Tiêu chuẩn Việt Nam TCVN7870-11:2009

  • Loại văn bản: Tiêu chuẩn Việt Nam
  • Số hiệu: TCVN7870-11:2009
  • Cơ quan ban hành: ***
  • Người ký: ***
  • Ngày ban hành: ...
  • Ngày hiệu lực: ...
  • Lĩnh vực: Lĩnh vực khác
  • Tình trạng: Không xác định
  • Ngày công báo: ...
  • Số công báo: Còn hiệu lực

Nội dung toàn văn Tiêu chuẩn quốc gia TCVN 7870-11:2009 (ISO 80000-11 : 2008) về Đại lượng và đơn vị – Phần 11: Số đặc trưng


TIÊU CHUẨN QUỐC GIA

TCVN 7870-11 : 2009

ISO 80000-11 : 2008

ĐẠI LƯỢNG VÀ ĐƠN VỊ – PHẦN 11: SỐ ĐẶC TRƯNG

Quantities and units – Part 11: Characteristic numbers

Lời nói đầu

TCVN 7870-11 : 2009 thay thế cho TCVN 6398-12 : 2000 (ISO 31-12 : 1992);

TCVN 7870-11 : 2009 hoàn toàn tương đương với ISO 80000-11 : 2008;

TCVN 7870-11 : 2009 do Ban kỹ thuật tiêu chuẩn quốc gia TCVN/TC 12 Đại lượng và đơn vị đo lường biên soạn, Tổng cục Tiêu chuẩn Đo lường Chất lượng đề nghị, Bộ Khoa học và Công nghệ công bố.

Lời giới thiệu

0.0. Giới thiệu chung

TCVN 7870-11 : 2009 do Ban Kỹ thuật Tiêu chuẩn về Đại lượng và Đơn vị đo lường TCVN/TC12 biên soạn. Mục tiêu của Ban Kỹ thuật TCVN/TC12 là tiêu chuẩn hóa đơn vị và ký hiệu cho các đại lượng và đơn vị (kể cả ký hiệu toán học) dùng trong lĩnh vực khoa học và công nghệ, hệ số chuyển đổi tiêu chuẩn giữa các đơn vị; đưa ra định nghĩa của các đại lượng và đơn vị khi cần thiết.

Bộ TCVN 7870, chấp nhận bộ tiêu chuẩn ISO 80000, gồm các phần dưới đây có tên chung “Đại lượng và đơn vị”:

– TCVN 7870-3 : 2007 (ISO 800003 : 2006), Phần 3: Không gian và thời gian

– TCVN 7870-4 : 2007 (ISO 80000-4 : 2006), Phần 4: Cơ học

– TCVN 7870-5 : 2007 (ISO 80000-5 : 2007), Phần 5: Nhiệt động lực học

– TCVN 7870-8 : 2007 (ISO 80000-8 : 2007), Phần 8: Âm học

– TCVN 7870-7 : 2009 (ISO 80000-7 : 2008), Phần 7: Ánh sáng

– TCVN 7870-11 : 2009 (ISO 80000-11 : 2008), Phần 11: Số đặc trưng

Bộ tiêu chuẩn ISO 80000 còn có các phần dưới đây có tên chung “Quantities and units”:

– Part 1: General

– Part 2: Mathematical signs and symbols for use in the natural sciences and technology

– Part 9: physical chemistry and molecular physics

– Part 10: Atomic and nuclear physics

– Part 12: Solid state physics

Bộ tiêu chuẩn IEC 80000 gồm các phần dưới đây có tên chung Quantities and units”:

– Part 6: Electromagnetism

– Part 13: Information science and technology

– Part 14: Telebiometrics related to human physiology

0.1. Cách sắp xếp các bảng

Tất cả các số đặc trưng là đại lượng có thứ nguyên một. Do đó, đơn vị của số đặc trưng là số một, ký hiệu là 1. Đơn vị này không được nhắc lại trong các bảng dưới đây.

