Tiêu chuẩn Việt Nam TCVN8301:2009

  • Loại văn bản: Tiêu chuẩn Việt Nam
  • Số hiệu: TCVN8301:2009
  • Cơ quan ban hành: ***
  • Người ký: ***
  • Ngày ban hành: ...
  • Ngày hiệu lực: ...
  • Lĩnh vực: Xây dựng
  • Tình trạng: Không xác định
  • Ngày công báo: ...
  • Số công báo: Còn hiệu lực

Nội dung toàn văn Tiêu chuẩn Việt Nam TCVN 8301:2009 về công trình thủy lợi – máy đóng mở kiểu vít – yêu cầu kỹ thuật trong thiết kế, chế tạo, lắp đặt, nghiệm thu


 

TIÊU CHUẨN QUỐC GIA

TCVN 8301:2009

CÔNG TRÌNH THỦY LỢI – MÁY ĐÓNG MỞ KIỂU VÍT

YÊU CẦU KỸ THUẬT TRONG THIẾT KẾ, CHẾ TẠO, LẮP ĐẶT, NGHIỆM THU

Hydraulics structures – Technical requirements operating screw mechanism designing, manufacturing,acceptance, transfer

Lời nói đầu

TCVN 8301 : 2009   được chuyển đổi từ 14 TCN 190 : 2006 theo quy định tại khoản 1 điều 69 của Luật Tiêu chuẩn và Quy chuẩn kỹ thuật và điểm a, khoản 1 điều 7 của Nghị định số 127/2007/NĐ-CP ngày 01 tháng 8 năm 2007 của Chính phủ quy định chi tiết thi hành một số điều của Luật Tiêu chuẩn và Quy chuẩn kỹ thuật.

TCVN 8301 : 2009 do Trung tâm Khoa học và Triển khai kỹ thuật thủy lợi thuộc trường Đại học Thủy lợi biên soạn, Bộ Nông nghiệp và Phát triển nông thôn đề nghị, Tổng cục Tiêu chuẩn Đo lường Chất lượng thẩm định, Bộ Khoa học và Công nghệ công bố.

1. Phạm vi áp dụng

1.1 Tiêu chuẩn này quy định các yêu cầu về thiết kế, chế tạo, lắp đặt, nghiệm thu, bàn giao các máy đóng mở kiểu vít dùng để nâng cửa van trong các công trình thuỷ lợi, thuỷ điện, giao thông, cải tạo môi trường.

1.2 Tiêu chuẩn này áp dụng cho các máy đóng mở kiểu vít thuộc mọi loại hình: chế tạo mới, sửa chữa, phục hồi, nâng cấp hoặc mở rộng.

1.3 Khi nghiên cứu, thiết kế, chế tạo, lắp đặt, ngoài việc tuân theo những quy định trong tiêu chuẩn này còn phải tuân thủ các tiêu chuẩn hiện hành khác có liên quan.

2. Thuật ngữ và định nghĩa

2.1 Máy đóng mở kiểu vít (Operating screw mechanism)

Thiết bị cơ khí thuỷ công dựa trên nguyên lý truyền động vít – đai ốc. Đai ốc quay tại chỗ làm trục vít chuyển động tịnh tiến kéo cửa van lên hoặc xuống theo phương dọc trục.

2.2 Lực đóng mở (Power of press and lift)

Lực thắng được lực cản lớn nhất, được xác định ở vị trí bất lợi nhất khi đóng hoặc mở cửa van.

2.3 Máy đóng mở kiểu vít quay tay (Screw mechanism operated by hand)

Máy đóng mở được dẫn động bằng tay quay.

2.4 Máy đóng mở kiểu vít chạy bằng điện (Screw mechanism operated by electric power)

Máy đóng mở được dẫn động bằng động cơ điện.

2.5 Nguồn động lực (transfer element)

Nguồn động lực hay bộ phận truyền lực là động cơ điện hoặc quay tay.

2.6 Hộp giảm tốc (Gear box)

Bộ phận truyền động từ nguồn động lực đến vít me.

2.7 Hộp chịu lực (Carrier-box)

Bộ phận truyền chuyển động quay từ hộp giảm tốc thành chuyển động tịnh tiến của trục vít và truyền tải trọng đóng mở xuống nền. Hộp chịu lực còn gọi là giá đỡ hoặc thân máy, hoặc saxi máy đóng mở.

2.8 Trục vít (Ballscrews)

Trục có ren chuyển động tịnh tiến làm nhiệm vụ đóng mở cửa van.

2.9 Bộ phận chỉ thị và hạn chế hành trình (Indicator odometer)

Cơ cấu báo độ mở và cho phép cửa van đóng mở trong khoảng hành trình đã xác định trước.

2.10 Hạn chế mômen quá tải (Overload momentum protection)

Cơ cấu ngắt nguồn điện động cơ khi mô men cản lớn hơn mômen tải động cơ một giá trị nhất định, nhằm bảo vệ an toàn cho máy.

3. Ký hiệu

Máy đóng mở kiểu vít được ký hiệu là QVĐn.

trong đó:

 Q là trị số biểu thị lực đóng mở của máy đóng mở, tấn;

 V là kiểu máy đóng mở trục vít – đai ốc;

 Đ là biểu thị máy đóng mở chạy điện và cả quay tay;

 n là biểu thị số trục vít – đai ốc; n có giá trị là 1 hoặc 2.

VÍ DỤ: Máy 10VĐ1 là loại máy đóng mở kiểu trục vít – đai ốc có lực đóng mở 10 tấn, chạy điện (kết hợp quay tay khi không có điện), có 01 trục vít – đai ốc.

4 Yêu cầu chung

4.1 Máy đóng mở chạy điện phải có bộ phận quay tay khi mất điện và phải có các tiếp điểm hành trình (tiếp điểm cuối) để tác động dừng đóng (hoặc mở) cửa khi cửa van đóng (mở) hoàn toàn.

4.2 Các động cơ của máy đóng mở kiểu vít làm việc tới 40 % mômen xoắn yêu cầu. Động cơ chế tạo theo tiêu chuẩn IEC 34, có thể làm việc khi điện áp lưới thay đổi trong phạm vi ±10 % so với điện áp định mức. Động cơ đặt ngoài trời phải có vỏ bảo vệ cấp IP54.

4.3 Động cơ phải có hộp che để tránh các tác động xấu của môi trường và được trang bị các bảo vệ sau:

– Bảo vệ chống quá tải;

– Bảo vệ chống ngắn mạch;

– Bảo vệ chống quá điện áp;

– Bảo vệ chống kém áp;

– Bảo vệ chống mất pha;

– Bảo vệ chống kẹt rô to.

5. Yêu cầu về vật liệu

5.1 Khi thiết kế cần phải lựa chọn các loại vật liệu đã được tiêu chuẩn hoá.

5.2 Phải ghi rõ và đầy đủ trong bản vẽ chế tạo hoặc trong yêu cầu kỹ thuật các loại vật liệu dùng để chế tạo các chi tiết, các bộ phận của máy.

5.3 Vật liệu trước khi đưa ra chế tạo các bộ phận chịu lực chính như trục, gối đỡ, hộp chịu lực, bánh răng, khớp nối, vít … phải có nhãn mác theo quy định, chứng chỉ của nhà sản xuất, nguồn gốc xuất xứ rõ ràng, nếu không phải lấy mẫu để kiểm tra tại các phòng thí nghiệm hợp chuẩn. Vật liệu được sử dụng phải theo đúng chỉ dẫn trong các bản vẽ thiết kế chế tạo.

