Tiêu chuẩn Việt Nam TCVN6964-2:2008

  • Loại văn bản: Tiêu chuẩn Việt Nam
  • Số hiệu: TCVN6964-2:2008
  • Cơ quan ban hành: ***
  • Người ký: ***
  • Ngày ban hành: ...
  • Ngày hiệu lực: ...
  • Lĩnh vực: Xây dựng
  • Tình trạng: Không xác định
  • Ngày công báo: ...
  • Số công báo: Còn hiệu lực

Nội dung toàn văn Tiêu chuẩn quốc gia TCVN 6964-2:2008 (ISO 2631-2:2003) về Rung động cơ học và chấn động – Đánh giá sự tiếp xúc của con người với rung động toàn thân – Phần 2: Rung động trong công trình xây dựng (từ 1 HZ đến 80 HZ)


TCVN 6964-2:2008

ISO 2631-2:2003

RUNG ĐỘNG CƠ HỌC VÀ CHẤN ĐỘNG – ĐÁNH GIÁ SỰ TIẾP XÚC CỦA CON NGƯỜI VỚI RUNG ĐỘNG TOÀN THÂN – PHẦN 2: RUNG ĐỘNG TRONG CÔNG TRÌNH XÂY DỰNG (TỪ 1 HZ ĐẾN 80 HZ)

Mechanical vibration and shock – Evaluation of human exposure to whole-body vibration – Part 2: Vibration in buildings (1 Hz to 80 Hz)

 

Lời nói đầu

TCVN 6964-2:2008 thay thế TCVN 6964-2:2002

TCVN 6964-2:2008 hoàn toàn tương đương với ISO 2631-2:2003.

TCVN 6964-2:2008 do Ban kỹ thuật Tiêu chuẩn TCVN/TC 43/ SC1 “Rung động cơ học và chấn động” biên soạn, Tổng cục Tiêu chuẩn Đo lường Chất lượng đề nghị, Bộ Khoa học và Công nghệ công bố.

Bộ TCVN 6964 (ISO 2631) Rung động cơ học và chấn động – Đánh giá sự tiếp xúc của con người với rung động toàn thân” gồm 2 phần

TCVN 6964 – 1:2001 Phần 1: Yêu cầu chung

TCVN 6964-2:2008 Phần 2 Rung động trong công trình xây dựng

(Từ 1 Hz đến 80 Hz)

 

Lời giới thiệu

Người cư trú trong các công trình xây dựng có thể cảm nhận được ảnh hưởng của rung động tác động lên con người theo nhiều cách khác nhau. Đặc biệt là về mức độ tiện nghi và chất lượng cuộc sống của họ có thể bị suy giảm.

Để đánh giá rung động trong các công trình xây dựng theo khía cạnh về mức độ tiện nghi và sự khó chịu, ưu tiên sử dụng giá trị rung động theo đặc tính trọng số. Tổng các giá trị theo trọng số bao gồm các đặc tính trọng số tần số phù hợp của vị trí hoặc địa điểm trong công trình xây dựng có thể có sự hiện diện của con người.

Tiêu chuẩn này nhằm khuyến khích thu thập các dữ liệu về phản ứng của con người với rung động trong công trình xây dựng một cách thống nhất

 

RUNG ĐỘNG CƠ HỌC VÀ CHẤN ĐỘNG – ĐÁNH GIÁ SỰ TIẾP XÚC CỦA CON NGƯỜI VỚI RUNG ĐỘNG TOÀN THÂN – PHẦN 2: RUNG ĐỘNG TRONG CÔNG TRÌNH XÂY DỰNG (TỪ 1 HZ ĐẾN 80 HZ)

Mechanical vibration and shock – Evaluation of human exposure to whole-body vibration – Part 2: Vibration in building (1 Hz to 80 Hz)

1. Phạm vi áp dụng

Tiêu chuẩn này quan tâm đến tiếp xúc toàn thân của con người với rung động và chấn động theo khía cạnh về độ tiện nghi và sự khó chịu của người cư trú. Tiêu chuẩn này quy định phương pháp đo và đánh giá, bao gồm xác định hướng đo và vị trí đo. Tiêu chuẩn này chỉ rõ trọng số tần số Wm có thể áp dụng được trong dải tần số từ 1 Hz đến 80 Hz mà không cần xác định tư thế của người cư trú.

