Tiêu chuẩn quốc gia TCVN 8243-2 (ISO 3951-2 : 2006) về Quy trình lấy mẫu để kiểm tra định lượng – Phần 2: Quy định chung đối với phương án lấy mẫu một lần xác định theo giới hạn chất lượng chấp nhận (AQL) để kiểm tra từng lô có các đặc trưng chất lượng độc lập đã được thay thế bởi Tiêu chuẩn quốc gia TCVN 8243-2:2018 (ISO 3951-2:2013) về Quy trình lấy mẫu để kiểm tra định lượng – Phần 2: Quy định chung đối với phương án lấy mẫu một lần xác định theo giới hạn chất lượng chấp nhận (AQL) để kiểm tra từng lô có các đặc trưng chất lượng độc lập .
Nội dung toàn văn Tiêu chuẩn quốc gia TCVN 8243-2 (ISO 3951-2 : 2006) về Quy trình lấy mẫu để kiểm tra định lượng – Phần 2: Quy định chung đối với phương án lấy mẫu một lần xác định theo giới hạn chất lượng chấp nhận (AQL) để kiểm tra từng lô có các đặc trưng chất lượng độc lập
TIÊU CHUẨN QUỐC GIA
TCVN 8243-2 : 2009
ISO 3951-2 : 2006
QUY TRÌNH LẤY MẪU ĐỂ KIỂM TRA ĐỊNH LƯỢNG – PHẦN 2: QUY ĐỊNH CHUNG ĐỐI VỚI PHƯƠNG ÁN LẤY MẪU MỘT LẦN XÁC ĐỊNH THEO GIỚI HẠN CHẤT LƯỢNG CHẤP NHẬN (AQL) ĐỂ KIỂM TRA TỪNG LÔ CÓ CÁC ĐẶC TRƯNG CHẤT LƯỢNG ĐỘC LẬP
Sampling procedures for inspection by variables – Part 2: General specification for single sampling plans indexed by acceptance quality limit (AQL) for lot-by-lot inspection of independent quality characteristics
Lời nói đầu
TCVN 8243-2 : 2009 thay thế cho TCVN 2601:1978 và TCVN 2602:1987;
TCVN 8243-2 : 2009 hoàn toàn tương đương với ISO 3951-2 : 2006;
TCVN 8243-2 : 2009 do Ban kỹ thuật tiêu chuẩn quốc gia TCVN/TC 69 Ứng dụng các phương pháp thống kê biên soạn, Tổng cục Tiêu chuẩn Đo lường Chất lượng đề nghị, Bộ Khoa học và Công nghệ công bố.
Bộ TCVN 8243 gồm các phần dưới đây có tên chung “Quy trình lấy mẫu để kiểm tra định lượng”:
– TCVN 8243-1 : 2009 (ISO 3951-1:2005), Phần 1: Quy định đối với phương án lấy mẫu một lần xác định theo giới hạn chất lượng chấp nhận (AQL) để kiểm tra từng lô đối với một đặc trưng chất lượng và một AQL
– TCVN 8243-2 : 2009 (ISO 3951-2:2006), Phần 2: Qui định chung đối với phương án lấy mẫu một lần xác định theo giới hạn chất lượng chấp nhận (AQL) để kiểm tra từng lô có đặc trưng chất lượng độc lập
Bộ ISO 3951 còn có các phần dưới đây có tên chung “Sampling procedures for inspection by variables”:
– Part 3: Double sampling schemes indexed by acceptance quality limit (AQL) for lot-by-lot inspection
– Part 5: Sequential sampling plans indexed by acceptance quality limit (AQL) for inspection by variables
Lời giới thiệu
Tiêu chuẩn này quy định hệ thống lấy mẫu chấp nhận các phương án lấy mẫu một lần để kiểm tra định lượng. Hệ thống được xác định theo giới hạn chất lượng chấp nhận (AQL), mang bản chất kỹ thuật và để cho những người sử dụng đã quen với lấy mẫu định lượng hoặc những người có các yêu cầu phức tạp. Phần giới thiệu được nêu trong TCVN 8243-1 (ISO 3951-1).
Mục tiêu của các phương pháp đề cập trong tiêu chuẩn này là nhằm đảm bảo có xác suất chấp nhận cao đối với các lô có chất lượng chấp nhận và xác suất không chấp nhận cao đến mức có thể đối với những lô chất lượng kém hơn. Điều này đạt được bằng các quy tắc chuyển đổi, cung cấp:
a) bảo vệ cho người tiêu dùng (bằng cách chuyển sang kiểm tra ngặt hoặc ngừng kiểm tra lấy mẫu) khi phát hiện sự suy giảm chất lượng;
b) khuyến khích (theo xem xét của bộ phận có thẩm quyền) giảm chi phí kiểm tra (bằng cách chuyển sang cỡ mẫu nhỏ hơn) khi duy trì được mức chất lượng tốt.
Trong tiêu chuẩn này, khả năng chấp nhận lô được xác định hoàn toàn hoặc rõ ràng từ ước lượng phần trăm cá thể không phù hợp trong quá trình đó, dựa trên việc lấy mẫu ngẫu nhiên các cá thể của lô.
Tiêu chuẩn này nhằm áp dụng cho loạt các lô liên tiếp các sản phẩm riêng rẽ, được cung cấp bởi cùng một nhà sản xuất sử dụng cùng một quá trình sản xuất. Nếu có các nhà sản xuất hoặc quá trình sản xuất khác nhau thì áp dụng tiêu chuẩn này riêng rẽ cho từng loại.
Tiêu chuẩn này bổ sung cho TCVN 8243-1 (ISO 3951-1). Khi được bộ phận có thẩm quyền quy định thì trong quy định kỹ thuật của sản phẩm, hợp đồng, hướng dẫn kiểm tra hoặc các tài liệu khác có thể viện dẫn cả TCVN 8243-1 (ISO 3951-1) và TCVN 8243-2 (ISO 3951-2) và các điều khoản quy định trong đó phải được tuân thủ. “Bộ phận có thẩm quyền” phải được ấn định trong một trong các tài liệu nêu trên.
Tiêu chuẩn này giả định rằng độ không đảm bảo đo là không đáng kể (xem ISO 10576-1:2003). Thông tin về độ không đảm bảo đo cho phép trong lấy mẫu định lượng, xem tài liệu tham khảo [16] trong Thư mục tài liệu tham khảo.
CẢNH BÁO: Quy trình trong tiêu chuẩn này không thích hợp áp dụng cho các lô trước đó đã được sàng lọc để loại các cá thể không phù hợp.
Kiểm tra định lượng đối với phần trăm cá thể không phù hợp, như mô tả trong tiêu chuẩn này, bao gồm nhiều phương thức, mà khi kết hợp dẫn đến sự thể hiện khá phức tạp đối với người sử dụng:
– chưa biết độ lệch chuẩn, hoặc ban đầu chưa biết sau đó ước lượng với độ chính xác tương đối, hoặc chỉ biết từ khi bắt đầu kiểm tra;
– giới hạn qui định một phía hoặc kiểm soát kết hợp hai giới hạn qui định, kiểm tra riêng rẽ hoặc kết hợp;
– trường hợp đơn biến hoặc đa biến;
– kiểm tra thường, kiểm tra ngặt hoặc kiểm tra giảm. Tiêu chuẩn có mười bốn phụ lục kèm theo.
– Phụ lục A đến I đưa ra các bảng cần thiết để trợ giúp các qui trình.
– Phụ lục J chỉ ra cách thức xác định độ lệch chuẩn mẫu, “s”, và giá trị cho trước giả định của độ lệch chuẩn quá trình, “σ”.
– Phụ lục k đưa ra công thức để ước lượng tỷ lệ không phù hợp của quá trình, cùng với phép gần đúng có độ chính xác cao để sử dụng khi chưa biết độ lệch chuẩn quá trình.
– Phụ lục L cung cấp lý thuyết thống kê làm cơ sở cho tính toán rủi ro của người tiêu dùng, cùng với các bảng thể hiện các mức chất lượng đối với phương pháp kiểm tra thường, kiểm tra ngặt và kiểm tra giảm theo phương pháp “s” và “σ”.
– Phụ lục M cung cấp thông tin tương tự đối với rủi ro của nhà sản xuất.
– Phụ lục N đưa ra công thức chung đối với đặc trưng hiệu quả của phương pháp “σ”.
Bảng 1 giúp cho việc sử dụng tiêu chuẩn được thuận lợi bằng cách chỉ dẫn người sử dụng các đoạn và các bảng liên quan đến tình huống bất kỳ có thể gặp phải. Bảng 1 chỉ đề cập đến điều 15, 16, 17, 18, 19, 23, 24 và 25; trong từng trường hợp, cần đọc trước các điều còn lại khác.
Bảng 1 – Bảng tổng hợp
|
Loại kiểm tra |
Giới hạn quy định một phía |
Kiểm soát kết hợp giới hạn quy định hai phía |
||||||
|
phương pháp “s” |
phương pháp “σ” |
phương pháp “s” |
phương pháp “σ” |
|||||
|
Điều |
Bảng |
Điều |
Bảng |
Điều |
Bảng |
Điều |
Bảng |
|
|
Kiểm tra thường |
15.1, 15.2, 15.3, 16.2, 23.1 |
A.1, A.2, B.1 |
17.1, 17.2, 18, 19, 23.1 |
A.1, A.2, C.1 |
15.1, 15.4, 16.2, 23.1 |
A.1, A.2, D.1, F.1 (đối với n = 3), G.1 |
17.1, 17.3, 18, 19, 23.1 |
A.1, A.2, C.1, E.1 |
|
Chuyển đổi giữa kiểm tra thường và kiểm tra ngặt |
23.2, 23.3 |
B.1, B.2 |
23.2, 23.3 |
C.1, C.2 |
23.2, 23.3 |
D.1, D.2 G.1, G.2 |
23.2, 23.3 |
E.1 G.1, G.2 |
|
Chuyển đổi giữa kiểm tra thường và kiểm tra giảm |
23.4, 23.5 |
B.1, B.3 |
23.4, 23.5 |
C.1, C.3 I.1 |
23.4, 23.5 |
D.1, D.3 G.1, G.3 I.1 |
23.4, 23.5 |
E.1 G.1, G.3 I.1 |
|
Chuyển đổi giữa kiểm tra ngặt và ngừng kiểm tra |
21, 24 |
B.2 |
24 |
C.2 |
21, 24 |
D.2 G.2 |
24 |
E.1 G.2 |
|
Chuyển đổi giữa phương pháp “s” và phương pháp “σ” |
25 K.2.1 K.3, K.4, K.5 |
H.1 |
25 K.2.2 |
H.1 |
25 K.2.1 K.3, K.4, K.5 |
H.1 |
25 K.2.2 |
H.1 |
|
Kiểm tra thường |
15.1, 15.4, 16.2, 23.1 |
A.1, A.2, D.1, F.1 (đối với n =3), G.1 |
17.1, 17.2, 17.3, 18, 19, 23.1 |
A.1, A.2, C.1, E.2 |
15.1, 15.5, 16.2, 23.1 |
A.1, A.2, D.1, F (đối với n = 3), G.1 |
17.1, 17.3, 18, 19, 23.1 |
A.1, A.2, C.1, E.3 |
|
Chuyển đổi giữa kiểm tra thường và kiểm tra ngặt |
23.2, 23.3 |
D.1, D.2 G.1, G.2 |
23.2, 23.3 |
E.1 G.1, G.2 |
23.2, 23.3 |
D.1, D.2 G.1, G.2 |
23.2, 23.3 |
E.1 G.1, G.2 |
|
Chuyển đổi giữa kiểm tra thường và kiểm tra giảm |
23.4, 23.5 |
D.1, D.3 G.1, G.3 I.1 |
23.4, 23.5 |
E.2 G.1, G.3 I.1 |
23.4, 23.5 |
D.1, D.3 G.1, G.3 I.1 |
23.4, 23.5 |
E.3 G.1, G.3 I.1 |
|
Chuyển đổi giữa kiểm tra ngặt và ngừng kiểm tra |
21, 24 |
D.2 G.2 |
24 |
E.1 G.2 |
21, 24 |
D.2 G.2 |
24 |
E.1 G.2 |
|
Chuyển đổi giữa phương pháp “s” và phương pháp “σ” |
25 K.2.1 K.3, K.4, K.5 |
H.1 |
25 K.2.2 |
H.1 |
25 K.2.1 K.3, K.4, K.5 |
H.1 |
25 K.2.2 |
H.1 |
QUY TRÌNH LẤY MẪU ĐỂ KIỂM TRA ĐỊNH LƯỢNG – PHẦN 2: QUY ĐỊNH CHUNG ĐỐI VỚI PHƯƠNG ÁN LẤY MẪU MỘT LẦN XÁC ĐỊNH THEO GIỚI HẠN CHẤT LƯỢNG CHẤP NHẬN (AQL) ĐỂ KIỂM TRA TỪNG LÔ CÓ CÁC ĐẶC TRƯNG CHẤT LƯỢNG ĐỘC LẬP
Sampling procedures for inspection by variables – Part 2: General specification for single sampling plans indexed by acceptance quality limit (AQL) for lot-by-lot inspection of independent quality characteristics
1. Phạm vi áp dụng
Tiêu chuẩn này quy định hệ thống lấy mẫu chấp nhận của phương án lấy mẫu một lần để kiểm tra định lượng, xác định theo giới hạn chất lượng chấp nhận (AQL).
Tiêu chuẩn này được thiết kế để áp dụng trong các điều kiện sau:
a) khi quy trình kiểm tra cần được áp dụng cho loạt liên tiếp các lô sản phẩm riêng rẽ được cùng một nhà sản xuất cung cấp và sử dụng một quá trình sản xuất. Nếu có các nhà sản xuất hoặc quá trình sản xuất khác nhau thì áp dụng tiêu chuẩn này một cách riêng rẽ cho từng loại;
b) khi các đặc trưng chất lượng của các cá thể sản phẩm đo được trên thang đo liên tục;
c) khi sai số phép đo không đáng kể (nghĩa là với độ lệch chuẩn không quá 10 % độ lệch chuẩn tương ứng của quá trình);
d) khi sản xuất ổn định (trong kiểm soát thống kê) và đặc trưng chất lượng được phân bố theo phân bố chuẩn hoặc ít nhất là gần với phân bố chuẩn;
e) trong trường hợp có nhiều đặc trưng chất lượng, các đặc trưng độc lập với nhau, hoặc ít nhất là gần độc lập;
f) khi hợp đồng hoặc tiêu chuẩn xác định giới hạn quy định trên U, giới hạn quy định dưới L, hoặc cả hai cho từng đặc trưng chất lượng.
2. Tài liệu viện dẫn
Các tài liệu viện dẫn dưới đây rất cần thiết cho việc áp dụng tiêu chuẩn này. Đối với các tài liệu ghi năm công bố thì áp dụng bản được nêu. Đối với các tài liệu không ghi năm công bố thì áp dụng bản mới nhất, bao gồm cả các sửa đổi.
TCVN 7790-1 (ISO 2859-1), Quy trình lấy mẫu để kiểm tra định tính – Phần 1: Chương trình lấy mẫu được xác định theo giới hạn chất lượng chấp nhận (AQL) để kiểm tra từng lô
TCVN 8244-1 (ISO 3534-1), Thống kê học – Từ vựng và ký hiệu – Phần 1: Thuật ngữ chung về thống kê và thuật ngữ dùng trong xác suất
TCVN 8244-2 (ISO 3534-2), Thống kê học – Từ vựng và ký hiệu – Phần 2: Thống kê ứng dụng
TCVN ISO 9000, Hệ thống quản lý chất lượng – Cơ sở và từ vựng
3. Thuật ngữ và định nghĩa
Tiêu chuẩn này áp dụng các thuật ngữ và định nghĩa trong TCVN 8244–1 (ISO 3534-1), TCVN 8244-2 (ISO 3534-2), TCVN 7790-1 (ISO 2859-1) và TCVN ISO 9000, trừ trường hợp được định nghĩa lại dưới đây. Số tham chiếu trong ngoặc vuông dùng cho các định nghĩa được nhắc lại trong tiêu chuẩn này để thuận tiện.
3.1. Kiểm tra định lượng (inspection by variables)
Kiểm tra bằng cách đo (các) độ lớn của (các) đặc trưng của cá thể.
[TCVN 8244-2 (ISO 3534-2)]
3.2. Kiểm tra lấy mẫu (sampling inspection)
Kiểm tra các cá thể được chọn trong nhóm đang xem xét.
[TCVN 8244-2 (ISO 3534-2)]
3.3. Kiểm tra lấy mẫu chấp nhận (acceptance sampling inspection)
Kiểm tra chấp nhận trong đó khả năng chấp nhận được xác định bằng việc kiểm tra lấy mẫu (3.2).
[TCVN 8244-2 (ISO 3534-2)]
3.4. Kiểm tra lấy mẫu chấp nhận định lượng (acceptance sampling inspection by variables)
Kiểm tra lấy mẫu chấp nhận (3.3) trong đó khả năng chấp nhận quá trình được xác định thống kê từ các phép đo đặc trưng chất lượng quy định của từng cá thể trong mẫu lấy từ một lô.
3.5. Tỷ lệ không phù hợp của quá trình (process fraction nonconforming)
Tỷ lệ cá thể không phù hợp được tạo ra bởi một quá trình, biểu thị bằng một tỷ số.
3.6. Giới hạn chất lượng chấp nhận (acceptance quality limit)
AQL
Tỷ lệ không phù hợp của quá trình (3.5) lớn nhất có thể chấp nhận được khi một loạt các lô liên tiếp được giao nộp để lấy mẫu chấp nhận.
CHÚ THÍCH: Xem điều 5.
3.7. Mức chất lượng (quality level)
Chất lượng biểu thị bằng tỷ lệ xuất hiện các cá thể không phù hợp.
3.8. Chất lượng ứng với rủi ro của người tiêu dùng (consumer’s risk quality)
CRQ
Mức chất lượng (3.7) của quá trình, trong phương án lấy mẫu chấp nhận, tương ứng với rủi ro của người tiêu dùng được quy định.
CHÚ THÍCH 1: Trong tiêu chuẩn này, mức chất lượng là tỷ lệ không phù hợp của quá trình.
CHÚ THÍCH 2: Trong tiêu chuẩn này, chất lượng ứng với rủi ro của người tiêu dùng sao cho rủi ro của người tiêu dùng là 10 %.
3.9. Rủi ro của nhà sản xuất (producer’s risk)
PR
Xác suất không được chấp nhận khi mức chất lượng (3.7) có giá trị nêu trong phương án là được chấp nhận.
CHÚ THÍCH: Mức chất lượng liên quan đến tỷ lệ không phù hợp của quá trình (3.5) và khả năng chấp nhận liên quan đến AQL (3.6).
3.10. Sự không phù hợp (nonconformity)
Việc không đáp ứng các yêu cầu.
[TCVN ISO 9000]
CHÚ THÍCH: Sự không phù hợp thường được phân loại theo mức độ nghiêm trọng, như:
– Loại A. Sự không phù hợp thuộc loại được coi là quan trọng nhất đối với sản phẩm hoặc dịch vụ. Sự không phù hợp loại này thường được ấn định giá trị AQL rất nhỏ.
– Loại B. Sự không phù hợp thuộc loại được coi là ít quan trọng hơn; loại này thường được ấn định giá trị AQL lớn hơn so với loại A và nhỏ hơn loại C nếu có, v.v…
Số lượng loại và việc ấn định vào loại nào cần phù hợp với yêu cầu về chất lượng của tình huống cụ thể.
3.11. Đơn vị không phù hợp (nonconforming unit)
Đơn vị có một hoặc nhiều sự không phù hợp.
[TCVN 8244-2 (ISO 3534-2)]
3.12. Phương án lấy mẫu chấp nhận theo phương pháp “s” (“s” method acceptance sampling plan)
Phương pháp s
Phương án lấy mẫu chấp nhận định lượng sử dụng độ lệch chuẩn mẫu.
[TCVN 8244-2 (ISO 3534-2)]
CHÚ THÍCH: Xem điều 15.
3.13. Phương án lấy mẫu chấp nhận theo phương pháp “σ” (“σ” method acceptance sampling plan)
Phương án sigma
Phương án lấy mẫu chấp nhận định lượng sử dụng giá trị độ lệch chuẩn giả định của quá trình.
[TCVN 8244-2 (ISO 3534-2)]
CHÚ THÍCH: Xem điều 16.
3.14. Giới hạn quy định (specification limit)
Giá trị giới hạn quy định cho một đặc trưng. [TCVN 8244-2 (ISO 3534-2)]
3.15. Giới hạn quy định dưới (lower specification limit)
Giới hạn quy định [3.14] xác định giá trị giới hạn dưới.
CHÚ THÍCH: Kí hiệu ưu tiên dùng cho giới hạn quy định dưới là L.
[TCVN 8244-2 (ISO 3534-2)]
3.16. Giới hạn quy định trên (upper specification limit)
Giới hạn quy định [3.14] xác định giá trị giới hạn trên.
CHÚ THÍCH: Kí hiệu ưu tiên dùng cho giới hạn quy định dưới là U.
[TCVN 8244-2 (ISO 3534-2)]
3.17. Kiểm soát kết hợp (combined control)
Yêu cầu khi sự không phù hợp (3.10) vượt quá giới hạn quy định trên và giới hạn quy định dưới (3.16, 3.15) của đặc trưng chất lượng cùng lớp và áp dụng một AQL.
CHÚ THÍCH 1: Xem 5.3, 15.3.2 và 17.3.
CHÚ THÍCH 2: Việc sử dụng yêu cầu AQL (3.6) kết hợp có nghĩa là sự không phù hợp vượt quá một trong hai giới hạn quy định (3.14) có tầm quan trọng như nhau hoặc ít nhất là gần như nhau đối với sự thiếu tính toàn vẹn của sản phẩm.
3.18. Kiểm soát riêng (separate control)
Yêu cầu khi sự không phù hợp vượt quá giới hạn quy định trên và giới hạn quy định dưới (3.16, 3.15) của đặc trưng chất lượng ở các lớp khác nhau, do đó cũng áp dụng các AQL (3.6) khác nhau.
CHÚ THÍCH: Xem 5.3, 15.3.3 và 17.2.
3.19. Kiểm soát phức hợp (complex control)
Yêu cầu khi sự không phù hợp vượt quá giới hạn quy định trên (3.16) và giới hạn quy định dưới (3.15) của đặc trưng chất lượng thuộc một lớp, không phù hợp vượt quá một trong hai giới hạn quy định trên hoặc giới hạn quy định dưới thuộc lớp khác, áp dụng các AQL (3.6) riêng cho hai lớp đó.
CHÚ THÍCH 1: Xem 5.3, 15.3.4 và 17.3.
3.20. Hằng số chấp nhận (acceptability constant)
k, p*
Hằng số phụ thuộc vào giá trị quy định của giới hạn chất lượng chấp nhận (3.6) và cỡ mẫu, sử dụng trong chuẩn mực chấp nhận lô theo phương án lấy mẫu chấp nhận (3.3) định lượng.
[TCVN 8244-2 (ISO 3534-2)]
CHÚ THÍCH: Xem 15.2 và 16.2.
3.21. Thống kê chất lượng (quality statistic)
Q
Hàm của giới hạn quy định (3.14), trung bình mẫu, và độ lệch chuẩn mẫu hoặc quá trình, sử dụng trong đánh giá khả năng chấp nhận lô (xem 4.1, kí hiệu QL và QU).
[TCVN 8244-2 (ISO 3534-2)]
CHÚ THÍCH 1: Trong trường hợp giới hạn quy định một phía, lô có thể được kết luận theo kết quả so sánh Q với hằng số chấp nhận (3.20) k.
CHÚ THÍCH 2: Xem 15.2 và 16.2.
3.22. Thống kê chất lượng dưới (lower quality statistic)
Hàm của giới hạn quy định dưới (3.15), trung bình mẫu, và độ lệch chuẩn mẫu hoặc quá trình. [TCVN 8244-2 (ISO 3534-2)]
CHÚ THÍCH 1: Trong trường hợp giới hạn quy định một phía dưới, lô có thể được kết luận theo kết quả so sánh QL với hằng số chấp nhận (3.20) k.
CHÚ THÍCH 2: Xem điều 4, 15.2 và 16.2.
3.23. Thống kê chất lượng trên (upper quality statistic)
Hàm của giới hạn quy định trên [3.15], trung bình mẫu, và độ lệch chuẩn mẫu hoặc quá trình. [TCVN 8244-2 (ISO 3534-2)]
CHÚ THÍCH 1: Trong trường hợp giới hạn quy định một phía trên (3.15), lô có thể được kết luận theo kết quả so sánh QU với hằng số chấp nhận (3.20) k.
CHÚ THÍCH 2: Xem điều 4, 15.2 và 16.2.
3.24. Độ lệch chuẩn lớn nhất của mẫu (maximum sample standard deviation)
MSSD
smax
Độ lệch chuẩn lớn nhất của mẫu đối với một chữ mã cỡ mẫu và giới hạn chất lượng chấp nhận (3.6) cho trước, với giá trị này có thể thỏa mãn chuẩn mực chấp nhận đối với kiểm soát kết hợp giới hạn quy định hai phía (3.14) với yêu cầu AQL (3.6) kết hợp và chưa biết độ biến động của quá trình.
CHÚ THÍCH: Xem 15.3.
3.25. Độ lệch chuẩn lớn nhất của quá trình (maximum process standard deviation)
MPSD
σmax
Độ lệch chuẩn lớn nhất của quá trình đối với một chữ mã cỡ mẫu và giới hạn chất lượng chấp nhận (3.6) cho trước, với giá trị này có thể thỏa mãn chuẩn mực chấp nhận đối với kiểm soát kết hợp giới hạn quy định hai phía với yêu cầu AQL (3.6) kết hợp trong kiểm tra ngặt khi đã biết độ biến động của quá trình.
CHÚ THÍCH: Xem 17.2 và 17.3.
3.26. Quy tắc chuyển đổi (switching rule)
Hướng dẫn trong chương trình lấy mẫu chấp nhận để chuyển từ phương án lấy mẫu chấp nhận này sang phương án lấy mẫu khác có mức độ chặt chẽ cao hơn hoặc thấp hơn dựa trên diễn biến chất lượng trước đó.
[TCVN 8244-2 (ISO 3534-2)]
CHÚ THÍCH 1: Kiểm tra thường, ngặt hoặc giảm, hoặc ngừng kiểm tra là các ví dụ của “mức độ chặt chẽ cao hơn hoặc thấp hơn”.
CHÚ THÍCH 2: Xem điều 6 và 23.
3.27. Phép đo (measurement)
Tập hợp các hoạt động để xác định giá trị của một đại lượng.
[TCVN 8244-2 (ISO 3534-2)]
3.28. Bộ phận có thẩm quyền (responsible authority)
Thuật ngữ chung dùng để duy trì tính trung lập của tiêu chuẩn này (trước tiên cho mục đích kỹ thuật), dù là bên thứ nhất, bên thứ hai hay bên thứ ba có liên quan hoặc áp dụng.
CHÚ THÍCH 1: Bộ phận có thẩm quyền có thể là:
a) bộ phận chất lượng thuộc tổ chức cung cấp (bên thứ nhất);
b) người mua hoặc tổ chức mua hàng (bên thứ hai);
c) tổ chức kiểm tra hoặc chứng nhận độc lập (bên thứ ba);
d) bộ phận có thẩm quyền a), b) hay c) mà sự phân biệt theo chức năng (xem chú thích 2) được nêu trong văn bản thỏa thuận giữa hai bên, ví dụ văn bản giữa người cung ứng và người mua.
CHÚ THÍCH 2: Chức năng và nhiệm vụ của bộ phận có thẩm quyền được nêu trong TCVN 7790-1:2007 (ISO 2859-1:1999) (5.2, 6.2, điều 7, 9.1, 9.3.3, 9.4, 10.1 và 10.3).
4. Ký hiệu
4.1. Ký hiệu cho trường hợp đơn biến
Các ký hiệu được sử dụng khi chỉ có một đặc trưng chất lượng trong lớp đó như nêu dưới đây.
|
fs |
hệ số liên hệ độ lệch chuẩn lớn nhất của mẫu (MSSD) với hiệu số giữa U và L (xem Phụ lục D) |
|
fσ |
hệ số liên hệ độ lệch chuẩn lớn nhất của quá trình (MPSD) trong kiểm tra ngặt với hiệu giữa U và L (xem Phụ lục E) |
|
k |
hằng số chấp nhận dạng k để sử dụng với giới hạn quy định một phía và một đặc trưng chất lượng (xem Phụ lục B và C) |
|
L |
giới hạn quy định dưới (khi dùng làm chỉ số dưới của biến, biểu thị giá trị của biến tại L) |
|
µ |
trung bình quá trình |
|
N |
cỡ lô (số cá thể trong một lô) |
|
n |
cỡ mẫu (số cá thể trong một mẫu) |
|
|
ước lượng tỷ lệ không phù hợp của quá trình (xem Phụ lục K) |
|
pL |
tỷ lệ không phù hợp của quá trình thấp hơn giới hạn quy định dưới |
|
|
ước lượng tỷ lệ không phù hợp của quá trình thấp hơn giới hạn quy định dưới |
|
pU |
tỷ lệ không phù hợp của quá trình cao hơn giới hạn quy định trên |
|
|
ước lượng tỷ lệ không phù hợp của quá trình cao hơn giới hạn quy định trên |
|
p* |
hằng số chấp nhận dạng p*, giá trị lớn nhất có thể chấp nhận được đối với ước lượng tỷ lệ không phù hợp của quá trình (xem Phụ lục G) |
|
Pa |
xác suất chấp nhận |
|
Q |
thống kê chất lượng |
|
QL |
thống kê chất lượng trên CHÚ THÍCH 1:được xác định bằng ( |
|
QU |
thống kê chất lượng dưới CHÚ THÍCH 2:được xác định bằng (U – |
|
s |
độ lệch chuẩn mẫu của giá trị đặc trưng chất lượng đo được (cũng là ước lượng độ lệch chuẩn quá trình), nghĩa là
(Xem thêm Phụ lục J) |
|
smax |
độ lệch chuẩn lớn nhất của mẫu (MSSD) |
|
σ |
độ lệch chuẩn quá trình đang được kiểm soát thống kê CHÚ THÍCH 3: σ2, bình phương độ lệch chuẩn quá trình, được gọi là phương sai quá trình. |
|
σmax |
độ lệch chuẩn lớn nhất của quá trình (MPSD) |
|
U |
giới hạn quy định trên (khi dùng làm chỉ số dưới của biến, biểu thị giá trị của biến tại U) |
|
xj |
giá trị đo được của đặc trưng chất lượng đối với cá thể thứ j của mẫu |
|
|
trung bình số học giá trị đo được của đặc trưng chất lượng trong mẫu, nghĩa là
|
|
|
giá trị chấp nhận dưới đối với |
|
|
giá trị chấp nhận trên đối với |
4.2. Ký hiệu cho trường hợp đa biến
Các ký hiệu được sử dụng khi có hai hay nhiều đặc trưng chất lượng trong một lớp như nêu dưới đây.
|
Li |
giới hạn quy định dưới đối với đặc trưng chất lượng thứ i |
|
M |
số đặc trưng chất lượng trong lớp đó |
|
|
ước lượng tỷ lệ không phù hợp của quá trình đối với đặc trưng chất lượng thứ i |
|
|
ước lượng tỷ lệ không phù hợp của quá trình thấp hơn giới hạn quy định dưới đối với đặc trưng chất lượng thứ i |
|
|
ước lượng tỷ lệ không phù hợp của quá trình cao hơn giới hạn quy định trên đối với đặc trưng chất lượng thứ i |
|
si |
độ lệch chuẩn mẫu đối với đặc trưng chất lượng thứ i, nghĩa là
|
|
σi |
độ lệch chuẩn quá trình đối với đặc trưng chất lượng thứ i |
|
Ui |
giới hạn quy định trên đối với đặc trưng chất lượng thứ i |
|
xij |
giá trị đo được của đặc trưng chất lượng thứ i đối với cá thể thứ j của mẫu |
|
|
giá trị trung bình của mẫu của đặc trưng chất lượng thứ i, nghĩa là
|
5. Giới hạn chất lượng chấp nhận (AQL)
5.1. Khái niệm
AQL là mức chất lượng mà tỷ lệ không phù hợp kém nhất của quá trình có thể chấp nhận khi giao nộp một loạt các lô liên tiếp để lấy mẫu chấp nhận. Mặc dù các lô riêng biệt có chất lượng kém xấp xỉ giới hạn chất lượng chấp nhận vẫn có khả năng được chấp nhận với xác suất khá cao, nhưng giới hạn chất lượng chấp nhận ấn định không phải là mức chất lượng mong muốn. Chương trình lấy mẫu trong tiêu chuẩn này, với các quy tắc chuyển đổi và ngừng việc kiểm tra lấy mẫu, được thiết kế để khuyến khích người cung ứng duy trì tỷ lệ không phù hợp của quá trình tốt hơn các AQL tương ứng. Nếu không thì sẽ có rủi ro cao vì phải chuyển sang kiểm tra ngặt với các chuẩn mực chấp nhận lô khắt khe hơn. Trường hợp phải kiểm tra ngặt, nếu không có hành động để cải thiện quá trình thì có nhiều khả năng quy tắc đòi hỏi việc dừng kiểm tra lấy mẫu cho đến khi có hành động cải tiến được thực hiện.
5.2. Sử dụng
Trong tiêu chuẩn này, AQL cùng với chữ mã cỡ mẫu được dùng để xác định phương án lấy mẫu.
5.3. Quy định AQL
AQL cần sử dụng sẽ được ấn định trong quy định kỹ thuật của sản phẩm, hợp đồng hoặc do bộ phận có thẩm quyền đưa ra. Trong mọi trường hợp, một AQL phải được quy định cho từng loại không phù hợp (xem 3.10).
Khi có cả giới hạn quy định trên và dưới cho một đặc trưng chất lượng thì sẽ có ba trường hợp:
a) kiểm soát kết hợp giới hạn quy định hai phía, trong đó sự không phù hợp vượt ra ngoài cả hai giới hạn thuộc cùng một lớp, áp dụng một AQL;
b) kiểm soát riêng, trong đó sự không phù hợp vượt quá hai giới hạn thuộc các lớp khác nhau, áp dụng các AQL riêng;
c) kiểm soát phức hợp, trong đó sự không phù hợp vượt quá giới hạn có mức độ nghiêm trọng cao hơn thuộc một lớp, áp dụng một AQL, còn sự không phù hợp vượt quá cả hai giới hạn thuộc một lớp khác, áp dụng AQL lớn hơn.
Nói cách khác, đối với một đặc trưng chất lượng có giới hạn quy định dưới L, giới hạn quy định trên U và chưa biết pL, tỉ lệ không phù hợp của quá trình thấp hơn L cũng như chưa biết pU, tỉ lệ không phù hợp của quá trình cao hơn U:
– kiểm soát kết hợp đơn giản để kiểm soát tổng pL + pU trong phạm vi một loại không phù hợp áp dụng một AQL;
– kiểm soát riêng để kiểm soát pL trong phạm vi một loại áp dụng một AQL, và để kiểm soát riêng pU trong loại khác áp dụng AQL thứ hai;
– kiểm soát phức hợp để kiểm soát pL + pU trong phạm vi một loại áp dụng một AQL và để kiểm soát riêng pL hoặc pU trong loại khác áp dụng AQL thấp hơn.
Do đó, trong kiểm soát giới hạn quy định một phía trên và giới hạn quy định một phía dưới có năm loại kiểm soát. Một loại có thể có những sự không phù hợp thuộc một số bất kỳ trong số các loại hình kiểm soát này.
Phép thử chấp nhận phải được tiến hành theo các quy định của tiêu chuẩn này đối với mỗi loại không phù hợp. Lô chỉ được chấp nhận khi tất cả các loại không phù hợp thỏa mãn các phép thử chấp nhận tương ứng.
5.4. AQL ưu tiên
Mười sáu AQL cho trong tiêu chuẩn này, có giá trị không phù hợp từ 0,01 % đến 10 %, được coi là các AQL ưu tiên. Nếu, đối với sản phẩm hoặc dịch vụ bất kỳ, một AQL được ấn định khác với AQL ưu tiên thì không áp dụng tiêu chuẩn này (xem 13.2).
5.5. Cảnh báo
Từ định nghĩa về AQL ở trên, việc bảo vệ mong muốn chỉ có thể được đảm bảo khi cung cấp một loạt các lô liên tiếp để kiểm tra.
5.6. Giới hạn
Việc ấn định AQL không có nghĩa là người cung ứng có quyền cố ý cung cấp bất kỳ sản phẩm không phù hợp nào.
6. Quy tắc chuyển đổi đối với kiểm tra thường, ngặt và giảm
Quy tắc chuyển đổi ngăn ngừa nhà sản xuất hoạt động ở mức chất lượng kém hơn AQL. Tiêu chuẩn này quy định việc chuyển sang kiểm tra ngặt khi kết quả kiểm tra cho thấy rằng AQL bị vượt quá. Tiêu chuẩn này còn quy định việc ngừng toàn bộ việc kiểm tra lấy mẫu nếu kiểm tra ngặt không làm cho nhà sản xuất cải thiện nhanh chóng quá trình sản xuất.
Quy tắc kiểm tra ngặt và ngừng kiểm tra là quy trình tích hợp của tiêu chuẩn này, và do đó là bắt buộc, nếu cần duy trì việc bảo vệ dựa theo AQL.
Tiêu chuẩn này cũng đưa ra khả năng chuyển sang kiểm tra giảm khi kết quả kiểm tra cho thấy mức chất lượng ổn định và tin cậy ở mức tốt hơn AQL. Tuy nhiên, điều này là tùy chọn (theo quyết định của bộ phận có thẩm quyền).
Nếu từ biểu đồ kiểm tra (xem 22.1) có đủ bằng chứng là độ biến động được kiểm soát thống kê thì cần xem xét để chuyển sang phương pháp “σ”. Nếu thấy có lợi, giá trị ổn định của s (độ lệch chuẩn mẫu) phải được lấy làm σ (xem điều 25).
Khi cần phải dừng kiểm tra lấy mẫu chấp nhận, không được bắt đầu lại việc kiểm tra theo tiêu chuẩn này cho đến khi nhà sản xuất có hành động cải tiến chất lượng của sản phẩm giao nộp.
Chi tiết việc vận hành quy tắc chuyển đổi được nêu trong điều 23, 24 và 25, đồng thời được trình bày theo biểu đồ trong Hình 1.

