Nội dung toàn văn Tiêu chuẩn quốc gia TCVN 7870-2:2010 (ISO 80000-2:2009) về Đại lượng và đơn vị – Phần 2: Dấu và ký hiệu toán học dùng trong khoa học tự nhiên và công nghệ
TIÊU CHUẨN QUỐC GIA
TCVN 7870-2:2010
ISO 80000-2:2009
ĐẠI LƯỢNG VÀ ĐƠN VỊ – PHẦN 2: DẤU VÀ KÝ HIỆU TOÁN HỌC DÙNG TRONG KHOA HỌC TỰ NHIÊN VÀ CÔNG NGHỆ
Quantities and units – Part 2: Mathematical signs and symbols to be used in the natural sciences and technology
Lời nói đầu
TCVN 7870-2:2010 thay thế cho TCVN 6398-11:2000 (ISO 31-11:1992);
TCVN 7870-2:2010 hoàn toàn tương đương với ISO 80000- 2:2009;
TCVN 7870-2:2010 do Ban kỹ thuật tiêu chuẩn quốc gia TCVN/TC 12 Đại lượng và đơn vị đo lường biên soạn, Tổng cục Tiêu chuẩn Đo lường Chất lượng đề nghị, Bộ Khoa học và Công nghệ công bố.
Lời giới thiệu
0.0 Giới thiệu chung
TCVN 7870-2:2010 do Ban Kỹ thuật Tiêu chuẩn về Đại lượng và Đơn vị đo lường TCVN/TC12 biên soạn. Mục tiêu của Ban Kỹ thuật TCVN/TC12 là tiêu chuẩn hóa đơn vị và ký hiệu cho các đại lượng và đơn vị (kể cả ký hiệu toán học) dùng trong lĩnh vực khoa học và công nghệ, hệ số chuyển đổi tiêu chuẩn giữa các đơn vị; đưa ra định nghĩa của các đại lượng và đơn vị khi cần thiết.
Bộ TCVN 7870, chấp nhận bộ tiêu chuẩn ISO 80000, gồm các phần dưới đây có tên chung “Đại lượng và đơn vị”:
– TCVN 7870-1:2010 (ISO 80000-1:2009), Phần 1: Quy định chung
– TCVN 7870-2:2010 (ISO 80000-2:2009), Phần 2: Dấu và ký hiệu toán học dùng trong khoa học tự nhiên và công nghệ
– TCVN 7870-3:2007 (ISO 80000-3:2006), Phần 3: Không gian và thời gian
– TCVN 7870-4:2007 (ISO 80000-4:2006), Phần 4: Cơ học
– TCVN 7870-5:2007 (ISO 80000-5:2007), Phần 5: Nhiệt động lực học
– TCVN 7870-7:2009 (ISO 80000-7:2008), Phần 7: Ánh sáng
– TCVN 7870-8:2007 (ISO 80000-8:2007), Phần 8: Âm học
– TCVN 7870-9:2010 (ISO 80000-9:2009), Phần 9: Hóa lý và vật lý phân tử
– TCVN 7870-10:2010 (ISO 80000-10:2009), Phần 10: Vật lý nguyên tử và hạt nhân
– TCVN 7870-11:2009 (ISO 80000-11:2008), Phần 11: Số đặc trưng
– TCVN 7870-12:2010 (ISO 80000-12:2009), Phần 12: Vật lý chất rắn
Bộ TCVN 7870, chấp nhận bộ tiêu chuẩn IEC 80000, gồm các phần dưới đây có tên chung “Đại lượng và đơn vị”:
– TCVN 7870-6:2010 (IEC 80000-6:2008), Phần 6: Điện từ
– TCVN 7870-13:2010 (IEC 80000-13:2008), Phần 13: Khoa học và công nghệ thông tin
– TCVN 7870-14:2010 (IEC 80000-14:2008), Phần 14: Viễn sinh trắc liên quan đến sinh lý người
0.1 Cách sắp xếp các bảng
Cột đầu tiên “Mục số” trong các bảng nêu lên số của mục, tiếp theo là số mục tương ứng trong TCVN 6398-11 (ISO 31-11) được đặt trong ngoặc đơn, dấu gạch ngang chỉ ra rằng mục đó không có trong TCVN 6398-11 (ISO 31-11).
Cột thứ hai “Dấu, ký hiệu, biểu thức” đưa ra dấu hoặc ký hiệu được xem xét, thường là trong ngữ cảnh thể hiện điển hình. Nếu có nhiều hơn một dấu, ký hiệu hoặc biểu thức cho cùng một mục thì chúng bình đẳng như nhau. Trong một số trường hợp, ví dụ đối với hàm mũ, chỉ có một cách thể hiện điển hình và không có ký hiệu.
Cột thứ ba “Ý nghĩa, diễn đạt bằng lời” đưa ra gợi ý về ý nghĩa hoặc cách đọc biểu thức toán học. Cột này cung cấp nhận biết về khái niệm và không phải là định nghĩa toán học hoàn chỉnh.
Cột thứ tư “Chú thích và ví dụ” cung cấp thêm thông tin. Các định nghĩa được đưa ra nếu như vừa đủ ngắn để đặt trong cột. Các định nghĩa không nhất thiết là hoàn chỉnh về mặt toán học.
Bố trí của bảng trong Điều 16 “Hệ tọa độ” có khác biệt đôi chút.
ĐẠI LƯỢNG VÀ ĐƠN VỊ – PHẦN 2: DẤU VÀ KÝ HIỆU TOÁN HỌC DÙNG TRONG KHOA HỌC TỰ NHIÊN VÀ CÔNG NGHỆ
Quantities and units – Part 2: Mathematical signs and symbols to be used in the natural sciences and technology
1. Phạm vi áp dụng
Tiêu chuẩn này cung cấp thông tin chung về dấu và ký hiệu toán học, ý nghĩa của chúng, diễn đạt bằng lời tương ứng và các ứng dụng.
Các khuyến nghị trong tiêu chuẩn này chủ yếu áp dụng trong khoa học tự nhiên và công nghệ, tuy nhiên cũng có thể áp dụng cho các lĩnh vực khác sử dụng toán học.
2. Tài liệu viện dẫn
Các tài liệu viện dẫn dưới đây rất cần thiết cho việc áp dụng tiêu chuẩn này. Đối với các tài liệu ghi năm công bố thì áp dụng bản được nêu. Đối với các tài liệu không ghi năm công bố thì áp dụng bản mới nhất, bao gồm cả các sửa đổi.
TCVN 7870-1:2010 (ISO 80000-1:2009), Đại lượng và đơn vị – Phần 1: Quy định chung
3. Biến số, hàm số và toán tử
Các biến x, y,… và các chỉ số chạy của biến như i trong
, được in nghiêng. Các tham số như a, b,…, được coi là hằng số trong trường hợp cụ thể, các hàm số nói chung như f, g, cũng được in nghiêng.
Tuy nhiên, hàm số đã xác định rõ không phụ thuộc vào ngữ cảnh, ví dụ như sin, exp, ln,
, thì được in bằng kiểu chữ Roman (đứng). Các hằng số toán học có giá trị không thay đổi cũng được in bằng kiểu chữ Roman (đứng), ví dụ: e= 2,718 218 8…; p = 3,141 592…; i2= -1. Các toán tử xác định rõ cũng được in bằng kiểu chữ Roman (đứng), ví dụ: div, d trong dx và chữ d trong dfldx.
Các số biểu thị bằng các chữ số luôn được in bằng kiểu chữ Roman (đứng), ví dụ: 351 204; 1,32; 7/8.
Đối số của một hàm được viết trong ngoặc đơn sau ký hiệu của hàm số, không có khoảng trống giữa ký hiệu của hàm và ngoặc đơn đầu tiên, ví dụ: f(x), cos(wt + j). Nếu ký hiệu của hàm số gồm hai hoặc nhiều chữ cái và đối số không chứa dấu phép toán, như +, –, x hoặc /, thì có thể bỏ ngoặc đơn trước và sau đối số đó. Trong trường hợp này, nên để một khoảng trống hẹp giữa ký hiệu hàm và đối số, ví dụ: int 2,4; sin np arcos 2A; Ei x.
Nếu có khả năng nhầm lẫn thì nên thêm dấu ngoặc đơn. Ví dụ, viết cos(x) + y; không viết cosx + y vì như thế có thể hiểu lầm là cos(x + y).
Có thể sử dụng dấu phẩy, chấm phẩy hoặc ký hiệu thích hợp khác để phân tách giữa các số hoặc các biểu thức. Dấu phẩy thường được ưu tiên, trừ trường hợp sử dụng các số có dấu phẩy thập phân.
Nếu biểu thức hoặc phương trình phải được tách thành hai dòng trở lên thì phải sử dụng một trong hai phương pháp dưới đây.
a) Đặt ngắt dòng ngay sau một trong các ký hiệu =, +, ± hoặc m, hoặc nếu cần, đặt ngay sau một trong các dấu x, • hoặc /. Trong trường hợp này, dấu chỉ ra rằng biểu thức còn tiếp tục ở dòng hoặc trang tiếp theo.
b) Đặt ngắt dòng ngay trước một trong các ký hiệu =, +, ± hoặc m, hoặc nếu cần, đặt ngay trước một trong các dấu x, • hoặc /. Trong trường hợp này, dấu chỉ ra rằng biểu thức tiếp theo dòng trước hoặc trang trước.
Không được lặp lại dấu ở đầu dòng tiếp theo; ví dụ hai dấu trừ có thể gây ra sai dấu. Trong một tài liệu chỉ nên sử dụng một trong hai phương pháp này. Nếu có thể, không nên ngặt dòng bên trong một biểu thức trong ngoặc.
