Tiêu chuẩn Việt Nam TCVN 95:1983 về tiêu chuẩn thiết kế chiếu sáng nhân tạo bên ngoài công trình xây dựng dân dụng đã được thay thế bởi Tiêu chuẩn xây dựng Việt Nam TCXDVN 333:2005 về chiếu sáng nhân tạo bên ngoài các công trình công cộng và kỹ thuật hạ tầng đô thị – tiêu chuẩn thiết kế do Bộ Xây dựng ban hành .
Nội dung toàn văn Tiêu chuẩn Việt Nam TCVN 95:1983 về tiêu chuẩn thiết kế chiếu sáng nhân tạo bên ngoài công trình xây dựng dân dụng
TIÊU CHUẨN VIỆT NAM
TCVN 95:1983
TIÊU CHUẨN THIẾT KẾ CHIẾU SÁNG NHÂN TẠO BÊN NGOÀI CÔNG TRÌNH XÂY DỰNG DÂN DỤNG
External artificial lighting in civil buildings. Design standard.
1. Quy định chung.
1.1. Tiêu chuẩn này áp dụng để thiết kế mới và cải tạo hệ thống chiếu sáng nhân tạo bên ngoài các loại nhà ở, công trình công cộng, đường phố, đường, quảng trường và các công trình kiến trúc nghệ thuật.
Chú thích:
1. Tiêu chuẩn này không áp dụng đối với các công trình xây dựng dân dụng đặc biệt (công trình ngầm, hải cảng, sân bay…), công trình công nghiệp, các kho tàng và chuồng trại chăn nuôi, vv…
2. Khi thiết kế chiếu sáng, ngoài việc tuân theo các quy định trong tiêu chuẩn này còn phải tuân theo các tiêu chuẩn quy phạm hiện hành có liên quan.
3. Những thuật ngữ kĩ thuật chiếu sáng sử dụng trong tiêu chuẩn này được giải thích trong phụ lục 1.
1.2. Tiêu chuẩn này áp dụng để thiết kế các hệ thống chiếu sáng bằng bóng đèn phóng điện trong chất khí (bóng đèn huỳnh quang, bóng đèn thuỷ ngân cao áp, bóng đèn halôgen kim loại, bóng đèn natri cao áp, bóng đèn xênông và bóng đèn nung sáng kể cả bóng đèn halôgen nung sáng).
1.3. Khi xác định độ rọi tiêu chuẩn (tính bằng lux) phải theo thang độ rọi ghi trong bảng 1.
Bảng 1
|
Bậc thang |
I |
II |
III |
IV |
V |
VI |
VII |
VIII |
IX |
X |
XI |
XII |
XIII |
XIV |
XV |
|
Độ rọi (1x) |
0,2 |
0,3 |
0,5 |
1 |
2 |
3 |
5 |
7 |
10 |
20 |
30 |
50 |
75 |
100 |
150 |
|
Bậc thang |
XVI |
XVII |
XVIII |
XIX |
XX |
XXI |
XXII |
XXIII |
XXIV |
XXV |
XXVI |
XXVII |
|
Độ rọi (1x) |
200 |
300 |
400 |
500 |
600 |
750 |
1000 |
1250 |
1500 |
2000 |
2500 |
3000 |
1.4. Điều khiển chiếu sáng bên ngoài cần phải được độc lập với điều khiển chiếu sáng trong nhà.
1.5. Khi thiết kế hệ thống chiếu sáng cần phải tính đến trị số hệ số dự trữ và số lần lau đèn trong năm ghi trong bảng 2.
1.6. Khi thiết kế hệ thống chiếu sáng, trước tiên cần tính đến các phương tiện nâng, hạ hoặc thang để bảo dưỡng các đèn chiếu sáng trên cao (lau bụi, thay bóng và sửa chữa đèn) .
1.7. Khi lập phương án xây dựng các công trình công cộng cần bố trí các phòng phụ trợ dùng cho công việc sửa chữa và lau chùi đèn, các kho chứa vật liệu thiết bị.
Bảng 2
|
Đối tượng được chiếu sáng |
Hệ số dự trữ khi sử dụng đèn lắp |
Số lần lau đèn trong 1 năm |
|
|
Bóng đèn phóng điện trong chất khí |
Bóng đèn nung sáng |
||
|
Đường phố, đường, quảng trường, công trình thể dục thể thao, công trình kiến trúc, vùng xung quanh các công trình công cộng, nhà ở và triển lãm, công viên, đại lộ, vườn hoa |
1,5 |
1,3 |
4 |
Chú thích: Khi sử dụng đèn pha để chiếu sáng không gian ngoài trời, hệ số dự trữ lấy bằng 1,5 cho bất kì loại nguồn sáng nào, với 4 lần lau đèn trong 1 năm.