5.4 Trước khi sử dụng, thép phải được nắn thẳng, phẳng và được làm sạch gỉ, dầu mỡ.

5.5 Que hàn phải có nhãn mác, xuất xứ rõ ràng, đảm bảo chất lượng, các chỉ tiêu phù hợp với loại thép hàn và bản vẽ thiết kế, đảm bảo tính chất cơ lý và được bảo quản theo quy định.

5.6 Vật liệu sơn phủ, bảo vệ bề mặt làm việc và tiếp xúc môi trường phải được lựa chọn theo đúng yêu cầu kỹ thuật của thiết kế, đảm bảo chất lượng và yêu cầu kỹ thuật. Vật liệu sơn phủ phải được ghi đầy đủ nhãn mác, hạn sử dụng, tính chất hoá lý rõ ràng. Không được sử dụng các loại sơn phủ tự pha chế chưa được công nhận hay loại sơn phủ không rõ nguồn gốc.

5.7 Vật liệu gioăng chặn dầu mỡ phải được sản xuất tại cơ sở chuyên ngành, có chứng chỉ về các chỉ tiêu cơ lý, hoá học bảo đảm khả năng làm việc ở môi trường khắc nghiệt.

5.8 Vật liệu chế tạo các bộ phận máy tham khảo Phụ lục A.

6. Yêu cầu về thiết kế

6.1 Lựa chọn các thông số của máy

Các thông số sau đây của máy đóng mở kiểu vít bắt buộc phải lựa chọn trước khi thiết kế máy:

a) Lực đóng mở Q, kN hoặc N;

b) Hành trình đóng mở Lmax, m;

c) Thời gian đóng mở bằng điện Tđ, min;

d) Thời gian đóng mở bằng quay tay Tqt, min;

e) Chế độ làm việc.

6.2 Tính toán chọn động cơ và phân bố tỷ số truyền

Sau khi lập sơ đồ truyền động của máy (Hình A.1; Phụ lục A) tiến hành chọn công suất động cơ và tỷ số truyền của máy.

6.3 Chọn công suất động cơ

Công suất động cơ (Nđc) phải thoả mãn điều kiện : Nđc ³ Nct

trong đó:

Nct là công suất tính toán, kW ;

Q là lực đóng mở, kN;

v là tốc độ đóng mở của van, mm/s;

Hmax là chiều sâu nước lớn nhất trước của van, mm;

T là thời gian đóng mở cửa van, s;

åh là hiệu suất truyền động;

h1 là hiệu suất của bộ truyền động trục vít – bánh vít:

= 0,75 với trục vít 1 đầu mối;

= 0,75 với trục vít 2 đầu mối;

 là hiệu suất của cặp bánh răng thẳng với n số cặp bánh răng;

 là hiệu suất bộ truyền bánh răng côn;

 là hiệu suất bộ truyền trục vít-đai ốc;

 là hiệu suất của cặp ổ lăn với n số cặp ổ lăn.

6.4 Xác định tỷ số truyền động và phân phối tỷ số truyền của máy

6.4.1 Tỷ số truyền động khi chạy điện áp dụng công thức (4)

trong đó:

Mđ/ô là mô men cần thiết khi quay đai ốc trên trục vít me;

Mqt là mô men trên trục tay quay;

P là lực một người;

r là bán kính tay quay;

m là số người;

k là hệ số quay không đều.

Tỷ số truyền động đóng mở bằng quay tay tăng lên tỷ lệ thuận theo lực nâng, được chọn theo Bảng 2

Bảng 2 – Tỷ số truyền động tăng theo lực nâng

Q, kN

£ 2

3

5

8

10

20

³ 30

iqt

2

3

6

6

8

14

70

6.5 Thiết kế bộ truyền động

Sau khi tính toán chọn được động cơ, phân phối tỷ số truyền động, chọn hộp giảm tốc, yêu cầu tính toán các bộ truyền động bánh răng côn, truyền động vít đai ốc, truyền động trục vít – bánh vít. Cách tính toán thiết kế tham khảo Phụ lục B hoặc tham khảo các tài liệu thiết kế cơ khí hiện hành.

7. Yêu cầu về chế tạo

7.1 Yêu cầu kỹ thuật gia công tại xưởng

7.1.1 Gia công cơ khí

7.1.1.1 Các phôi thép phải cắt bằng máy cắt, máy cưa, trường hợp ngoại lệ có thể cắt bằng khí ôxy. Không được cắt thép bằng que hàn.

7.1.1.2 Phôi thép sau khi cắt phải tẩy sạch ba via, xỉ, không để nổi cục gồ ghề quá 1 mm trên bề mặt và không có vết rạn nứt.

7.1.1.3 Khi sử dụng phôi đúc bằng gang hoặc thép, phải bảo đảm chất lượng phôi đúc và bảo đảm kích thước phôi có tính đến độ dư gia công phù hợp yêu cầu bản vẽ thiết kế theo tiêu chuẩn hiện hành. Cho phép có các khuyết tật nếu chiều sâu khuyết tật không lớn hơn 10 % chiều dày phôi đúc. Được phép hàn vá các khuyết tật nhưng phải đảm bảo theo quy định trong tiêu chuẩn liên quan.

7.1.1.4 Độ chính xác gia công chế tạo của tất cả các chi tiết phải tuân thủ bản vẽ thiết kế, trong trường hợp không quy định cụ thể thì các sai số chế tạo không thấp hơn cấp 8 theo tiêu chuẩn liên quan.

7.1.1.5 Khi gia công các chi tiết có độ chính xác cao như bánh răng, bánh vít, trục vít … phải lập quy trình công nghệ chế tạo.

7.1.1.6 Độ không đồng trục, độ ôvan, độ lệch rãnh then so với đường tâm chuẩn không lớn hơn 1/2 dung sai kích thước đường kính ngõng trục nơi lắp ghép bánh răng, ổ bi.

7.1.1.7 Độ đảo vai trục lấy theo cấp chính xác IT8 và theo kích thước đường kính trục.

7.1.1.8 Vỏ hộp giảm tốc, vỏ hộp chịu lực: Các bề mặt lắp ghép, các nắp phải được gia công nhẵn, phẳng đạt cấp chính xác 0 hoặc 6 theo tiêu chuẩn liên quan.

7.1.1.9 Dung sai khoảng cách trục khi gia công không thấp hơn cấp 8 theo tiêu chuẩn liên quan.

7.1.1.10 Các khớp nối trục : Độ đảo hướng tâm và mặt mút lấy bằng ± 0,005.D khớp.

7.1.1.11 Ren vít – Đai ốc : Được chế tạo theo ren thang hoặc ren chữ nhật theo cấp chính xác của TCVN về ren vít – đai ốc.

7.1.2 Gia công kết cấu thép

7.1.2.1 Dụng cụ đo lường kết cấu phải dùng gồm thước lá, thước góc, thước cuộn bằng kim loại có độ chính xác cấp 2, theo tiêu chuẩn liên quan.