Các loại chữ cái khác nhau thường được dùng cho các loại thực thể khác nhau. Điều này làm cho các công thức dễ đọc hơn và giúp thiết lập ngữ cảnh thích hợp. Không có qui tắc chặt chẽ nào cần được giải thích, tuy nhiên nếu cần, thì nên giải thích về việc sử dụng phông chữ.
4. Logic toán
|
Số mục |
Dấu, ký hiệu, biểu thức |
Ý nghĩa, diễn đạt bằng lời |
Chú thích và ví dụ |
|
2-4.1 (11-3.1) |
p Ù q |
hội của p và q, |
|
|
2-4.2 (11-3.2) |
p Ú q |
tuyển của p và q, |
Từ “hoặc” là không bao gồm, nghĩa là p Ú q là đúng, nếu hoặc p hoặc q, hoặc cả hai là đúng. |
|
2-4.3 (11-3.3) |
|
phủ định của p, không p |
|
|
2-4.4 (11-3.4) |
p Þ q |
p kéo theo q, nếu p thì q |
q Ü p có cùng nghĩa như p Þ q. Þ là dấu kéo theo. |
|
2-4.5 (11-3.5) |
p Û q |
p tương đương với q |
(p Þ q) Ù (q Þ p) có cùng nghĩa như p Û q. Û là dấu tương đương. |
|
2-4.6 (11-3.6) |
“ x Î A p(x) |
với mỗi x thuộc A, mệnh đề p(x) là đúng |
Trong trường hợp rõ ràng tập đang xét là tập A thì có thể dùng ký hiệu “x p(x). “ là lượng từ toàn thể. Đối với x Î A, xem 2-5.1. |
|
2-4.7 (11-3.7) |
$ x Î /1 p(x) |
tồn tại một x thuộc A để p(x) là đúng |
Trong trường hợp rõ ràng tập đang xét là tập A thì có thể dùng ký hiệu $ x p(x). $ là lượng từ bộ phận (tồn tại). Đối với x Î A, xem 2-5.1. $1x p(x) được dùng để chỉ ra rằng chỉ có đúng một phần tử để p(x) là đúng. $! cũng được dùng cho $1. |
5. Tập hợp
|
Số mục |
Dấu, ký hiệu, biểu thức |
Ý nghĩa, diễn đạt bằng lời |
Chú thích và ví dụ |
|
2-5.1 (11-4.1) |
x Î A |
x thuộc A, x là một phần tử của tập A |
A ∍ x có cùng nghĩa như x Î A. |
|
2-5.2 (11-4.2) |
Y Ï A |
y không thuộc A, y không phải là một phần tử của tập A |
A |
|
2-5.3 (11-4.5) |
{x1, x2, … , xn} |
tập các phần tử x1, x2, … , xn |
Cũng dùng ký hiệu {xi | i Î I}, trong đó / là tập các chỉ số. |
|
2-5.4 (11-4.6) |
{x Î A | p(x)} |
tập các phần tử thuộc A mà ứng với nó mệnh đề p(x) là đúng |
VÍ DỤ: {x Î R | x ≤ 5} Trong trường hợp rõ ràng tập đang xét là tập A thì có thể dùng ký hiệu {x | p(x)} (ví dụ {x |x ≤ 5}, nếu x rõ ràng là biến của các số thực). |
|
2-5.5 (11-4.7) |
card A |A| |
số phần tử trong A, lực lượng của A |
Lực lượng có thể là số siêu hạn. Xem thêm 2-9.16. |
|
2-5.6 (11-4.8) |
Æ |
tập rỗng |
|
|
2-5.7 (11-4.18) |
B Í A |
B chứa trong A, B là một tập con của A |
Mọi phần tử của B đều thuộc A. Ì cũng được dùng nhưng xem thêm chú thích cho 2-5.8. A Ê B có cùng nghĩa như B Í A. |
|
2-5.8 (11-4.19) |
B Ì A |
B chứa thực sự trong A, B là tập con thực sự của A |
Mọi phần tử của B đều thuộc A, nhưng ít nhất một phần tử của A không thuộc B. Nếu Ì được dùng cho 2-5.7, thì ⊊ phải được dùng cho 2-5.8. A É B có cùng nghĩa như B Ì A. |
|
2-5.9 (11-4.24) |
A È B |
hợp của A và B |
Tập các phần tử thuộc A hoặc thuộc B hoặc thuộc cả A và B. A È B= {x | x Î A Ú x Î B} |
|
2-5.10 (11-4.26) |
A Ç B |
giao của A và B |
Tập các phần tử thuộc cả A và B. A Ç B = {x | x Î A Ù x Î B} |
|
2-5.11 (11-4.25) |
A1 È A2 È …È An |
hợp của các tập A1, A2, …, An |
Tập các phần tử thuộc ít nhất một trong các tập A1, A2, …, An
|
|
2-5.12 (11-4.27) |
A1 Ç A2 Ç …Ç An |
giao của một nhóm các tập A1, …, An |
Tập hợp các phần tử thuộc tất cả các tập A1, A2, …, An
|
|
2-5.13 (11-4.28) |
A B |
hiệu giữa A và B, A trừ B |
Tập các phần tử thuộc A nhưng không thuộc B. A B= { x | x Î A Ù x Ï B } Không dùng ký hiệu A – B. Cũng sử dụng |
|
2-5.14 (11-4.30) |
(a, b) |
cặp có thứ tự a, b, cặp a, b |
(a, b)= (c, d) khi và chỉ khi a = c và b = d. Nếu dấu phẩy có thể hiểu nhầm là dấu thập phân thì có thể sử dụng dấu chấm phẩy (;) hoặc dấu gạch (|)làm dấu phân cách. |
|
2-5.15 (11-4.31) |
(a1,a2,…,an) |
bộ n phần tử có thứ tự |
Xem chú thích cho 2-5.14. |
|
2-5.16 (11-4.32) |
A x B |
tích đêcac của A và B |
Tập các cặp có thứ tự (a, b) sao cho A Î A và B Î B. A x B= {(x,y)}x Î A Ù y Î B} |
|
2-5.17 (-) |
A1 x A2 x …x An |
tích đêcac của các tập A1, A2…. An |
Tập các bộ n phần tử có thứ tự (x1,x2,…,xn) sao cho x1 Î A1, x2 Î A2, … xn Î An A x A x… x A được biểu thị bằng An trong đó n số các thừa số trong tích. |
|
2-5.18 (11-4.33) |
idA |
quan hệ đồng nhất trên A, đường chéo của A x A |
idA là tập của tất cả các cặp (x, x) trong đó x Î A. Trong trường hợp rõ ràng là tập A thì có thế bỏ chỉ số A. |
6. Tập và khoảng số tiêu chuẩn
|
Số mục |
Dấu, ký hiệu, biểu thức |
Ý nghĩa, diễn đạt bằng lời |
Chú thích và ví dụ |
|
2-6.1 (11.4.9) |
N |
tập các số tự nhiên, tập các số nguyên dương và số không |
N= {0.1,2, 3,…} N*= {1, 2, 3,…} Các giới hạn khác có thể được thể hiện một cách rõ ràng như trình bày dưới đây. N>5= {n Î N I n > 5} Các ký hiệu N và ℕ cũng được sử dụng. |
|
2-6.2 (11.4.10) |
Z |
tập các số nguyên |
Z= {…,-2, -1,0, 1.2,…} Z*= {n Î Z I n ¹ 0} Các giới hạn khác có thể được thể hiện một cách rõ ràng như trình bày dưới đây. Z³–3= {n Î Z | n ³ -3} Ký hiệu ℤ cũng được sử dụng. |
|
2-6.3 (11.4.11) |
Q |
tập các số hữu tỷ |
Q*= {r Î Q | r ¹ 0} Các giới hạn khác có thể được thể hiện một cách rõ ràng như trình bày dưới đây. Q<>= { r Î Q | r 0} Các ký hiệu Q và ℚ cũng được sử dụng. |
|
2-6.4 (11.4.12) |
R |
tập các số thực |
R*= {x Î R | x ¹ 0} Các giới hạn khác có thể được thể hiện một cách rõ ràng như trình bày dưới đây. R³0= {x Î R | x ³ 0} Các ký hiệu R và ℝ cũng được sử dụng. |
|
2-6.5 (11.4.13) |
C |
tập các số phức |
C*= {z Î C | z ¹ 0} Các ký hiệu C và ℂ cũng được sử dụng. |
|
2-6.6 (-) |
P |
tập các số nguyên tố |
P= {2, 3, 5, 7,11, 13, 17,…} Các ký hiệu P và ℙ cũng được sử dụng. |
|
2-6.7 (11.4.14) |
[a, b] |
khoảng đóng từ a đến b (bao gồm cả a và b) |
[a, b]= {x Î R | a ≤ x ≤ b} |
|
2-6.8 (11.4.15) |
(a, b] |
khoảng nửa mở bên trái từ a đến b (không bao a nhưng có bao b) |
(a, b]= { x Î R | a <>x ≤ b} Ký hiệu ]a,b] cũng được sử dụng. |
|
2-6.9 (11.4.16) |
[a, b) |
khoảng nửa mở bên phải từ a đến b (bao a nhưng không bao b) |
[a, b)= {x Î R | a ≤ x <>b} Ký hiệu [a, b[ cũng được sử dụng. |
|
2-6.10 (11.4.17) |
(a, b) |
khoảng mở từ a đến b (không bao gồm cả a và b) |
(a, b)= {x Î R | a <>x <>b} Ký hiệu ]a, b[ cũng được sử dụng. |
|
2-6.11 (-) |
(–¥, b] |
khoảng đóng không giới hạn đến và bao gồm cả b |
(-¥, b]= { x Î R | x ≤ b) Ký hiệu ]-¥, b] cũng được sử dụng. |
|
2-6.12 (-) |
(–¥, b) |
khoảng mở không giới hạn đến và không bao gồm b |
(-¥, b)= { x Î R | x b} Ký hiệu ]-¥, b[ cũng được sử dụng. |
|
2-6.13 (-) |
[a,+ ¥) |
Khoảng đóng không giới hạn từ a và bao gồm cả a |
[a,+ ¥)= (x Î R | a ≤ x} Ký hiệu [a, ¥[, [a, +¥[ và [a, ¥) cũng được sử dụng. |
|
2-6.14 (-) |
(a,+ ¥) |
khoảng mở không giới hạn từ a nhưng không bao gồm a |
(a,+ ¥)= { x Î R | a <>x} Ký hiệu ]a, +¥,[, ],a ¥[ và (a, ¥) cũng được sử dụng. |
7. Dấu và ký hiệu hỗn hợp
|
Số mục |
Dấu, ký hiệu, biểu thức |
Ý nghĩa, diễn đạt bằng lời |