CHÚ THÍCH 1: Các trọng số tần số đưa ra trong TCVN 6964-1 (ISO 2631-1) có thể sử dụng nếu tư thế của người cư trú được xác định.

Tiêu chuẩn này sử dụng trường hợp các công trình xây dựng sẵn có cho việc khảo nghiệm. Các khái niệm trong tiêu chuẩn này có thể áp dụng tương tự cho một công trình xây dựng đang trong quá trình thiết kế hoặc sẽ không thể được coi như là một công trình xây dựng hiện tại. Trong trường hợp này, độ tin cậy sẽ phải dựa trên sự dự đoán phản ứng của công trình theo một vài phương pháp khác nhau.

Tiêu chuẩn này không cung cấp hướng dẫn về khả năng gây hư hại đến kết cấu mà đã được đề cập trong ISO 4866. Hơn nữa tiêu chuẩn này không áp dụng để đánh giá các ảnh hưởng đối với sự an toàn và sức khỏe con người.

Độ lớn cho phép của rung động không được đề cập đến trong tiêu chuẩn này.

CHÚ THÍCH 2 Hiện tại chưa thể đưa ra hướng dẫn về độ lớn cho phép của rung động cho đến khi có nhiều thông tin hơn được thu thập phù hợp với tiêu chuẩn này.

Định nghĩa toán học về trọng số tần số Wm được đưa ra trong Phụ lục A. Hướng dẫn về việc thu thập dữ liệu liên quan đến sự phàn nàn về rung động trong công trình xây dựng được đưa ra trong Phụ lục B.

2. Tài liệu viện dẫn

Các tài liệu viện dẫn sau đây cần thiết cho việc áp dụng tiêu chuẩn. Đối với các tài liệu ghi năm công bố thì áp dụng các bản được nêu. Đối với các tài liệu không ghi năm công bố thì áp dụng phiên bản mới nhất bao gồm cả các sửa đổi.

TCVN 6964-1:2002 (ISO 2631-1:1997), Rung động cơ học và chấn động-Đánh giá tiếp xúc của con người đến rung động toàn thân – Phần 1: Yêu cầu chung

ISO 8041, Human response to vibration – Measuring instrumentation (Phản ứng của con người với rung động – Thiết bị đo)

IEC 61260:1995, Electroacoustics – Octve-band and fractional-octave-band filters (Điện âm học – Các bộ lọc dải ôcta và một phần của ôcta).

3. Thuật ngữ và định nghĩa

Trong tiêu chuẩn này áp dụng các thuật ngữ và định nghĩa sau.

3.1. Đánh giá (evaluation)

Một loạt các hoạt động bao gồm khảo sát, đo đạc, xử lý, phân loại, mô tả, trị số, và trình bày các dữ liệu liên quan.

3.2. Công trình xây dựng (building)

Công trình tĩnh tại dùng để ở hoặc trụ sở của bất kỳ hoạt động nào của con người, bao gồm văn phòng, nhà máy, bệnh viện, trường học, trung tâm chăm sóc ban ngày.

3.3. Thời gian làm việc (work time)

Khoảng thời gian hoạt động, hoặc số giờ làm việc, của nguồn rung động được xác định bằng thời gian bắt đầu và kết thúc hàng ngày.

3.4. Thời gian tiếp xúc (exposure time)

Khoảng thời gian tiếp xúc với rung động xảy ra.

4. Đo rung động trong công trình xây dựng

4.1. Khái quát

Yêu cầu chung đối với tín hiệu và khoảng thời gian đo được quy định trong Điều 5.4 và Điều 5.5 của TCVN 6964-1:2002 (ISO 2631-1:1997):

4.2. Phương đo

Rung động phải được đo đồng thời theo cả 3 phương vuông góc. Với yêu cầu này, các phương của rung động được xác định theo kết cấu hơn là xác định theo tư thế của con người. Sự định hướng về phương đo của rung động theo kết cấu trên các trục x-,y– và z– đối với tư thế của người đứng được quy định trong TCVN 6964-1 (ISO 2631-1).

