Nội dung toàn văn Tiêu chuẩn quốc gia TCVN 9944-3:2013 (ISO 22514-3:2008) về Phương pháp thống kê trong quản lý quá trình – Năng lực và hiệu năng- Phần 3: Nghiên cứu hiệu năng máy đối với dữ liệu được đo trên bộ phận riêng biệt
TIÊU CHUẨN QUỐC GIA
TCVN 9944-3:2013
ISO 22514-3:2008
PHƯƠNG PHÁP THỐNG KÊ TRONG QUẢN LÝ QUÁ TRÌNH – NĂNG LỰC VÀ HIỆU NĂNG – PHẦN 3: NGHIÊN CỨU HIỆU NĂNG MÁY ĐỐI VỚI DỮ LIỆU ĐO ĐƯỢC TRÊN BỘ PHẬN RIÊNG BIỆT
Statistical methods in process management – Capability and performance – Part 3: Machine performance studies for measured data on discrete parts
Lời nói đầu
TCVN 9944-3:2013 hoàn toàn tương đương với ISO 22514-3:2008; TCVN 9944-3:2013 do Ban kỹ thuật tiêu chuẩn quốc gia TCVN/TC 69 Ứng dụng các phương pháp thống kê biên soạn, Tổng cục Tiêu chuẩn Đo lường Chất lượng đề nghị, Bộ Khoa học và Công nghệ công bố.
Bộ tiêu chuẩn TCVN 9944, chấp nhận bộ tiêu chuẩn ISO 22514, gồm các tiêu chuẩn dưới đây có tên chung “Phương pháp thống kê trong quản lý quá trình – Năng lực và hiệu năng”:
– TCVN 9944-1:2013 (ISO 22514-1:2009), Phần 1: Nguyên tắc chung và khái niệm;
– TCVN 9944-2:2013 (ISO 22514-2:2013), Phần 2: Năng lực và hiệu năng quá trình của các mô hình quá trình phụ thuộc thời gian;
– TCVN 9944-3:2013 (ISO 22514-3:2008), Phần 3: Nghiên cứu hiệu năng máy đối với dữ liệu đo được trên các bộ phận riêng biệt;
– TCVN 9944-4:2013 (ISO/TR 22514-4:2007), Phần 4: Ước lượng năng lực quá trình và đo hiệu năng;
– TCVN 9944-7:2013 (ISO 22514-7:2012), Phần 7: Năng lực của quá trình đo.
Bộ tiêu chuẩn ISO 22514 còn có các tiêu chuẩn dưới đây có tên chung
“Statistical methods in process management – Capability and performance”:
– ISO 22514-5, Part 5: Process capability statistics for attribute characteristics;
– ISO 22514-6, Part 6: Process capability statistics for characteristics following a multivariate normal distribution.
Lời giới thiệu
Tiêu chuẩn này được soạn thảo nhằm cung cấp hướng dẫn trong những trường hợp cần nghiên cứu để xác định xem đầu ra của máy, ví dụ, có chấp nhận được theo chuẩn mực nhất định hay không. Những tình huống như vậy phổ biến trong kỹ thuật khi mục đích nghiên cứu là một phần của thử nghiệm chấp nhận. Các nghiên cứu này cũng có thể được sử dụng khi cần chẩn đoán về cấp hiệu năng hiện tại của máy hoặc như một phần của cố gắng giải quyết vấn đề. Phương pháp rất linh hoạt và đã được áp dụng cho nhiều tình huống.
Loại nghiên cứu hiệu năng máy này cung cấp thông tin về biểu hiện của máy trong những điều kiện rất hạn chế như giới hạn, càng cụ thể càng tốt, các nguồn biến động bên ngoài thường có trong quá trình, ví dụ trường hợp nhiều yếu tố và nhiều mức. Dữ liệu thu thập trong nghiên cứu có thể từ các cá thể được sản xuất liên tục, mặc dù điều này có thể thay đổi theo yêu cầu nghiên cứu. Nói chung, dữ liệu được giả định là thu thập thủ công.
Quy trình nghiên cứu và báo cáo sẽ là mối quan tâm của các kỹ sư, nhà giám sát và nhà quản lý muốn xác định việc có nên mua máy hay đưa vào bảo dưỡng máy hay không, nhằm hỗ trợ giải quyết vấn đề hoặc hiểu về mức biến động do bản thân máy gây ra.