Chú thích và ví dụ |
|
2-7.1 (11-5.1) |
a = b |
a bằng b |
Có thể dùng dấu= để nhấn mạnh rằng đẳng thức cụ thể là đồng nhất thức. Xem thêm 2-7.18. |
|
2-7.2 (11-5.2) |
a ¹ b |
a khác b |
Gạch phủ định cũng có thể là gạch thẳng. |
|
2-7.3 (11-5.3) |
A ≔ b |
a theo định nghĩa bằng b |
VÍ DỤ: p := mv, trong đó p động lượng, m là khối lượng và v là vận tốc. Ký hiệu= def và |
|
2-7.4 (11-5.4) |
a ≙ b |
a tương ứng với b |
VÍ DỤ: Khi E = kT, thì 1 eV ≙ 11 604,5 K Khi 1 cm trên bản đồ tương ứng với độ dài 10 km, thì có thể viết 1 cm ≙10 km. Tương ứng không phải là đối xứng. |
|
2-7.5 (11-5.5) |
a » b |
a xấp xỉ bằng b |
Xấp xỉ có đủ tin cậy hay không là tùy thuộc vào người sử dụng. “Bằng” không bao gồm trong phép xấp xỉ. |
|
2-7.6 (11-7.7) |
a |
a tiệm cận với b |
VÍ DỤ:
(Về x ® a, xem 2-7.16) |
|
2-7.7 (11-5.6) |
a ~ b |
a tỷ lệ với b |
Dấu ~ cũng được dùng đối với quan hệ tương đương. Ký hiệu a ∝ b cũng được sử dụng. |
|
2-7.8 (-) |
M |
M đồng dạng với N M đẳng cấu với N |
M là N các tập điểm (số liệu hình học). Dấu này cũng được dùng cho phép đẳng cấu của cấu trúc toán học. |
|
2-7.9 (11-5.7) |
a b |
a nhỏ hơn b |
|
|
2-7.10 (11-5.8) |
B > a |
b lớn hơn a |
|
|
2-7.11 (11-5.9) |
a ≤ b |
a nhỏ hơn hoặc bằng b |
|
|
2-7.12 (11-5.10) |
b ³ a |
b lớn hơn hoặc bằng a |
|
|
2-7.13 (11-5.11) |
a ≪ b |
a rất nhỏ so với b |
a có đủ nhỏ so với b hay không là tùy thuộc vào người sử dụng. |
|
2-7.14 (11-5.12) |
b ≫ a |
b rất lớn so với a |
b có đủ lớn so với a hay không là tùy thuộc vào người sử dụng. |
|
2-7.15 (11-5.13) |
¥ |
vô hạn |
Ký hiệu này không thể hiện một số nhưng thường là bộ phận của nhiều biểu thức liên quan đến các giới hạn. Các ký hiệu +¥, –¥ cũng được sử dụng. |
|
2-7.16 (11-7.5) |
x ® a |
x tiến tới a |
Ký hiệu này xuất hiện như một bộ phận của nhiều biểu thức liên quan đến các giới hạn. a cũng có thể là ¥, +¥, hoặc –¥. |
|
2-7.17 (-) |
m | n |
m chia n |
Đối với các số nguyên m và n: $ k Î z m×k= n |
|
2-7.18 (-) |
n º k mod m |
n là đồng dư với k mod m |
Đối với các số nguyên n, k và m: m | (n-k) Xem thêm 2-7.1. |
|
2-7.19 (1-5.14) |
(a + b) [a + b] {a + b} a + b> |
dấu ngoặc đơn dấu ngoặc vuông dấu móc dấu ngoặc nhọn |
Chỉ nên sử dụng dấu ngoặc đơn để nhóm, vì các dấu ngoặc và dấu móc có nghĩa riêng trong các lĩnh vực cụ thể. Dấu ngoặc đơn có thể lồng vào nhau mà vẫn không bị lẫn. |
8 Hình học sơ cấp
|
Số mục |
Dấu, ký hiệu, biểu thức |
Ý nghĩa, diễn đạt bằng lời |
Chú thích và ví dụ |
|
2-8.1 (11-5.15) |
AB || CD |
đường thẳng AB song song với đường thẳng CD |
Viết g || h nếu g và h là hai đường thẳng xác định bởi các điểm A và B, điểm c và D, tương ứng. AB//CD cũng được dùng. |
|
2-8.2 (11-5.16) |
AB^CD |
đường thẳng AB vuông góc với đường thẳng CD |
Viết g ^ h nếu g và h là hai đường thẳng xác định bởi các điểm A và B, điểm C và D, tương ứng. Trong mặt phẳng, hai đường thẳng này phải cắt nhau. |
|
2-8.3 (-) |
|
góc ở đỉnh B trong tam giác ABC |
Góc này không định hướng, thỏa mãn điều kiện
|
|
2-8.4 (-) |
|
đoạn thẳng từ A đến B |
Đoạn thẳng này là tập các điểm giữa A và B trên đường thẳng AB. |
|
2-8.5 (-) |
|
véctơ từ A đến B |
Nếu thì |
|
2-8.6 (-) |
d(A, B) |
khoảng cách giữa điểm A và điểm B |
Khoảng cách này là độ dài của đoạn thẳng AB và cũng là độ lớn của véctơ AB. |
9. Các phép toán
|
Số mục |
Dấu, ký hiệu, biểu thức |
Ý nghĩa, diễn đạt bằng lời |
Chú thích và ví dụ |
|
2-9.1 (11-6.1) |
a + b |
a cộng b |
Phép toán này là phép cộng. Dấu + là dấu cộng. |
|
2-9.2 (11-6.2) |
a – b |
a trừ b |
Phép toán này là phép trừ. Dấu – là dấu trừ. |
|
2-9.3 (11-6.3) |
A ± b |
a cộng hoặc trừ b |
Đây là sự kết hợp hai giá trị trong một biểu thức. |
|
2-9.4 (11-6.4) |
a ∓ b |
a trừ hoặc cộng b |
-(a ±b)= -a ∓ b |
|
2-9.5 (11-6.5) |
a • b a x b a b ab |
a nhân b, a lần b |
Phép toán này là phép nhân. Ký hiệu dùng cho phép nhân là dấu chấm giữa dòng (•) hoặc dấu nhân (x). Có thể bỏ các dấu này nếu không có khả năng hiểu nhầm. Xem thêm 2-5.16, 2-5.17, 2-17.10, 2-17.11, 2-17.22 và 2-17.23 đối với việc sử dụng dấu chấm và dấu nhân trong các tích số khác nhau. |
|
2-9.6 (11-6.6) |
a/b |
a chia b |
Xem thêm TCVN 7870-1 (ISO 80000-1), 7.1.3. Đối với tỷ số, dấu: cũng được sử dụng, VÍ DỤ: Tỷ số giữa độ cao h và chiều rộng b của khổ giấy A4 là h: b= Không nên sử dụng dấu ÷ |
|
2-9.7 (11-6.7) |
|
a1 + a2 +…+ an |
Ký hiệu Cũng được sử dụng. |
|
2-9.8 (11-6.8) |
|
a1 × a2 ×… an, |
Ký hiệu cũng được sử dụng. |
|
2-9.9 (11-6.9) |
|
a lũy thừa p |
Diễn đạt bằng lời của a2 là a bình phương; diễn đạt bằng lời a3 là a lập phương. |
|
2-9.10 (11-6.10) |
a1/2
|
a mũ 1/2, căn bậc hai của a |
Nếu a ≥ 0, thì Nên tránh sử dụng ký hiệu Öa. Xem chú thích của 2-9.11. |
|
2-9.11 (11-6.11) |
a1/n
|
a mũ 1/n, căn bậc n của a |
Nếu a ³ 0, thì Nên tránh sử dụng ký hiệu nÖa. Nếu dùng ký hiệu nÖ hoặc Ö cho một biểu thức tổng hợp thì phải dùng dấu ngoặc đơn để tránh nhầm lẫn. |
|
2-9.12 (11-6.14) |
|
giá trị trung bình của x, trung bình số học của x |
Giá trị trung bình thu được bằng các phương pháp khác là – trung bình điều hòa biểu thị bằng chỉ số h, – trung bình hình học biểu thị bằng chỉ số g. – trung bình toàn phương, biểu thị bằng chỉ số q hoặc rms. Chỉ có thể bỏ chỉ số trong trường hợp trung bình số học. Trong toán học |
|
2-9.13 (11-6.13) |
sgn a |
dấu của a |
Với số thực a:
Xem thêm mục 2-14.7. |
|
2-9.14 (-) |
inf M |
cận dưới của M |
Giới hạn dưới lớn nhất của tập không rỗng các số bị chặn từ bên dưới. |
|
2-9.15 (-) |
sup M |
cận trên của M |
Giới hạn trên nhỏ nhất của một tập không rỗng các số bị chặn từ phía trên. |
|
2-9.16 (11-6.12) |
|a| |
giá trị tuyệt đối của a, mô đun của a, độ lớn của a |
Ký hiệu abs A cũng được sử dụng. Giá trị tuyệt đối của số thực a. Mô đun của số phức a; xem 2-14.4. Độ lớn của véctơ a; xem 2-17.4. Xem thêm 2-5.5. |
|
2-9.17 (11-6.17) |
ëaû |
sàn a, số nguyên lớn nhất nhỏ hơn hoặc bằng số thực a |
Ký hiệu ent a cũng được sử dụng. VÍ DỤ: ë2,4û= 2 ë-2,4û= -3 |
|
2-9.18 (-) |
éaù |
trần a, số nguyên nhỏ nhất lớn hơn hoặc bằng số thực a |
VÍ DỤ: é2,4ù= 3 é-2,4ù= -2 |
|
2-9.19 (-) |
int a |
phần nguyên của số thực a |
int a= sgn a × ë|a|û VÍ DỤ: int(2,4)= 2 int(-2,4)= -2 |
|
2-9.20 (-) |
frac a |
phần thập phân của số thực a |
frac a= a – int a VÍ DỤ: frac(2,4)= 0,4 frac(-2,4)= -0,4 |
|
2-9.21 (-) |
min (a, b) |
giá trị nhỏ nhất của a và b |
Phép toán tổng quát hóa cho nhiều số và các tập số. Tuy nhiên, một tập vô hạn các số không nhất thiết có phần tử nhỏ nhất. |
|
2-9.22 (-) |
max(a, b) |
giá trị lớn nhất của a và b |
Phép toán tổng quát hóa cho nhiều số và các tập số. Tuy nhiên, một tập vô hạn các số không nhất thiết có phần tử lớn nhất. |
10. Tổ hợp
Trong điều này, n và k là các số tự nhiên, với k ≤ n.