4.3. Vị trí đo

Việc đánh giá theo khía cạnh phản ứng của con người với rung động phải dựa trên cơ sở chỉ đánh giá trên thời gian hiện diện của người cư trú, các hoạt động của người cư trú và không xuất hiện nhiễu. Mỗi vị trí hoặc mỗi phòng liên quan phải được đánh giá theo các chuẩn cứ này. Rung động phải được đo tại vị trí có mặt người cư trú trong phòng nơi có xảy ra rung động theo trọng số tần số có độ lớn lớn nhất, hoặc theo hướng cụ thể, trên bề mặt thích hợp của kết cấu công trình xây dựng.

CHÚ THÍCH Có thể cần thiết để thực hiện một số phép đo tại một vị trí trong công trình xây dựng để xác định sự biến đổi của rung động.

4.4. Trọng số tần số

Rung động đo tại vị trí tương ứng và đo theo ba phương phù hợp với điều 4.2 và điều 4.3 phải được đo theo trọng số tần số. Tiêu chuẩn này (cũng như TCVN 6964-1 (ISO 2631-1)) sử dụng gia tốc theo trọng số tần số để biểu diễn độ lớn của rung động.

Khuyên dùng trọng số tần số Wm theo Phụ lục A khi đo theo hướng bất kỳ.

CHÚ THÍCH 1 Có thể dùng trọng số tần số theo TCVN 6964-1 (ISO 2631-1) nếu tư thế của người cư trú được xác định.

Phụ lục A đưa ra định nghĩa chính xác trọng số tần số Wm. Các giá trị trong Bảng A.1, áp dụng cho gia tốc rung như một đại lượng đầu vào, được tính toán khi sử dụng chính dải tần một phần ba ôcta cũng như dải tần giới hạn từ 1 Hz và 80 Hz. Hình A.1 biểu diễn bằng đồ thị trọng số tần số Wm.

CHÚ THÍCH 2 Wm trước đây được thiết kế là sự kết hợp của W.B.

4.5. Đánh giá rung động

4.5.1. Đo rung động

Giá trị của rung động được xác định bằng cách áp dụng các phương pháp đã nêu trong TCVN 6964-1 (ISO 2631-1). Cần phải xác định trục đo có cường độ rung lớn nhất theo trọng số và các giá trị thu được theo phương này được sử dụng để đánh giá.

Để đánh giá các kiểu khác nhau sau này, cũng như đánh giá ở bất kỳ nơi nào được khuyên dùng kỹ thuật đo ghi lại rung động theo thời gian phi trọng số ít nhất trong dải tần từ 1 Hz đến 80 Hz.

4.5.2. Các loại nguồn rung

Để đánh giá rung động, nên phân loại rung động theo các kiểu nguồn rung động phổ biến có trong thực tế để cảnh báo về tác hại của rung động. Có thể chấp nhận các độ lớn rung động khác nhau tùy theo các loại nguồn rung khác nhau. Để thiết lập hướng tiếp cận thống nhất mang tính quốc tế, các loại nguồn rung động dưới đây được xác định:

a) các quá trình liên tục hoặc bán liên tục, ví dụ trong công nghiệp;

b) các hoạt động gián đoạn thường xuyên, ví dụ giao thông;

c) các hoạt động có thời gian giới hạn (không thường xuyên), ví dụ xây dựng.

Các nguồn rung động này được lựa chọn nhằm phản ánh sự tiếp xúc của con người đối với các nguồn rung động khác nhau. Các nguồn rung động này không nhằm loại trừ nhau mà nhằm đưa ra một hướng dẫn áp dụng cho tiêu chuẩn này.

4.6. Thiết bị đo

Phải tuân theo các yêu cầu đối với thiết bị đo, bao gồm cả sai số, theo ISO 8041.

