Tiêu chuẩn Việt Nam TCVN8636:2011

  • Loại văn bản: Tiêu chuẩn Việt Nam
  • Số hiệu: TCVN8636:2011
  • Cơ quan ban hành: ***
  • Người ký: ***
  • Ngày ban hành: ...
  • Ngày hiệu lực: ...
  • Lĩnh vực: Xây dựng
  • Tình trạng: Không xác định
  • Ngày công báo: ...
  • Số công báo: Còn hiệu lực

Nội dung toàn văn Tiêu chuẩn quốc gia TCVN 8636:2011 về công trình thủy lợi – Đường ống áp lực bằng thép – Yêu cầu kỹ thuật trong thiết kế, chế tạo và lắp đặt


TIÊU CHUẨN QUỐC GIA

TCVN 8636: 2011

CÔNG TRÌNH THỦY LỢI – ĐƯỜNG ỐNG ÁP LỰC BẰNG THÉP – YÊU CẦU KỸ THUẬT TRONG THIẾT KẾ, CHẾ TẠO VÀ LẮP ĐẶT
Hydraulic structures – Steel penstock – Technical requirements for designing, manufacturing and installation

Mục lục

Lời nói đầu

1 Phạm vi áp dụng

2 Thuật ngữ và định nghĩa

3 Yêu cầu kỹ thuật chung

4 Vật liệu đường ống

5 Tải trọng và tổ hợp tính toán đường ống áp lực đặt tự do

6 Tính toán độ bền và ổn định đường ống áp lực

7 Chế tạo đường ống áp lực

8 Thử nghiệm đường ống áp lực

9 Sơn bảo vệ đường ống áp lực

10 Hệ thống quan trắc đường ống áp lực

Phụ lục A (Quy định): Xác định các lực tác động lên đường ống và các mố của nó (các giá trị Ai)

Phụ lục B (Quy định): Hệ số dùng trong tính toán thiết kế

Phụ lục C (Quy định): Đường kính tiêu chuẩn và chiều dày cấu tạo nhỏ nhất cho phép của thành ống

Phụ lục D (Quy định): Khoảng cách lớn nhất các vành đai tăng cứng

Phụ lục E (Tham khảo): Tính toán sức bền, ổn định của đường ống thép và các phụ kiện

Phụ lục F (Quy định): Hình dạng đường hàn và các khuyết tật bên ngoài của đường hàn cấp I, II và III

Phụ lục G (Quy định): Dung sai cho phép khi chế tạo, lắp ráp đường ống áp lực

Phụ lục H (Tham khảo): Sơ đồ vị trí các đường hàn

Phụ lục I (Quy định): Trị số áp lực thử nghiệm tối thiểu

Thư mục tài liệu tham khảo

Lời nói đầu

TCVN 8636: 2011 Công trình thủy lợi – Đường ống áp lực bằng thép – Yêu cầu kỹ thuật trong thiết kế, chế tạo và lắp đặt, được chuyển đổi từ 32 TCN E5-74, theo quy định tại khoản 1 điều 69 của Luật Tiêu chuẩn và Quy chuẩn kỹ thuật và điểm a, khoản 1 điều 7 của Nghị định số 127/2007/NĐ-CP ngày 01 tháng 8 năm 2007 của Chính phủ quy định chi tiết thi hành một số điều của Luật Tiêu chuẩn và Quy chuẩn kỹ thuật.

TCVN 8636: 2011 do Trung tâm Khoa học và Triển khai kỹ thuật thủy lợi thuộc trường Đại học Thủy lợi biên soạn, Bộ Nông nghiệp và Phát triển nông thôn đề nghị, Tổng cục Tiêu chuẩn Đo lường Chất lượng thẩm định, Bộ Khoa học và Công nghệ công bố tại Quyết định số 362/QĐ-BKHCN ngày 28 tháng 02 năm 2011.

CÔNG TRÌNH THỦY LỢI – ĐƯỜNG ỐNG ÁP LỰC BẰNG THÉP – YÊU CẦU KỸ THUẬT TRONG THIẾT KẾ, CHẾ TẠO VÀ LẮP ĐẶT
Hydraulic structures – Steel penstock – Technical requirements for designing, manufacturing and installation

1 Phạm vi áp dụng

1.1 Tiêu chuẩn này quy định các yêu cầu kỹ thuật trong thiết kế, chế tạo, lắp đặt và thử nghiệm các đường ống áp lực bằng thép đặt lộ thiên trong các công trình thủy lợi, thủy điện, bao gồm chế tạo mới, sửa chữa, phục hồi hoặc nâng cấp.

1.2 Tiêu chuẩn này không áp dụng cho những đường ống lấp đất hoặc có lớp bọc bằng thép của đường hầm áp lực công trình thủy lợi, thủy điện.

1.3 Khi nghiên cứu, thiết kế, chế tạo lắp đặt, ngoài các yêu cầu của tiêu chuẩn này còn phải tuân theo các yêu cầu được quy định trong các tiêu chuẩn hiện hành có liên quan.

2 Thuật ngữ và định nghĩa

Tiêu chuẩn này sử dụng các thuật ngữ và định nghĩa sau:

2.1

Đường ống áp lực (Penstock)

Đờng ống có áp lực nước bên trong tác dụng lên suốt chiều dài đường ống.

2.2

Đường ống nằm tự do (Exposed penstock)

Đường ống thép áp lực đặt tự do lộ ra ngoài không khí.

2.3

Ống phân nhánh (Branch pipe)

Đoạn ống thép áp lực ở vị trí đường ống dẫn nước phân nhánh.

2.4

Mố néo (Anchor)

Mố đỡ và néo định vị cố định đường ống tại chỗ, bảo đảm đoạn ống thép không phát sinh chuyển vị, nghiêng lật và xoắn.

2.5

Gối đỡ (Support)

Mố đỡ chịu trọng lượng của ống giữa các mố néo, cho phép ống chuyển vị tự do dọc trục đường ống.

2.6

Nước va (Water hammer)

Hiện tượng áp lực nước trong đường ống tăng cao đột ngột (nước va dương) hoặc hạ thấp đột ngột (nước va âm) phát sinh khi lưu tốc trong đường ống thay đổi đột ngột.

2.7

Ứng suất màng (Membranous stress)

Ứng suất kéo hoặc ứng suất nén phân bố đều dọc theo chiều dày ống thép và ứng suất cắt tại mặt bằng vách ống.

2.8

Ứng suất cục bộ (Concentrated stress)

Ứng suất màng cục bộ và ứng suất uốn cục bộ không đồng đều trong chiều dày vách ống.

2.9

Đai tăng cường (Reinforced ring)

Đai thép bố trí mặt ngoài ống để tăng cường khả năng chống chịu áp lực của đường ống trong quá trình gia công, chế tạo, lắp ráp và vận hành khai thác.

2.10

Đai gối (Supporting ring)

Kết cấu vành đai dùng để gia cố, tăng khả năng chịu lực ở giữa ống thép và gối đỡ.

2.11

Vành chặn nước (Front-end ring bock)

Kết cấu vành bố trí tại đoạn bắt đầu của ống thép (hoặc vỏ ống) dùng để chắn nước.

2.12

Đai hãm (Fixing collar)

Kết cấu đai bố trí bên ngoài vỏ ống thép để ngăn không cho ống xê dịch theo hướng trục ống.

2.13

Lớp đệm mềm (Cushion)

Loại vật liệu có mô đun biến dạng nhỏ hơn mô đun biến dạng của thép, bố trí ở giữa mặt ngoài vỏ ống thép và bê tông.

2.14

Khớp co giãn (Compensator)

Khớp nối giữa hai ống thép đồng tâm có tính năng điều chỉnh chiều dài ống nhằm loại trừ sai số do chế tạo, lắp ráp hoặc do lún nền móng công trình và giãn nở nhiệt khi ống bị cố định hai đầu.

2.15

Vật chắn nước (Leaking preventing material)

Vật liệu dùng để ngăn chặn nước rò rỉ ở khớp co giãn và lỗ thăm trên đường ống.

2.16

Sai lệch độ tròn đường ống thép (Steel pipe roundness tolerance)

Trị số chênh lệch của hai đường kính vuông góc với nhau tại cùng một tiết diện ống thép.

2.17

Lượng dư chiều dày vách ống (Pipe spare thickness)

Phần chiều dầy ống thép có khả năng bị han rỉ, mài mòn… trong quá trình làm việc được cộng thêm vào chiều dầy vách ống tính toán .

2.18

Thí nghiệm áp lực nước (High water pressure test)

Biện pháp cho đầy nước vào đường ống và tăng áp lực để kiểm nghiệm chất lượng thiết kế, vật liệu chế tạo và chất lượng chế tạo, lắp đặt… loại trừ bộ phận ứng suất hàn dư, chỗ khiếm khuyết, bảo đảm vận hành ống an toàn.

3 Yêu cầu kỹ thuật chung

3.1 Không tạo thành chân không trong đường ống trong quá trình vận hành. Khi thiết kế, lắp đặt đường ống có thể áp dụng các giải pháp sau:

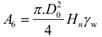
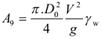
a) Đặt các ống thông hơi hay supap bổ sung không khí tại đầu đường ống hoặc tại những những vị trí có thể phát sinh chân không khi đường ống tháo cạn nước hoặc khi lưu lượng nước qua máy thủy lực tăng đột ngột. Diện tích của lỗ ống thông hơi hay supap, F, m2, được xác định theo công thức (1):

trong đó:

Q là lưu lượng không khí qua lỗ, lấy bằng lưu lượng nước lớn nhất qua đường ống, m3/s;

C là hệ số lưu lượng lấy như sau:

Đối với supap:                          C = 0,5;

Đối với ống thông hơi:              C = 0,7

Dp là độ chênh lệch áp suất giữa mặt ngoài và mặt trong của đường ống, MPa:

E là mô đuyn đàn hồi của thép, E = 0,21.106 MPa ;

d là chiều dầy vỏ ống, cm;

D0 là đường kính trong của đường ống, cm;

k là hệ số dự trữ, lấy như sau:

Đối với đường ống lộ thiên:                   k = 10;

Đối với đường ống bọc bê tông:           k = 5;

b) Chọn tuyến đường ống sao cho điểm cao nhất của đường ống phải thấp hơn đường nước va âm (-) không dưới 2,0 m.