Hình 1 – Nguyên tắc chung của quy tắc chuyển đổi
7. Mối quan hệ với TCVN 7790-1 (ISO 2859-1) và TCVN 8243-1 (ISO 3951-1)
7.1. Mối quan hệ với TCVN 7790-1 (ISO 2859-1)
7.1.1. Điểm tương tự với TCVN 7790-1 (ISO 2859-1)
a) Tiêu chuẩn này bổ sung cho TCVN 7790-1 (ISO 2859-1); hai tiêu chuẩn này có chung luận điểm, và trong chừng mực có thể, các quy trình và từ vựng là giống nhau.
b) Cả hai tiêu chuẩn đều sử dụng AQL để xác định phương án lấy mẫu và giá trị ưu tiên sử dụng trong tiêu chuẩn này giống với các giá trị được cho đối với phần trăm không phù hợp trong TCVN 7790-1 (ISO 2859-1) (nghĩa là từ 0,01 % đến 10 %).
c) Trong cả hai tiêu chuẩn, cỡ lô và bậc kiểm tra (mặc định là kiểm tra bậc II trong các hướng dẫn khác) xác định chữ mã cỡ mẫu. Khi đó, các bảng chung cho cỡ mẫu cần lấy và chuẩn mực chấp nhận, xác định bằng chữ mã cỡ mẫu và AQL. Các bảng riêng được cho đối với phương pháp “s” và “σ”, đối với kiểm tra thường, ngặt và giảm.
d) Các quy tắc chuyển đổi về cơ bản tương đương nhau.
e) Phân loại sự không phù hợp theo mức độ nghiêm trọng thành loại A, loại B, … vẫn giữ nguyên.
7.1.2. Điểm khác với TCVN 7790-1 (ISO 2859-1)
a) Xác định khả năng chấp nhận: Khả năng chấp nhận một phương án lấy mẫu định tính của TCVN 7790-1 (ISO 2859-1) đối với phần trăm không phù hợp được xác định bằng số cá thể không phù hợp tìm thấy trong mẫu. Khả năng chấp nhận đối với một phương án kiểm tra định lượng dựa trên khoảng cách của trung bình quá trình ước lượng so với (các) giới hạn quy định tính theo độ lệch chuẩn ước lượng của quá trình. Tiêu chuẩn này xem xét hai phương pháp: phương pháp “s” được sử dụng khi chưa biết độ lệch chuẩn quá trình σ, còn phương pháp “σ” được sử dụng khi giả định là đã biết σ. Trong trường hợp một lớp có một đặc trưng chất lượng với giới hạn quy định một phía, khả năng chấp nhận được xác định dễ dàng nhất bằng cách so sánh thống kê chất lượng có hằng số chấp nhận “dạng k” (xem 15.2 và 17.2). Đối với các loại phức tạp hơn có nhiều đặc trưng chất lượng và/hoặc kiểm soát kết hợp hoặc phức hợp giới hạn quy định hai phía, khả năng chấp nhận được xác định bằng cách so sánh ước lượng của tỷ lệ không phù hợp của quá trình đối với loại đó có hằng số chấp nhận “dạng p*”.
b) Phân bố chuẩn: Trong TCVN 7790-1 (ISO 2859-1) không có yêu cầu nào liên quan đến phân bố của các đặc trưng. Tuy nhiên, trong tiêu chuẩn này, điều cần thiết để vận hành hiệu quả các phương án là phân bố các giá trị đo được trên từng đặc trưng chất lượng cần theo phân bố chuẩn hoặc ít nhất là gần giống với phân bố chuẩn.
c) Tính độc lập: Trong TCVN 7790-1 (ISO 2859-1) không có yêu cầu nào liên quan đến tính độc lập của các đặc trưng chất lượng. Tuy nhiên, trong tiêu chuẩn này, để vận hành hiệu quả các phương án các phép đo đối với tất cả các đặc trưng chất lượng trong một lớp cần phải độc lập hoặc ít nhất là gần như độc lập.
d) Đường hiệu quả (đường OC): Đường OC của phương án định lượng trong tiêu chuẩn này không đồng nhất với đường hiệu quả của phương án định tính tương ứng trong TCVN 7790-1 (ISO 2859-1). Các đường càng khớp với nhau càng tốt chịu một số ràng buộc thực tế, như giữ nguyên cỡ mẫu với một chữ mã cho trước và mức độ chặt chẽ của kiểm tra, và phương pháp “s” hay phương pháp “σ” được sử dụng, bất kể là AQL nào.
e) Rủi ro của nhà sản xuất: Đối với chất lượng quá trình đúng bằng AQL, rủi ro của nhà sản xuất khi lô không được chấp nhận có xu hướng giảm khi cỡ mẫu tăng một bậc cùng với giảm một bậc AQL, nghĩa là các đường chéo xuống của bảng tổng thể đi từ đầu bên phải xuống cuối bên trái. Diễn biến của xác suất cũng tương tự nhưng không không giống hệt như TCVN 7790-1 (ISO 2859-1). (Rủi ro của nhà sản xuất trong các phương án được đề cập trong Phụ lục M.)
f) Cỡ mẫu: Cỡ mẫu định lượng tương ứng với chữ mã đã cho thường nhỏ hơn cỡ mẫu định tính với cùng chữ mã đó. Điều này đặc biệt đúng trong phương pháp “σ”. (Xem Bảng A.2.)
g) Phương án lấy mẫu hai lần: Phương án lấy mẫu hai lần được trình bày riêng trong ISO 3951-3.
h) Phương án lấy mẫu nhiều lần: Trong tiêu chuẩn này không đề cập đến phương án lấy mẫu nhiều lần.
i) Giới hạn chất lượng đầu ra trung bình (AOQL): Khái niệm AOQL áp dụng khi kiểm tra 100 % và có khả năng sửa chữa đối với các lô không được chấp nhận. Theo đó, không thể sử dụng khái niệm AOQL trong thử phá hủy hoặc thử nghiệm đắt tiền. Vì các phương án định lượng thường được sử dụng trong các trường hợp này nên trong tiêu chuẩn không đưa ra các bảng AOQL.
7.2. Mối quan hệ với TCVN 8243-1 (ISO 3951-1)
7.2.1. Điểm tương tự
a) Tiêu chuẩn này bổ sung cho TCVN 8243-1 (ISO 3951-1) và hai tiêu chuẩn đều trình bày các quy trình lấy mẫu một lần để kiểm tra định lượng.
b) Các quy trình trong TCVN 8243-1 (ISO 3951-1) cũng được nêu trong tiêu chuẩn này nhưng được nêu ở “dạng k”.
7.2.2. Điểm khác nhau
a) Tiêu chuẩn này khái quát hơn TCVN 8243-1 (ISO 3951-1) vì nó bao gồm các quy trình đa biến đối với các đặc trưng chất lượng độc lập đồng thời cũng đưa ra các quy trình dùng cho kiểm soát riêng hoặc kiểm soát kết hợp giới hạn quy định hai phía.
b) Do các quy trình dạng k chỉ có thể sử dụng với một đặc trưng chất lượng có một AQL nên tiêu chuẩn này cũng đưa ra các quy trình chung hơn dạng p*.
CHÚ THÍCH: Đối với người sử dụng đã quen với MIL-STD-414, dạng k tương ứng với dạng 1 của tiêu chuẩn quân sự, còn dạng p* tương ứng với dạng 2. Thuật ngữ mới được cho là hữu ích hơn.
8. Bảo vệ người tiêu dùng
8.1. Sử dụng các phương án riêng lẻ
Tiêu chuẩn này được dùng như một hệ thống sử dụng kiểm tra ngặt, thường và giảm trên một loạt các lô liên tiếp để bảo vệ người tiêu dùng, trong khi vẫn đảm bảo với nhà sản xuất rằng có nhiều khả năng lô được chấp nhận nếu chất lượng tốt hơn AQL.
Đôi khi, các phương án riêng lẻ được chọn từ tiêu chuẩn này và được sử dụng không cần quy tắc chuyển đổi. Ví dụ, một người mua có thể chỉ sử dụng các phương án cho mục đích kiểm tra xác nhận. Đây không phải là ứng dụng dự kiến của hệ thống nêu trong tiêu chuẩn này và việc sử dụng theo cách này không được gọi là “kiểm tra sự phù hợp với TCVN 8243-2 (ISO 3951-2)”. Khi sử dụng theo cách như vậy, tiêu chuẩn này chỉ đơn thuần trình bày tập hợp các phương án đơn lẻ xác định theo AQL. Đường hiệu quả và các biện pháp khác của phương án được chọn phải được đánh giá riêng từ các bảng được cho.
8.2. Bảng chất lượng ứng với rủi ro của người tiêu dùng
Nếu một loạt lô không đủ dài để có thể áp dụng quy tắc chuyển đổi thì có thể giới hạn việc chọn phương án lấy mẫu ở những phương án cùng với giá trị AQL được ấn định có chất lượng ứng với rủi ro của người tiêu dùng không kém hơn mức bảo vệ chất lượng giới hạn quy định. Có thể chọn phương án lấy mẫu cho mục đích này bằng cách chọn chất lượng ứng với rủi ro của người tiêu dùng (CRQ) và rủi ro của người tiêu dùng đi kèm với nó. Phụ lục L đưa ra các giá trị chất lượng ứng với rủi ro của người tiêu dùng cho phương pháp “s” và phương pháp “σ” tương ứng với rủi ro của người tiêu dùng là 10 %.
Tuy nhiên, việc áp dụng tiêu chuẩn này cho các lô riêng rẽ không được khuyên dùng vì lý thuyết lấy mẫu định lượng áp dụng cho một quá trình. Đối với các lô riêng rẽ, việc sử dụng các phương án lấy mẫu định tính, như trong ISO 2859-2 [7], sẽ thích hợp và hiệu quả hơn. (Xem thêm tài liệu tham khảo [8] trong Thư mục tài liệu tham khảo.)
8.3. Bảng rủi ro của nhà sản xuất
Phụ lục M đưa ra xác suất không chấp nhận theo phương pháp “s” và “σ” đối với lô sản xuất khi tỷ lệ không phù hợp của quá trình bằng AQL. Xác suất này được gọi là rủi ro của nhà sản xuất.
8.4. Đường hiệu quả
Bảng chất lượng ứng với rủi ro của người tiêu dùng và rủi ro của nhà sản xuất chỉ cung cấp thông tin về hai điểm trên đường hiệu quả. Tuy nhiên, mức độ bảo vệ người tiêu dùng bằng phương án lấy mẫu riêng ở chất lượng bất kỳ của quá trình có thể được đánh giá từ đường hiệu quả (OC) của phương án. Khi chọn phương án lấy mẫu, cần tham khảo đường OC đối với phương án lấy mẫu theo phương pháp “s” kiểm tra thường của tiêu chuẩn này được cho trong các biểu đồ từ B đến R của TCVN 8243-1 (ISO 3951-1). Các bảng từ B đến R về mức chất lượng của quá trình tại chín xác suất chấp nhận chuẩn đối với tất cả các phương án lấy mẫu theo phương pháp “s” cũng được cho trong tiêu chuẩn này.
Các đường OC và các bảng này áp dụng cho giới hạn quy định một phía trong phương pháp “s”. Hầu hết trong số chúng đều cho kết quả xấp xỉ tốt cho phương pháp “σ” và cho trường hợp kiểm soát kết hợp giới hạn quy định hai phía, đặc biệt là đối với các cỡ mẫu lớn hơn. Nếu phương pháp “σ” đòi hỏi giá trị OC chính xác hơn thì tham khảo Phụ lục N.
9. Hoạch định
Việc chọn được phương án định lượng phù hợp nhất, nếu có, đòi hỏi kinh nghiệm, sự suy xét và kiến thức nhất định về thống kê cũng như về sản phẩm cần kiểm tra. Điều 10 đến 13 của tiêu chuẩn này giúp những người chịu trách nhiệm quy định phương án lấy mẫu trong việc đưa ra lựa chọn này. Các điều này đưa ra những xem xét cần chú ý khi quyết định phương án định lượng có phù hợp hay không và những lựa chọn cần làm khi chọn phương án tiêu chuẩn thích hợp.
10. Chọn giữa định lượng và định tính
Vấn đề trước tiên cần xem xét là có cần kiểm tra định lượng hơn là kiểm tra định tính hay không. Các điểm dưới đây cần được tính đến.
a) Về mặt kinh tế, cần so sánh tổng chi phí cho việc kiểm tra tương đối đơn giản một số lượng lớn hơn các cá thể bằng chương trình định tính với quy trình nói chung là phức tạp hơn của chương trình định lượng, thường mất nhiều thời gian và chi phí hơn cho một cá thể.
b) Về kiến thức thu được, ưu thế thuộc về kiểm tra định lượng, vì thông tin thu được chỉ ra chính xác hơn về chất lượng của sản phẩm. Vì thế có thể đưa ra cảnh báo sớm hơn nếu chất lượng giảm.
c) Chương trình định tính có thể dễ hiểu và dễ chấp nhận hơn. Ví dụ, khi kiểm tra định lượng, ban đầu có thể khó chấp nhận việc lô có khả năng bị loại khi thực hiện các phép đo trên mẫu không có một cá thể không phù hợp nào. (Xem ví dụ trong 15.3.2.2 và 15.3.2.4.)
d) Việc so sánh cỡ mẫu đối với cùng một AQL từ các phương án kiểm tra định tính tiêu chuẩn (nghĩa là từ TCVN 7790-1 (ISO 2859-1)) và các phương án tiêu chuẩn trong tiêu chuẩn này được cho trong Bảng A.2. Phương pháp “σ” (sử dụng khi độ lệch chuẩn quá trình được giả định là đã biết) sẽ đòi hỏi cỡ mẫu nhỏ nhất. Cỡ mẫu đối với phương pháp “s” (sử dụng khi chưa biết độ lệch chuẩn quá trình) về cơ bản cũng thường nhỏ hơn so với lấy mẫu định tính.
e) Kiểm tra định lượng đặc biệt thích hợp khi sử dụng cùng với biểu đồ kiểm soát định lượng.
f) Lấy mẫu định lượng có ưu điểm cơ bản khi quá trình kiểm tra tốn kém, ví dụ trong trường hợp phép thử phá hủy.
g) Việc vận dụng chương trình định lượng trở nên tương đối phức tạp hơn khi số đặc trưng chất lượng và số lượng phép đo cần thực hiện trên mỗi cá thể tăng lên.
h) Chỉ sử dụng tiêu chuẩn này khi có lý do để tin rằng phân bố các giá trị đo của mỗi đặc trưng chất lượng là phân bố chuẩn và các đặc trưng chất lượng là độc lập. Trong trường hợp có nghi ngờ, cần xin ý kiến của bộ phận có thẩm quyền.
CHÚ THÍCH 1: ISO 5479 đưa ra quy trình chi tiết về kiểm nghiệm tính chuẩn.
CHÚ THÍCH 2: Việc lệch khỏi tính chuẩn còn được đề cập trong ISO 2854:1976, điều 2, trong đó đưa ra ví dụ về phương pháp đồ thị có thể dùng để xác nhận rằng phân bố của dữ liệu đủ chuẩn để sử dụng lấy mẫu định lượng.
11. Lựa chọn giữa phương pháp “s” và “σ”
Nếu muốn áp dụng kiểm tra định lượng thì vấn đề tiếp theo là sử dụng phương pháp “s” hay phương pháp “σ”. Phương pháp “σ” là tiết kiệm nhất về mặt cỡ mẫu nhưng trước khi sử dụng phương pháp này phải thiết lập giá trị σ.
Trước hết, cần bắt đầu với phương pháp “s” nhưng, với sự nhất trí của bộ phận có thẩm quyền và với điều kiện là chất lượng thỏa mãn, quy tắc chuyển đổi tiêu chuẩn sẽ cho phép chuyển sang kiểm tra giảm và sử dụng cỡ mẫu nhỏ hơn.
Sau đó, nếu độ biến động được kiểm soát và các lô tiếp tục được chấp nhận, vấn đề là việc chuyển sang phương pháp “σ” có tiết kiệm hay không. Thường, trong phương pháp “σ” cỡ mẫu sẽ nhỏ hơn và chuẩn mực chấp nhận đơn giản hơn. (Xem 16.2). Mặt khác, sẽ vẫn cần tính độ lệch chuẩn mẫu, s, để ghi lại và cập nhật biểu đồ kiểm soát. (Xem điều 19.) Thoạt nhìn, việc tính toán s có thể làm nản lòng nhưng trong thực tế khó khăn không đến mức như vậy; điều này đặc biệt đúng nếu có sẵn máy tính điện tử. Phương pháp tính s được đề cập trong Phụ lục J.
12. Lựa chọn bậc kiểm tra và AQL
Đối với phương án lấy mẫu chuẩn, bậc kiểm tra cùng với cỡ lô và AQL xác định cỡ mẫu cần lấy, đồng thời chi phối mức chặt chẽ của kiểm tra. Đường OC thích hợp ở các biểu đồ từ B đến R hoặc bảng thích hợp trong các bảng từ B đến R của TCVN 8243-1 (3951-1) cho thấy mức độ rủi ro liên quan đến phương án lấy mẫu.
Việc chọn bậc kiểm tra và AQL được quyết định bởi một số yếu tố, nhưng chủ yếu là sự cân đối giữa tổng chi phí kiểm tra và hậu quả của các cá thể không phù hợp được đưa vào sử dụng.
Thực tế thường sử dụng bậc kiểm tra II, trừ những trường hợp đặc biệt cho thấy rằng bậc kiểm tra khác sẽ thích hợp hơn.
13. Lựa chọn phương án lấy mẫu
13.1. Phương án tiêu chuẩn
Chỉ có thể sử dụng quy trình tiêu chuẩn khi các lô được sản xuất liên tục.
Quy trình chuẩn này, với các bước bán tự động từ cỡ lô đến cỡ mẫu, sử dụng bậc kiểm tra II và bắt đầu với phương pháp “s”, trên thực tế đã tạo nên các phương án lấy mẫu khả thi; nhưng nó dựa trên giả định là thứ tự ưu tiên đầu tiên là AQL, thứ hai là cỡ mẫu và cuối cùng là chất lượng giới hạn.
Khả năng chấp nhận hệ thống này là do thực tế người tiêu dùng được bảo vệ bởi các quy tắc chuyển đổi (xem điều 23, 24 và 25), tăng nhanh tính chặt chẽ của kiểm tra và cuối cùng kết thúc toàn bộ việc kiểm tra nếu chất lượng của quá trình vẫn kém hơn AQL.
CHÚ THÍCH: Cần lưu ý chất lượng giới hạn là chất lượng mà nếu yêu cầu để kiểm tra, cần có xác suất chấp nhận 10 %. Rủi ro thực tế của người tiêu dùng thay đổi theo xác suất hàng hóa có mức chất lượng thấp như vậy được đưa ra kiểm tra.
Tuy nhiên, trong những trường hợp nhất định, nếu chất lượng giới hạn có mức ưu tiên cao hơn cỡ mẫu (ví dụ, khi chỉ sản xuất một số lượng giới hạn các lô), thì có thể chọn phương án phù hợp trong tiêu chuẩn này bằng cách sử dụng Biểu đồ A (xem Hình 2). Vẽ một đường thẳng đứng qua giá trị chấp nhận đối với chất lượng giới hạn và một đường nằm ngang qua chất lượng mong muốn với xác suất chấp nhận 95 % (nghĩa là gần bằng AQL). Điểm giao nhau giữa hai đường thẳng này sẽ nằm trên, hoặc dưới, đường xác định bằng chữ mã cỡ mẫu của phương án kiểm tra thường, tiêu chuẩn, đáp ứng các yêu cầu quy định. (Điều này cần được xác nhận bằng cách kiểm tra đường OC trong các biểu đồ từ B đến R của TCVN 8243-1 (3951-1) liên quan đến chữ mã và AQL này.
Các phương pháp của tiêu chuẩn này không áp dụng cho các lô ngắn hoặc lô riêng rẽ. Sử dụng phương án định tính cho ít hơn 10 lô.
VÍ DỤ: Giả sử rằng giá trị chấp nhận đối với chất lượng giới hạn là 1,5 % không phù hợp và chất lượng mong muốn với xác suất chấp nhận 95 % là 0,15 % không phù hợp. Đường thẳng đứng trên Biểu đồ A ở 1,5 % không phù hợp và đường nằm ngang ở 0,15 % không phù hợp cắt nhau ngay phía dưới đường dốc xuống xác định bằng chữ L. (Kiểm tra Biểu đồ L của TCVN 8243-1 (3951-1) khẳng định được rằng phương án với chữ mã cỡ mẫu L và AQL 0,15 % đáp ứng các yêu cầu.)
Nếu các đường giao nhau tại điểm phía trên đường R trong Biểu đồ A thì có nghĩa là, ví dụ, có thể cần một mẫu trên 250 cho phương pháp “s” và không thể đáp ứng quy định kỹ thuật bằng bất cứ phương án nào trong tiêu chuẩn này.
13.2. Phương án đặc biệt
Nếu không thể chấp nhận các phương án chuẩn thì cần đưa ra một phương án đặc biệt. Sau đó, cần quyết định xem tổ hợp AQL, chất lượng giới hạn và cỡ mẫu nào phù hợp nhất, lưu ý rằng các giá trị này không độc lập vì khi đã chọn được hai trong số chúng thì giá trị thứ ba được chọn tương ứng.
Lựa chọn này không hoàn toàn mở; thực tế là cỡ mẫu nhất thiết phải là một số nguyên và dẫn đến một số hạn chế. Nếu cần có một chương trình đặc biệt thì chỉ cần sự hỗ trợ của một chuyên gia thống kê có kinh nghiệm về kiểm tra chất lượng.