PHƯƠNG PHÁP THỐNG KÊ TRONG QUẢN LÝ QUÁ TRÌNH – NĂNG LỰC VÀ HIỆU NĂNG – PHẦN 3: NGHIÊN CỨU HIỆU NĂNG MÁY ĐỐI VỚI DỮ LIỆU ĐO ĐƯỢC TRÊN BỘ PHẬN RIÊNG BIỆT
Statistical methods in process management – Capability and performance – Part 3: Machine performance studies for measured data on discrete parts
1 Phạm vi áp dụng
Tiêu chuẩn này mô tả các bước cần thực hiện trong nghiên cứu hiệu năng ngắn hạn thường được tiến hành trên máy trong đó xét đến các bộ phận được sản xuất liên tục trong các điều kiện lặp lại. Số lượng quan trắc được phân tích sẽ thay đổi theo dạng dữ liệu tạo ra hoặc nếu loạt (tốc độ tại đó cá thể được sản xuất) trên máy có số lượng thấp. Các phương pháp này không được khuyến nghị trong trường hợp cỡ mẫu tạo ra ít hơn 30 quan trắc. Các phương pháp cần được sử dụng cho việc xử lý dữ liệu và thực hiện việc tính toán cũng được mô tả. Ngoài ra, chỉ số hiệu năng máy và hành động cần thiết khi kết thúc nghiên cứu về hiệu năng máy cũng được cung cấp.
Tiêu chuẩn này không áp dụng khi các dạng hao mòn dụng cụ có thể xảy ra trong khoảng thời gian nghiên cứu và cũng không áp dụng nếu có tự tương quan giữa các quan trắc. Trường hợp máy thu được dữ liệu, đôi khi hàng ngàn điểm dữ liệu thu thập trong một phút sẽ không được coi là phù hợp để áp dụng tiêu chuẩn này.
2 Ký hiệu và chữ viết tắt
Pm chỉ số hiệu năng máy
Pmk chỉ số hiệu năng nhỏ nhất của máy
PmkL chỉ số hiệu năng dưới của máy
PmkU chỉ số hiệu năng trên của máy
f tần số
Sf tần số tích lũy
i chỉ số dưới dùng để nhận biết giá trị của một biến
L giới hạn quy định dưới
N cỡ mẫu tổng
Xa% % phân vị a %
Xi giá trị thứ i trong mẫu
s độ lệch chuẩn, tổng thể
S độ lệch chuẩn, thống kê mẫu, S = 
U giới hạn quy định trên
za phân vị của phân bố chuẩn chuẩn hóa từ –¥ đến a
m giá trị trung bình tổng thể đối với vị trí của máy
giá trị trung bình cộng, mẫu,
= ![]()
GRR độ lặp lại và độ tái lập đo
phân vị của phân bố khi bình phương
3 Điều kiện tiên quyết cho ứng dụng
3.1 Khái quát
Các điều kiện tiên quyết nêu dưới đây là điều kiện tối thiểu và có thể vượt xa hơn khi cần. Trong loại hình nghiên cứu này, nếu nghiên cứu là để thể hiện đúng bản thân máy đó thì điều quan trọng là duy trì không đổi tất cả các yếu tố, ngoài máy, sẽ có ảnh hưởng đến kết quả, ví dụ cùng người thao tác, cùng lô vật liệu, v.v…
3.2 Số lượng bộ phận cần sử dụng trong nghiên cứu
Số lượng quy định thường sẽ là 100. Tuy nhiên, nếu dạng biến động có thể hình thành phân bố không chuẩn thì số lượng bộ phận ít nhất nên là 100. Các phương pháp nêu trong tiêu chuẩn này cũng có thể sử dụng khi tiến hành đánh giá quá trình, trong đó số lượng phép đo thực hiện có thể nhỏ hơn con số trên, ví dụ 50.
CHÚ THÍCH 1: Điều này là để đảm bảo có thể tính được khoảng tin cậy đủ hẹp cho chỉ số hiệu năng máy khi sử dụng phân bố chuẩn. Khoảng này sẽ xấp xỉ ± 12 % chỉ số ước lượng với độ tin cậy 90 % cho số lượng mẫu là 100.
Một số máy có thời gian chu kỳ rất chậm và một “loạt” không thể tạo ra 100 bộ phận. Trong trường hợp như vậy, cần xử lý với các dữ liệu sẵn có. Số lượng tối thiểu khuyến nghị trong tiêu chuẩn này với các phương pháp mô tả ở đây là 30.
CHÚ THÍCH 2: Có các kỹ thuật đặc biệt không nằm trong phạm vi của tiêu chuẩn này để dùng cho những trường hợp có ít mẫu hơn.
Ngược lại, đối với máy tạo ra các bộ phận với tốc độ rất lớn, ví dụ như máy tán đinh, chiến lược lấy mẫu có thể đòi hỏi sự thay đổi vì máy sẽ tạo ra 100 bộ phận trong vài giây. Trong những trường hợp như vậy, có thể cần nhiều nghiên cứu, mỗi nghiên cứu cho phép cách tiếp cận lấy mẫu khác nhau để kiểm tra biểu hiện của máy.