3.2 Tại những vị trí trục tim của đường ống thay đổi bất kỳ theo một hoặc hai phương phải được giữ cố định bằng mố néo. Khoảng cách giữa các mố néo nếu lớn hơn khoảng cách cho phép Lcf thì phải xem xét điều chỉnh lại tuyến đường ống hoặc bố trí thêm mố néo cho phù hợp.

3.3 Thiết kế mố néo cần xem xét hai phương án:

a) Gắn chặt đường ống vào khối bê tông cốt thép theo toàn bộ chu vi ống (nối kín);

b) Néo chặt ống bằng các vành đai liên kết hàn với khung neo, phần dưới chôn trong khối bê tông cốt thép (nối hở).

3.4 Đoạn đường ống giữa hai mố néo liên tiếp phải đặt trên các mố đỡ trung gian. Các mố đỡ trung gian phải đảm bảo đường ống có khả năng xê dịch khi điều kiện nhiệt độ môi trường thay đổi.

3.5 Tùy theo độ lớn đường kính trong D0 của đường ống mà chọn các kiểu mố đỡ trung gian sau:

D0 £ 800 mm: cho phép sử dụng kiểu yên ngựa hoặc kiểu mặt trượt hai bên;

800 mm < D0 £ 2 000 mm: cho phép sử dụng kiểu mặt trượt hai bên hoặc kiểu con lăn;

D0 > 2 000 mm: chỉ được phép sử dụng kiểu con lăn.

3.6 Đỡ đường ống phải thực hiện bằng vành đai hàn liền với đường ống, chuyển tải trọng xuống mố đỡ thông qua mặt trượt hoặc qua con lăn.

3.7 Các khớp bù co giãn phải đảm bảo độ kín khít và sự co giãn dễ dàng của đường ống theo đường trục ống. Trong trường hợp đường ống nằm trên vùng đất yếu, các khớp bù co giãn phải đảm bảo co giãn theo đường trục và góc xoay.

3.8 Trên toàn bộ tuyến đường ống phải đảm bảo tháo hết nước trong đường ống cũng như thoát hết nước ngầm, nước mặt trong hành lang đặt đường ống. Phải có đường đi lại thuận tiện cho việc quan trắc, bảo trì sửa chữa đường ống khi cần thiết.

3.9 Ở đầu đường ống phải trang bị cửa van hoặc van phòng sự cố. Các van này làm việc tự động dưới tác động của thiết bị bảo vệ cực đại khi đường ống bị vỡ và thiết bị bảo vệ bộ phận chống lại sự chênh lệch lưu lượng trong đường ống. Thời gian đóng hoàn toàn cửa van hoặc van phòng sự cố không quá 2 phút.

3.10 Trên dọc tuyến đường ống phải bố trí các cửa “thăm” để định kỳ kiểm tra, tu sửa bên trong đường ống, khoảng cách giữa các cửa “thăm” không quá 200 m, đường kính cửa “thăm” không nhỏ hơn 450 mm.

3.11 Kết cấu các mố đỡ trung gian phải dự kiến khả năng chống xê dịch ngang và điều chỉnh được chiều cao khi lắp ráp. Các bộ phận như mặt trượt, con lăn phải được che chắn không bị mưa nắng xâm nhập làm hỏng chất bôi trơn.

3.12 Khoảng cách giữa các mố néo được xác định tùy thuộc vào điều kiện địa hình, địa chất của tuyến đường ống và các kết quả tính toán về ứng suất, biến dạng của đường ống dưới tác dụng của nhiệt độ môi trường thay đổi trong các tổ hợp tính toán. Đối với đường ống cắt đoạn, chiều dài đoạn giữa hai mố néo L0 có đặt khớp bù co giãn phải thỏa mãn điều kiện theo công thức (2):

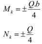
a.E.Dt.p.D.d ³ A1 + A4 + A5 + A6 + A7 + A8 (2);

trong đó:

a là hệ số nở dài của thép tấm: a = 0,12.10-4, 1/oC;

E là mô đuyn đàn hồi của thép: E = 0,21.106 MPa ;

Dt là trị số thay đổi nhiệt độ của môi trường, oC;

D là đường kính trung bình của đường ống, cm;

d là chiều dầy thành ống, cm;

A1,A4, A5, A6, A7, A8 là các lực tác dụng lên ống, xác định theo phụ lục A.

3.13 Chiều dài tối thiểu phần đường ống gắn trong bê tông mố néo được xác định theo điều kiện làm việc của bê tông, dưới tác dụng của các tải trọng chính do đường ống gây ra theo tổ hợp tính toán.

3.14 Các mố néo, mố đỡ trung gian phải đảm bảo ổn định về trượt và ổn định về lún đối với các tổ hợp tải trọng tính toán bất lợi nhất của đường ống truyền lên. Nếu các mố là chung cho một số đường ống, phải được tính toán kiểm tra trường hợp làm việc không đồng thời của các đường ống.

3.15 Khoảng cách giữa các mố đỡ trung gian Lk, cm, được chọn từ kết quả tính toán công suất và độ võng của đường ống, kết hợp với điều kiện địa hình, địa chất của tuyến đường ống. Sơ bộ có thể chọn khoảng cách giữa các mố đỡ trung gian theo công thức (3):

trong đó:

R’ là cường độ chịu kéo cho phép của vật liệu giảm đi, MPa, R’ lấy từ 15 % đến 20 %;

q là tải trọng phân bố đều, bao gồm trọng lượng của đường ống thép và tải trọng nước chứa đầy trong ống, MPa;

r, d là bán kính trong và chiều dầy thành ống, cm.

3.16 Tính toán tổn thất thủy lực htt gồm tổn thất ma sát dọc đường ống hf và tổn thất cục bộ hc, được thực hiện cho các phương án tuyến và đường kính so chọn. Phải thiết lập đường quan hệ giữa các tổn thất thủy lực và lưu lượng nước chuyển qua đường ống htt = f(Q) để lựa chọn phương án hợp lý.

3.17 Phải tính toán áp lực nước va lớn nhất và nhỏ nhất, lập sơ đồ đường phân bố áp lực tác dụng lên thành ống theo suốt chiều dài đường ống được tiến hành ở hai chế độ giả định có thể xảy ra trong vận hành các tổ máy thủy lực của trạm thủy điện:

a) Các tổ máy thủy lực sa thải toàn bộ phụ tải;

b) Các tổ máy thủy lực tăng phụ tải từ 0 đến phụ tải định mức.

3.18 Phương án cấp nước cho tổ máy thủy lực phải được lựa chọn trên cơ sở các chỉ tiêu kinh tế kỹ thuật, điều kiện gia công chế tạo, chuyên chở, lắp ráp và điều kiện địa hình, địa chất của tuyến đường ống áp lực.

3.19 Đường kính tối ưu của đường ống áp lực được xác định trên những chỉ tiêu tạo thành sau đây:

a) Áp lực nước va tăng cuối đường ống áp lực:

– Từ 25 % đến 30 % đối với tuabin francis (tua bin tâm trục);

– Từ 30 % đến 40 % đối với tuabin kaplan (tua bin cánh quay);

– Từ 10 % đến 15 % đối với tuabin pelton (tua bin gáo);

b) Vòng quay lồng cho phép so với vòng quay định mức:

– Từ 130 % đến 140 % đối với tổ máy thủy lực tuabin kaplan và francis;

– Từ 105 % đến 110 % đối với tổ máy thủy lực tuabin pelton.

4 Vật liệu đường ống

4.1 Vật liệu để chế tạo đường ống thép gồm cốt ống, vành đỡ, vành tăng cứng là thép các bon cán nóng, có giới hạn chảy từ 230 MPa đến 250 MPa, giới hạn bền kéo từ 380 MPa đến 490 MPa, độ giãn tương đối tại mẫu thử hình ngũ giác từ 23 % đến 26 %; độ dai va đập trong nhiệt độ dương từ 7 kg.m/cm2 đến 8 kg.m/cm2.

4.2 Khi ống áp lực có đường kính lớn, chịu áp lực cao, có tích số p.D ³ 60 MPa/cm, để tránh chiều dày thành ống quá lớn khó gia công nên sử dụng thép hợp kim thấp có giới hạn chảy từ 300 MPa đến 400 MPa, hoặc thép có độ bền cao có giới hạn chảy từ 400 MPa đến 600 MPa.

4.3 Việc chọn vật liệu để gia công chế tạo đường ống cần được xem xét trên cơ sở áp lực tính toán và các đặc tính của chúng về độ bền, khả năng chịu hàn, điều kiện và biện pháp hàn.

4.4 Vật liệu que hàn để hàn đường ống áp lực phải được chọn phù hợp với thép hàn. Đảm bảo đường hàn có đặc tính cơ lý tương đương với thép cơ bản bao gồm:

a) Giới hạn chảy của đường hàn, sch, MPa;

b) Giới hạn bền kéo của đường hàn, sB, MPa ;

c) Góc uốn trong trạng thái nguội, a, độ (o);

d) Độ giãn tương đối, e, %.

4.5 Cường độ tính toán R của vật liệu, MPa, được xác định theo công thức (4):

R = RTC.C.K.m.mv                                              (4)

trong đó:

RTC là sức kháng tiêu chuẩn của vật liệu, xác định như sau:

1) Đối với đường ống đặt lộ thiên, lấy bằng giới hạn chảy: RTC = sch;

2) Đối với đường ống ngầm:

– Khi tính với áp lực bên trong lấy bằng giới hạn bền: RTC = sB ;

– Khi tính với áp lực bên ngoài lấy bằng giới hạn chảy: RTC = sch ;

C là hệ số chuyển đổi từ cường độ chính sang cường độ tiêu chuẩn, lấy ở bảng B.1 phụ lục B ;

K là hệ số kể đến tính đồng chất của vật liệu, lấy theo bảng B.2 phụ lục B;

m là hệ số điều kiện làm việc. Với ống đặt tự do, hệ số m lấy như sau:

– Khi đường ống chịu áp lực bên trong: m = 0,71;

– Khi đường ống chịu áp lực bên ngoài: m = 0,85;

– Khi đường ống chịu tải trọng đặc biệt: m = 0,95;

mv là hệ số phụ thuộc vào cấp của công trình:

– Đối với công trình cấp đặc biệt:                       mv = 0,80 ;

– Đối với công trình cấp I:                                  mv = 0,85 ;

– Đối với công trình cấp II:                                  mv = 0,95 ;

– Đối với công trình cấp III, cấp IV:                     mv = 1,00 .