Trong trường hợp việc đánh số mục thay đổi so với phiên bản cũ của TCVN 6398 (ISO 31), thì con số trong phiên bản cũ được cho trong ngoặc đơn, phía dưới con số mới của đại lượng đó; dấu gạch ngang chỉ ra rằng mục đó không có trong phiên bản cũ.

0.2. Bảng đại lượng

Tên các đại lượng quan trọng nhất thuộc lĩnh vực của tiêu chuẩn này được đưa ra cùng với ký hiệu của chúng, và trong phần lớn các trường hợp, cả định nghĩa của chúng. Các tên gọi và ký hiệu này là khuyến nghị. Những định nghĩa này được đưa ra chủ yếu để nhận biết các đại lượng trong Hệ đại lượng quốc tế (ISQ), liệt kê trong các bảng; không nhất thiết là định nghĩa đầy đủ.

Đặc trưng vô hướng, véctơ hay tenxơ của một số đại lượng được đưa ra, đặc biệt khi cần cho định nghĩa.

Trong phần lớn các trường hợp, chỉ một tên và một ký hiệu được đưa ra cho một đại lượng; nếu hai hay nhiều tên hoặc hai hay nhiều ký hiệu được đưa ra cho cùng một đại lượng và không có sự phân biệt đặc biệt nào thì chúng bình đẳng như nhau. Nếu tồn tại hai loại chữ nghiêng (ví dụ Jq; jf; aa; gg) thì chỉ một trong hai được đưa ra. Điều đó không có nghĩa là loại chữ kia không được chấp nhận. Nói chung khuyến nghị rằng các ký hiệu như vậy không được cho những nghĩa khác nhau. Ký hiệu trong ngoặc đơn là ký hiệu dự trữ để sử dụng trong bối cảnh cụ thể khi ký hiệu chính được dùng với nghĩa khác.

0.3. Chú thích về đơn vị của các đại lượng có thứ nguyên một hay đại lượng không thứ nguyên

Đơn vị của đại lượng có thứ nguyên một, còn gọi là đại lượng không thứ nguyên, là số một (1). Khi biểu thị giá trị của đại lượng này thì đơn vị 1 thường không được viết ra một cách tường minh.

VÍ DỤ 1:            Chỉ số khúc xạ              n = 1,53 x 1 = 1,53

Không được dùng các tiền tố để tạo ra bội hoặc ước của đơn vị này. Có thể dùng lũy thừa của 10 để thay cho các tiền tố.

VÍ DỤ 2:            Số Reynon        Re = 1,32 x 103

Vì góc phẳng thường được thể hiện bằng tỷ số giữa hai độ dài, còn góc khối được thể hiện bằng tỷ số giữa hai diện tích, nên năm 1995 CGPM đã qui định là trong Hệ đơn vị quốc tế, radian, ký hiệu là rad, và steradian, ký hiệu là sr, là các đơn vị dẫn xuất không thứ nguyên. Điều này ngụ ý rằng các đại lượng góc phẳng và góc khối được coi là đại lượng dẫn xuất có thứ nguyên một. Do đó, các đơn vị radian và steradian bằng một (1); chúng cũng có thể được bỏ qua hoặc có thể dùng trong biểu thức của các đơn vị dẫn xuất để dễ dàng phân biệt giữa các đại lượng có bản chất khác nhau nhưng có cùng thứ nguyên.

 

ĐẠI LƯỢNG VÀ ĐƠN VỊ – PHẦN 11: SỐ ĐẶC TRƯNG

Quantities and units – Part 11: Characteristic numbers

1. Phạm vi áp dụng

Tiêu chuẩn này qui định tên, ký hiệu và định nghĩa của các số đặc trưng dùng để mô tả các hiện tượng lưu chuyển.