2. Chiếu sáng đường phố, đường và quảng trường
2.1. Phân cấp đường phố, đường và quảng trường đô thị theo yêu cầu chiếu sáng, quy định trong bảng 3.
Bảng 3
|
Phân cấp |
Loại đường phố, đường và quảng trường |
Chức năng chính |
|
1 |
2 |
3 |
|
A |
– Đường cao tốc |
Dành cho xe ôtô có tốc độ cao (160 km/h) liên hệ giữa : – Các khu nhà ở với trung tâm thành phố, khu công nghiệp, khu nghỉ mát, khu an dưỡng, các công trình giao thông đối ngoại của đô thị lớn và đô thị cực lớn. – Các khu dân cư, khu nghỉ mát, khu an dưỡng, các đường quốc lộ. Tổ chức giao nhau khác độ cao. |
|
– Đường phố chính toàn thành loại 1 |
Giao thông liên tục, liên hệ giữa các khu nhà ở, khu công nghiệp và các trung tâm công cộng, nối với đường cao tốc trong phạm vi đô thị. Tổ chức giao nhau khác độ cao. |
|
|
– Đường phố chính toàn thành loại 2 |
Giao thông có điều khiển, liên hệ trong phạm vi đô thị giữa các khu nhà ở, khu công nghiệp và trung tâm công cộng; nối với đường phố chính loại I thì tổ chức giao nhau khác độ cao. |
|
|
– Quảng trường chính thành phố |
Nơi đi bộ đến công trình công cộng và làm nơi mít ting, duyệt binh trong các ngày lễ, ngày hội. Cho phép các phương tiện giao thông và phục vụ các công trình đó ở quảng |
|
|
|
|
trường, nhưng không cho phép thông qua. |
|
– Quảng trường giao thông và quảng trường trước cầu |
Để phân luồng xe chạy, chỗ giao nhau ở cùng độ cao và khác độ cao, tổ chức đầu mối giao thông. |
|
|
– Quảng trường trước ga |
Nơi đỗ xe và để hành khách đi tới công trình giao thông đối ngoại, nơi tổ chức giao thông và người đi bộ ở cùng độ cao và khác độ cao. Chỗ bến xe công cộng và bãi đỗ xe. |
|
|
– Quảng trường đầu mối các công trình giao thông |
Nơi bố trí công trình công cộng, công trình giao thông ngoài và trong đô thị, công trình chuyển tiếp sang các phương tiện giao thông khác. |
|
|
B |
– Đường chính khu vực |
Liên hệ trong giới hạn khu nhà ở, nối với đường phố chính toàn thành loại l và loại 2 |
|
– Đường vận tải toàn thành |
Vận chuyển hàng hoá công nghiệp và vật liệu xây dựng giữa các khu công nghiệp, khu kho tàng, bến bãi, khu thương nghiệp và các ga hàng hoá của thành phố. |
|
|
– Quảng trường trước công trình công cộng (sân thể thao, triển lãm,trung tâm thương nghiệp) và các điểm tập trung công cộng |
Là nơi giao thông công cộng và người đi bộ tới công trình. Nơi bố trí bến xe công cộng và bãi đỗ xe. |
|
|
C |
– Đường trong khu nhà ở |
Liên hệ giữa các tiểu khu nhà ở, nhóm nhà ở với đường chính khu vực (không có giao thông công cộng) |
|
– Đường trong khu công nghiệp và kho tàng |
Chuyên chở hàng hóa công nghiệp và vật liệu xây dựng trong khu công nghiệp và kho tàng, nối ra đường vận tải toàn thành và các đường khác. Trong khu an dưỡng, khu nghỉ mát và trại hè thiếu niên, trong khu thể thao và du lịch. |
|
|
D |
– Đường phố nhỏ, ngõ phố – Đường dành cho xe đạp
– Đường dành cho người đi bộ |
Liên hệ trong giới hạn tiểu khu nhà ở. Để cho giao thông bằng xe đạp, đi đến nơi làm việc của cơ quan, xí nghiệp, trung tâm công cộng, khu nghỉ ngơi. Dành cho người đi bộ tới nơi làm việc, cơ quan, xí nghiệp, trung tâm công cộng, khu nghỉ ngơi. |
Chú thích: Phân loại đô thị theo quy mô dân số xem tiêu chuẩn và quy phạm thiết kế quy hoạch xây dựng đô thị, 20 TCN 82 – 1981.
2.2. Cần phải thiết kế chiếu sáng đường phố, đường và quảng trường có lớp mặt là loại cấp cao (mặt đường bê- tông xi- măng, mặt đường bê- tông át-phan) theo trị số độ chói trung bình trên dải có hoạt động vận chuyển của đường phố, đường và quảng trường quy định trong bảng 4.
Đường phố, đường và quảng trường có lớp mặt là loại cấp cao thứ yếu (mặt đường đá dăm, thảm nhựa mặt đường đá dăm sỏi, cuội trộn nhựa, vv…) cần phải được chiếu sáng theo trị số độ rọi trung bình trên dải có hoạt động vận chuyển của đường phố, đường và quảng trường quy định trong bảng 4.
2.3. Độ chói trung bình trên mặt hè đường cạnh dải có hoạt động vận chuyển của đường phố, đường và quảng trường quy định không được nhỏ hơn một nửa trị số độ chói trung bình quy định trong bảng 4.
Bảng 4
|
Cấp đường phố, đường và quảng trường |
Lưu lượng xe lớn nhất (kể cả hai chiều) trong thời gian có chiếu sáng (xe/h) |
Độ chói trung bình trên mặt đường (cd/m2) |
Độ dọi trung bình trên mặt đường (lx) |
|
A |
Trên 1000 đến 3000 Trên 500 đến 1000 Dưới 500 |
10 0,7 0,4 |
5 10 6 |
|
B |
Trên 2000 Trên 1000 đến 2000 Trên 500 đến 1000 Trên 200 đến 500 Dưới 200 |
1,0 0,7 0,4 0,2 0,1 |
10 10 6 4 2 |
|
C |
Trên 500 Dưới 500 |
0,2 0,1 |
4 2 |
Chú thích:
1) Lưu lượng xe lớn nhất ghi trong bảng 4, có tính đến tương lai phát triển giao thông trong khoảng 10 năm tới.
2) Trị số độ chói trung bình trên mặt đường cao tốc quy định là cd/m2 không phụ thuộc vào lưu lượng xe lớn nhất.
3) Tại chỗ giao nhau khác độ cao của hai hoặc nhiều đường tùy theo loại mặt đường cần quy định chung theo trị số độ chói trung bình hoặc trị số độ rọi trung bình của đường phố chính đi qua chỗ đó.
2.4. Cần phải tính đến chiếu sáng trên một đoạn đường nối dài 150m của các đường phố, đường nối với đường phố và đường cấp A hoặc cấp B.
Tiêu chuẩn chiếu sáng trên mặt đường của các đoạn đường đó bằng tiêu chuẩn chiếu sáng trên mặt đường của đường phố và đường cấp A hoặc cấp B nối liền với chúng, quy định trong bảng 4.
2.5. Độ rọi trung bình trên mặt hè đường nằm cách biệt với dải có hoạt động vận chuyển của đường phố, đường vườn hoa nằm cạnh dải có hoạt động vận chuyển của đường phố, đường đi bộ và đường phố cấp D, quy định trong bảng 5.
2.6. Bộ rọi trung bình trên mặt đường tầu điện là 2 lux.
Nếu đường tầu điện nằm trong phạm vi dải có hoạt động vận chuyển của đường phố thì mức độ chiếu sáng trên mặt đường tầu điện như mức độ chiếu sáng của đường phố, quy định trong bảng 4.