4.6 Trong tất cả các trường hợp tính toán ứng suất không được vượt quá ứng suất cho phép. Tại các chỗ rẽ nhánh và các đoạn đặc biệt nguy hiểm, ứng suất tính toán không được vượt quá 85 % ứng suất cho phép.

4.7 Các kết cấu khác của đường ống như vòng làm cứng, vòng đai các mố néo, mố đỡ trung gian và các chi tiết khác v.v… ứng suất tính toán khi chịu tải trọng đồng thời thời gồm tải trọng chính, tải trọng phụ và đặc biệt, không vượt quá 90 % ứng suất chảy sch của vật liệu.

4.8 Vật liệu chắn nước ở khớp bù co giãn, cửa kiểm tra thường sử dụng gioăng cao su. Khi áp lực nước từ 8 MPa trở lên phải dùng chắn nước bằng đồng.

5 Tải trọng và tổ hợp tính toán đường ống áp lực đặt tự do

5.1 Tải trọng tác dụng lên đường ống

5.1.1 Khi tính toán, thiết kế đường ống áp lực công trình thủy lợi và thủy điện phải kể đến các loại tải trọng sau đây:

a) Tải trọng chính bao gồm:

1) Áp lực của nước tác dụng lên thành ống bằng tổng áp lực thủy tĩnh và áp lực nước tăng lớn nhất khi các tổ máy thủy lực xả phụ tải và hệ số dự phòng K lấy từ 1,1 đến 1,5. Đối với những công trình thủy điện có tháp điều áp trước đường ống còn phải kể đến cột nước dềnh trong tháp;

2) Lực dọc trục đường ống do đường kính ống thay đổi tại các khuỷu cong và tại các mặt mút của khớp bù co giãn;

3) Trọng lượng bản thân đường ống bao gồm phần kết cấu thép và nước chứa đầy trong ống;

4) Lực ma sát giữa đường ống thép với mố đỡ trung gian, giữa nước với thành ống, lực ma sát bên trong khớp bù co giãn;

5) Lực ly tâm do nước chảy qua các chỗ khuỷu cong;

6) Lực do biến dạng dưới tác dụng của nhiệt độ môi trường và áp lực nước bên trong gây ra đối với đường ống không cắt đoạn;

7) Áp lực của đất đá lên các mố néo, mố đỡ trung gian;

8) Lực tác dụng do lún không đều của các mố néo, mố đỡ trung gian;

9) Áp lực của đất đá tác dụng lên những đoạn ống chôn ngầm;

b) Tải trọng phụ bao gồm:

1) Độ chân không phát sinh trong đường ống khi tháo cạn nước;

2) Tác dụng của lực gây mất ổn định khi đường ống chứa nước một nửa đối với những đường ống có đường kính lớn hơn 2 400 mm, chiều dầy thành ống nhỏ hơn 14 mm, góc nghiêng trục ống dưới 150;

3) Tải trọng của gió;

4) Tải trọng khi thử nghiệm thủy lực;

5) Tải trọng phát sinh trong quá trình thi công phần bê tông;

c) Tải trọng đặc biệt: gồm tải trọng do tác dụng của động đất và các yếu tố địa chất khác.

5.1.2 Các công thức tính toán xác định trị số lực tác dụng lên đường ống, các néo và mố đỡ trung gian lấy theo bảng A.1 phụ lục A.

5.1.3 Tất cả các lực của đường ống truyền lên mố néo được phân tích thành ba thành phần hợp thành: theo trục ống, theo phương thẳng đứng và theo phương nằm ngang. Từ đó tất cả các thành phần lực được ấn định cho các đoạn trên và dưới mố néo.

5.1.4 Hệ số ma sát f chọn như sau:

a) Trong khớp bù co giãn với chất trám bằng dây tẩm graphite hoặc gioăng cao su: f = 0,3;

b) Ở mố đỡ trung gian:

– Đối với mố đỡ kiểu con lăn, bôi mỡ thường xuyên: f = 0,1 ;

– Đối với mố đỡ kiểu mặt trượt, bôi mỡ thường xuyên: f = 0,3 ;

– Đối với mố đỡ kiểu mặt trượt, không bôi mỡ thường xuyên: f = 0,5 .

5.1.5 Tính toán đường ống và các cấu kiện của đường ống cũng như phần xây dựng thủy công, mố néo, mố đỡ trung gian, được tiến hành trên cơ sở tổ hợp các tải trọng tính toán. Khi thiết kế cần lựa chọn trường hợp bất lợi nhất mà thực tế công trình có thể xảy ra các trường hợp đó.

5.2 Các tổ hợp tính toán đường ống

5.2.1 Tổ hợp cơ bản thứ nhất, gồm các tải trọng sau:

a) Áp lực nước lớn nhất trong đường ống bằng áp lực thủy tĩnh ứng với mức nước cao nhất của hồ chứa và áp lực nước va tăng lớn nhất khi cơ cấu điều chỉnh của tuabin thủy lực làm việc bình thường;

b) Lực ly tâm tại các đoạn ống cong do nước chảy qua gây ra;

c) Trọng lượng kết cấu của đường ống và trọng lượng nước chứa đầy bên trong;

d) Áp lực nước tác dụng lên các đoạn ống cong;

e) Lực ma sát ở các mố đỡ trung gian, các mối bù co giãn khi nhiệt độ môi trường thay đổi;

f) Lực ma sát giữa nước với thành ống;

g) Áp lực nước tác dụng lên các đoạn ống có đường kính thay đổi;

h) Lực tác dụng của đường ống không cắt đoạn lên các mố néo, mố đỡ khi nhiệt độ của môi trường thay đổi.

5.2.2 Tổ hợp cơ bản thứ hai, gồm các tải trọng sau:

a) Áp lực khí quyển bên ngoài đường ống khi giảm áp lực bên trong do quá trình điều tiết bình thường của tubin gây ra;

b) Trọng lượng bản thân kết cấu thép của đường ống;

c) Lực ma sát tại các mố đỡ trung gian khi đường ống tháo cạn hết nước và lực ma sát ở mối bù co giãn khi nhiệt độ môi trường thay đổi;

d) Lực gây ra do đường ống co giãn dưới tác dụng của nhiệt độ môi trường thay đổi đối với đường ống không cắt đoạn, trong đường ống không có nước.

5.2.3 Tổ hợp vận hành thứ nhất, gồm các tải trọng sau:

a) Áp lực nước trong đường ống bằng tổng áp lực thủy tĩnh ứng với mực nước gia cường của hồ chứa và áp lực nước va tăng lớn nhất khi tổ máy thủy lực xả toàn bộ phụ tải. Với trường hợp có tháp điều áp thì phải kể đến cột nước dềnh trong tháp;

b) Các tải trọng khác tác động đồng thời lấy theo tổ hợp cơ bản thứ nhất, quy định tại 5.2.1.

5.2.4 Tổ hợp vận hành thứ hai, gồm các tải trọng sau:

a) Áp lực khí quyển bên ngoài đường ống, bên trong đường ống xuất hiện chân không trong trường hợp đường ống tháo cạn mà ống thông hơi ở đầu đường ống bị tắc;

b) Các tải trọng khác tác động đồng thời lấy theo tổ hợp cơ bản thứ hai, quy định tại 5.2.2.

5.2.5 Tổ hợp vận hành thứ ba, gồm các tải trọng sau:

a) Áp lực khí quyển bên ngoài đường ống, bên trong đường ống phát sinh chân không xuất hiện nước va âm do cơ cấu điều chỉnh tua bin bị hỏng;

b) Các tải trọng khác lấy theo tổ hợp cơ bản thứ hai, quy định tại 5.2.2.

5.2.6 Tổ hợp vận hành thứ tư, gồm các tải trọng sau:

a) Tải trọng do động đất gây nên;

b) Các tải trọng khác lấy theo tổ hợp cơ bản thứ nhất, quy định tại 5.2.1.

5.2.7 Tổ hợp thời kỳ thi công xây dựng, gồm các tải trọng sau:

a) Trọng lượng bản thân kết cấu thép của đường ống;

b) Lực ma sát ở mố đỡ trung gian, mối bù co giãn đối với đường ống cắt đoạn;

c) Lực do đường ống co giãn dưới tác dụng của nhiệt độ môi trường thay đổi đối với đường ống không cắt đoạn;

d) Tải trọng của bê tông thời kỳ thi công lên các đoạn mố néo kiểu kín.

5.2.8 Tổ hợp thử nghiệm thủy lực, gồm các tải trọng sau:

a) Áp lực thủy tĩnh bên trong đường ống khi bơm nén nước thử nghiệm;

b) Trọng lượng kết cấu thép của đường ống và nước chứa đầy trong đường ống;

c) Lực ma sát ở mố đỡ trung gian, khớp bù co giãn đối với đường ống cắt đoạn;

d) Lực do đường ống co giãn khi nhiệt độ môi trường thay đổi đối với đường ống không cắt đoạn;

e) Các hệ số vượt tải khi tính toán đường ống, mố néo, mố đỡ trung gian lấy theo bảng B.3 phụ lục B.

6 Tính toán độ bền và ổn định đường ống áp lực

6.1 Tất cả các đường ống áp lực của công trình thủy lợi, thủy điện, khi thiết kế mới hay phục hồi, sửa chữa đều phải tính toán, kiểm tra sức bền và ổn định theo các tải trọng và các tổ hợp tính toán bất lợi nhất quy định tại điều 6.

6.2 Đường kính tiêu chuẩn, chiều dày cấu tạo nhỏ nhất cho phép của thành ống lấy theo phụ lục C.

6.3 Tính toán sức bền và ổn định của vỏ ống tại các tiết diện nguy hiểm nhất gồm:

a) Các tiết diện chính giữa các khoảng nhịp của mố néo đến mố đỡ trung gian số một kế đến của hai mố đỡ trung gian liên tiếp;

b) Các tiết diện tại các vành đai của mố đỡ trung gian;

c) Các tiết diện tại các vành đai tăng cứng;

d) Các tiết diện tại các vành đai néo của mố néo.

