14.1. Kiểm tra độ võng của các cấu kiện chịu uốn theo các quy định ở điều 13.1.
14.2. Độ lệch ngang của đỉnh khung nhà do thành phần tính của tải trọng gió tiêu chuẩn không kể đến biến dạng của móng và độ cứng của tường bao che, tường ngăn không được vượt quá 1/500 chiều cao của khung.
14.3. Khi tính toán kết cấu theo độ bền và ổn định, nếu không kể đến tường ngăn và tường bao che thì độ lệch ngang tương đối của khung trong giới hạn các tầng do thành phần tĩnh của tải trọng gió tiêu chuẩn không được vượt quá các giá trị ghi trong bảng 42.
14.4. Để phân phối mô men uốn trong các cấu kiện của khung tại các nút liên kết của xà ngang với cột cho phép dùng các bản ghép làm việc ở giai đoạn dẻo.
Bản ghép được làm bằng thép có giới hạn chảy từ 325 MIIa (3300 kh/cm2) trở xuống.
Nội lực trong bản ghép được xác định khi giới hạn chảy nhỏ nhất σmin = σc và giới hạn chảy lớn nhất σmax = σc +100 MIIa (1000kg/cm2).
Các cách dọc của bản ghép phải được bào hoặc phay nhẵn.
Bảng 42
|
Loại tường |
Độ lệch ngang tương đối (với chiều cao tầng) |
|
– Vách ngăn bê tông thạch cao – Tường gạch – Tường bằng các khối gốm hoặc kính (quầy trưng bày) – Tường ốp đá tự nhiên – Tường panen bêtông cốt thép |
1/700 1/500 1/1000 1/700 – |
15. Các yêu cầu bổ sung khi thiết kế cột của đường dây dẫn điện và kết cấu của các thiết bị phân phối
15.1. Cột của đường dây dẫn điện (ĐDK) và kết cấu của thiết bị phân phối (TPP) thường được làm từ thép theo các quy định của những tiêu chuẩn Liên Xô tương ứng (xem bảng 49) (phụ lục 1).
15.2. Trong các cột của ĐDK và kết cấu của TPP có chiều cao từ 100m trở xuống các bulông thô, bulông thường và bulông tinh được dùng cho kết cấu không tính theo độ bền mỏi.
Khi chiều cao lớn hơn 100 m sử dụng đối với kết cấu được tính theo bền mỏi.
15.3. Các chi tiết đều được phép thiết kế từ thép theo các quy định của những tiêu chuẩn Liên Xô tương ứng (xem phụ lục 9).

Hình 21: Sơ đồ xà ngang
a – Thanh bụng tam giác; b – Thanh bụng tam giác có thanh chống
15.4. Khi tính toán cột ĐDK và kết cấu của TPP cần lấy hệ số điều kiện làm việc theo phần 4 và 11 cũng như thép bảng 43 của điều 15.4
Bảng 43
|
Các cấu kiện của kết cấu |
Hệ số điều kiện làm việc J |
|
1. Các cách chịu nén từ các thép góc đơn trong hai khoang dầu kể từ mặt móng của cột đứng tự do 2. Các thanh chịu nén của xà phẳng rỗng từ các thép góc đơn đều cạnh được liên kết tre4en một cạnh (hình 21): a) Thanh cánh liên kết trực tiếp với thân cột bằng 2 bulông trở lên b) Thanh cánh liên tục với chân cột bằng 1 bulông hoặc qua bản mắt. c) Thanh xiên và thanh chống 3. Dây beo neo từ cáp thép hoặc bó sợi cường độ cao: a) Đối với cột trung gian và cột có chế độ làm việc bình thường b) Đối với các cột neo, cột neo ở góc và cột góc – Chế độ làm việc bình thường – Chế độ làm việc có sự cố |
0,95
0,9 0,75 0,75
0,9
0,8 0,9 |
|
Chú thích: Các hệ số có điều kiện làm việc trong bảng không dùng cho liên kết của các cấu kiện tại mắt. |
|
Không cho phép kiểm tra độ bền các thanh của cột theo điều 5.2 (trừ việc tính toán tiết diện tại chỗ liên kết của các thanh chịu kéo từ các thép góc đơn được liên kết trên một cạnh bằng các bulông).
15.5. Khi xác định độ mảnh tương đương theo bảng6, độ mảnh lớn nhất của toàn thanh λ phải được tính theo công thức:
– Đối với thanh 4 mặt có các cánh song song, hai đầu tựa khớp:
λ = 2l/b (149)
– Đối với thanh 3 mặt đều có các cánh song song, hai đầu tựa khớp:
λ = 2,5l/b (150)
– Đối với các cột đứng độc lập dạng tháp (hình 9)
λ = 2μ1h/bd (151)
Chú thích: Những ký hiệu được dùng trong các công thức (149-151)
μ1 = 1,25(btbd)2 – 2,75 (btbd) + 3,5
μ1 – Là hệ số để xác định chiều dài tính toán
l – Chiều dài hình học của thanh rỗng
b – Khoảng cánh giữa cửa cánh song song trên mặt hẹp nhất của thanh
h – Chiều cao của cột đứng độc lập
bt, bd – Khoảng cách giữa trục của các cánh của cột dạng tháp tương ứng phía trên và phía dưới chân của mặt hẹp nhất.
15.6. Thanh rỗng có tiết diện không đổi theo chiều dài chịu nén lệch tâm và nén uốn được kiểm tra ổn định theo các chỉ dẫn của phần 5.
Độ lệch tâm tương đối m của thanh ba mặt đều, tiết diện rỗng và không đổi theo chiều dài có các thanh giằng hoặc bản giằng được tính theo công thức :
– Khi uốn trong mặt phẳng vuông góc với một trong các mặt của thanh:
m = 3,48 βM/(Nb) (152)
– Khi uốn trong mặt phẳng song song với một trong các mặt của thanh:
m = 3βM/(Nb) (153)
Trong đó: b – khoảng cách trục của các cánh trong một mặt của thanh
β- hệ số bằng 1,2 khi liên kết bulông và bằng 1,0 khi liên kết hàn.
15.7. Khi tính toán thanh tiết diện rỗng chịu nén lệch tâm và nén uốn theo các chỉ dẫn của mục 5.27 giá trị của độ lệch tâm khi dùng bulông để liên kết được nhân với hệ số 1,2.
15.8. Khi kiểm tra ổn định các thanh riêng biệt của thanh rỗng trong cột có dây neo chịu nén lệch tâm và nến uốn, lực dọc trong mỗi cánh phải được xác định có kể nội lực do mômem uốn M tính theo sơ đồ biến dạng. Giá trị của mômen uốn này tại giữa chiều dài của thanh tựa khớp được tính theo công thức:
![]()
Trong đó:
Mq – Mô men uốn giữa than do tải trọng ngang được xác định như dầm thường;
δ =1- 0,1Nl2/(EJ) với J là mômen quán tính tiết diện của thân đối với trục vuông góc với mặt phẳng tác dụng của tải trọng ngang;
l – Chiều dài của thân cột
N- Lực dọc trong thân cột;
fq – Độ rỗng của thân tại giữa chiều dài di tải trọng ngang xác định như dầm thường;
f0 – l/750 – độ võng ban đầu của thân cột
β – Hệ số lấy theo điều 15.6
15.9. Lực cắt Q trong thân rỗng tiết diện không đổi theo chiều dài của cột có dây neo, tựa khớp được lấy không đổi theo chiều dài cột và xác định theo công thức:
(155)
Qmax – Lực cắt lớn nhất do tải trọng ngoài. Các ký hiệu còn lại trong công thức (155) lấy như trong công thức (154).
15.10. Cho phép tính toán ổn định của thanh cánh từ các thép góc đơn như thanh chịu nén đúng tâm với điều kiện nội lực tính toán trong nangthanh cánh được nhân với hệ số D, kể đến ảnh hưởng đặt lệch tâm nội lực của thanh xiên vào thanh cánh, giá trị của D lấy không nhỏ hơn 1,05 và được xác định theo công thức :
(156)
Trong đó:
Nmd – Thành phần nội lực trong thanh xiên hướng dọc trục của cánh và truyền vào mặt thuộc khoang tính toán, thép góc cánh, cùng trong một tổ hợp tải trọng dùng tính thép góc cánh.
Nm – Nội lực tính toán trong khoang của thép góc cánh
a – Khoảng cách trên bản cánh thép góc tính từ trọng tâm của nó đến trục hội tụ các thanh xiên.
c- Khoảng cách trên bản cánh khép góc tính từ trọng tâm đến sống của nó
λ – Độ mảnh quy ước của khoang thép góc cánh.
Khi kiểm tra kết cấu trong chế độ làm việc có sự cố do tác dụng đồng thời lực dọc, lực cắt và mô men xoắn lấy α =1,0.
Khoảng cách a trên các khép góc tù trọng tâm của nó về phía mép đến trục hội tụ của các thanh xiên được lấy như sau:

Cho phét các thanh xiên hội tụ tại sống của các thép góc canh nếu Nm/ Nm ≤ 0,4 lúc đó khi tính α lấy a = c.
Khi các giá trị của a và Nmd Nm vượt qua các trị số trên, các thanh xiên cần quy tụ tại trọng tâm của thép góc cánh hoặc phải tính toán thanh theo hai cánh chịu lực nén lệch tâm.
15.11. Trong cột rỗng đứng độc lập độ mảnh của các thanh xiên đầu tiên ơ chân cột từ thép góc đơn không được vượt quá 150.
15.12. Độ lệch của đỉnh cột và độ vòng theo phương đứng của xà ngang không được lớn hơn các giá trị trong bảng14
Bảng44
|
Kết cấu và hướng lệch |
Độ lệch tương đối với của cột (với chiều cao h) |
Độ võng tương đối của xà ngang (với chiều dài của nhịp hoặc công sơn) |
|||
|
Phương đứng |
Phương ngang |
||||
|
Trong nhịp |
Trên công sơn |
Trong nhịp |
Trên công sơn |
||
|
1. Cột neo ở đầu và ở góc của ĐDK có chiều cao từ 60 trở xuống dọc dây dẫn. 2. Cột neo của ĐDK có chiều cao từ 60m trở xuống, dọc dây dẫn. 3. Cột trung gian của ĐDK (ngoài cột vượt), dọc dây dẫn 4. Cột vượt ĐDK các loại cao trên 60 m, dọc dây dân. 5. Cột của TPP, dọc dây dẫn 6. Cột của TPP, dọc dây dẫn 7. Cột của giá đỡ các thiết bị 8. Dầm đỡ các thiết bị. |
1/120
1/100
không hạn chế
1/140
1/100
1/70
1/100 – |
1/200
1/200
1/150
1/200
1/200
Không hạn chế – 1/330 |
1/70
1/70
1/50
1/70
1/70
Không hạn chế – 1/250 |
Không hạn chế
Không hạn chế
Không hạn chế
Không hạn chế
1/200
Không hạn chế
– – |
Không hạn chế
Không hạn chế
Không hạn chế
Không hạn chế
1/70
Không hạn chế
– – |
|
Chú thích: 1. Không quy định độ lệch của cột TPP và xà ngang của cột ĐDK trong chế độ sự cố và lắp ráp. 2. Độ lệch và độ võng quy định ở điều 7 và 8 cần giảm xuống nếu do yêu cầu sử dụng các thiết bị độ cứng của cột phải tăng lên. |
|||||
15.13. Trong các cột thép của Đ DK và TPP từ các thép góc đơn cần đặt các vách cứng cách nhau không quá 15m, cũng nhu ở các chỗ đặt tải trọng tập trung và chỗ đặt tải trọng tập trung và chỗ gãy góc của các thanh cánh.
15.14. Trong các thanh dùng liên kết một bulông của hệ thanh bụng (thanh xiên và thanh chống có chiều dầy bản cánh nhỏ hơn hoặc bằng 6 mm bằng thép có giới hạn chảy nhỏ hơn hoặc bằng 380M∏a(3900 kg/cm2) cho phép lấy khoảng cách từ mép của thanh đến trọng tâm của lỗ (dọc theo lực)bằng 1,35d; không cho phép có dung sai nhỏ hơn khi sản xuất cấu kiện và cần ghi rõ điều này trong thiết kế.Khi đó trong tính toán ép mặt các cấu kiện theo công thức (128) lây hệ số làm việc của liên kết γlk =0,65.
Trong các thanh chỉ làm việc chịu lực kéo, khoảng cách từ mép thanh đến tâm của lỗ (dọc theo lực) cần lấy không nhỏ hơn 2d.
15.15. Các thanh xiên liên kết với thanh cánh bằn các bu lông trong một mắt, nên bố trí ơ hai mặt bản cánh của thép góc cánh.
15.16. Trong các mắt nối đối đầu bulông của các thanh cánh tư thép góc đều cánh, số lượng của bulông nên dùng chẵn và bố trí đều trên các bản của thép góc cánh.
Số lượng bulông khi bố trí một dãy, bố trí so le, cũng như số lượng hàng ngang của bulông khi bô trí hai hàng dọc cần lấy không lớn hơn 5 trên một bản cánh thép góc.
16. Các yêu cầu bổ sung khi thiết kế kết cấu của công trình ăng-ten (cát) thông tin có chiều cao tầng 500m đổ xuống.
16.1. Khi thiết kế cát cần phải:
– Giảm sức cản khí động của công trình và các bộ phận riêng của nó;
– Phân bố hợp lý nội lực trong các cấu kiện của kết cấu bằng cách dùng ứng suất trước;
– Phối hợp chức năng chịu lực và chức năng kỹ thuật vô tuyến.
16.2. Kết cấu cát thường làm từ thép theo các quy đinh của các tiêu chuẩn của Liên Xô tương ứng (xem bảng 50, phụ lục 1).
16.3. Dây neo và các cấu kiện của giàn ăng –ten được làm từ thép tron mạ kẽm nhóm Cc, cáp chịu lực bện đơn (xoắn lò so) hoặc cáp bệnh chữ thập hai lớp có lõi thép (bó tròn). Khi đó cáp xoắn lò được dùng với nội lực tính toán nhr hơn hoặc bằng 325KH (33T). Dây cáp được bó từ các sợi cáp tròn đường kính lớn nhất theo mác một.Trong các môi trường có mức độ ăn mòn trung bình và lớn cho phép dùng cáp mạ kẽm theo nhóm KC có mức chỉ tiêu như cáp nhóm Cc. Cho phép dùng cáp không bện có biến dạng dài 25%, các đầu được uốn bằng dây kẽm mềm.
Khi dây néo có các sứ cách điện thì dùng cáp thép lõi phi kim loại nếu yêu cầu kỹ thuật thông tin cho phép.
Khi nội lực trong dây neo vượt quá khả năng chịu lực của dây cáp từ các sợi tròn cho phép dùng cáp bọc bằng các sợi mạ kẽm.
16.4. Mút của cáp thép ở cốc neo hoặc ống nối cần được giữ bằng cách rót hợp kim kẽm theo quy định tiêu chuẩn của Liên Xô tương ứng (xem phụ lục9).
16.5. Các cấu kiện của giàn ăng ten dùng dây dẫn theo bảng 64 (phụ lục 3); chỉ cho phép dùng dây đồng khi công nghệ yêu cầu bắt buộc.
16.6. Giá trị cường độ tính toán (nội lực) chịu kéo của dây dẫn và sợi cáp được lấy bằng trị số của lực kéo đứt (theo tiêu chuẩn nhà nước) chia cho hệ số độ tin cậy của vật liệu γvld
a) Đối với dây dẫn bằng nhôm và bằng đồng γvl = 2,5;
b) Đối với dây dẫn thép nhôm khi diện tích tiết diện danh nghĩa (mm2) bằng:
16 và 25 lấy γvl = 2,8
35 đến 95 lấy γvl =2,5
120 và lớn hơn lấy γvl = 2,2
c) Đối với dây tư thép và đồng lấy γvl =2,0
16.7. Khi tính toán kết cấu của cát cần lấy hệ số điều kiện làm việc của phần 4 và phần 11 cũng như theo bảng 45.
16.8. Độ lệch tương đối của cột không được vượt quá các giá trị trong bảng 46 (trừ các cột được thiết kế theo yêu cầu kỹ thuật)
Bảng 45
|
Các cấu kiện của kết cấu |
Hệ số điều kiện làm việc γ |
|
Các thanh ứng suất trước của hệ thanh bụng Mặt bích: – Dạng vành khuyên – Các dạng còn lại Cáp theo của dây neo trụ chỉ hoăch cấu kiện, giàn ăng- ten khi số lượng của chúng: – Từ 3 đến 5 dây trong một lớp hoặc cấu kiện của dây ăng- ten giàn – Từ 6 đến 8 dây trong một lớp – 9 dây trong một lớp hoặc nhiều hơn – Chi tiết giữa các đầu mút cáp ở lỗ luồn cáp bằng kẹp chặt hoặc dập điểm trong ống lồng. Bện cáp ở lỗ luồn cáp hoặc sứ cách điện Các cấu kiện giữ dây neo, dàn ăng-ten, dây dẫn, thanh chống xiên với kết cấu cột và với móng neo. Các thanh neo không có kiên kết ren chịu kéo uốn Các tai đỡ chịu kéo Các liên kết kẹp và các liên kết cáp thép: Cơ khí, trừ các trục khớp Trục khớp khi ép mặt. |
0,9
1,1 0,9
0,8 0,9 0,95
0,75 0,55
0,9 0,65 0,65
0,8 0,9 |
Bảng 46
|
Dạng tải trọng |
Độ lệch tương đối so với chiều cao |
