Tiêu chuẩn Việt Nam TCVN6221:1997

  • Loại văn bản: Tiêu chuẩn Việt Nam
  • Số hiệu: TCVN6221:1997
  • Cơ quan ban hành: ***
  • Người ký: ***
  • Ngày ban hành: ...
  • Ngày hiệu lực: ...
  • Lĩnh vực: Xây dựng
  • Tình trạng: Không xác định
  • Ngày công báo: ...
  • Số công báo: Còn hiệu lực

Nội dung toàn văn Tiêu chuẩn Việt Nam TCVN 6221:1997 về cốt liệu nhẹ cho bê tông – sỏi, dăm sỏi và cát keramzit – phương pháp thử


TIÊU CHUẨN VIỆT NAM

TCVN 6221 : 1997

CỐT LIỆU NHẸ CHO BÊ TÔNG – SỎI, DĂM SỎI VÀ CÁT KERAMZIT – PHƯƠNG PHÁP THỬ
Lightweight aggregates for concrete – Expanded clay, gravel and sand – Test methods

1. Phạm vi áp dụng

Tiêu chuẩn này quy định các phương pháp xác định: thành phần cỡ hạt; khối lượng thể tích; độ bền xi lanh; hàm lượng sunfua, sunfat hoà tan; khối lượng mất khi đun sôi; độ hút nước; độ ẩm đối với sỏi, dăm sỏi và cát nhẹ keramzit làm cốt liệu nhẹ cho bê tông.

2. Tiêu chuẩn trích dẫn

TCVN 2298 : 1978 Thuốc thử axit clohiaric. TCVN 2305 : 1978 Chất chỉ thị metyla da cam. TCVN 3290 : 1980 Thuốc thử amoni hydroxit.

TCVN 4851 : 1989 (ISO 3696 : 1987) Nước dùng để phân tích trong phòng thí nghiệm.

TCVN 6220 : 1997 Cốt liệu nhẹ cho bê tông – Sỏi, dăm sỏi và cát keramzit – Yêu cầu kĩ thuật.

3. Phương pháp thử.

3.1. Lấy mẫu

3.1.1. Mẫu thử được lấy theo lô sản phẩm (TCVN 6220 : 1997) , Mỗi lô lấy từ 5 mẫu đến 10 mẫu sao cho mẫu đại diện cho cả lô, khối lượng mỗi mẫu từ 2 lít đến 15 lít.

3.1.2. Gộp các mẫu 3.l.l để có mẫu chung. Khối lượng mẫu chung cho mỗi chỉ tiêu thử không nhỏ hơn mức quy định ở bảng l và không lớn hơn 4 lần mức quy định này.

Bảng 1 – Lượng mẫu chung

Tên chỉ tiêu

Lượng mẫu thử (lít) theo nhóm cỡ hạt, mm

0 – 5

5 – 10

10 – 20

20 – 40

1- Thành phần cỡ hạt

2

5

10

20

2- Khối lượng thể tích

5

10

20

40

3- Độ bền trong xi lanh

6

6

6

6

4- Hàm lượng sunfua, sunfat hoà tan

2

2

2

2

5- Hàm lượng mất đi khi đun xôi

2

2

2

2

6- Độ hút nước

2

2

3

5

3.1.3. Mẫu chung được rút gọn bằng cách chia tư hoặc dùng máy chia mẫu (hình l) để có mẫu trung bình. Khối lượng mẫu đưa về phòng thí nghiệm ít nhất phải bằng 2 lần tổng khối lượng các chỉ tiêu yêu cầu thử quy định ở bảng l.

3.2. Xác định thành phần cỡ hạt

3.2.1. Nguyên tắc

Mẫu sỏi, dăm sỏi hoặc cát keramzit đã được sấy khô đến khối lượng không đổi để nguội bằng nhiệt độ phòng được sàng qua bộ sàng tiêu chuẩn. Lượng còn lại trên sàng được cân và tính toán kết quả.

3.2.2. Thiết bị thử

– Cân kĩ thuật với độ chính xác 0,lg;

– Tủ sấy điện;

– Các cốc hình trụ loại 1 lít, 2 lít, 5 lít, 10 lít và 20 lít

– Bộ sàng với các loại lỗ sàng vuông : 0,16mm; 0,315mm; 0,63mm; 1,25mm; 2,5m.

