Tiêu chuẩn Việt Nam TCVN8860-2:2011

  • Loại văn bản: Tiêu chuẩn Việt Nam
  • Số hiệu: TCVN8860-2:2011
  • Cơ quan ban hành: ***
  • Người ký: ***
  • Ngày ban hành: ...
  • Ngày hiệu lực: ...
  • Lĩnh vực: Xây dựng
  • Tình trạng: Không xác định
  • Ngày công báo: ...
  • Số công báo: Còn hiệu lực

Nội dung toàn văn Tiêu chuẩn quốc gia TCVN 8860-2:2011 về Bê tông nhựa – Phương pháp thử – Phần 2: Xác định hàm lượng nhựa bằng phương pháp chiết sử dụng máy quay li tâm


TIÊU CHUẨN VIỆT NAM

TCVN 8860-2 : 2011

BÊ TÔNG NHỰA – PHƯƠNG PHÁP THỬ – PHẦN 2: XÁC ĐỊNH HÀM LƯỢNG NHỰA BẰNG PHƯƠNG PHÁP CHIẾT SỬ DỤNG MÁY QUAY LI TÂM

Asphalt Concrete – Test methods – Part 2: Determination of bitumen content using extraction Centrifuge

Lời nói đầu

TCVN 8860-2 : 2011 được chuyển đổi từ 22 TCN 62-84 theo quy định tại khoản 1

Điều 69 của Luật Tiêu chuẩn và Quy chuẩn kỹ thuật và điểm a khoản 1 khoản 1 Điều 7 Nghị định số 127/2007/NĐ-CP ngày 1/8/2008 của Chính phủ quy định chi tiết thi hành một số điều của Luật Tiêu chuẩn và Quy chuẩn kỹ thuật.

TCVN 8860-2 : 2011 do Viện Khoa học và Công nghệ Giao thông Vận tải biên soạn, Bộ Giao thông Vận tải đề nghị, Tổng cục Tiêu chuẩn đo lường chất lượng thẩm định, Bộ Khoa học và Công nghệ Công bố.

Bộ tiêu chuẩn TCVN 8860 : 2011 Bê tông nhựa – Phương pháp thử gồm mười hai phần:

– TCVN 8860-1 : 2011, Phần 1: Xác định độ ổn định, độ dẻo Marshall

– TCVN 8860-2 : 2011, Phần 2: Xác định hàm lượng nhựa bằng phương pháp chiết sử dụng máy quay li tâm

– TCVN 8860-3 : 2011, Phần 3: Xác định thành phần hạt

– TCVN 8860-4 : 2011, Phần 4: Xác định tỷ trọng lớn nhất, khối lượng riêng của bê tông nhựa ở trạng thái rời

– TCVN 8860-5 : 2011, Phần 5: Xác định tỷ trọng khối, khối lượng thể tích của bê tông nhựa đã đầm nén

– TCVN 8860-6 : 2011, Phần 6: Xác định độ chảy nhựa

– TCVN 8860-7 : 2011, Phần 7: Xác định độ góc cạnh của cát

– TCVN 8860-8 : 2011, Phần 8: Xác định hệ số độ chặt lu lèn

– TCVN 8860-9 : 2011, Phần 9: Xác định độ rỗng dư

– TCVN 8860-10 : 2011, Phần 10: Xác định độ rỗng cốt liệu

– TCVN 8860-11 : 2011, Phần 11: Xác định độ rỗng lấp đầy nhựa

– TCVN 8860-12 : 2011, Phần 12: Xác định độ ổn định còn lại của bê tông nhựa

 

BÊ TÔNG NHỰA – PHƯƠNG PHÁP THỬ – PHẦN 2: XÁC ĐỊNH HÀM LƯỢNG NHỰA BẰNG PHƯƠNG PHÁP CHIẾT SỬ DỤNG MÁY QUAY LI TÂM

Asphalt Concrete – Test methods – Part 1: Determination of bitumen content using extraction Centrifuge

1 Phạm vi áp dụng

1.1 Tiêu chuẩn này quy định phương pháp xác định hàm lượng nhựa có trong bê tông nhựa (BTN) bằng phương pháp chiết sử dụng máy quay li tâm.

1.2 Hỗn hợp cốt liệu thu được sau khi tách nhựa có thể sử dụng để thử nghiệm phân tích thành phần hạt.

2 Thuật ngữ và định nghĩa

Tiêu chuẩn này sử dụng các thuật ngữ và định nghĩa sau:

2.1 Hàm lượng nhựa (Asphalt content)

Lượng nhựa đường trong hỗn hợp bê tông nhựa, tính theo phần trăm của khối lượng hỗn hợp bê tông nhựa (bao gồm cốt liệu đá dăm, cát, bột khoáng, nhựa đường).