|
Gió Treo một bên của cột ăng–ten khi không có gió |
1/100 1/300 |
16.9. Khi tính toán cột theo bài toán động, trọng lượng của giàn ăng-ten liên kết với cột không được kể đến.
16.10. Cho phép lấy tải trọng gió ở chiều cao giữa các lớp dây trên thân trụ hoặc 2/3 chiều ccaoteo dây mềm (dây neo) và coi như có giá trị phân bố đều trên chiều dài đoạn thân hoặc trên dây.
16.11. Cho phép coi như các nhịp tập trung trong nhịp dây neo trụ do trọng lượng của sứ cách điện và gió như tải trọng phân đều trên dây, lấy tương đương theo giá trị momen dầm.
16.12. Khi tinh toán các cấu kiện nghiêng của cát (dây neo trụ, các cấu kiện của giàn ăng-ten, thanh chống xiên) chỉ kể đến hình chiếu của lực tác dụng, lên phương vuông góc với trục của cấu kiện hoặc dây cung của nó.
16.13. Cần cần phải kiểm tra ổn định của trụ có dây neo cấu kiện riêng của nó do tải trọng sau:
– Lực kéo lắp rắp của dây căng khi không có gió;
– Gió trong phương song song với mặt phẳng thẳng đứng chứa một trong các dây neo.
Khi kiểm tra ổn định tổng thể của trụ, lực tính toán trong thân phải nhỏ hơn lực tới hạn 1,3 lần.
16.14. Trong thiết kế cần ghi rõ giá trị lực kéo lắp rắp của dây cáp neo trụ ở nhiệt độ không khí trung bình của năm tại nơi xây dựng
16.15. Liên kết lắp ghép các cấu kiện của kết cấu được thiết kế bằng bulông thường khi nội lực nhỏ hơn hoặc bằng 197KN (20T) và bằng bulông cường độ cao khi tải trọng đổi dấu và nội lực lớn hơn.
Trong liên kết mặt bích nên dùng bulông cường độ cao
Dùng đường hàn lắp ghép bulông tính phải phù hợp với điều kiện thi công.
16.16. Các thanh xiên có độ mảnh lớn 250 trong hệ thanh bụng chữ thập phải được liên kết với nhau tại chỗ giao nhau.
Độ võng trong phương đúng và ngang của các thanh ngang trong vách cứng và các cấu kiện của sàn công tác không được vượt quá 1/250 chiều dài nhịp.
16.17. Trong kết cấu cột rỗng khoảng cách giữa các vách cứng không được lớn hơn 3 lần kích thước tiết diện ngang trung bình của các cột cũng như đặt tại chỗ có tải trọng tập trung hoặc nơi gẫy góc của các thanh cánh
16.18. Cần bố trí các bulông của liện kết mặt bích thép ống trên một đường tròn đường kính nhỏ nhất có thể có và khoảng cách giữa cá bulông đều nhau.
16.19. Các thanh xiên của giàn tại một mắt phải hội tụ ở điểm giao nhau giữa trục cán và của các thanh xiên. ở chỗ ngàn thanh xiên với mặt bích cho phép lệch tâm, nhưng độ lệch tâm không lớn hơn 3 lần kích thước tiết diện ngang của thanh cách. Khi độ lệch tâm lớn, việc tính toán các thanh phải kể đến mômen ở mắt.
Trong các bản mắt có khe để liên kết thanh xiên từ thép tròn, ở đầu khe, khoan lỗ có đường kính lớn hơn đường kính của thanh xiên đó 1,2 lần
16.20. Dây neo của trụ thân rỗng phải hội tụ ở điểm giao nhau của trục thanh cách và các thanh ngang. Trục quy ước của dây neo là dây cung của nó. Để trách uốn cong các tai liên kết dây neo phải được gia cường bằng các sườn cứng.
16.21. Khoang gối của trụ phải truyền được tải trọng từ thân trụ xuống móng qua khớp gốc.
Trong các điều kiện phù hợp cho phép khoang gối kiên liên ngàm với móng.
16.22. Các giá đỡ và thanh treo của sàn công tác phải bố trí ở mắt chính của thân cột.
16.23. Thiết bị căng (khớp nối) dùng để điều chỉnh chiều dài và giữ dây neo trụ phải được ghì với thiết bị neo bằng cáp mảnh riêng. Chiều dài của cáp mảnh giữa đầu mút của các ống lồng không được nhỏ hơn 20 lần đường kính của cáp.
16.24. Trong các cấu kiện của cát nên dùng chi tiết cơ khí định hình được thí nghiệm trước về độ bền và mỏi.
Ren trên các cấu kiện chịu kéo phải làm theo tiêu chuẩn nhà nước.
16.25. Trên dây neo của trụ, dây dẫn và cáp của giàn ăng-ten ngang cần đặt liên tục các cặp thiết bị giảm rung tần số thấp (từ 1- 2,5 héc) và tần số cao (từ 4 – 40 héc) dạng lò so. Thiết bị giảm rung tần số thấp được chọn theo tần số dao động chính của dây neo, dây dẫn và cáp. Khoảng cách S từ chỗ đầu neo cáp đến điểm treo thiết bị giảm rung được xác định theo công thức:
S ≥ βd P/m
Trong đó:
d – Đường kính của cáp dây dẫn, mm m – Khối lượng 1m cáp dây dẫn, kg
P – Lực căng trước trong cáp dây dẫn, N(kG)
β – Hệ số lấy bằng 0,00041 khi lực kéo P đo bằng N; bằng 0,0013 khi lực kéo P đo bằng kG;
Thiết bị giảm rung tần số cao được đặt cao hơn thiết bị giảm rung tần số thấp một đoạn là S. Khi nhịp dây dẫn và cáp của giàn ăng-ten vượt quá 300m, bộ giảm rung được đặt không phụ thuộc vào tính toán.
Để làm tắt các dao động lớn cần thay đổi chiều dài tự do của cáp (dây dẫn) bằng các nhánh.
16.26. Các công trình ăng-ten phải sơn màu sắc phù hợp với quy định của hàng không dân dụng.
16.27. Các chi tiết cơ khí của dây neo cốt thép, của sứ cách điện cũng như cáp sản phẩm kim loại khác cần được mạ kẽm.
17. Các yêu cầu bổ xung khi thiết kế dầm có lỗ
17.1. Dầm có lỗ được thiết kế từ dầm chữ I cán, thường làm bằng thép có giới hạn chảy từ 580 M∏a (5900 kg/cm2) trở xuống.
Liên kết hàn của bản bụng cần dùng đường hàn đối đầu thấu hết chiều dày.
17.2. Độ bền của dầm khi chịu uốn trong mặt phẳng của bản bụng (hình 22) được kiểm tra theo các công thức bảng 47.
Bảng 47
|
Các công thức để kiểm tra độ bền của tiết diện dầm (hình 22) |
||||
|
Chữ T phía trên |
Chữ T phía dưới |
Gối |
||
|
Điểm 1 |
Mh1/Jx+ Q1a/2W1max ≤ R1γ |
Điểm 3 |
Mh2/Jx+ Q2a/2W2max ≤ R2γ |
|
|
Điểm 2 |
Md1/Jx + Q1a/2W1min ≤ Rb1γ/γb |
Điểm 4 |
Md2/Jx + Q2a/2W2min ≤ Rb2γ/γb |
|
Chú thích: Các kí hiệu dùng trong bảng 47
M – Mômen uống trong tiết diện dầm
Q1, Q2 – Lực cắt do các phần chữ T tiếp nhận
|
![]()
Với Q – Lực cắt trong tiết diện dầm.
J1, J2 – Các mômen quán tính của phần tiết diện chữ T phía trên và phía dưới đối với trục bản thân song song với cánh.
Q3 – Lực cắt trong tiết diện của dầm tại khoảng cách (C = S – 0,5a) cánh gối (hình 22)
Jx – Mômen quán tính của tiết diện dầm có lỗ đối với trục x- x
W1max, W1min – Các mômen kháng lớn nhất và nhỏ nhất của tiết diện chữ T ở trên
W2max, W2min – Các mômen khánh lớn nhất và nhỏ nhất đối với tiết diện chữ T ở dưới.
Rb, Rb1, Rb2, Rb3 – Các cường độ tính toán của thép cán đối với các tiết diện chữ T ở trên và ở dưới.
γ- Hệ số điều kiện làm việc của kết cấu
γb – Hệ số độ tin cậy trong các tính toán theo sức bền tức thời