– Bộ sàng với các loại lỗ sàng tròn 1mm đến 5mm, 10mm; 20mm và 40mm.

3.2.3. Chuẩn bị mẫu thử

Mẫu thử được lấy theo quy định ở mục 3.1 và bảng l. Mẫu được sấy ở nhiệt độ 105 đến 1100C đến khối lượng không đổi (M0).

3.2.4. Tiến hành thử

3.2.4.1. Đối với sỏi và dăm sỏi

Mẫu thử được sàng qua sàng kiểm tra có đường kính lỗ sàng tiêu chuẩn tương ứng 2D, D, và dưới.

Có thể sàng bằng máy hoặc bằng tay. Chiều cao lớp mẫu thử cho trên sàng không được quá l/3 chiều cao thành bao sàng.

Quá trình sàng coi như kết thúc nếu như không còn thấy hạt rơi và thời gian sàng không được vượt quá 15 phút.

Cân phần còn lại trên mỗi sàng (m2D, mD, md) và phần lọt dưới hộp đáy sàng (mhd), ghi lại khối lượng cân tương ứng.

Tính tổng lượng sau khi sàng (∑mi ) :

∑mi= m2D + mD + md + m

Nếu ∑mi và M0 có sự sai khác lớn hơn 2% thì ta phải lấy mẫu mới và tiến hành thử lại. Kết quả thử được chấp nhận nếu hiệu số giữa M0 và ∑mi nhỏ hơn 2%.

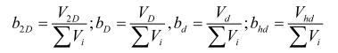
Kết quả thành phần theo nhóm cỡ hạt (ai) được tính bằng %, chính xác đến 0,1%, theo công thức :

Trong đó : i là 2D, D, d hoặc hđ

3.2.4.2. Đối với cát

Để thử nhóm hạt cát 0mm đến 5mm, ta dùng bộ sàng vuông tiêu chuẩn : 5,0mm; 2,5mm; 0,63mm , 0,315mm và 0,16mm để sàng mẫu.

Trình tự thử được thực hiện tương tự như nêu ở mục 3.2.4.1

3.2.5. Tính kết quả thử

3.2.5.1. Đổi với sỏi và dăm sỏi

Thể tích phần mẫu còn lại trên từng sàng được xác định theo công thức :

Trong đó : S2D, SD, Sd, Shd là khối lượng thể tích của từng nhóm mẫu còn lại trên sàng và hộp đáy, được xác định theo điều 3.3. Trong trường hợp lượng mẫu còn lại trên sàng không đủ thực hiện theo điều 3.3 thì có thể cho phép xác định bằng cốc đo có dung tích nhỏ hơn, nhưng không được nhỏ hơn một lít đối với cỡ hạt tới 20mm và 2 lít đối với cỡ hạt tới 40mm.

Tổng thể tích mẫu sau thử (∑Vi) được xác định theo công thức :

∑Vi = V2D +VD +Vd +Vhd

Phần còn lại (bi) tính theo % thể tích, được xác định chính xác đến 0,1% theo công thức :

3.2.5.2. Đối với cát

Trình tự tính toán tương tự như điều 3.2.5.1. Riêng khi xác định khối lượng thể tích có thể dùng cốc đong bằng thuỷ tinh dung tích 1000ml.

3.3. Xác định khối lượng thể tích vun đống

3.3.1. Bản chất phương pháp thử

Là xác định khối lượng thể tích vun đống bằng cân mẫu đã sấy khô chứa trong cốc có dung tích xác định.

3.3.2. Thiết bị thử

– Cân kĩ thuật với độ chính xác 0,lg;

– Tủ sấy điện;

– Bộ cốc đong hình trụ : 1 lít; 2 lít; 5 lít; 10 lít; 20 lít và 50 lít.

– Thước lá kim loại;

– Dụng cụ côn chứa xác định khối lượng thể tích vun đống của xẻng xúc mẫu.