Bảng 5
|
STT |
Đối tượng chiếu sáng |
Độ rọi trung bình (lx) |
|
1
2 3 4 5
6
7 8
9
10 |
Hè đường nằm cách biệt với dải có hoạt động vận chuyển của đường phố : – Cấp A – Cấp B và cấp C Phần không có hoạt động vận chuyển trên quảng trường cấp A và cấp B. Điểm đỗ xe ô tô công cộng trên đường phố các cấp Đường dành cho người đi bộ Đường đi bộ trong vườn hoa nằm cạnh đường phố : – Cấp A – Cấp B – Cấp C Bến của các phương tiện giao thông công cộng trên đường phố các cấp. Cầu để đi bộ Đường hầm để đi bộ qua đường trong thời gian : – Ban ngày – Buổi tối và ban đêm Thang xuống đường hầm để đi bộ qua đường trong thời gian ban ngày và ban đêm. Đường phố cấp D : a. Đường đi bộ có cây xanh, đường dành cho xe đạp. b. Đường phố nhỏ, ngõ phố, đường đi đến điểm đỗ xe ô tô công cộng c. Đường đi dạo mát nghỉ ngơi |
2 1 4 2 2
3 2 1 4
4
40 20 10
2 1 0,5 |
Chú thích: Mục 8 và 9 trong bảng 5 để cho tương lai phát triển trong thời gian tới.
2.7. Tỉ số giữa trị số độ chói lớn nhất và độ chói nhỏ nhất trên mặt dải có hoạt động vận chuyển của đường phố, đường và quảng trường không vượt quá :
– 3 : 1 – Với trường hợp quy định độ chói trung bình tiêu chuẩn từ 0,4 cd/m2 đến 1 cd/m2.
– 5 : 1 – Với trường hợp quy đinh độ chói trung bình tiêu chuẩn từ 0,1 cd/m2 đến 0,2 cd/m2.
Bảng 6
|
STT |
Tính chất của đèn |
Tổng quang thông lớn nhất của các bóng đèn trong đèn được treo trên một cột (1m) |
Độ cao treo đèn thấp nhất (m) khi sử dụng đèn lắp |
|
|
Bóng đèn nung sáng |
Bóng đèn phóng điện trong chất khí |
|||
|
1 |
2 |
3 |
4 |
5 |
|
1 |
Đèn nấm, ánh sáng tán xạ |
Trên 6000 dưới 6000 |
3,0 4,0 |
3,0 4,0 |
|
2 |
Đèn có phân bổ ánh sáng bán rộng |
Dưới 5000 Từ 5000 đến 10000 Trên 10000 đến 20000 Trên 20000 đến 30000 |
6,5 7,0 7,5 – |
7,0 7,5 8,0 9,0 |
|
|
|
Trên 30000 đến 40000 Trên 40000 |
– – |
10,0 11,5 |
|
3 |
Đèn có phân bố ánh sáng rộng |
Dưới 5000 Từ 5000 đến 10000 Trên 10000 đến 20000 Trên 20000 đến 30000 Trên 30000 đến 40000 Trên 40000 |
7,0 8,0 9,0 – – – |
7,5 8,5 9,5 10,5 11,5 13,0 |
Bảng 7
|
STT |
Đối tượng chiếu sáng |
Độ rọi trung bình (lx) |
|
1 |
2 |
3 |
|
I 1 2 II 1 2 3 4 III 1 2
3 4 5 |
Trường học, vườn trẻ Sân chơi và tập thể dục Đường nhỏ, đường dẫn đến các ngôi nhà và các sân nhỏ Bệnh viện Cổng vào, khu vực tiếp nhận và thăm hỏi bệnh nhân Đường nhỏ và các đường dẫn đến các nhà điều trị Đường và sân dạo chơi Sân của khu vực nghỉ ngơi giải trí Nhà điều dưỡng, nhà nghỉ Cổng vào Đường nhỏ, đường dẫn đến các nhà nghỉ, nhà ăn, rạp chiếu phim và các nhà khác Đường chính có cây xanh Đường nhỏ có cây xanh Sân tổ chức các trò chơi, sân nghỉ ngơi giải trí, sân ở phía trước sân khấu ngoài trời |
4 2
3 2 2 3
3 2
2 4 4 |
2.8. Chỉ số chói lóa cho các thiết bị chiếu sáng đường phố, đường và khu vực có vận chuyển của quảng trường cấp A và cấp B không được lớn hơn 150.
Để hạn chế chói lóa, độ cao treo đèn thấp nhất so với mặt đường của các thiết bị chiếu sáng đường phố, đường cấp C và cấp D, các đối tượng có độ rọi trung bình tiêu chuẩn không được nhỏ hơn quy định trong bảng 6.
Bảng 8
|
STT |
Đối tượng chiếu sáng |
Độ rọi trung bình trên mặt đường (lx) |
|||
|
Công viên của đô thị |
Vườn hoa |
Sân vận động |
Triển lãm |
||
|
1 2 3 4 5 6
7 |
Cổng vào chính Cổng vào phụ Đường chính cây xanh Đường nhỏ có cây xanh Chỗ giao nhau của nhiều đường có cây xanh Sân để nghỉ ngơi giải trí, sân phía trước sân khấu ngoài trời, sân tổ chức các trò chơi, sân phía trước cổng vào của nhà hát, rạp chiếu phim, triển lãm và các gian hàng trong triển lãm Khu vực nghỉ ngơi của triển lãm |
3 1 2 1 3 6
– |
2 0,5 1 0,5 2 6
– |
4 3 3 2 4 –
– |
4 3 4 3 6 10
6 |
2.9. Độ rọi trung bình trên mặt đường, mặt sân của trường học, vườn trẻ, bệnh viện,nhà điều dưỡng và nhà nghỉ, quy định trong bảng 7.
2.10. Độ rọi trung bình trong công viên, vườn hoa, sân vận động và triển lãm quy định trong bảng 8.
2.11. Tỉ số giữa trị số độ rọi lớn nhất và độ rọi trung bình ở các đối tượng chiếu sáng không được vượt quá :
– 3: l – Với trường hợp quy định độ rọi trung bình tiêu chuẩn trên 6 lux.