7.1.2.2 Công tác chuẩn bị vật liệu thực hiện theo yêu cầu sau:

a) Nắn và uốn thẳng thép trước khi gia công tránh tạo vết xước, vết lõm, khuyết tật khác trên bề mặt;

b) Khi cắt thép để gia công cấu kiện cần xác định rõ công nghệ chế tạo để tính độ dư gia công do co ngót khi hàn và lắp ráp;

c) Khi lấy dấu thủ công chỉ được sử dụng mũi vạch và con tu.

7.1.2.3 Cho phép khoan lỗ trên các chi tiết trước hoặc sau khi đã hàn ghép thành kết cấu và phải khoan tại xưởng để đảm bảo trục của lỗ thẳng góc với mặt chi tiết. Các lỗ và quy cách khoan phải theo đúng bản vẽ thiết kế.

7.1.2.4 Cho phép áp dụng khoan lỗ trực tiếp theo phương pháp lấy dấu trên máy khoan chạy hơi ép, máy khoan điện. Trường hợp chế tạo hàng loạt phải khoan theo dưỡng hoặc dùng rô bốt khoan điều khiển theo chương trình.

7.1.2.5 Công tác hàn thực hiện theo yêu cầu sau:

a) Khi hàn đính chỉ cần mối hàn có chiều cao tối thiểu để khi hàn chính thức mối hàn này sẽ làm nóng chảy mối hàn đính. Chiều cao mối hàn đính không lớn hơn 0,5 chiều cao mối hàn chính thức theo thiết kế. Không được bố trí mối hàn đính tại vị trí mối hàn chính giao nhau;

b) Que hàn đính và hàn chính phải cùng loại và phù hợp với mác thép hàn, chất lượng mối hàn tương tự nhau;

c) Phải đảm bảo kiểu vát mép, kích thước khe hở giữa các chi tiết khi hàn và kích thước mối hàn theo đúng chỉ dẫn trên bản vẽ thiết kế;

d) Chỉ được phép hàn chồng lớp tiếp theo khi đã đánh sạch xỉ và khuyết tật lớp hàn trước;

e) Thợ hàn hồ quang phải có chứng chỉ văn bằng hợp cách;

g) Sau khi hàn xong phải đánh sạch hết xỉ, mạt kim loại trên bề mặt. Khi tẩy bỏ không làm hỏng bề mặt kết cấu và phải bảo đảm bằng phẳng và nhẵn mặt;

h) Kiểm tra khuyết tật bề mặt mối hàn bằng mắt thường, kính lúp và đo kích thước mối hàn bằng dưỡng;

i) Việc xử lý khuyết tật mối hàn phải theo tiêu chuẩn liên quan.

7.1.2.6 Khi liên kết các bộ phận kết cấu bằng bu lông, phải đánh sạch các bề mặt lắp ghép. Độ kín khít khi xiết chặt bu lông được kiểm tra bằng thước lá có bề dày 0,3 mm, thước không thể lùa vào sâu quá 20 mm.

7.2 Yêu cầu kỹ thuật lắp ráp và kiểm tra tại xưởng

7.2.1 Phải có đủ tài liệu thiết kế, quy trình công nghệ trước khi lắp ráp thành các cụm thiết bị tại xưởng.

7.2.2 Các chi tiết máy và kết cấu trước khi lắp phải kiểm tra số lượng và chứng nhận chất lượng sau gia công xuất xưởng theo bản vẽ lắp của từng phân xưởng.

7.2.3 Lắp ráp các cụm thiết bị tại xưởng : Hộp giảm tốc, hộp chịu lực phải được lắp ráp và căn chỉnh thành bộ hoàn chỉnh trước khi đưa tới hiện trường lắp đặt. Sai số lắp ráp và kiểm tra được tham khảo trong Bảng B13, Phụ lục B.

7.2.4 Sau khi lắp ráp, các bộ phận máy phải được chạy thử không tải theo thiết kế tại xưởng và có biên bản nghiệm thu cho từng bộ phận. Hộp giảm tốc chạy thử 4 giờ có đảo chiều, các cơ cấu khác chạy thử 2 giờ có đảo chiều.

7.2.5 Nhiệt độ dầu trong hộp giảm tốc cho phép khi chạy thử, xem Bảng B.14 – Phụ lục B.

7.2.6 Nghiệm thu tại xưởng: Sau khi lắp ráp và chạy thử phải tiến hành kiểm tra và có xác nhận của trước khi sơn chống gỉ.

7.2.7 Kết quả nghiệm thu của và việc đánh giá chất lượng chế tạo phải được ghi vào biên bản và đóng dấu kiểm tra lên sản phẩm mới được xuất xưởng.

7.2.8 Nội dung kiểm tra (KCS):

a) Sự phù hợp của vật liệu đã dùng để chế tạo so với thiết kế;

b) Độ chính xác kích thước và dung sai lắp ghép cho phép;

c) Chất lượng các mối ghép hàn, các mối ghép bu lông;

d) Kết quả chạy thử;

e) Chất lượng lớp sơn chống gỉ;

g) Kiểm tra độ chính xác các số liệu ghi nhật ký chế tạo, lý lịch máy và tài liệu nghiệm thu.

8. Ghi nhãn và sơn phủ

8.1 Nhãn mác

8.1.1 Máy đóng mở kiểu vít chạy điện hoặc quay tay đều phải có nhãn mác hàng hoá.

8.1.2 Nhãn mác phải ghi đầy đủ các thông tin sau:

– Tên cơ sở sản xuất, địa chỉ;

– Tên sản phẩm;

– Thông số kỹ thuật : lực đóng mở, tốc độ đóng mở, công suất động cơ … ;

– Kích thước, trọng lượng;

– Sản xuất theo tiêu chuẩn nào;

– Ngày, tháng, năm sản xuất.

8.2 Sơn phủ

8.2.1 Tất cả các bộ phận, kết cấu sau khi đã chế tạo xong và đã được xác nhận mới được tiến hành sơn phủ.

8.2.2 Bề mặt kim loại phải làm nhẵn, khô ráo, sạch dầu mỡ trước khi sơn.

8.2.3 Loại sơn phải có chứng chỉ nguồn gốc, còn hạn sử dụng.

8.2.4 Loại sơn, chiều dày lớp sơn phủ và quy trình công nghệ sơn phải tuân thủ thiết kế quy định và phù hợp với các tiêu chuẩn liên quan.

8.3 Ghi nhãn

8.3.1 Tất cả các máy đóng mở kiểu vít sau khi chế tạo phải gắn nhãn. Nội dung nhãn mác quy định tại Điều 8.1.2.

8.3.2 Nhãn được gắn trên nắp hộp chịu lực.

9. Lắp đặt máy tại công trình

9.1 Phải dùng thiết bị cẩu đúng tải trọng, tốc độ và chiều cao nâng phù hợp, phải móc cẩu đúng vị trí trên máy đóng mở.

9.2 Chiều dày lớp bê tông dưới bệ lắp máy và hộp chịu lực không nhỏ hơn 50 mm.

9.3 Sai số chiều cao đặt máy so với thiết kế trong khoảng ± 50 mm.

9.4 Sai lệch vị trí của tai treo trên cửa van phẳng theo hướng kéo cửa so với thiết kế cho phép ± 5 mm.

9.5 Độ lệch tâm của trục vít me so với tâm tai cửa £ 5 mm.

9.6 Độ không vuông góc của trục vít kép so với mặt phẳng ngang phải nhỏ hơn ± 0,5 mm/1 m của khoảng cách giữa hai vít.

