Tiêu chuẩn Việt Nam TCVN6070:1995

  • Loại văn bản: Tiêu chuẩn Việt Nam
  • Số hiệu: TCVN6070:1995
  • Cơ quan ban hành: ***
  • Người ký: ***
  • Ngày ban hành: ...
  • Ngày hiệu lực: ...
  • Lĩnh vực: Xây dựng
  • Tình trạng: Không xác định
  • Ngày công báo: ...

Tiêu chuẩn Việt Nam TCVN 6070:1995 về xi măng poóc lăng – phương pháp xác định nhiệt thuỷ hoá đã được thay thế bởi Tiêu chuẩn Việt Nam TCVN 6070:2005 về Xi măng – Phương pháp xác định nhiệt thuỷ hoá do Bộ Khoa học và Công nghệ ban hành .

Nội dung toàn văn Tiêu chuẩn Việt Nam TCVN 6070:1995 về xi măng poóc lăng – phương pháp xác định nhiệt thuỷ hoá


TIÊU CHUẨN VIỆT NAM

TCVN 6070 : 1995

XI MĂNG POÓC LĂNG – PHƯƠNG PHÁP XÁC ĐỊNH NHIỆT THỦY HOÁ
Portland cement – Test method for heat of hydration

1. Phạm vi áp dụng

Tiêu chuẩn này quy định phương pháp xác định nhiệt thuỷ hoá của các loại xi măng poóc lăng.

2. Tiêu chuẩn trích dẫn

TCVN 4031: 1985 Xi măng- phương pháp xác định độ dẻo tiêu chuẩn, thời gian đông kết.

TCVN 2230: 1977 Sàng và rây. Lưới đan và lưới dục lỗ. Kích thước lỗ. TCVN 1966: 1977 Khí hậu chuẩn dùng trong đo lường và thử nghiệm TCVN 141: 1986 Xi măng – Phương pháp phân tích hoá học.

3. Nguyên tắc phân tích của phương pháp.

Nhiệt thuỷ hoá của xi măng poóc lăng được xác định bằng cách đo nhiệt hòa tan của xi măng chưa thuỷ hoá (Q0) và xi măng đã thuỷ hoá (Qn) (thường đo sau 3, 7, 28 ngày). Hiệu số (Q0– Qn) là nhiệt thuỷ hoá của xi măng đối với thời gian thuỷ hoá tương ứng.

4. Thiết bị

4.1. Nhiệt lượng kế (hình 1).

4.1.1. Bình téc mốt (1-) đường kính từ 75 đến 85mm, dung tích từ 550 đến 600ml có nắp đậy bằng vật liệu xốp (2) được đặt trong một hộp cách nhiệt (3) còn gọi là hôp téc mốt.

Bình téc mốt phải được tráng một lớp parafin bền axit HF, Lớp tráng phải được kiểm tra trước khi thử mẫu, nếu có vết sước phải tráng lại.

4.1.2. Hộp téc mốt (3) bằng gỗ để giữ bình téc mốt. Giữa bình và hộp gỗ có lớp lót cách nhiệt bằng bông hoặc vật liệu cách nhiệt khác dày từ 1 đến 2cm (4). Hộp téc mốt được đặt trong hộp máy bằng gỗ (5) kích thước 25cm x 25cm x 25cm để tăng thêm khả năng cách nhiệt của bình téc mốt.

4.1.3. Nhiệt kế Bécman (6) với độ chia ít nhất 0,010C, phạm vi đo từ 50 đến 60C có gắn kèm kính phóng đại (7) được giữ bằng giá đỡ (8). Phần chuôi nhiệt kế (9) phải tráng parafin.

4.1.4. Phễu (10) làm bằng thuỷ tinh hoặc chất dẻo. Chuôi phễu dài ít nhất 6cm, đường kính trong của chuôi phễu ít nhất 5mm.

4.1.5. Động cơ máy khuấy (11) có thể điều chỉnh ở một tốc độ ổn định từ 300 đến 400 vòng/phút. Cần khuấy (12) có đường kính từ 3,0 đến 3,5cm. Cần khuấy và cánh khuấy bằng thuỷ tinh hoặc chất dẻo được tráng parafin.