– 5: l – Với trường hợp quy định độ rọi trung bình tiêu chuẩn từ 4 lux đến 6 lux
– 10 :1 – Với trường hợp quy định độ rọi trung bình tiêu chuẩn nhỏ hơn 4 lux.
2.12. Để chiếu sáng đường phố, đường và quảng trường với độ chói trung bình từ 0,4cd/m2 trở lên phải sử dụng các bóng đèn phóng điện trong chất khí áp suất cao có hiệu chỉnh màu (như bóng đèn thuỷ ngân cao áp, bóng đèn ha-lô- gen (kim loại), với độ chói trung bình nhỏ hơn 0,4 cd/m2 cần phải sử dụng các bóng đèn phóng điện trong chất khí hoặc bóng đèn nung sáng.
2.13. Để chiếu sáng những đối tượng có độ rọi trung bình từ 4 lux trở lên cần phải sử dụng các bóng đèn phóng điện trong chất khí.
2.14. Để tiết kiệm năng lượng điện, trong thời gian ban đêm cần phải giảm mức độ chiếu sáng đường phố, đường và quảng trường có độ chói trung bình lớn hơn 0,2 cd/m2 và các đối tượng chiếu sáng có độ rọi trung bình lớn hơn 2 lux bằng cách tắt bớt đèn, nhưng không quá nửa tổng số đèn.
2.15. Độ cao treo đèn ở trên dải có hoạt động vận chuyển của đường phố, đường và quảng trường không được thấp hơn 6,5m so với mặt đường.
Độ cao treo đèn trên mạng điện tiếp xúc với cần tầu điện không được thấp hơn 8m tính từ đường ray.
2.16. Độ cao treo đèn thấp nhất trên lan can cầu không hạn chế với điều kiện góc bảo vệ của đèn không được nhỏ hơn 10o và khi mở đèn để thay bóng phải dùng dụng cụ chuyên dùng mới mở được.
2.17. Trong các đường hầm để đi bộ qua đường phải sử dụng các đèn :
a. Với góc bảo vệ không nhỏ hơn 15o và số tổng công suất các bóng đèn huỳnh quang trong đèn không lớn hơn 80w hoặc các bóng đèn thuỷ ngân cao áp trong đèn không lớn hơn 125w.
b. Với bộ phận tán xạ mờ hoặc tán xạ màu sữa không có chao, tổng công suất các bóng đèn thuỷ ngân cao áp trong đèn không lớn hơn 125w.
3. Chiếu sáng các công trình kiến trúc – nghệ thuật.
3.1. Khi lập các phương án chiếu sáng kiến trúc cho những quần thể kiến trúc, toà nhà và công trình kiến trúc, cũng như chiếu sáng nghệ thuật cho các tượng đài kỉ niệm, đài phun nước và các vườn cây cảnh, cần nghiên cứu kết hợp hài hoà với ánh sáng trang trí quảng cáo chung của thành phố và chiếu sáng đường phố. Việc chiếu sáng cho những công trình kiến trúc và chiếu sáng nghệ thuật của các đối tượng kể trên do ủy ban nhân dân thành phố và kiến trúc sư trưởng thành phố quy định.
3.2. Bố trí chiếu sáng cho các công trình kiến trúc hoặc các toà nhà, tuỳ theo đặc điểm kiến trúc, ý nghĩa, vị trí của công trình, có thể theo một trong những cách sau đây :
a. Chiếu sáng đồng đều toàn bộ mặt chính của công trình.
b. Chiếu sáng một phần mặt chính hoặc từng phần kiến trúc của ngôi nhà, của công trình.
c. Chiếu sáng kết hợp, khi cần tăng cường chiếu sáng cục bộ các phần riêng biệt của công trình cùng với chiếu sáng chung đồng đều mặt chính công trình.
d. Chiếu sáng theo đường bao quanh công trình.
e. Tạo nên những “bức vẽ” bằng ánh sáng theo chương trình điều khiển ánh sáng của các buồng có lắp kính trên bề mặt chính của công trình.
g. Tạo ánh sáng trang trí do những đèn chiếu sáng đường phố đặt trên tường ngoài phố.
h. Chiếu sáng biến động thay đổi theo thời gian và không gian.
Bảng 9
|
Vật liệu ốp trát hoặc màu sơn mặt chính của tòa nhà và các công trình kiến trúc |
Hệ số phản xạ của vật liệu |
Độ rọi trung bình (lx) với độ chói của nền |
||
|
Thấp (nhỏ hơn 1 cd/m2) |
trung bình (từ 1 đến 5cd/m2) |
Cao (lớn hơn 5cd/m2) |
||
|
– Đá hoa trắng, hạch men trắng, vữa trắng. – Vữa xám sáng, gạch trắng, gạch gốm, bê tông sáng. – Sơn xám, gạch màu đá cát kết mầu vàng, đá hộc, đá vôi, bê tông xám. – Sơn xám thẫm, gạch, gỗ màu thẫm, đá granít mầu thẫm. – Sơn mầu thẫm, hạt vụn mầu đen, đá phiến, ta-bra-do |
Lớn hơn 0,6
Trên 0,45 đến 0,6 Trên 0,3 đến 0,45
Từ 0,15 đến 0,3
Nhỏ hơn 0,15 |
20
30 50
75
100 |
30
50 75
100
150 |
50
75 100
150
200 |
3.3. Độ rọi trung bình trên mặt chính các toà nhà và công trình kiến trúc không được nhỏ hơn trị số qui định trong bảng 9.
Chú thích:
1. Cho phép tăng trị số độ rọi quy định trong bảng 9 lên với trường hợp các công trình kiến trúc cần quan sát được từ xa (trên 1 km) hoặc những ngôi nhà có chi tiết kiến trúc, điêu khắc tuy nhỏ bé, nhưng có giá trị đặc biệt đối với sự cảm thụ vẻ đẹp kiến trúc của toàn bộ ngôi nhà.
2. Nêú đối tượng được chiêú sáng ở ngoại vi đô thị, trên nền là cây xanh hoặc nền trời không được chiếu sáng thì độ chói của nền lấy trị số nhỏ hơn 1cd/m2.