3.3 Vật liệu sử dụng
Đảm bảo tất cả các vật liệu đầu vào được sử dụng trong nghiên cứu đều được kiểm tra, phù hợp với các quy định kỹ thuật và cùng lô. Không nên tiến hành nghiên cứu với các vật liệu nằm ngoài quy định kỹ thuật vì điều này có thể dẫn đến các kết quả không mang tính đại diện.
Cần cẩn trọng để không đưa vào bất kỳ nguồn gây biến động nào khác ngoài các nguồn được nghiên cứu. Ví dụ điển hình là khi loạt của máy chuyển sang lô vật liệu cụ thể khác trong một lô quá trình đơn, và độ biến động của vật liệu lô không được đưa vào nghiên cứu. Trong trường hợp này, chỉ những dữ liệu được lấy khi lô đầu tiên sử dụng vật liệu cụ thể đó mới được dùng cho phân tích.
3.4 Hệ thống đo
Đảm bảo hệ thống đo được sử dụng trong quá trình nghiên cứu có các tính chất phù hợp, được hiệu chuẩn và độ biến động của hệ thống đo đã được định lượng và giảm thiểu. Các nghiên cứu đặc biệt về hệ thống đo cần được thực hiện để xác định lượng biến động do việc đo gây ra. Lý tưởng là hệ thống đo nên có độ lặp lại và độ tái lập đo (GRR) nhỏ hơn 10 % độ trải của đặc trưng quá trình mà nghiên cứu về máy xem xét như xác định thông qua phân tích hệ thống đo thực hiện phù hợp. Phân tích này cần tập trung vào các vấn đề về độ chệch, độ ổn định, độ tuyến tính và sự phân biệt cũng như GRR.
Sẽ thích hợp nếu biểu thị GRR theo phần trăm dung sai quy định cho trước. Nếu hệ thống đo có GRR từ 10 % đến 30 % thì vẫn có thể coi là chấp nhận được tùy thuộc vào ứng dụng. Nếu cao hơn 30 % thì hệ thống đo cần được coi là không thích hợp. Ngoài ra, hệ thống đo cần có độ không đảm bảo đo nhỏ hơn đáng kể so với dung sai hoặc độ biến động tổng thể dự kiến của đặc trưng, nếu đã biết, như chỉ ra ở trên. Nếu thực hiện nghiên cứu bằng cách sử dụng hệ thống đo có hiệu năng thấp hơn các yêu cầu này thì nghiên cứu có thể sẽ có một số kết luận không đúng.
3.5 Thực hiện nghiên cứu
Cần đảm bảo có một loạt không gián đoạn, trong điều kiện vận hành bình thường. Việc này sẽ bao gồm thời gian khởi động bất kỳ cần thiết để máy trở về điều kiện vận hành thông thường và máy được đặt ở chế độ danh nghĩa đối với đặc trưng cần nghiên cứu. Nếu máy dừng trong quá trình nghiên cứu vì lý do bất kỳ, thì thực hiện lại nghiên cứu hoặc phân tích dữ liệu thu thập được, với điều kiện là đã thu thập đủ dữ liệu và điều kiện lặp lại không bị vi phạm. Trong mọi trường hợp, không nên sử dụng ít hơn 30 kết quả.
3.6 Trường hợp đặc biệt
Trong trường hợp bố trí nhiều vị trí cố định, nhiều ngăn hay nhiều luồng, mỗi trạm, vị trí đặt, ngăn hay luồng cần được xử lý như một máy riêng cho mục đích nghiên cứu hiệu năng của máy vì những dòng này có thể vi phạm điều kiện lặp lại.
Trong trường hợp công cụ nhiều ngăn, có thể thực hiện thêm một số nghiên cứu để kiểm tra độ biến động giữa các ngăn và trong phạm vi ngăn. Trong nghiên cứu có thể sử dụng các quan trắc liên tiếp từ tất cả các ngăn sao cho có thể kiểm tra toàn bộ hiệu năng của máy. Có thể sử dụng các kỹ thuật thống kê khác, ví dụ như phân tích phương sai (ANOVA) để hỗ trợ việc phân tích trong các tình huống như vậy.
4 Thu thập dữ liệu
4.1 Khả năng truy tìm nguồn gốc của dữ liệu
Điều quan trọng đối với tất cả dữ liệu là có khả năng truy tìm nguồn gốc để có thể nghiên cứu các giá trị ngoài dự kiến. Trình tự thu thập cần được duy trì để có thể vẽ đồ thị chuỗi thời gian của dữ liệu chỉ ra độ biến động ngoài dự kiến. Sự việc như vậy cần được giải thích và đưa ra quyết định về khả năng chấp nhận các dữ liệu như vậy. Có thể sử dụng sổ nhật ký để ghi lại tất cả các chế độ thiết lập của máy bao gồm cả bất kỳ công việc nào thực hiện trước đó trên máy, ví dụ như bảo trì, và để ghi lại mọi sự kiện trong quá trình nghiên cứu, như việc điều chỉnh.