9.7 Độ thăng bằng của máy được nối với cánh cửa bằng chốt cứng trong mặt phẳng nằm ngang không vượt quá ± 0,5 mm/1 m chiều dài khoảng cách giữa hai hộp chịu lực.

10. Vận hành máy

10.1 Kiểm tra mức dầu mỡ bôi trơn trong hộp giảm tốc, hộp chịu lực, trục vít đai ốc.

10.2 Trước khi vận hành máy, đặc biệt là máy mới vận hành lần đầu phải dùng tay quay, quay thử các bộ phận quay của máy. Nếu có hiện tượng kẹt hoặc tiếng kêu lạ là phải dừng kiểm tra xử lý ngay.

10.3 Kiểm tra sự làm việc của thiết bị điện trong hệ thống phân phối và điều khiển.

10.4 Kiểm tra lại điện trở cách điện của động cơ và cáp điện trước khi máy chạy.

10.5 Sau khi kiểm tra và xử lý tất cả các vướng mắc về kỹ thuật bắt đầu chạy thử động cơ, xác định chiều quay của động cơ.

10.6 Gạt ly hợp sang vị trí chạy điện, theo dõi cơ cấu làm việc.

10.7 Trong quá trình máy vận hành phải theo dõi máy làm việc. Nội dung theo dõi gồm:

– Chế độ dòng điện áp;

– Chỉ số nhiệt độ;

– Chỉ số dầu bôi trơn;

– Máy chạy êm, không quá nóng ở một số cơ cấu truyền lực.;

– Không có tiếng kêu lạ;

– Chạy ổn định, không rung.

10.8 Vận hành đóng mở van trong trạng thái khô ba lần và hai lần thử nước đồng thời kiểm tra các thông số sau:

– Công suất tiêu thụ động cơ;

– Vận tốc nâng hạ;

– Nhiệt độ tại các ổ bi, cơ cấu chịu lực ;

– Máy làm việc êm, không rung giật đặc biệt tại các bánh răng ăn khớp.

11. Quy trình vận chuyển và xếp kho

11.1 Phải xác định kích thước, trọng lượng hàng và quãng đường vận chuyển để lựa chọn phương tiện thích hợp.

11.2 Phải có phương án kê kích và chằng buộc để đảm bảo an toàn cho người và phương tiện vận chuyển.

11.3 Phải kiểm tra lại toàn bộ danh mục hàng, các tài liệu liên quan và quan sát để phát hiện những sai hỏng, thiếu hụt khi giao nhận tại xưởng cũng như khi dỡ hàng sau vận chuyển. Tất cả sai sót thiếu hụt đều phải ghi biên bản.

11.4 Các bộ phận bôi trơn hở phải thay mỡ mới, các lỗ tra dầu phải nút kín.

11.5 Các cụm máy và thiết bị điện phải để trong kho, kê cao, khô ráo trên các giá gỗ.

12. Nghiệm thu, bàn giao

12.1 Nghiệm thu tĩnh

12.1.1 Các tài liệu khi nghiệm thu tĩnh gồm có:

a) Tài liệu thiết kế kỹ thuật, chế tạo chi tiết, lý lịch thiết bị, chất lượng thép, que hàn, bu lông và các vật liệu khác;

b) Tài liệu hướng dẫn vận hành, các trường hợp hỏng hóc hoặc sự cố thường gặp và biện pháp khắc phục. Danh mục các vật tư phụ tùng thay thế cho các thiết bị của máy đóng mở;

c) Biên bản xác nhận thay đổi thiết kế và vị trí lắp đặt (nếu có);

d) Biên bản nghiệm thu từng phần các công việc lắp đặt thiết bị tại hiện trường;

e) Biên bản kiểm tra và bản vẽ hoàn công lắp đặt thiết bị;

g) Biên bản nghiệm thu công tác xây dựng có liên quan đến thiết bị;

h) Nhật ký lắp đặt;

i) Tài liệu giao nhận thiết bị, vận chuyển của chủ đầu tư và đơn vị lắp đặt.

12.1.2 Lập biên bản nghiệm thu, đánh giá thiết bị đã được lắp tĩnh vào công trình theo đúng thiết kế và cho phép chạy thử không tải.

12.2 Nghiệm thu chạy thử không tải

12.2.1 Chạy thử không tải nhằm xác định tình trạng hoạt động của thiết bị, bao gồm các nội dung sau:

a) Thời gian chạy thử theo yêu cầu thiết kế của nhà chế tạo;

b) Kiểm tra hành trình đóng mở của vít;

c) Kiểm tra độ rung động, ổn định của thiết bị;

d) Kiểm tra hệ thống làm việc, động cơ, dầu, li hợp và thiết bị quay tay.

12.2.2 Lập biên bản nghiệm thu chạy thử không tải khi chạy đủ thời gian quy định và khi đạt yêu cầu kỹ thuật theo các số liệu đo đạc được.

12.3 Nghiệm thu chạy thử có tải

12.3.1 Các thông số kỹ thuật sau đây cần xác định khi chạy thử có tải :

a) Thời gian chạy thử do nhà thiết kế và chế tạo quy định;

b) Kiểm tra lực đóng mở, tốc độ đóng mở của thiết bị, mức độ kín khít khi đóng và mở hoàn toàn;

c) Mức độ tăng tải trọng, áp suất tác dụng của hộp chịu lực;

d) Kiểm tra sự bôi trơn của các bộ phận;

e) Kiểm tra nhiệt của các bộ phận ổ, hộp giảm tốc, hộp chịu lực;

g) Kiểm tra độ ổn định, rung động khi làm việc;

h) Kiểm tra độ ăn khớp, chịu lực của các cơ cấu;

i) Kiểm tra làm việc trong trường hợp dùng tay quay.

12.3.2 Hội đồng nghiệm thu kiểm tra và lập biên bản nghiệm thu nếu đạt yêu cầu kỹ thuật.

12.4 Bàn giao thiết bị đưa vào sử dụng

Sau khi hội đồng nghiệm thu ký vào biên bản nghiệm thu, tiến hành bàn giao thiết bị để đưa vào sử dụng. Nội dung bàn giao gồm:

a) Bàn giao các tài liệu đã lập khi nghiệm thu tĩnh, nghiệm thu không tải và có tải;

b) Bàn giao thiết bị cho nhà sử dụng;

c) Ký biên bản bàn giao thiết bị;

d) Xác định trách nhiệm bảo hành của nhà cung cấp thiết bị.

12.5 Những vấn đề cần chú ý

12.5.1 Các kết quả trong quá trình kiểm tra, thử nghiệm và kết luận nghiệm thu phải ghi đầy đủ vào biên bản nghiệm thu.

12.5.2 Sau khi kiểm tra, nghiệm thu nếu có sai sót cần sửa chữa thì phải thực hiện trước khi tổng nghiệm thu.

12.5.3 Cơ quan tư vấn thiết kế phải soạn thảo hướng dẫn quy trình vận hành, bảo dưỡng thiết bị và bàn giao.

12.5.4 Tất cả các hồ sơ nghiệm thu phải được lưu trữ theo quy định hiện hành.

PHỤ LỤC A

(quy định)

VẬT LIỆU CHẾ TẠO CÁC BỘ PHẬN MÁY ĐÓNG MỞ KIỂU VÍT

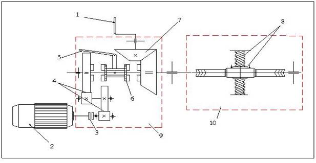
A.1 Sơ đồ truyền động – Máy đóng mở kiểu vít

a) Kiểu I: (Q từ 10 tấn – 20 tấn)

CHÚ THÍCH:

1) Tay quay;

2) Động cơ điện;

3) Khớp nối;

4) Cặp bánh răng;

5) Vấu li hợp;

6) Li hợp;

 

7) Cặp bánh răng côn;

8) Vít me đai ốc;

9) Hộp giảm tốc;

10) Hộp chịu lực. 

b) Kiểu II: Q >20 t

CHÚ THÍCH:

1) Tay quay;

2) Động cơ điện;

3) Khớp nối,

4) Cặp bánh răng thẳng;

5) Tay gạt vấu ly hợp:

6) Vấu li hợp;

7) Cặp bánh răng côn;

8) Vít me đai ốc;

9) Hộp giảm tốc;

10) Hộp chịu lực.