3. Nếu đối tượng được chiếu sáng ở gần cách ngôi nhà có mặt phẳng sáng lớn ( như nhà ở có diện tích lắp kính tương đối lớn, qua đó có thể nhìn thấy các phòng được chiếu sáng bên trong) thì độ chói của nền lấy trị số lớn hơn 5cd/m2.
3.4. Khi chiếu sáng đồng đều trên bề mặt chính hoặc từng phần của các toà nhà và công trình kiến trúc, tỉ số giữa độ rọi lớn nhất và nhỏ nhất không được lớn hơn 3:1.
Trường hợp mặt chính có đặc tính phản xạ ánh sáng, tỉ số đó là 5:1
Tỉ lệ giữa độ rọi lớn nhất và độ rọi nhỏ nhất không quy định đối với chiếu sáng kết hợp hoặc tăng cường chiếu sáng các phần riêng biệt của công trình kiến trúc.
3.5. Độ rọi trung bình trên mặt thẳng đứng chính của tượng, đài kỷ niệm không được nhỏ hơn trị số quy định trong bảng 10. Độ rọi trên những mặt khác của tượng đài kỷ niệm đó cần bảo đảm tuỳ theo yêu cầu về mức độ gây ấn tượng nghệ thuật.
Bảng 10
|
Vật liệu của tượng, đài kỉ niệm |
Hệ số phản xạ của vật liệu |
Độ rọi trung bình (lx) với độ chói của nền |
||
|
Thấp (nhỏ hơn 1cd/m3) |
Trung bình (Từ 1 đến 5cd/m3) |
Cao(lớn hơn 5 cd/m2) |
||
|
– Thạch cao, gạch men màu sáng. – Bê tông màu sáng và xám sáng. – Đá granit và bê tông màu xám, đá hoa màu xám – Đá tảng và đá hoa màu thẫm. – Mốc đồng đen, gang, labrado mầu thẫm. |
Lớn hơn 0,6
Trên 0,45 đến 0,6
Trên 0,3 đến 0,45 Từ 0,15 đến 0,3
Nhỏ hơn 0,15 |
30
50
75 100
150 |
50
75
100 150
200 |
75
100
150 200
300 |
Chú thích:
1. Cho phép tăng trị số độ rọi quy định trong bảng 10 với trường hợp những tượng, đài kỉ niệm cần quan sát được từ xa (trên 300 m).
2. Cho phép giảm trị số độ rọi quy định trong bảng 10 xuống một nửa (theo thang độ rọi ở bảng 1) với trường hợp những tượng, đài kỉ niệm đặt trong công viên, vườn hoa, ở ngoại vi thành phố hoặc trên nền là cây xanh, nền trời.v.v…
3.6. Những tượng, đài kỉ niệm có ý nghĩa kiến trúc độc lập với quần thể kiến trúc xung quanh và có thể quan sát từ nhiều hướng, phải được chiếu sáng ở những hướng cần thiết, trong đó có hướng cần chiếu sáng chính rõ rệt. Còn những t-ượng, đài kỉ niệm khác phải chiếu sáng theo hướng quan sát chính.
3.7. Khi chọn nguồn sáng, kính lọc màu (để tạo ánh sáng màu) của các thiết bị chiếu sáng kiến trúc và chiếu sáng nghệ thuật cần phải tính đến đặc tính phản xạ và màu sắc của các đối tượng được chiếu sáng, sắc màu mặt người trong vùng có chiếu sáng.
Nguồn sáng để chiếu sáng cây xanh và bề mặt của các đối tượng có màu sắc “lạnh” (như màu xanh lá cây, màu xanh biển, màu xám, vv…) phải là nguồn sáng có nhiệt độ màu cao (như bóng đèn thuỷ ngân cao áp, bóng đèn huỳnh quang ánh sáng ban ngày, bóng đèn halôgen kim loại, bóng đèn huỳnh quang ánh sáng trắng lạnh, vv…).
Ngồn sáng để chiếu sáng bề mặt của các đối tượng có màu sắc “nóng” (như màu đỏ, màu da cam, màu vàng, vv…), những vùng có nhiều người đi qua lại phải là nguồn sáng có nhiệt độ màu thấp (như bóng đèn nung sáng, bóng đèn halôgen nung sáng, bóng đèn huỳnh quang ánh sáng trắng nóng, bóng đèn huỳnh quang ánh sáng trắng, v.v…).
3.8. Chiếu sáng đài phun nước, bao gồm chiếu sáng những tia nước, mặt nước, tượng đài và những chi tiết kiến trúc khác của đài phun nước. Độ chói ở chỗ sáng nhất của tia nước không được nhỏ hơn 300 cd/m2.
3.9. Cần phải bố trí ẩn, khuất các thiết bị chiếu sáng kiến trúc ngoài trời và chiếu sáng nghệ thuật. Cho phép đặt các thiết bị chiếu sáng ở ngay trên công trình cần chiếu sáng, trên mái của các nhà xung quanh, trên giàn đèn, trên cột đèn chiếu sáng đường phố hoặc ở trên mặt đất, v.v…
3.10. Phải áp dụng các biện pháp nhằm hạn chế gây chói lớn cho những người quan sát, người đi bộ, người lái xe khi chiếu sáng kiến trúc nghệ thuật, không để ánh sáng hắt ra từ các cửa sổ nhà ở bằng cách :
a. Lắp tấm che ánh sáng hình mắt sàng và tấm chắn ánh sáng cho các hệ thống chiếu sáng. Không để các tia sáng về phía người quan sát (ví dụ như chiếu sáng cây cảnh) .
b. Sử dụng những đèn lắp bóng nung sáng hoặc bóng đèn thuỷ ngân cao áp có góc bảo vệ không nhỏ hơn 10o, đặt ở độ cao không lớn hơn l,5m so với mặt đất để chiếu sáng các bồn hoa, khóm hoa và vườn cây cảnh.
4. Chiếu sáng các công trình thể dục thể thao ngoài trời.
4.1. Khi thiết kế chiếu sáng nhân tạo các công trình thể dục thể thao phải tuân theo các điều trong phần này, các điều có liên quan trong tiêu chuẩn này và các tiêu chuẩn quy phạm hiện hành.
4.2. Độ rọi nhỏ nhất trên mặt sân các công trình thể dục thể thao ngoài trời quy định trong bảng 11.