Chú giải
X chất lượng giới hạn, nghĩa là mức chất lượng tại xác suất chấp nhận 10 % (theo phần trăm không phù hợp)
Y mức chất lượng tại xác suất chấp nhận 95 % (theo phần trăm không phù hợp)
Chữ mã cỡ mẫu được thể hiện bằng phông chữ đậm.
Hình 2 – Biểu đồ A – Chữ mã cỡ mẫu của phương án lấy mẫu một lần tiêu chuẩn đối với mức chất lượng quy định tại 95 % và 10 % xác suất chấp nhận
14. Công tác chuẩn bị
Trước khi bắt đầu kiểm tra định lượng,
a) kiểm tra xem sản xuất có được coi là liên tục và phân bố của các đặc trưng chất lượng có thể coi là phân bố chuẩn và độc lập hay không;
CHÚ THÍCH 1: Đối với các phép thử lệch với phân bố chuẩn, xem ISO 5479.
CHÚ THÍCH 2: Nếu lô đã được sàng lọc loại bỏ các cá thể không phù hợp trước khi lấy mẫu chấp nhận thì phân bố đã bị cắt cụt và không áp dụng được tiêu chuẩn này.
b) đối với từng đặc trưng chất lượng, kiểm tra xem ban đầu có sử dụng phương pháp “s” không hay độ lệch chuẩn có ổn định và đã biết chưa, để sử dụng phương pháp “σ”;
c) kiểm tra việc ấn định bậc kiểm tra cần sử dụng. Nếu chưa được ấn định thì phải sử dụng bậc kiểm tra II;
d) đối với mỗi đặc trưng chất lượng có giới hạn quy định hai phía, kiểm tra xem các giới hạn được kiểm soát kết hợp, kiểm soát riêng hoặc phức hợp, và mỗi giới hạn có sự không phù hợp được ấn định loại nào. Đối với kiểm soát kết hợp, kiểm tra việc sự không phù hợp vượt ra ngoài mỗi giới hạn là có tầm quan trọng như nhau;
e) kiểm tra việc ấn định AQL cho mỗi loại không phù hợp và đó là một trong các AQL ưu tiên sử dụng với tiêu chuẩn này. Nếu không thì không áp dụng được các bảng.
15. Quy trình của phương pháp “s” đơn biến chuẩn
15.1. Xác định phương án, lấy mẫu và các tính toán sơ bộ
Quy trình để thu được và thực hiện phương án được nêu dưới đây.
a) Với bậc kiểm tra đã cho (thông thường đây là kiểm tra bậc II) và với cỡ lô, sẽ có được chữ mã cỡ mẫu bằng cách sử dụng Bảng A.1.
b) Đối với giới hạn quy định một phía, tra Bảng B.1, B.2 hoặc B.3 thích hợp với chữ mã và AQL này, sẽ có được cỡ mẫu n và hằng số chấp nhận k dạng k. Đối với kiểm soát riêng giới hạn quy định hai phía, thực hiện việc này cho cả hai giới hạn. Đối với kiểm soát kết hợp giới hạn quy định hai phía, tra Bảng G.1, G.2 hoặc G.3 khi thích hợp và có được cỡ mẫu n và hằng số chấp nhận dạng p*. Đối với kiểm soát phức hợp giới hạn quy định hai phía, tra bảng G.1, G.2 hoặc G.3 hai lần, một lần với phần kiểm soát kết hợp giá trị quy định và một lần với AQL nhỏ hơn áp dụng cho giới hạn quy định liên quan nhiều hơn.
c) Lấy một mẫu ngẫu nhiên cỡ n, đo đặc trưng x trong từng cá thể, sau đó tính
, trung bình mẫu và s, độ lệch chuẩn mẫu (xem Phụ lục J). Nếu
nằm ngoài (các) giới hạn quy định thì lô được đánh giá là không chấp nhận được mà thậm chí không cần tính s. Tuy nhiên, cần phải tính s để ghi lại.
15.2. Chuẩn mực chấp nhận dạng k đối với phương pháp “s”
Nếu giới hạn quy định một phía được cho trước hoặc cần kiểm soát riêng rẽ giới hạn quy định hai phía thì quy trình đơn giản nhất được nêu dưới đây. Tính thống kê chất lượng
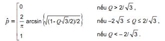
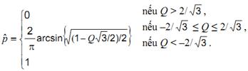
![]()
Và/hoặc
![]()
một cách thích hợp, sau đó so sánh thống kê chất lượng (QU hoặc QL) với hằng số chấp nhận dạng k thu được từ bảng B.1, B.2 hoặc B.3 tương ứng với kiểm tra thường, ngặt hoặc giảm. Nếu thống kê chất lượng lớn hơn hoặc bằng hằng số chấp nhận thì lô được chấp nhận; nếu nhỏ hơn thì lô không được chấp nhận.
Do đó, chỉ khi giới hạn quy định trên U được cho trước thì lô
được chấp nhận nếu QU ≥ k,
không được chấp nhận nếu QU <>
hoặc chỉ khi giới hạn quy định dưới L được cho trước thì lô
được chấp nhận nếu QL ≥ k,
không được chấp nhận nếu QL <>
Trong kiểm soát riêng rẽ giới hạn quy định hai phía, hằng số chấp nhận dạng k tại L và U có thể khác nhau. Chúng được thể hiện tương ứng bằng kL và kU. Trong trường hợp này lô
được chấp nhận nếu QL ≥ kU và/hoặc QL ≥ kL,
không được chấp nhận nếu QL <>kU và QL <>kL.
VÍ DỤ 1: Giới hạn quy định một phía trên
Nhiệt độ làm việc lớn nhất đối với một thiết bị nào đó được quy định là 60 oC. Việc sản xuất được kiểm tra theo các lô gồm 100 cá thể. Kiểm tra bậc II, sử dụng kiểm tra thường với AQL = 2,5 %. Từ Bảng A.1, chữ mã cỡ mẫu là F; từ Bảng B.1 tìm được cỡ mẫu cần là 13 và hằng số chấp nhận k là 1,405. Giả sử các phép đo như sau: 53 oC; 57 oC; 49 oC; 58 oC; 59 oC; 54 oC; 58 oC; 56 oC; 50 oC; 50 oC; 55 oC; 54 oC; 57 oC. Cần xác định sự phù hợp với chuẩn mực chấp nhận.
|
Thông tin cần thiết |
Giá trị thu được |
|
Cỡ mẫu: n |
13 |
|
Trung bình mẫu: |
54,615 oC |
|
Độ lệch chuẩn mẫu: |
3,330 oC |
|
(Xem J.1.2, Phụ lục J.) |
|
|
Giới hạn quy định (trên): U |
60 oC |
|
Thống kê chất lượng trên: QU = |
1,617 |
|
Hằng số chấp nhận: k (xem Bảng B.1) |
1,405 |
|
Chuẩn mực chấp nhận: QU ≥ k không? |
Có (1,617 > 1,405) |
Lô đáp ứng chuẩn mực chấp nhận và do đó được chấp nhận.
VÍ DỤ 2: Giới hạn quy định một phía dưới, cần sử dụng mũi tên trong bảng tổng thể.
Cơ chế trễ trong kỹ thuật đốt nhất định có thời gian trễ quy định nhỏ nhất là 4,0 s. Kiểm tra việc sản xuất các lô gồm 1 000 cá thể và bậc kiểm tra II, kiểm tra thường, được sử dụng với AQL là 0,1 % áp dụng cho giới hạn dưới. Từ Bảng A.1 có chữ mã cỡ mẫu là J, và từ Bảng A.2 có được cỡ mẫu là 35 đối với phương pháp “s”. Tuy nhiên, khi tra Bảng B.1 với chữ mã cỡ mẫu J và AQL 0,1 %, ta thấy mũi tên chỉ xuống ô phía dưới. Điều này có nghĩa là không có phương án phù hợp hoàn toàn và phương án tốt nhất tiếp theo có được bởi chữ mã cỡ mẫu K, nghĩa là cỡ mẫu 50 và hằng số chấp nhận k = 2,569. Lấy ngẫu nhiên một mẫu có cỡ mẫu 50. Giả sử thời gian trễ của mẫu, tính bằng giây, như sau:
|
6,95 |
6,04 |
6,68 |
6,63 |
6,65 |
6,52 |
6,59 |
6,86 |
6,57 |
6,91 |
|
6,40 |
6,44 |
6,34 |
6,04 |
6,15 |
6,29 |
6,63 |
6,70 |
6,67 |
6,67 |
|
6,44 |
7,15 |
6,70 |
6,59 |
6,51 |
6,80 |
5,94 |
5,92 |
6,56 |
6,53 |
|
6,35 |
7,17 |
6,83 |
6,25 |
6,96 |
7,00 |
6,38 |
6,83 |
6,29 |
6,39 |
|
6,80 |
5,84 |
6,16 |
6,25 |
6,57 |
6,71 |
6,77 |
6,55 |
6,87 |
6,25 |
Cần xác định sự phù hợp với các chuẩn mực chấp nhận.
|
Thông tin cần thiết |
Giá trị thu được |
|
Cỡ mẫu: n |
50 |
|
Trung bình mẫu: |
6,542 s |
|
Độ lệch chuẩn mẫu: |
0,312 0 s |
|
(Xem J.1.2, Phụ lục J.) |
|
|
Giới hạn quy định dưới: L |
4,0 s |
|
Thống kê chất lượng dưới: QL = |
8,147 |
|
Hằng số chấp nhận: k (xem Bảng B.1) |
2,569 |
|
Chuẩn mực chấp nhận: QL ≥ k không? |
Có (8,147 > 2,569) |
Lô đáp ứng chuẩn mực chấp nhận và do đó được chấp nhận.
15.3. Chuẩn mực chấp nhận dạng p* đối với phương pháp “s”
15.3.1. Giới thiệu
Tiêu chuẩn này cũng đưa ra phương pháp dạng p* để xác định khả năng chấp nhận lô. Trong khi dạng k áp dụng cho một đặc trưng chất lượng có giới hạn quy định một phía hoặc giới hạn quy định hai phía cần kiểm soát riêng rẽ thì dạng p* áp dụng chung hơn cho một hoặc nhiều đặc trưng chất lượng có tổ hợp bất kỳ giới hạn quy định một phía hoặc hai phía với kiểm soát kết hợp, riêng rẽ hoặc phức hợp.
15.3.2. Kiểm soát kết hợp đối với phương pháp “s”
15.3.2.1. Yêu cầu chung
Đối với phương pháp “s” đơn biến, nếu cần kiểm soát kết hợp hoặc phức hợp cả giới hạn quy định trên và giới hạn quy định dưới, nghĩa là có một AQL chung cho phần trăm của quá trình nằm ngoài giới hạn quy định hai phía, thì bước đầu tiên là kiểm tra việc độ lệch chuẩn mẫu s không lớn đến mức không thể chấp nhận lô. Nếu giá trị s vượt quá giá trị độ lệch chuẩn lớn nhất của mẫu (MSSD) xác định từ Bảng D.1, D.2 hoặc D.3, thì không cần tính toán thêm hoặc tham chiếu biểu đồ và ngay lập tức phải xác định là lô không được chấp nhận.
Nếu giá trị s không vượt quá giá trị MSSD thì phải tính ước lượng
của tỷ lệ không phù hợp của quá trình và so sánh với hằng số chấp nhận dạng p*. Lô được xác định là
được chấp nhận nếu
≤ p*,
không được chấp nhận nếu
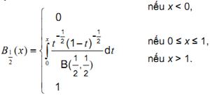
ˆ > p*, trong đó
= ![]()
với
,