4.2 Lưu giữ mẫu
Trừ trường hợp thực hiện phép thử có tính chất phá hủy, tất cả các mẫu cần được lưu giữ để thực hiện các kiểm tra cần thiết. Chỉ nên loại bỏ mẫu khi đã hoàn thành nghiên cứu và đã xác định tất cả các kết luận.
4.3 Ghi dữ liệu
Dữ liệu cần được ghi chép rõ ràng dưới dạng điện tử hoặc bảng phân tích thích hợp dạng số với số chữ số có nghĩa thích hợp. Việc này cần được xác định trước quá trình đo và sẽ phụ thuộc vào độ phân giải của phương tiện đo.
5 Phân tích
5.1 Khái quát
Việc phân tích dữ liệu thu được trong nghiên cứu có thể được thực hiện thủ công, ví dụ được đưa ra trong điều này, hoặc bằng chương trình máy tính, ví dụ nêu trong Phụ lục B.
5.2 Biểu đồ chạy
5.2.1 Mục đích
Khi tiến hành nghiên cứu máy, điều quan trọng là tìm hiểu xem dữ liệu được thu thập có hình thành dạng đơn và ổn định hay không. Có những trường hợp khi điều kiện của máy đang nghiên cứu gây ra độ trôi các giá trị đặt làm ảnh hưởng đến dạng dữ liệu tạo ra. Có thể có trường hợp thực hiện những điều chỉnh không được phép đối với máy hoặc dữ liệu được trộn theo cách thức nào đó. Với sự việc như vậy, cần dừng nghiên cứu và bắt đầu nghiên cứu mới. Biểu đồ chạy sẽ hữu ích cho việc nhận biết những trường hợp như vậy. Dạng của biểu đồ chạy trên Hình 1 có thể do những điều chỉnh như vậy hoặc có sai sót nào đó trong bản thân máy hoặc do sử dụng sai gây ra.
Nếu xảy ra thay đổi như chỉ ra trên Hình 1, có thể cần tiến hành những biện pháp đặc biệt theo tình huống. Việc này có thể bao gồm lặp lại toàn bộ nghiên cứu để phân tích dữ liệu trong các phần riêng rẽ hoặc loại bỏ các kết quả nhất định.
Có thể sử dụng cách tiếp cận đồ họa thủ công hoặc công cụ phần mềm phù hợp để lập biểu đồ chạy.
ISO 7873 cung cấp hướng dẫn về việc áp dụng biểu đồ kiểm soát và kiểm nghiệm thống kê đi kèm cần sử dụng cho đồ thị như thể hiện trên Hình 1 nhằm giúp giải thích về đồ thị.
5.2.2 Xem xét đồ thị
Tìm bằng chứng về độ ổn định trên đồ thị. Điều này có thể như thể hiện trên Hình 1 trong đó dữ liệu có sự thay đổi theo nấc. Các dạng khác có thể thể hiện như độ trôi. Có thể sử dụng các giới hạn kiểm soát và nguyên tắc biểu đồ kiểm soát để đánh giá một cách dễ dàng những nguyên nhân ấn định khác của dữ liệu. Dữ liệu có thể được đưa vào biểu đồ riêng và biểu đồ độ rộng trượt để kiểm tra giá trị bất thường tiềm ẩn trong dữ liệu. (Xem ISO 8258 về thông tin thêm liên quan đến các giới hạn và nguyên tắc như vậy.)
Có nhiều sản phẩm phần mềm có thể thay thế phương pháp thủ công nêu trên. Chúng đã trở nên phổ biến vì chúng tạo ra các đồ thị đề cập ở trên một cách nhanh chóng và dễ dàng.

Hình 1 – Ví dụ biểu đồ chạy1)
5.3 Phân tích dạng dữ liệu
5.3.1 Cách tiếp cận thủ công
Cách đơn giản để bắt đầu phân tích mô hình dạng dữ liệu là xây dựng đồ thị điểm.
Dữ liệu được sắp xếp thành “lớp”. Quy ước tính năm dữ liệu vào một nhóm thường được sử dụng và ví dụ được cho trên Hình 2. Trong ví dụ này, dữ liệu được ghi lại làm tròn cho khoảng 5 mm gần nhất thích hợp cho quá trình từ đó thu được dữ liệu.