3.3.3. Chuẩn bị mẫu thử

Mẫu thử được lấy theo quy định ở điều 3.l và bảng 1. Mẫu được sấy ở nhiệt độ 105 đến 1100C đến khối lượng không đổi.

3.3.4. Mẫu đã sấy khô đến khối lượng không đổi được rót từ độ cao 100mm và cốc đong (cốc sạch và đã cân sẵn bì) cho đến khi vật liệu mẫu tạo thành hình trên mặt cốc đong. Dùng lá thước kim loại gạt ngang miệng cốc rồi đem cân (không làm lèn chặt khi gạt).

Kích thước và thể tích ống trong mẫu thử để tuỳ thuộc cơ nhóm hạt, mẫu hạt được chọn theo bảng 2.

Bảng 2 – Kích thước và thể tích ống

Cỡ hạt lớn nhất, mm

Thể tích ống đong, lít

Kích thước ống đong, mm

Thể tích mẫu, lít

Đường kính

Chiều cao

5

1

108

108,5

1,5

10

2

137

136,5

3,0

20

5

185

186,5

6,5

40

10

234

233,8

11,5

Khi thử với cát thì dùng côn chứa cát (hình 2) và rót mẫu thử ra từ côn chứa.

3.3.5. Tính kết quả thử

Khối lượng thể tích vun đống (Sv) được tính bằng kg/m3, theo công thức :

Trong đó :

m1– Là khối lượng cốc đong có chứa mẫu thử, tính bằng kilogam;

m2 Là khối lượng cốc đong ban đầu, tính bằng kilogam; V là thể tích cốc đong, tính bằng mét khối.

– Sản phẩm có mác theo khối lượng thể tích vun đống bằng và nhỏ hơn 250kg/m3 thì Sv được tính chính xác tới 1kg/m3

– Sản phẩm có mác theo khối lượng thể tích vun đống lớn hơn 250kg/m3 thì Sv được tính chính xác tới 10kg/m3.

Khối lượng thể tích vun đống của các mẫu thử là kết quả trung bình số học của hai mẫu thử song song đồng thời cho cùng loại mẫu thử.

3.4. Xác định độ bền khi nén trong xi lanh

3.4.1. Nguyên tắc

Nén mẫu thử chứa trong ống trụ với khoảng dịch chuyển nén là 20mm.

Độ bền nén trong xi lanh được xác định đối với nhóm cỡ hạt sau : 1,25mm đến 2,5mm; 5mm đến 10mm; 10mm đến 20mm; 20mm đến 40mm.

3.4.2. Thiết bị thử

– Máy ép thuỷ lực với lực ép từ 50KN đến 250KN (5 tấn đến 25 tấn).

– Khuôn ống trụ bằng thép (hình 3);

– Cân kỹ thuật;

– Tủ sấy điện;

– Thước lá kim loại;

– Xẻng xúc mẫu;

3.4.3. Chuẩn bị mẫu thử

Lấy khoảng 6 lít mẫu thử đã được xác định khối lượng thể tích vun đống, đem sấy khô đến khối lượng không đổi ở nhiệt độ l05 đến 1100C.

3.4.4. Tiến hành thử

Cho mẫu đã sấy vào đầy cốc đong 2 lít đã cân bì trước và cân ống mẫu. Rót từ độ cao cách miệng khuôn 100mm mẫu thử vào khuôn xi lanh, sao cho mẫu được rải đều trong khuôn. Mẫu được rót đầy, dàn phẳng đến giới hạn trên của khoảng dịch chuyển nén đã được đánh dấu san thì dừng rót mẫu.

Cân, trừ bì phần mẫu còn lại trong cốc đong. Hiệu số giữa khối lượng mẫu ban đầu với phần mẫu còn lại trong cốc được coi là khối lượng mẫu đã nằm trong khuôn xi lanh. Phần khuôn chứa mẫu có thể tích xác định là 1770cm3, từ mẫu chứa và thể tích này xác định khối lượng thể tích vun đống mẫu thử.

Đem kết quả này so với kết quả đã xác định được ở mục 3.2. Nếu kết quả so sánh sai lệch trong mức cho phép sau thì có thể nén mẫu :

– +2% và – 4% : đối với nhóm hạt 1,25mm đến 2,5mm và 10mm đến 20mm;

– +1% và -6% : đối với nhóm hạt 20mm đến 40mm.