Trong đó B(n–2)/2(.) thể hiện hàm phân bố của phân bố beta đối xứng với hai tham số bằng (n-2)/2.
(Xem chi tiết ở Phụ lục K.)
Dạng p* cũng có thể áp dụng cho giới hạn quy định một phía, mặc dù trong trường hợp đó, dạng k dễ áp dụng hơn với điều kiện không yêu cầu ước lượng của tỷ lệ không phù hợp của quá trình.
Nếu không có bảng phân bố beta hoặc phần mềm máy tính tương ứng thì phải sử dụng một trong ba quy trình sau đây, tuỳ theo cỡ mẫu.
15.3.2.2. Kiểm soát kết hợp dùng phương pháp “s” với n = 3
Từ Bảng B.1, B.2 và B.3 có thể thấy rằng cỡ mẫu yêu cầu là 3 đối với phương pháp “s”, chữ mã cỡ mẫu B trong kiểm tra thường và kiểm tra ngặt và chữ mã cỡ mẫu B đến D trong kiểm tra giảm.
Nếu sau đó cần kiểm soát kết hợp giới hạn quy định hai phía thì sau khi tính trung bình mẫu
và độ lệch chuẩn mẫu s, phải tìm giá trị áp dụng của hệ số fs từ hàng đầu tiên của Bảng D.1, D.2 hoặc D.3.
Xác định độ lệch chuẩn lớn nhất của mẫu (nghĩa là lớn nhất cho phép) từ công thức
MSSD = smax = (U – L)fs
Sau đó, so sánh s với smax. Nếu s lớn hơn smax thì có thể loại lô mà không cần tính toán thêm.
Nếu không thì xác định giá trị của QU =
/s và/hoặc QL =
/s. Nhân QU và/hoặc QL với
(nghĩa là khoảng 0,866) và sử dụng Bảng F.1 để xác định ước lượng
và
tương ứng của phần cá thể trong quá trình không phù hợp vượt ra ngoài giới hạn trên và giới hạn dưới.
CHÚ THÍCH 1: Giá trị âm của Q ứng với các ước lượng tỷ lệ không phù hợp của quá trình vượt quá 0,5 ở giới hạn quy định đó và sẽ luôn dẫn đến việc lô không được chấp nhận theo quy định của tiêu chuẩn này. Tuy nhiên, để thu được giá trị số để lưu hồ sơ thì có thể có được ước lượng tỷ lệ không phù hợp của quá trình bằng cách tra
Bảng F.1 với giá trị tuyệt đối
và lấy 1,0 trừ đi kết quả đó. Ví dụ, nếu QU= – 0,156 thì
tra Bảng F.1 với 0,135 được ước lượng là 0,456 9; lấy 1,0 trừ đi số đó được
= 0,543 1
CHÚ THÍCH 2: Cơ sở của Bảng F.1 được nêu trong Phụ lục K. Thay cho việc sử dụng Bảng F.1, có thể tính trực tiếp ước lượng tỷ lệ không phù hợp của quá trình theo từng giới hạn quy định khi n = 3 như sau