Hình 2 – Ví dụ về phiếu kiểm tra dùng cho dữ liệu phân bố chuẩn
5.3.2 Cách tiếp cận phần mềm
Là phương pháp thay thế cho cách tiếp cận thủ công, dữ liệu cần được nhập vào công cụ phần mềm và biểu đồ tần số được lập ra từ dữ liệu đó. Có nhiều sản phẩm phần mềm phù hợp để tiến hành phân tích như vậy.
5.3.3 Kiểm tra dạng dữ liệu
Nghiên cứu dạng dữ liệu xem có phù hợp với phân bố đã biết không. Điều tra nguyên nhân nếu dữ liệu dường như hình thành một dạng khá khác biệt. Nếu dữ liệu không hình thành phân bố chuẩn thì có thể cần sử dụng phiếu kiểm tra khác như thể hiện trên Hình 3. Tiến hành phân tích dữ liệu không chuẩn bằng cách sử dụng phiếu kiểm tra thiết kế cho phân bố chuẩn có thể tạo ra các kết quả không chính xác. Tính không chuẩn có thể xuất hiện trong những tình huống dữ liệu bị giới hạn theo cách thức nào đó, chẳng hạn như kết quả của các phép đo ứng suất hoặc tính đồng tâm. Có thể dự đoán trước về dữ liệu không chuẩn nếu dung sai hình học được quy định, ví dụ, cho kích thước hoặc đặc trưng. Tham khảo Thư mục tài liệu tham khảo khi xác định việc dữ liệu có tuân theo phân bố chuẩn [ví dụ TCVN 9603 (ISO 5479)] cũng như sử dụng các quy trình thống kê khác không thuộc phạm vi của tiêu chuẩn này.
Các trường hợp đặc biệt, như phân bố bất đối xứng và dữ liệu hai mốt, được đề cập trong 5.6.
Nếu các nghiên cứu tương tự đã được tiến hành trước nghiên cứu hiện tại thì có thể có dự đoán nhất định về loại phân bố. Kiến thức khoa học cũng có thể gợi ý về dạng phân bố và đây là nguồn tham khảo quan trọng nếu dạng phân bố thể hiện bất thường. Sẽ có khả năng điều gì đó vô tình tạo ra dạng phi ngẫu nhiên và cần tiến hành nghiên cứu.
Thay cho việc sử dụng phương pháp thủ công, nếu sử dụng chương trình máy tính mà không kiểm tra về tính chuẩn thì có thể dẫn đến kết quả sai.
5.3.4 Tổng hợp dữ liệu
Tính trung bình mẫu (
) và độ lệch chuẩn mẫu (S) bằng công thức cho trong Điều 2. Nếu phân bố không chuẩn thì tính thống kê mẫu tương ứng với các tham số cho phân bố giả định.
5.4 Xây dựng đồ thị xác suất
5.4.1 Khái quát
Cần vẽ đồ thị xác suất cho dữ liệu. Việc này có thể thực hiện bằng cách sử dụng phương pháp thủ công hoặc sử dụng công cụ phần mềm mô tả trong 5.3.2 đến 5.3.3. Ví dụ về đầu ra của gói phần mềm có thể xem trong Phụ lục B.
5.4.2 Đồ thị phần trăm tần số tích lũy
Sử dụng thang đo phần trăm đáy trên giấy xác suất, vẽ đồ thị phần trăm tần số tích lũy cho mỗi giá trị trong đồ thị điểm tại điểm giao nhau của giới hạn lớp trên và phần trăm tần số tích lũy của nó.
CHÚ THÍCH 1: Sẽ không thể vẽ đồ thị phần trăm tần số tích lũy cuối cùng (là 100 %) trên giấy xác suất vì thang đo kết thúc ở giá trị 99,997 %. Không vẽ đồ thị giá trị phần trăm này ở 99,997 % vì có thể hiểu sai và gây nên kết luận sai. Có thể tránh làm mất dữ liệu bằng việc vẽ đồ thị trung bình của hai phần trăm tần số tích lũy cuối tại điểm giữa của giá trị cuối hơn là tại giới hạn lớp trên của nó.
CHÚ THÍCH 2: Một số sản phẩm phần mềm không sử dụng nhóm tần số để tạo đồ thị xác suất. Thay vào đó là sử dụng các giá trị riêng rẽ.
5.4.3 Vẽ đường làm khớp qua các điểm đồ thị
Kiểm tra các điểm đồ thị xem chúng có thể được mô tả gần đúng bằng đường thẳng hay không. Nếu được thì vẽ một đường thẳng qua chúng. Để hỗ trợ việc đánh giá xem điểm nào có thể vẽ đường thẳng khớp, người sử dụng nên:
a) vẽ đồ thị trung bình mẫu
;
b) vẽ
± 3S;
c) vẽ đường thẳng giữa các điểm này.