Bảng 11
|
STT |
Các môn thể dục thể thao |
Độ rọi nhỏ nhất (1x) |
Mặt phẳng để xác định độ rọi |
Ghi chú |
|
1 |
2 |
3 |
4 |
5 |
|
1 A
b
c |
Bóng đá Sân luyện tập |
50 |
Ngang, trên mặt sân |
|
|
30 |
Đứng ở độ cao dưới 15m từ mặt sân |
Cần bảo đảm độ rọi ở cả hai bên mặt phẳng đứng đi qua trục dọc của sân |
||
|
Sân thể thao có dưới 5000 chỗ ngồi |
100 |
Ngang, trên mặt sân |
|
|
|
50 |
Đứng ở độ cao dưới 15m từ mặt sân |
nt |
||
|
Sân thể thao (hoặc sân vận động) có từ 5000 đến 50000 chỗ ngồi |
200 |
Ngang, trên mặt sân |
|
|
|
75 |
Đứng ở độ cao dưới 15m từ mặt sân |
nt |
||
|
2 a b |
Bóng chuyền, cầu lông Sân tập luyện và sân thi đấu nhỏ có dưới 1500 chỗ ngồi |
50 |
Ngang, trên mặt sân |
nt |
|
30 |
Đứng, ở độ cao từ 1m đến 5m cách mặt sân |
nt |
||
|
Sân thi đấu lớn có từ 1500 chỗ ngồi trở lên |
150 |
Ngang, trên mặt sân |
|
|
|
50 |
Đứng, ở độ cao từ 1m đến 5m cách mặt sân |
nt |
||
|
3 a b |
Bóng rổ Sân tập luyện và sân thi đấu nhỏ có dưới 1500 chỗ ngồi |
50 |
Ngang, trên mặt sân |
|
|
30 |
Đứng, ở mặt bảng chứa rổ |
nt |
||
|
Sân thi đấu lớn từ 1500 chỗ ngồi trở lên |
150 |
Ngang, trên mặt sân |
|
|
|
50 |
Đứng, ở mặt bảng chứa rổ |
nt |
||
|
4 a b |
Quần vợt Sân tập luyện và sân thi đấu nhỏ có dưới 1500 chỗ ngồi |
100 |
Ngang, trên mặt sân |
|
|
50 |
Đứng, ở độ cao dưới 5m từ mặt sân |
nt |
||
|
Sân thi đấu lớn có từ 1500 chỗ ngồi trở lên. |
150 |
Ngang, trên mặt sân |
|
|
|
50 |
ứng, ở độ cao dưới 5m từ mặt sân |
nt |
||
|
5 |
Bóng bàn Với bất kì số lượng chỗ ngồi |
150 |
Ngang, trên mặt bàn |
Cần bảo đảm độ rọi trên mặt bàn và cách mép bàn 2m |
|
6 a b |
Vượt rào ở khu vực rào ở khu vực còn lại |
50
10 |
Ngang, trên mặt chướng ngại vật nt |
|
|
7 |
Điền kinh (nhào lộn, võ dân tộc vật, quyền anh, thể dục dụng cụ, thể dục nghệ thuật, cử tạ, đấu kiếm) |
30 |
Ngang, trên mặt sân |
|
|
8 a – – b |
Điền kinh nhẹ Nhảy xa, nhảy ba bước. ở hố cát và cách hố cát từ 20m trở lên trên mặt đường chạy lấy đà. Trên đoạn đường chạy lấy đà còn lại. Nhẩy sào, nhẩy cao. ở khu vực đường chạy lấy đà và hố cắm sào ; ở khu vực đường chạy lấy đà cách hố cát 3m và ở hố cát đối với môn nhảy cao. Trên đoạn đường chạy lấy đà còn lại. |
50 30 50 |
Ngang, trên mặt đường chạy lấy đà nt Ngang, trên mặt đường chạy lấy đà |
|
|
30 |
Đứng, từ mặt đường chạy lấy đà tới độ cao 6m đối với sân nhảy sào ; 3m đối với sân nhảy cao. |
|
||
|
30 |
Ngang, trên mặt đường chạy lấy đà. |
|
||
|
c d |
Đẩy tạ. |
30 |
Ngang, trong vòng đẩy tạ và khu vực tạ rơi |
Cần đảm bảo độ rơi trong vòng đẩy tạ và khu vực tạ rơi |
|
Lăng đĩa và tạ xích |
|
|
|
|
|
|
– Trên vòng lấy đà – Trên khu vực đĩa và tạ xích rơi |
50 |
Ngang, trên vòng lấy đà |
|
|
30 |
Ngang, trên khu vực đĩa và tạ xích rơi |
|
||
|
10 |
Đứng, ở độ cao dưới 15m từ bề mặt khu vực đĩa và tạ rơi |
Cần bảo đảm độ rọi ở cả hai bên mặt phẳng đứng đối xứng của khu vực tạ và đĩa rơi |
||
|
e g |
Ném lao, ném lựu đạn – Trên đoạn đường chạy lấy đà không nhỏ hơn 10m. – Trên đoạn đường chạy lấy đà còn lại và trên khu vực lao và lựu đạn rơi. |
50 |
Ngang, trên mặt đường chạy lấy đà |
|
|
30 |
Ngang, trên mặt đường và khu vực lao và lựu đạn rơi. |
|
||
|
10 |
Đứng, ở độ cao dưới 15m từ bề mặt lao và lựu đạn rơi. |
Cần bảo đảm độ rọi ở cả hai bên mặt phẳng đối xứng của khu vực lao và lựu đạn rơi. |
||
|
Đường chạy thẳng và đường chạy vòng quanh sân thể thao. |
50 |
Ngang, trên mặt đường chạy |
|
|
|
9 a b |
Bể bơi ngoài trời. Tập luyện và thi đấu nhỏ có dưới 800 chỗ ngồi. |
100 |
Ngang, trên bề mặt nước. |
Độ rọi không kể chiếu sáng dưới nước |
|
Thi đấu lớn có từ 800 chỗ ngồi trở lên |
150 |
Ngang, trên mặt nước. |
nt |
|
|
10 b |
Cầu nhẩy ở ngoài trời Tập luyện và thi đấu nhỏ có dưới 800 chỗ ngồi |
100 |
Ngang, trên mặt nước |
|
|
50 |
Đứng, ở độ cao của cầu nhẩy |
Cần bảo đảm độ rọi ở cả hai bên mặt phẳng đi qua trục dọc của cầu nhẩy cao nhất |
||
|
Thi đấu lớn có từ 800 chỗ ngồi trở lên |
150 |
Ngang, trên mặt nước |
|
|
|
75 |
Đứng, ở độ cao của cầu nhẩy |
nt |
4.3. phải tính đến sự giảm độ rọi do sương mù, mưa bụi và mưa vừa trong tính toán chiếu sáng các sân thể thao ngoài trời.