4.2. Dụng cụ và hoá chất

– Thùng dưỡng bộ mẫu theo TCVN 4031: 1985;

– Cối sứ hoặc cối đồng;

– Chảo và bay theo TCVN 4031: 1985,

– ống nghiệm có đủờng kính 10mm, dung tích khoảng 15ml, có nút hoặc túi PVC hai lớp có dung tích từ 15 đến 20ml

– Tủ sấy có bộ phận điều chỉnh nhiệt độ;

– Lò nung 10000C;

– Chén sấy, chén nung;

– Sàng có kích thước lỗ 0,2mm và 0,5mm theo TCVN 2230: 1977;

– Cân kĩ thuật xó độ chính xác tới 0, lg;

– Cân phân tích có độ chính xác tới 0,002g;

– Bình hút ẩm;

– Đồng hồ bấm giây hoặc đồng hồ để bàn;

– Kính phóng đại 10 lần;

– Hộp thuỷ tinh có nắp kín đường kính từ 30 đến 40mm,

– Chổi lông nhỏ

– Thìa nhỏ;

– Bình thuỷ tinh 10%

– Bình định mức 1000ml;

– ống đong 10ml và 500ml,

– Pipét 50ml;

– Đũa thủy tinh;

– Kẽm oxit ZnO, tinh khiết phân tích (TKPT);

– Axit nitric HNO3 (γ = 1,42 kg/l);

– Parafin;

– Nước cất theo TCVN 2117: 1977.

5. Chuẩn bị thử

5.1. Xử lý ZnO (TKPT) để xác định hằng số máy

Cân 30g ZnO (TKPT) nung 1 giờ ở nhiệt độ từ 900 đến 9500C để nguội trong bình hút ẩm. Trước khi xác định hằng sồ máy, nghiền nhỏ ZnO đã nung qua sàng 0,2mm; cân khoảng hơn 5g nung lại ở nhiệt độ từ 900 đến 9500C không quá 5 phút, để nguội trong bình hút ẩm không ít hơn 2,5h và không nhiều hơn 5h, sau đó dùng cân phân tích cân chính xác 5,000 g để xác định hằng số máy.

5.2. Pha axit nitơric HNO3 – 2N.

Từ 140ml HNO3 (γ = 1,42kg/l) pha thêm 860ml nước cất để được 1000ml HNO3. Mỗi lần pha từ 81 đến 10lml HNO3 – 2N.

5.3. Chuẩn bị mẫu xi măng chưa thuỷ hoá và chế tạo mẫu xi măng thuỷ hoá

Mẫu xi măng được chuẩn bị theo TCVN 4787: 1989. Để xác định nhiệt thuỷ hoá cần khoảng 500g xi măng gói riêng và bảo quản trong thùng cách ẩm.

Dùng cân kĩ thuật cân 100g mẫu xi măng cho vào chảo đã được lau sạch bằng vải ẩm, dùng bay làm thành hộc ở giữa, đổ 40ml nước cất vào, rồi trộn đều hỗn hợp xi măng nước trong 4 phút. Dùng thìa xúc hồ xi măng vào 4 ống nghiệm thuỷ tinh hoặc 4 túi PVC hai lớp, sao cho khi nút ống nghiệm hoặc buộc túi PVC khoảng trống còn lại trong ống hoặc túi không quá 2ml. Sau đó đặt mẫu trong thùng dưỡng hộ bảo quản ở nhiệt độ 270C ± 20C tới các tuổi thử.

5.4. Kiểm tra khả năng cách nhiệt của bình téc mốt.

Đổ 400ml nước nóng có nhiệt độ từ 45 dến 500C vào bình. Đậy nắp bình. Ghi nhiệt độ trên nhiệt kế Bécman sau khi đổ nước vào bình téc mốt và sau đó 30 phút.

Bình téc mốt được coi là có độ cách nhiệt đạt yêu cầu nếu mức giảm nhiệt độ sau 30 phút không lớn hơn 0,0010C bình quân trên l phút và trên độ chênh lệch giữa nhiệt độ nước trong bình và nhiệt độ phòng thí nghiệm.