Kéo dài đường thẳng để nó gặp các đường thẳng đứng ở các cực trị của thang đo phần trăm (nghĩa là các đường ± 4s). Nếu đường được vẽ không khớp lắm với các điểm dữ liệu thì nó cho thấy dữ liệu không bắt nguồn từ phân bố chuẩn. Các trường hợp đặc biệt như vậy được thảo luận ở 5.6.
Phiếu kiểm tra cho trên Hình 1 được dựa trên giấy xác suất chuẩn. Nó được xây dựng để khi vẽ phần trăm tích lũy lên đó thì sẽ được thể hiện bằng đồ thị đường thẳng nếu dữ liệu thu được từ phân bố chuẩn. Nếu không, đồ thị sẽ không phải là đường thẳng và sẽ cho người phân tích thấy rằng cần sử dụng các phương pháp khác hoặc loại giấy khác, như ví dụ trên Hình 3. Khuyến nghị có ít nhất sáu phần trăm tích lũy để vẽ đồ thị nhằm cải thiện vị trí của đường thẳng được vẽ.
5.4.4 Vẽ thêm các đường giới hạn quy định
Vẽ các đường giới hạn quy định lên đồ thị điểm và kéo dài chúng hết toàn bộ thang đo của giấy xác suất.

Hình 3 – Ví dụ về phiếu kiểm tra đối với dữ liệu phân bố cực trị
5.5 Giải thích phiếu
5.5.1 Đánh giá sự phù hợp với quy định
5.5.1.1 Khái quát
Trong trường hợp quy định hai phía, nếu phần đường thẳng khớp không đi qua một trong hai đường giới hạn quy định thì máy được coi là vận hành với ít nhất 99,994 % công suất của nó trong phạm vi quy định. Phần trăm vận hành được coi là chấp nhận được sẽ thay đổi theo ngành công nghiệp, đặc trưng sử dụng trong nghiên cứu, ý nghĩa của nó và quan điểm của khách hàng. Phần trăm chấp nhận tối thiểu cần luôn được nêu rõ. Ví dụ, có thể yêu cầu hiệu năng đạt 99,999 94 %, nghĩa là ± 5s, trước khi máy được coi là chấp nhận được trong những trường hợp nhất định. Chỉ số hiệu năng máy (Pm và Pmk) có thể được báo cáo bằng cách sử dụng phương pháp tính nêu trong 5.7. Vì các nghiên cứu này được thực hiện với dữ liệu tối thiểu trong một khoảng thời gian rất ngắn nên người sử dụng cũng nên tính khoảng tin cậy cho các chỉ số. Các tính toán được trình bày trong 6.2.
Nếu đường thẳng khớp đi qua một hoặc cả hai đường giới hạn quy định thì hiệu năng máy có thể được coi là không chấp nhận được, nghĩa là nó đi qua điểm ứng với mức nhỏ hơn ± 4s. Nếu yêu cầu, như chỉ ra ở trên, ít nhất 99,999 9 % công suất cần nằm trong quy định, thì điểm đó sẽ ứng với nhỏ hơn ± 5s. Điều này có thể dẫn đến một hoặc cả hai điều kiện mô tả ở 5.5.1.2 và 5.5.1.3.
5.5.1.2 Độ trải của dữ liệu quá rộng
Điều kiện này có thể do vấn đề của bản thân máy gây ra, ví dụ mài mòn quá mức trên các bộ phận bên trong như ổ đỡ hoặc thanh trượt. Để thỏa mãn quy định, cần giảm độ biến động bằng các xác định nguồn gây biến động quá mức và loại trừ chúng. Nếu đạt được việc giảm độ biến động, nghiên cứu tiếp theo sẽ cho thấy đường thẳng được vẽ (
± 4s) có độ dốc nhỏ hơn và nếu đủ nhỏ thì đường thẳng này sẽ nằm giữa hai đường giới hạn quy định chỉ thị máy được chấp nhận. Xem Hình 4.

Phần trăm tích lũy
Hình 4 – Độ biến động quá lớn – Máy sau khi cải tiến
5.5.1.3 Vị trí (đặt) quá cao hoặc quá thấp
Nếu trung bình của phân bố có thể dịch chuyển, ví dụ bằng cách điều chỉnh vị trí đặt của máy thì khi đó đường thẳng khớp có thể nằm trong phạm vi hai đường giới hạn quy định và hiệu năng máy có thể coi là chấp nhận được.
Dự đoán về việc điều chỉnh bất kỳ và nếu có thể đạt được thì kết quả yêu cầu có thể thực hiện bằng cách dịch chuyển đường thẳng trên giấy xác suất giữ nó song song với vị trí ban đầu. Nếu khi đó đường thẳng khớp nằm trong phạm vi hai đường giới hạn quy định thì việc điều chỉnh máy có thể thay đổi điều kiện này. Xem Hình 5.