5. Phản ứng của con người với rung động trong công trình xây dựng

Kinh nghiệm của nhiều nước cho thấy rằng những người cư trú trong các công trình xây dựng có thể than phiền về rung động có hại trong khi độ lớn rung động chỉ vượt mức cho phép không đáng kể (xem TCVN 6964-1:2001 (ISO 2631-1:1997), Phụ lục C). Trong một vài trường hợp xuất hiện sự phàn nàn do hiệu ứng phụ kết hợp với rung động, thí dụ tiếng ồn bức xạ (xem Phụ lục B). Nói chung, độ lớn rung chấp nhận được có thể liên quan tới các yếu tố về kinh tế, xã hội và môi trường. Chúng không được xác định bằng các yếu tố về mức độ nguy hại cho sức khỏe trong thời gian ngắn và hiệu suất làm việc. Trong tất cả các trường hợp trong thực tế độ lớn rung động từ máy móc tạo ra không thể gây mệt mỏi trực tiếp.

Trong trường hợp độ lớn rung động cao hơn đáng kể so với sức có thể chịu đựng được, đặc biệt là các nhiễu tạm thời và các sự kiện nhất thời. Ví dụ trong trường hợp này là các dự án xây dựng. Bất kỳ thông số gây giật mình nào có thể được giảm đi do chương trình quan hệ cộng đồng thích hợp bao gồm các thông báo như tín hiệu cảnh báo và/ hoặc các sự kiện liên quan hàng này. Chỉ trong những trường hợp thật đặc biệt mới phải tham khảo giới hạn “sức khoẻ” được quy định trong TCVN 6964-1 (ISO 2631-1). Trong trường hợp xuất hiện rung động trong một thời gian dài, thì sự thích nghi trong thời gian dài đó có thể gây ra sự thay đổi về ngưỡng có hại.

 

Phụ lục A
(quy định)

Định nghĩa toán học về trọng số tần số Wm

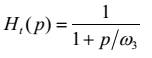
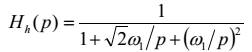
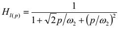
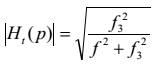
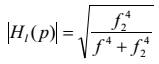
Các tần số fi (i = 1 đến 3) là các thông số của hàm truyền xác định tất cả trọng số tần số Wm. Hàm truyền, H(p), biểu diễn như một tích số của 3 yếu tố [bộ lọc cho qua tần số cao Hh(p), bộ lọc cho qua tần số thấp Hl(p) và hàm trọng số thuần Ht(p)], như sau, trong đó wi = 2pfi p = j2pf.

Giới hạn dải (bộ lọc với đặc tính Butterworth bậc hai); f1 f2 là các tần số góc):

A) Cho qua tần số cao

(A.1)

(A.2)

Trong đó

F1 = 10-0,1 Hz = 0,7943… Hz

B) Cho qua tần số thấp

(A.3)

(A.4)

Trong đó

f2 = 100 Hz

Trọng số tần số thuần (với gia tốc là đại lượng đầu vào):

(A.5)

(A.6)

Trong đó

Hàm truyền, H(p), với trọng số tần số giới hạn dải Wm được tính bằng tích của trị số bộ lọc cho qua tần số cao Hh(p), bộ lọc cho qua tần số thấp Hl(p) và hàm trọng số thuần Ht(p):

H(p) = Hh(p). Hl(p). Ht(p)                                                             (A.7)

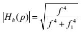
CHÚ THÍCH Biểu diễn chung nhất phương trình này (về tần số) thường được hiểu là mô đun (độ lớn) và pha dưới dạng một số phức là hàm của tần số góc ảo p = j2pf. Đôi khi ký hiệu s dùng thay cho p. Như thế p có thể hiểu là một biến của biến đổi Laplace.

Mô đun (độ lớn) |H(p)| được biểu diễn bằng đồ thị trên Hình A1.