17.3. ổn định của dầm cần được kiểm tra theo các chỉ dẫn của điều 5.15; Khi có các đặc utrưng hình học được tính đối với tiết diện có lỗ.
Không cần kiểm tra ổn định của dầm khi đã thoả mãn các yêu cầu của điều 5.16.
17.4. Tại các tiết diện gối nếu h0δb > 40 (δb – Chiều dày nhỏ nhất của bản bụng) thì cần gia cường bản bùng bằng các sườn cứng và phải kiểm tra theo các yêu cầu của điều 7.12, khi đó bên tiết diện gối cần lấy C ≥ 250 mm (hình 22).
17.5. Tại các tiết diện có dầm khi tỷ số ho/δb > 2,5
hoặc khi vượt quá chỉ dẫn ở điều 5.13 thì phải đặt các sườn cứng theo yêu cầu của điều 7.10.
Chỉ được đặt tải trọng tập trung tại các tiết diện không có lỗ giảm yếu.
Chiều cao bản bụng của tiết diện chữ T chịu nén phải thoả mãn các yêu cầu của điều 7.18, trong công thức (91) dùng
= 1,4 .
17.6. Khi xác định độ võng của dầm có tỉ số l/h0 ≥ 12(với l – là nhịp của dầm) thì mômen quán tính của tiết diện dầm có lỗ phải được nhân với hệ số 0,95.
Phụ lục 1
Bảng 48 – Giá trị hệ số độ tin cậy của vật liệu thép cán và thép ống