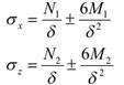
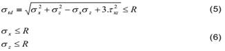
6.4 Trạng thái giới hạn độ bền của vỏ ống tại các tiết diện quy định tại 6.3, được kiểm tra bằng ứng suất tính đổi s theo lý thuyết bền thứ ba và thuyết ứng suất pháp lớn nhất, xem công thức (5) và công thức (6):

trong đó:

sx là ứng suất dọc trong vỏ ống, MPa;

sz là ứng suất vòng trong vỏ ống, MPa;

txz là ứng suất tiếp tác dụng trong mặt phẳng XZ, MPa;

R là cường độ tính toán của vật liệu, MPa.

6.5 Đối với các chi tiết cơ bản khác của đường ống, trạng thái giới hạn độ bền được kiểm tra theo điều kiện st £ R, trong đó st là ứng suất tính toán (ứng suất pháp tuyến hay ứng suất tiếp tuyến).

6.6 Khi thiết kế các đường ống áp lực của công trình thủy lợi, thủy điện có đường kính trong nhỏ hơn 2 400 mm, chiều dày vỏ ống nhỏ hơn 14 mm và góc nghiêng của trục tim ống theo đường nằm ngang nhỏ hơn 150 phải tính toán kiểm tra sức bền và độ ổn định của vỏ ống tại các tiết diện quy định tại các khoản a và b của 6.3.

6.7 Đối với đường ống đặt tự do chịu áp lực bên ngoài là áp lực khí quyển khi trị số r0/d ³ 66 (r0 là bán kính của đường ống và d là chiều dầy vỏ ống) phải có các vành đai tăng cứng cho vỏ ống để tránh vỏ ống bị bẹp khi bên trong đường ống phát sinh chân không. Khoảng cách lớn nhất của các vành đai quy định ở phụ lục D.

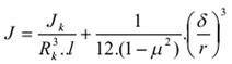
6.8 Khi đã chọn khoảng cách các vành đai tăng cứng, vỏ ống cần được kiểm tra ổn định theo điều kiện sau, xem công thức (7):

trong đó:

sz là ứng suất vỏ ống, MPa:                  sz = PH.r/d;

PH là áp suất khí quyển: PH = 0,1 MPa ;

r là bán kính ngoài của đường ống, cm;

d là chiều dày vỏ đường ống, cm;

m là hệ số tính toán: m = 0,75;

skpz là ứng suất tới hạn ứng với áp lực tới hạn, MPa, xác định như sau:

– Khi l/r ³ 20: skpz = 0,17;

– Khi 0,5 £ l/r £ 10: skpz = 0,55

– Khi 10 < l/r < 20: cho phép nội suy tuyến tính giá trị skpz;

Nếu kết quả tính toán cho skpz > 0,5 sT thì đưa thêm hệ số điều chỉnh z lấy theo bảng B.4 phụ lục B;

sT là ứng suất vòng tổng cộng, MPa ;

l là khoảng cách các vành tăng cứng;

E là mô đun đàn hồi của thép làm ống, MPa.

6.9 Đối với đường ống không cắt đoạn, kiểm tra ổn định theo công thức (8):

trong đó:

m = 0,9

sx là ứng suất nén dọc trục của vỏ ống, MPa;

sz là ứng suất vỏ ống, MPa:      sz = PH.r/d;

z là hệ số điều chỉnh ứng suất tới hạn, xác định theo 6.8 ;

skpz là ứng suất tới hạn ứng với áp lực tới hạn, MPa: skpx = C*.E.d/r.

C* là hệ số điều chỉnh phụ thuộc vào tỷ số r/d. Trị số C* lấy theo bảng 1:

Bảng 1

r/d

C*

50

0,30

100

0,22

200

0,18

300

0,16

6.10 Đối với những đoạn ống có đường kính thay đổi (hình côn), kiểm tra ổn định theo công thức (9):

trong đó:

N là tổng các lực dọc trục:        ;

skpx, skpz, sz tính theo r*

Hệ số m lấy bằng 0,495

Hình 1 – Sơ đồ đoạn ống hình côn

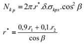
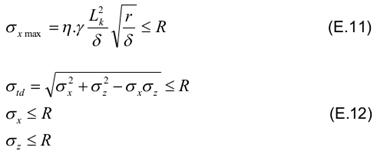
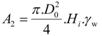
6.11 Kiểm tra ổn định của vành đai tăng cứng theo công thức (10) hoặc công thức (11):

trong đó:

m = 0,67;

n = 1,10;

k = 1,10 đến 1,20 ;

PH là áp lực bên ngoài, MPa ;

RH là ứng suất chảy của vật liệu, MPa ;

C là hệ số ứng suất, chọn như sau:

– Khi tính ứng suất pháp: C = 1,0 ;

– Khi tính ứng suất tiếp: C = 0,5 ;

f0 = 0,003.r;

r là bán kính trung bình của đường ống, cm;

ymax là khoảng cách lớn nhất từ trọng tâm của vành đai tăng cứng đến điểm xa nhất của nó, cm;

lod là chiều dài, cm:

lod = 1,56

d là chiều dày vỏ ống, cm;

a là chiều rộng của đai tiếp xúc với đường ống, cm;

Fk, Jk, Rk là diện tích, mô men quán tính và bán kính đi qua trọng tâm của vành đai tăng cứng có kể đến sự tham gia của vỏ ống theo chiều dài lod:

Pkp = 3.E.J

l là khoảng cách các vành đai tăng cứng, cm;

m là hệ số poat xông: m = 0,3.

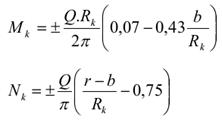
6.12 Kiểm tra ổn định những đoạn ống nằm trong khối bê tông chịu áp lực nước thấm hay áp lực trong khi thi công bê tông theo công thức (12):

trong đó:

n là hệ số vượt tải: n = 1,2;

mc = 0,8;

m = 0,75;

Hệ số điều chỉnh x lấy theo bảng B.4 phụ lục B.

6.13 Tính toán sức bền và ổn định của đường ống thép và các phụ kiện tham khảo ở phụ lục E.

7 Chế tạo đường ống áp lực

7.1 Các đường ống áp lực bằng thép trong công trình thủy lợi, thủy điện đặt tự do phải được chế tạo phân đoạn và liên kết bằng những khớp bù co giãn.

7.2 Mỗi đoạn đường ống thẳng giữa hai mố néo phải được đặt trên các mố đỡ trung gian và phải có một khớp bù co giãn.

7.3 Đối với những đường ống thiết kế phân đoạn có đường kính thay đổi, đoạn chuyển tiếp từ đường kính này sang đường kính khác phải thực hiện bằng một đoạn ống hình côn, có chiều dài tối thiểu đảm bảo góc côn không lớn hơn 70.

7.4 Khi thay đổi chiều dầy thành ống, đường kính ngoài của đường ống tại đoạn thay đổi phải được giữ nguyên. Việc chuyển tiếp từ chiều dầy này sang chiều dầy khác phải thực hiện liên tiếp theo từng bậc từ 1 mm đến 2 mm.

7.5 Chiều dầy thành ống được chọn tăng lên so với chiều dầy tính toán theo quy định như sau:

a) Tăng thêm 1 mm cho các đường ống không bị bào mòn bởi phù sa và sự phá hoại của sinh vật trong nước;

b) Tăng thêm từ 2 mm đến 3 mm cho các đường ống có sự bào mòn bởi phù sa và sự phá hoại của sinh vật trong nước.

7.6 Phân cấp các đường hàn của đường ống theo quy định sau:

a) Tất cả các đường hàn dọc của đường ống áp lực phải là đường hàn cấp I;

b) Các đường hàn ngang đối với công trình từ cấp II đến cấp đặc biệt là đường hàn cấp I, đối với công trình cấp III và cấp IV là đường hàn cấp II. Các đường hàn ở đai tăng cứng, đai mố néo, mố đỡ trung gian, mối bù co giãn cửa kiểm tra là đường hàn cấp II. Còn lại là đường hàn cấp III;

c) Chất lượng các loại đường hàn (cấp I, cấp II, cấp III) quy định trong bảng F.1 phụ lục F;

7.7 Kiểm tra chất lượng đường hàn phải tuân theo tiêu chuẩn hiện hành. Khối lượng công tác kiểm tra chất lượng đường hàn quy định như sau:

a) Đối với đường hàn cấp I:

1) Siêu âm: kiểm tra 100 % chiều dài đường hàn ;

2) Soi quang tuyến:

– Không nhỏ hơn 25 % chiều dài đường hàn và không ít hơn 480 mm;

– Kiểm tra 100 % các điểm giao nhau của mối hàn dọc và mối hàn ngang;

b) Đối với đường hàn cấp II:

– Siêu âm: kiểm tra 100 % chiều dài đường hàn;

– Soi quang tuyến (hoặc chụp X quang): kiểm tra không nhỏ hơn 10 % chiều dài đường hàn và không ít hơn 240 mm.

c) Phương pháp kiểm tra khuyết tật đường hàn bằng siêu âm phải tuân theo tiêu chuẩn hiện hành.

7.8 Dung sai cho phép khi chế tạo, lắp ráp đường ống áp lực bằng thép quy định trong bảng G.1 phụ lục G.

7.9 Tại những vị trí trục tim của đường ống thay đổi đồng thời theo hai phương thẳng đứng và phương nằm ngang thì tại những vị trí ấy đường ống phải được thiết kế chế tạo bằng một khuỷu cong trong không gian 3 chiều.

7.10 Những khuỷu cong được chia thành nhiều đoạn ống nối lại với nhau theo góc ở tâm bán kính cong, chiều dài mỗi đoạn không nhỏ hơn 300 mm.

7.11 Bán kính cong của tâm các khuỷu cong không nhỏ hơn 3 lần đường kính trong của khuỷu.

7.12 Khi thiết kế các đoạn ống lắp nối của đường ống cần kết hợp kích cỡ của thép tấm với các quy định về vị trí các đường hàn dọc, hàn ngang đảm bảo sao cho:

a) Đối với những đường ống có đường kính lớn, các đoạn ống lắp nối được chế tạo gồm nhiều tấm thép ghép lại. Khoảng cách theo chu vi ống giữa các đường hàn dọc của các tấm kề nhau là a không được nhỏ hơn 5 lần chiều dầy vỏ ống, xem hình H.1 phụ lục H;

b) Các đai tăng cường hàn cách đường hàn ngang theo chu vi ống một khoảng không được nhỏ hơn 100 mm;

c) Các đường hàn dọc của các đoạn ống lắp nối nhất thiết phải nằm trong các vùng quy định I, II, III và IV, xem hình H2 phụ lục H;

d) Các đường hàn cốt ống phải vát cạnh, góc vát 600, phần nhô lên mặt trong cột ống không quá 3 mm;

e) Các vành đai phải đặt cách đường hàn ngang của cột ống một đoạn là c, xem hình H.2 phụ lục H và thoả mãn điều kiện c .