Các trị số của trọng số tần số Wm theo các dải 1/3 ôcta, được tính toán khi dùng các tần số trung tâm thực, bao gồm giới hạn dải tần số 1 Hz đến 80 Hz, được cho ở Bảng A.1 khi gia tốc là đại lượng đầu vào.

Hình A.1- Trọng số tần số Wm, với gia tốc là đại lượng đầu vào

Bảng A.1 – Các trị số của trọng số tần số Wm cho gia tốc là đại lượng đầu vào

(ở các dải 1/3 ôcta, được tính khi dùng các tần số trung tâm thực, với giới hạn dải từ 1 Hz đến 80 Hz)

X

Tần số, Hz

Wm

Thông số

Wm

dB

Danh nghĩa

Thực

-7

-6

-5

-4

-3

-2

-1

0

1

2

3

4

5

6

7

8

9

10

11

12

13

14

15

16

17

18

19

20

21

22

23

24

25

26

0,2

0,25

0,315

0,4

0,5

0,63

0,8

1

1,25

1,6

2

2,5

3,15

4

5

6,3

8

10

12,5

16

20

25

31,5

40

50

63

80

100

125

160

200

250

315

400

0,1995

0,2512

0,3162

0,3981

0,5012

0,6310

0,7943

1,000

1,259

1,585

1,995

2,512

3,162

3,981

5,012

6,310

7,943

10,00

12,59

15,85

19,95

25,12

31,62

39,81

50,12

63,10

79,43

100,0

125,9

158,5

199,5

251,2

316,2

398,1

0,0629

0,0994

0,156

0,243

0,368

0,530

0,700

0,833

0,907

0,934

0,932

0,910

0,872

0,818

0,750

0,669

0,582

0,494

0,411

0,337

0,274

0,220

0,176

0,140

0,109

0,0834

0,0604

0,0401

0,0241

0,0133

0,00694

0,00354

0,00179

0,000899

-24,02

-20,05

-16,12

-12,29

-8,67

-5,51

-3,09

-1,59

-0,85

-0,59

-0,61

-0,82

-1,19

-1,74

-2,50

-3,49

-4,70

-6,12

-7,71

-9,44

-11,25

-13,14

-15,09

-17,10

-19,23

-21,58

-24,38

-27,93

-32,37

-37,55

-43,18

-49,02

-54,95

-60,92

CHÚ THÍCH x là số dải tần số, theo IEC 61260:1995

 

Phụ lục B
(tham khảo)

Hướng dẫn việc thu thập dữ liệu liên quan đến phản ứng con người với rung động trong công trình xây dựng

B.1. Lời giới thiệu

Con người thường phản ứng tiêu cực với rung động trong công trình. Nội dung chính của tiêu chuẩn này quan tâm đến phép đo và đánh giá rung động toàn thân. Phần phụ lục này khuyến khích người sử dụng thu thập các dữ liệu nhằm xem xét tất cả các thông số có ảnh hưởng đến con người trong các công trình xây dựng và gây ra các lời phàn nàn.

Phản ứng của con người với rung động trong các công trình xây dựng rất phức tạp. Trong nhiều trường hợp thì mức độ khó chịu và những lời phàn nàn không thể diễn giải trực tiếp chỉ bằng thông số độ lớn rung động. Trong một vài điều kiện về biên độ và tần số, các yêu cầu có thể nảy sinh trong khi rung động toàn thân đo được thấp hơn mức cho phép.

Việc phân tích những lời phàn nàn trên cho thấy các thông số khác liên quan đến nguồn rung động (ví dụ thời gian làm việc) hoặc rung động sinh ra ở khu vực tiếp xúc (ví dụ: tiếng ồn thứ cấp) cũng có thể giải thích cho những phàn nàn

Cùng với việc đánh giá các hiện tượng trên các thông số rung động đo được cho phép xác định rõ hơn mức khó chịu của rung động trong các công trình xây dựng.