6. Tiến hành thử

6.1. Xác định hằng số máy.

6.1.1. Trước khi thử nghiệm 1 giờ, dụng cụ thí nghiệm và các bình hoá chất được đặt tại bàn thí nghiệm để nhiệt độ của chúng bằng nhiệt độ trong phòng thí nghiệm. Điều kiện phòng thí nghiệm phù hợp TCVN 1966: 1977.

Đổ 390ml ± 0,1ml HNO3 – 2N (đã chuẩn bị theo 5.2) vào bình téc mốt, rồi thêm 10ml ± 0,1ml HF (38% – 40%) vào bình (dùng ống đong tráng parafin) đã chỉnh vạch mức 10ml. Khuấy sơ bộ hỗn hợp axit bằng đũa thuỷ tinh (đã tráng parafin).

Kiểm tra không để cánh khuấy chạm vào chuôi nhiệt kế, chuôi phễu, thành, đáy bình. Bắt đầu cho máy khuấy hoạt động.

6.1.2. Đọc nhiệt độ trên nhiệt kế Bécman qua kính phóng đại chính xác đến 0,0010C khi bắt đầu khuấy (T0) và sau 5 phút khuấy (T5).

Ngay sau khi ghi T5, đổ 5g mẫu ZnO (đã chuẩn bị theo 5.1) qua phễu trong 1 – 2 phút. Dùng chổi lông gạt hết các hạt ZnO bám quanh thành, cuống phễu xuống bình téc mốt. Ghi nhiệt độ sau 25 phút khuấy (T25) và 30 phút khuấy (T30).

Chú thích: Hằng số máy cần xác định lại khi có một trong số các thay đổi sau:.

a) Thay mới nhiệt kế, cánh khuấy hoặc bình téc mốt;

b) Thay mới lớp vật liệu cách nhiệt của hộp téc mốt;

c) Tráng lớp bảo vệ mới cho nhiệt kế, cánh khuấy hoặc bình téc mốt.

6.2. Xác định nhiệt hoà tan của xi măng cha thuỷ hoá

6.2.1. Dùng cân phân tích cân 2,000g xi măng (m0), đựng trong hộp thuỷ tinh, đặt trong bình hút ẩm tại bàn thí nghiệm để nhiệt độ của mẫu ngang bằng nhiệt độ phòng thí nghiệm.

6.2.2. Tiến hành thử mẫu như trình tự điều 4 với mẫu thử là xi măng chưa thuỷ hoá.

6.2.3. Xác định hàm lượng mất khi nung (MKN) theo TCVN 141: 1986.

6.3. Xác định nhiệt hoà tan của xi măng thuỷ hoá n ngày

6.3.1. Mỗi tuổi thử lấy một mẫu xi măng thuỷ hóa ở trong thùng bảo quản mẫu (đã được chuẩn bị theo 5.3), bỏ vỏ bọc, đập nghiền bằng cối sứ hoặc đồng cho mẫu thử lọt qua sàng 0,5mm. Tiến hành nghiền, sàng nhanh để tránh hiện tượng cacbonat hoá và bay hơi. Dùng cân phân tích cân 2,800g mẫu qua sàng (mn) đựng trong hộp thuỷ tinh có nắp kín đặt tại bàn thí nghiệm để nhiệt độ của mẫu ngang bằng nhiệt độ phòng thí nghiệm.

6.3.2. Tiến hành thử mẫu theo trình tự điều 4 với mẫu thử là xi măng thuỷ hoá n ngày.

6.3.3. Xác định hàm lượng mất khi nung theo TCVN 141: 1986, trong đó mẫu xi măng thủy hoá sau khi sấy ở 1050C trong 1h, nung ở 9500C trong 5h.

6.3.4. Khi xác định nhiệt độ hoà tan của mẫu xi măng thuỷ hoá 28 ngày gặp sự cố kĩ thuật, phải thử lại đối với mẫu lưu vào những ngày sau. Nhiệt hoà tan Q28 được cộng thêm 0,5Cal/g cho mỗi ngày nếu thử lại mẫu sau ngày thuỷ hoá thứ 28, nhưng không được chậm quá 4 ngày so với thời hạn này.