4.4. Khi thiết kế chiếu sáng ở dưới mặt nước bể bơi phải đạt tiêu chuẩn quy định 1000 lumen cho 1m2 mặt phẳng đứng trong nước dọc theo trục bể bơi. Các đèn bố trí không được gây lóa cho vận động viên.
4.5. Cần bố trí chiếu sáng mặt phầng đứng các công trình thể dục thể thao ngoài trời.
Độ cao đặt các đèn chiếu sáng mặt phẳng đứng không được nhỏ hơn :
– 12m đối với sân bóng chuyền và sân quần vợt.
– 8m đối với sân cầu lông và sân bóng rổ.
– 3m đối với sân cho môn vượt rào và sân cho môn bóng bàn (kể từ mặt bàn).
4.6. Chiều cao cột đèn chiếu sáng mặt phẳng đứng ở các sân thể thao ngoài trời không được nhỏ hơn 10m và góc tạo bởi mặt bằng công trình với đường thẳng hạ từ đỉnh cột đèn vuông góc với trục dọc của sân bãi không được nhỏ hơn 27o.
4.7. Cần phải sử dụng các đèn chiếu sáng mặt phẳng đứng ở các sân thể thao ngoài trời có góc bảo vệ không nhỏ hơn 30o.
4.8. Không được bố trí hướng chiếu sáng của đèn có phân bổ ánh sáng hẹp ngược với hướng chạy của vận động viên.
4.9. Độ rọi nhỏ nhất trên sàn phòng khởi động là 100 lux, trên mặt sân khởi động là 50 lux.
4.10. Độ rọi nhỏ nhất trên mặt phẳng khán đài bằng 10% trị số độ rọi quy định cho các công trình thể dục thể thao ngoài trời ghi trong bảng 11.
4.11. Hệ số tính đến chiếu sáng không đồng đều trên các sân thể thao phải bảo đảm không nhỏ hơn 0,33.
4.12. Hệ thống điều khiển chiếu sáng toàn bộ các sân thể thao phải đặt tập trung ở một chỗ, trong đó có điều khiển chiếu sáng cho một nhóm sân và riêng từng sân.
4.13. Cần phải thiết kế chiếu sáng trên đường phân tán người khi có sự cố cho:
– Khán đài có trên 20 bậc.
– Phòng thể thao có trên 50 người.
Độ rọi trên mặt đường đi lại, lối thoát của khán đài các bậc thang để phân tán người v.v… không được nhỏ hơn 0,3 lux.
Tất cả các bể bơi cần phải có chiếu sáng sự cố với độ rọi trên toàn mặt bể không nhỏ hơn 5 lux.
4.14. Mạng điện của hệ thống chiếu sáng phân tán người phải được nối với nguồn điện độc lập và không được mất điện trong bất kì tình huống nào. Không được sử dụng nguồn điện chiếu sáng phân tán người vào mục đích khác.
4.15. Nguồn sáng để chiếu sáng phân tán người là đèn nung sáng.
4.16. Cần thiết kế chiếu sáng bảo vệ cho các công trình thể dục thể thao lớn có giá trị về mặt kinh tế hoặc có ý nghĩa chính trị quan trọng. Độ rọi nhỏ nhất của chiếu sáng bảo vệ là 0,5 lux.
Phụ lục I
NHỮNG THUẬT NGỮ CƠ BẢN
1. Vật phân biệt : Vật cần xem xét các chi tiết của nó hoặc các khuyết tật cần phải phát hiện (ví dụ : sợi chỉ, điểm, đường, dấu, vết đường nứt, vết sứt, vết xước và những khuyết tật khác )
2. Nền : Bề mặt giáp với vật phân biệt mà trên đó cần phải xem xét vật này.
Nên có hệ số phản xạ lớn hơn 0,4 thì gọi là nền sáng ; từ 0,2 đến 0,4 gọi là nền trung bình; nhỏ hơn 0,2 gọi là nền tối.
3. Độ tương phản của vật phân biệt với nền : Xác định bằng công thức sau :
![]()
Với :
Lv – Độ chói của vật phân biệt (cd/m2)
Ln – Độ chói của nền (cd/m2)
Độ tương phản của vật phân biệt với nền được tính là :
– Lớn : Nếu K>0,5 (vật và nền có độ chói khác nhau rất rõ nét).
Trung bình : Nếu K = 0,2 – 0,5 (vật và nền có độ chói khác nhau rõ nét).
Nhỏ : Nếu K< 0,2 (vật và nền có độ chói khác nhau ít).
4. Chỉ số chói loá :
Là chỉ tiêu đánh giá tác dụng chói loá do hệ thống chiếu sáng gây ra, được xác định bằng công thức sau :
P = (S – l).1000
Với : P – Chỉ số chói loá.
S – Hệ số chói loá.
V1 – Độ nhìn rõ của vật quan sát khi không có nguồn gây chói loá.
V2 – Độ nhìn rõ của vật quan sát khi có nguồn gây chói loá nằm trong thị trường.
Nhưng trong kĩ thuật, nói chung để xác định hệ số chói lóa dùng công thức sau :
![]()
Với :
Mc – Số lượng dãy đèn (hàng đèn) trên đường phố.
K – Hệ số dự trữ.
B – Độ chói trung bình tiêu chuẩn (cd/m2)
– Hàm số của độ rọi trên mắt người quan sát (Etgi)
![]()
I75 , I80 , I85, I90 – Trị số cường độ sáng ở mặt phẳng đứng.
β = 900 theo các hướng 75o, 80o, 85o và 90o
H – Chiều cao treo đèn (m)
h – Chiều cao từ mặt đường đến mắt người lái xe (người quan sát) (m).