Các nguồn rung động trong và ngoài công trình xây dựng có thể sinh ra rung động toàn thân, cùng với các hiện tượng gắn với tiếng ồn kết cấu, tiếng ồn truyền qua không khí, tiếng rầm rầm, di chuyển đồ đạc và các vật khác cũng như các tác động có thể trông thấy (thí dụ: chuyển động của các vật treo). Cần phải nghiên cứu hết tất cả những tác động này khi đánh giá những lời phàn nàn của con người.

Việc thu thập dữ liệu về các hiện tượng kết hợp nhằm mục đích làm đơn giản việc xác định kết quả sau cùng của chỉ số chung về những khó chịu do rung động. Chỉ số này có thể được sử dụng làm cơ sở để cập nhật cho lần xuất bản tới tiêu chuẩn này.

B.2. Các thông số cần quan tâm

B.2.1. Khái quát

Các yếu tố sau cần phải nghiên cứu, và có thể ghi lại ở nơi thích hợp.

B.2.2. Các thông số liên quan đến nguồn

Thời gian bắt đầu và kết thúc hàng ngày khi nguồn rung động hoạt động trong suốt quá trình đo phải được mô tả trong báo cáo.

Tổng thời gian và số lượng các hiện tượng hàng ngày hoặc hàng tuần, và bản chất của rung động cũng phải được chú ý, ví dụ như:

– nguồn thường xuyên: ban ngày, ban đêm hoặc cả ban ngày và ban đêm;

– nguồn ngắt quãng: thời gian hoạt động của nguồn và số lượng hoạt động mỗi ngày hoặc mỗi đêm;

– nguồn riêng biệt và không thường xuyên: thời gian hoạt động của nguồn và số lượng hoạt động mỗi ngày, mỗi tuần hoặc mỗi tháng.

B.2.3. Các thông số liên quan đến rung động được đo

B.2.3.1. Đo rung động

Vị trí đo, phương pháp đo và quy trình lấy trọng số phải được áp dụng phù hợp với tiêu chuẩn này.

B.2.3.2. Đặc tính của rung động

Phản ứng chủ quan cũng là một hàm của đặc tính rung động. Đặc tính này có thể được xác định theo bản chất của rung động đã được đo, thí dụ:

– rung động kiểu liên tục, với độ lớn thay đổi hoặc không thay đổi theo thời gian;

– rung động kiểu không liên tục, với độ lớn của mỗi khoảng là không đổi hoặc thay đổi theo thời gian;

– rung động kiểu xung, như chấn động.

B.2.3.3. Thời gian tiếp xúc

Thời gian tiếp xúc của người bị ảnh hưởng có thể cũng rất quan trọng cho việc đánh giá. Thời gian có mặt của người cư trú trong công trình phải được ghi lại.

Thời gian thực tế và khoảng thời gian xuất hiện rung động cũng phải được ghi lại.

B.2.4. Các hiện tượng đi kèm

B.2.4.1. Tiếng ồn kết cấu

Một hiện tượng phổ biến liên quan tới rung động trong công trình xây dựng là tiếng ồn kết cấu (còn gọi là là tiếng ồn truyền qua đất) mà có thể nghe được như tiếng ồn thứ cấp. Tiếng ồn này có liên quan đến sự xuất hiện của rung động.

Tiếng ồn kết cấu phải đo tại địa điểm gây ồn nhất trong phòng. Tiếng ồn này thường bị che lấp bởi tiếng ồn môi trường từ các nguồn khác và khó xác định rõ ràng. Việc đánh giá tiếng ồn này phải thực hiện bằng nhận biết về bản chất và độ lớn của nó với các điều kiện môi trường xung quanh chi tiết cụ thể.

B.2.4.2. Tiếng ồn truyền theo không khí

Tiếng ồn truyền theo không khí có thể được sinh ra do rung động, có liên quan tới rung động, và các nguồn rung động của nó. Phương pháp đo tiếng ồn tuân theo TCVN 7878-1 (ISO 1996-1).

Đối với mức ồn truyền theo không khí, phương pháp đo phải chỉ ra phép đo được tiến hành khi cửa sổ mở hoặc đóng. Cần chú ý là cửa sổ có thể gây tiếng cót két và cách đo có thể thay đổi.