2.2 Cỡ hạt lớn nhất (Maximum size of aggregate)

Cỡ sàng nhỏ nhất mà lượng lọt qua cỡ sàng đó là 100 %.

Tiêu chuẩn sử dụng hệ sàng mắt vuông để thí nghiệm thành phần hạt cốt liệu và biểu diễn kích cỡ hạt cốt liệu.

2.3 Cỡ hạt lớn nhất danh định (Nominal maximum size of aggregate)

Cỡ sàng lớn nhất mà lượng sót riêng biệt trên cỡ sàng đó không lớn hơn 10 %.

3 Nguyên tắc

Mẫu BTN được sấy khô, làm tơi và ngâm trong dung môi hoà tan nhựa. Sử dụng máy quay ly tâm để tách phần dung dịch hoà tan nhựa. Lượng nhựa được xác định trên cơ sở chênh lệch khối lượng mẫu BTN thử nghiệm và khối lượng cốt liệu (đá dăm, cát, bột khoáng) thu được sau khi thử nghiệm. Căn cứ vào lượng nhựa thu được để tính toán hàm lượng nhựa theo khối lượng mẫu BTN hoặc theo khối lượng cốt liệu.

4 Thuốc thử

4.1 Tricloroethylene C2HCl3 .

4.2 Dung dịch Ammonium Carbonate (NH4)2CO3 bão hoà.

5 Thiết bị, dụng cụ

5.1 Máy quay ly tâm: bao gồm bát đựng mẫu; động cơ điện có thể điều chỉnh tốc độ quay của bát trong quá trình hoạt động, tốc độ tối đa đạt tới 3600 r/min; vòi dẫn dung dịch chiết xuất ra ngoài và bình gom dung dịch chiết xuất. Máy được được đặt trong buồng hút khí độc hoặc ở nơi có hệ thống thông khí tốt (xem Hình 1).

Hình 1- Máy quay ly tâm chiết xuất nhựa

5.2 Giấy lọc: dùng để lọc, giữ cốt liệu trong bát quay, có chiều dày 1,3 mm±0,1 mm, khối lượng của loại giấy lọc kích thước 965 mm x 635 mm là (150 ± 13) kilôgam/500 tờ. Giấy lọc được cắt vừa vành của bát đựng mẫu.

5.3 Tủ sấy: có khả năng duy trì ở nhiệt độ 110 oC±5 oC.

5.4 Bếp điện: có thể điều chỉnh được nhiệt lượng.

5.5 Lò nung: có thể nung ở nhiệt độ từ 500 oC đến 600 oC.

5.6 Khay đựng mẫu: khay kim loại, đáy phẳng, có kích cỡ phù hợp để sấy mẫu. Thường sử dụng khay kích thước 300 mm x 200 mm x 25 mm.

5.7 Cân: sử dụng 02 cân, 01 cân có khả năng cân được toàn bộ khối lượng mẫu, có độ chính xác là 0,1 g và 01 cân có khả năng cân được 100 g mẫu với độ chính xác là 0,01 g.

5.8 Ống đong: 02 ống đong bằng thủy tinh, 01 ống đong dung tích 1000 mL và 01 ống đong dung tích 100mL.

5.9 Cốc nung: dùng để xác định khối lượng bột khoáng có trong dung dịch thu được sau khi thử nghiệm, cốc có dung tích tối thiểu là 125 mL.

5.10 Bình hút ẩm.

5.11 Các dụng cụ phụ trợ: chổi lông, dao trộn, kìm, găng tay và khẩu trang phòng độc…

6 Chuẩn bị mẫu

6.1 Khối lượng mẫu tối thiểu yêu cầu phụ thuộc vào cỡ hạt lớn nhất danh định của BTN, được qui định trong Bảng 1.

Bảng 1 – Khối lượng mẫu tối thiểu

Cỡ hạt lớn nhất danh định theo cỡ sàng mắt vuông

(Dmax)

mm

Khối lượng mẫu tối thiểu

kg

4,75

0,5

9,5

1,0

12,5

1,5

19,0

2,0

25,0

3,0

37,5

4,0

6.2 Trong trường hợp khối lượng mẫu thử lớn vượt quá khả năng thử nghiệm của thiết bị thì phải chia mẫu ra làm hai hoặc ba phần có khối lượng xấp xỉ nhau, tiến hành thử nghiệm trên từng phần. Hàm lượng nhựa đối với toàn bộ mẫu sẽ là trung bình của các hàm lượng nhựa thử nghiệm trên các mẫu riêng biệt.