8 Thử nghiệm đường ống áp lực

8.1 Thử nghiệm đường ống áp lực còn gọi là thí nghiệm áp lực nước trong đường ống hay thử nghiệm thủy lực đường ống. Quy trình và sơ đồ thử nghiệm thủy lực đường ống được lập đồng thời với đồ án thiết kế.

8.2 Sơ đồ thí nghiệm thủy lực đường ống gồm 2 loại do thiết kế quy định gồm:

– Sơ đồ thử phân đoạn;

– Sơ đồ thử tổng thể.

Việc lựa chọn sơ đồ thử cần căn cứ vào đặc điểm bố trí chung, sự phân bố nội áp của toàn tuyến đối với những tuyến đường ống dài, nội áp trong các đoạn thay đổi lớn cần chọn loại sơ đồ thử phân đoạn.

8.3 Trị số áp lực thử nghiệm tối thiểu thực hiện theo quy định tại phụ lục I.

8.4 Trị số áp suất tĩnh P0 của đường ống, at, được xác định theo công thức (13):

trong đó:

g = 9,81 t/m3;

H0max là cột nước tĩnh lớn nhất của đường ống, m, được xác định từ cao trình mực nước tĩnh lớn nhất đầu đường ống (ÑTlmax) và cao trình đường ống vào tuabin (Ñtô):

H0max = ÑTlmaxÑ

8.5 Công tác chuẩn bị thử nghiệm, hồ sơ tài liệu và qui trình thử nghiệm được lập phải phù hợp với tiêu chuẩn hiện hành về thử nghiệm đường ống áp lực bằng thép.

8.6 Các đoạn ống rẽ nhánh cần được thử nghiệm thủy lực tại cơ sở chế tạo. Trường hợp những đoạn ống rẽ nhánh lớn, chịu áp lực cao, cần tiến hành thử nghiệm trên mô hình. Số liệu thực đo về hệ số an toàn áp lực khi phá hủy (nổ vỡ) không được nhỏ hơn 3.

9 Sơn bảo vệ đường ống áp lực

9.1 Toàn bộ bề mặt kim loại của đường ống áp lực và các cấu kiện ở chế độ làm việc tĩnh đều phải được sơn bảo vệ để chống lại sự ăn mòn và han rỉ trong quá trình đường ống vận hành.

9.2 Bề mặt các cấu kiện ở chế độ làm việc động như phần trượt của đoạn co giãn, con lăn, mặt trượt của mố đỡ trung gian v.v… phải được phủ lớp mỡ chịu mưa nắng để chống han rỉ và kết hợp bôi trơn.

9.3 Sơn phủ mặt trong của đường ống phải đảm bảo độ bền va đập, độ cứng, độ bóng trong điều kiện dòng chảy có vận tốc lớn hơn 10 m/s với các thành phần hạt, thành phần hóa học của nước do cơ quan thiết kế cung cấp.

9.4 Sơn phủ mặt ngoài của đường ống và các cấu kiện của đường ống phải chịu được nhiệt độ đến 80oC và sự thay đổi nhiệt độ ± 50 oC không xuất hiện các vết rạn, nứt,… hoặc bong rộp.

9.5 Vật liệu sử dụng để sơn phủ bảo vệ bề mặt phải có đủ nhãn mác, đúng chủng loại và chỉ tiêu kỹ thuật theo yêu cầu thiết kế. Trước khi sơn phủ, bề mặt đường ống phải được làm sạch theo đúng quy trình. Phải thực hiện theo đúng quy trình sơn phủ và quy trình bảo dưỡng sơn do thiết kế quy định.

10 Hệ thống quan trắc đường ống áp lực

10.1 Tất cả những tuyến đường ống áp lực của các công trình thủy điện từ cấp III đến cấp đặc biệt đều phải có hệ thống quan trắc để đo độ dịch chuyển theo các phương của mố néo, mố đỡ trung gian và chuyển vị của đường ống.

10.2 Hệ thống mốc quan trắc bao gồm các thiết bị quan trắc và các mốc quan trắc. Đối với thiết bị quan trắc đặt cố định phải được che chắn bảo vệ tránh sự tác động của mưa nắng và môi trường xung quanh. Mốc quan trắc phải được chế tạo bằng vật liệu không han rỉ và phải được định vị chắc chắn ở các vị trí thuận tiện cho việc đo đạc, kiểm tra định kỳ.

10.3 Số lượng các mốc quan trắc của tuyến đường ống áp lực quy định như sau:

a) Đường ống áp lực có đường kính trong D0 dưới 2 m; mỗi mố néo và mố đỡ trung gian phải đặt một mốc quan trắc. Mỗi khớp bù co giãn đặt 1 thước chỉ báo độ co giãn của đường ống. Trường hợp đường ống không cắt đoạn giữa 2 mố néo liên tiếp đặt một mốc quan trắc gắn vào đường ống;

b) Đường ống áp lực có đường kính trong D0 lớn hơn 2 m; mỗi mố néo, mố đỡ trung gian đặt 2 mốc quan trắc theo phương ngang ở 2 phía của đường ống. Mỗi khớp bù co giãn đặt 2 thước chỉ báo độ co giãn của đường ống không cắt đoạn. Giữa 2 mố néo liên tiếp đặt một mốc gắn vào đường ống.

10.4 Tất cả các mốc quan trắc của hệ thống quan trắc phải đưa vào mạng khống chế chung của công trình.


PHỤ LỤC A
(Quy định)

XÁC ĐỊNH CÁC LỰC TÁC ĐỘNG LÊN ĐƯỜNG ỐNG VÀ CÁC MỐ CỦA NÓ (CÁC GIÁ TRỊ Ai)

Bảng A.1

Tên của lực tác dụng

Công thức tính toán

Dấu của lực tác dụng

Bộ phận được kể đến khi tính toán

Đoạn trên

Đoạn dưới

Ống cắt đoạn

Ống liên tục

Trạng thái nhiệt độ

Vỏ của đường ống

Mố néo mố đỡ trung gian

Vỏ của đường ống

Mố néo mố đỡ trung gian

Tăng

Giảm

Tăng

Giảm

a) Hướng tác dụng theo phương dọc ống:

1. Trọng lượng kết cấu thép của đường ống

+

+

+

+

*

*

*

*

2. Áp lực của nước tác dụng lên mặt bích thử

±

±

±

±

*

*

*

*

3. Áp lực của nước tác dụng lên đoạn ống có đường kính thay đổi

±

±

±

±

*

*

*

*

4. Áp lực của nước tác dụng lên đoạn ống cong.

+

+

*

*

*

*

5. Áp lực của nước tác dụng lên mặt mút mối bù co giãn

+

+

*

*

 

 

6. Lực ma sát của nước lên thành ống

+

+

+

+

*

*

*

*

7. Lực ma sát trong mối bù co giãn

+

+

*

*

 

 

8. Lực ma sát ở mố đỡ trung gian khi nhiệt độ thay đổi

+

+

*

*

*

*

9. Lực ly tâm khi nước chảy ở đoạn ống cong

+

+

*

*

*

*

10. Lực do biến dạng ngang

+

+

 

 

*

*

11. Lực do biến dạng ngang khi độ dày thành ống thay đổi

+

+

 

 

*

*

12. Lực do nhiệt độ thay đổi

+

+

 

 

*

*

13. Lực do nhiệt độ thay đổi khi độ dày thành ống thay đổi

+

+

 

 

*

*

b) Hướng tác dụng theo phương pháp tuyến:

1. Thành phần kết cấu thép đường ống

+

+

+

+

*

 

*

 

2. Thành phần trọng lượng nước đường ống

+

+

+

+

*

 

*

 

c) Hướng tác dụng theo phương bán kính:

Áp lực nước bên trong

+

+

+

+

*

*

*

*

d) Hướng tác dụng theo phương đứng:

1.Trọng lượng kết cấu thép đường ống

GTP = gst.Li

+

+

+

+

 

*

 

*

2. Trọng lượng nước trong ống

Gw = gwFTP.Li

+

+

+

+

 

*

 

*

3. Trọng lượng mố đỡ trung gian

GÕP = VÕgon

+

+

+

+

Tính mố đỡ trung gian

4. Trọng lượng mố néo

GaP = Vagon

+

+

+

+

 

*

 

*

e) Hướng tác dụng theo phương ngang:

1. Thành phần nằm ngang của trọng lượng nước trong ống

 

*

 

*

2. Áp lực chủ động của đât

R (theo tiêu chuẩn)

 

 

 

 

 

*

 

 

CHÚ THÍCH 1: Các đại lượng trong các công thức ghi trong bảng như sau:

gst là trọng lượng kết cấu thép 1 m đường ống, t/m;

gw là trọng lượng nước trong 1 m đường ống, t/m;

D0, D01, D02 là đường kính trong của các đoạn ống, m;

D1, D2 là đường kính trong, đường kính ngoài của mặt mút mối bù, m;

j là góc nghiêng trục đường ống, độ;

gw là khối lượng riêng của nước, t/m3;

hw là cột nước tổn thất ma sát giữa nước với thành ống, m;

bk là chiều dài vòng chèn làm kín của mối bù co giãn, m;

Mk là hệ số ma sát trong mối bù: MK = 0,3;

Lk là khoảng cách giữa các mố đỡ trung gian, m;

F là hệ số ma sát của mố đỡ trung gian;

V là vận tốc nước trong ống, m/s;

m là hệ số Poat xông m = 0,3;

sz là ứng suât vòng do áp lực bên trong gây ra đối với đường ống, MPa ;

F0dl là diện tích tiết diện ngang của đường ống thép, m2;

E là mô đuyn đàn hồi của thép : E = 0,21×106 MPa ;

Dt là trị số thay đổi nhiệt độ, oC; a là hệ số nở dài của thép : a = 0,12.10-4 , l/độ;

Li là chiều dài các đoạn ống, m;

g là gia tốc trọng trường : g = 9,81 m/s2;

CHÚ THÍCH 2:

a) Đối với các lực dọc trục và lực nằm ngang mang dấu (+) khi tác dụng về đoạn ống phía sau theo chiều dòng chảy và dấu (-) khi tác dụng về lực phía trước, xem hình B.1;

b) Với vận tốc bình thường, lực A6 không tính đến;

c) Khi đường kính nhỏ A4 được tính theo đường kính và cột áp tại trung tâm khuỷu nối ống.