Tiếng ồn truyền theo không khí có tần số thấp cũng có thể là một vấn đề liên quan đến rung động. Các nguồn ồn cụ thể này bao gồm đường trên cao và cầu đường sắt và các hệ thống vận chuyển hàng trên không. Cần phải điều tra để xác định đúng các nguồn ồn khác nhau và đảm bảo có thể phân biệt được giữa tiếng ồn tần số thấp và rung động.

B.2.4.3. Tiếng cọt kẹt

Tiếng cọt kẹt của cửa sổ hoặc đồ trang trí sinh ra rung động hoặc dao động âm thanh. Hiện tượng đó có thể sinh ra rung động và phải báo cáo.

B.2.4.4. Các hiệu ứng nhìn được

Trong trường hợp rung động tần số thấp (< 5=”” hz)=”” thì=”” rung=”” động=”” có=”” thể=”” quan=”” sát=”” được,=”” như=”” hiện=”” tượng=”” lắc=”” lư=”” của=”” tranh=”” treo.=”” các=”” nhân=”” tố=”” này=”” có=”” thể=”” gây=”” nhiễu=”” và=”” phải=”” báo=””>

B.3. Thông tin báo cáo

Cùng với độ lớn rung động đo được, thông tin phải được báo cáo về các hiện tượng kết hợp có liên quan:

– mức tiếng ồn đo được;

– các hiện tượng quan sát được bằng mắt;

– mô tả các phàn nàn của con người đã xác định, ví dụ: bằng bảng câu hỏi hoặc phỏng vấn.

 

Thư mục tài liệu tham khảo

[1] TCVN 7878 -1 (ISO 1996 – 1) Âm học – Mô tả, đo và đánh giá tiếng ồn môi trường – Phần 1: Các đại lượng cơ bản và phương pháp đánh giá.

[2] ISO 4866, Mechanical vibration and shock – Vibration of buildings – Guidelines for the measurement of vibrations and evaluation of their effects on buildings

[3] BS 6472, Guide to evaluation of human exposure to vibration in buildings (1 Hz to 80 Hz)

[4] DIN 4150-2, Erschutterungen im Bauwesen – Tei12: Einwirkungen auf Menschen in Gebauden (Vibrations in buildings – Part 2: Effects on persons in buildings)

[5] ERIKSSON, P.-E. Vibration of low-frequency floors: Dynamic forces and response prediction. PhD thesis, Chalmers University of Technology, Sweden, 1994

[6] GAMBER, A. Probleme bei der Beurteilung der Wirkung stof!artiger horizontaler Schwingungen auf Menschen in Gebauden. Berichte der Landesanstalt fur Umweltschutz Baden-Wurttemberg, 1, 1991, pp. 90-94

[7] GRIFFIN, M.J. Handbook of human vibration. Academic Press, London, New York, 1996

[8] GRUB, E., NOTBOHM, G., ZIMMERMANN, P. and SPLITTGERBER, B. Arbeitspsychologische Bewertung von Ganzkorperschwingungen; Experimentelle Untersuchungen zur Wirkung von mechanischen Schwingungen auf den Menschen. Veroffentlichungen aus Lehre, angewandter Forschung and Weiterbildung, Fachhochschule Wiesbaden, 1991

[9] HOWARTH, H.V.C. A review of experimental investigations of the time dependency of subjective reaction to whole-body vibration. United Kingdom Group on Human Response to Vibration, 1986

[10] HOWARTH, H.V.C. and GRIFFIN, M.J. Subjective response to combined noise and vibration; summation and interaction effects. Journal of Sound and Vibration, 1990

[11] HOWARTH, H.V.C. and GRIFFIN, M.J. The annoyance caused by simultaneous noise and vibration. Journal of the Acoustical Society of America, 1991

[12] HUBBARD. Noise-induced house vibrations and human perception. Noise Control Engineering Journal, 1982

[13] INNOCENT, P.R. and SANDOVER, J. A pilot study of the effects of noise and vibration acting together; subjective assessment and task performance. United Kingdom Group on Human Response to Vibration, Sheffield, 1972