2. Tài liệu viện dẫn

Các tài liệu viện dẫn dưới đây rất cần thiết cho việc áp dụng tiêu chuẩn này. Đối với các tài liệu ghi năm công bố thì áp dụng bản được nêu. Đối với các tài liệu không ghi năm công bố thì áp dụng bản mới nhất, bao gồm cả các sửa đổi.

TCVN 7870-3 : 2007 (ISO 80000-3 : 2006), Đại lượng và đơn vị – Phần 3: Không gian và thời gian

TCVN 7870-4 : 2007 (ISO 80000-4 : 2006), Đại lượng và đơn vị – Phần 4: Cơ học

TCVN 7870-5 : 2007 (ISO 80000-5 : 2007), Đại lượng và đơn vị – Phần 5: Nhiệt động lực học

TCVN 7870-8 : 2007 (ISO 80000-8 : 2007), Đại lượng và đơn vị – Phần 8: Âm học

IEC 80000-6:2008, Quantities and units – Part 6: Electromagnetism (Đại lượng và đơn vị – Phần 6: Hiện tượng điện từ)

ISO 80000-9: 1), Quantities and units – Part 9: Physical chemistry and molecular physics (Đại lượng và đơn vị – Phần 9: Hóa lý và vật lý phân tử)

3. Tên, ký hiệu và định nghĩa

Tên, ký hiệu và định nghĩa của các số đặc trưng được trình bày trong các trang sau.

4. Lưu chuyển động lượng

Số mục

Tên

Ký hiệu

Định nghĩa

Chú thích

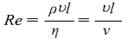
11-4.1 (12-1)

Số Reynolds

Re

trong đó ρ là khối lượng riêng

(TCVN 7870-4:2007, mục 4-2), u là tốc độ

(TCVN 7870-3:2007, mục 3-8.1), l là độ dài TCVN 7870-3:2007, mục 3-1.1), η là độ nhớt động lực (TCVN 7870-4:2007, mục 4-23), và ν là độ nhớt động (TCVN 7870-4:2007 , mục 4-24)

 

11-4.2 (12-2)

Số Euler

Eu

trong đó p là áp suất

(TCVN 7870-4:2007, mục 4-15.1), ρ là khối lượng riêng

(TCVN 7870-4:2007, mục 4-2), u là tốc độ

(TCVN 7870-3:2007, mục 3-8.1)

Đôi khi hai lần số Euler như định nghĩa ở đây được gọi là số Euler. Định nghĩa này không được chấp nhận.

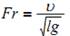
11-4.3 (12-3)

Số Froude

F r

trong đó u là tốc độ (TCVN 7870-3:2007, mục 3-8.1), l là độ dài TCVN 7870-3:2007, mục 3-1.1), và g là gia tốc rơi tự do (TCVN 7870-3:2007, mục 3-9.2)

Đôi khi bình phương của số Froude number như định nghĩa ở đây được gọi là số Froude. Định nghĩa này không được chấp nhận.

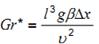
11-4.4 (12-4)

Số Grashof

Gr

trong đó l là độ dài TCVN 7870-3:2007, mục 3-1.1), và g là gia tốc rơi tự do (TCVN 7870-3:2007, mục 3-9.2), a là hệ số nở thể tích (TCVN 7870-5:2007, mục 5-3.2), T là nhiệt độ nhiệt động lực (TCVN 7870-5:2007, mục 5-1), và ν là độ nhớt động (TCVN 7870-4:2007, mục 4-24)

 

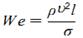
11-4.5 (12-5)

Số Weber

W e

trong đó ρ là khối lượng riêng

(TCVN 7870-4:2007, mục 4-2), u là tốc độ (TCVN 7870-3:2007, mục 3-8.1), l là độ dài TCVN 7870-3:2007, mục 3-1.1), và σ suất căng bề mặt (TCVN 7870-4:2007, mục 4-25)

 

11-4.6 (12-6)

Số Mach

Ma

Ma = u/c

trong đó u là tốc độ (TCVN 7870-3:2007, mục 3-8.1) và c là tốc độ âm thanh (TCVN 7870-8:2007, mục 8-14.1)

