Tiêu chuẩn Việt Nam TCVN 6068:1995 về xi măng poóc lăng bền sunfat – phương pháp xác định độ nở sunfat đã được thay thế bởi Tiêu chuẩn quốc gia TCVN 6068:2004 về Xi măng poóc lăng bền sunphat – Phương pháp xác định độ nở sunphat .
Nội dung toàn văn Tiêu chuẩn Việt Nam TCVN 6068:1995 về xi măng poóc lăng bền sunfat – phương pháp xác định độ nở sunfat
TIÊU CHUẨN VIỆT NAM
TCVN 6068 : 1995
XI MĂNG POÓC LĂNG BỀN SUN PHÁT – PHƯƠNG PHÁP XÁC ĐỊNH ĐỘ NỞ SUN PHÁT
Sulfate resisting portland cement – Test methods for potential expansion of mortars exposed to sulfate
1. Phạm vi áp dụng
Tiêu chuẩn này quy định phương pháp xác định độ nở sun phát đối với xi măng poóc lăng bền sun phát cao.
2. Tiêu chuẩn trích dẫn
TCVN 139: 1991 Cát tiêu chuẩn để thử xi măng;
TCVN 4787: 1989 Xi măng – Phương pháp lấy mẫu và chuẩn bị thử; TCVN 141: 1986 Ximăng – Phương pháp phân tích hoá học;
TCVN 2230: 1977 Sàng và rây – Lưới đan và lưới đục lỗ – Kích thước lỗ;
TCVN ]966: 1977 Khí hậu chuẩn dùng trong đo lường và thử nghiệm; TCVN 4506: 1987 Nước cho bê tông và vữa – Yêu cầu kĩ thuật.
3. Nguyên tắc
Phương pháp này xác định khả năng bền sun phát của xi măng bằng cách đo mức giãn nở của thanh mẫu được chế tạo từ hỗn hợp xi măng thạch cao và cát.
Hàm lượng SO3 trong hỗn hợp xi măng thạch cao bằng 7% khối lượng.
4. Dụng cụ và vật liệu thử
4.1. Dụng cụ thử
4.1.1. Khuôn 25,40mm x 25,40mm x 285,75mm (hình l) được chế tạo bằng thép hoặc bằng gang có độ cứng cao.
Kích thước của khuôn khi chế tạo quy định trong bảng l.
Bảng 1- Khuôn mẫu
Kích thước tính bằng milimét.
|
Tên chi tiết |
Kích thước |
Giới hạn cho phép khi chế tạo |
|
Chiều dài hữu ích Chiều rộng hữu ích Chiều cao hữu ích |
285,75 25,40 25,40 |
258,75 ± 0,60 25,40 ± 3,30 25,40 ± 0,30 |
Từng chi tiết của khuôn phải được đánh số để khitháo lắp khuôn thuận lợi.
Thanh dọc và thanh ngang của khuôn phải thang, nhan, khi ghép với để khuôn phải khít.
Các góc ghép giữa các thanh và đế khuôn phải bảo đảm 900 ± 0,50.
– Dụng cụ tháo khuôn và chổi quét khuôn làm bằng vật liệu mềm hơn kim loại làm khuôn.
– Đinh tán đường kính 5mm, dài 20m để lắp vào hai đầu khuôn được chế tạo bằng đồng hoặc thép không rỉ. Trên đầu đinh tán có vết lõm, sâu lmm, đường kính 1mm.
– Vít điều chỉnh đinh tán đường kính 6mm, dài 10mm.
4.1.2. Chầy vuông đầm mẫu (hình 2) được chế tạo bằng thép không rỉ khối lượng phải đảm bảo 400 ± 15g.
4.1.3. Dụng cụ đo chiều dài và thanh chuẩn (hình 3)
– Đồng hồ micrometer có độ chính xác 0,00lmm;
– Thanh chuẩn được làm bằng thạch anh, hợp kim hoặc các vật liệu có độ nở nhiệt nhỏ hơn 0,001mm.