Phụ lục 2
Vật liệu dùng cho liên kết kết cấu thép và cường độ tính toán

Bảng 55- Cường độ tiêu chuẩn và cường độ tính toán của kim loại đường hàn trong liên kết hàn với đường hàn góc
|
Loại que hàn theoГOCT 9467-75 |
Số hiệu dây hàn |
Rtc.gMpa(KG/cm2 ) |
RgMpa(KG/cm2) |
|
42, 42A 46, 45A
50, 50A |
CB– 08, CB– 08A CB– 08 A CB– 08 2CII CB -10 A CB– 08 2C IIIIAH8 IIIIAH3 |
410(4200) 450(4600)
490(5000) |
180(1850) 200(2050)
215(2200) |
|
60 |
CB-08 2C CB- 08 2CII CB– 10HMA,C-10 2 |
590(6000) |
240(2450) |
|
70 |
CB– 10X 2CMA CB– 08XH2 MIO |
685(7000) |
280(2850) |
|
85 |
– |
835(8500) |
340(3450) |
|
Chú thích: * Chỉ dùng cho đường hàn có chiều cao hh<=8mm trong các kết cấu bằng thép có giới hạn chảy là 440MPa(4500 KG/cm2) và lớn hơn. |
|||
Bảng 56- Cường độ tiêu chuẩn của kim loại, đường hàn tự động hoặc nửa tự động
|
Mác của đường hàn(theo ГOCT 2246-70) để hàn tự động và nửa tự động |
Cường độ tiêu chuẩn của kim loại đường hàn Rtc.gMpa(KG/cm2) |
||
|
Dưới thuốc hàn ГOCT 9087-81 |
Dây hàn trong hơi cácbon theo ГOCT 8050- 76 |
Dây hàn có lõi thuốc hàn |
|
|
1 |
2 |
3 |
4 |
|
CB – 08 CB – 08A |
– |
– |
410(4200) |
|
CB – 08ГA |
– |
– |
450(4600) |
|
CB – 10ГA |
|
-AU8 -AU3 |
490(5000) |
|
CB– 10HMA CB10*2 |
CB– 08 Г2C CB-08 Г2CII |
– |
590-(6000) |
|
CB-1 08XH2 ГMIO |
CB 10X Г2CMA |
– |
685(7000) |
|
Khi hàn bằng dây hàn CB– 08 Г 2C và CB-08 Г 2CII giá trị tiêu chuẩn của cường độ tức thời kim loại hàn theo mức bền tức thời lấy bằng 590 Mpa(6000 KG/cm2). Đối với những đường hàn có chiều dày hh ≤ 8mm trong những kết cấu bằng thép có giới hạn chảy từ 440Mpa (4500KG/cm2 ) trở lên. Chú thích: Dây hàn có lõi thuốc hàn mác IIII-AH8 hoặc dùng theo MTY -353-71; Mác IIII- AH3 TYU C 22-66. |
|||
Bảng 57- Các yêu cầu đối với bu lông trong các điều kiện sử dụng khác nhau
|
Bulông trong các kết cấu |
Điều kiện làm việc của bulông |
Cấp độ bền |
|
Không tính đến mỏi |
Kéo hoặc cắt |
4.6,5.6,4.8,5.8,6.6 |
|
Có tính đến mỏi |
Kéo hoặc cắt |
4.6,5.6,6.6 |
|
|
Cắt |
4.8,5.8 |
|
Chú thích: 1) Trong các liên kết không tính toán cho phép sử dụng bulông thường và bulông thô 2) Khi đặt hàng các bu lông loại độ bền 6.6,8.8 cần chỉ rõ mác thép 3) Khi đặt hàng các bu lông loại độ bền 4.8,5.8 cần chỉ rõ không được dùng thép sản xuất theo phương pháp tự động. |
||
Bảng 58- Cường độ tính toán của bulông chịu kéo và chịu cắt
|
Trạng thái ứng suất |
Kí hiệu |
Cường độ tính toán của các loại bu lông MPa(KG/cm2) |
|||||
|
4.6 |
4.8 |
5.6 |
5.8 |
6.6 |
8.8 |
||
|
Cắt |
Rblc |
150(1500) |
160(1600) |
190(1900) |
200(2000) |
230(2300) |
320(3200) |
|
Kéo |
Rblk |
175(1750) |
160(1600) |
210(2100) |
200(2000) |
250(2500) |
400(4000) |
|
Chú thích: Trị số trong bảng là cường độ tính toán của bulông trong liên kết một bulông được tính theo công thức của phần 3 và làm tròn đến 5MPa(50KG/cm2) |
|||||||
Bảng 59- Cường độ tính toán ép mắt các cấu kiện trong liên kết bulông
|
Giới hạn bền của cấu kiện liên kết MPa(KG/cm2) |
Cường độ tính toán ép mắt các cấu kiện liên kết trong liên kết bulông MPa(KG/cm2) |
|
|
Bulông tinh |
Bulông thường và thô |
|
|
345(35) |
365(3700) |
335(3400) |
|
355(36) |
385(3900) |
350(3550) |
|
365(37) |
400(4050) |
365(3700) |
|
370(38) |
410(4250) |
370(3850) |
|
380(39) |
430(4400) |
385(4000) |
|
390(40) |
445(4600) |
400(4150) |
|
400(41) |
465(4750) |
415(4300) |
|
410(42) |
485(4950) |
435(4450) |
|
420(43) |
500(5150) |
450(4600) |
|
430(44) |
520(5350) |
465(4800) |
|
440(45) |
540(5550) |
485(4950) |
|
450(46) |
560(5750) |
500(5100) |
|
460(47) |
580(5950) |
520(5300) |
|
470(48) |
600(6150) |
535(5450) |
|
480(49) |
620(6350) |
555(5650) |
|
490(50) |
640(6550) |
570(5850) |
|
500(51) |
665(6750) |
590(6000) |
|
510(52) |
685(7000) |
610(6200) |
|
520(53) |
705(7200) |
630(6400) |
|
530(54) |
730(7400) |
645(6600) |
|
540(55) |
750(7600) |
665(6800) |
|
550(56) |
775(7900) |
685(7000) |
|
560(57) |
800(8100) |
705(7200) |
|
570(58) |
820(8350) |
725(7400) |
|
580(59) |
845(8600) |
74(57600) |
|
590(60) |
870(8850) |
– |
|
Giải thích: Giá trị cường độ tính toán ở bảng này được tính theo công thức của phần 3 tiêu chuẩn này và được làm tròn đến 5MPa (50KG/cm2). |
||
Bảng 60- Cường độ tính toán của bulông móng và bulông dạng chữ u
|
Đường kính bulông mm |
Cường độ tính toán Mpa(KG/cm2) |
|||||
|
Bulông móng bằng thép mác |
Bulông hình chữ u bằng thép mác |
|||||
|
BCT3KII 2 |
09Г2C |
10Г2C1 |
BCT3KII2 |
09 Г2C |
10 Г2C1 |
|
|
12-20 |
145(1500) |
185(1900) |
190(1950) |
185(1900) |
235(2400) |
240(2450) |
|
21-32 |
145(1500) |
185(1900) |
190(1950) |
185(1900) |
230(2350) |
235(2450) |
|
33-60 |
145(1500) |
180(1850) |
180(1850) |
185(1900) |
225(2300) |
225(2300) |
|
61-80 |
145(1500) |
175(1800) |
170(1750) |
185(1900) |
220(2250) |
215(2200) |
|
81-100 |
145(1500) |
170(1750) |
170(1750) |
185(1900) |
215(2200) |
215(2200) |
|
101-140 |
145(1500) |
170(1750) |
“ |
185(1900) |
215(2200) |
|
|
Chú thích: Giá trị cường độ tính toán trên xác định theo các công thức của phần 3 và được làm tròn đến 5MPa (50KG/cm2) |
||||||
Phụ lục 3
Bảng 61- Tính chất cơ học của bulông cường độ cao theo GOCT 22356- 77
|
Đường kính danh nghĩa của ren |
Mác thép theo ГOCT 4543-71 |
Cường độ bền nhỏ nhất N/mm2 (KG/mm2) |
Đường kính danh nghĩa của ren |
Mác thép theo ГOCT 4543-71 |
Cường độ bền nhỏ nhất N/mm2 (KG/mm2) |
|
Từ 16 đến 27 |
40X |
1100(110) |
36 |
40X |
750(75) |
|
38XC,40X A |
1350(135) |
30X3M |
1100(110) |
||
|
30X3M 30X2HM A |
1550(155) 1550(155) |
42 |
40X 30X3M |
650(65) 1000(100) |
|
|
30 |
40X |
950(95) |
48 |
40X |
600(60) |
|
30X3M 35X2A |
1200(120) |
30X3M |
900(90) |
Bảng 62- Diện tích tiết diện của bulông theo CTC B 180-75 CTC B 181-75 và CTC B 182-75
|
d(mm) |
16 |
18* |
20 |
22* |
24 |
27* |
30 |
36 |
42 |
48 |
|
Fbl (cm2) |
2,01 |
2,54 |
3,14 |
3,8 |
4,52 |
5,72 |
7,06 |
10,17 |
13,85 |
18,09 |
|
Fbl (cm2) |
1,57 |
1,92 |
2,45 |
3,03 |
3,52 |
4,59 |
5,60 |
8,26 |
11,2 |
14,72 |
|
Không nên dùng loại bulông có đường kính có dấu * |
||||||||||
Bảng 63- Các đặc trưng vật lý của vật liệu
Các đặc trưng vật lý của vật liệu cho kết cấu thép
|
TT |
Các đặc trưng |
Giá trị |
|
1
2 3 |
Tỷ trọng KG/m3 Thép cán và khối đúc bằng thép Khối đúc bằng gang Hệ số dãn dài vì nhiệt Mô đun đàn hồi EMPa(KG/cm2) Thép cán và khối đúc bằng thép Khối đúc bằng gang mác CH15 Khối đúc bằng gang mác CH20, CH25, CH30 Các chùm hoặc bó sợi thép song song |
7850 7200 0,12.10-4
2,06.105 (2,1.106) 0,83.105 (0,85. 106) 0,98.105 (1,0. 106) 1,96.105 (2,0. 106) |
|
4 5 |
Các thép xoắn và cáp thép xoắn có lớp bọc ngoài Các thép bện đôi Các thép bện đôi có lõi không phải kim loại Môđun trượt của thép và khối đúc bằng thép G,MPa(KG/cm2) Hệ số nở ngang(hệ số Poát xông) |
1,67.105(1,7.106) 1,47.105 (1,5.106) 1,27.105 (1,3. 106) 0,78.105(0,81. 106 ) 0,3 |
|
Chú thích: Trị số môđun đàn hồi ở bảng này của các dây cáp được kéo căng trước với lực không nhỏ hơn 60% lực kéo đứt toàn bộ dây cáp |
||
Bảng 64- Các đặc trưng vật lý của dây và sợi kim loại
|
Tên vật liệu |
Mác và tiết diện ngang mm2 |
Môđun đàn hồi EMPa(KG/cm2) |
Hệ số nở dài vì nhiệt |
|
Sợi nhôm theo ГOCT839-80E Sợi đồng theo ГOCT839-80E Sợi thép nhôm theo ГOCT839-80E khi tỷ số giữa diện tích tiết diện nhôm đối với thép bằng 6-6,25 0,65 4,29-4,39 7,71-8,04 1,46 12,22 18,2-18,5 Sợi thép đồng theo ГOCT 3822-79 có đường kính (mm) 1,6 – 4 6 |
A,AKII,16-800 M; 4-800 AC,ACK ACKII,QCKC 10 và lớn hơn 95 120 và lớn hơn 150 và lớn hơn 185 và lớn hơn 330 400-500 BCM1
2,0-12,5 28,2 |
0,630. 105 (0,642. 106) 1,3. 105(1,326. 106)
0,825.105(0,841.106) 1,46.105(1,489. 106) 0,89.105 (0,907.106) 0,77.105(0,785. 106) 1,14.105(1,163. 106) 0,665.105(0,678. 106) 0,665.105(0,678. 106)
1,870.105(1,906. 106) 1,9.105(1,937. 106) |
0,23. 10-4 0,17.10-4
0,912.10-4 0.139.10-4 0,183.10-4 0,198.10-4 0,155.10-4 0,212.10-4 0,212.10-4
0,127.10-4 1,24. 10-4 |
|
Chú thích: Trị số khối lượng các sợi và dây lấy trên theo ГOCT839- 80E và ГOCT3822- 79 |
|||
Phụ lục 4
Hệ số điều kiện làm việc cho thép góc đơn chịu kéo được liên kết bằng bulông trên một bản cánh
Hệ số điều kiện làm việc J khi tính toán theo độ bền của tiết diện các cấu kiện bằng một thép góc đơn (theo công thức 6) mà những cấu kiện này được liên kết một bản cánh bằng bulông đặt trên một hàng với thép có giới hạn chảy nhỏ hơn hoặc bằng 380 MPa(3900KG/cm2) được xác định theo công thức sau:
![]()
Trong đó:
Ftb – là diện tích tiết diện thực của thép góc
Fthl – là diện tích phần tiết diện nằm giữa mép lỗ và mép bản cánh của thép góc liên kết
α1,2 – Các hệ số xác định theo bảng 65
Bảng 65- Hệ số α1 và α2
|
Hệ số |
Giá trị D1 và D2 các khi số bulông trên một hàng là |
|||
|
2 |
3 |
4 |
5 |
|
|
α1 α2 |
1,82 0,195 |
1,49 0,37 |
1,20 0,48 |
0,87 0,61 |
Đối với liên kết 1 bulông khi khoảng cách dọc theo lực tính từ mép của cấu kiện đến trọng tâm bulông 2d >= a >=1,35d thì hệ số điều kiện làm việc gamma trong công thức 6 được xác định theo công thức:
(159)
Trong đó
β=1 khi a=2d
β=0,85 khi a=1,5d
β=0,65 khi a=1,35d
Hệ số điều kiện làm việc γ trong phụ lục này không tính đến đồng thời với hệ số γ trong phần 4 bảng 7.
Phụ lục 5
Hệ số để tính toán theo độ bền của các cấu kiện kết cấu thép khi kể đến sự phát triển biến dạng dẻo