Hình A.1 – Sơ đồ xác định dấu của lực tác dụng

 


PHỤ LỤC B
(Quy định)

HỆ SỐ DÙNG TRONG TÍNH TOÁN THIẾT KẾ

Bảng B.1 – Hệ số C chuyển đổi từ cường độ chính sang cường độ tiêu chuẩn

Loại vật liệu

Trạng thái ứng suất

Hệ số C

Thép các bon và thép hợp kim thấp

– Kéo, nén, uốn

– Cắt

– Ép mặt đầu

– Ép tiếp xúc điểm

– Ép tiếp xúc đường

– Ép tiếp xúc khít mặt

1,0

0,6

1,5

3,3

2,2

1,0

Kim loại ở các mối hàn đối đầu

– Kéo, nén, uốn

– Cắt

1,0

0,6

Kim loại ở các mối hàn góc

– Kéo, nén, uốn

– Cắt

0,7

0,7

 

Bảng B.2 – Hệ số K kể đến tính đồng chất của vật liệu

Vật liệu

Hệ số K đối với sch

Hệ số K đối với sB

Thép các bon:

– Khi sch £ 240 MPa

– Khi sch > 240 MPa

 

0,90

0,85

 

0,68

0,64

Thép cán hợp kim thấp

0,85

0,64

Thép cán nhiệt luyện

0,80

0,60

Đường hàn loại I

Giống như thép cơ bản

Đường hàn loại II

0,75

0,57

Đường hàn loại III

0,65

0,50

 

Bảng B.3 – Hệ số vượt tải khi tính toán đường ống, mố néo và mố đỡ trung gian

Tên tải trọng

Hệ số vượt tải

1. Áp lực thủy tĩnh

1,0

2. Áp lực nước va

1,2

3. Trọng lượng kết cấu thép đường ống

1,1

4. Trọng lượng nước trong ống

1,0

5. Lực ma sát ở mố đỡ trung gian

1,3

6. Lực ma sát ở mối bù co giãn

1,2

7. Biến dạng ngang

1,0

8. Tải trọng do nhiệt độ gây ra

1,0

9. Áp lực khí quyển bên ngoài, bên trong phát sinh chân không

1,2

10. Tải trọng do lún không đều

1,1

11. Áp lực nước thấm ngoài ống

1,2

12. Áp lực khi đổ bê tông chèn

1,2

13. Tải trọng tạm thời khi vận chuyển

1,2

14. Áp lực thử nghiệm thủy lực

1,0

15. Tải trọng do động đất

1,0

16. Tải trọng phát sinh khi lắp ráp

1,0

17. Áp lực không khí bên ngoài khi bên trong chân không do đường ống tháo cạn (ống thông hơi hỏng)

1,0

 

Bảng B.4 – Hệ số điều chỉnh z trong trường hợp sKPZ > 0,5. sT

z

z

z

0,500

0,500

1,000

1,200

0,850

0,708

1,900

0,957

0,504

0,600

0,575

0,958

1,300

0,875

0,673

2,000

0,964

0,482

0,700

0,640

0,914

1,400

0,900

0,643

2,100

0,971

0,463

0,800

0,700

0,875

1,500

0,913

0,608

2,200

0,979

0,445

0,900

0,750

0,833

1,600

0,925

0,578

2,300

0,986

0,429

1,000

0,800

0,800

1,700

0,938

0,551

2,400

0,993

0,414

1,100

0,825

0,750

1,800

0,950

0,528

2,500

1,000

0,400

 


PHỤ LỤC C
(Quy định)

ĐƯỜNG KÍNH TIÊU CHUẨN VÀ CHIỀU DÀY CẤU TẠO NHỎ NHẤT CHO PHÉP CỦA THÀNH ỐNG

Bảng C.1

Đường kính ngoài DH quy ước

mm

Đường kính trong DO quy ước

mm

Chiều dày d nhỏ nhất mm

Đường kính ngoài DH quy ước

mm

Đường kính trong DO quy ước

mm

Chiều dày d nhỏ nhất

mm

620

600

6

4 040

4 000

10

720

700

8

4 240

4 200

12

820

800

8

4 440

4 400

12

920

900

8

4 640

4 600

12

1 020

1 000

8

4 840

4 800

12

1 120

1 100

8

5 040

5 000

12

1 220

1 200

8

5 240

5 200

12

1 320

1 300

8

5 440

5 400

12

1 430

1 400

8

5 640

5 600

12

1 530

1 500

8

5 840

5 800

12

1 630

1 600

10

6 040

6 000

12

1 730

1 700

10

6 240

6 200

14

1 840

1 800

10

6 440

6 400

14

1 940

1 900

10

6 650

6 600

14

2 040

2 000

10

6 850

6 800

14

2 140

2 100

10

7 050

7 000

14

2 240

2 200

10

7 550

7 500

14

2 340

2 300

10

8 050

8 000

14

2 440

2 400

10

9 050

9 000

14

2 540

2 500

10

9 550

9 500

14

2 640

2 600

10

10 050

10 000

14

2 740

2 700

10

10 550

10 500

16

2 840

2 800

10

11 050

11 000

16

2 940

2 900

10

11 550

11 500

16

3 040

3 000

10

12 050

12 000

16

3 240

3 200

10

12 550

12 500

16

3 440

3 400

10

13 050

13 000

16

3 640

3 600

10

13 550

13 550

16

3 840

3 800

10

14 050

14 000

16

 


PHỤ LỤC D
(Quy định)

KHOẢNG CÁCH LỚN NHẤT CÁC VÀNH ĐAI TĂNG CỨNG

Bảng D.1

Đơn vị tính: m

Đường kính ngoài m

Chiều dầy vỏ ống d

mm

6

8

10

12

14

16

18

20

22

24

26

28

30

32

1,02

6,0

 

 

 

 

 

 

 

 

 

 

 

 

 

1,53

3,0

6,0

12,6

 

 

 

 

 

 

 

 

 

 

 

2,04

 

4,0

6,0

10,8

20,0

 

 

 

 

 

 

 

 

 

2,54

 

3,6

5,4

7,2

12,0

18,0

 

 

 

 

 

 

 

 

3,04

 

2,7

4,5

6,0

8,0

12,0

16,5

 

 

 

 

 

 

 

3,64

 

1,8

3,0

4,5

7,2

9,0

12,0

16,0

 

 

 

 

 

 

4,04

 

1,8

3,0

4,5

6,0

8,0

10,8

12,6

20,0

 

 

 

 

 

4,64

 

 

2,0

4,0

5,4

7,2

8,0

10,8

14,0

18,0

 

 

 

 

5,04

 

 

2,0

3,6

5,0

7,2

8,0

10,0

12,6

14,0

16,5

 

 

 

5,64

 

 

2,0

2,0

4,5

5,4

7,5

9,0

10,8

14,0

15,5

18,0

 

 

6,04

 

 

1,8

2,0

3,6

5,4

7,5

9,0

10,0

12,0

14,0

16,5

20,0

 

6,65

 

 

 

2,0

3,0

4,0

6,0

8,0

9,0

10,8

12,6

14,4

18,0

 

7,05

 

 

 

 

3,0

4,0

5,4

8,0

9,0

10,8

12,6

14,4

16,5

20,0

 


PHỤ LỤC E
(Tham khảo)

TÍNH TOÁN SỨC BỀN, ỔN ĐỊNH CỦA ĐƯỜNG ỐNG THÉP VÀ CÁC PHỤ KIỆN

E.1 Tính toán bền ứng suất bên trong vỏ đường ống áp lực bằng thép

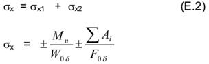
E.1.1 Tại tiết diện chính giữa khoảng nhịp (Lk/2)

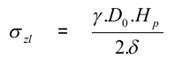
a) Thành phần ứng suất pháp theo chu vi tiết diện, szl, MPa, tính theo công thức (E.1):

Khi trị số < 5%.Hp thì bỏ qua:

b) Thành phần ứng suất pháp dọc trục ống (vuông góc với tiết diện), sx, MPa, xác định theo công thức (E.2)

c) Thành phần ứng suất pháp theo phương hướng kính, sy, MPa, xác định theo công thức (E.3)

sy = –g.Hp                                                           (E.3)

trong các công thức (E.1), (E.2), (E.3):

g là tỷ trọng của nước: g = 0,0001 MPa/cm ;

HP là cột nước tính toán tại tiết diện, cm;

åAi là tổng các lực dọc trục, hN;

a là góc ấn định vị trí trên tiết diện, độ (o);

j là góc nghiêng trục ống, độ (o); F0d là diện tích tiết diện ống, cm2;

W0d là mô men chống uốn của ống: W0d » ;

Dtb là đường kính trung bình của tiết diện, cm;

d là chiều dầy vỏ ống, cm;

Mu là mô men uốn tại tiết diện tính toán, hN.cm:

– Tại tiết diện giữa nhịp:

– Tại tiết diện giữa nhịp có mối bù co giãn:

q là tải trọng phân bố gồm trọng lượng nước trong ống và trọng lượng ống, hN/cm;

LK: khoảng cách nhịp, cm.

E.1.2 Tại tiết diện có vành đai tăng cứng

a) Thành phần ứng suất pháp theo chu vi tiết diện szl, MPa, tính theo công thức (E.1);

b) Thành phần ứng suất pháp dọc trục ống (vuông góc với tiết diện) sx, MPa, xác định theo công thức (E.2);

c) Thành phần ứng suất pháp theo phương hướng kính sy, MPa, xác định theo công thức (E.3);

d) Thành phần ứng suất cục bộ do vành đai gây ra theo phương dọc trục sx3, MPa, xác định theo công thức (E.4):

sx3 = ± 1,82.b1. sz1                                             (E.4)

trong đó:

Giá trị Mu tính tại vị trí tiết diện tính toán;

b1 là hệ số mềm dẻo của vành đai được tính theo công thức (E.5):

F’k là diện tích tiết diện ngang của vành đai không kể đến đoạn vỏ ống tham gia, cm2;

r0 là bán kính trong của ống, cm: r0 = D0/2 ;

a là bề rộng tiếp xúc giữa đai với vỏ ống lấy theo quy định ở hình E.1:

Các ký hiệu khác theo chú thích tại E.1.1.