|
Số mục |
Dấu, ký hiệu, biểu thức |
Ý nghĩa, diễn đạt bằng lời |
Chú thích và ví dụ |
|
2-10.1 (11-6.15) |
n! |
giai thừa |
n!= 0!= 1 |
|
2-10.2 (-) |
[a]k |
giai thừa giảm |
a có thể là số phức. Đối với số tự nhiên n: |
|
2-10.3 (-) |
(a)k |
giai thừa tăng |
a có thể là số phức. Đối với số tự nhiên n: (a)k được gọi là ký hiệu Pochhammer trong lý thuyết về hàm đặc biệt. Tuy nhiên, trong tổ hợp và thống kê, thường sử dụng cùng ký hiệu với giai thừa giảm. |
|
2-10.4 (11-6.16) |
|
hệ số nhị thức |
|
|
2-10.5 (-) |
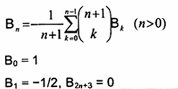
Bn |
Số Bernoulli |
|
|
2-10.6 (11-6.16) |
|
Tổ hợp không lặp |
|
|
2-10.7 (-) |
R |
tổ hợp lặp |
R |
|
2-10.8 (-) |
|
chuyển vị không lặp |
Thuật ngữ “hoán vị” được dùng khi n= k. |
|
2-10.9 (-) |
R |
chuyển vị lặp |
R |
11. Hàm số
|
Số mục |
Dấu, ký hiệu, biểu thức |
Ý nghĩa, diễn đạt bằng lời |
Chú thích và ví dụ |
|
2-11.1 (11-7.1) |
f, g, h,… |
hàm số |
Một hàm số ấn định cho đối số bất kỳ trong miền xác định của hàm đó một giá trị duy nhất thuộc miền giá trị. |
|
2-11.2 (11-7.2) |
f(x) f(x1, …,xn) |
giá trị của hàm số f đối với đối số x hoặc đối số (x1),…. xn) tương ứng |
Một hàm số có miền xác định là tập các bộ n số là hàm n biến. |
|
2-11.3 (-) |
f: A →B |
f ánh xạ A vào B |
Hàm f có miền xác định A và nhận giá trị 5. |
|
2-11.4 (-) |
f: x x Î A |
f là hàm số ánh xạ mọi x Î A thành T(x) |
T (x) là biểu thức xác định chỉ ra giá trị của hàm f với đối số x. Vì f (x)= T(x), biểu thức xác định thường được dùng như ký hiệu cho hàm f. VÍ DỤ: f: x f là hàm số (phụ thuộc vào tham số y) xác định trong khoảng quy định bởi biểu thức 3x2y. |
|
2-11.5 (-) |
x |
f(x)= y. f ánh xạ x lên y |
Ví DỤ: |
|
2-11.6 (11-7.3) |
|
f(b)- f(a) f(…,b,…) – f(…,a,…) |
Ký hiệu này chủ yếu được dùng khi tính tích phân xác định. |
|
2-11.7 (11-7.4) |
g o f |
hàm hợp của f và g, g hợp f |
(g o f)(x)= g(f(x)) Trong tổ hợp g ° f, hàm g được áp dụng sau hàm f. |
|
2-11.8 (11-7.6) |
Lim f (x) x → a limx®a f(x) |
giới hạn của f(x) khi x tiến đến a |
f (x) ® b khi x ® a có thể viết limx®a f(x)= b. Giới hạn “từ bên phải” (x > a) và “từ bên trái” (x < a)=”” được=”” biểu=”” diễn=”” tương=”” ứng=”” bằng=””>limx®a +f(x) và limx®a – f(x). |
|
2-11.9 (11-7.8) |
f(x)= O(g(x)) |
f (x) là O lớn của g(x), |f(x)/g(x)| bị chặn từ phía trên trong giới hạn hàm ý theo ngữ cảnh, f(x) có cùng bậc hoặc bậc thấp hơn so với g(x) |
Dấu “ = ” được dùng ở đây vì lý do lịch sử và không có nghĩa bằng do không áp dụng chuyển đổi. VÍ DỤ: sin x= O (x), khi x ® 0 |
|
2-11.10 (11-7.9) |
f(x)= o(g(x)) |
f(x) là o nhỏ g(x), f(x)/g(x) ® 0 trong giới hạn hàm ý theo ngữ cảnh, f(x) có bậc cao hơn bậc của g(x) |
Dấu “= ” được dùng ở đây vì lý do lịch sử và không có nghĩa bằng do không áp dụng chuyển đổi. VÍ DỤ: cos x= 1 + o (x), khi x ® 0 |
|
2-11.11 (11-7.10) |
Df |
deltaf, số gia hữu hạn của f |
Hiệu giữa hai giá trị hàm số hàm ý theo ngữ cảnh. VÍ DỤ: Dx=x2-x1 Df= f(x2) -f (x1) |
|
2-11.12 (11-7.11) |
|
đạo hàm của hàm số f theo x |
Chỉ dùng cho các hàm số một biến.
Nếu biến độc lập là thời gian t, thì f& cũng được dùng cho f. |
|
2-11.13 (11-7.12) |
|
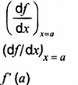
giá trị của đạo hàm của hàm f tại x= a |
|
|
2-11.14 (11-7.13) |
|
đạo hàm bậc n của hàm f theo x |
Chỉ dùng cho các hàm số một biến
f’’ và f’’’ cũng được dùng tương ứng cho f(2) và f(3). Nếu biến độc lập là thời gian t, thì f&& cũng được dùng cho f. |
|
2-11.15 (11-7.14) |
|
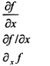
đạo hàm riêng của hàm f theo x |
Chỉ dùng cho các hàm nhiều biến
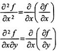
Ký hiệu đạo hàm riêng này được mở rộng cho các đạo hàm bậc cao hơn, ví dụ:
Các ký hiệu khác, ví dụ |
|
2-11.16 (11-7.15) |
df |
vi phân toàn phần của hàm f |
|
|
2-11.17 (11-7.16) |
df |
biến phân vô cùng bé của hàm f |
|
|
2-11.18 (11-7.17) |
|
tích phân bất định của hàm f |
|
|
2-11.19 (11-7.18) |
|
tích phân xác định của hàm f từ A đến b |
Đây là trường hợp đơn giản của hàm số xác định trong một khoảng. Cũng có thể tính tích phân của các hàm số xác định trong các lĩnh vực chung hơn. Các ký hiệu đặc biệt, ví dụ: Đa tích phân |
|
2-11.20 (-) |
|
Giá trị chính Cauchy của tích phân của f với f kỳ dị tại c |
Trong đó a < c=””><> |
|
2-11.21 (-) |
|
Giá trị chính Cauchy của tích phân của f |
|
12.Hàm mũ và hàm loga
Có thể sử dụng biến số phức, đặc biệt là đối với cơ số e.