 

11-4.7 (12-7)

Số Knudsen

Kn

Kn = λ/l

trong đó λ là quãng đường tự do trung bình (ISO 80000-9:—, mục 9-38) và l là độ dài TCVN 7870-3:2007, mục 3-1.1)

 

11-4.8 (12-8)

Số Strouhal

Sr

Sr = lf /u

trong đó l là độ dài TCVN 7870-3:2007, mục 3-1.1), f là tần số (TCVN 7870-3:2007, mục 3-15.1), và u là tốc độ (TCVN 7870-3:2007, mục 3-8.1)

 

5. Lưu chuyển nhiệt

Số mục

Tên

Ký hiệu

Định nghĩa

Chú thích

11-5.1 (12-9)

Số Fourier

Fo

trong đó λ là độ dẫn nhiệt (TCVN 7870-5:2007, mục 5-9), t là thời gian (TCVN 7870-3:2007, mục 3-7), cp là nhiệt dung riêng đẳng áp (TCVN 7870-5:2007, mục 5-16.2), ρ là khối lượng riêng (TCVN 7870-4:2007, mục 4-2), l là độ dài (TCVN 7870-3:2007, mục 3-1.1), và a là độ khuếch tán nhiệt (TCVN 7870-5:2007, mục 5-14)

 

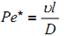
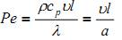
11-5.2 (12-10)

Số Peclet

Pe

trong ρ là khối lượng riêng (TCVN 7870-4:2007, mục 4-2), cp là nhiệt dung riêng đẳng áp (TCVN 7870-5:2007, mục 5-16.2), u là tốc độ (TCVN 7870-3:2007, mục 3-8.1), l là độ dài (TCVN 7870-3:2007, mục 3-1.1), λ là độ dẫn nhiệt (TCVN 7870-5:2007, mục 5-9), và a là độ khuếch tán nhiệt (TCVN 7870-5:2007, mục 5-14)

Pe = Re · Pr

11-5.3 (12-11)

Số Rayleigh

Ra

trong đó l là độ dài (TCVN 7870-3:2007, mục 3-1.1), ρ là khối lượng riêng (TCVN 7870-4:2007, mục 4-2), cp là nhiệt dung riêng đẳng áp (TCVN 7870-5:2007, mục 5-16.2), g là gia tốc rơi tự do (TCVN 7870-3:2007, mục 3-9.2), α là hệ số nở thể tích (TCVN 7870-5:2007, mục 5-3.2), T là nhiệt độ nhiệt động lực (TCVN 7870-5:2007, mục 5-1), η là độ nhớt động lực (TCVN 7870-4:2007, mục 4-23), λ là độ dẫn nhiệt (TCVN 7870-5:2007, mục 5-9), ν là độ nhớt động (TCVN 7870-4:2007, mục 4-24), và a là độ khuếch tán nhiệt (TCVN 7870-5:2007, mục 5-14)

Ra = Gr · Pr

11-5.4 (12-12)

Số Nusselt

N u

Nu =

trong đó K là hệ số truyền nhiệt (TCVN 7870-5:2007, mục 5-10.1), l là độ dài (TCVN 7870-3:2007, mục 3-1.1), và λ độ dẫn nhiệt (TCVN 7870-5:2007, mục 5-9)

Sử dụng tên “số Biot” (Bi) khi số Nusselt được dùng cho lưu chuyển nhiệt đối lưu.

11-5.5 (—)

Số Biot

Bi

Bi =

trong đó K là hệ số truyền nhiệt (TCVN 7870-5:2007, mục 5-10.1), l là độ dài (TCVN 7870-3:2007, mục 3-1.1), và λ độ dẫn nhiệt (TCVN 7870-5:2007, mục 5-9) của chất rắn

 

11-5.6 (12-13)

Số Stanton

St

trong đó K là hệ số truyền nhiệt (TCVN 7870-5:2007, mục 5-10.1), ρ là khối lượng riêng (TCVN 7870-4:2007, mục 4-2), u là tốc độ (TCVN 7870-3:2007, mục 3-8.1), và cp là nhiệt dung riêng đẳng áp (TCVN 7870-5:2007, mục 5-16.2)

St = N u/P e

đôi khi gọi là số Margoulis,

M s.