Hình A.1- Sơ đồ truyền động máy đóng mở kiểu vít

A.2 Các loại vật liệu chính được dùng để chế tạo máy đóng mở kiểu vít

Bảng A.1- Một số loại thép và que hàn dùng để chế tạo máy đóng mở kiểu vít

Loại thép

Mác thép

Mác que hàn (hàn tay)

Thép Các bon thông dụng

CT 38

E42

Thép Các bon chất lượng

C 45

E50A

PHỤ LỤC B

(tham khảo)

Thiết kế các bộ phận truyền động của máy đóng mở kiểu vít

B.1 Thiết kế bộ truyền động vít – đai ốc

B.1.1 Chọn vật liệu

B.1.1.1 Vật liệu trục vít: Thép C45.

B.1.1.2 Vật liệu đai ốc:

a) Máy đóng mở có sức nâng Q đến 20 tấn: GX 21 – 40.

b) Máy đóng mở có sức nâng Q lớn hơn 20 tấn : C45.

B.1.2 Chọn kiểu ren và bước ren

B.1.2.1 Kiểu ren : ren thang cân với góc a = 30o

B.1.2.1 Bước ren s : chọn theo bước ren thang tiêu chuẩn GOCT 9484 – 73 : s = 4; 6; 8; 10; 12; 16.

B.1.3 Tính toán đường ren vít

B.1.4 Chọn các thông số của vít và đai ốc

B.1.4.1 Góc vít : g = arctg(s/pd2­­­), chọn góc vít: g = 30o.

B.1.4.2 Xác định chiều cao đai ốc H2, mm.

H2 = yH.d2                                                                                  (B.2)

B.1.4.3 Số vòng ren của đai ốc Z :

Z = H2/s £ 12                                                                              (B.3)

B.1.5 Tính kiểm nghiệm về độ bền

B.1.5.1 Trục vít cần được kiểm tra về độ bền theo ứng suất tương đương, tính bằng N/mm2;

trong đó: Q là lực đóng mở, N;

D là đường kính ngoài của đai ốc, mm;

d là đường kính ngoài của trục vít, mm;

[sk] = 30 N/mm2 ¸ 40 N/mm2 là ứng suất kéo cho phép của gang;

[sk] = 50 N/mm2 ¸ 60 N/mm2 là ứng suất kéo cho phép của thép C45.

b) Độ bền ép mặt:

– Theo ứng suất tiếp tuyến:

trong đó:

ny là hệ số an toàn ổn định;

[ny] là hệ số an toàn ổn định cho phép;

QTh là tải trọng tới hạn.

B.1.6.2 Khi độ mảnh l ³ 100:

trong đó:

ny là hệ số an toàn ổn định;

[ny] là hệ số an toàn ổn định cho phép;

QTh là tải trọng tới hạn.

B.1.6.2 Khi độ mảnh l ³ 100:

trong đó:

ny là hệ số an toàn ổn định;

[ny] là hệ số an toàn ổn định cho phép;

QTh là tải trọng tới hạn.

B.1.6.2 Khi độ mảnh l ³ 100:

trong đó:

ny là hệ số an toàn ổn định;

[ny] là hệ số an toàn ổn định cho phép;

QTh là tải trọng tới hạn.

B.1.6.2 Khi độ mảnh l ³ 100:

B.2 Thiết kế bộ truyền bánh răng côn.

B.2.1 Theo sơ đồ truyền động của máy đóng mở kiểu I (Hình A.1) để truyền chuyển động quay cho đai ốc chịu lực trong hộp chịu lực từ hộp giảm tốc tới cần sử dụng cặp bánh răng côn.

B.2.2 Chọn vật liệu

Vật liệu bánh răng nhỏ: Thép C45;

Vật liệu bánh răng lớn: GX 21 – 40;

Trục bánh răng: Thép C45;

Cơ tính và thành phần hoá học của vật liệu các chi tiết được xác định theo Điều A.2 Phụ lục A.

B.2.3 Tính toán bộ truyền động bánh răng côn

B.2.3.1 Xác định ứng suất cho phép

B.2.3.2 Ứng suất tiếp xúc cho phép khi vật liệu bánh răng bằng thép, tính bằng N/mm2;

[stx] = 2,6 HB,                                                                 (B.19)

B.2.3.3 Ứng suất tiếp xúc cho phép khi vật liệu bánh răng gang xám, tính bằng N/mm2;

[stx] = 1,5 HB,                                                                (B.20)

B.2.3.4 Ứng suất uốn cho phép của răng, tính bằng N/mm2;

trong đó:

s-1 là giới hạn mỏi khi uốn, N/mm2 ;

s-1 = 0,34 sb (đối với thép cacbon);

s-1 = 0,34 sb (đối với gang);

với sb giới hạn bền của vật liệu;

[n]: hệ số an toàn:

[n] = 1,9 là đối với thép và gang không qua nhiệt luyện;

[n] = 1,7 là đối với thép và gang có qua nhiệt luyện;

Ks là hệ số tập trung ứng suất:

+ Ks = 1,4-1,6 là đối với thép thường hoá và tôi bề mặt;

+ Ks = 1-1,2 là đối với gang

Hình B.2 – Các thông số truyền động bánh răng côn

B.2.3.5 Xác định các thông số ăn khớp

B.2.4 Xác định chiều dài côn ngoài bánh răng côn nhỏ

Chiều dài côn ngoài bánh răng côn nhỏ Lbr xác định theo công thức sau:

trong đó:

KR = 0,5Kd là hệ số phụ thuộc bánh răng và loại răng;

K = (100.N/mm­2)1/3 là đối với bộ truyền bánh răng côn thẳng;

i là tỷ số truyền;

M1 là mô men xoắn trên trục bánh răng nhỏ, tính bằng N.mm;

M1 = 9,55.106.N/n1,

KHb là hệ số kể đến sự phân bố không đều tải trọng trên bề rộng vành răng bánh răng côn, phụ thuộc vào độ cứng bánh răng và tỷ số : Kbc.i/(2-Kbc);

Kbc là hệ số chiều rộng bánh răng:

Kbc = b/L = 0,25 ¸ 0,30

[s­tx] là ứng suất tiếp xúc cho phép, N/mm2.

d2 = 900d1                                                                                (B.28)

B.2.7 Xác định đường kính chia ngoài dc, đường kính trung bình dtb, mô men trung bình mtb, đường kính đỉnh răng ngoài da

Áp dụng các công thức sau:

dcl = mtb.Z1 ;                                                                  (B.29)

dC2 = mtb.Z2;                                                                  (B.30)

dtb1 = 2.(L – 0,5.b).sind1;                                     (B.31)

dtb2 = 2.(L – 0,5.b).sind2 ;                                                (B.32)

 dtb1 là đường kính trung bình bánh răng nhỏ, xác định theo công thức (B.31) ;

 n1 là số vòng quay bánh răng nhỏ.

b) Cấp chính xác của bộ truyền phụ thuộc vào giá trị vận tốc vòng của bánh răng và được chọn theo Bảng B.2;

Bảng B.2 – Cấp chính xác của bộ truyền theo vận tốc vòng

Độ cứng bánh răng HB

Cấp chính xác

6

7

8

9

Vận tốc vòng của bánh răng, m/s

£ 350

10

7

4

3

> 350

9

6

3

2,5

trong đó: KHb là hệ số kể đến sự phân bố không đều trên vành răng chọn theo Bảng B.1 ;

 Kd là hệ số tải trọng động xác định theo Bảng B.3.