Phần trăm tích lũy
Hình 5 – Trung bình không đúng – Đặt lại máy
5.5.2 Ước lượng phần trăm nằm ngoài quy định
Nếu đường thẳng khớp cắt qua đường giới hạn quy định thì có thể ước lượng tỷ lệ nằm ngoài quy định có thể có nếu máy vẫn tiếp tục hoạt động. Tại điểm giao giữa đường thẳng khớp với đường giới hạn quy định, đọc thang đo phần trăm gần nhất là phần trăm ước lượng. Ví dụ, trên Hình 2, để ước lượng phần trăm vượt quá giới hạn quy định trên (U), đọc thang đo phần trăm trên đầu của phiếu đồ thị xác suất. Để ước lượng phần trăm nằm dưới giới hạn quy định dưới (L), đọc thang đo phần trăm phía dưới của phiếu đồ thị xác suất. Tổng ước lượng nằm ngoài quy định là tổng của hai phần trăm này.
Khi sử dụng công cụ phần mềm cho việc này, tỷ lệ ước lượng nằm ngoài quy định thường được cho theo trị số chuẩn. Điều này được thể hiện trong ví dụ ở Phụ lục B.
5.6 Trường hợp đặc biệt
5.6.1 Dữ liệu chỉ thị phân bố bất đối xứng
Có những trường hợp nghiên cứu máy cho các dữ liệu chỉ ra phân bố bất đối xứng. Trường hợp này thường xảy ra khi có giới hạn tự nhiên mà không thể xuất hiện dữ liệu vượt ra ngoài giới hạn đó. Ví dụ về điều này là phép đo tính đồng tâm, trong đó không thể thu được số đọc nhỏ hơn “không”.
Nếu dữ liệu bất đối xứng được vẽ trên giấy xác suất chuẩn thì chuỗi các điểm trên giấy xác suất sẽ sai lệch khỏi đường thẳng và có độ cong nhất định. Để phân tích phân bố bất đối xứng, cần chọn giấy xác suất khác dựa trên phân bố bất đối xứng giống như phân bố của dữ liệu. Điều này cần dẫn đến đồ thị đường thẳng. Ví dụ về phương pháp này được cho trên Hình 3 đối với phân bố cực trị. Thường có sẵn các loại giấy khác cho phân bố lôga chuẩn, hàm mũ và Weibull.
Có thể đọc giá trị trung bình từ đồ thị. Ước lượng giá trị trên trục giá trị ở đó đường thẳng được vẽ đi qua đường thẳng tại m trên trục phần trăm tích lũy. Một cách khác, có thể tính giá trị trung bình bằng cách sử dụng máy tính.
5.6.2 Dữ liệu hai mốt
Nếu máy được điều chỉnh trong quá trình nghiên cứu thì việc điều chỉnh có nhiều khả năng ảnh hưởng đến kết quả và thường tạo ra phân bố nhiều hơn một mốt. Ví dụ, phân bố có hai mốt (đôi khi nhiều hơn), mỗi mốt đại diện cho các chế độ đặt khác nhau của máy. Điều này có thể xảy ra nếu máy có nhiều công cụ hoặc ngăn và mẫu từ mỗi loại này được trộn lẫn với nhau. Cũng có thể có triệu chứng sai hỏng gì đó của máy.
Dữ liệu hai mốt (hoặc nhiều mốt), khi vẽ lên giấy xác suất chuẩn, sẽ không tạo ra đồ thị đường thẳng. Thay vào đó, đồ thị sẽ có hình dạng khác biệt, như thể hiện trên Hình 6.
Khi dữ liệu thu được từ các công cụ hoặc ngăn khác nhau, nếu có thể, dữ liệu cần được phân thành các tập riêng rẽ tương ứng và tiến hành phân tích như mô tả ở trên.
Hình 6 đưa ra ví dụ về đồ thị dữ liệu hình thành phân bố hai mốt. Nếu dạng như vậy xuất hiện sau nghiên cứu thì nguyên nhân có thể ấn định cần được thiết lập và loại bỏ nếu có thể. Có nhiều lý do đối với dạng hai mốt, một trong số đó là việc điều chỉnh máy được thực hiện trong quá trình nghiên cứu dẫn đến hai mốt dữ liệu. Biểu đồ chạy đơn giản cho các dữ liệu có thể minh họa sự chuyển dịch như vậy. Hình 1 là ví dụ về biểu đồ chạy. Một khi đã xác định được nguyên nhân có thể ấn định, có thể cần lặp lại nghiên cứu. Biểu đồ chạy là công cụ rất tốt để cho thấy vấn đề trong quá trình thu thập dữ liệu. Có thể sử dụng biểu đồ kiểm soát thay cho biểu đồ chạy. Biểu đồ kiểm soát có rất nhiều lợi thế so với biểu đồ chạy vì nó có khả năng cung cấp các tín hiệu thống kê về những thay đổi trong dữ liệu. Tuy nhiên, cũng giống như biểu đồ chạy, nó yêu cầu trình tự dữ liệu được tạo ra.