|
Số mục |
Dấu, ký hiệu, biểu thức |
Ý nghĩa, diễn đạt bằng lời |
Chú thích và ví dụ |
|
2-12.1 (11-8.2) |
e |
cơ số của loga tự nhiên |
e := lim n®¥ |
|
2-12.2 (11-8.1) |
ax |
a mũ x, hàm mũ theo cơ số a của x |
Xem thêm 2-9.9. |
|
2-12.3 (11-8.3) |
ex exp x |
e mũ x, hàm mũ theo cơ số e của x |
Xem 2-14.5. |
|
2-12.4 (11-8.4) |
logax |
loga cơ số a của x |
log x được dùng khi không cần thiết phải ghi rõ cơ số. |
|
2-12.5 (11-8.5) |
In x |
loga tự nhiên của x |
In x= loge x log x không được dùng thay cho In x, Ig x, lb x hoặc logex, log10 x, log2 x |
|
2-12.6 (11-8.6) |
Lgx |
loga thập phân của x, loga chung của x |
lgx= log10x Xem chú thích của 2-12.5. |
|
2-12.7 (11-8.7) |
Ib x |
loga nhị phân của X |
Ibx= log2x Xem chú thích của 2-12.5. |
13 Hàm số vòng và hàm hypecbol
|
Số mục |
Dấu, ký hiệu, biểu thức |
Ý nghĩa, diễn đạt bằng lời |
Chú thích và ví dụ |
|
2-13.1 (11-9.1) |
|
tỷ số giữa chu vi hình tròn và đường kính của nó |
p = 3,141 592 6… |
|
2-13.2 (11-9.2) |
sin x |
sin của x |
thường được viết là sinn x, cosn x,… |
|
2-13.3 (11-9.3) |
cos x |
cosin của x |
cos X= sin(x + p/2) |
|
2-13.4 (11-9.4) |
tan x |
tang của x |
tan x= sin x/cos x không nên dùng tg X. |
|
2-13.5 (11-9.5) |
cot x |
cotang của x |
cot x= 1/tan x không nên dùng ctg x. |
|
2-13.6 (11-9.6) |
sec x |
sec của x |
sec x= 1/cos x |
|
2-13.7 (11-9.7) |
csc x |
cosec của x |
csc x= 1/sin x cosec x cũng được dùng. |
|
2-13.8 (11-9.8) |
arcsin X |
arc sin của X |
y= arcsin x Û x= sin y, –p /2 ≤ y ≤ p /2 Hàm arcsin là hàm ngược của hàm sin với miền giới hạn như trên. |
|
2-13.9 (11-9.9) |
arccos x |
arc cosin của x |
y= arccos x Û x = cos y, 0 ≤ y ≤ p Hàm arccos là hàm ngược của hàm cos với miền giới hạn như trên. |
|
2-13.10 (11-9.10) |
arctan x |
arc tang của x |
y= arctan x Û x = tan y, –p/2 < y=””><>p/2 Hàm arctan là hàm ngược của hàm tan với miền giới hạn như trên. Không nên sử dụng arctg x. |
|
2-13.11 (11-9.11) |
arccot x |
arc cotang của x |
y= arccot x Û x = cot y, 0 < y=””><>p Hàm arccot là hàm ngược của hàm cot với miền giới hạn như trên. Không nên sử dụng arcctg x. |
|
2-13.12 (11-9.12) |
arcsec x |
arc sec của x |
y= arcsec x Û x = sec y, 0 ≤ y ≤ p, y ≠ p/2 Hàm arcsec là hàm ngược của hàm sec với miền giới hạn như trên. |
|
2-13.13 (11-9.13) |
arccsc x |
arc cosec của x |
y= arccsc x Û x = csc y, (-p/2 ≤ y ≤ p/2, y ≠ 0) Hàm arccsc là hàm ngược của hàm csc với miền giới hạn như trên. Nên tránh sử dụng arccosec x. |
|
2-13.14 (11-9.14) |
sinh x |
sin hypecbol của X |
Nên tránh sử dụng sh x. |
|
2-13.15 (11-9.15) |
cosh x |
cosin hypecbol của x |
cosh2 x= sinh2 x + 1 Nên tránh sử dụng ch x. |
|
2-13.16 (11-9.16) |
tanh x |
tang hypecbol của x |
tanh x= sinh x/cosh x Nên tránh sử dụng th x. |
|
2-13.17 (11-9.17) |
coth x |
cotang hypecbol của x |
coth x= 1/tanh x |
|
2-13.18 (11-9.18) |
sech x |
sec hypecbolcủa x |
sech x= 1/cosh x |
|
2-13.19 (11-9.19) |
csch x |
cosec hypecbol của x |
csch x= 1/sinh x Nên tránh sử dụng cosech x. |
|
2-13.20 (11-9.20) |
arsinh x |
hàm ngược của sin hypecbol của x, miền sin hypecbol của x |
y= arsinh x Û x = sinh y Hàm arsinh là hàm ngược của hàm sinh. Nên tránh sử dụng arsh x. |
|
2-13.21 (11-9.21) |
arcosh x |
hàm ngược cosin hypecbol của x, miền cosin hypecbol của x |
y= arcosh x Û x = cosh y, y ³ 0 Hàm arcosh là hàm ngược của hàm cosh với miền giới hạn như trên. Nên tránh sử dụng arch x. |
|
2-13.22 (11-9.22) |
artanh x |
hàm ngược tang hypecbol của x, miền tang hypecbol của x |
y= artanh x Û x = tanh y Hàm artanh là hàm ngược của hàm tanh. Nên tránh sử dụng arth X. |
|
2-13.23 (11-9.23) |
arcoth x |
hàm ngược cotang hypecbol của x, miền cotang hypecbolcủa x |
y= arcoth x Û x = coth y, y ≠ 0 Hàm arcoth là hàm ngược của hàm coth với miền giới hạn như trên. |
|
2-13.24 (11-9.24) |
arsech x |
hàm ngược sec hypecbol của x, diện tích sec hypecbolcủa x |
y= arsech x Û x = sech y, y ³ 0 Hàm arcech là hàm ngược của hàm sech với miền giới hạn như trên. |
|
2-13.25 (11-9.25) |
arcsch x |
hàm ngược cosec hypecbol của X, miền cosec hypecbol của X |
y= arcsch x Û x = csch y, y ³ 0 Hàm arcsch là hàm ngược của hàm csch Nên tránh sử dụng arcosech X. |
14. Số phức
|
Số mục |
Dấu, ký hiệu, biểu thức |
Ý nghĩa, diễn đạt bằng lời |
Chú thích và ví dụ |
|
2-14.1 (11-10.1) |
i j |
đơn vị ảo |
i2= j2= –1 i được dùng trong toán học và vật lý, j được dùng trong kỹ thuật điện. |
|
2-14.2 (11-10.2) |
Re z |
phần thực của z |
z= x + i y trong đó x và y là các số thực. x= Re z và y = lm z. |
|
2-14.3 (11-10.3) |
Im z |
phần ảo của z |
Xem 2-14.2. |
|
2-14.4 (11-10.4) |
|z| |
modun của z |
|z| = trong đó x = Re z và y= Im z. Xem thêm 2-9.16. |
|
2-14.5 (11-10.5) |
arg z |
góc cực của z |
z= r eij trong đó r= |z| và j = arg z, –p <>j p nghĩa là Re z= r cos j và Im z = r sin j |
|
2-14.6 (11-10.6) |
z* |
liên hợp phức của z |
z* chủ yếu dùng trong vật lý và kỹ thuật. |
|
2-14.7 (11-10.7) |
sgn z |
dấu của z |
sgn z = z / |z|= exp(i arg z) (z ≠ 0) sgn z= 0 đối với z= 0 Xem thêm mục 2-9.13. |
15. Ma trận
Ma trận thường được viết bằng chữ hoa đậm, nghiêng, còn các phần tử của ma trận được viết bằng chữ thường nghiêng, tuy nhiên, các dạng chữ khác cũng được sử dụng.
|
Số mục |
Dấu, ký hiệu, biểu thức |
Ý nghĩa, diễn đạt bằng lời |
Chú thích và ví dụ |
|
2-15.1 (11-11.1) |
|
Ma trận A kiểu m nhân n |
A là ma trận với các phần tử aij = (A)ij m là số hàng và n là số cột. A= (aij) cũng được sử dụng. Dấu ngoặc vuông cũng được dùng thay cho dấu ngoặc đơn. |
|
2-15.2 (-) |
A + B |
tổng của ma trận A và B |
(A + B)ij= (A)ij + (B)ij Ma trận A và B phải có cùng số hàng và số cột. |
|
2-15.3 (-) |
x A |
tích của đại lượng vô hướng x và ma trận A |
(x A)ij= x (A)ij |
|
2-15.4 (11-11.2) |
AB |
tích của ma trận A và B |
Số cột của A phải bằng số hàng của B. |
|
2-15.5 (11-11.3) |
E i |
ma trận đơn vị |
Ma trận vuông bất kỳ có (E)ik= dik. Xem 2-17.9. |
|
2-15.6 (11-11.4) |
A–1 |
ma trận nghịch đảo của ma trận vuông A |
AA-1= A-1 A= E |
|
2-15.7 (11-11.5) |
AT |
ma trận chuyển vị của A |
|
|
2-15.8 (11-11.6) |
A* |
ma trận liên hợp phức của A |
|
|
2-15.9 (11-11.7) |
AH |
ma trận liên hợp Hermite của A |
Thuật ngữ “ma trận tiếp giáp” cũng được sử dụng. A* và A+ cũng được dùng cho AH. |
|
2-15.10 (11-11.8) |
|
định thức của ma trận vuông A |
|
|
2-15.11 (-) |
rank A |
hạng của ma trận A |
Hạng của ma trận A là số hàng độc lập tuyến tính của A. Nó cũng bằng số cột độc lập tuyến tính của A. |
|
2-15.12 (11-11.9) |
tr A |
vết của ma trận vuông A |
tr A=
|
|
2-15.13 (11-11.10) |
||A|| |
chuẩn của ma trận A |
Chuẩn của ma trận A là số đặc trưng cho ma trận này và thỏa mãn bất đẳng thức tam giác: nếu A + B= C, thì ||A|| + ||B|| ³ ||C||. Các chuẩn ma trận khác nhau cũng được sử dụng. |
16 Hệ tọa độ
|
Số mục |
Các tọa độ |
Vị trí vectơ và vi phân của nó |
Tên của hệ tọa độ |
Chú thích |
|
2-16.1 (11-12.1) |
x, y, z |
|
tọa độ Đêcac |
x1, x2, x3 đối với tọa độ và e1, e2, e3 đối với vectơ cơ sở cũng được sử dụng. Ký hiệu này dễ tổng quát cho không gian n chiều. ex, ey, ez , tạo thành một hệ trực chuẩn thuận. Xem các Hình 1 và 4. Đối với vectơ cơ sở, i, j, k cũng được sử dụng. |
|
2-16.2 (11-12.2) |
p,j,z |
|
tọa độ trục |
ep(j), ej (j), ez tạo thành một hệ trực chuẩn thuận. Xem Hình 2. Nếu 2= 0, thì p và j là các tọa độ cực. |
|
2-16.3 (11-12.3) |
r, J,j |
|
tọa độ cầu |
er( J, j), eJ(J, j), ej (j) tạo thành một hệ trực chuẩn thuận. Xem Hình 3. |
|
CHÚ THÍCH: Nếu, trường hợp ngoại lệ, sử dụng hệ nghịch (xem Hình 5) thay cho hệ thuận (xem Hình 4) vì mục đích nhất định, thì phải nêu rõ để tránh sai dấu. |
||||


17. Đại lượng vô hướng, vectơ và tenxơ
Các đại lượng vô hướng, vectơ và tenxơ là các đối tượng toán học có thể dùng để biểu thị các đại lượng vật lý nhất định và giá trị của chúng. Chúng không phụ thuộc vào lựa chọn cụ thể của hệ tọa độ, trong khi mỗi thành phần của một vectơ hoặc tenxơ và từng vectơ thành phần và tenxơ thành phần lại phụ thuộc vào lựa chọn đó.