Đặt pittông sát vào và đưa toàn bộ khuôn vào máy nén tiến hành tăng tải trọng thực hiện hành trình ép là 20mm, với tốc độ hành trình nén là 0,5mm/giây đến 1,0mm/giây. Khi tới giới hạn cuối hành trình (đạt 20mm) thì đọc giá trị tải trọng nén.

3.4.5. Tính kết quả thử.

Độ bền nén trong xi lanh (Rxl) tính bằng MPa (N/mm2) , theo công thức :

Trong đó :

P là tải trọng nén tương ứng với hành trình nén 20mm, tính bằng Niutơn(N);

F là diện tích tiết diện ngang của xi lanh và bằng 0,0177m2.

Độ bền nén trong xi lanh của mẫu thử là kết quả trung bình số học của hai mẫu thử song song đồng thời cho cùng nhóm mẫu thử.

3.5. Xác định hàm lượng sunfua, sunfat hoà tan

3.5.1. Nguyên tắc

Chuyển lượng sunfua, sunfat hoà tan thành dạng kết tủa không tan barisunfat, xác định hàm lượng kết tủa, tính chuyển theo SO3.

3.5.2. Thiết bị và hoá chất

– Bình nước;

– Lò sấy điện;

– Lò nung điện tới 11000C;

– Sàng với cỡ lỗ 0,2mm và 2,5mm;

– Bộ cối chày sứ;

– Bát sứ;

– Chén sứ để nung mẫu;

– Cân kĩ thuật;

– Bình cầu 250ml, bình hút ẩm,

– Pipet 20ml, phễu rót;

– Cốc thuỷ tinh 100mm;

– Giấy lọc đường kính 90cm, loại băng trắng và băng xanh;

– Bếp điện;

– Axit clohydric đậm đặc theo TCVN 2298: 1978;

– Thuốc thử bari clorua – dung dịch 10%;

– Thuốc thử amoni hydroxit (TCVN 3290 : 1980);

– Thuốc thử hydro peroxit (H2O2 trong dung dịch rượu ROOH), dung dịch 25%;

– Bạc nitơrat, dung dịch l%;

– Chất chỉ thị metyla da cam (TCVN 2305 : 1978);

– Nước cất (TCVN 4851 : 1989).

3.5.3. Chuẩn bị mẫu thử

Lấy khoảng 2 lít mẫu thử, nghiền sơ bộ tới cỡ hạt 2,5mm và tiến hành rút gọn để lấy khoảng 200g. Tiếp tục trộn cẩn thận và rút gọn để lấy khoảng 40g đến 50g mẫu. Dùng cối chày sứ nghiền mẫu này cho tới khi lọt hết qua lỗ sàng 0,2mm. Sấy mẫu đã nghiền ở nhiệt độ 1050C trong thời gian 4 giờ đến 5 giờ, sau đó làm nguội đến nhiệt độ phòng trong bình hút ẩm.

3.5.4. Tiến hành thử

Cân khoảng 5g mẫu, cho vào bình cầu và rót 50ml nước cất (tỉ lệ thích hợp giữa lượng mẫu và nước cất là 1: 10). Lắc đều mẫu và để lắng trong khoảng 3 phút rồi gạn dung dịch qua giấy lọc băng trắng, rửa kết tủa và giấy lọc 4 lần đến 5 lần bằng nước cất đun sôi, loại bỏ cặn kết tủa chuyển dung dịch vào cốc 100ml, thêm 5 giọt amôniắc và lml đến 2ml hidro peroxyt. Đun nóng dung dịch từ 60 đến 700C và giữ ở nhiệt độ này trong khoảng 3 phút đến 5 phút. Trung hoà môi trường kiềm bằng axit clohydric đậm đặc, kiểm tra bằng metyl da cam (cho đến khi xuất hiện dung dịch màu hồng) và bổ sung thêm khoảng 2,5ml axit.

Đun sôi dung dịch, vừa khuấy dung dịch vừa nhỏ giọt 10ml dung dịch bariclorua 10%. Xong, khuấy và đun sôi dung dịch thêm 5 phút rồi để lắng yên dung dịch trong thời gian 10 giờ đến 20 giờ.