Số

j = St · P r2/3  được gọi là thừa số truyền nhiệt.

6. Lưu chuyển vật chất trong hỗn hợp hai thành phần

Số mục

Tên

Ký hiệu

Định nghĩa

Chú thích

11-6.1 (12-14)

Số Fourier cho truyền khối lượng

F o

Fo =

trong đó D là hệ số khuếch tán (ISO 80000-9:—, mục 9-39), t là thời gian (TCVN 7870-3:2007, mục 3-7), và l là độ dài (TCVN 7870-3:2007, mục 3-1.1)

F o = F o/Le

So sánh với 11-5.1.

11-6.2 (12-15)

Số Péclet cho truyền khối lượng

P e

trong đó u là tốc độ (TCVN 7870-3:2007, mục 3-8.1), l là độ dài (TCVN 7870-3:2007, mục 3-1.1), và D là hệ số khuếch tán (ISO 80000-9:—, mục 9-39)

P e = Re · Sc = Pe · Le

So sánh với 11-5.2.

11-6.3 (12-16)

Số Grashof cho truyền khối lượng

Gr

trong đó l là độ dài (TCVN 7870-3:2007, mục 3-1.1), g là gia tốc rơi tự do (TCVN 7870-3:2007, mục 3-9.2), β = −(1/ρ)(∂ρ/∂x)T ,p, ρ là khối lượng riêng (TCVN 7870-4:2007, mục 4-2), x là tỷ lệ lượng-chất (ISO 80000-9:—, mục 9-14.1), và u là tốc độ (TCVN 7870-3:2007, mục 3-8.1)

So sánh với 11-4.4.

11-6.4 (12-17)

Số Nusselt cho truyền khối lượng

N u

Nu* =

trong đó k là hệ số truyền khối lượng: (m/t)/(A ∆x), m là khối lượng (TCVN 7870-4:2007, mục 4-1), t là thời gian (TCVN 7870-3:2007, mục 3-7), A là diện tích (TCVN 7870-3:2007, mục 3-3), x là tỷ lệ lượng-chất (ISO 80000-9:—, mục 9-14.1), l là độ dài (TCVN 7870-3:2007, mục 3-1.1), ρ là khối lượng riêng (TCVN 7870-4:2007, mục 4-2), và D là hệ số khuếch tán (ISO 80000-9:—, mục 9-39)

Đôi khi gọi là số

Sherwood, Sh.

So sánh với 11-5.4.

11-6.5 (12-18)

Số Stanton cho truyền khối lượng

St

St* =

trong đó k là hệ số truyền khối lượng: (m/t)/(A ∆x), m là khối lượng (TCVN 7870-4:2007, mục 4-1), t là thời gian (TCVN 7870-3:2007, mục 3-7), A là diện tích (TCVN 7870-3:2007, mục 3-3), x là tỷ lệ lượng-chất (ISO 80000-9:—, mục 9-14.1), ρ là khối lượng riêng (TCVN 7870-4:2007, mục 4-2), và u là tốc độ (TCVN 7870-3:2007, mục 3-8.1)

St = N u /P e

So sánh với 11-5.5. Đôi khi gọi là số Margoulis, M s.

Số

jm = St · Sc 2/3 gọi là thừa số truyền khối lượng.