Phải cộng hai ước lượng này lại để có được ước lượng
của tỷ lệ không phù hợp tổng của quá trình. Nếu
không vượt quá giá trị cho phép lớn nhất, p*, cho trong Bảng G (nghĩa là Bảng G.1 cho kiểm tra thường, Bảng G.2 cho kiểm tra ngặt hoặc G.3 cho kiểm tra giảm), thì lô được coi là được chấp nhận; nếu không thì lô được coi là không được chấp nhận.
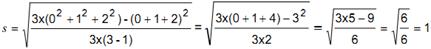
VÍ DỤ: Xác định khả năng chấp nhận đối với kiểm soát kết hợp giới hạn quy định hai phía khi cỡ mẫu là 3.
Ngư lôi được cung cấp theo lô gồm 100 quả được kiểm tra về độ chính xác trên mặt phẳng nằm ngang. Sai số góc dương hoặc âm đều không được chấp nhận như nhau, do đó kiểm soát kết hợp giới hạn quy định hai phía là thích hợp. Các giới hạn quy định được đặt ở 10 m mỗi phía của điểm đích với khoảng cách 1 km, AQL là 4 %. Vì đây là phép thử phá hủy và rất tốn kém nên nhà sản xuất và bộ phận có thẩm quyền nhất trí sử dụng bậc kiểm tra đặc biệt S-2. Tra Bảng A.1, được chữ mã cỡ mẫu B. Từ Bảng A.2, tra được cỡ mẫu là 3. Ba quả ngư lôi được thử, sai số là –5,0 m, 6,7 m và 8,8 m. Sự phù hợp với chuẩn mực chấp nhận trong kiểm tra thường cần được xác định.
|
Thông tin cần thiết |
Giá trị thu được |
|
Cỡ mẫu: n |
3 |
|
Trung bình mẫu: |
3,5 m |
|
Độ lệch chuẩn mẫu: |
7,436 m |
|
(Xem J.1.2, Phụ lục J.) |
|
|
Giá trị của fs đối với MSSD (smax) (Bảng D.1) |
0,474 |
|
smax = (U – L)fs = [10 – (–10)] x 0,474 |
9,48 |
Vì s = 7,436 <>smax = 9,48, nên lô có thể được chấp nhận, do vậy, tiếp tục tính toán.
|
QU = (U – |
0,8741 |
|
QL = ( |
1,815 |
|
|
0,757 |
|
|
1,572 |
|
|
0,2267 |
|
|
0,0000 |
|
|
0,2267 |
|
p* (từ Bảng G.1 vì đây là kiểm tra thường) |
0,1905 |
Vì
> p* nên lô không được chấp nhận.
CHÚ THÍCH 3: Lô này không được chấp nhận mặc dù tất cả các cá thể được kiểm tra trong mẫu đều nằm trong phạm vi giới hạn quy định.
15.3.2.3. Kiểm soát kết hợp đối với phương pháp “s” với n = 4
Từ Bảng B.1, B.2 và B.3 có thể thấy rằng cỡ mẫu yêu cầu là 4 đối với phương pháp “s” cho chữ mã cỡ mẫu C trong kiểm tra thường và ngặt, chữ mã cỡ mẫu E trong kiểm tra giảm.
Sau khi tính trung bình mẫu
và độ lệch chuẩn mẫu s, tìm giá trị áp dụng của hệ số fs từ hàng thứ hai của Bảng D.1, D.2 hoặc D.3. Xác định độ lệch chuẩn lớn nhất của mẫu (nghĩa là lớn nhất cho phép) từ công thức
MSSD = smax = (U – L)fs
Sau đó, so sánh s với MSSD. Nếu s lớn hơn MSSD thì có thể loại lô mà không cần tính toán thêm.
Nếu không thì xác định giá trị của QU =
/s và/hoặc QL =
/s. Tính
(1)
(2)
Phải cộng hai ước lượng này lại để có được ước lượng
của tỷ lệ không phù hợp tổng của quá trình. Nếu
không vượt quá giá trị cho phép lớn nhất, p*, cho trong Bảng G (nghĩa là Bảng G.1 cho kiểm tra thường, Bảng G.2 cho kiểm tra ngặt hoặc G.3 cho kiểm tra giảm), thì lô được coi là được chấp nhận; nếu không thì lô được coi là không được chấp nhận.
CHÚ THÍCH: Cơ sở của phương trình (1) và (2) được cho trong Phụ lục K.
VÍ DỤ: Xác định khả năng chấp nhận đối với kiểm soát kết hợp giới hạn quy định hai phía khi cỡ mẫu là 4.
Các cá thể được sản xuất theo lô với cỡ lô 25. Giới hạn quy định dưới và trên của đường kính là 82 mm đến 84 mm. Các cá thể có đường kính quá lớn là không đáp ứng ngang bằng với các cá thể có đường kính quá nhỏ, do vậy quyết định kiểm soát tổng tỷ lệ không phù hợp vượt quá một trong hai giới hạn, sử dụng AQL 2,5 % ở kiểm tra bậc II. Kiểm tra thường được thực hiện ở thời điểm bắt đầu kiểm tra. Từ Bảng A.1, được chữ mã cỡ mẫu C. Từ Bảng A.2, tra được cỡ mẫu là 4. Đường kính của bốn cá thể lấy từ lô đầu tiên được đo, các đường kính là 82,4 mm, 82,2 mm, 83,1 mm và 82,3 mm. Sự phù hợp với chuẩn mực chấp nhận trong kiểm tra thường cần được xác định.
|
Thông tin cần thiết |
Giá trị thu được |
|
Cỡ mẫu: n |
4 |
|
Cỡ mẫu trung bình: |
82,50 mm |
|
Độ lệch chuẩn mẫu: |
0,408 2 mm |
|
(Xem J.1.2, Phụ lục J.) |
|
|
Giới hạn quy định trên: U |
84,0 mm |
|
Giới hạn quy định dưới: L |
82,0 mm |
|
Giá trị của fs đối với MSSD (Bảng D.1) |
0,376 |
|
MSSD = smax = (U – L)fs = (84 – 82) 0,376 |
0,752 mm |
Vì s = 0,408 2 <>max = 0,752, nên lô có thể được chấp nhận, do vậy, tiếp tục tính toán.
|
QU = (U – |
3,674 7 |
|
QL = ( |
1,224 9 |
|
|
0,000 0 |
|
|
0,091 7 |
|
|
0,091 7 |
|
p* (từ Bảng G.1 vì đây là kiểm tra thường) |
0,112 3 |
Vì
ˆ p* nên lô được chấp nhận.
15.3.2.4. Kiểm soát kết hợp đối với phương pháp “s” với n ≥ 5
Sau khi tính trung bình mẫu
và độ lệch chuẩn mẫu s, tìm giá trị áp dụng của hệ số fs từ hàng thứ hai của Bảng D.1, D.2 hoặc D.3. Xác định độ lệch chuẩn lớn nhất của mẫu (nghĩa là lớn nhất cho phép) từ công thức
MSSD = smax = (U – L)fs
Sau đó, so sánh s với smax. Nếu s lớn hơn smax hì có thể loại lô mà không cần làm gì thêm.
Nếu không thì tính thống kê chất lượng trên và dưới QU =
/s và QL =
/s. Nếu có các bảng hàm phân bố beta hoặc phần mềm tương ứng thì xác định ước lượng
và
của tỉ lệ không phù hợp của quá trình theo K.2.1. Nếu không thì sử dụng phương pháp nêu trong K.3.
VÍ DỤ: Xác định khả năng chấp nhận đối với kiểm soát kết hợp giới hạn quy định hai phía khi cỡ mẫu lớn hơn hoặc bằng 5.
Nhiệt độ làm việc thấp nhất của một thiết bị được quy định là 60 oC và nhiệt độ cao nhất là 70 oC. Lô sản xuất được kiểm tra gồm 96 cá thể. Sử dụng bậc kiểm tra II, kiểm tra thường, AQL = 1,5 %. Từ Bảng A.1, tra được chữ mã cỡ mẫu F; từ Bảng A.2, tra được cỡ mẫu là 13 và từ Bảng D.1, giá trị của fs đối với MSSD trong kiểm tra thường là 0,274. Giả định các phép đo thu được như sau: 65,5 °C; 60,0 °C; 65,2 °C; 61,7 °C; 69,0 °C; 67,1 °C; 60,0 °C; 66,4 °C; 62,8 °C; 68,0 °C; 63,4 °C; 60,7 °C; 65,8 °C. Sự phù hợp với chuẩn mực chấp nhận cần được xác định.
|
Thông tin cần thiết |
Giá trị thu được |
|
Cỡ mẫu: n |
13 |
|
Trung bình mẫu: |
64,276 9 oC |
|
Độ lệch chuẩn mẫu: |
2,861 9 oC |
|
(Xem J.1.2, Phụ lục J.) |
|
|
Giới hạn quy định trên: U |
70,0 oC |
|
Giới hạn quy định dưới: L |
60,0 oC |
|
Giá trị của fs đối với MSSD(smax) (Bảng D.1) |
0,274 |
|
MSSD = smax = (U – L)fs = (70 – 60) 0,274 |
2,74 oC |
Vì giá trị của s vượt quá smax nên lô được xác định ngay là không được chấp nhận.
CHÚ THÍCH: Lô này không được chấp nhận mặc dù tất cả các cá thể được kiểm tra trong mẫu đều nằm trong phạm vi giới hạn quy định.
Giả định rằng AQL là 4,0 % thay vì 1,5 %. Trong trường hợp này giá trị của fs sẽ là 0,328, do đó smax là 3,28 oC. Vì hiện tại s nhỏ hơn smax nên ở giai đoạn này chưa thể xác định lô có được chấp nhận hay không và cần tính toán thêm.
Có hai phương pháp thực hiện các tính toán cần thiết. Phương pháp thứ nhất áp dụng khi có các bảng hoặc phần mềm dùng cho hàm phân bố beta (xem K.2.1). Lưu ý rằng trong các phép tính trung gian, giữ lại năm con số có nghĩa.
|
Thông tin cần thiết |
Giá trị thu được |
|
QU = (U – |
1,999 8 |
|
|
0,199 57 |
|
|
0,014 937 |
|
QL = ( |
1,494 4 |
|
|
0,275 49 |
|
|
0,061 881 |
|
p* (từ Bảng G.1 vì đây là kiểm tra thường) |
0,155 4 |
Tỷ lệ không phù hợp tổng của quá trình được ước lượng bằng
= 0,061 881 + 0,014 937 = 0,076 82
giá trị này nhỏ hơn hằng số chấp nhận p*. Do đó, lô được chấp nhận.
15.3.2.5. Kiểm soát kết hợp đối với phương pháp “s” với n ≥ 5 – Phương pháp gần đúng
Nếu không có các bảng phân bố beta hoặc phần mềm tương ứng thì khuyến nghị sử dụng phương pháp gần đúng có độ chính xác cao mô tả trong K.3. Điều này được chứng minh bằng việc áp dụng vào ví dụ đề cập ở trên.
|
Thông tin cần thiết |
Giá trị thu được |
|
QU = (U – |
1,999 8 |
|
|
0,199 57 |
|
an (từ Bảng K.1) |
1,583 745 |
|
yU = anln[xU/(1-xU)] |
-2,199 8 |
|
wU = Y2U – 3 |
1,839 1 |
|
Vì |
-2,172 1 |
|
|
0,014 928 |
|
QL = ( |
1,494 4 |
|
|
0,275 49 |
|
yL = anln[xL/(1-xL)] |
-1,531 4 |
|
wL = y2L – 3 |
-0,654 81 |
|
Vì |
-1,539 0 |
|
|
0,061 902 |
|
p* (từ Bảng G.1 vì đây là kiểm tra thường) |
0,115 4 |
Tỷ lệ không phù hợp tổng của quá trình được ước lượng bằng
= 0,061 902 + 0,014 924 = 0,076 83
giá trị này nhỏ hơn hằng số chấp nhận p*. Do đó, lô được chấp nhận.
CHÚ THÍCH: Kết quả khi sử dụng phương pháp gần đúng chỉ sai khác so với giá trị đúng một đơn vị ở con số có nghĩa thứ tư. Phương pháp gần đúng thường rất chính xác.
15.3.3. Kiểm soát riêng đối với phương pháp “s”
Khi áp dụng các AQL riêng cho giới hạn quy định hai phía, tra bảng G.1, G.2 hoặc G.3 với chữ mã cỡ mẫu và AQL tại giới hạn trên và dưới để thu được pU và pL. Khi đó, chuẩn mực chấp nhận là
và ![]()
15.3.4. Kiểm soát phức hợp đối với phương pháp “s”
Kiểm soát phức hợp bao gồm kiểm soát kết hợp giới hạn quy định hai phía và đồng thời kiểm soát riêng một trong hai giới hạn sử dụng AQL riêng và nhỏ hơn. Do đó, lô được chấp nhận nếu
, và
, chọn trường hợp nào liên quan.
16. Quy trình phương pháp “s” chuẩn đa biến đối với các đặc trưng chất lượng độc lập
16.1. Phương pháp luận chung
Phương pháp chung sử dụng cho loại có m đặc trưng chất lượng độc lập được nêu dưới đây. Biểu thị tỷ lệ không phù hợp ước lượng của quá trình cho đặc trưng chất lượng thứ i bằng
, tỷ lệ không phù hợp ước lượng của quá trình đối với loại đó được cho bởi
= 1 – (1-
)(1 –
)…(1 –
),
nghĩa là một trừ đi tích của tỷ lệ phù hợp ước lượng của quá trình.
CHÚ THÍCH: Nếu
,
,…,
đều nhỏ, ví dụ nhỏ hơn 0,01, thì
xấp xỉ bằng tổng của các ước lượng đơn lẻ, nghĩa là
≈
+
+…+![]()
Nếu chỉ có một loại, ví dụ loại A, thì tỷ lệ không phù hợp ước lượng của quá trình đối với loại đó được biểu thị bằng
. Lô được chấp nhận nếu
≤ p*
còn nếu không thì không được chấp nhận, trong đó p* là hằng số chấp nhận dạng p* cho trong bảng G (nghĩa là Bảng G.1 đối với kiểm tra thường, Bảng G.2 cho kiểm tra ngặt hoặc G.3 cho kiểm tra giảm) đối với chữ mã cỡ mẫu và AQL áp dụng cho loại đó.
Nếu có hai hoặc nhiều loại, ví dụ loại A, loại B,… có hằng số chấp nhận
,
, …, thì lô được chấp nhận nếu
≤
và
≤
và … nhưng không được chấp nhận nếu một hoặc nhiều bất đẳng thức vi phạm.
Nếu có nhiều hơn một loại không phù hợp thì loại A sẽ có những sự không phù hợp có mức độ nghiêm trọng cao nhất và thường có AQL thấp nhất và do đó hằng số chấp nhận dạng p* nhỏ nhất; loại B sẽ có những sự không phù hợp có mức độ nghiêm trọng thấp hơn, có AQL và hằng số chấp nhận dạng p* cao hơn; … Các loại không phù hợp khác nhau sẽ được kiểm tra với mức độ chặt chẽ khác nhau ở một thời điểm bất kỳ.
16.2. Ví dụ
Xét một sản phẩm có năm đặc trưng chất lượng độc lập x1, x2, x3, x4 và x5, đều chưa biết độ lệch chuẩn quá trình. Chữ mã cỡ mẫu là H và cỡ mẫu là 25 trong kiểm tra thường đối với cả năm đặc trưng. Giả định rằng các yêu cầu và kết quả như được tổng hợp trong Bảng 2.
Bảng 2 – Ví dụ về yêu cầu và kết quả đối với năm đặc trưng chất lượng chưa biết độ lệch chuẩn quá trình
|
|
Giới hạn |
Loại kiểm soát |
Loại không phù hợp |
Trung bình mẫu |
Độ lệch chuẩn mẫu |
Thống kê chất lượng Q |
|
|
|
x1 |
U1=70,0 |
Một giới hạn |
A |
|
s1 = 0,50 |
3,0000 |
0,1875 |
0,000418 |
|
x2 |
L2=10,0 |
Một giới hạn |
B |
|
s2 = 0,20 |
2,0000 |
0,2917 |
0,019134 |
|
x3 |
U3=4,050 L3=3,950 |
Kết hợp |
A |
|
s3 = 0,015 |
3,0000 3,6667 |
0,1875 0,1181 |
0,000418 0,000004 0,000422 |
|
x4 |
U4=1,950 L4=1,750 |
Riêng |
B A |
|
s4 = 0,032 |
2,7500 3,5000 |
0,2135 0,1354 |
0,001380 0,000018 |
|
x5 |
U5=214 L5=206 |
Phức hợp, nghĩa là Riêng |
A B |
|
s5 = 1,25 |
3,2000 3,2000 |
0,1667 0,1667 |
0,000140 0,000140 0,000280 |
Cũng giả định rằng AQL đối với sự không phù hợp loại A là 0,25 % và AQL đối với loại B là 1,0 %. Từ Bảng G.1, ta thấy các hằng số chấp nhận dạng p* tương ứng là
= 0,010 12 và
= 0,030 10.
Tỷ lệ không phù hợp đối với loại A được ước lượng là
= 1 – (1 –
)(1 –
)(1 –
)(1-
)
= 1 – (1 – 0,000 418)(1 – 0,000 422)(1–0,000 018)(1 – 0,000 140)
= 1 – 0,999 582 x 0,999 578 x 0,999 982 x 0,999 860
= 1 – 0,999 002
= 0,000 998.
Tỷ lệ không phù hợp đối với loại B được ước lượng là
= 1 – (1 –
)(1 –
)(1-
)
= 1 – (1 – 0,019 134)(1–0,001 380)(1 – 0,000 280)
= 1 – 0,980 866 x 0,998 620 x 0,999 720
= 1 – 0,979 238
= 0,020 762.
Vì
<>
và
<>
nên lô được chấp nhận.
CHÚ THÍCH: Ước lượng gần đúng tương ứng của tỷ lệ không phù hợp của quá trình trong mỗi loại thu được bằng cách đơn giản là cộng các ước lượng thành phần:
= ![]()
= 0,000 418 + 0,000 422 + 0,000 018 + 0,000 140
= 0,000 998.
và
= ![]()
= 0,019 134 + 0,001 380 + 0,000 280
= 0,020 794.
17. Quy trình của phương pháp “σ” chuẩn đơn biến
17.1. Xác định phương án, lấy mẫu và tính toán sơ bộ
Chỉ sử dụng phương pháp “σ” khi có bằng chứng là độ lệch chuẩn quá trình có thể coi là không đổi và lấy là σ.
Từ Bảng A.1 có được chữ mã cỡ mẫu. Sau đó, tùy theo mức độ chặt chẽ của kiểm tra, vào Bảng C.1, C.2 hoặc C.3 với chữ mã cỡ mẫu và AQL quy định để tra được cỡ mẫu n và hằng số chấp nhận k.
Lấy ngẫu nhiên một mẫu có cỡ mẫu tra được, đo đặc trưng cần kiểm tra, x, đối với tất cả các cá thể mẫu và tính trung bình
. (Độ lệch chuẩn mẫu s cũng cần được tính, nhưng chỉ để kiểm tra độ ổn định liên tục của độ lệch chuẩn quá trình. Xem điều 19.)
17.2. Chuẩn mực chấp nhận đối với giới hạn quy định một phía hoặc giới hạn quy định hai phía được kiểm soát riêng rẽ
Có thể tìm ra chuẩn mực chấp nhận bằng cách sử dụng quy trình cho phương pháp “s”. Trước tiên, thay s lấy từ các mẫu riêng lẻ bằng σ, giá trị độ lệch chuẩn quá trình đã biết giả định, sau đó so sánh giá trị Q tính được với giá trị hằng số chấp nhận k thu được từ một trong các Bảng C1, C2 và C3.
Lưu ý rằng, ví dụ chuẩn mực chấp nhận QU [= (U –
)/σ] ≥ k đối với quy định trên có thể viết thành
≤ U – kσ. Vì U, k và σ đều được biết trước, do đó cần xác định giá trị chấp nhận
[=U – ks] trước khi bắt đầu kiểm tra.
Đối với giới hạn quy định trên, lô sẽ được
chấp nhận nếu
≤
[=U – kσ]; không được chấp nhận nếu
>
[=U – kσ]
Tương tự, đối với giới hạn quy định dưới, lô sẽ được
chấp nhận nếu
≥
[=L + kσ]; không được chấp nhận nếu
<>
[=L + kσ]
VÍ DỤ: Xác định khả năng chấp nhận đối với giới hạn quy định một phía sử dụng phương pháp “σ”.
Điểm uốn cong tối thiểu quy định của thép đúc là 400 N/mm2. Một lô gồm 500 cá thể được giao nộp để kiểm tra. Sử dụng bậc kiểm tra II, kiểm tra thường, với AQL = 1,5 %. Giá trị của σ được coi là bằng 21 N/mm2. Từ Bảng A.1, có được chữ mã cỡ mẫu H. Sau đó, từ Bảng C.1, đối với AQL là 1,5 % cỡ mẫu n là 12 và hằng số chấp nhận k là 1,613. Giả định rằng điểm uốn cong của các mẫu là 431; 417; 469; 407; 450; 452; 427; 411; 429; 420; 400; 445; Cần xác định sự phù hợp với chuẩn mực chấp nhận.
|
Thông tin cần thiết |
Giá trị thu được |
|
Hằng số chấp nhận: k |
1,613 |
|
Đã biết: σ |
21 N/mm2 |
|
Tích: σk |
33,9 N/mm2 |
|
Giới hạn quy định: L |
400 N/mm2 |
|
Giá trị chấp nhận: xL = L + kσ |
433,9 N/mm2 |
|
Tổng các kết quả đo: Sx |
5 184 N/mm2 |
|
Cỡ mẫu: n |
12 |
|
Trung bình mẫu: |
429,8 N/mm2 |
|
Chuẩn mực chấp nhận: |
Không |
Trung bình mẫu của lô không đáp ứng chuẩn mực chấp nhận, vì thế lô không được chấp nhận.
Đối với kiểm soát riêng giới hạn quy định hai phía, ngay lập tức có thể công bố là lô không được chấp nhận nếu σ lớn hơn MPSD lấy từ Bảng E.2. Nếu σ ≤ MPSD, thì xác định hằng số chấp nhận đối với giới hạn trên và giới hạn, kU và kL. Lô sẽ được chấp nhận nếu
và ![]()
và không được chấp nhận nếu
và/hoặc ![]()
17.3. Chuẩn mực chấp nhận đối với kiểm soát kết hợp hoặc phức hợp giới hạn quy định hai phía
Nếu có yêu cầu AQL kết hợp cho cả giới hạn quy định trên và dưới, nghĩa là một AQL tổng cho phần trăm của quá trình nằm ngoài các giới hạn quy định, khuyến nghị sử dụng theo trình tự dưới đây.
a) Trước khi lấy mẫu, tra Bảng E.1 với AQL để xác định giá trị của hệ số fσ (đối với kiểm soát kết hợp) với một AQL hoặc tra bảng E.3 (đối với kiểm soát phức hợp) với cả hai AQL.
b) Tính giá trị cho phép lớn nhất của độ lệch chuẩn quá trình, sử dụng công thức σmax = (U – L)fσ cho MPSD.
c) So sánh giá trị độ lệch chuẩn quá trình σ với σmax. Nếu σ vượt quá σmax thì quá trình không được chấp nhận và không áp dụng kiểm tra lấy mẫu cho đến khi chứng tỏ rằng độ biến động của quá trình đã được giảm một cách thích hợp.
d) Nếu σ ≤ σmax thì sử dụng cỡ lô đó và bậc kiểm tra đã cho để xác định chữ mã cỡ mẫu từ Bảng A.1.
e) Từ chữ mã cỡ mẫu và mức độ chặt chẽ đó (nghĩa là kiểm tra thường, ngặt hoặc giảm) xác định cỡ mẫu, n, và hằng số chấp nhận, p*, từ Bảng G.1, G.2 hoặc G.3.
f) Từ lô chọn một mẫu ngẫu nhiên cỡ n từ và tính trung bình mẫu
.
g) Sử dụng phương pháp nêu trong K.2.2, tính
,
và ![]()
h) Nếu
> p* thì lô không được chấp nhận đối với kiểm soát kết hợp hay phức hợp, đồng thời không cần tính toán hoặc so sánh gì khác.
i) Đối với kiểm soát kết hợp, lô được chấp nhận nếu
≤ p*.
j) Đối với kiểm soát phức hợp, từ Bảng G.1, G.2 hoặc G.3 xác định hằng số chấp nhận dùng cho giới hạn quy định một phía, nghĩa là
đối với giới hạn trên hoặc
đối với giới hạn dưới. Đối với kiểm soát phức hợp có AQL riêng cho giới hạn trên, lô được chấp nhận nếu
≤ p* và
≤
. Đối với
|
kiểm soát phức hợp có AQL riêng cho giới hạn dưới, lô được chấp nhận nếu
≤ p* và
≤
.
VÍ DỤ: Xác định khả năng chấp nhận đối với kiểm soát kết hợp theo phương pháp “σ”.
Quy định kỹ thuật đối với điện trở của một linh kiện điện nhất định là (520 ± 50) W. Sản xuất với tỷ lệ 2 500 cá thể trên một lô kiểm tra. Bậc kiểm tra II, kiểm tra thường với AQL đơn là 4 % được sử dụng cho giới hạn quy định hai phía (470 W và 570 W). Giá trị của σ đã biết là 21,0 W.. Tra Bảng A.1 với cỡ lô và bậc kiểm tra, tìm được chữ mã cỡ mẫu là K; từ Bảng A.2 tra được cỡ mẫu yêu cầu là 18 cho kiểm tra thường. Giả định các giá trị điện trở mẫu, tính bằng ôm, như sau: 515; 491; 479; 507; 543; 521; 536; 483; 509; 514; 507; 484; 526; 552; 499; 530; 512; 492.
|
Thông tin cần thiết |
Giá trị thu được |
|
Hệ số từ Bảng E.1: fσ |
0,223 |
|
Giới hạn quy định trên: U |
570 W |
|
Giới hạn quy định dưới: L |
470 W |
|
Độ lệch chuẩn lớn nhất của quá trình σmax = (U – L) fσ |
22,3 W |
|
Đã biết σ |
21,0 W |
(Vì σ nhỏ hơn σmax nên mẫu được phân tích thêm về khả năng chấp nhận lô.)
|
Cỡ mẫu: n |
18 |
|
Hằng số chấp nhận k (từ Bảng C.1) |
1,340 |
|
Biên trên đối với |
541,86 W |
|
Biên dưới đối với |
498,14 W |
|
Tổng các kết quả đo: Sx |
9 200 W |
|
Trung bình mẫu: |
511,11 W |
Vì trung bình mẫu
là 511,11 W nằm giữa giới hạn chấp nhận đối với
là 498,1 W và 541,9 W nên lô được chấp nhận.
Tất cả các tính toán khác ngoài hai dòng cuối cần được hoàn thành trước khi bắt đầu lấy mẫu.
Ví dụ, nếu σ đã biết là 25 thì σ vượt quá MPSD và do đó thậm chí không cần thực hiện việc kiểm tra lấy mẫu.
18. Quy trình của phương pháp “σ” chuẩn đa biến đối với các đặc trưng chất lượng độc lập
18.1. Phương pháp luận chung
Phương pháp chung sử dụng cho loại có m đặc trưng chất lượng độc lập x1, x2, …, xm theo phương pháp “σ” tương tự như với phương pháp “s” đa biến. Do đó, biểu thị tỷ lệ không phù hợp ước lượng của quá trình cho đặc trưng chất lượng thứ i bằng
, tỷ lệ không phù hợp ước lượng của quá trình đối với loại đó được cho bởi
= 1 – (1-
)(1-
)…(1 –
),
nghĩa là một trừ đi tích của tỷ lệ phù hợp ước lượng của quá trình.
Nếu chỉ có một loại, ví dụ loại A, thì tỷ lệ không phù hợp ước lượng của quá trình đối với loại đó được biểu thị bằng
. Lô được chấp nhận nếu
≤ p* còn nếu không thì không được chấp nhận, trong đó p* là hằng số chấp nhận dạng p* cho trong bảng G (nghĩa là Bảng G.1 đối với kiểm tra thường, Bảng G.2 cho kiểm tra ngặt hoặc G.3 cho kiểm tra giảm) đối với chữ mã cỡ mẫu và AQL áp dụng cho loại đó.
Nếu có hai hoặc nhiều loại, ví dụ loại A, loại B,… có hằng số chấp nhận
,
, …, thì lô được chấp nhận nếu
≤
và
≤
và … nhưng không được chấp nhận nếu một hoặc nhiều bất đẳng thức vi phạm.
Nếu có nhiều hơn một loại không phù hợp thì loại A sẽ có những sự không phù hợp có mức độ nghiêm trọng cao nhất và thường có AQL thấp nhất và do đó hằng số chấp nhận dạng p* nhỏ nhất; loại B sẽ có những sự không phù hợp có mức độ nghiêm trọng thấp hơn, có AQL và hằng số chấp nhận dạng p* cao hơn; … Các loại không phù hợp khác nhau sẽ được kiểm tra với mức độ chặt chẽ khác nhau ở một thời điểm bất kỳ.
18.2. Ví dụ
Ví dụ nêu trong 16.2 được lặp lại với độ lệch chuẩn mẫu ấn định lại là độ lệch chuẩn quá trình.
Xét một sản phẩm có năm đặc trưng chất lượng độc lập x1, x2, x3, x4 và x5, đều chưa biết độ lệch chuẩn quá trình. Chữ mã cỡ mẫu là H và cỡ mẫu là 12 trong kiểm tra thường đối với cả năm đặc trưng. Giả định rằng các yêu cầu và kết quả như được tổng hợp trong Bảng 3.
Cũng giả định rằng AQL đối với sự không phù hợp loại A là 0,25 % và AQL đối với loại B là 1,0 %. Từ Bảng G.1, ta thấy các hằng số chấp nhận dạng p* tương ứng là
= 0,010 12 và
= 0,030 10.
Bảng 3 – Ví dụ về yêu cầu và kết quả đối với năm đặc trưng chất lượng đã biết độ lệch chuẩn quá trình
|
Biến |
Giới hạn |
Trung bình mẫu |
Độ lệch chuẩn mẫu |
Loại kiểm soát |
Thống kê chất lượng Q |
(n=12) |
|
Loại không phù hợp |
|
x1 |
U1=70,0 |
|
σ1 = 0,50 |
Giới hạn một phía |
3,0000 |
3,1334 |
0,000864 |
A |
|
x2 |
L2=10,0 |
|
σ2 = 0,20 |
Giới hạn một phía |
2,0000 |
2,0889 |
0,018357 |
B |
|
x3 |
U3=4,050 L3=3,950 |
|
σ3 = 0,015 |
Kết hợp |
3,0000 3,6667 |
3,1334 3,8297 |
0,000864 0,000064 0,000928 |
A |
|
x4 |
U4=1,950 L4=1,750 |
|
σ4 = 0,032 |
Riêng |
2,7500 3,5000 |
2,8723 3,6556 |
0,002038 0,000128 |
B A |
|
x5 |
U5=214 L5=206 |
|
σ5 = 1,25 |
Phức hợp, nghĩa là Riêng |
3,2000 3,2000 |
3,3423 3,3423 |
0,000415 0,000415 0,000830 |
A
B |
Tỷ lệ không phù hợp đối với loại A được ước lượng là
= 1 – (1 –
)(1 –
)(1 –
)(1-
)
= 1 – (1 – 0,000 864)(1 – 0,000 928)(1–0,000 128)(1 – 0,000 415)
= 1 – 0,999 136 x 0,999 072 x 0,999 872 x 0,999 585
= 1 – 0,999 66
= 0,000 998.
Tỷ lệ không phù hợp đối với loại B được ước lượng là
= 1 – (1 –
)(1 –
)(1-
)
= 1 – (1 – 0,019 134)(1–0,001 380)(1 – 0,000 280)
= 1 – 0,980 866 x 0,998 620 x 0,999 720
= 1 – 0,997 667
= 0,002 333.
Vì
<>
và
<>
nên lô được chấp nhận.
19. Quy trình của phương pháp “s” và “σ” phối hợp chuẩn đa biến đối với các đặc trưng chất lượng độc lập
19.1. Phương pháp luận chung
Có thể có những trường hợp biết trước độ lệch chuẩn quá trình của một số đặc trưng chất lượng trong một loại còn một số thì chưa biết. Phương pháp luận chung sử dụng cho loại có m đặc trưng chất
lượng độc lập, như trước đây, là ước lượng tỷ lệ không phù hợp của quá trình đối với loại đó bằng
= 1 – (1-
)(1-
)…(1-
).
Nếu chỉ có một loại, ví dụ loại A, thì tỷ lệ không phù hợp ước lượng của quá trình đối với loại đó được biểu thị bằng
. Lô được chấp nhận nếu
≤ p*
còn nếu không thì không được chấp nhận, trong đó p* là hằng số chấp nhận dạng p* cho trong bảng G (nghĩa là Bảng G.1 đối với kiểm tra thường, Bảng G.2 cho kiểm tra ngặt hoặc G.3 cho kiểm tra giảm) đối với chữ mã cỡ mẫu và AQL áp dụng cho loại đó.
Nếu có hai hoặc nhiều loại, ví dụ loại A, loại B,… có hằng số chấp nhận
,
, …, thì lô được chấp nhận nếu
≤
và
≤
, … nhưng không được chấp nhận nếu một hoặc nhiều bất đẳng thức vi phạm.
Sự khác nhau giữa quy trình này và các quy trình nêu trong điều 16 và 18 là lớp con đặc trưng chất lượng chưa biết độ lệch chuẩn quá trình đòi hỏi một cỡ mẫu, trong khi các lớp con đặc trưng chất lượng đã biết độ lệch chuẩn quá trình lại đòi hỏi một cỡ mẫu nhỏ hơn; ước lượng tỷ lệ không phù hợp của quá trình cho từng đặc trưng trong lớp con chưa biết độ lệch chuẩn quá trình có được theo K.2.1, trong khi ước lượng của loại còn lại có được theo K.2.2.
19.2. Ví dụ
Như ví dụ trước, xét một sản phẩm có năm đặc trưng chất lượng độc lập x1, x2, x3, x4 và x5. Tuy nhiên, trong trường hợp này chỉ có độ lệch chuẩn quá trình của các đặc trưng x1 và x4 là đã biết. Chữ mã cỡ mẫu là H và cỡ mẫu là 12 hoặc 25 trong kiểm tra thường đối với cả năm đặc trưng, tuỳ thuộc tương ứng vào việc đã biết và chưa biết độ lệch chuẩn quá trình. Giả định rằng các yêu cầu và kết quả như được cho trong Bảng 4.
Cũng giả định rằng AQL đối với sự không phù hợp loại A là 0,25 % và AQL đối với loại B là 1,0 %, do đó, từ Bảng G.1, ta thấy các hằng số chấp nhận dạng p* tương ứng là
= 0,010 12 và
= 0,03010.
Bảng 4 – Ví dụ về yêu cầu và kết quả đối với năm đặc trưng chất lượng, trong đó một số đã biết
và một số chưa biết độ lệch chuẩn quá trình
|
Biến |
Giới hạn |
Cỡ mẫu n |
Trung bình mẫu |
Độ lệch chuẩn |
Loại kiểm soát |
Thống kê chất lượng Q |
|
|
|
Loại không phù hợp |
|
x1 |
U1=70,0 |
12 |
|
σ1 = 0,500 |
Giới hạn một phía |
3,0000 |
|
3,1334 |
0,000864 |
A |
|
x2 |
L2=10,0 |
25 |
|
s2 = 0,200 |
Giới hạn một phía |
2,0000 |
0,2917 |
|
0,019134 |
B |
|
x3 |
U3=4,050 L3=3,950 |
25 |
|
s3 = 0,015 |
Kết hợp |
3,0000 3,6667 |
0,1875 0,1181 |
|
0,000418 0,000004 0,000422 |
A |
|
x4 |
U4=1,950 L4=1,750 |
12 |
|
σ4 = 0,032 |
Riêng |
2,7500 3,5000 |
|
2,8723 3,6556 |
0,002038 0,000018 |
B A |
|
x5 |
U5= 214 L5=206 |
25 |
|
s5 = 1,25 |
Phức hợp, nghĩa là Riêng |
3,2000 3,2000 |
0,1667 0,1667 |
|
0,000140 0,000018 0,000280 |
A
B |
Tỷ lệ không phù hợp đối với loại A được ước lượng là
= 1 – (1 –
)(1 –
)(1 –
)(1-
)
= 1 – (1 – 0,000 864)(1 – 0,000 422)(1–0,000 018)(1 – 0,000 140)
= 1 – 0,999 136 x 0,999 578 x 0,999 982 x 0,999 860
= 1 – 0,998 557
= 0,001 443.
Tỷ lệ không phù hợp đối với loại B được ước lượng là
= 1 – (1 –
)(1 –
)(1-
)
= 1 – (1 – 0,019 134)(1–0,002 038)(1 – 0,000 280)
= 1 – 0,980 866 x 0,997 962 x 0,999 720
= 1 – 0,978 593
= 0,021 407.
Vì
<>
và
<>
nên lô được chấp nhận.
20. Quy trình kiểm tra tiếp tục
Vì phương án kiểm tra lấy mẫu định lượng chỉ có thể thực thi có hiệu quả nếu
a) đặc trưng được kiểm tra có phân bố chuẩn,
b) hồ sơ được lưu giữ, và
c) quy tắc chuyển đổi được tuân thủ,
nên cần đảm bảo rằng các yêu cầu này được đáp ứng.
21. Phân bố chuẩn và giá trị bất thường
21.1. Phân bố chuẩn
Bộ phận có thẩm quyền cần kiểm tra về phân bố chuẩn trước khi bắt đầu lấy mẫu. Trong trường hợp nghi ngờ, chuyên gia thống kê cần khuyến nghị việc phân bố hiện tại có thích hợp để lấy mẫu định lượng hay không, hoặc có cần sử dụng các phép kiểm tra độ lệch khỏi phân bố chuẩn nêu trong ISO 5479. Phân bố chuẩn cần được khẳng định lại định kỳ, đặc biệt nếu có thay đổi đáng kể bất kỳ trong sản xuất, ví dụ về nhân sự, thiết kế, nguyên vật liệu hoặc phương pháp sản xuất.
21.2. Giá trị bất thường
Giá trị bất thường (hoặc quan sát bất thường) là dữ liệu sai lệch đáng kể so với các quan sát khác trong mẫu. Giá trị bất thường đơn, ngay cả khi nó nằm trong phạm vi giới hạn quy định, sẽ tạo sự tăng độ biến động và thay đổi trung bình, và kết quả là có thể dẫn đến việc không chấp nhận lô. [Ví dụ, xem TCVN 6910-2 (ISO 5725-2).] Khi phát hiện các giá trị bất thường, người bán và người mua cần thỏa thuận việc xử lý lô.
22. Hồ sơ
22.1. Biểu đồ kiểm soát
Một trong những ưu điểm của kiểm tra định lượng là có thể thấy được xu hướng về mức chất lượng của sản phẩm và đưa ra cảnh báo trước khi đạt đến chuẩn không chấp nhận được, nhưng điều này chỉ có thể thực hiện được nếu hồ sơ được lưu giữ thích hợp.
Cho dù sử dụng phương pháp nào, “s” hay “σ”, thì cũng cần lưu giữ hồ sơ giá trị của
và s, tốt nhất là dưới dạng biểu đồ kiểm soát (xem ISO 7870 và ISO 8258).
Cần áp dụng các quy trình này, đặc biệt đối với phương pháp “σ” để xác nhận rằng giá trị s thu được từ các mẫu nằm trong phạm vi giới hạn của giá trị quy định .
Đối với kiểm soát kết hợp giới hạn quy định hai phía, giá trị của MSSD, cho trong bảng D.1, D.2 hoặc D.3, cần được vẽ trên biểu đồ kiểm soát s, như một chỉ thị của giá trị không thể chấp nhận.
CHÚ THÍCH: Biểu đồ kiểm soát dùng để phát hiện xu hướng. Quyết định cuối cùng về khả năng chấp nhận một lô riêng được chi phối bởi các quy trình nêu trong các điều từ 15 đến 19.
22.2. Lô không được chấp nhận
Cần phải chú ý đặc biệt đến việc lưu hồ sơ tất cả các lô không được chấp nhận và việc thực hiện các quy tắc chuyển đổi. Không được giao nộp lại toàn bộ hoặc một phần của bất kỳ lô nào không được chấp nhận bởi phương án lấy mẫu mà không được sự cho phép của bộ phận có thẩm quyền.
23. Áp dụng các quy tắc chuyển đổi
Các quy tắc chuyển đổi được nêu dưới đây.
a) Kiểm tra thường được sử dụng khi bắt đầu kiểm tra (nếu không có quy định nào khác) và phải tiếp tục sử dụng trong suốt quá trình kiểm tra cho đến khi cần chuyển sang kiểm tra ngặt hoặc được phép kiểm tra giảm.
b) Kiểm tra ngặt được thực hiện khi hai lô trong kiểm tra thường không được chấp nhận trong số năm lô liên tiếp hoặc ít hơn.
Kiểm tra ngặt thường đạt được bằng cách tăng giá trị của hằng số chấp nhận k. Các giá trị này được cho trong Bảng B.2 đối với phương pháp “s” và Bảng C.2 đối với phương pháp “σ”. Trong cả hai phương pháp, không có sự thay đổi cỡ mẫu khi chuyển từ kiểm tra thường sang kiểm tra ngặt, trừ khi AQL nhỏ đến mức các bảng chỉ ra, bằng mũi tên chỉ xuống, rằng cần phải tăng cỡ mẫu.
c) Kiểm tra ngặt được giảm nhẹ khi năm lô liên tiếp trong kiểm tra lần đầu được chấp nhận trong kiểm tra ngặt; khi đó phải bắt đầu lại kiểm tra thường.
d) Kiểm tra giảm có thể được bắt đầu sau khi mười lô liên tiếp được chấp nhận trong kiểm tra thường, với điều kiện là
1) các lô này được chấp nhận nếu AQL ngặt hơn một bậc;
CHÚ THÍCH: Nếu giá trị k đối với AQL ngặt hơn này không được cho trong Bảng B.1 (phương pháp “s”) hoặc Bảng C.1 (phương pháp “σ”) hoặc giá trị của p* không được cho trong Bảng G.1, thì xem bảng I.
2) sản xuất được kiểm soát thống kê;
3) bộ phận có thẩm quyền yêu cầu kiểm tra giảm.
Kiểm tra giảm được tiến hành trên mẫu nhỏ hơn rất nhiều so với kiểm tra thường và giá trị của hằng số chấp nhận cũng giảm. Giá trị của n và k dùng cho kiểm tra giảm được cho trong Bảng B.3 đối với phương pháp “s” và Bảng C.3 đối với phương pháp “σ”.
e) Phải ngừng kiểm tra giảm và tiến hành kiểm tra thường nếu trong kiểm tra lần đầu xuất hiện:
1) một lô không được chấp nhận;
2) sản xuất trở nên không ổn định hoặc chậm trễ;
3) bộ phận có thẩm quyền không mong muốn kiểm tra giảm nữa.
24. Ngừng và bắt đầu kiểm tra lại
Nếu số lô không được chấp nhận cộng dồn trong một loạt các lô liên tiếp trong kiểm tra ngặt lần đầu đạt đến 5 lô thì phải ngừng quy trình chấp nhận của tiêu chuẩn này.
Không được thực hiện việc kiểm tra theo quy định của tiêu chuẩn này cho đến khi người cung cấp thực hiện hành động cải tiến chất lượng sản phẩm hoặc dịch vụ giao nộp, đồng thời bộ phận có thẩm quyền nhất trí là hành động này là có hiệu lực. Sau đó, phải sử dụng kiểm tra ngặt như nêu trong 23 b).
25. Chuyển đổi giữa phương pháp “s” và phương pháp “σ”
25.1. Ước lượng độ lệch chuẩn quá trình
Khi sử dụng tiêu chuẩn này, căn quân phương có trọng số của các giá trị s phải được tính định kỳ như ước lượng độ lệch chuẩn quá trình σ đối với cả phương pháp “s” và phương pháp “(”. (Xem J.2 trong Phụ lục J.) Giá trị của ( phải được ước lượng lại ở các khoảng năm lô, nếu bộ phận có thẩm quyền không quy định khoảng khác. Ước lượng này phải dựa trên 10 lô liền trước, nếu bộ phận có thẩm quyền không quy định số lượng lô khác.
25.2. Trạng thái kiểm soát thống kê
Tính giới hạn kiểm soát trên cho từng 10 lô một (hoặc cho số lượng lô khác theo quy định của bộ phận có thẩm quyền) từ biểu thức cUσ, trong đó cU là hệ số phụ thuộc vào cỡ mẫu n và được cho trong Bảng H. Nếu không có độ lệch chuẩn mẫu, si, nào vượt quá giới hạn kiểm soát tương ứng, thì quá trình có thể được coi là trong trạng thái kiểm soát thống kê; nếu không thì quá trình được coi là nằm ngoài kiểm soát thống kê.
CHÚ THÍCH 1: Nếu cỡ mẫu lấy từ các lô đều bằng nhau thì giá trị cUσ là chung cho tất cả các lô.
CHÚ THÍCH 2: Nếu cỡ mẫu lấy từ mỗi lô là khác nhau thì không cần tính giá trị cUσ cho những lô có độ lệch chuẩn mẫu, si, nhỏ hơn hoặc bằng σ.
CHÚ THÍCH 3: Trong một quá trình ổn định với độ lệch chuẩn σ không đổi, giá trị của cU sao cho trong mười lô liên tiếp, xác suất một hoặc nhiều độ lệch chuẩn mẫu vượt quá cUσ của nó 5 %. Do đó, xác suất cảnh báo sai cũng giới hạn ở 5 %.
25.3. Chuyển từ phương pháp “s” sang phương pháp “σ”
Nếu quá trình được coi là trong trạng thái kiểm soát thống kê theo phương pháp “s” thì có thể bắt đầu phương pháp “σ” bằng cách sử dụng giá trị mới nhất của σ.
CHÚ THÍCH: Việc chuyển đổi này được thực hiện theo quyết định của bộ phận có thẩm quyền.
25.4. Chuyển từ phương pháp “σ” sang phương pháp “s”
Cần duy trì biểu đồ kiểm soát đối với s ngay cả trong phương pháp “(”. Ngay khi có nghi ngờ về việc quá trình được kiểm soát thống kê, kiểm tra phải được chuyển sang phương pháp “s”.
Phụ lục A
(quy định)
Bảng dùng để xác định cỡ mẫu thích hợp
Bảng A.1 – Chữ mã cỡ mẫu và bậc kiểm tra
|
Cỡ lô hoặc đợt |
Bậc kiểm tra đặc biệt |
Bậc kiểm tra chung |
|||||
|
S-1 |
S-2 |
S-3 |
S-4 |
I |
II |
III |
|
|
2 đến 8 9 đến 15 16 đến 25 |
B B B |
B B B |
B B B |
B B B |
B B B |
B B C |
B C D |
|
26 đến 50 51 đến 90 91 đến 150 |
B B B |
B B B |
B C C |
C C D |
C C D |
D E F |
E F G |
|
151 đến 280 281 đến 500 501 đến 1 200 |
B B C |
C C C |
D D E |
E E F |
F F G |
G H J |
H J K |
|
1 201 đến 3 200 3 201 đến 10 000 10 001 đến 35 000 |
C C C |
D D D |
E F F |
G G H |
H J K |
K L M |
L M N |
|
35 001 đến 150 000 150 001 đến 500 000 trên 500 000 |
D D D |
E E E |
G G H |
J J K |
L M N |
N P Q |
P Q R |
|
CHÚ THÍCH: Chữ mã cỡ mẫu và bậc kiểm tra trong tiêu chuẩn này tương ứng với TCVN 7790-1 (ISO 2859-1) và TCVN 8243-1 (ISO 3951-1). |
|||||||
Bảng A.2 – Cỡ mẫu dùng cho chữ mã cỡ mẫu và phương pháp kiểm tra
|
Chữ mã cỡ mẫu |
Phương pháp “s” |
Phương pháp “σ” |
Cỡ mẫu định tính tương ứng trong TCVN 7790-1 (ISO 2859-1) |
|||
|
Kiểm tra thường và ngặt |
Kiểm tra giảm |
Kiểm tra thường và ngặt |
Kiểm tra giảm |
Kiểm tra thường và ngặt |
Kiểm tra giảm |
|
|
B |
3 |
3 |
2 |
2 |
3 |
2 |
|
C |
4 |
3 |
3 |
2 |
5 |
2 |
|
D |
6 |
3 |
4 |
2 |
8 |
3 |
|
E |
9 |
4 |
6 |
3 |
13 |
5 |
|
F |
13 |
6 |
8 |
4 |
20 |
8 |
|
G |
18 |
9 |
10 |
6 |
32 |
13 |
|
H |
25 |
13 |
12 |
8 |
50 |
20 |
|
J |
35 |
18 |
15 |
10 |
80 |
32 |
|
K |
50 |
25 |
18 |
12 |
125 |
50 |
|
L |
70 |
35 |
21 |
15 |
200 |
80 |
|
M |
95 |
50 |
25 |
18 |
315 |
125 |
|
N |
125 |
70 |
32 |
21 |
500 |
200 |
|
P |
160 |
95 |
40 |
25 |
800 |
315 |
|
Q |
200 |
125 |
50 |
32 |
1250 |
500 |
|
R |
250 |
160 |
65 |
40 |
2000 |
800 |
|
CHÚ THÍCH: Chữ mã cỡ mẫu và bậc kiểm tra trong tiêu chuẩn này tương ứng với TCVN 7790-1 (ISO 2859-1) và TCVN 8243-1 (ISO 3951-1). |
||||||
Phụ lục B
(quy định)
Phương án lấy mẫu một lần dạng k dùng cho phương pháp “s”
Bảng B.1 – Phương án lấy mẫu một lần dạng k dùng cho kiểm tra thường (bảng tổng thể): phương pháp “s”