6.3 Làm tơi mẫu BTN, có thể sấy nóng mẫu trong tủ sấy ở nhiệt độ không quá 115 oC đến khi BTN đủ mềm để có xúc được bằng bay. Lấy lượng mẫu đủ để thử nghiệm theo phương pháp chia phần tư mẫu.

6.4 Sấy khô mẫu và giấy lọc ở nhiệt độ 110 oC±5 oC đến khối lượng không đổi (chênh lệch khối lượng giữa hai lần cân cách nhau 0,5 h không quá 0,1 % khối lượng lần cân sau).

7 Cách tiến hành

7.1 Cân khối lượng mẫu thử, khối lượng giấy lọc sau khi sấy khô chính xác 0,1 g. Ký hiệu khối lượng mẫu thử là m1.

7.2 Cho mẫu thử vào bát đựng mẫu. Đổ Tricloroethylene vào bát đựng mẫu cho đến khi ngập bằng mặt mẫu, ngâm mẫu trong khoảng thời gian đủ để dung môi hoà tan nhựa có trong mẫu ( không quá 1 h).

7.3 Đặt bát chứa mẫu nghiệm vào máy quay. Đặt giấy lọc đã được sấy khô khít với miệng bát, đậy nắp bát và kẹp chặt đồng tâm bát với trục quay của máy, đậy kín nắp máy và khoá chặt. Đặt bình hứng dung dịch chiết xuất ở vòi ra của máy.

7.4 Khởi động máy quay, bắt đầu cho máy chạy ở tốc độ chậm, sau tăng dần lên đến tốc độ 3600 r/min cho đến khi không còn dung dịch chiết xuất chảy ra ở vòi thì dừng máy.

7.5 Rót thêm 200 mL Tricloroethylene dung môi qua lỗ ở trên nắp máy vào trong bát đựng mẫu và lặp lại quá trình quay chiết xuất quy định tại 7.4. Quá trình này được lặp lại thêm ít nhất là 02 lần cho đến khi dung dịch chiết xuất chảy ra có màu vàng nhạt.

7.6 Mở nắp máy quay, cẩn thận chuyển giấy lọc và phần cốt liệu có trong bát đựng mẫu vào một cái khay kim loại đã xác định trước khối lượng, đặt khay dưới phễu hút khí thông hơi hoặc buồng hút khí độc để làm bay hơi dung môi cho đến khi mẫu cốt liệu ở trạng thái khô gió bề mặt. Đặt khay vào tủ sấy ở nhiệt độ 110 oC ± 5 oC cho tới khi khối lượng không thay đổi. Lấy khay ra khỏi tủ sấy, để nguội trong phòng, cân xác định khối lượng khay chứa cốt liệu và giấy lọc; căn cứ vào khối lượng giấy lọc ban đầu, khối lượng khay kim loại, xác định khối lượng phần cốt liệu chính xác tới 0,1 g, ký hiệu là m2.

7.7 Xác định khối lượng bột khoáng có trong dung dịch thu được sau khi tách nhựa

7.7.1 Sấy cốc nung đến khối lượng không đổi, làm nguội trong bình hút ẩm và cân xác định khối lượng ban đầu của cốc nung chính xác đến 0,01 g;

7.7.2 Xác định khối lượng của toàn bộ dung dịch thu được sau thử nghiệm, chính xác tới 0,1 g, ký hiệu là G1; khuấy đều toàn bộ dung dịch và lấy khoảng 100g dung dịch cho vào cốc nung, ký hiệu là G2;

7.7.3 Đặt cốc nung đựng dung dịch lên bếp điện và đun dưới phễu hút khí thông hơi hoặc trong buồng hút khí độc để làm bay hơi dung dịch, sau đó đặt cốc vào lò nung nhiệt độ 500 oC – 600 oC đến khối lượng không đổi. Để tro nguội và cân xác định khối lượng tro sơ bộ trong cốc nung;

7.7.4 Rót dung dịch amononium cacbonate (NH4)2CO3 vào cốc nung với mức 5 mL/1 g tro. Để cốc trong không khí 1 giờ trước đặt vào tủ sấy ở nhiệt độ 110 oC±5 oC cho đến khi khối lượng không đổi, lấy cốc đựng mẫu ra khỏi tủ sấy, để nguội trong bình hút ẩm và cân xác định khối lượng tro thu được trong cốc nung chính xác đến 0,01 g, ký hiệu là G;

7.7.5 Khối lượng của bột khoáng có trong toàn bộ dung dịch thu được sau thử nghiệm, tính bằng gam (g), được xác định theo công thức:

trong đó :

G          là khối lượng bột khoáng thu được trong cốc nung, tính bằng gam (g);

G1         là khối lượng của toàn bộ dung dịch, tính bằng gam (g);

G2         là khối lượng của phần dung dịch đem nung, tính bằng gam (g).