[14] JAKOBSEN. Buildings: Vibration and shock, Evaluation of annoyance, Nordtest Method, 1991

[15] MELKE, J. Dürchfuhrung von Immissionsprognosen fur Schwingungs – and Körperschalleinwirkungen. Landesanstalt für Immissionsschutz Nordrhein-Westfalen, Essen, 1992

[16] MELONI, T., and KRUEGER, H. Wahrnehmung and Empfindung von kombinierten Belastungen durch Larm and Vibration. Zeitschrift fur Larmbekampfung, 37, 1990, pp. 170-175

[17] MIWA, T. and YONEKAWA, Y. Measurement and evaluation of environmental vibrations, Part 2: Interaction of sound and vibration. Industrial Health, 11, 1973

[18] MIWA, T., YONEKAWA, Y. and KANADA, K. Thresholds of perception of vibration in recumbent men. Journal of the Acoustical Society of America, 75, 1984, pp. 849-854

[19] OBORNE, D.J. Whole-body vibrations and international standard ISO 2631; a critique. Human Factors, 25 (1), 1983, pp. 55-69

[20] OKADA, A. and KAJIKAWA, Y. Factors affecting the perception of low-level vibrations. Eur. J. Appl. Occup. Physiol., 47 (2), 1981, pp. 151-157

[21] PARSONS, K.C. and GRIFFIN, M.J. Whole-body vibration thresholds. Journal of Sound and Vibration, 121 (2), 1987

[22] PAULSEN and KASTKA. Effects of combined noise and vibration on annoyance. Medical Institute of Environmental Hygiene at the Heinrich-Heine-University, Dusseldorf, 1994

[23] RUFFELL, C.M. and GRIFFIN, M.J. Effect of 1 Hz and 2 Hz transient vertical vibration on discomfort. Journal of the Acoustical Society of America, 98 (4), 1995

[24] SEIDEL, H. and HEIDE, R. Long-term effects of whole-body vibration; a critical survey of the literature. International Archives of Occupational and Environmental Health, 58 (1), 1986, pp. 1-26

[25] SPLITTGERBER, H. Whole-body vibration perception thresholds for some complex vibrations. Institut National de Recherche et de Securite, Vandoeuvre-les-Nancy, 1988

[26] STARK, J., PEKKARINEN, J., PYYKKOE, I., AALTO, H. and TOPPILA, E. Transmission of vibration from support surface to human body in the evaluation of postural stability. Journal of Low-Frequency Noise and Vibration, 10 (1), 1991, p. 17

[27] TANTAWY, T. Investigation technique concernant les vibrations de l’etre humain dans le batiment. CERS, Research Reports for the Ministry of Environment, France, 1991

[28] TANTAWY, T. Investigation sur la determination des parametres de la gene par vibrations dans les batiments. CERS, Research reports for the Ministry of Environment, France, 1993

[29] TANTAWY, T. Investigation en vue de la quantification d’un indicateur de la gene par vibrations de l’etre humain dans le batiment. CERS, Research Reports for the Ministry of Environment, France, 1994

[30] WOODROOF, H.J. Annoyance caused by railway-induced building vibration to residents living within 100 meters of railway lines in Scotland, UK. United Kingdom Group on Human Response to Vibration, Derby, 1985

[31] WOODROOF, H.J. and GRIFFIN, M.J. A survey of the effect of railway-induced building vibration on the community. ISVR Technical Report, No. 160, 1987

[32] YAMADA, S., SUEKI, M., HAGIWARA, S., WATANABE, T. and KOSAKA, T. Psychological combined effects of low-frequency noise and vibration. Journal of Low-Frequency Noise and Vibration, 10 (4), 1991, pp. 130-136

[33] YOKOYAMA, T., OSAKO, S. and YAMAMOTO, K. Temporary threshold shifts produced by exposure to vibration, noise and vibration plus noise. Acta Otolaryng, 78, 1974, pp. 207-212

 

Leave a Reply

Your email address will not be published. Required fields are marked *