Lọc dung dịch qua giấy lọc băng xanh, rửa kết tủa và giấy lọc bằng nước đun sôi đến hết ion clo (kiểm tra dung dịch bằng dung dịch nitơrat bạc l%).

Chuyển kết tủa và giấy lọc vào chén sứ (đã nung đến khối lượng không đổi ở 8500C ± 500C đốt cháy giấy lọc trên bếp điện. Cho chén sứ vào lò nung, tăng nhiệt độ đến 8500C ± 500C và giữ ở nhiệt độ này trong 40 phút. Cho chén vào bình hút ẩm để nguội rồi cân. Lặp lại quá trình nung ở 8500C ± 500C (trong 15 phút) để nguội rồi cân, đến khi thu được khối lượng không đổi.

3.5.5. Tính kết quả thử

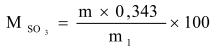
Hàm lượng sunfua, sunfat hoà tan – (MSO3) tính chuyển thành SO3 được tính bằng (%), theo công thức :

Trong đó :

m là khối lượng barisunfat kết tủa thu được, tính bằng gam

0,343 là hệ số tính chuyển baribunfat thành SO3;

ml là lượng mẫu thử lấy để xác định hàm lượng sunfua, sunfat hoà tan, tính bằng gam

Kết quả thử là trị số trung bình số học của hai mẫu thử song song đồng thời và hiệu số kết quả hai mẫu thử này không vượt quá 0,15% kết quả thử.

3.6. Xác định khối lượng mất khi đun sôi

3.6.1. Nguyên tắc

Xác định khối lượng mất khi đun sôi bằng cách tính hiệu số khối lượng mẫu thử trước và sau thí nghiệm.

3.6.2. Thiết bị thử

– Tủ sấy điện;

– Cân kỹ thuật với độ chính xác 1g;

– Bộ sàng với cỡ sàng 5mm; l0mm; 20mm và 40mm;

– Cốc đong hình trụ loại 5 lít;

– Bếp điện, bàn chải.

3.6.3. Chuẩn bị mẫu thử

Lấy từ 2 lít đến 4 lít mẫu thử, dùng bàn chải chải sạch các vẩy và bụi bám trên các viên mẫu, sấy mẫu đến khối lượng không đổi, sàng qua sàng có kích thước lỗ sàng tương ứng lớn nhất và nhỏ nhất của nhóm cỡ hạt thử rồi chia thành 2 mẫu đem cân.

3.6.4. Tiến hành thử

Cho mẫu đã cân vào ống đong có chứa sẵn nước và ngâm giữ mẫu trong 48 giờ, sau đó đưa cốc mẫu lên bếp điện và đun sôi, giữ mẫu đun sôi liên tục trong 4 giờ. Trong khi đun sôi, mức nước luôn cao hơn mẫu ngâm 20mm, đảm bảo không bị bắn nước sôi và hạt ra ngoài cốc đong. Sau 4 giờ đun sôi, mẫu được lấy ra khỏi nước và đem sấy khô đến khối lượng không đổi. Tiếp theo, mẫu được sàng lại.

Cân lượng mẫu còn lại trên sàng.

3.6.5. Tính kết quả thử.

Khối lượng mất khi đun sôi (Ms) được tính bằng % theo công thức :

Trong đó :

m1 là khối lượng mẫu thử ban đầu, tính bằng gam;

m2 là khối lượng mẫu sau khi thử còn lạl trên sàng, tính bằng gam.

Kết quả thử là trị số trung bình số học của hai mẫu thử song song đồng thời đối với mỗi nhóm cỡ hạt.

3.7. Xác định độ hút nước của sỏi, dăm sỏi

3.7.1. Nguyên tắc

Xác định hiệu số khối lượng mẫu thử trước và sau khi bão hòa nước.

3.7.2. Thiết bị thử.

– Cân kĩ thuật;

– Tủ sấy điện;

– cốc đông loại : l lít, 2 lít,và 5 lít

– Sàng với lỗ sàng 5mm;

– Dọ chứa mẫu để ngâm bão hòa nước

– Cân thuỷ tĩnh (hình 5).