Phụ lục 6
Các hệ số để tính toán ổn định các cấu kiện chịu nén đúng tâm, nén lệch tâm và nén uốn
Xác định hệ số chiều dài tính toán của cột
Cột một bậc:
Hệ số chiều dài tính toán μ1 đối với phần dưới của cột một bậc được xác định tuỳ thuộc vào tỉ số:

(trong đó j1, j2, l1,l2 là mô men quán tính của tiết diện và chiều dài tương ứng của phần cột dưới và phần cột trên (xem hình 23) và :
![]()
Khi đầu cột trên tự do thì tra theo bảng 68
Khi đầu trên được kẹp chặt không cho xoay nhưng có thể chuyển dịch tự do thì tra theo bảng 69.
Khi đầu trên tựa khớp hoặc ngàm chặt không cho xoay thì giá trị của hệ số à1 đối với phần cột dưới được xác định theo công thức:
![]()
Trong đó:
μ12– hệ số tính chiều dài tính toán của phần cột dưới khi N1=0
μ11– hệ số tính chiều dài tính toán của phần cột dưới khi N2=0
Trị số của các hệ số μ12 và μ11 sẽ được lấy như sau: Khi đầu cột trên tựa khớp theo bảng 70
Khi đầu trên ngàm chặt không cho xoay theo bảng 71
Hệ số chiều dài tính toán à2 đối với phần cột trên trong tất cả mọi trường hợp đều được xác định theo công thức:
(161)
Cột hai bậc:
Hệ số chiều dài tính toán à1 đối với phần cột dưới của cột hai bậc (hình 24) với đầu trên của cột được liên kết như trong bảng 72 và được tính theo công thức:
(162)
Trong đó:
μm1, μm2, μm3 – Các hệ số xác định theo bảng 72 cũng như cột một bậc dựa theo sơ đồ hình 25
β1=N1/N3; β2 = N2/N3; δ2=l2/l1
N1,N2,N3 – là các lực dọc đặt tương ứng tại các bậc và đỉnh cột (hình 24 và 25)
J1m – Mô men quán tính trung bình của các đoạn cột l1,l2 và được xác định theo công thức:
(163)
J2m – Mô men quán tính trung bình của các đoạn cột l2, l3 và được xác định theo công thức:
(164)
J1,J2,J3 và l1, l2,l3 – là mô men quán tính của tiết diện và chiều dài tương ứng của các
đoạn cột dưới, giữa và trên cùng.
Hệ số chiều dài tính toán μ2 đối với phần cột trên giữa l2 được xác định theo công thức sau:
μ2 = μ1 / α2 (165)
Hệ số chiều dài tính toán à3 đối với phần cột trên l3 được xác định theo công thức sau:
μ3 = μ1 / α3 ≤ 3 (166)
Trong đó:







Bảng 72- Hệ số uốn dọc 3 của cấu kiện nén đúng tâm
|
Độ mảnh |
Hệ số 3 đối với các cấu kiện bằng thép có cường độ tính toán R,MIIa(KG/cm2) |
|||||||||||
|
200 (2050) |
240 (2450) |
280 (2850) |
320 (3250) |
360 (3650) |
400 (4100) |
440 (4500) |
480 (4900) |
520 (5300) |
560 (5700) |
600 (6100) |
640 (6550) |
|
|
10 20 30 40 |
988 967 939 906 |
987 962 931 894 |
985 959 924 883 |
984 955 917 873 |
983 952 911 863 |
982 949 905 854 |
981 946 900 846 |
980 843 895 849 |
979 941 891 832 |
978 938 887 825 |
977 936 883 820 |
977 934 879 814 |
|
50 |
869 |
852 |
836 |
822 |
809 |
796 |
785 |
775 |
764 |
746 |
729 |
712 |
|
60 |
827 |
805 |
785 |
766 |
749 |
721 |
696 |
672 |
650 |
628 |
608 |
588 |
|
70 |
782 |
754 |
724 |
687 |
654 |
623 |
595 |
568 |
542 |
518 |
494 |
470 |
|
80 |
734 |
686 |
641 |
602 |
566 |
532 |
501 |
471 |
442 |
414 |
386 |
359 |
|
90 |
665 |
612 |
565 |
522 |
483 |
447 |
413 |
380 |
349 |
326 |
305 |
287 |
|
100 |
599 |
542 |
493 |
448 |
408 |
369 |
335 |
309 |
286 |
267 |
250 |
235 |
|
110 |
537 |
478 |
427 |
381 |
338 |
306 |
280 |
258 |
239 |
223 |
209 |
197 |
|
120 |
479 |
419 |
366 |
321 |
287 |
260 |
237 |
519 |
203 |
190 |
178 |
167 |
|
130 |
425 |
364 |
313 |
276 |
247 |
223 |
204 |
189 |
175 |
163 |
153 |
145 |
|
140 |
376 |
315 |
272 |
240 |
215 |
195 |
178 |
164 |
153 |
143 |
134 |
126 |
|
150 |
328 |
276 |
239 |
211 |
189 |
171 |
157 |
145 |
134 |
126 |
118 |
114 |
|
160 |
290 |
244 |
212 |
187 |
167 |
152 |
139 |
129 |
120 |
112 |
105 |
099 |
|
170 |
259 |
218 |
189 |
167 |
150 |
136 |
125 |
115 |
107 |
100 |
094 |
089 |
|
180 |
233 |
196 |
170 |
150 |
135 |
123 |
112 |
104 |
097 |
091 |
085 |
081 |
|
190 |
210 |
177 |
154 |
136 |
122 |
111 |
102 |
094 |
088 |
082 |
077 |
073 |
|
200 |
191 |
161 |
140 |
124 |
111 |
101 |
093 |
086 |
080 |
075 |
071 |
067 |
|
210 |
174 |
147 |
128 |
113 |
102 |
093 |
085 |
079 |
074 |
069 |
065 |
062 |
|
220 |
160 |
135 |
118 |
104 |
094 |
086 |
077 |
073 |
068 |
064 |
060 |
057 |
|
Chú thích: giá trị 3 cho trong bảng đã được tăng lên 1000 lần |
||||||||||||