Bảng B.2 – Phương án lấy mẫu một lần dạng k dùng cho kiểm tra ngặt (bảng tổng thể): phương pháp “s”

Bảng B.3 – Phương án lấy mẫu một lần dạng k dùng cho kiểm tra giảm (bảng tổng thể): phương pháp “s”

Phụ lục C
(quy định)
Phương án lấy mẫu một lần dạng k dùng cho phương pháp “σ”
Bảng C.1 – Phương án lấy mẫu một lần dạng k dùng cho kiểm tra thường (bảng tổng thể): phương pháp “σ”

Bảng C.2 – Phương án lấy mẫu một lần dạng k dùng cho kiểm tra ngặt (bảng tổng thể): phương pháp “σ”

Bảng C.3 – Phương án lấy mẫu một lần dạng k dùng cho kiểm tra giảm (bảng tổng thể): phương pháp “σ”

Phụ lục D
(quy định)
Giá trị của fs dùng cho độ lệch chuẩn lớn nhất của mẫu (MSSD)
Bảng D.1 đến D.3 cung cấp giá trị của fs dùng cho độ lệch chuẩn lớn nhất của mẫu.
Bảng D.1 – Giá trị của fs dùng cho độ lệch chuẩn lớn nhất của mẫu (MSSD) đối với kiểm soát kết hợp giới hạn quy định hai phía: kiểm tra thường, phương pháp “s”

Bảng D.2 – Giá trị của fs dùng cho độ lệch chuẩn lớn nhất của mẫu (MSSD) đối với kiểm soát kết hợp giới hạn quy định hai phía: kiểm tra ngặt, phương pháp “s”

Bảng D.3 – Giá trị của fs dùng cho độ lệch chuẩn lớn nhất của mẫu (mSSD) đối với kiểm soát kết hợp giới hạn quy định hai phía: kiểm tra giảm, phương pháp “s”