Hình E.1 – Sơ đồ xác định bề rộng tiếp xúc a giữa đai với vỏ ống

E.1.3 Tại tiết diện kế cận vành đai mố đỡ trung gian

a) Thành phần ứng suất pháp theo chu vi tiết diện, szl, MPa, tính theo công thức (E.1);

b) Thành phần ứng suất pháp dọc trục ống (vuông góc với tiết diện), sx, MPa, xác định theo công thức (E.2);

c) Thành phần ứng suất pháp theo phương hướng kính, sy, MPa, xác định theo công thức (E.3);

d) Thành phần ứng suất tiếp, txz, MPa, do lực cắt gây ra trong mặt phẳng xoz, xác định theo công thức (E.6)

trong đó:

Q = q.Lk, hN;

q là tải trọng phân bố, hN/m;

Lk là chiều dài nhịp giữa các mố đỡ trung gian, m;

F0d là diện tích tiết diện ống, cm2;

a là góc qui ước trên tiết diện ống, xem hình E.2.

Hình E.2 – Sơ đồ xác định góc quy ước a trên tiết diện ống

E.1.4 Tại tiết diện trong vành đai mố đỡ trung gian

a) Thành phần ứng suất pháp theo chu vi tiết diện ống do phản lực của vành đai gây ra, MPa, xác định theo công thức (E.7)

b) Thành phần ứng suất pháp theo phương dọc trục ống, MPa, xác định theo công thức (E.8):

c) Thành phần ứng suất hướng tâm, MPa, xác định theo công thức (E.9):

                                                    (E.9)

d) Thành phần ứng suất tiếp, tyz, MPa, do lực cắt, Tk gây ra thuộc mặt phẳng yoz xác định theo công thức (E.10)

trong các công thức từ (E.7) đến (E.10):

Fk là diện tích của tiết diện ống, cm2: Fk = F’k + d.L0d

F’k là diện tích tiết diện ngang của vành đai không kể đến đoạn vỏ ống tham gia, cm2;

L0d là chiều dài đoạn ống tham gia chịu lực, cm:

Wk là mô men chống uốn của đai có tiết diện Fk tính theo hệ trục chính trung tâm;

Mk là mô men uốn, hN.cm và Nk là lực dọc, hN, do tải trọng Q gây ra có trị số thay đổi theo các vị trí trên vòng tròn ống:

– Tại vị trí a = 0oa = p:

– Tại vị trí a = p/2 và a = 3p/2:

 

Rk là bán kính đường tròn đi qua trọng tâm tiết diện đai, cm;

r là bán kính ngoài của đường ống, cm;

b là khoảng cách xác định theo hình E.3:

Hình E.3 – Sơ đồ cắt ngang đường ống tại vị trí vành đai mố đỡ trung gian

Tk là lực ngang, hN:

– Tại vị trí a = 0oa = p:                       Tk = 0,0 ;

– Tại vị trí a = p/2 và a = 3p/2:               

Sx là mô men tĩnh của tiết diện vỏ ống tại vị trí góc a, cm3:          Sx = 2. r2tb.d.sina;

Jx là mô men quán tính của tiết diện vỏ ống, cm4: Jx = p.r3tb.d;

rtb là bán kính trung bình của vỏ ống, cm;

Các ký hiệu khác theo chú thích tại E.1.1, E.1.2 và E.1.3.

E.2 Tính toán kiểm tra ổn định của vỏ ống khi đường ống chứa nước một nửa

Kiểm tra ổn định của vỏ ống khi đường ống chứa nước nửa theo các công thức (E.11) và (E.12):

Trong đó:

Hệ số h xác định như sau:

– Đối với tiết diện giữa nhịp:

– Đối với tiết diện mố đỡ trung gian

Các trị số N1, M1, N2 và M2 phụ thuộc vào trị số D/LKd/r tại các vị trí a = 0, a = p/2, được xác định theo hình E.4;

Các ký hiệu khác theo chú thích ở điều E.1.

Hình E.4 – Biểu đồ xác định các trị số N1, M1, N2 và M2

E.3 Tính toán thiết kế đoạn ống rẽ nhánh

E.3.1 Hình thức và yêu cầu kết cấu đoạn rẽ nhánh

E.3.1.1 Đoạn rẽ nhánh gồm các loại hình sau:

a) Ống rẽ nhánh 3 dầm (ống rẽ 3 nhánh), xem hình E.5 (a, b, c);

b) Ống rẽ nhánh có răng lưỡi hái gia cường bên trong, xem hình E.6;

c) Ống rẽ nhánh chạc bên, xem hình a của E.7;

d) Ống rẽ nhánh không dầm, xem hình b của E.7;

e) Ống rẽ nhánh hình cầu, xem hình c của E.7.

Hình E.5 – Ống rẽ 3 nhánh

Hình E.6 – Ống rẽ nhánh có răng lưỡi hái gia cường bên trong

Hình E.7 – Một số dạng khác của đoạn ống rẽ nhánh

E.3.1.2 Đoạn rẽ nhánh cần được lựa chọn phù hợp với điều kiện bố trí tổng thể của công trình đảm bảo dòng chảy thuận, lưu lượng phân bố đều đặn đến các tổ máy, hệ số tổn thất thủy lực nhỏ nhất, chắc chắn và thuận tiện cho việc chế tạo lắp đặt.

E.3.1.3 Thiết kế các đoạn ống rẽ nhánh phải đảm bảo góc a không lớn hơn 12o, góc b không lớn hơn 60o và tỷ số R0/R nằm trong giới hạn sau:

a) Loại không dầm chữ Y đối xứng:       từ 1,25 đến 1,30;

b) Loại không dầm rẽ nhánh bên:           từ 1,20 đến 1,35;

c) Loại không dầm 4 nhánh:                   từ 1,30 đến 1,50;

d) Loại hình cầu:                                    từ 1,30 đến 1,60

E.3.2 Tính toán lựa chọn kết cấu

a) Độ dầy thành ống ở khu ứng suất chính xác định theo các công thức sau:

– Đối với ống rẽ nhánh 3 dầm, ống rẽ nhánh có răng lưỡi hái gia cường bên trong:

– Đối với ống rẽ nhánh hình cầu:

b) Độ dầy thành ống ở khu ứng suất cục bộ đối với ống rẽ nhánh 3 dầm, ống rẽ nhánh có răng lưỡi hái gia cường bên trong:

Trong đó:

P là áp lực của nước, MPa ;

R là bán kính trong của ống, cm;

R0 là bán kính trong của vỏ cầu;

F là hệ số mối hàn. Giá trị của F lấy như sau:

– Với hàn đối đầu hai phía: F = 0,95 ;

– Với hàn đối đầu một phía: F = 0,90;

[s]1 và [s]2 là cường độ tính toán của vật liệu lấy theo quy định tại 4.5 và 4.6;

K1 là hệ số hình dạng của đoạn ống rẽ nhánh:

– Đối với ống rẽ nhánh 3 dầm và ống rẽ nhánh có răng lưới hái: K1 = 1,1;

– Đối với ống rẽ nhánh không dầm và ống rẽ nhánh hình cầu: K1 =1,2;

– Đối với ống rẽ nhánh bên K1 lấy theo bảng E.1

Bảng E.1 – Hệ số K1 đối với ống rẽ nhánh bên

d/D

Góc b

Từ 45o đến 50o

Từ 50o đến 55o

Từ 55o đến 60o

0,5

1,4

1,35

1,2

0,6

1,5

1,45

1,4

0,7

1,5

CHÚ THÍCH:

d, D là đường kính trung bình tại giao điểm đường trục của ống chính và nhánh rẽ.

K2 là hệ số tập trung ứng suất cạnh bên. Đối với ống rẽ nhánh 3 dầm K2 = 1,5 ¸ 2,0. Đối với ống rẽ nhánh có răng lưỡi hái gia cường bên trong và ống rẽ nhánh không dầm (hình E.8), hệ số K2 phụ thuộc vào tỷ số  và góc j, độ (o), lấy theo bảng E.2

Hình E.8

Bảng E.2 – Hệ số tập trung ứng suất cạnh bên K2

j

40

50

60

70

80

90

100

120

4

0,10

0,22

0,34

0,47

0,60

6

0,15

0,30

0,45

0,59

0,74

0,89

1,04

8

0,29

0,46

0,63

0,80

0,97

1,14

1,31

1,48

10

0,57

0,77

0,96

1,15

1,35

1,54

1,73

1,93

12

0,86

1,07

1,29

1,51

1,72

1,94

2,16

2,37

14

1,14

1,38

1,62

1,86

2,10

2,34

2,58

2,71

16

1,43

1,69

1,95

2,21

2,48

2,74

3,00

18

1,71

2,00

2,28

2,57

2,85

20

2,00

2,31

2,61

2,92

c) Sử dụng phương pháp xác định độ dầy thành ống quy định ở các khoản trên có thể làm căn cứ tiến thêm một bước phân tích hoặc thí nghiệm để hiệu chỉnh. Đối với ống rẽ nhánh loại nhỏ và trung bình chịu áp lực không lớn thì không cần bước hiệu chỉnh;

d) Tính toán các chi tiết gia cường: Dầm, răng lưỡi hái, bản táp được tiến hành trên cơ sở phân tích kết cấu của chúng từ điều kiện chịu áp lực nước bên trong tác dụng lên thành ống truyền lên. Đây là một bài toán sức bền vật liệu phức tạp cần được giải quyết bằng các phương pháp tính toán gần đúng phù hợp.