Phụ lục 7
Hệ số cmax đối với tiết diện chữ t và chữ I
1) Đối với tiết diện chữ I có một trục đối xứng (hình 26) hệ số Cmax được tính theo công thức sau:
(167)
Trong đó :

![]()
ex=Mx/N – Là độ lệch tâm của điểm đặt lực nén đối với trục x – x lấy theo dấu của nó (như trên hình 26 thì ex sẽ lấy dấu “cộng”.
hc – là khoảng cách giữa trục của cánh

ở đây J1 và J2 là mômen quán tính tương ứng của cánh lớn và cánh nhỏ đối với trục y-y
![]()
Jk và β là các trị số xác định theo công thức đưa trong bảng 80 và 81
2) Đối với tiết diện chữ T hệ số Cmax được xác định như tiết diện chữ I khi đó lấy J2=0; b2=0 và δ2 = 0 (hình 26) để tính Jk
Hệ số φd để tính dầm về ổn định
1. Đối với dầm tiết diện chữ I có 2 trục đối xứng để xác định hệ số φd cần thiết phải tính hệ số φ1 theo công thức:
(168)
ở đây hệ số Y lấy theo bảng 78 và 79 phụ thuộc vào đặc trưng của tải trọng và tham số α được tính theo công thức:
a) Đối với thép hình chữ I
(169)
Trong đó:
l0– là chiều dài tính toán của dầm hay con sơn xác định theo các yêu cầu của mục 5-15
h-là chiều cao toàn bộ tiết diện.
Jk là mômen quán tính khi xoắn
b) Đối với dầm chữ I tổ hợp hàn bởi 3 tấm hay dầm chữ I tổ hợp bulông cường độ cao:
(170)
Những ký hiệu ở đây là:
– Đối với dầm chữ I hàn;
δb – Chiều dày bản bụng dầm
bc, δc – Chiều rộng và chiều dày cánh dầm;
hc – khoảng cách giữa các trụ của bản cánh.
a=0,5hc
– Đối với dầm chữ I tổ hợp,bulông cường độ cao
δb – Tổng chiều dày của bản bụng và chiều dày của cánh thép góc đặt đứng.
Bc – Chiều rộng của bản cánh
δc – Tổng chiều dày của bản cánh và chiều dày cánh thép góc đặt nằm ngang hc- khoảng cách giữa hai trục của bản dày cánh trên và cánh dưới
a – là tổng chiều dài bán cánh và chiều cao của cánh thép góc đặt đứng.
Giá trị hệ số d trong công thức (34) cần phải lấy như sau:
– Khi φ1≤0,85 thì φd=31
– Khi φ1>0,85 thì φd =0,68 +0,2131 và không lớn hơn 1,0
2. Đối với những dầm tiết diện chữ I có một trục đối xứng (hình 27) để xác định hệ số φd cần phải tính các hệ số φ1 và φ2 theo các công thức:

Trong đó:
h1- Khoảng cách từ trọng tâm tiết diện đến trục của bản cánh rộng hơn h2-Khoảng cách từ trọng tâm tiết diện đến trục của bản cánh hẹp hơn
L0-Chiều dà tính toán xác định như trong công thức(16 d 9)
Y-Hệ số xác định theo công thức
(173)
Các hệ số D, B, C trong công thức (173) được xác định theo công thức 8,0 và 81 Đối với tiết diện chữ khi 0,9 <n <1,0t thì hệ số Y được nội suy tuyến tính giữa các số xác định theo công thức (173).
Đối với tiết diện chữ với n=0,9 và đối với tiết diện chữ T với n=1,
Đối với tiết diện chữ T khi chịu tải trọng phân bố đều hay tải trọng tập trung mà α <40 thì hệ số Y được nhân lên (0,8+0,004 α ).
Khi n > 0,7 và 5< 10/b2 ≤ 25 hệ số φ 2 cần được nhân với hệ số (1,025 – 0,015 10/b2) và không lấy lớn hơn 0,95
Trong những dầm cánh nén nhỏ hơn tỉ số 10/b2 không được lớn hơn 25
Hệ số φd trong công thức 34 tra theo bảng 82 và không lớn hơn1,0
3. Đối với dầm tiết diện chữ [ hệ số φd xác định như dầm tiết diện chữ đối xứng.Khi đó hệ số α tính theo công thức (170) và trị số φ1 được nhân thêm với hệ số 0,7
Bảng77-Hệ số Y đối với dầm chữ có hai trục đối xứng
|
Số lượng điểm cố kết cánh nén trong nhịp |
Dạng tải trọng tác dụng |
Vị trí đặt tải |
Công thức tính Y khi trị số α |
|
|
0,1< α ≤ 40 |
40< α ≤ 400 |
|||
|
Không cố kết |
Tập trung |
Cánh trên Cánh trên |
Y =1,75+0,09 α Y =5,05+0,09 α |
Y =3,3+0,053 α-4,5.10-5 α2 Y =6,6+0,053 α-4,5.10-5 α2 |
|
Phân bố đều |
Cánh trên Cánh trên |
Y =1,6+0,08 α Y =3,8+0,08 α |
Y =3,15+0,04 α-2,7.10-5 α2 Y =5,35+0,04 α-2,7.10-5 α2 |
|
|
Có 2 (hoặc lớn hơn) điểm cố kết chia nhịp thành những phần bằng nhau |
Bất kì |
Bất kì |
Y =2,25+0,07 α |
Y=3,60+0,04 α -3,5.10-5 α 2 |
|
Có một điểm trong nhịp |
Tập trung ở giữa nhịp |
Bất kì |
Y =1,75Y1 |
Y =1,75Y1 |
|
Tập trung ở 1/4 nhịp |
Cánh trên Cánh dưới |
Y =1,44Y1 Y =1,6Y 1 |
Y=1,14Y1 Y=1,6Y1 |
|
|
Phân bố đều |
Cánh trên Cánh dưới |
Y =1,44Y1 Y =1,3Y1 |
Y =1,44Y1 Y =1,3Y1 |
|
|
Chú thích: Trị số Y1 lấy bằng Y khi cánh nén của dầm được cố kết từ hai đIểm trở lên trong nhịp |
||||
Bảng 78-Hệ số Y đối với dầm chữ có hai trục đối xứng
|
Dạng trọng Tải |
Vị trí đặt Tải |
Công thức tính Y theo cánh nén của dầm không được cố kết và với trị số α là |
|
|
4 ≤ α ≤ 28 |
28 < α ≤ 100 |
||
|
Tập trung vào đầu mút con sơn |
Cánh trên Cánh dưới |
Y =1,0+0,16 α Y =6,2+0,08 α |
Y =4,0+0,05 α Y =7,0+0,05 α |
|
Phân bố đều |
Cánh trên |
Y =1,42 α |
|
|
Chú thích: Khi cánh nén của con sơn được cố kết theo phương ngang ở đầu mút và trên toàn bộ chiều dài thì hệ số Y được xác định theo bảng 77. Khi cánh nén của con sơn chỉ được cố kết ở đầu mút thì hệ số Y xác định như đối với dầm không được cố kết ngang. |
|||
Bảng 79-Hệ số D và C
|
Dạng Tải trọng |
D |
Các số C với loại tiết diện |
|
|
Chữ I n ≤ 0,9 |
Chữ T n=1 |
||
|
Tập trung ở giữa nhịp Phân bố đều Uốn thuần tuý |
3,256 2,247 4,315 |
0,330 μ 0,481 μ 0,101 μ |
0,0826 α 0,1202 α 0,0253 α |
Trong đó:

Với J1,J2 là mô men quán tính tương ứng của cánh lớn và cánh nhỏ đối với trục đối xứng của tiết diện;
α – Được tính theo công thức (169) trong đó mô men quán tính xoắn được tính như sau:
![]()
Với bi và δi là chiều rộng và chiều dày tương ứng của các tấm tổ hợp thành tiết diện;
δ =1,25 đối với dầm tiết diện chữ và có một trục đối xứng
δ =1,20 đối với dầm tiết diện chữ T

Phụ lục 8




Phụ lục 9
Bảng giới thiệu các tiêu chuẩn Liên xô tương ứng
1. Đai ốc, vòng đệm theo ГOCT 22354-77 và ГOCT 22355-77
2. Cáp xoắn theo ГOCT 3602-80; ГOCT 3063-80, ГOCT 3064-80
3.Cáp bộn hai lớp theo ГOCT 3066-80; ГOCT3067-74; ГOCT3068-74; ГOCT3081-74;ГOCT7669-80
4.Cáp chịu lực có lớp bọc ngoài theo ГOCT3090 -73; ГOCT18900-73; ГOCT18901-73; ГOCT18902-73; ГOCT7675-73; ГOCT7676-73;
5. Cáp bện và bó từ những sợi thép song song theo ГOCT7372-79
6. Thép các bon mác 35 và 45 của nhóm đúc II và III theo ГOCT 977 – 75
7. Hợp kim kẽm IIAM9-1,5 theo ГOCT 21437 – 75
Phụ lục 10
Kí hiệu các đại lượng được dùng
Fng – Diện tích tiết diện nguyên
Fth– Diện tích tiết diện thực
Fblth– Diện tích tiết diện thực của bulông
Fx– Diện tích tiết diện của thanh xiên
Fb– Diện tích tiết diện của bản bụng
Fh– Diện tích tiết diện đường hàn góc
Fcb– Diện tích tiết diện của kim loại cơ bản ở biên nóng chảy
E – Mô đun đàn hồi
F- Lực
G – Mô đun trượt
Jnh – Mô men quán tính của tiết diện nhánh
Jc,Jxi – Mô men quán tính của thanh cánh và thanh xiên của giàn
Js,Jbg– Các mô men quán tính tiết diện của sườn và bản giàn
Jsd – Mô men quán tính của tiết diện dọc
Jk– Mô men quán tính khi xoắn
Jx,Jy– Các mô men quán tính của tiết diện nguyên đói với các trục tương ứng x-x,y-y
N- Lực dọc
Np– Nội lực phụ
Nnh– Lực dọc do mô men trong nhánh cột
Q- Lực cắt (lực trượt)
Qqư – Lực cắt qui ước đối với các cấu kiện liên kết
Qb– Lực cắt qui ước trên hệ thống bản giàn nằm trong một mặt phẳng
R- Cường độ tính toán của thép khi chịu kéo, nén uốn theo giới hạn chảy
Rb– Cường độ tính toán của thép khi chịu kéo, nén uốn theo sức bền tức thời
Rc– Cường độ tính toán của thép khi chịu cắt
R δ – Cường độ tính toán của thép khi chịu kéo theo hướng chiều dày
Rmk,bl – Cường độ tính toán khi chịu lực kéo của bulông
Rblck – Cường độ tính toán khi chịu lực kéo của bulông cường độ cao
Rblem – Cường độ tính toán khi chịu ép mặt của liên kết
Rblc – Cường độ tính toán khi chịu cắt của bulông
Rblk – Cường độ tính toán khi chịu kéo của bulông
Ruk,bl – Cường độ tính toán khi chịu kéo của bulông hình chữ U
Re,lăn – Cường độ tính toán khi chịu ép theo đường kính của con lăn (khi tiếp xúc tự do trong các kết cấu có độ di động hạn chế)
Rd – Cường độ tính toán khi chịu kéo của dây cường độ cao
Rtem – Cường độ tính toán áp mặt cục bộ trong các khớp trụ (cổ trục) khi tiếp xúc chặt
Rem – Cường độ tính toán của thép khi ép mặt theo mặt phẳng tì đầu (có gia công phẳng)
Rg – Cường độ tính toán của đường hàn góc khi chịu cắt (quy ước) theo kim loại đường hàn
Rbg – Cường độ tính toán của đường hàn góc khi chịu cắt (quy ước) theo kim loại ở biên nóng chảy
Rh – Cường độ tính toán của liên kết hàn đối đầu khi chịu nén kéo uốn theo giới hạn chảy
Rhb – Cường độ tính toán của liên kết hàn gối đầu khi chịu nén kéo uốn theo sức bền tức thời
Rtc.g – Cường độ tiêu chuẩn của kim loại đường hàn theo sức bền tức thời
Rhc – Cường độ tính toán của liên kết hàn đối đầu khi chịu cắt
σb – Sức bền tức thời của thép khi kéo đứt
σc – Giới hạn chảy của thép
σblb – Cường độ của thép, bulông, lấy bằng sức bền tức thời theo tiêu chuẩn quốc gia và các điều kiện kĩ thuật dùng cho bulông
S – Mô men tính của phần bị trượt của tiết diện nguyên đối với trục trung hoà
Wx,Wy– Các mô men kháng của tiết diện nguyên đối với các trục tương ứng-x,y-y
b- Bề rộng
btt– Bề rộng tính toán
bc– Bề rộng của cánh
bs– Bề rộng của phần nhô ra của sườn, của các phần chia ra
C, Cx, Cy– Các hệ số dùng để tính toán độ bền có kể đến sự phát triển của biến dạng dọc khi uốn theo các trục tương ứng X – X, Y – Y
e- Độ lệch tâm của lực h- Chiều cao
hc– Chiều cao giữa trục và các tấm cạnh
h0– Chiều cao của tính toán của bản bụng
hb– Chiều cao của bản bụng
r- Bán kính quán tín của tiết diện
rmin– Bán kính nhỏ nhất của tiết diện
rx,ry– Các bán kính của tiết diện đối với các trục tương ứng X – X, Y – Y
hh-Chiều cao đường hàn góc
l- Chiều dài nhịp
lc – Chiều dài của thanh đóng cột,thanh chống ld – Chiều dài của thanh xiên
l0 – Chiều dài tính toán
lm-Chiều dài các khoang cánh của giàn hoặc cột
lb – Chiều dài của bản
lh – Chiều dài của đường hàn
Lx,Ly – Các chiều dài tính toán của cấu kiện trong các mặt phẳng vuông góc với các trục tương ứng x-x và y-y
m – Độ lệch tương đối(m=e.Fng/W)
m1– Độ lệch tâm tính đổi (m1=mη)
δ – Chiều dày
δb, δc – Các chiều dày của bản cánh và bản bụng
βb, βc– Các hệ số để tính toán đường hàn góc tương ứng với kim loại của đường hàn và ở biên nóng chảy
γlk – Hệ số làm việc của liên kết
γ – Hệ số điều kiện làm việc của kết cấu
γcn– Hệ số độ tin cậy theo chức năng
γvn– Hệ số tin cậy theo vật liệu
γb– Hệ số tin cậy trong các tính toán theo sức bền tức thời
η – Hệ số ảnh hưởng hình dạng của tiết diện
λ -Độ mảnh
-Độ mảnh quy ước (
= λ
_
λtg.dg – Độ mảnh tương đương của thanh tiết diện rỗng
tgdg – Độ mảnh tương đương qui ước của thanh tiết diện rỗng (
tgdg = λtgdg ![]()
b – Độ mảnh qui ước của bản bụng
λx, λy – Các độ mảnh tính toán của cấu kiện trong các mặt phẳng vuông góc với các trục tương ứng X – X, Y – Y
n– Hệ số biến dạng của thép
σcb– ứng suất cục bộ
σx, σy– Các ứng suất pháp song song với các trục tương ứng X – X, Y – Y
t(xy) – ứng suất tiếp
φ(xy)– Hệ số uốn dọc
φd– Hệ số giảm cường độ tính toán khi mất ổn định dạng uốn xoắn
φlt– Hệ số giảm cường độ tính toán khi nén lệch tâm