Bảng B.3 – Trị số của hệ số tải trọng động Kđ

Cấp chính xác

Độ cứng bánh răng lớn

Vận tốc vòng trung bình, m/s

£ 1

1 ¸ 3

3 ¸ 8

8 ¸ 12

6

≤ 200

200 ¸ 350

> 350

1

1

1

1,3

1,2

1,2

1,5

1,4

1,3

1,6

1,5

1,4

7

≤ 200

200 ¸ 350

> 350

1,1

1

1

1,4

1,3

1,3

1,6

1,5

1,4

8

≤ 200

200 ¸ 350

> 350

1,2

1,1

1,1

1,5*

1,4*

1,4

9

≤ 200

200 ¸ 350

> 350

1,3

1,2

1,2

1,6

1,5

1,5

CHÚ THÍCH: Khi v = 4 m/s hệ số Kđ tăng lên 10%.

B.2.8.2 Kiểm nghiệm răng về độ bền tiếp xúc như sau:

a) Khi cặp bánh răng côn với vật liệu khác nhau, kiểm nghiệm răng theo công thức:

 Nct là công suất trên trục vít me;

 h3 là hiệu suất bộ truyền vít – đai ốc;

 h4 là hiệu suất cặp ổ lăn;

 w2 là vận tốc góc của bánh răng côn lớn, rad/s;

 K là hệ số tải trọng, xác định theo (B38);

 E là môđun đàn hồi quy đổi đối với vật liệu bánh răng;

 E = 1,36.105 N/mm2 là khi bánh răng nhỏ bằng thép, bánh răng lớn bằng gang;

 E= 1.105 N/mm2 là khi cả hai bánh răng bằng gang;

 E = 2,15.105 N/mm2 là khi cả hai bánh răng bằng thép;

 i: tỷ số truyền;

 Kbc là hệ số chiều rộng vành răng lớn, Kbc = 0,2 ¸ 0,3;

 KHb là hệ số kể đến sự phân bố không đều tải trọng trên chiều rộng bánh răng, xác định theo Bảng 1;

 dc2 là đường kính chia ngoài bánh răng lớn, mm, xác định theo (B.30) .

B.2.9 Kiểm nghiệm răng về độ bền uốn

Điều kiện về độ bền uốn của răng được kiểm nghiệm theo công thức sau:

trong đó: [su] là ứng suất uốn cho phép của răng, xác định theo (B.21), N/mm2;

 M là mô men trên bánh răng kiểm tra, Nmm;

 K là hệ số tải trọng, xác định theo (B38);

 b góc nghiêng của răng (bánh răng thẳng b = 0);

 y là hệ số dạng răng, xác định theo Bảng B.4.

CHÚ THÍCH: Khi fo = 0,8 giá trị hệ số y=y/0,8

 + mtb là mô đun trung bình ;

 + Kb là hệ số tăng bền của răng nghiêng so với răng thẳng;

 Kb = 1 đối với răng thẳng;

 Kb = 1,2 – 1,4 đối với răng nghiêng;

 + Kiểm nghiệm răng về độ bền uốn cho bánh răng có tích số y.[su] nhỏ hơn

 + Số răng tương đương Zxác định theo công thức:

M và Mmax là mô men xoắn danh nghĩa và mô men quá tải trên trục bánh răng nhỏ hoặc bánh răng lớn;

 [sTX]max và [sU]max là ứng suất tiếp xúc, ứng suất uốn quá tải của răng xác định theo Bảng B.5.

Bảng B.5- Ứng suất tiếp xúc quá tải và ứng suất uốn quá tải

Vật liệu bánh răng

Độ cứng HB

Ứng suất quá tải, N/mm2

[sTX]max

[sU]max

Thép

£ 350

> 350

3,1. sc

41,3 HRC

0,8.sc

0,36 sb

Gang

 

1,8.sb

0,6sb

CHÚ THÍCH : scsb là ứng suất chảy và ứng suất bền của vật liệu bánh răng.

B.3 Thiết kế bộ truyền trục vít – bánh vít

B.3.1 Chọn vật liệu

– Trục vít và trục bánh vít: C45; 40X hoặc 40 XH;

– Thân bánh vít: C35 hoặc C45;

– Vành bánh vít: vật liệu bánh vít chọn theo vận tốc trượt Vs:

+ Khi Vs ³ 5 m/s: dùng đồng thanh thiếc;

+ Khi Vs < 5=”” m/s:=”” dùng=”” đồng=”” thanh=”” không=”” thiếc=”” và=”” đồng=””>

+ Khi Vs < 2=”” m/s:=”” dùng=”” gang=”” gx12-28;=”” gx15-32=”” hoặc=””>

– Vận tốc trượt Vs được tính theo công thức:

Bảng B.6 – Trị số tiêu chuẩn của hệ số đường kính q

m

2; 2,5; 3,15; 4 ; 5; 6,3; 8; 10; 12; 5; 16; 20

 q

Dãy 1

6,3; 8; 10*; 12,5**; 16; 20; 25

Dãy 2

7,1; 9; 11.2; 14; 18; 22,4

 CHÚ THÍCH : 1) * Không dùng trị số này khi m = 2;

 ** Không dùng trị số này khi m = 2,5;

 2) Ưu tiên dùng dãy 1;

 3) Trường hợp thật cần thiết có thể chọn m theo dãy 2: m = 1,5; 3; 3,5; 6; 7; 18.

+ M2 : Mô men xoắn trên trục bánh vít, tính bằng N.mm;

q là hệ số biến dạng của trục vít xác định theo Bảng B.7;

c là hệ số phụ thuộc vào đặc tính tải trọng:

c = 1,0 : khi tải trọng không thay đổi;

c = 0,6 : khi tải trọng ít thay đổi;

c = 0,3 : khi tải trọng thay đổi lớn;

Khi tải trọng không thay đổi: KHb = 1;

Kd là hệ số tải trọng động xác định theo Bảng B.8;

[sTX] – ứng suất tiếp xúc cho phép của bánh vít, chọn theo Bảng B.9.