PHỤ LỤC F
(Quy định)

HÌNH DẠNG ĐƯỜNG HÀN VÀ CÁC KHUYẾT TẬT BÊN NGOÀI CỦA ĐƯỜNG HÀN CẤP I, II VÀ III

Bảng F.1

Tên các khuyết tật

Sơ họa khuyết tật

Các loại khuyết tật cho phép

 

Đường hàn cấp I

Đường hàn cấp II

Đường hàn cấp III

 

1. Các vết lõm

Không cho phép

Không cho phép

h < 0,05, d không sâu hơn 1 mm. Tổng chiều dài vết lõm £ 25% chiều dài đường hàn

 

2. Các khuyết tật nằm riêng rẽ trên bề mặt

Các khuyết tật riêng đường kính không lớn hơn 1 mm số lượng không quá 3 trên 25 cm đường hàn

Các khuyết tật riêng đường kính không lớn hơn 1 mm số lượng không quá 6 trên 25 cm đường hàn

Các khuyết tật riêng đường kính không lớn hơn 2 mm, số lượng không quá 8 trên 25 cm đường hàn

 

3. Các dẫy và chỗ tập trung các khuyết tật trên bề mặt

Không cho phép

1 dẫy tập trung các khuyết tật có chiều dài l < 15 mm hoặc 1 chỗ tập trung khuyết tật diện tích < 1 cm2 trên đoạn 25 cm đường hàn

1 dẫy tập trung các khuyết tật có chiều dài l < 20 mm hoặc 1 chỗ tập trung khuyết tật diện tích nhỏ hơn cm2 trên đoạn 25 cm đường hàn

 

4. Chiều rộng không đều đặn theo chiều dài đường hàn, b chiều rộng thiết kế, d và e là chiều rộng lớn nhất thực tế của đường hàn

Đối với hàn thủ công

 

d-e < 0,1.b không lớn hơn 2 mm

d-e < 0,1b không lớn hơn 2mm

d-e < 0,2b không lớn hơn 4mm

 

Đối với đường hàn tự động

d – b £ 0,3b

b – e £ 0,2b

 

5. Gờ, bậc lớn của đường hàn

Không cho phép

Không cho phép

Không cho phép

 

6. Sai lệch chiều cao mối hàn góc so với kích thước thiết kế K

K1 – K £ 0,1.K

K2 – K £ 0,1.K

 

7. Các vết nứt hàn không thấu bề ngoài theo chiều dọc và ngang ở đường hàn, các miệng hàn lõm không dầy, các chỗ đốt thủng và chỗ hở cục bộ

 

Không cho phép

Không cho phép

Không cho phép

 

CHÚ THÍCH: Chỉ cho phép có một trong bốn loại (tên) khuyết tật số 1, 2, 3 và 4 trên chiều dài 25 cm đường hàn.

 

 


PHỤ LỤC G
(Quy định)

TIÊU CHUẨN VỀ DUNG SAI

Bảng G.1 – Dung sai cho phép khi chế tạo, lắp ráp đường ống áp lực

Tên các sai lệch chế tạo, lắp ráp

Sai lệch cho phép

Sai lệch đường kính trong trung bình đo ở đầu mỗi đoạn cốt ống lắp nối Dtb:

Dtb =

Trong đó:

– Lngoài là chiều dài thực tế của chu vi ngoài của hình tròn đầu đoạn cốt 0.

– C1, C2 là chiều dầy thành ống ở 2 điểm đối diện trên cùng một đường kính.

 

 

± 3 mm

Hiệu số đường kính trong trung bình của 2 đoạn ống lắp nối với nhau

1,5 mm + 0,0003.D0

Hiệu số chiều rộng các tấm thép ở trong cùng một đoạn ống.

2 mm

Khe hở cục bộ giữa mép trong của vành tăng cứng với mặt ngoài của dưỡng khi kiểm tra bằng dưỡng có chiều dài 1 500 mm

2 mm trên chiều dài không quá 200 mm

Sai lệch về chiều dài li của đoạn cốt ống theo đường sinh

±(2mm + 0,0007.li)

Hiệu số chiều dài ở các đường sinh của đoạn cốt ống ở các đầu hai đường kính thẳng góc với nhau

0,0005.li, mm

Sai lệch khoảng cách từ vành tăng cứng đến đầu mép đoạn ống

± 20 mm

Sai lệch khoảng cách giữa các vành tăng cứng

± 30 mm

Sai lệch chiều dài L của các chi tiết có hình dạng riêng (côn, cút, ba chạc…)

± (2mm + 0,0007.L)

Độ vát m của các mặt mút đoạn ống trơn

± 2 mm

Sai lệch khe hở giữa mặt trong và mặt ngoài các đoạn co giãn:

Dk

Dk1

 


± 0,1.K

± 0,2.K

Sai lệch tim ống với đường thẳng nối tâm các đoạn ống ngoài cùng trong phạm vi hai gối đỡ kề nhau LK

0,0005.LK, mm

Sai lệch tim mỗi đoạn ống:

– Theo bình diện

– Theo cao độ

 

± 5 mm

± 5 mm

Độ xê dịch tâm con lăn trong gối đỡ

± 3 mm

Sai lệch của độ cao tấm đỡ con lăn của gối đỡ

± 5 mm

Sai lệch của độ nghiêng tấm đỡ con lắp của gối đỡ.

0,3 mm trên 100 mm chiều dài

 

Bảng G.2 – Công thức tính trị số dung sai tiêu chuẩn theo TCVN 2244-99: IT = a.i

Kết quả tính trị số dung sai lấy bằng micrômét

Kích thước danh nghĩa, mm

Cấp dung sai tiêu chuẩn

IT5

IT6

IT7

IT8

IT9

IT10

IT11

£ 500

7i

10i

16i

25i

40i

64i

100i

Từ trên 500 đến 3 150

7i

10i

16i

25i

40i

64i

100i

 

Kích thước danh nghĩa, mm

Cấp dung sai tiêu chuẩn

IT12

IT13

IT14

IT15

IT16

IT17

IT 18

£ 500

160i

250i

400i

640i

1 000i

1 600i

2 500i

Từ trên 500 đến 3150

160i

250i

400i

640i

1 000i

1 600i

2 500i

 

Bảng G.3 – Trị số dung sai tiêu chuẩn theo TCVN 2244-99

Đơn vị tính dung sai mm

Kích thước danh

nghĩa, mm

Cấp dung sai tiêu chuẩn

IT11

IT12

IT13

IT14

IT15

IT16

IT17

IT 18

Từ 50 đến 80

0,19

0,30

0,46

0,74

1,20

1,90

3,00

4,60

Từ 80 đến 120

0,22

0,35

0,54

0,87

1,40

2,20

3,50

5,40

Từ 120 đến 180

0,25

0,40

0,63

1,00

1,60

2,50

4,00

6,30

Từ 180 đến 250

0,29

0,48

0,72

1,15

1,85

2,90

4,60

7,20

Từ 250 đến 315

0,32

0,52

0,81

1,30

2,10

3,20

5,20

8,10

Từ 315 đến 400

0,36

0,57

0,89

1,55

2,30

3,60

5,70

8,90

Từ 400 đến 500

0,40

0,63

0,97

1,75

2,50

4,00

6,30

9,70

Từ 500 đến 630

0,44

0,70

1,10

2,00

2,80

4,40

7,00

11,00

Từ 630 đến 800

0,50

0,80

1,25

2,30

3,20

5,00

8,00

12,50

Từ 800 đến 1 000

0,56

0,90

1,40

2,60

3,60

5,60

9,00

14,00

Từ 1 000 đến 1 250

0,66

1,05

1,65

3,10

4,20

6,60

10,50

16,50

Từ 1 250 đến 1 600

0,78

1,25

1,95

3,70

5,00

7,80

12,50

16,50

Từ 1 600 đến 2 000

0,92

1,50

2,30

4, 40

6,00

9,20

15,00

23,00

Từ 2 000 đến 2 500

1,10

1,75

2,80

5,40

7,00

11,00

17,50

28,00

Từ 2 500 đến 3 150

0,19

2,10

3,30

0,74

8,60

13,50

21,00

33,00

 

PHỤ LỤC H
(Tham khảo)

SƠ ĐỒ VỊ TRÍ CÁC ĐƯỜNG HÀN

Hình H.1 – Khoảng cách a của các đường hàn dọc

CHÚ THÍCH:

1) Đường hàn dọc nằm trong I, II, III và IV;

2) Đường hàn ngang cách đai là c.

Hình H.2 – Vị trí các đường hàn dọc của các đường ống lắp nối


PHỤ LỤC I
(Quy định)

TRỊ SỐ ÁP LỰC THỬ NGHIỆM TỐI THIỂU

Bảng I.1

Trị số áp suất P tính theo áp suất tĩnh P0 của đường ống

Phạm vi cột nước trạm thủy điện

< 40 m

Từ 40 m đến 100 m

> 100 m

Trị số áp suất nước va dương lớn nhất, Pv

Từ 1,5.P0 đến 1,7.P0

Từ 1,3.P0 đến 1,5.P0

Từ 1,15.P0 đến 1,3.P0

Trị số áp suất tính toán của đường ống thép, Ptt

Từ 1,6.P0 đến 1,8.P0

Từ 1,4.P0 đến 1,6.P0

Từ 1,25.P0 đến 1,4.P0

Trị số áp suất thử nghiệm, Ptn

Từ 1,7.P0 đến 1,9.P0

Từ 1,5.P0 đến 1,7.P0

Từ 1,35.P0 đến 1,5.P0

 


THƯ MỤC TÀI LIỆU THAM KHẢO

[1] TCVN 8298: 2009: Công trình thủy lợi – Chế tạo và lắp ráp thiết bị cơ khí, kết cấu thép – Yêu cầu kỹ thuật.

[2] TCVN 2245 – 99: Hệ thống ISO về dung sai và lắp ghép. Cơ sở của dung sai, sai lệch và lắp ghép.

[3] TCVN 4394: 1986: Kiểm tra không phá hủy. Phân loại và đánh giá khuyết tật mối hàn bằng phương pháp phim rơnghen.

[4] TCVN 4395: 1986: Kiểm tra không phá hủy. Kiểm tra mối hàn kim loại bằng tia rơnghen và gama

[5] TCVN 5400: 1991:Mối hàn. Yêu cầu chung về lấy mẫu để thử cơ tính.

[6] TCVN 5401: 1991:Mối hàn. Phương pháp thử uốn.

[7] TCVN 5402: 1991:Mối hàn. Phương pháp thử uốn va đập.

[8] TCVN 5403: 1991:Mối hàn. Phương pháp thử kéo.

[9] TCXD 165: 1988: Kiểm tra không phá hủy. Kiểm tra chất lượng mối hàn ống thép bằng phương pháp siêu âm.

[10] Technical standards for gates and penstocks – Hydraulic gate and penstock association – Xuất bản năm 1981.

Leave a Reply

Your email address will not be published. Required fields are marked *