Phụ lục E
(quy định)
Giá trị của fσ dùng cho độ lệch chuẩn quá trình
Bảng E.1 – Giá trị của fσ dùng cho độ lệch chuẩn lớn nhất của quá trình đối với kiểm soát kết hợp giới hạn quy định hai phía: phương pháp “σ”
|
Giới hạn chất lượng chấp nhận |
fσ |
|
0,010 |
0,125 |
|
0,015 |
0,129 |
|
0,025 |
0,132 |
|
0,040 |
0,137 |
|
0,065 |
0,141 |
|
0,10 |
0,147 |
|
0,15 |
0,152 |
|
0,25 |
0,157 |
|
0,40 |
0,165 |
|
0,65 |
0,174 |
|
1,0 |
0,184 |
|
1,5 |
0,194 |
|
2,5 |
0,206 |
|
4,0 |
0,223 |
|
6,5 |
0,243 |
|
10,0 |
0,271 |
CHÚ THÍCH: MPSD thu được bằng cách nhân MPSD fσ chuẩn với hiệu của giới hạn quy định trên U và giới hạn quy định dưới L, nghĩa là MPSD = (U – L)fσ.
MPSD chỉ ra biên độ lớn nhất cho phép của độ lệch chuẩn quá trình khi sử dụng các phương án kiểm soát kết hợp giới hạn quy định hai phía trong trường hợp đã biết độ biến động của quá trình. Nếu độ lệch chuẩn quá trình nhỏ hơn MPSD thì có khả năng lô được chấp nhận, nhưng không chắc chắn.
Bảng E.2 – Giá trị fσ đối với độ lệch chuẩn lớn nhất của quá trình (MPSD) dùng cho kiểm soát riêng giới hạn quy định hai phía: phương pháp “σ”
|
AQL % (giới hạn dưới) |
Giới hạn chất lượng chấp nhận theo phần trăm không phù hợp (giới hạn trên) |
|||||||||||||||
|
0,010 |
0,015 |
0,025 |
0,040 |
0,065 |
0,10 |
0,15 |
0,25 |
0,40 |
0,65 |
1,0 |
1,5 |
2,5 |
4,0 |
6,5 |
10,0 |
|
|
fσ |
fσ |
fσ |
fσ |
fσ |
fσ |
fσ |
fσ |
fσ |
fσ |
fσ |
fσ |
fσ |
fσ |
fσ |
fσ |
|
|
0,010 |
0,131 |
0,133 |
0,134 |
0,137 |
0,139 |
0,142 |
0,145 |
0,147 |
0,151 |
0,154 |
0,158 |
0,163 |
0,167 |
0,173 |
0,179 |
0,187 |
|
0,015 |
0,133 |
0,134 |
0,136 |
0,139 |
0,141 |
0,144 |
0,147 |
0,150 |
0,153 |
0,157 |
0,161 |
0,165 |
0,170 |
0,176 |
0,183 |
0,191 |
|
0,025 |
0,134 |
0,136 |
0,138 |
0,141 |
0,144 |
0,146 |
0,149 |
0,152 |
0,156 |
0,160 |
0,164 |
0,168 |
0,173 |
0,179 |
0,186 |
0,195 |
|
0,040 |
0,137 |
0,139 |
0,141 |
0,144 |
0,146 |
0,149 |
0,152 |
0,155 |
0,159 |
0,163 |
0,168 |
0,172 |
0,177 |
0,184 |
0,191 |
0,200 |
|
0,065 |
0,139 |
0,141 |
0,144 |
0,146 |
0,149 |
0,152 |
0,155 |
0,158 |
0,162 |
0,167 |
0,171 |
0,176 |
0,181 |
0,188 |
0,196 |
0,205 |
|
0,10 |
0,142 |
0,144 |
0,146 |
0,149 |
0,152 |
0,155 |
0,159 |
0,162 |
0,166 |
0,170 |
0,175 |
0,180 |
0,186 |
0,193 |
0,201 |
0,211 |
|
0,15 |
0,145 |
0,147 |
0,149 |
0,152 |
0,155 |
0,159 |
0,162 |
0,165 |
0,170 |
0,174 |
0,179 |
0,185 |
0,190 |
0,198 |
0,207 |
0,217 |
|
0,25 |
0,147 |
0,150 |
0,152 |
0,155 |
0,158 |
0,162 |
0,165 |
0,168 |
0,173 |
0,178 |
0,183 |
0,189 |
0,195 |
0,203 |
0,212 |
0,223 |
|
0,40 |
0,151 |
0,153 |
0,156 |
0,159 |
0,162 |
0,166 |
0,170 |
0,173 |
0,178 |
0,183 |
0,189 |
0,195 |
0,201 |
0,210 |
0,219 |
0,231 |
|
0,65 |
0,154 |
0,157 |
0,160 |
0,163 |
0,167 |
0,170 |
0,174 |
0,178 |
0,183 |
0,189 |
0,195 |
0,201 |
0,207 |
0,217 |
0,227 |
0,240 |
|
1,0 |
0,158 |
0,161 |
0,164 |
0,168 |
0,171 |
0,175 |
0,179 |
0,183 |
0,189 |
0,195 |
0,201 |
0,208 |
0,215 |
0,225 |
0,236 |
0,250 |
|
1,5 |
0,163 |
0,165 |
0,168 |
0,172 |
0,176 |
0,180 |
0,185 |
0,189 |
0,195 |
0,201 |
0,208 |
0,215 |
0,222 |
0,233 |
0,245 |
0,260 |
|
2,5 |
0,167 |
0,170 |
0,173 |
0,177 |
0,181 |
0,186 |
0,190 |
0,195 |
0,201 |
0,207 |
0,215 |
0,222 |
0,230 |
0,242 |
0,255 |
0,271 |
|
4,0 |
0,173 |
0,176 |
0,179 |
0,184 |
0,188 |
0,193 |
0,198 |
0,203 |
0,210 |
0,217 |
0,225 |
0,233 |
0,242 |
0,255 |
0,269 |
0,288 |
|
6,5 |
0,179 |
0,183 |
0,186 |
0,191 |
0,196 |
0,201 |
0,207 |
0,212 |
0,219 |
0,227 |
0,236 |
0,245 |
0,255 |
0,269 |
0,286 |
0,306 |
|
10,0 |
0,187 |
0,191 |
0,195 |
0,200 |
0,205 |
0,211 |
0,217 |
0,223 |
0,231 |
0,240 |
0,250 |
0,260 |
0,271 |
0,288 |
0,306 |
0,330 |
|
CHÚ THÍCH: MPSD thu được bằng cách nhân MPSD fσ chuẩn với hiệu của giới hạn quy định trên U và giới hạn quy định dưới L, nghĩa là MPSD = σmax = (U – L)fσ. Các MPSD chỉ ra biên độ lớn nhất cho phép của độ lệch chuẩn của quá trình khi sử dụng các phương án kiểm soát riêng hai giới hạn quy định trong trường hợp chưa biết độ lệch chuẩn của quá trình. Nếu độ lệch chuẩn của quá trình nhỏ hơn MPSD thì có khả năng lô sẽ được chấp nhận, nhưng không chắc chắn. |
||||||||||||||||
Bảng E.3 – Giá trị fσ đối với độ lệch chuẩn lớn nhất của quá trình (MPSD) dùng cho kiểm soát phức hợp giới hạn quy định hai phía: phương pháp “σ”
|
AQL % (một giới hạn) |
Giới hạn chất lượng chấp nhận theo phần trăm không phù hợp (phối hợp cả hai giới hạn) |
||||||||||||||
|
0,015 |
0,025 |
0,040 |
0,065 |
0,10 |
0,15 |
0,25 |
0,40 |
0,65 |
1,0 |
1,5 |
2,5 |
4,0 |
6,5 |
10,0 |
|
|
fσ |
fσ |
fσ |
fσ |
fσ |
fσ |
fσ |
fσ |
fσ |
fσ |
fσ |
fσ |
fσ |
fσ |
fσ |
|
|
0,010 |
0,129 |
0,132 |
0,135 |
0,138 |
0,141 |
0,144 |
0,147 |
0,151 |
0,154 |
0,158 |
0,162 |
0,167 |
0,173 |
0,179 |
0,187 |
|
0,015 |
|
0,132 |
0,136 |
0,140 |
0,143 |
0,146 |
0,149 |
0,153 |
0,157 |
0,161 |
0,165 |
0,170 |
0,176 |
0,183 |
0,191 |
|
0,025 |
|
|
0,137 |
0,141 |
0,145 |
0,148 |
0,151 |
0,155 |
0,159 |
0,164 |
0,168 |
0,173 |
0,179 |
0,186 |
0,195 |
|
0,040 |
|
|
|
0,141 |
0,146 |
0,150 |
0,154 |
0,158 |
0,162 |
0,167 |
0,172 |
0,177 |
0,184 |
0,191 |
0,200 |
|
0,065 |
|
|
|
|
0,147 |
0,152 |
0,156 |
0,161 |
0,166 |
0,171 |
0,176 |
0,181 |
0,188 |
0,196 |
0,205 |
|
0,10 |
|
|
|
|
|
0,152 |
0,157 |
0,163 |
0,169 |
0,174 |
0,180 |
0,185 |
0,193 |
0,201 |
0,211 |
|
0,15 |
|
|
|
|
|
|
0,157 |
0,165 |
0,171 |
0,178 |
0,183 |
0,189 |
0,197 |
0,206 |
0,217 |
|
0,25 |
|
|
|
|
|
|
|
0,165 |
0,173 |
0,180 |
0,187 |
0,193 |
0,202 |
0,211 |
0,223 |
|
0,40 |
|
|
|
|
|
|
|
|
0,174 |
0,183 |
0,191 |
0,198 |
0,208 |
0,218 |
0,230 |
|
0,65 |
|
|
|
|
|
|
|
|
|
0,184 |
0,194 |
0,202 |
0,213 |
0,225 |
0,238 |
|
1,0 |
|
|
|
|
|
|
|
|
|
|
0,194 |
0,205 |
0,219 |
0,232 |
0,247 |
|
1,5 |
|
|
|
|
|
|
|
|
|
|
|
0,206 |
0,222 |
0,238 |
0,255 |
|
2,5 |
|
|
|
|
|
|
|
|
|
|
|
|
0,223 |
0,242 |
0,262 |
|
4,0 |
|
|
|
|
|
|
|
|
|
|
|
|
|
0,243 |
0,269 |
|
6,5 |
|
|
|
|
|
|
|
|
|
|
|
|
|
|
0,271 |
|
CHÚ THÍCH: MPSD thu được bằng cách nhân MPSD fσ chuẩn với hiệu của giới hạn quy định trên U và giới hạn quy định dưới L, nghĩa là MPSD = σmax = (U – L)fσ. Các MPSD chỉ ra biên độ lớn nhất cho phép của độ lệch chuẩn của quá trình khi sử dụng các phương án kiểm soát phức hợp hai giới hạn quy định trong trường hợp đã biết độ lệch chuẩn của quá trình. Nếu độ lệch chuẩn của quá trình nhỏ hơn MPSD thì có khả năng lô sẽ được chấp nhận, nhưng không chắc chắn. |
|||||||||||||||
Phụ lục F
(quy định)
Ước lượng tỷ lệ không phù hợp của quá trình đối với cỡ mẫu 3: phương pháp “s”
Bảng F.1 – Tỷ lệ không phù hợp ước lượng của quá trình,
, là hàm số của thống kê chất lượng Q
|
Hai chữ số thập phân đầu tiên của
|
Chữ số thập phân thứ ba của |
|||||||||
|
0,000 |
0,001 |
0,002 |
0,003 |
0,004 |
0,005 |
0,006 |
0,007 |
0,008 |
0,009 |
|
|
|
|
|
|
|
|
|
|
|
|
|
|
0,00 |
0,5000 |
0,4997 |
0,4994 |
0,4990 |
0,4987 |
0,4984 |
0,4981 |
0,4978 |
0,4975 |
0,4971 |
|
0,01 |
0,4968 |
0,4965 |
0,4962 |
0,4959 |
0,4955 |
0,4952 |
0,4949 |
0,4946 |
0,4943 |
0,4940 |
|
0,02 |
0,4936 |
0,4933 |
0,4930 |
0,4927 |
0,4924 |
0,4920 |
0,4917 |
0,4914 |
0,4911 |
0,4908 |
|
0,03 |
0,4904 |
0,4901 |
0,4898 |
0,4895 |
0,4892 |
0,4889 |
0,4885 |
0,4882 |
0,4879 |
0,4876 |
|
0,04 |
0,4873 |
0,4869 |
0,4866 |
0,4863 |
0,4860 |
0,4857 |
0,4854 |
0,4850 |
0,4847 |
0,4844 |
|
0,05 |
0,4841 |
0,4838 |
0,4834 |
0,4831 |
0,4828 |
0,4825 |
0,4822 |
0,4818 |
0,4815 |
0,4812 |
|
0,06 |
0,4809 |
0,4806 |
0,4803 |
0,4799 |
0,4796 |
0,4793 |
0,4790 |
0,4787 |
0,4783 |
0,4780 |
|
0,07 |
0,4777 |
0,4774 |
0,4771 |
0,4767 |
0,4764 |
0,4761 |
0,4758 |
0,4755 |
0,4751 |
0,4748 |
|
0,08 |
0,4745 |
0,4742 |
0,4739 |
0,4735 |
0,4732 |
0,4729 |
0,4726 |
0,4723 |
0,4720 |
0,4716 |
|
0,09 |
0,4713 |
0,4710 |
0,4707 |
0,4704 |
0,4700 |
0,4697 |
0,4694 |
0,4691 |
0,4688 |
0,4684 |
|
0,10 |
0,4681 |
0,4678 |
0,4675 |
0,4672 |
0,4668 |
0,4665 |
0,4662 |
0,4659 |
0,4656 |
0,4652 |
|
0,11 |
0,4649 |
0,4646 |
0,4643 |
0,4640 |
0,4636 |
0,4633 |
0,4630 |
0,4627 |
0,4624 |
0,4620 |
|
0,12 |
0,4617 |
0,4614 |
0,4611 |
0,4607 |
0,4604 |
0,4601 |
0,4598 |
0,4595 |
0,4591 |
0,4588 |
|
0,13 |
0,4585 |
0,4582 |
0,4579 |
0,4575 |
0,4572 |
0,4569 |
0,4566 |
0,4563 |
0,4559 |
0,4556 |
|
0,14 |
0,4553 |
0,4550 |
0,4546 |
0,4543 |
0,4540 |
0,4537 |
0,4534 |
0,4530 |
0,4527 |
0,4524 |
|
0,15 |
0,4521 |
0,4518 |
0,4514 |
0,4511 |
0,4508 |
0,4505 |
0,4501 |
0,4498 |
0,4495 |
0,4492 |
|
0,16 |
0,4489 |
0,4485 |
0,4482 |
0,4479 |
0,4476 |
0,4472 |
0,4469 |
0,4466 |
0,4463 |
0,4459 |
|
0,17 |
0,4456 |
0,4453 |
0,4450 |
0,4447 |
0,4443 |
0,4440 |
0,4437 |
0,4434 |
0,4430 |
0,4427 |
|
0,18 |
0,4424 |
0,4421 |
0,4417 |
0,4414 |
0,4411 |
0,4408 |
0,4404 |
0,4401 |
0,4398 |
0,4395 |
|
0,19 |
0,4392 |
0,4388 |
0,4385 |
0,4382 |
0,4379 |
0,4375 |
0,4372 |
0,4369 |
0,4366 |
0,4362 |
|
0,20 |
0,4359 |
0,4356 |
0,4353 |
0,4349 |
0,4346 |
0,4343 |
0,4340 |
0,4336 |
0,4333 |
0,4330 |
|
0,21 |
0,4327 |
0,4323 |
0,4320 |
0,4317 |
0,4314 |
0,4310 |
0,4307 |
0,4304 |
0,4300 |
0,4297 |
|
0,22 |
0,4294 |
0,4291 |
0,4287 |
0,4284 |
0,4281 |
0,4278 |
0,4274 |
0,4271 |
0,4268 |
0,4265 |
|
0,23 |
0,4261 |
0,4258 |
0,4255 |
0,4251 |
0,4248 |
0,4245 |
0,4242 |
0,4238 |
0,4235 |
0,4232 |
|
0,24 |
0,4229 |
0,4225 |
0,4222 |
0,4219 |
0,4215 |
0,4212 |
0,4209 |
0,4206 |
0,4202 |
0,4199 |
|
0,25 |
0,4196 |
0,4192 |
0,4189 |
0,4186 |
0,4183 |
0,4179 |
0,4176 |
0,4173 |
0,4169 |
0,4166 |
|
0,26 |
0,4163 |
0,4159 |
0,4156 |
0,4153 |
0,4150 |
0,4146 |
0,4143 |
0,4140 |
0,4136 |
0,4133 |
|
0,27 |
0,4130 |
0,4126 |
0,4123 |
0,4120 |
0,4117 |
0,4113 |
0,4110 |
0,4107 |
0,4103 |
0,4100 |
|
0,28 |
0,4097 |
0,4093 |
0,4090 |
0,4087 |
0,4083 |
0,4080 |
0,4077 |
0,4073 |
0,4070 |
0,4067 |
|
0,29 |
0,4063 |
0,4060 |
0,4057 |
0,4053 |
0,4050 |
0,4047 |
0,4043 |
0,4040 |
0,4037 |
0,4033 |
|
0,30 |
0,4030 |
0,4027 |
0,4023 |
0,4020 |
0,4017 |
0,4013 |
0,4010 |
0,4007 |
0,4003 |
0,4000 |
Bảng F.1 (tiếp theo)
|
Hai chữ số thập phân đầu tiên của |
Chữ số thập phân thứ ba của |
|||||||||
|
0,000 |
0,001 |
0,002 |
0,003 |
0,004 |
0,005 |
0,006 |
0,007 |
0,008 |
0,009 |
|
|
|
|
|
|
|
|
|
|
|
|
|
|
0,31 |
0,3997 |
0,3993 |
0,3990 |
0,3987 |
0,3983 |
0,3980 |
0,3977 |
0,3973 |
0,3970 |
0,3967 |
|
0,32 |
0,3963 |
0,3960 |
0,3956 |
0,3953 |
0,3950 |
0,3946 |
0,3943 |
0,3940 |
0,3936 |
0,3933 |
|
0,33 |
0,3930 |
0,3926 |
0,3923 |
0,3919 |
0,3916 |
0,3913 |
0,3909 |
0,3906 |
0,3902 |
0,3899 |
|
0,34 |
0,3896 |
0,3892 |
0,3889 |
0,3886 |
0,3882 |
0,3879 |
0,3875 |
0,3872 |
0,3869 |
0,3865 |
|
0,35 |
0,3862 |
0,3858 |
0,3855 |
0,3852 |
0,3848 |
0,3845 |
0,3841 |
0,3838 |
0,3835 |
0,3831 |
|
0,36 |
0,3828 |
0,3824 |
0,3821 |
0,3818 |
0,3814 |
0,3811 |
0,3807 |
0,3804 |
0,3800 |
0,3797 |
|
0,37 |
0,3794 |
0,3790 |
0,3787 |
0,3783 |
0,3780 |
0,3776 |
0,3773 |
0,3770 |
0,3766 |
0,3763 |
|
0,38 |
0,3759 |
0,3756 |
0,3752 |
0,3749 |
0,3745 |
0,3742 |
0,3739 |
0,3735 |
0,3732 |
0,3728 |
|
0,39 |
0,3725 |
0,3721 |
0,3718 |
0,3714 |
0,3711 |
0,3707 |
0,3704 |
0,3701 |
0,3697 |
0,3694 |
|
0,40 |
0,3690 |
0,3687 |
0,3683 |
0,368 |
0,3676 |
0,3673 |
0,3669 |
0,3666 |
0,3662 |
0,3659 |
|
0,41 |
0,3655 |
0,3652 |
0,3648 |
0,3645 |
0,3641 |
0,3638 |
0,3634 |
0,3631 |
0,3627 |
0,3624 |
|
0,42 |
0,3620 |
0,3617 |
0,3613 |
0,3610 |
0,3606 |
0,3603 |
0,3599 |
0,3596 |
0,3592 |
0,3589 |
|
0,43 |
0,3585 |
0,3582 |
0,3578 |
0,3575 |
0,3571 |
0,3567 |
0,3564 |
0,356 |
0,3557 |
0,3553 |
|
0,44 |
0,3550 |
0,3546 |
0,3543 |
0,3539 |
0,3536 |
0,3532 |
0,3528 |
0,3525 |
0,3521 |
0,3518 |
|
0,45 |
0,3514 |
0,3511 |
0,3507 |
0,3504 |
0,3500 |
0,3496 |
0,3493 |
0,3489 |
0,3486 |
0,3482 |
|
0,46 |
0,3478 |
0,3475 |
0,3471 |
0,3468 |
0,3464 |
0,3461 |
0,3457 |
0,3453 |
0,3450 |
0,3446 |
|
0,47 |
0,3443 |
0,3439 |
0,3435 |
0,3432 |
0,3428 |
0,3424 |
0,3421 |
0,3417 |
0,3414 |
0,3410 |
|
0,48 |
0,3406 |
0,3403 |
0,3399 |
0,3395 |
0,3392 |
0,3388 |
0,3385 |
0,3381 |
0,3377 |
0,3374 |
|
0,49 |
0,3370 |
0,3366 |
0,3363 |
0,3359 |
0,3355 |
0,3352 |
0,3348 |
0,3344 |
0,3341 |
0,3337 |
|
0,50 |
0,3333 |
0,3330 |
0,3326 |
0,3322 |
0,3319 |
0,3315 |
0,3311 |
0,3308 |
0,3304 |
0,3300 |
|
0,51 |
0,3296 |
0,3293 |
0,3289 |
0,3285 |
0,3282 |
0,3278 |
0,3274 |
0,3270 |
0,3267 |
0,3263 |
|
0,52 |
0,3259 |
0,3256 |
0,3252 |
0,3248 |
0,3244 |
0,3241 |
0,3237 |
0,3233 |
0,3229 |
0,3226 |
|
0,53 |
0,3222 |
0,3218 |
0,3214 |
0,3211 |
0,3207 |
0,3203 |
0,3199 |
0,3196 |
0,3192 |
0,3188 |
|
0,54 |
0,3184 |
0,3180 |
0,3177 |
0,3173 |
0,3169 |
0,3165 |
0,3161 |
0,3158 |
0,3154 |
0,3150 |
|
0,55 |
0,3146 |
0,3142 |
0,3139 |
0,3135 |
0,3131 |
0,3127 |
0,3123 |
0,3120 |
0,3116 |
0,3112 |
|
0,56 |
0,3108 |
0,3104 |
0,3100 |
0,3096 |
0,3093 |
0,3089 |
0,3085 |
0,3081 |
0,3077 |
0,3073 |
|
0,57 |
0,3069 |
0,3066 |
0,3062 |
0,3058 |
0,3054 |
0,3050 |
0,3046 |
0,3042 |
0,3038 |
0,3034 |
|
0,58 |
0,3031 |
0,3027 |
0,3023 |
0,3019 |
0,3015 |
0,3011 |
0,3007 |
0,3003 |
0,2999 |
0,2995 |
|
0,59 |
0,2991 |
0,2987 |
0,2983 |
0,2979 |
0,2975 |
0,2972 |
0,2968 |
0,2964 |
0,2960 |
0,2956 |
|
0,60 |
0,2952 |
0,2948 |
0,2944 |
0,2940 |
0,2936 |
0,2932 |
0,2928 |
0,2924 |
0,2920 |
0,2916 |
|
0,61 |
0,2912 |
0,2908 |
0,2904 |
0,2900 |
0,2896 |
0,2892 |
0,2888 |
0,2883 |
0,2879 |
0,2875 |
|
0,62 |
0,2871 |
0,2867 |
0,2863 |
0,2859 |
0,2855 |
0,2851 |
0,2847 |
0,2843 |
0,2839 |
0,2835 |
|
0,63 |
0,2831 |
0,2826 |
0,2822 |
0,2818 |
0,2814 |
0,2810 |
0,2806 |
0,2802 |
0,2798 |
0,2793 |
|
0,64 |
0,2789 |
0,2785 |
0,2781 |
0,2777 |
0,2773 |
0,2769 |
0,2764 |
0,2760 |
0,2756 |
0,2752 |
|
0,65 |
0,2748 |
0,2743 |
0,2739 |
0,2735 |
0,2731 |
0,2727 |
0,2722 |
0,2718 |
0,2714 |
0,2710 |
|
0,66 |
0,2706 |
0,2701 |
0,2697 |
0,2693 |
0,2689 |
0,2684 |
0,2680 |
0,2676 |
0,2672 |
0,2667 |
|
0,67 |
0,2663 |
0,2659 |
0,2654 |
0,2650 |
0,2646 |
0,2641 |
0,2637 |
0,2633 |
0,2628 |
0,2624 |
|
0,68 |
0,2620 |
0,2615 |
0,2611 |
0,2607 |
0,2602 |
0,2598 |
0,2594 |
0,2589 |
0,2585 |
0,2580 |
|
0,69 |
0,2576 |
0,2572 |
0,2567 |
0,2563 |
0,2558 |
0,2554 |
0,2550 |
0,2545 |
0,2541 |
0,2536 |
|
0,70 |
0,2532 |
0,2527 |
0,2523 |
0,2518 |
0,2514 |
0,2509 |
0,2505 |
0,2500 |
0,2496 |
0,2491 |
Bảng F.1 (kết thúc)
|
Hai chữ số thập phân đầu tiên của |
Chữ số thập phân thứ ba của |
|||||||||
|
0,000 |
0,001 |
0,002 |
0,003 |
0,004 |
0,005 |
0,006 |
0,007 |
0,008 |
0,009 |
|
|
|
|
|
|
|
|
|
|
|
|
|
|
0,71 |
0,2487 |
0,2482 |
0,2478 |
0,2473 |
0,2469 |
0,2464 |
0,2460 |
0,2455 |
0,2451 |
0,2446 |
|
0,72 |
0,2441 |
0,2437 |
0,2432 |
0,2428 |
0,2423 |
0,2418 |
0,2414 |
0,2409 |
0,2405 |
0,2400 |
|
0,73 |
0,2395 |
0,2391 |
0,2386 |
0,2381 |
0,2377 |
0,2372 |
0,2367 |
0,2362 |
0,2358 |
0,2353 |
|
0,74 |
0,2348 |
0,2344 |
0,2339 |
0,2334 |
0,2329 |
0,2324 |
0,2320 |
0,2315 |
0,2310 |
0,2305 |
|
0,75 |
0,2301 |
0,2296 |
0,2291 |
0,2286 |
0,2281 |
0,2276 |
0,2272 |
0,2267 |
0,2262 |
0,2257 |
|
0,76 |
0,2252 |
0,2247 |
0,2242 |
0,2237 |
0,2232 |
0,2227 |
0,2222 |
0,2217 |
0,2213 |
0,2208 |
|
0,77 |
0,2203 |
0,2198 |
0,2193 |
0,2188 |
0,2183 |
0,2177 |
0,2172 |
0,2167 |
0,2162 |
0,2157 |
|
0,78 |
0,2152 |
0,2147 |
0,2142 |
0,2137 |
0,2132 |
0,2127 |
0,2121 |
0,2116 |
0,2111 |
0,2106 |
|
0,79 |
0,2101 |
0,2096 |
0,2090 |
0,2085 |
0,2080 |
0,2075 |
0,2069 |
0,2064 |
0,2059 |
0,2054 |
|
0,80 |
0,2048 |
0,2043 |
0,2038 |
0,2032 |
0,2027 |
0,2022 |
0,2016 |
0,2011 |
0,2006 |
0,2000 |
|
0,81 |
0,1995 |
0,1989 |
0,1984 |
0,1978 |
0,1973 |
0,1967 |
0,1962 |
0,1956 |
0,1951 |
0,1945 |
|
0,82 |
0,1940 |
0,1934 |
0,1929 |
0,1923 |
0,1917 |
0,1912 |
0,1906 |
0,1900 |
0,1895 |
0,1889 |
|
0,83 |
0,1883 |
0,1878 |
0,1872 |
0,1866 |
0,1860 |
0,1855 |
0,1849 |
0,1843 |
0,1837 |
0,1831 |
|
0,84 |
0,1826 |
0,1820 |
0,1814 |
0,1808 |
0,1802 |
0,1796 |
0,1790 |
0,1784 |
0,1778 |
0,1772 |
|
0,85 |
0,1766 |
0,1760 |
0,1754 |
0,1748 |
0,1742 |
0,1736 |
0,1729 |
0,1723 |
0,1717 |
0,1711 |
|
0,86 |
0,1705 |
0,1698 |
0,1692 |
0,1686 |
0,1680 |
0,1673 |
0,1667 |
0,1660 |
0,1654 |
0,1648 |
|
0,87 |
0,1641 |
0,1635 |
0,1628 |
0,1622 |
0,1615 |
0,1609 |
0,1602 |
0,1595 |
0,1589 |
0,1582 |
|
0,88 |
0,1575 |
0,1569 |
0,1562 |
0,1555 |
0,1548 |
0,1542 |
0,1535 |
0,1528 |
0,1521 |
0,1514 |
|
0,89 |
0,1507 |
0,1500 |
0,1493 |
0,1486 |
0,1479 |
0,1472 |
0,1465 |
0,1457 |
0,1450 |
0,1443 |
|
0,90 |
0,1436 |
0,1428 |
0,1421 |
0,1414 |
0,1406 |
0,1399 |
0,1391 |
0,1384 |
0,1376 |
0,1368 |
|
0,91 |
0,1361 |
0,1353 |
0,1345 |
0,1338 |
0,1330 |
0,1322 |
0,1314 |
0,1306 |
0,1298 |
0,1290 |
|
0,92 |
0,1282 |
0,1274 |
0,1266 |
0,1257 |
0,1249 |
0,1241 |
0,1232 |
0,1224 |
0,1215 |
0,1207 |
|
0,93 |
0,1198 |
0,1189 |
0,1181 |
0,1172 |
0,1163 |
0,1154 |
0,1145 |
0,1136 |
0,1127 |
0,1118 |
|
0,94 |
0,1108 |
0,1099 |
0,1089 |
0,1080 |
0,1070 |
0,1061 |
0,1051 |
0,1041 |
0,1031 |
0,1021 |
|
0,95 |
0,1011 |
0,1001 |
0,0990 |
0,0980 |
0,0969 |
0,0959 |
0,0948 |
0,0937 |
0,0926 |
0,0915 |
|
0,96 |
0,0903 |
0,0892 |
0,0880 |
0,0869 |
0,0857 |
0,0845 |
0,0832 |
0,0820 |
0,0807 |
0,0795 |
|
0,97 |
0,0782 |
0,0768 |
0,0755 |
0,0741 |
0,0727 |
0,0713 |
0,0699 |
0,0684 |
0,0669 |
0,0653 |
|
0,98 |
0,0638 |
0,0621 |
0,0605 |
0,0588 |
0,0570 |
0,0552 |
0,0533 |
0,0514 |
0,0494 |
0,0473 |
|
0,99 |
0,0451 |
0,0427 |
0,0403 |
0,0377 |
0,0349 |
0,0318 |
0,0285 |
0,0247 |
0,0201 |
0,0142 |
|
1,00 |
0,0000 |
0,0000 |
0,0000 |
0,0000 |
0,0000 |
0,0000 |
0,0000 |
0,0000 |
0,0000 |
0,0000 |
|
CHÚ THÍCH: Đối với giá trị Q âm, lấy giá trị tuyệt đối của |
||||||||||
Phụ lục G
(quy định)
Phương án lấy mẫu một lần dạng p*
Bảng G.1 – Phương án lấy mẫu dạng p* đối với kiểm tra thường (bảng tổng thể): phương pháp “s” và phương pháp “σ”

Bảng G.2 – Phương án lấy mẫu dạng p* đối với kiểm tra ngặt (bảng tổng thể): phương pháp “s” và phương pháp “σ”

Bảng G.3 – Phương án lấy mẫu dạng p* đối với kiểm tra giảm (bảng tổng thể): phương pháp “s” và phương pháp “σ”

Phụ lục H
(quy định)
Giá trị của cU đối với giới hạn kiểm soát trên của độ lệch chuẩn mẫu
Bảng H.1 – Giá trị cU đối với giới hạn trên của độ lệch chuẩn mẫu
|
Cỡ mẫu n |
Hệ số cU |
Cỡ mẫu n |
Hệ số cU |
Cỡ mẫu n |
Hệ số cU |
Cỡ mẫu n |
Hệ số cU |
|
2 |
2,800 |
10 |
1,617 |
25 |
1,377 |
70 |
1,221 |
|
3 |
2,297 |
12 |
1,558 |
32 |
1,331 |
95 |
1,189 |
|
4 |
2,065 |
13 |
1,534 |
35 |
1,316 |
125 |
1,165 |
|
6 |
1,827 |
15 |
1,494 |
40 |
1,295 |
160 |
1,145 |
|
8 |
1,700 |
18 |
1,448 |
50 |
1,263 |
200 |
1,130 |
|
9 |
1,654 |
21 |
1,413 |
65 |
1,230 |
250 |
1,116 |
Phụ lục I
(quy định)
Hằng số chấp nhận bổ sung để xác định đủ điều kiện chuyển sang kiểm tra giảm
Bảng I.1 – Hằng số chấp nhận bổ sung để xác định đủ điều kiện chuyển sang kiểm tra giảm
|
Chữ mã cỡ mẫu |
AQL (%) |
Hằng số chấp nhận dạng k đối với AQL ngặt hơn một bậc |
Hằng số chấp nhận dạng p* đối với AQL ngặt hơn một bậc |
|
|
phương pháp “s” |
phương pháp “σ” |
phương pháp “s” và “σ” |
||
|
k |
k |
100 p* |
||
|
B |
4,0 |
1,118 |
0,991 |
8,047 |
|
C |
2,5 |
1,325 |
1,281 |
5,833 |
|
D |
1,5 |
1,516 |
1,465 |
4,540 |
|
E |
1,0 |
1,740 |
1,739 |
2,840 |
|
F |
0,65 |
1,967 |
1,990 |
1,671 |
|
G |
0,40 |
2,153 |
2,182 |
1,074 |
|
H |
0,25 |
2,350 |
2,378 |
0,6495 |
|
J |
0,15 |
2,503 |
2,526 |
0,4461 |
|
K |
0,10 |
2,678 |
2,694 |
0,2784 |
|
L |
0,065 |
2,856 |
2,866 |
0,1659 |
|
M |
0,040 |
3,002 |
3,008 |
0,1069 |
|
N |
0,025 |
3,157 |
3,167 |
0,06470 |
|
P |
0,015 |
3,272 |
3,282 |
0,04433 |
|
Q |
0,01 |
3,407 |
3,419 |
0,02760 |
|
R |
0,01 |
3,448 |
3,460 |
0,02443 |
Phụ lục J
(quy định)
Quy trình tính s và σ
J.1. Quy trình tính s
J.1.1. Ước lượng từ mẫu cho độ lệch chuẩn của một tổng thể thường được biểu thị bằng kí hiệu s. Giá trị này có thể thu được từ công thức toán học
(J.1)
trong đó
xj là giá trị đặc trưng chất lượng của cá thể thứ j trong mẫu gồm n phần tử, và
là giá trị trung bình của xj, nghĩa là
(J.2)
J.1.2. Công thức tính s trên đây không nên sử dụng cho mục đích tính toán vì nó có xu hướng tạo ra những sai số làm tròn không cần thiết. Một công thức tương đương nhưng tính toán tốt hơn là
(J.3)
J.1.3. Có thể cải thiện thêm công thức này bằng cách trước khi tính toán s, từ tất cả các giá trị xj trừ đi hằng số a phù hợp nào đó, nghĩa là
(J.4)
Công thức này đưa ra kết quả chính xác hơn khi độ biến động rất nhỏ so với trung bình, nghĩa là s rất nhỏ so với
.
J.1.4. Nhiều máy tính bỏ túi có phím chức năng độ lệch chuẩn. Nếu muốn sử dụng chức năng máy tính hoặc chương trình máy tính thì điều quan trọng là cần kiểm tra xem công thức sử dụng trong máy có tương đương với công thức (J.1) hay không, vì đôi khi trong máy phần mẫu số sử dụng cỡ mẫu n thay cho n – 1.
Một cách kiểm tra đơn giản là tìm độ lệch chuẩn của ba số: 0, 1 và 2. Cỡ mẫu n là 3, trung bình mẫu là 1, độ lệch so với trung bình là –1, 0 và 1, bình phương độ lệch là 1, 0 và 1, tổng bình phương độ lệch là 2, do đó từ công thức (J.1), ta có
![]()
Nếu máy tính sử dụng nhầm n thay cho n – 1 ở mẫu số thì kết quả tính sẽ là
= 0,816 5 .
Phải tránh sử dụng n ở mẫu số vì nếu không thì tiêu chí chấp nhận kém hơn và mất AQL bảo vệ người tiêu dùng.
CHÚ THÍCH: Sử dụng công thức (J.3) cho ví dụ này. Ta thấy rằng
giống như trước.6
J.2. Quy trình tính σ
J.2.1. Nếu từ biểu đồ kiểm soát thấy rằng giá trị s đang được kiểm soát, thì có thể giả định σ là căn quân phương có trọng số của s được cho bởi công thức sau:

trong đó
m là số lượng lô
ni là cỡ mẫu từ lô thứ i;
si là độ lệch chuẩn của mẫu từ lô thứ i.
J.2.2. Nếu cỡ mẫu từ mỗi lô bằng nhau thì công thức trên được đơn giản thành