4.1.4. Khay ngâm mẫu 350mm x 350mm x 70mm (hình 4) được làm bằng tôn hoa hoặc nhựa cứng.
4.1.5. Máy trộn hành tinh (hình 5) có tốc độ quay của cánh trộn là 140 r 5 vòng phút và 285 ± 10 vòng/phút.
4.1.6. Các dụng cụ khác.
– Bộ sàng theo TCVN 2230: 1977;
– Bàn dằn, khâu hình côn tiêu chuẩn, chày tròn dầm mẫu, chảo hình chỏm cầu bay trộn, theo các chỉ tiêu hiện hành;
– Cân kĩ thuật có độ chính xác tới 0,1g;
– ống đong 250ml có vạch chia milimet;
– Dao bằng thép không rỉ;
– Đồng hồ bấm giây.
4.2. Vật liệu
4.2.1. Cát để chế tạo mẫu thử theo TCVN 139: 1991, được gia công tới cỡ hạt theo bảng 2.
Bảng 2
|
Kích thước lỗ sàng, mm |
Lượng sót tích luỹ trên sàng, % |
|
0,16 0,315 0,630 1 |
98 ± 2 72 ± 5 2 ± 2 0 |
4.2.2. Thạch cao dùng để pha thêm vào xi măng là thạch cao tự nhiên có hàm lượng anhydric sunfuric (SO3) không nhỏ hơn 41% và được nghiền mịn đạt thành phần cỡ hạt ở bảng 3.
Bảng 3
|
Sàng |
Phần lọt qua sàng, % không nhỏ hơn |
|
0,08mm |
99 |
Xác định hàm lượng anhydric sunfuric (SO3) của thạch cao sau khi nghiền mịn theo TCVN 141:1986.



5. Tiến hành thử
5.1. Mẫu xi măng để thử được chuẩn bị theo TCVN 4787: 1989
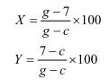
5.2. Tỷ lệ phần trăm (%) xi măng (X) và thạch cao (Y) để chế tạo hỗn hợp chứa 7% SO3 theo công thức:

Trong đó:
c: Là hàm lượng SO3 trong xi măng, tính bằng %;
g: Là hàm lượng SO3 trong thạch cao, tính bằng %;
7: Là hàm lượng SO3 trong hỗn hợp xi măng – thạch cao, tính bằng %.
5.3. Xác định lượng nước trộn xi măng.
5.3.1. Dùng vải ẩm lau sạch bàn dằn, khâu, dao gạt, chầy tròn và đặt khâu vào giữa bàn dằn.
5.3.2. Dùng cân kỹ thuật cân 400 gum hỗn hợp xi măng – thạch cao theo tỷ lệ 5.2 và 1000 gam cát tiêu chuẩn (theo mục 4.2.l).
5.3.3. Đong nước (dự kiến tỷ lệ N/XM: 0,4) đổ vào bát trộn của máy trộn hành tinh. Sau đó đổ thạch cao và xi măng vào rồi cho máy hoạt động ở tốc độ 140 vòng/ phút trong 45 giây. Tiếp theo đổ từ từ toàn bộ cát đã cân vào trong khi máy vẫn chạy ở tố độ trên trong vòng 45 giây nữa. Dừng máy 15 giây để vét gọn vữa vào vùng trộn của bát trộn.
Sau đó cho máy hoạt động tiếp ở tốc độ 285 vòng/phút trong 90 giây. Tắt máy để lấy vữa thử độ chảy.
5.3.4. Ngay sau khi trộn xong, dùng bay xúc vữa đổ vào đầy một nửa khâu hình côn tiêu chuẩn. Dùng chầy tròn đầm đều mặt mẫu l5 cái, rồi đổ tiếp vữa vào đầy khâu đầm tiếp l0 cái nữa.
5.3.5. Dùng dao gạt phẳng vữa ngang miệng khâu và từ từ nhấc khâu lên theo chiều thẳng đứng. Dằn 30 cái trong vòng (30 ± 5) giây, sau đó đo đường kính đáy dưới của khối vữa hình côn theo 2 chiều thẳng góc và lấy giá trị trung bình.
5.3.6. Sử dụng tỷ lệ nước/xi măng trộn vữa có độ chảy từ l06 đến 112mm để chế tạo mẫu thử 25,40mm x 25,40mm x 285,7,)mm.
5.4. Tạo mẫu thử
5.4.1. Mỗi mẫu thử cần được chế tạo 6 thanh có kích thước 25,40 x 25,40 x 285,75mm từ 2 mẻ trộn (mỗi mẻ có 400 gam hôn hợp xi măng, thạch cao và 1000 gam cát).