7. Hằng số vật chất

Số mục

Tên

Ký hiệu

Định nghĩa

Chú thích

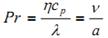
11-7.1 (12-19)

Số Prandtl

Pr

trong đó η là độ nhớt động lực (TCVN 7870-4:2007, mục 4-23), cp là nhiệt dung riêng đẳng áp (TCVN 7870-5:2007, mục 5-16.2), λ là độ dẫn nhiệt (TCVN 7870-5:2007, mục 5-9), ν là độ nhớt động (TCVN 7870-4:2007, mục 4-24), và a là độ khuếch tán nhiệt (TCVN 7870-5:2007, mục 5-14)

 

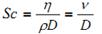
11-7.2 (12-20)

Số Schmidt

Sc

trong đó η là độ nhớt động lực (TCVN 7870-4:2007, mục 4-23), ρ là khối lượng riêng (TCVN 7870-4:2007, mục 4-2), D là hệ số khuếch tán (ISO 80000-9:—, mục 9-39), và ν là độ nhớt động (TCVN 7870-4:2007, mục 4-24)

 

11-7.3 (12-21)

Số Lewis

Le

trong đó λ là độ dẫn nhiệt (TCVN 7870-5:2007, mục 5-9), ρ là khối lượng riêng (TCVN 7870-4:2007, mục 4-2), cp là nhiệt dung riêng đẳng áp (TCVN 7870-5:2007, mục 5-16.2), D là hệ số khuếch tán (ISO 80000-9:—, mục 9-39), và a là độ khuếch tán nhiệt (TCVN 7870-5:2007, mục 5-14)

So sánh với 11-5.2.

8. Từ thủy động lực học

Số mục

Tên

Ký hiệu

Định nghĩa

Chú thích

11-8.1 (12-22)

Số Reynolds từ

Rm

Rm = vµσl

trong đó u là tốc độ (TCVN 7870-3:2007, mục 3-8.1), µ độ từ thẩm (IEC 80000-6:2008, mục 6-26.2), σ là độ dẫn điện (IEC 80000-6:2008, mục 6-43), và l là độ dài (TCVN 7870-3:2007, mục 3-1.1)

 

11-8.2 (12-23)

Số Alfvén

Al

trong đó u là tốc độ (TCVN 7870-3:2007, mục 3-8.1), B mật độ từ thông (IEC 80000-6:2008, mục 6-21), ρ là khối lượng riêng (TCVN 7870-4:2007, mục 4-2), µ là độ từ thẩm (IEC 80000-6:2008, mục 6-26.2), và vA  là tốc độ Alfvén:

B/(ρµ)1/2

 

11-8.3 (12-24)

Số Hartmann

Ha

trong đó B là mật độ từ thông (IEC 80000-6:2008, mục 6-21), l là độ dài (TCVN 7870-3:2007, mục 3-1.1), σ là độ dẫn điện (IEC 80000-6:2008, mục 6-43), ρ là khối lượng riêng (TCVN 7870-4:2007, mục 4-2), và ν là độ nhớt động (TCVN 7870-4:2007, mục 4-24)

 

11-8.4 (12-25)

Số Cowling

Co

trong đó B là mật độ từ thông (IEC 80000-6:2008, mục 6-21), µ là độ từ thẩm (IEC 80000-6:2008, mục 6-26.2), ρ là khối lượng riêng (TCVN 7870-4:2007, mục 4-2), và ν là độ nhớt động (TCVN 7870-4:2007, mục 4-24)

Co = (uA /u)2 = Al−2

Thường gọi là số Cowling thứ hai, Co2.

Số Cowling thứ nhất thường được định nghĩa là

 

MỤC LỤC

Lời nói đầu

Lời giới thiệu

1. Phạm vi áp dụng

2. Tài liệu viện dẫn

3. Tên gọi, ký hiệu và định nghĩa

4. Lưu chuyển động lượng

5. Lưu chuyển nhiệt

6. Lưu chuyển vật chất trong hỗn hợp hai thành phần

7. Hằng số vật chất

8. Từ thủy động lực học


1) Sắp công bố (Thay thế ISO 31-8:1992)

Leave a Reply

Your email address will not be published. Required fields are marked *