B.3.2.2 Tính mô đun theo công thức:

B.3.2.4 Xác định các kích thước chủ yếu của trục vít và bánh vít như sau:

a) Đường kính vòng chia của trục vít d1 và của bánh vít d2, tính bằng mm:

 d1 = q.m,                                                                                 (B.57)

 d2 = Z2.m,                                                                                (B.58)

trong đó :

q là hệ số đường kính trục vít xácđịnh theo bảng 6;

m là mô đun tính toán theo (B55) và xác định lại theo mô đun tiêu chuẩn;

Z2 là số răng bánh vít ;

b) Đường kính vòng đỉnh của trục vít da1 và của bánh vít da2 :

da1 = d1 + 2.m = ( q+Z2 ),            mm                                                       (B.59)

da2 = m.( Z2 + 2 + 2.x ), mm                                                       (B.60)

trong đó:

x là hệ số dịch chỉnh, xác định theo (B56)

c) Đường kính vòng đáy của trục vít df1 và của bánh vít df2

df1 = m.( q + Z2 ), mm                                                                (B.61)

df2 = m.( Z2 – 2,4 + 2.x ), mm                                                      (B.62)

d) Đường kính ngoài của bánh vít; daM2

daM2 ≤ da2 + 2.m                         khi Z1 = 1 và Z1 = 4.

daM2 ≤ da2 + 1,5 m                       khi Z1 = 2 và Z1 = 3                   (B.63)

e) Chiều rộng trục vít b1 và bánh vít b2 xác định theo công thức trong Bảng B.10.

Bảng B.10 – Chiều rộng trục vít b1 và bánh vít b2

Số mối ren trục vít Z1

1

2

3

4

Chiều rộng trục vít b1 khi hệ số dịch chỉnh

x = – 1,0

³ ( 10,5 + Z1 ).m

³ ( 10,5 + Z1 ).m

x = – 0,5

³ ( 8 + 0,06.Z2 ).m

³ ( 9,5 + 0,09.Z2 ).m

x = 0

³ ( 11 + 0,06.Z­2 ).m

³ ( 12,5 + 0,1.Z2 ).m

x = + 0,5

³ ( 11 + 0,1.Z2 ).m

³ ( 12,5 + 0,1.Z2 ).m

x = + 1,0

³ ( 12 + 0,1.Z2 ).m

³ ( 13 + 0,1.Z2 ).m

Chiều rộng bánh vít b2

£ 0,75.da1

£ 0,67.da1

B.3.2.5 Sau khi tính toán xác định các kích thước của bộ truyền và hệ số tải trọng tiến hành kiểm tra răng bánh vít về độ bền tiếp xúc theo công thức sau:

trong đó:

K là hệ số tải trọng đã được xác định lại theo công thức (B.53) sau khi đã có kích thước của bộ truyền;

Z2 là số răng bánh vít;

y là hệ số dạng răng xác định theo Bảng B.4;

b2 là chiều rộng bánh răng vít, mm;

[su] là ứng suất uốn cho phép xác định theo Bảng B.11.

Bảng B.11 – Ứng suất uốn cho phép [su]

Vật liệu bánh vít

Бpo f

10.1

Бpo f

10.1

БpoЦ

6.6.3

БpoЦc

6.6.3

БpAЖ

9-4

БpAЖ

10-4-4

ЛAЖMЦ

66-6-3-2

GX

15-32

Phương pháp đúc

Khuôn cát

Khuôn kim loại

Khuôn cát

Khuôn kim loại

Khuôn cát

Khuôn kim loại

Khuôn kim loại

Khuôn cát

Ứng suất uốn cho phép [su], N/mm2

19 ¸ 35

28 ¸ 51

18 ¸ 32

21 ¸ 38

41 ¸ 75

53 ¸ 98

57 ¸ 104

29

B.3.2.7 Kiểm nghiệm răng bánh vít về quá tải khi mở máy, phanh hãm theo ứng suất tiếp xúc cực đại và ứng suất uốn cực đại, áp dụng công thức sau:

Mmax và M là mô men xoắn danh nghĩa và mô men xoắn quá tải trên trục bánh vít ;

[su]max và [stx]max là ứng suất uốn quá tải và ứng suất tiếp xúc quá tải cho phép xác định theo Bảng B.12.

Bảng B.12 – Ứng suất tiếp xúc quá tải và ứng suất uốn quá tải

Vật liệu bánh vít

Ứng suất quá tải, N/mm2

[stx]max , N/mm2

[su]max , N/mm2

Đồng thanh pha thiếc

Đồng thanh không thiếc

Gang

4 sch

2 sch

260 ¸ 300

0,8 sch

0,6 sb

B.3.3 Tính toán thiết kế trục

B.3.3.1 Yêu cầu chung

Các trục truyền của máy đóng mở kiểu vít gồm có trục bánh răng côn, trục vít vô tận, tiếp nhận mô men xoắn dẫn động từ tay quay (khi quay tay) hoặc từ động cơ (khi chạy điện) truyền chuyển động quay cho đai ốc chịu lực đưa vít me chuyển động tịnh tiến theo 2 chiều. Tính toán thiết kế trục tiến hành trình tự theo các bước sau:

– Chọn vật liệu;

– Tính thiết kế trục về độ bền;

– Kiểm nghiệm trục về độ bền mỏi và về độ cứng.

B.3.3.2 Chọn vật liệu

Trục bánh răng côn và trục vít vô tận của máy đóng mở kiểu vít thường được chế tạo từ thép C45. Với máy đóng mở quay tay có sức nâng đến 3 tấn có thể chế tạo bằng thép CT51.

B.3.3.3 Tính thiết kế trục về độ bền

B.3.3.3.1 Tải trọng chủ yếu tác dụng lên trục là mô men xoắn và các lực tác dụng khi ăn khớp được biểu thị theo sơ đồ ở Hình B.4.

B.3.3.3.2 Xác định lực tác dụng lên trục trong bộ truyền bánh răng côn theo phương pháp sau đây:

a) Lực vòng Ft1 và Ft2:

Lực vòng Ft1 và Ft2, N được xác định theo công thức sau:

Mmax và M là mô men xoắn danh nghĩa và mô men xoắn quá tải trên trục bánh vít ;

[su]max và [stx]max là ứng suất uốn quá tải và ứng suất tiếp xúc quá tải cho phép xác định theo Bảng B.12.

Bảng B.12 – Ứng suất tiếp xúc quá tải và ứng suất uốn quá tải

Vật liệu bánh vít

Ứng suất quá tải, N/mm2

[stx]max , N/mm2

[su]max , N/mm2

Đồng thanh pha thiếc

Đồng thanh không thiếc

Gang

4 sch

2 sch

260 ¸ 300

0,8 sch

0,6 sb

B.3.3 Tính toán thiết kế trục

B.3.3.1 Yêu cầu chung

Các trục truyền của máy đóng mở kiểu vít gồm có trục bánh răng côn, trục vít vô tận, tiếp nhận mô men xoắn dẫn động từ tay quay (khi quay tay) hoặc từ động cơ (khi chạy điện) truyền chuyển động quay cho đai ốc chịu lực đưa vít me chuyển động tịnh tiến theo 2 chiều. Tính toán thiết kế trục tiến hành trình tự theo các bước sau:

– Chọn vật liệu;

– Tính thiết kế trục về độ bền;

– Kiểm nghiệm trục về độ bền mỏi và về độ cứng.

B.3.3.2 Chọn vật liệu

Trục bánh răng côn và trục vít vô tận của máy đóng mở kiểu vít thường được chế tạo từ thép C45. Với máy đóng mở quay tay có sức nâng đến 3 tấn có thể chế tạo bằng thép CT51.