Điều quan trọng là phân biệt được giữa các thành phần của vectơ a đối với một số vectơ cơ sở, nghĩa là giá trị đại lượng, ax, ay và az, với “các vectơ thành phần”, nghĩa là axex, ayey và azez. Cần chú ý không nhầm lẫn giữa các thành phần của một vectơ với các vectơ thành phần. Các thành phần của một vectơ thường được gọi là tọa độ của vectơ.
Các thành phần Đêcac của vectơ vị trí bằng các thành phần Đêcac của điểm cho bởi vectơ đó.
Thay cho việc coi từng thành phần như một giá trị đại lượng vật lý (nghĩa là một trị số nhân với một đơn vị) thì có thể viết vectơ như một vectơ trị số nhân với một đơn vị. Tất cả các đơn vị đều là vô hướng.
VÍ DỤ:
F= (3 N, -2 N, 5 N)= (3, -2, 5) N (trong tọa độ Đêcac)
trong đó:
F là lực;
3 N là thành phần đầu tiên, ví dụ Fx, của vectơ F có trị số là 3 và đơn vị N (các thành phần còn lại là 2N và 5 N);
(3, -2, 5) là vectơ trị số và N là đơn vị.
Áp dụng xem xét tương tự với tenxơ bậc hai và bậc cao hơn.
Trong điều này chỉ xét đến các tọa độ Đêcac (trực chuẩn) trong không gian thường. Các trường hợp tổng quát đòi hỏi biểu diễn hiệp biến và nghịch biến không được xét đến ở đây. Các tọa độ Đêcac được ký hiệu là x, y, z hoặc x1, x2, x3. Trong trường hợp dùng chỉ số, các chỉ số i, j, k, l biến thiên từ 1 đến 3 và sử dụng qui ước lấy tổng sau đây:
nếu chỉ số xuất hiện hai lần trong một số hạng thì tổng được lấy trên miền biến thiên của chỉ số như đã biết, và có thể bỏ ký hiệu S.
Vô hướng là tenxơ bậc không và vectơ là tenxơ bậc một.
Vectơ và tenxơ thường được biểu diễn bằng các ký hiệu chung cho các thành phần của chúng, ví dụ ai cho vectơ, Tij cho tenxơ bậc hai và aibj cho tích nhị thức.
Chữ viết tắt “cycl” có nghĩa là hoán vị vòng quanh của các thành phần và chỉ số. Thay cho việc viết ba công thức thành phần tương tự nhau thì chỉ cần viết một công thức là đủ, hai công thức còn lại tiếp sau bằng cycl, cycl.
|
Số mục |
Dấu, ký hiệu, biểu thức |
Ý nghĩa, diễn đạt bằng lời |
Chú thích và ví dụ |
|
2-17.1 (11-13.1) |
|
vectơ a |
Có thể sử dụng ký hiệu chữ có mũi tên trên đầu thay cho kiểu chữ đậm để chỉ thị vectơ. |
|
2-17.2 (-) |
a + b |
tổng của vectơ a và b |
(a + b)i= ai + bi |
|
2-17.3 (-) |
xa |
tích của một số, lượng vô hướng hoặc thành phần X với vectơ a |
(xa)i= xai |
|
2-17.4 (11-13.2) |
|a| a |
độ lớn của vectơ a, chuẩn của vectơ a |
|| a || cũng được dùng. Xem thêm 2-9.16. |
|
2-17.5 (-) |
|
vectơ không |
Vectơ không có độ lớn bằng 0. |
|
2-17.6 (11-13.3) |
ea |
vectơ đơn vị theo phương của a |
ea= a |a|, a ≠ 0 a = |a|ea |
|
2-17.7 (11-13.4) |
|
vectơ đơn vị theo hướng của các trục tọa độ Đêcac |
i, j, k Cũng được dùng. |
|
2-17.8 (11-13.5) |
|
các thành phần Đêcac của vectơ a |
ax ex …..là các vectơ thành phần. Trong trường hợp các vectơ cơ sở là đã biết thì vectơ có thể viết là a= (ax, ay, az). ax= a×ex, cycl, cycl r= xex + yey +zez là vectơ vị trí (vectơ bán kính) của điểm đó với các tọa độ X, y, z. |
|
2-17.9 (11-7.19) |
dijk |
ký hiệu delta Kronecker |
|
|
2-17.10 (11-7.20) |
eijk |
ký hiệu Levi-Civita |
e123= e231= e312= 1 e132= e321= e213= -1 Mọi trường hợp khác eijk bằng 0. |
|
2-17.11 (11-13.6) |
a × b |
tích vô hướng của a và b |
Trong các lĩnh vực đặc biệt, (a, b) cũng được dùng. |
|
2-17.12 (11-13.7) |
a x b |
tích vectơ của a và b |
Trong hệ tọa độ Đêcac thuận, các thành phần là
Xem 2-17.9. |
|
2-17.13 (11-13.8) |
|
toán tử nabla |
Toán tử này còn được gọi là “toán tử del”. |
|
2-17.14 (11-13.9) |
Ñ j grad j |
gradien của j |
cần tránh viết toán tử grad trong mặt mỏng. |
|
2-17.15 (11-13.10) |
Ñ × a div a |
div của a |
|
|
2-17.16 (11-13.11) |
Ñ x a rot a |
rot của a |
Các thành phần là
Phải tránh phép toán rot mặt cong và mỏng.
Xem 2-17.10. |
|
2-17.17 (11-13.12) |
Ñ2 D |
toán tử Laplace |
|
|
2-17.18 (11-13.13) |
ÿ |
toán tử Dalembert |
|
|
2-17.19 (11-13.14) |
|
tenxơ T bậc hai |
Để biểu thị tenxơ bậc hai, có thể dùng hai mũi trên trên chữ cái thay cho kiểu chữ không chân in đậm. |
|
2-17.20 (11-13.15) |
Txx, Txy, .., Tzz T11, T12, … , T33 |
thành phần Đêcac của tenxơ T |
là các tenxơ thành phần. Khi các vectơ cơ sở đả biết rõ, có thể viết
|
|
2-17.21 (11-13.16) |
ab aÄb |
tích nhị nguyên, tích tenxơ của hai vectơ a và b |
tenxơ bậc hai với các thành phần (ab)ij = aibj |
|
2-17.22 (11-13.17) |
TÄS |
tích tenxơ của hai tenxơ bậc hai T và S |
tenxơ bậc bốn với các thành phần |
|
2-17.23 (11-13.18) |
T×S |
tích nội của hai tenxơ bậc hai T và S |
tenxơ bậc hai với các thành phần
|
|
2-17.24 (11-13.19) |
T×a |
tích nội của tenxơ bậc hai T và vectơ a |
vectơ với các thành phần
|
|
2-17.25 (11-13.20) |
T:S |
tích vô hướng của hai tenxơ bậc hai T và S |
lượng vô hướng
|
18 Phép biến đổi
|
Số mục |
Dấu, ký hiệu, biểu thức |
Ý nghĩa, diễn đạt bằng lời |
Chú thích và ví dụ |
|
2-18.1 (-) |
|
phép biến đổi Fourier của f |
Thường ký hiệu bằng
cũng được dùng. |
|
2-18.2 (-) |
|
phép biến đổi Laplace của f |
Thường ký hiệu bằng Phép biến đổi Laplace hai vế cũng được sử dụng, tính theo công thức tương tự nhưng với âm vô cùng thay cho không. |
|
2-18.3 (-) |
3 (an) |
phép biến đổi z của (an) |
3 là phép toán tính theo dãy (an) chứ không phải là hàm số của an. Phép biến đổi z hai vế cũng được sử dụng, tính theo công thức tương tự nhưng với âm vô cùng thay cho không. |
|
2-18.4 (11-7.22) |
H(x) e(x) |
hàm Heaviside, hàm bậc thang đơn vị |
U(x) cũng được dùng. J (t) được dùng cho hàm bậc thang đơn vị của thời gian. VÍ DỤ: (LH)(s)= 1/s (Re s > 0) |
|
2-18.5 (11-7.21) |
d(x) |
phân bố delta Dirac, hàm delta Dirac |
H’ = d Tên đơn vị xung cũng được dùng. VÍ DỤ: L d= 1 Xem thêm 2-18.6 và IEC 60027- 6:2006, mục 2.01. |
|
2-18.6 (11-7.23) |
f *g |
tích chập của f và g |
|
19 Các hàm đặc biệt
Qui ước sử dụng trong điều này là: a, b, c, z, w, v là các số phức, x, là số thực còn k, l, m và n là các số tự nhiên
|
Số mục |
Dấu, ký hiệu, biểu thức |
Ý nghĩa, diễn đạt bằng lời |
Chú thích và ví dụ |