Khi thử mẫu thuỷ hoá 7 ngày gặp sự cố kĩ thuật, phải làm lại mẫu thử, tức là chế tạo lại mẫu xi măng thuỷ hoá theo 5.3.

7. Tính kết quả

7.1. Hằng số máy (CK), tính bằng Cal/độ theo công thức:

Trong đó:

m: Là khối lượng mẫu thử ZnO, tính bằng g;

256,1: Là hệ số nhiệt hoà tan của Z nO ở 300C, tính bằng Cal/g;

0,1x (30 – T): Là giá trị điều chỉnh nhiệt hoà tan của ZnO theo nhiệt độ. ở đây T được tính bằng tổng của nhiệt độ dung môi trước khi hoà tan (Tdm) và mức tăng nhiệt độ của giai đoạn hoà tan (DTdc). Khi nhiệt độ của dung môi bằng nhiệt độ phòng thí nghiệm (TPTN) thì T =TTPN + DTdc;

DTdc: Là mức tăng nhiệt độ của giai đoạn hoà tan đã chỉnh, tính bằng 0C.

DTdc được tính theo công thức:

DTdc = (T25 – T5) + 4(T25 – T30)                              (2)

Trong đó:

T25: Là nhiệt độ tại thời điểm cuối của giai đoạn hoà tan, tính bằng 0C.

T5: Là nhiệt độ cửa dung môi hoà tan khi cho mẫu thử vào bình, tính bằng 0C

T30: Là nhiệt độ tại thời điểm cuối của giai đoạn sau hoà tan, tính bằng 0C

Hằng số máy CK là trung bình cộng của hai kết quả xác định song song không lệch nhau 5Cal/độ, lấy chính xác tới 0,1Cal/độ.

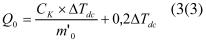
7.2. Nhiệt hoà tan của xi măng chưa thuỷ hoá (Q0), tính bằng Cal/g, theo công thức:

Trong đó:

CK: Là hằng số máy, tính theo Cal/độ.

DTdc: Là mức tăng nhiệt độ của giai đoạn hoà tan đã chỉnh, tính bằng 0C, theo công thức (2):

0,2: Là nhiệt lượng riêng của xi măng cha thuỷ hoá, tính bằng Cal/độ;

m0: Là khối lượng mẫu thử đã nung, tính bằmg g.

Trong đó:

m0: Là khối lượng mẫu thử (xi măng chưa thuỷ hoá), tính bằng g

MKN: Là hàm lượng mất khi nung, tính bằng % , xác định theo 6.2.3,

Nhiệt hoà tan của xi măng chưa thuỷ hoá Qo là trung bình cộng của hai kết quả định song song không lệch nhau 5Cal/g, lấy chính xác tới 0,1Cal/g

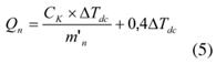
7.3. Nhiệt hòa tan của xi măng thuỷ hoá n ngày (Qn) tính bằng Cal/g, theo công thức:

Trong đó:

CK; DTđc: Tương tự như giải thích tại 7.2;

0,4: Là nhiệt lượng riêng của xi măng thuỷ hoá n ngày, tính bằng Cal/độ;

mn: Là khối lượng mẫu thử đã nung, tính bằng g.

                                   (6)

Trong đó:

mn: Là khối lượng mẫu thử (xi măng thuỷ hoá n ngày) , tính bằng g;

MKN: Là hàm lượng mất khi nung, tính bằng %, xác định theo 6.2.3.

Nhiệt hòa tan cửa xi măng thủy hoá Qn là trung bình cộng của hai kết quả xác định song song không lệch nhau 5Cal/g, lấy chính xác tới 0, 1Cal/g.

7.4. Nhiệt thuỷ hoá của xi măng (Hn) tính bằng Cal/g, theo công thức:

Hn= Q0 – Qn        (7)

Trong đó:

Q0: Là nhiệt hoà tan của xi măng chưa thuỷ hoá, tính bằng Cal/g;

Qn:  Là nhiệt hoà tan của xi măng thủy hoá n ngày, tính bằng Cal/g; Nhiệt thuỷ hoá của xi măng Hn lấy chính xác tới 1Cal/g.

Leave a Reply

Your email address will not be published. Required fields are marked *