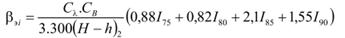
C – Hệ số không tương đương, theo thực nghiệm đối với đèn nung sáng C = 1,0; đối với đèn thủy ngân cao áp C = 1,3; đối với đèn halôgen kim loại C = 1,1; đối với đèn natri cao áp C = 0,9.
CB – Hệ số được xác định theo đồ thị sau :

5. Chói lóa phản xạ:
Là đặc tính phản xạ quang thông từ bề mặt làm việc theo hướng nhìn của mắt người làm việc, xác định bằng sự giảm độ nhìn rõ do tăng đột ngột độ chói của bề mặt làm việc và tác dụng gây màng mờ làm giảm tương phản giữa vật phân biệt với nền.
6. Hệ số tính đến chiếu sáng không đồng đều trên mặt sân thể thao :
Là tỉ số giữa trị số độ rọi nhỏ nhất và độ rọi lớn nhất trên mặt sàn đó.
7. Độ rọi trung bình trên đường phố, đường và quảng trường được tính theo công thức chung :
![]()
Với : IEtb – Độ rọi trung bình (1x)
Фd– Quang thông của đèn (1m).
Фd = Фdb . η
Фdb – Quang thông của các bóng đèn trong đèn (1m)
K – Hiệu suất của đèn (%)
S – Diện tích mặt đường được chiếu sáng (m2)
ηE – Hệ số sử dụng quang thông của thiết bị chiếu sáng – là tỉ số giữa quang thông rơi trên dải có hoạt động vận chuyển, chiều rộng là b và quang thông của bóng đèn quy ước 1000 lumen.
ηE – được xác định theo công thức :

Với :
– Tổng toàn bộ quang thông trong các vùng (vùng đây là vùng góc khối, thường lấy mỗi vùng là 50 hoặc 100) rơi trên dải có chiều dài vô tận.
Khi thiết kế kĩ thuật để thuận tiện cho việc tính toán tính Etb của một đoạn đường phố dài 1000m, rộng b (m) tuỳ theo cách bố trí đèn trên đường phố.
a. Đối với loại bố trí đèn một bên đường hoặc hai bên đường :
![]()
n – Số lượng đèn có trên 1000m đường phố
b – Bề rộng của mặt đường (m).
Fbd
1000 – Tỉ số để quy đổi từ cường độ sáng của đèn lắp bóng đèn quy ước 1000 lm sang cường độ sáng của đèn lắp bóng đèn cần phải tính.
b. Đối với loại bố trí đèn theo trục đường :
![]()
8. Nhiệt độ màu : Là nhiệt độ của vật phản xạ toàn phần (hay còn gọi là vật đen tuyệt đối) mà ở nhiệt độ đó nó có cùng bức xạ màu như nguồn sáng cần nghiên cứu xem xét ở nhiệt độ đã quy định (hay còn gọi là nhiệt đô thực).
9. Chiếu sáng sự cố : Là chiếu sáng để làm việc tiếp tục khi do sự cố mất điện chiếu sáng làm việc.
10. Chiếu sáng để phân tán người : Là chiếu sáng để phân tán người ra khỏi khu vực có sự cố gây mất điện chiếu sáng làm việc.
11. Chiếu sáng bảo vệ : Là chiếu sáng giới hạn khu vực ( hoặc công trình) cần phải bảo vệ thời gian ban đêm.
12. Độ chói trung bình của mặt đường phố :
Được xác định theo hướng nhìn của người quan sát đứng trên trục chuyển động của các phương tiện giao thông, tính theo công thức chung :
![]()
Khi thiết kế kĩ thuật tính Ltb cho một đoạn đường phố dài 1000m, rộng b (m) như sau :
![]()
Với :
Ltb – Độ chói trung bình (cd/m2).
b – Chiều rộng dải có hoạt động vận chuyển (m).
n1 – Số lượng đèn bố trí ở phía trước mặt người quan sát.
ηL – Hệ số sử dụng theo độ chói được tính theo công thức :
![]()
(rtb) – Hệ số chói trung bình.
Đối với loại mặt đường átphan (rtb) được xác định theo bảng sau :
|
b/H |
αo |
|||||||||
|
0-30 |
40 |
50 |
55 |
60 |
65 |
70 |
75 |
80 |
85 |
|
|
0 0,25 0,5 1,0 |
0,1 0,1 0,1 0,1 |
0,122 0,118 0,114 0,108 |
0,216 0,204 0,190 0,162 |
0,330 0,310 0,290 0,240 |
0,561 0,532 0,503 0,420 |
0,990 0,950 0,905 0,775 |
1,83 1,77 0,71 1,53 |
3,45 3,38 3,31 3,106 |
7,0 6,95 6,90 7,0 |
12 12 12 11,9 |
|
1,5 2 3 4 |
0,1 0,1 0,1 0,1 |
0,108 0,108 0,108 0,108 |
0,153 0,153 0,153 0,153 |
0,205 0,205 0,205 0,205 |
0,375 0,310 0,310 0,310 |
0,635 0,525 0,505 0,505 |
1,35 1,11 0,80 0,80 |
2,82 2,50 1,8 1,4 |
6,4 5,8 4,8 3,7 |
11,7 11,2 10,5 9,3 |
Phụ lục 2
PHÂN LOẠI ĐÈN
Phân loại đèn dựa theo hai đặc điểm sau :
1. Tỉ số giữa quang thông bức xạ ở phần bán cầu dưới bao quanh đèn [Фd)d] và toàn bộ quang thông của đèn Фd).
2. Hình dáng của đường cong cường độ sáng (tất cả có 7 đường cong cường độ sáng mẫu).
Căn cứ vào những đặc điểm trên qui định :
– Đèn ánh sáng tán xạ là loại đèn có tỉ số quang thông bức xạ nằm trong khoảng % sau :
![]()
– Đèn phân bố ánh sáng bán rộng (còn gọi là phân bố ánh sáng hạn chế) và đèn phân bố ánh sáng rộng (còn gọi là phân bố ánh sáng bán hạn chế) là loại đèn có đường cong cường độ như đường cong cường độ sáng mẫu trong hình vẽ.