|
2-19.1 (-) |
g C |
hằng số Euler |
|
|
2-19.2 (11-14.19) |
|
hàm gamma |
|
|
2-19.3 (11-14.23) |
|
hàm zeta Riemann |
|
|
2-19.4 (11-14.20) |
B (z, w) |
hàm beta |
|
|
2-19.5 (11-14.21) |
Ei x |
tích phân hàm mũ |
Đối với |
|
2-19.6 (-) |
li x |
tích phân loga |
Đối với |
|
2-19.7 (-) |
Si z |
tích phân sin |
|
|
2-19.8 (-) |
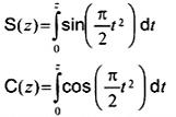
S(z) C(z) |
tích phân Fresnel |
|
|
2-19.9 (11-14.22) |
erf x |
hàm sai số |
erfc x = 1- erf x được gọi là hàm sai số bù. Trong thống kê học, hàm phân bố
|
|
2-19.10 (11-14.16) |
F (j, k) |
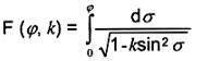
tích phân eliptic không đầy đủ loại một |
K(k)= F(p/2, k) là tích phân eliptic đầy đủ loại một (ở đây 0 < k=””>< 1,=”” k=””>Î R). |
|
2-19.11 (11-14.17) |
E (j, k) |
tích phân eliptic không đầy đủ loại hai |
E(k)= E(p/2, k) là tích phân eliptic đầy đủ loại hai (ở đây 0 < k=””>< 1,=””>k Î R). |
|
2-19.12 (11-14.18) |
Õ(n, j , k) |
tích phân eliptic không đầy đủ loại ba |
Õ (n,k)= Õ (n, p/2, k) là tích phân eliptic đầy đủ loại ba (ở đây 0 < k=””>< 1,=”” k=””>Î R). |
|
2-19.13 (11-14.14) |
F (a, b, c, z) |
hàm siêu hình học |
Đối với (a)n, (b)n và (c)n, xem 2-10.3. Nghiệm của z(1 – z)y” + [c – (a + b + 1 )z]y’ – aby = 0 |
|
2-19.14 (11-14.15) |
F (a; c; z) |
hàm siêu hình học suy biến |
Đối với (a)n và (c)n, xem 2-10.3. Nghiệm của zy” + [c – z]y’ -ay= 0 |
|
2-19.15 (11-14.8) |
Pn(z) |
đa thức Legendre |
Nghiệm của (1 -z2)y’’- 2zy’ + n(n+1 )y= 0 |
|
2-19.16 (11-14.9) |
|
hàm liên hợp Legendre |
Nghiệm của
Hệ số (-1)m tuân theo lý thuyết chung của hàm cầu. |
|
2-19.17 (11-14.10) |
|
hàm điều hòa cầu |
Nghiệm của
|
|
2-19.18 (11-14.11) |
Hn(z) |
đa thức Hermite |
Nghiệm của y”-2zy”+2ny=0 (n Î N) |
|
2-19.19 (11-14.12) |
Ln(z) |
đa thức Laguerre |
Nghiệm của zy”+ (1 – z )y’ + ny = 0 |
|
2-19.20 (11-14.13) |
|
đa thức liên hợp Laguerre |
Nghiệm của zy” + (m+1-z)y’ + (n-m)y = 0 |
|
2-19.21 (-) |
Tn(z) |
đa thức Chebyshev loại một |
Tn(z) = cos (n arccos z) (n Î N) Nghiệm của (1- z2)y”- z y’ + n2 y = 0 |
|
2-19.22 (-) |
Un(z) |
đa thức Chebyshev loại hai |
Nghiệm của (1-z2)y” – 3 zy2 + n(n+2)y = 0 |
|
2-19.23 (11-14.1) |
Jv(z) |
hàm Bessel, hàm trụ loại một |
Nghiệm của z2 y” + zy’ + (z2 – v2)y = 0 |
|
2-19.24 (11-14.2) |
Nv (z) |
hàm Neumann, hàm trụ loại hai |
vế phải của công thức này được thay bằng giá trị giới hạn của nó nếu v Î Z. Yv (z) cũng được dùng. |
|
2-19.25 (11-14.3) |
|
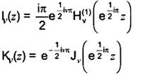
hàm Hankel, hàm trụ loại ba |
(v Î C) |
|
2-19.26 (11-14.4) |
lv(z) Kv (z) |
hàm Bessel cải biên |
Nghiệm của z2y” + zy’ – (z2 + v2)y = 0 |
|
2-19.27 (11-14.5) |
jl(z) |
hàm cầu Bessel |
Nghiệm của z2y” + 2zy’ + [z2 -l(l+1)]y = 0 |
|
2-19.28 (11-14.6) |
nl(z) |
hàm cầu Neumann |
yl(z) cũng được dùng. (l Î N) |
|
2-19.29 (11-14.7) |
|
hàm cầu Hankel |
Hàm cầu Bessel cải biên (tương tự như 2-19.26) có thể được xác định và ký hiệu bằng il(z) và kl(z) tương ứng. |
|
2-19.30 (-) |
Ai(z) Bi(z) |
hàm Airy |
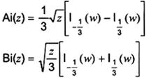
Trong đó w = Nghiệm toàn phần của y” – zy = 0 |
Phụ lục A
(qui định)
Làm rõ các ký hiệu sử dụng
ISO/IEC 10646 cung cấp tên của các ký hiệu cùng với các loại mã được sử dụng khi các ký hiệu hoặc chữ cái này có mặt trong giao tiếp bằng máy. Mục đích chính của ISO/IEC 10646 là đưa ra dấu hiệu nhận biết rõ ràng cho chữ cái hoặc ký hiệu. Tiêu chuẩn này không mô tả đầy đủ các phương tiện và khái niệm của ISO/IEC 10646.
Unicode Consortium đã xuất bản quy định kỹ thuật liên quan [3] .Tuy nhiên, quy định Unicode Consortium [3] cũng bổ sung các thuộc tính của các ký tự (ví dụ như chúng là con số hay chữ in/chữ thường,…). Các thuộc tính này không quan trọng đối với tiêu chuẩn này.
Với mục đích của các bảng dưới đây, cả ISO/IEC 10646 và tài liệu tham khảo 3 đều đưa ra các quy định giống nhau, thường được gọi là “ký tự Unicode”.
ISO/IEC 10646 và Unicode được xây dựng như một dạng mở rộng của bảng chữ cái bao trùm “ASCII” (hệ Latinh cơ sở). Có một số cách mã hóa các ký hiệu và ký tự, trong đó phổ biến nhất là bộ mã 32-bit, bộ mã 16-bit – không phải toàn bộ các ký tự – và bộ mã có tên gọi UTF-8 có độ dài biến thiên, nhưng dẫn đến bộ mã ký tự ASCII trong một octave.
Đôi khi có trường hợp nhiều ký hiệu (ví dụ như CHỮ LATINH THƯỜNG V và CHỮ HY LẠP THƯỜNG NU) có nét giống nhau trong hầu hết (nhưng không phải tất cả) các phông chữ.
Phụ lục quy định này được đưa ra để làm rõ thêm về ký hiệu được sử dụng trong nội dung của tiêu chuẩn này, bất kể sử dụng phông chữ nào.
Bảng A.1 có bốn cột.
– Cột thứ nhất có hàng viện dẫn đến số mục trong nội dung tiêu chuẩn trong đó ký hiệu được sử dụng. (Tiêu đề: “Số mục”).
– Cột thứ hai lặp lại ký hiệu với cùng phông chữ, vị trí, định dạng và cỡ được dùng trong nội dung tiêu chuẩn này. (Tiêu đề: “Dấu, ký hiệu”).
– Cột thứ ba nêu tên gọi trong ISO/IEC 10646 và Unicode [3] (chúng giống hệt nhau). Ví dụ: “TÍCH CƠ SỐ N” (ngược với “CHỮ HY LẠP HOA Pl”) hoặc “TỔNG CƠ SỐ N” (ngược với “CHỮ HY LẠP HOA SIGMA”). [Tiêu đề: “Tên của ký hiệu (xem ISO/IEC 10646)”.] Thực tế là một số tên gọi trong ISO/IEC 10646 không nhất quán với thực tiễn và sử dụng hiện hành của ký hiệu đi kèm và, đặc biệt là, khác với cách sử dụng trong tiêu chuẩn này.
– Cột thứ tư đưa ra (để dễ tham chiếu và làm rõ) bộ mã 16 bit ấn định cho ký hiệu ở cả ISO/IEC 10646 và Unicode [3]. UTF-8 (mã hóa có độ dài biến thiên, chỉ dùng một octave đối với các ký tự trong bộ ký tự ASCII) và bộ mã 32 bit – và các bộ khác – cũng có thể sử dụng. Tiêu đề: “Giá trị cơ số 16 của ký hiệu (xem ISO/IEC 10646”.]
CHÚ THÍCH: Trong các phần khác của bộ TCVN 7870 (ISO 80000), “kiểu chữ” (tháng hoặc nghiêng, không đậm hoặc đậm, hoặc đậm nghiêng) cũng có cùng ý nghĩa và phải được gắn thêm vào. Tuy nhiên, trong tiêu chuẩn này, tất cả các ký hiệu đều ở kiểu chữ thẳng và không có cột nào trong bảng dưới đây nêu thông tin như vậy.