B.3.3.3 Tính thiết kế trục về độ bền

B.3.3.3.1 Tải trọng chủ yếu tác dụng lên trục là mô men xoắn và các lực tác dụng khi ăn khớp được biểu thị theo sơ đồ ở Hình B.4.

B.3.3.3.2 Xác định lực tác dụng lên trục trong bộ truyền bánh răng côn theo phương pháp sau đây:

a) Lực vòng Ft1 và Ft2:

Lực vòng Ft1 và Ft2, N được xác định theo công thức sau:

b) Lực hướng tâm Fr1 và Fr2:

Fr1 = Ft1.tga.cosd1 , N                                                                             (B.70)

Fr2 = Ft2.tga.cosd2 , N                                                                             (B.71)

c) Lực dọc trục Fa1 và Fa2 :

Fa1 = Ft1.tga.sind1 , N                                                                              (B.72)

Fa2 = Ft2.tga.sind2 , N                                                                              (B.73)

trong đó:

 Với h là hiệu suất bộ truyền; i là tỷ số truyền;

 d1, d2 là đường kính vòng chia của trục vít và bánh vít;

 a = 20o là góc profin trong mặt cắt dọc của trục vít.

B.3.3.3.4 Tính toán xác định đường kính trục như sau:

a) Đường kính đầu trục bánh răng côn nhỏ và của trục vít xác định sơ bộ theo mô men xoắn trên trục:

trong đó:

 Mtd là mô men tương đương xác định theo công thức ở trên;

 Mu là mô men uốn tổng, xác định theo momen trong mặt phẳng thẳng đứng Mx1 và mô men trong mặt phẳng ngang My1 ;

 [su] = 20 N/mm2 ¸ 35 N/mm2 là ứng suất uốn cho phép của thép chế tạo trục.

d) Đường kính trục các đoạn còn lại được xác định sau khi đã xác định đường kính đầu trục và vị trí lắp bánh răng trên cơ sở công nghệ lắp ghép (dễ tháo lắp, cố định trục và các chi tiết trên trục).

B.3.3.4 Chọn khoảng cách các mố đỡ và chiều dài các đoạn trục

Khoảng cách giữa các gối đỡ (khoảng cách giữa tâm hai ổ đỡ) được xác định theo chiều dài máy ở bánh răng và chiều rộng thành hộp (ở vị trí lắp ổ lăn hoặc ổ trượt), khe hở giữa các bánh răng và giữa bánh răng với thành hộp.

B.3.4 Tính kiểm nghiệm trục về độ bền mỏi

Sau khi xác định đường kính trục và một số kích thước chính cần kiểm nghiệm trục về độ bền mỏi tại các tiết diện nguy hiểm theo điều kiện sau:

trong đó:

 Mtd là mô men tương đương xác định theo công thức ở trên;

 Mu là mô men uốn tổng, xác định theo momen trong mặt phẳng thẳng đứng Mx1 và mô men trong mặt phẳng ngang My1 ;

 [su] = 20 N/mm2 ¸ 35 N/mm2 là ứng suất uốn cho phép của thép chế tạo trục.

d) Đường kính trục các đoạn còn lại được xác định sau khi đã xác định đường kính đầu trục và vị trí lắp bánh răng trên cơ sở công nghệ lắp ghép (dễ tháo lắp, cố định trục và các chi tiết trên trục).

B.3.3.4 Chọn khoảng cách các mố đỡ và chiều dài các đoạn trục

Khoảng cách giữa các gối đỡ (khoảng cách giữa tâm hai ổ đỡ) được xác định theo chiều dài máy ở bánh răng và chiều rộng thành hộp (ở vị trí lắp ổ lăn hoặc ổ trượt), khe hở giữa các bánh răng và giữa bánh răng với thành hộp.

B.3.4 Tính kiểm nghiệm trục về độ bền mỏi

Sau khi xác định đường kính trục và một số kích thước chính cần kiểm nghiệm trục về độ bền mỏi tại các tiết diện nguy hiểm theo điều kiện sau:

trong đó :

 Mx là mô men xoắn, Nmm ;

 Wxl là mô men chống xoắn tại tiết diện trục đang xét, mm3;

 ks và k­t là hệ số kích thước khi uốn và xoắn xác định theo đường kính trục;

 Ys , Yt là hệ số tính đến ảnh hưởng của chu kỳ thành phần không đổi đến độ bền mỏi xác định theo vật liệu trục.

B.3.5 Tính kiểm nghiệm trục về độ bền tĩnh

Để đề phòng khả năng bị biến dạng quá lớn hoặc phá hỏng do quá tải đột ngột, tiến hành kiểm nghiệm trục về độ bền tĩnh theo công thức :

[s] = 0,86.sch                                                                             (B.91)

trong đó:         

Mumax là mô men uốn lớn nhất tại tiết diện nguy hiểm lúc quá tải, Nmm;

Mxmax là mô men xoắn lớn nhất tại tiết diện nguy hiểm lúc quá tải, Nmm;

 sch là giới hạn chảy của vật liệu trục, N/mm2.

B.3.6 Tính kiểm nghiệm trục về độ cứng

B.3.6.1 Tính độ cứng uốn

Khi độ võng f của trục quá lớn sẽ làm bánh răng bị nghiêng còn khi có góc xoay q quá lớn làm kẹt các con lăn trong ổ.

Tính kiểm nghiệm trục đảm bảo độ cứng uốn theo công thức (B.92)

 f £ [f]

 q £ [q]                                                                                      (B.92)

trong đó :

 [f] là độ võng cho phép:

 [f] = 0,0002.l ¸ 0,0003.l, với l là khoảng cách giữa các gối đỡ;

 [q] = 0,005 rad là góc xoay cho phép đối với ổ lăn;

 [q] = 0,001 rad là góc xoay cho phép đối vơi ổ trượt.

B.3.6.2 Tính độ cứng xoắn

– Tính kiểm nghiệm độ cứng xoắn của trục theo công thức:

trong đó:

 h là chiều sâu rãnh then, mm ;

 Hệ số: g = 0,5 khi có 1 rãnh then;

 Hệ số: g = 1,2 khi có 2 rãnh then đối xứng nhau 180o;

 Góc xoắn cho phép [j] = 30o trên chiều dài 1 m.

B.4 Sai số khi lắp ráp

Bảng B.13 – Sai số cho phép khi lắp ráp

Bộ phận lắp

Tên các sai số

Trị số cho phép

Hộp giảm tốc, hộp chịu lực

Khe hở hướng tâm răng

Theo TCVN

Khe hở biên răng

Theo TCVN

Sai số khoảng cách trục

Theo TCVN

Ổ bi

Đường kính trong và ngoài

Theo TCVN

Hiệu chỉnh khi lắp lên bệ máy

Các tấm đệm đế hộp giảm tốc, động cơ, gối đỡ

< 2=”” tấm=”” theo=”” chiều=””>

Phần bu lông nhô khỏi đai ốc khi vặn chặt

2 vòng ren ¸ 5 vòng ren

Độ không đồng tâm trục động cơ và hộp giảm tốc, gối đỡ

< 0,3=””>

Bôi trơn

Hộp giảm tốc kín bằng dầu

<>

Hộp chịu lực, cụm vít me đai ốc

Theo yêu cầu

 

Leave a Reply

Your email address will not be published. Required fields are marked *