 

 

 

 

 

 

 

 

 

 

 

 

 

 

3.7.3. Chuẩn bị mẫu thử

Tuỳ thuộc cỡ hạt, mẫu được chứa trong cốc đong loại: 1 lít, 2 lít và 5 lít và được sấy khô đến khối lượng không đổi, được sàng qua sàng lỗ 5mm trong khoảng 2 phút đến 3 phút. Sau đó mẫu được chia làm 2 phần, đem cân khối lượng mỗi phần mẫu thử.

3.7.4. Tiến hành thử

Mẫu sau khi cân được cho vào dọ và từ từ nhúng chúng vào nước, ngâm trong khoảng 1 giờ sau đó nhấc chúng ra khỏi nước và để cho nước dư thoát đi trong khoảng l0 phút. Tiếp theo mẫu được lấy ra khỏi dọ và đưa vào cân ngay trên cân kĩ thuật.

3.7.5. Tính kết quả thử

Độ hút nước sau 1 giờ ngâm (Wg), tính bằng (% ) theo công thức :

Trong đó :

m1 là khối lượng mẫu khô ban đầu, tính bằng gam;

m2 là khối lượng mẫu bão hòa nước, tính bằng gam.

Kết quả thử là trị số trung bình số học của hai mẫu thử song song đồng thời cùng tiến hành thử.

Độ hút nước tính hằng (% ) theo thể tích Wv được xàc định bằng công thức :

Trong đó :

PM là khối lượng riêng trung bình của mẫu thử, tính bàng gam trên centimet khối (g/cm3);

PH2O là khối lượng riêng của nước, bằng lg/cm3;

Wg là độ hút nước sau một giờ ngâm tính bằng phần trăm khối lượng. Khối lượng riêng trung bình của mẫu thử PM, được tính theo công thức :

Trong đó :

m1, m2, pH2O được xác định theo 3.7.5;

m3 là khối lượng mẫu khi cân trên cân thuỷ tĩnh (hình 5), xác định bằng hiệu số của khối lượng dọ có mẫu đã bão hoà nước và dọ không mẫu khi chúng được cân trên cân thuỷ tĩnh.

3.8. Xác định độ ẩm

3.8.1. Nguyên tắc

Độ ẩm được xác định bằng hiệu số khối lượng mẫu trước và sau khi sấy.

3.8.2. Thiết bị thử

– Cân kĩ thuật;

– Tủ sấy điện;

– Cốc đong loại 1 lít và 2 lít:

– Xẻng xúc mẫu;

– Bình hút ẩm.

3.8.3. Chuẩn bị mẫu thử

Lấy từ 2 lít đến 3 lít mẫu thử (tuỳ thuộc vào kích thước cỡ hạt) để xác định độ ẩm. Chia mẫu làm 2 phần, đem cân hoặc đối với cát có mác khối lượng thể tích vun đống là 250 và nhỏ hơn thì phân làm 3 mẫu thử.

3.8.4. Tiến hành thử

Cho mẫu vào cốc (đã cân bì), đem cân cóc có chứa mẫu thử, sau đó đưa vào sấy đến khối lượng không đổi và cân mẫu sau khi sấy. Đối với cát M250 và nhỏ hơn thì sau khi sấy khô, mẫu được đưa vào bình hút ẩm và làm nguội đến nhiệt độ trong phòng.

3.8.5. Tính kết quả thử

Độ ẩm mẫu thử (W) tính bằng phần trăm theo khối lượng và xác định bằng công thức :

Trong đó :

m1        là khối lượng mẫu ẩm tự nhiên ban đầu, tính bằng gam

m2        là khối lượng mẫu ở trạng thái khô, sau khi sấy đến khối lượng không đổi, tính bằng gam.

Độ ẩm được tính chính xác đến 0,1% và trị số trung bình số học của hai mẫu thử song song đồng thời. Đối với cát có mác bằng và nhỏ hơn M250 thì kết quả là trị số trung bình số học của 3 mẫu thử song song đồng thời.

Leave a Reply

Your email address will not be published. Required fields are marked *