8 Biểu thị kết quả

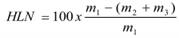
8.1 Hàm lượng nhựa tính theo phần trăm (%) khối lượng hỗn hợp, chính xác tới 0,1 %, được xác định theo công thức:

8.2 Hàm lượng nhựa tính theo phần trăm (%) khối lượng cốt liệu, chính xác tới 0,1 %, được xác định theo công thức:

Trong đó:

m1        là khối lượng mẫu BTN sấy khô, tính bằng gam (g);

m2        là khối lượng cốt liệu thu được sau khi tách nhựa, tính bằng gam (g);

m3        là khối lượng bột khoáng có trong dung dịch thu được sau khi tách nhựa, tính bằng gam (g).

9 Báo cáo thử nghiệm

Báo cáo thử nghiệm cần có các thông tin sau:

– Nguồn gốc mẫu;

– Loại BTN;

– Khối lượng mẫu;

– Hàm lượng nhựa theo khối lượng hỗn hợp và theo khối lượng cốt liệu;

– Người thí nghiệm và cơ sở thí nghiệm;

– Viện dẫn tiêu chuẩn này.


Phụ lục A

(Tham khảo)

Mẫu báo cáo kết quả thử nghiệm

TÊN ĐƠN VỊ THỰC HIỆN

Địa chỉ:                         Tel/Fax:                        Email:

KẾT QUẢ THÍ NGHIỆM HÀM LƯỢNG NHỰA TRONG BÊ TÔNG NHỰA BẰNG PHƯƠNG PHÁP CHIẾT SỬ DỤNG MÁY QUAY LI TÂM

1. Đơn vị yêu cầu :

2. Công trình :

3.Hạng mục:                                                     4. Loại bé tỏng nhựa:

5. Nguồn gốc mẫu:                                           6. Mã số mẫu:

7. Ngày nhận mẫu:                                            8. Ngày thí nghiệm:

Tiêu chuẩn áp dụng: TCVN 8860-2 : 2011

10. Kết quả thí nghiệm:

ml

Khối lượng mẫu thí nghiệm

g

 

mgl

Khối lượng của giấy lọc (g)

g

 

mk

Khối lượng của khay (g)

g

 

mhh

Khối lượng của khay + cốt liệu + giấy lọc (g)

g

 

m2

Khối lượng cốt liệu (g): mhh – mgl – mk

g

 

G1

Khối lượng dung dịch chiết xuất

g

 

G2

Khối lượng dung dịch đem nung

g

 

G1

Khối lượng dung dịch cho vào cốc nung

g

 

Gcn

Khối lượng cốc nung

g

 

Ghh

Khối lượng cốc nung + bột khoáng

g

 

G

Khối lượng bột khoáng thu được trong cốc nung (g): Ghh-Gcn

g

 

m3

Khối lượng bột khoáng trong dung dịch chiết:

 

g

 

 

Hàm lượng nhưa tính theo % khối lượng hỗn hợp:

%

 

 

Hàm lượng nhựa tính theo % Khối lượng cốt liệu:

%

 

11. Ghi chú:

12. Những người thực hiện:

Người thí nghiêm: (Ho tên, chữ ký)

Người lập báo cáo: (Họ tên, chữ ký)

Người kiểm tra: (Họ tên, chữ ký)

Tư vấn giám sát: (Họ tên, chữ ký)

….ngày……tháng……năm…….

PHÒNG THÍ NGHIỆM LAS-XD …

 

MỤC LỤC

1  Phạm vi áp dụng ………………………………………………………………………………………………………

2  Thuật ngữ và định nghĩa …………………………………………………………………………………………..

3  Nguyên tắc ……………………………………………………………………………………………………………..

4  Thuốc thử ……………………………………………………………………………………………………………….

5  Thiết bị, dụng cụ ………………………………………………………………………………………………………

6  Chuẩn bị mẫu…………………………………………………………………………………………………………..

7  Cách tiến hành ………………………………………………………………………………………………………..

8  Biểu thị kết quả ………………………………………………………………………………………………………..

9  Báo cáo thử nghiệm………………………………………………………………………………………………….

Phụ lục A (Tham khảo):  Mẫu báo cáo kết quả thử nghiệm ……………………………………………..

Leave a Reply

Your email address will not be published. Required fields are marked *