Phụ lục K
(tham khảo)
Ước lượng tỷ lệ không phù hợp của quá trình
K.1. Khái quát
Vì lý do kỹ thuật, hàm ước lượng không chệch có phương sai nhỏ nhất (MVUE) được dùng để ước lượng tỷ lệ không phù hợp của quá trình từ các kết quả của mẫu. Tỷ lệ không phù hợp của quá trình được kí hiệu bằng p và ước lượng kí hiệu là
. Phụ lục này đưa ra công thức chính xác để tính
trong trường hợp chưa biết độ biến động của quá trình (phương pháp “s”) và trường hợp đã biết biến thiên của quá trình (phương pháp “σ”). Do công thức chính xác để tính
trong phương pháp “s” thường đòi hỏi tham chiếu các bảng hoặc phần mềm dùng cho hàm phân bố của phân bố beta đối xứng, công thức gần đúng (K.2) được đưa ra chỉ đòi hỏi tham chiếu bảng phân bố chuẩn chuẩn hóa. Công thức này đủ chính xác cho mục đích thực tiễn đối với cỡ mẫu lớn hơn 4. Theo đó, chi tiết cũng được trình bày để tạo thuận lợi cho việc áp dụng công thức chính xác dùng cho phương pháp “s” với cỡ mẫu 3 và 4.
K.2. Công thức chính xác
K.2.1. Hàm ước lượng MVUE chính xác của p đối với phương pháp “s”
Hàm phân bố của phân bố beta đối xứng được cho bởi công thức
(K.1)
trong đó
B(m, m) = G(m) G (m) / G (2m), với G (m) biểu diễn tích phân gamma đầy đủ, nghĩa là
![]()
Khi đó, công thức chung đối với ước lượng tỷ lệ không phù hợp của quá trình vượt ra ngoài một trong hai giới hạn quy định khi chưa biết độ lệch chuẩn của quá trình là
(K.2)
trong đó
n là cỡ mẫu, và
Q là thống kê chất lượng đối với giới hạn quy định đó.
Do đó, đối với giới hạn quy định dưới

và đối với giới hạn quy định trên

Đối với kiểm soát kết hợp hai giới hạn quy định, tỷ lệ không phù hợp tổng hợp của quá trình được ước lượng bằng tổng hai ước lượng này, nghĩa là ![]()
K.2.2. Ước lượng MVUE chính xác của p đối với phương pháp “σ”
Hàm phân bố của phân bố chuẩn chuẩn hóa được cho bởi
![]()
Khi đó, công thức chung đối với ước lượng tỷ lệ không phù hợp dưới giới hạn quy định dưới khi đã biết độ lệch chuẩn của quá trình là

Trong đó σ là độ lệch chuẩn của quá trình có giá trị giả định là đã biết. Công thức tương ứng đối với giới hạn quy định trên là

Khi có yêu cầu, tỷ lệ không phù hợp tổng hợp của quá trình được ước lượng bằng tổng hai ước lượng này.
K.3. Quy trình gần đúng đối với phương pháp “s” với n ≥ 5
Nếu không có các bảng hoặc phần mềm dùng cho hàm phân bố của phân bố beta đối xứng thì có thể sử dụng quy trình dưới đây để thu được giá trị
gần đúng đối với phương pháp “s” khi cỡ mẫu lớn hơn hoặc bằng 5:
a) tính
và/hoặc
;
b) tính
;
c) tính y = anln[x/(1 – x)], trong đó an được cho trong Bảng K.1 dưới đây;
d) tính w = y2– 3;
e) nếu w ≥ 0, đặt
, trường hợp khác đặt ![]()
Tra trong
các bảng hàm phân bố chuẩn chuẩn hóa.
Bảng K.1 – Giá trị của an
|
Cỡ mẫu, n |
an |
Cỡ mẫu, n |
an |
Cỡ mẫu, n |
an |
|
6 |
0,880496 |
35 |
2,828887 |
160 |
6,265024 |
|
9 |
1,230248 |
50 |
3,428086 |
200 |
7,017865 |
|
13 |
1,583745 |
70 |
4,092828 |
250 |
7,858138 |
|
18 |
1,937919 |
95 |
4,795926 |
|
|
|
25 |
2,346014 |
125 |
5,522742 |
|
|
K.4. Công thức chính xác đơn giản tính ˆ đối với phương pháp “s” với n = 3
Khi n = 3, hàm ước lượng phương pháp “s” là
Lúc này
(K.3)
Lúc này
(K.4)
trong đó
![]()
Viết t = sin2q, phương trình (K.4) trở thành

Do đó, thay phương trình (K.5) vào (K.4),

Đây là đại lượng được lập thành bảng trong Phụ lục F.
K.5. Công thức chính xác đơn giản tính ˆ đối với phương pháp “s” với n = 4
Khi n = 4, hàm ước lượng trở thành
= B1[(1 – 2Q/3)/2 = B1{0,5 – Q/3} (K.6)
Lúc này
(K.7)
trong đó
B(1,1) = G(1)G(1)/G(2) = 1.
do đó, (K.7) được viết thành
(K.8)
Do đó, thay (K.8) vào (K.6)

Phụ lục L
(tham khảo)
Chất lượng ứng với rủi ro của người tiêu dùng
L.1. Đối với phương án lấy mẫu cho trước, chất lượng ứng với rủi ro của người tiêu dùng trong tiêu chuẩn này tại đó xác suất chấp nhận một lô nhất định là 10 %.
L.2. Đối với phương pháp “s” với một giới hạn quy định, chất lượng ứng với rủi ro của người tiêu dùng là nghiệm p của công thức
trong đó
= 0,90
n là cỡ mẫu;
k là hằng số chấp nhận phương pháp “s” dạng k;
Kp là phần (1– p) của phân bố chuẩn chuẩn hóa; và
(.) là hàm phân bố của phân bố t không quy tâm với n – 1 bậc tự do và tham số không quy tâm ![]()
Đối với hằng số chấp nhận phương pháp “s” dạng p*, chất lượng ứng với rủi ro của người tiêu dùng là nghiệm theo p của công thức
= 0,90
trong đó
là phần p* của phân bố beta đối xứng với cả hai tham số bằng (n – 2)/2.
L.3. Chất lượng ứng với rủi ro của người tiêu dùng đối với các phương án theo phương pháp “s” của tiêu chuẩn này được cho trong các Bảng L.1, L.3 và L.5 tương ứng với kiểm tra thường, ngặt và giảm.
L.4. Đối với phương pháp “σ” đơn biến có một giới hạn quy định, chất lượng ứng với rủi ro của người tiêu dùng được cho bởi công thức
![]()
trong đó
n là cỡ mẫu;
k là hằng số chấp nhận theo phương pháp “σ” dạng k; và
Ф (.) là hàm phân bố của phân bố chuẩn chuẩn hóa.
Đối với hằng số chấp nhận phương pháp “σ” dạng p*, chất lượng ứng với rủi ro của người tiêu dùng được cho bởi công thức
![]()
L.5. Chất lượng ứng với rủi ro của người tiêu dùng đối với các phương án theo phương pháp “σ” của tiêu chuẩn này được cho trong các Bảng L.2, L.4 và L.6 tương ứng với kiểm tra thường, ngặt và giảm.
L.6. Chất lượng ứng với rủi ro trong bảng cũng áp dụng gần đúng cho trường hợp hai giới hạn quy định và/hoặc nhiều đặc trưng chất lượng.
Bảng L.1 – Chất lượng ứng với rủi ro của người tiêu dùng (tính bằng phần trăm) đối với kiểm tra thường: phương pháp “s”

Bảng L.2 – Chất lượng ứng với rủi ro của người tiêu dùng (tính bằng phần trăm) đối với kiểm tra thường: phương pháp “σ”

Bảng L.3 – Chất lượng ứng với rủi ro của người tiêu dùng (tính bằng phần trăm) đối với kiểm tra ngặt: phương pháp “s”

Bảng L.4 – Chất lượng ứng với rủi ro của người tiêu dùng (tính bằng phần trăm) đối với kiểm tra ngặt: phương pháp “σ”

Bảng L.5 – Chất lượng ứng với rủi ro của người tiêu dùng (tính bằng phần trăm) đối với kiểm tra giảm: phương pháp “s”

Bảng L.6 – Chất lượng ứng với rủi ro của người tiêu dùng (tính bằng phần trăm) đối với kiểm tra giảm: phương pháp “σ”

Phụ lục M
(tham khảo)
Rủi ro của nhà sản xuất
M.1. Rủi ro của nhà sản xuất là xác suất không chấp nhận một lô cho trước khi tỷ lệ không phù hợp của quá trình bằng AQL, nghĩa là 1 trừ xác suất chấp nhận lô đã cho khi tỷ lệ không phù hợp của quá trình bằng AQL.
M.2. Đối với phương pháp “s” đơn biến, rủi ro của nhà sản xuất được cho bởi công thức
![]()
trong đó
n là cỡ mẫu;
p là AQL biểu thị bằng tỷ lệ không phù hợp;
k là hằng số chấp nhận theo phương pháp “s” dạng k;
Kp là phần (1– p) của phân bố chuẩn chuẩn hóa; và
(.) là hàm phân bố của phân bố t không quy tâm với n – 1 bậc tự do và tham số không quy tâm ![]()
M.3. Rủi ro của nhà sản xuất đối với các phương án theo phương pháp “s” của tiêu chuẩn này được cho trong các Bảng M.1, M.3 và M.5 tương ứng với kiểm tra thường, ngặt và giảm.
M.4. Đối với phương pháp “σ” với một giới hạn quy định, rủi ro của nhà sản xuất được trong bởi công thức
![]()
trong đó
n là cỡ mẫu;
p là AQL biểu thị bằng tỷ lệ không phù hợp;
k là hằng số chấp nhận theo phương pháp “σ” dạng k;
Kp là phần (1– p) của phân bố chuẩn chuẩn hóa; và
(.) là hàm phân bố của phân bố chuẩn chuẩn hóa.
Đối với hằng số chấp nhận phương pháp “σ” dạng p*, rủi ro của nhà sản xuất được trong bởi công thức
![]()
M.5. Rủi ro của nhà sản xuất đối với các phương án theo phương pháp “σ” của tiêu chuẩn này được cho trong các Bảng M.2, M.4 và M.6 tương ứng với kiểm tra thường, ngặt và giảm.
M.6. Rủi ro của nhà sản xuất trong bảng cũng áp dụng gần đúng cho trường hợp hai giới hạn quy định và/hoặc nhiều đặc trưng chất lượng.
Bảng M.1 – Rủi ro của nhà sản xuất (tính bằng phần trăm) đối với kiểm tra thường: phương pháp “s”

Bảng M.2 – Rủi ro của nhà sản xuất (tính bằng phần trăm) đối với kiểm tra thường: phương pháp “σ”

Bảng M.3 – Rủi ro của nhà sản xuất (tính bằng phần trăm) đối với kiểm tra ngặt: phương pháp “s”

Bảng M.4 – Rủi ro của nhà sản xuất (tính bằng phần trăm) đối với kiểm tra ngặt: phương pháp “σ”

Bảng M.5 – Rủi ro của nhà sản xuất (tính bằng phần trăm) đối với kiểm tra giảm: phương pháp “s”

Bảng M.6 – Rủi ro của nhà sản xuất (tính bằng phần trăm) đối với kiểm tra giảm: phương pháp “σ”

Phụ lục N
(tham khảo)
Đặc trưng hiệu quả đối với phương pháp “σ”
N.1. Công thức đối với xác suất chấp nhận
Xác suất chấp nhận lô chính xác đối với một giới hạn quy định tại tỷ lệ không phù hợp của quá trình p được cho bởi công thức
![]()
trong đó
Ф(.) biểu thị hàm phân bố chuẩn chuẩn hóa;
n là cỡ mẫu;
Kp biểu thị phần (1–p) của phân bố chuẩn chuẩn hóa; và
k là hằng số chấp nhận theo phương pháp “σ”.
N.2. Ví dụ
Coi việc tính toán xác suất chấp nhận ở chất lượng của quá trình là 2,5 % không phù hợp đối với phương án theo phương pháp “σ” với AQL 1,0 % và chữ mã cỡ mẫu M trong kiểm tra thường.
Tra Bảng C.1 với chữ mã cỡ mẫu M và AQL 1,0 %, được cỡ mẫu n là 25 và hằng số chấp nhận k là 1,941. Tỷ lệ không phù hợp của quá trình đang xem xét là p = 0,025, từ bảng phân bố chuẩn chuẩn hóa tìm được Kp = 1,960.
Do đó:
= Ф(5 x 0,019) = Ф (0,095)
tra bảng phân bố chuẩn chuẩn hóa được Pa = 0,538.
N.3. So sánh với giá trị trong bảng đối với phương pháp “s”
Có thể thấy rằng xác suất chấp nhận đối với phương pháp “σ” tương đối thống nhất với xác suất chấp nhận tương ứng đối với phương pháp “s”. Từ cột của bảng trong Hình 15 – Biểu đồ M của TCVN 8243 -2 (ISO 3951-1) đối với AQL 1,0 %, có thể thấy được mức chất lượng của quá trình là 2,51 %, nghĩa là p = 0,0251, tương ứng với xác suất chấp nhận 50 %, nghĩa là Pa = 0,50.
THƯ MỤC TÀI LIỆU THAM KHẢO
[1] BAILLIE, D.H. Multivariate acceptance sampling, in Frontiers in Statistical Quality Control 3, eds. Lenz et al, pp. 83-115, Physica-Verlag, Heidelberg, 1987
[2] BAILLIE, D.H., Normal approximations to the distribution function of the symmetric beta distribution, in Frontiers in Statistical Quality Control 5, eds. Lenz et al, pp. 52-65, Physica-Verlag, Heidelberg, 1997
[3] DUNCAN, A. J. Quality Control and Industrial Statistics. Richard D. Irwin, Inc., 1967 (Kiểm tra chất lượng và thống kê trong công nghiệp)
[4] GÖB, R. (2001). Methodological Foundations of Statistical Lot Inspection, pp. 3-24. In: LENZ, H.J. and W ILRICH, P.-Th. [Editors]. Frontiers in Statistical Quality Control 6, Physica-Verlag, Heidelberg; New York (Cơ sở phương pháp luận của kiểm tra thống kê lô)
[5] TCVN 6398-11 (ISO 31-11), Đại lượng và đơn vị– Phần 11: Kí hiệu và dấu hiệu toán học dùng trong khoa học tự nhiên và công nghệ
[6] ISO 2854:1976, Statistical interpretation of data – Techniques of estimation and tests relating to means and variances (Giải thích các dữ liệu thống kê – Kỹ thuật ước lượng và thử liên quan đến trung bình và biến)
[7] ISO 2859-2, Sampling procedures for inspection by attributes – Part 2: Sampling plans indexed by limiting quality (LQ) for isolated lot inspection (Quy trình lấy mẫu để kiểm tra định tính – Phần 2: Phương án lấy mẫu xác định theo chất lượng giới hạn (LQ) để kiểm tra lô riêng biệt)
[8] TCVN 7790-10 ( ISO 2859-10), Quy trình lấy mẫu để kiểm tra định tính – Phần 10: Giới thiệu về bộ TCVN 7790 (ISO 2859) về lấy mẫu để kiểm tra định tính
[9] TCVN 8243-1:2009 (ISO 3951-1:2005), Quy trình lấy mẫu để kiểm tra định lượng – Phần 1: Quy định đối với phương án lấy mẫu một lần xác định theo giới hạn chất lượng chấp nhận (AQL) để kiểm tra từng lô đối với một đặc trưng chất lượng và một AQL
[10] ISO 5479, Statistical interpretation of data – Tests for departure from the normal distribution (Giải thích dữ liệu thống kê – Thử độ sai lệch với phân bố chuẩn)
[11] TCVN 6910-2 (ISO 5725-2), Độ chính xác (độ đúng và độ chụm) của phương pháp đo và kết quả đo – Phần 2: Phương pháp cơ bản xác định độ lặp lại và độ tái lập của phương pháp đo tiêu chuẩn
[12] TCVN 7073 (ISO 7870), Biểu đồ kiểm soát – Hướng dẫn và giới thiệu chung
[13] TCVN 7076 (ISO 8258), Biểu đồ kiểm soát Shewhart
[14] ISO 10576-1:2003, Statistical methods – Guidelines for the evaluation of conformity with specified requirements – Part 1: General principles (Phương pháp thông kê – Hướng dẫn đánh giá sự phù hợp với yêu cầu quy định – Phần 1: Nguyên tắc chung)
[15] MIL-STD-414 Sampling procedures and tables for inspection by variables for percent defective. US Government Printing Office, W ashington D.C, USA, 1957 (no longer extant) (Quy trình lấy mẫu và bảng dùng cho kiểm tra định lượng phần trăm khuyết tật)
[16] MELGAARD, H. and THYREGOD, P. (2001). Acceptance sampling by variables under measurement uncertainty, pp. 47-60. In: LENZ, H.J., and W ILRICH, P.-Th. [Editors]. Frontiers in Statistical Quality Control 6, Physica-Verlag, Heidelberg; New York (Lấy mẫu chấp nhận định lượng theo độ không đảm bảo đo)
[17] PEARSON, E.S. and HARTLEY, H.O. Biometrika Tables for Statisticians, Volumes 1 and 2. Cambridge University Press, 1976 and 1972 (Bảng sinh trắc học dùng cho các nhà thống kê)
[18] PEARSON, K., Tables of the Incomplete Beta Function, 2nd edition. Cambridge University Press, 1968 (Bảng hàm Beta không đầy đủ)
[19] RESNIKOFF, G.J. and LIEBERMAN, G.J. Tables of the Non-Central t-Distribution. Stanford University Press, 1966 (Bảng phân bố t không tập trung).
Các tài liệu khác:
[20] BOWKER, A.H. and GOODE, H. P. Sampling Inspection by Variables, McGraw-Hill, 1952 (Kiểm tra lấy mẫu định lượng)
[21] BOWKER, A.H. and LIEBERMAN, G. J. Engineering Statistics. Prentice-Hall, 1972 (Kỹ thuật thống kê)
[22] Selected techniques of Statistical Analysis. Statistical Research Group, Columbia University, McGraw-Hill, 1947 (Kỹ thuật phân tích thống kê).
MỤC LỤC
Lời nói đầu
Lời giới thiệu
1. Phạm vi áp dụng
2. Tài liệu viện dẫn
3. Thuật ngữ và định nghĩa
4. Kí hiệu
5. Giới hạn chất lượng chấp nhận (AQL)
6. Quy tắc chuyển đổi đối với kiểm tra thường, ngặt và giảm
7. Mối quan hệ với TCVN 7790-1 (ISO 2859-1) và TCVN 8243-1 (ISO 3951-1)
8. Bảo vệ người tiêu dùng
9. Hoạch định
10. Chọn giữa định lượng và định tính
11. Lựa chọn giữa phương pháp “s” và “σ”
12. Lựa chọn bậc kiểm tra và AQL 27
13. Lựa chọn phương án lấy mẫu
14. Công tác chuẩn bị
15. Quy trình phương pháp “s” chuẩn đơn biến
16. Quy trình phương pháp “s” chuẩn đa biến đối với các đặc trưng chất lượng độc lập
17. Quy trình phương pháp “σ” chuẩn đơn biến
18. Quy trình phương pháp “σ” chuẩn đa biến đối với các đặc trưng chất lượng độc lập
19 Quy trình kết hợp phương pháp “s” và “σ” chuẩn đa biến đối với các đặc trưng chất lượng độc lập
20. Quy trình kiểm tra tiếp tục
21. Phân bố chuẩn và giá trị bất thường
22. Hồ sơ
23. Áp dụng các quy tắc chuyển đổi
24. Ngừng và bắt đầu kiểm tra lại
25. Chuyển đổi giữa phương pháp “s” và phương pháp “σ”
Phụ lục A (quy định) Bảng dùng để xác định cỡ mẫu thích hợp
Phụ lục B (quy định) Phương án lấy mẫu một lần dạng k dùng cho phương pháp “s”
Phụ lục C (quy định) Phương án lấy mẫu một lần dạng k dùng cho phương pháp “σ”
Phụ lục D (quy định) Giá trị của fs dùng cho độ lệch chuẩn lớn nhất của mẫu (MSSD)
Phụ lục E (quy định) Giá trị của fσ dùng cho độ lệch chuẩn quá trình
Phụ lục F (quy định) Ước lượng tỷ lệ không phù hợp của quá trình đối với cỡ mẫu 3: phương pháp “s”
Phụ lục G (quy định) Phương án lấy mẫu một lần dạng p*
Phụ lục H (quy định) Giá trị của cU đối với giới hạn kiểm tra trên của độ lệch chuẩn mẫu
Phụ lục I (quy định) Hằng số chấp nhận bổ sung để xác định đủ điều kiện kiểm tra giảm
Phụ lục J (quy định) Quy trình tính s và σ
Phụ lục K (tham khảo) Ước lượng tỷ lệ không phù hợp của quá trình
Phụ lục L (tham khảo) Chất lượng ứng với rủi ro của người tiêu dùng
Phụ lục M (tham khảo) Rủi ro của nhà sản xuất
Phụ lục N (tham khảo) Đặc trưng hiệu quả đối với phương pháp “σ”
Thư mục tài liệu tham khảo