5.4.2. Khuôn tạo mẫu được lau sạch mặt trong thành khuôn và đế khuôn, bôi mỡ, lắp đinh tán và vít vào đầu khuôn.
5.4.3. Lấy vữa đạt độ chảy 106 đến 112mm đổ đầy vào khuôn thành 2 lớp và dùng đầm vuông đầm chia vữa theo từng lớp, mỗi lớp đầm 15 cái. Sau đó vặn vít để đinh tán cắm vào 2 đầu của thanh mẫu, vặn cho đến khi ngập hết chiều dài của vít. Dùng đầm dồn vữa vào các góc khuôn và dọc theo bề mặt của khuôn.
Dùng dao gạt bỏ vữa thừa, gạt sạch mặt trên của khuôn, miết phẳng mặt mẫu đánh dấu.
5.4.4. Cho khuôn và mẫu vào thùng dưỡng ẩm và giữ mẫu trong 23 giờ.
5.4.5. Sau 23 giờ dưỡng ẩm tháo khuôn lấy mẫu ra, đánh dấu mẫu và chiều đo của mẫu. Ngâm mẫu vào nước ở nhiệt độ (27 ± 2)0C 30 phút. Vớt mẫu ra thấm khô nước bằng vải và đo chiều dài ban đầu (lo) của mẫu ở tuổ 1 ngày.
5.4.6. Sau khi đo chiều dài (lo), đặt mẫu vào khay ngâm mẫu. Các thanh mẫu được trên 2 thanh đỡ bằng nhựa, đặt vuông góc với thanh mẫu. Khoảng cách giữa thanh đỡ bằng nửa chiều dài thanh mẫu và cách đều hai đầu. Các thanh mẫu đặt cách đều nhau 12mm và cách thành khay ít nhất là 6mm. Dùng nước máy để ngăn mẫu. Thanh mẫu ngâm chìm trong nước ít nhất 6mm và thể tích nước so với tổng thể tích các thanh mẫu không quá 5 lần.
5.4.7. Cứ ngày thay nước một lần, sau 14 ngày thì vớt ra, thấm khô bằng vải và đo chiều dài của mẫu (li). Thời gian đo mẫu không chậm quá 30 phút kể từ lúc vớt mẫu ra.
5.4.8. Đo chiều dài của các thanh mẫu bằng các dụng cụ ở hình 3. Trước khi đo mẫu, dùng thanh chuẩn kiểm tra và chỉnh kim đồng hồ đo về vị trí số “không”. Sau đó bỏ thanh chuẩn ra và đặt thanh mẫu đã có ký hiệu mẫu và chiều đứng của mẫu hướng về phía người đo để xác định. Các đầu trên và dưới của dụng cụ đo phải tỳ đúng vào vết lõm trên đầu các đinh tán đã cắm ở 2 đầu của thanh mẫu. Các lần đo sau phải đặt thanh mẫu theo đúng chiều và hướng như khi đo mẫu lần đầu.
Xoay nhẹ thanh mẫu xung quanh trục thắng đứng một lần, đọc và ghi kết quả theo số chỉ của kim đồng hồ(Li).
Chú thích: Chất lượng nước dùng trộn vữa và ngâm mẫu theo TCCN 4506: 87 Nước cho bê tông và vữa yêu cầu kỹ thuật.
5.4.9. Trình bày kết quả đo chiều dài của các thanh mẫu theo bảng 4.
Bảng 4
|
Tuổi đo |
Ngày đo |
Chiều dài của thanh mẫu (lni) mm |
|||||
|
1 |
2 |
3 |
4 |
5 |
6 |
||
|
Ngày (lo) Ngày (li) Độ nở (δi), % |
|
|
|
|
|
|
|
Tính kết quả
Độ nở của thanh mẫu thứ “n” sau “i” ngày (δni), tính bằng % theo công thức:
![]()
Trong đó:
Lni: là chiều dài của thanh mẫu thứ n ở tuổi i ngày kể từ khi trộn mẫu;
lno:là chiều dài ban đầu của mẫu đo ở tuổi một ngày
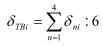
Độ nở sunfat của mẫu thử sau i ngày (δi), tính bằng % (lấy chính xác đến 0,001%), theo công thức:

Trong đó:
: là tổng của 4 giá tn nở gần với GTBi nhất:
![]()
δTBi: là giá trị trung bình của 6 thanh mẫu thử