Thông tin bổ sung về các ký hiệu dùng trong toán học được cho trong tài liệu tham khảo [4]
Bảng A.1
|
Mục số |
Dấu, ký hiệu |
Tên ký hiệu (xem ISO/IEC 10646) |
Giá trị cơ số 16 của ký hiệu (Xem ISO/IEC 10646) |
|
2-4.1 |
∧ |
VÀ |
2227 |
|
2-4.2 |
∨ |
HOẶC |
2228 |
|
2-4.3 |
¬ |
DẤU PHỦ ĐỊNH |
00AC |
|
2-4.4 |
⇒ |
MŨI TÊN KÉP SANG PHẢI |
21D2 |
|
2-4.5 |
⇔ |
MŨI TÊN KÉP TRÁI PHẢI |
21D4 |
|
2-4.6 |
∀ |
VỚI MỌI |
2200 |
|
2-4.7 |
∃ |
TỒN TẠI |
2203 |
|
2-5.1 |
∈ |
PHẦN TỬ CỦA |
2208 |
|
2-5.2 |
∉ |
KHÔNG PHẢI PHẦN TỬ CỦA |
2209 |
|
2-5.4 |
| |
ĐƯỜNG THẲNG ĐỨNG |
007C |
|
2-5.5 |
| |
ĐƯỜNG THẲNG ĐỨNG |
007C |
|
2-5.6 |
∅ |
TẬP RỖNG |
2205 |
|
2-5.7 |
⊆ |
TẬP CON CỦA HOẶC BẰNG |
2286 |
|
2-5.8 |
⊂ |
TẬP CON CỦA |
2282 |
|
2-5.9 |
∪ |
HỢP |
222A |
|
2-5.10 |
∩ |
GIAO |
2229 |
|
2-5.11 |
⋃ |
HỢP CƠ SỐ N |
22C3 |
|
2-5.12 |
⋂ |
GIAO CƠ SỐ N |
22C2 |
|
2-5.13 |
∖ |
DẤU TRỪ TẬP HỢP |
2216 |
|
2-5.13 |
∁ |
BÙ |
2201 |
|
2-5.16 |
× |
DẤU NHÂN |
00D7 |
|
2-5.17 |
Õ |
TÍCH CƠ SỐ N |
220F |
|
2-6.1 |
ℕ |
N HOA KÉP |
2115 |
|
2-6.2 |
ℤ |
Z HOA KÉP |
2124 |
|
2-6.3 |
ℚ |
Q HOA KÉP |
211A |
|
2-6.4 |
ℝ |
R HOA KÉP |
211D |
|
2-6.5 |
ℂ |
C HOA KÉP |
2102 |
|
2-6.6 |
ℙ |
P HOA KÉP |
2119 |
|
2-7.1 |
= |
DẤU BẰNG |
003D |
|
2-7.2 |
¹ |
KHÁC |
2260 |
|
2-7.3 |
≔ |
HAI CHẤM BẰNG |
2254 |
|
2-7.3 |
≝ |
BẰNG THEO ĐỊNH NGHĨA |
225D |
|
2-7.4 |
≙ |
ƯỚC LƯỢNG BẰNG |
2259 |
|
2-7.5 |
≈ |
XẤP XỈ BẰNG |
2248 |
|
2-7.6 |
≃ |
TIỆM CẬN BẰNG |
2243 |
|
2-7.7 |
~ |
TƯƠNG ĐƯƠNG |
223C |
|
2-7.7 |
∝ |
TỶ LỆ VỚI |
221D |
|
2-7.8 |
|
ĐỒNG DẠNG VỚI |
2245 |
|
2-7.9 |
<> |
DẤU NHỎ HƠN |
003C |
|
2-7.10 |
> |
DẤU LỚN HƠN |
003E |
|
2-7.11 |
£ |
NHỎ HƠN HOẶC BẰNG |
2264 |
|
2-7.12 |
³ |
LỚN HƠN HOẶC BẰNG |
2265 |
|
2-7.13 |
≪ |
RẤT NHỎ HƠN |
226A |
|
2-7.14 |
≫ |
RẤT LỚN HƠN |
226B |
|
2-7.15 |
¥ |
VÔ CÙNG |
221E |
|
2-7.16 |
→ |
MŨI TÊN SANG PHẢI |
2192 |
|
2-7.17 |
∣ |
CHIA |
2223 |
|
2-7.18 |
º |
ĐỒNG NHẤT BẰNG |
2261 |
|
2-7.19 |
<> |
DẤU NGOẶC NHỌN TRÁI |
27E8 |
|
2-7.19 |
> |
DẤU NGOẶC NHỌN PHẢI |
27E9 |
|
2-8.1 |
∥ |
SONG SONG VỚI |
2225 |
|
2-8.2 |
^ |
VUÔNG GÓC |
27C2 |
|
2-8.3 |
Ð |
GÓC |
2220 |
|
2-9.1 |
+ |
DẤU CỘNG |
002B |
|
2-9.2 |
– |
DẤU TRỪ |
2212 |
|
2-9.3 |
± |
DẤU CỘNG TRỪ |
00B1 |
|
2-9.4 |
∓ |
DẤU TRỪ CỘNG |
2213 |
|
2-9.5 |
⋅ |
TOÁN TỬ CHẤM |
22C5 |
|
2-9.5 |
× |
DẤU NHÂN |
00D7 |
|
2-9.6 |
/ |
DẤU GẠCH CHÉO |
002F |
|
2-9.7 |
å |
TỔNG CƠ SỐ N |
2211 |
|
2-9.8 |
Õ |
TÍCH CƠ SỐ N |
220F |
|
2-9.10 |
Ö |
CĂN BẠC HAI |
221A |
|
2-9.12 |
<> |
DẤU NGOẶC NHỌN TRÁI |
27E8 |
|
2-9.12 |
> |
DẤU NGOẶC NHỌN PHẢI |
27E9 |
|
2-9.16 |
| |
ĐƯỜNG THẲNG ĐỨNG |
007C |
|
2-9.17 |
ë |
SÀN TRÁI |
230A |
|
2-9.17 |
û |
SÀN PHẢI |
230B |
|
2-9.18 |
é |
TRẦN TRÁI |
2308 |
|
2-9.18 |
ù |
TRẦN PHẢI |
2309 |
|
2-11.3 |
® |
MŨI TÊN SANG PHẢI |
2192 |
|
2-11.4 |
|
MŨI TÊN SANG PHẢI TỪ VẠCH |
21A6 |
|
2-11.7 |
∘ |
PHÉP VÒNG |
2218 |
|
2-11.11 |
∆ |
SỐ GIA |
2206 |
|
2-11.12 |
′ |
PHẨY TRÊN |
2032 |
|
2-11.15 |
|
VI PHÂN TỪNG PHẦN |
2202 |
|
2-11.16 |
d |
CHỮ D THƯỜNG LA TINH |
0064 |
|
2-11.17 |
d |
CHỮ DELTA THƯỜNG HY LẠP |
03B4 |
|
2-11.18 |
ò |
TÍCH PHÂN |
2228 |
|
2-11.19 |
òò |
TÍCH PHÂN KÉP |
222C |
|
2-11.19 |
∮ |
TÍCH PHÂN ĐƯỜNG CONG KÍN |
222E |
|
2-11.19 |
∯ |
TÍCH PHÂN MẶT |
222F |
|
2-11.20 |
|
TÍCH PHÂN PHẦN HỮU HẠN |
2A0D |
|
2-17.11 |
⋅ |
TOÁN TỬ CHẤM |
22C5 |
|
2-17.12 |
× |
DẤU NHÂN |
00D7 |
|
2-17.13 |
∇ |
NABLA |
2207 |
|
2-17.17 |
∆ |
SỐ GIA |
2206 |
|
2-17.18 |
□ |
DẤU VUÔNG TRẮNG |
25A1 |
|
2-17.21 |
⊗ |
NHÂN TRÒN |
2297 |
|
2-18.1 |
ℱ |
CHỮ F HOA |
2131 |
|
2-18.2 |
ℒ |
CHỮ L HOA |
2112 |
|
2-18.3 |
|
CHỮ Z HOA ĐEN |
2128 |
|
2-18.6 |
∗ |
TOÁN TỬ SAO |
2217 |
THƯ MỤC TÀI LIỆU THAM KHẢO
[1] ISO/IEC 10646:2003, Information technology- Universal Multiple-Octet Coded Character Set (UCS) (Công nghệ thông tin – Bộ mã ký tự 8 bit chung)
[2] IEC 60027-6:2006, Letter symbols to be used in electrical technology – Part 6: Control technology (Ký hiệu bằng chữ dùng trong kỹ thuật điện – Phần 6: Kỹ thuật điều khiển)
[3] The Unicode Standard, Version 5.0:2007. The Unicode Consortium. (Reading, MA, Addison- Wesley)
[4] Unicode Technical Report #25 – Unicode support for mathematics. The Unicode Consortium. (Reading, MA, Addison-Wesley) URL: http://www.unicode.org/reports/tr25
MỤC LỤC
Lời nói đầu
Lời giới thiệu
1. Phạm vi áp dụng
2. Tài liệu viện dẫn
3. Biến số, hàm số và toán tử
4. Logic toán
5. Tập hợp
6. Tập và khoảng số tiêu chuẩn
7. Dấu và ký hiệu hỗn hợp
8. Hình học sơ cấp
9. Các phép toán
10. Tổ hợp
11. Hàm số
12. Hàm mũ và hàm loga
13. Hàm số vòng và hàm hypecbol
14. Số phức
15. Ma trận
16. Hệ tọa độ
17. Đại lượng vô hướng, vectơ và tenxơ
18. Phép biến đổi
19. Các hàm đặc biệt
Phụ lục A (qui định) Làm rõ các ký hiệu sử dụng
Thư mục tài liệu tham khảo







Các biến độc lập còn lại có thể được chỉ ra bằng chỉ số dưới, ví dụ 

cũng được sử dụng 

























được gọi là tích phân sin bù.

được dùng