5.6.3 Dữ liệu được cắt tỉa
Một số nghiên cứu có thể được thực hiện với dữ liệu được cắt tỉa theo cách thức nào đó. Điều này có thể do hiển thị nhất định của dữ liệu. Ví dụ là nếu phép thử hoặc phương tiện đo kiểm tra, ví dụ, điện trở (ôm) của cách điện, nhưng chỉ hiển thị các giá trị trên 5 W. Nếu tình huống này xảy ra, cần tham vấn chuyên gia về cách phân tích dữ liệu để tránh những kết quả sai có thể có.

Hình 6 – Ví dụ thể hiện dữ liệu hai mốt và phân tích chúng
5.6.4 Dữ liệu mất theo dõi
Dữ liệu mất theo dõi sẽ xảy ra khi một số giá trị nhất định được bỏ qua. Điều này có thể được đưa vào trong một số chiến lược lấy mẫu như chỉ lấy các kết quả từ hai ngăn đầu tiên của một công cụ bốn ngăn. Giá trị từ ngăn thứ ba và thứ tư được loại khỏi phân tích. Điều này có thể thực hiện nhờ một thiết bị kiểm soát nào đó và người thực nghiệm hoặc người phân tích không nhất thiết phải biết. Một ví dụ khác là khi các bộ phận được phân loại trước phân tích và bất kỳ bộ phận nào cỡ lớn hơn hay nhỏ hơn đều bị loại khỏi tập dữ liệu.
Kết quả của việc sử dụng dữ liệu mất theo dõi có thể là kết luận sai về hiệu năng của máy. Dữ liệu như vậy sẽ tạo ra đồ thị ngoài dự kiến trên phiếu kiểm tra và người phân tích cần tham vấn ý kiến chuyên gia.
5.7 Chỉ số hiệu năng máy đối với phân bố chuẩn và phân bố bất đối xứng
5.7.1 Dữ liệu thu được từ phân bố chuẩn
5.7.1.1 Chỉ số Pm
= ![]()
CHÚ THÍCH: Trước đây, chỉ số này được ghi là Cm và CmkL và CmkU. Do chưa cần thiết lập biểu đồ kiểm soát nên ưu tiên sử dụng các ký hiệu
và
và
để tương thích với chỉ số hiệu năng quá trình.
5.7.1.2 Chỉ số Pmk
=
hoặc
= ![]()
Chỉ số này được lấy là giá trị nhỏ nhất của biểu thức sau đây:
= min ![]()
CHÚ THÍCH: Dấu “nón” ở trên chỉ số thể hiện đây là các giá trị ước lượng.
5.7.1.3 Ước lượng tỷ lệ nằm ngoài quy định
Sau khi đã tính được giá trị
, tỷ lệ nằm ngoài quy định có thể tra từ Bảng A.1. Ví dụ, nếu
là 0,85 thì tỷ lệ ước lượng là 0,005 4.
5.7.2 Dữ liệu thu được từ phân bố không chuẩn
5.7.2.1 Khái quát
Đối với dữ liệu bất đối xứng, hàm phân bố thực tế cần được xác định và các giá trị phân vị X0,135 % và X 99,865 % được ước lượng từ đó. Chúng có thể được thay vào công thức để tính trị số của các chỉ số. Ngoài ra, chúng có thể được ước lượng từ đồ thị giấy xác suất, cách này mặc dù đơn giản và nhanh nhưng lại có sai số.
5.7.2.2 Chỉ số Pm
Biểu thức dưới đây được sử dụng để ước lượng chỉ số này.
= 
5.7.2.3 Chỉ số Pmk
Các biểu thức dưới đây được sử dụng để ước lượng các chỉ số.
=
Hoặc
= 
6 Báo cáo
6.1 Báo cáo thử nghiệm
Báo cáo nghiên cứu phải bao gồm những thông tin sau đây:
a) nơi tiến hành nghiên cứu và loại quá trình mà máy là thành phần;
b) người thực hiện nghiên cứu và người thực hiện các phép đo;
c) thời điểm thực hiện nghiên cứu, bao gồm cả ngày, tháng, thời gian bắt đầu và kết thúc, ghi chép về mọi sự gián đoạn;
d) số tham chiếu của máy;
e) tên và số tham chiếu của linh kiện;
f) đặc trưng của linh kiện được đo;
g) quy định kỹ thuật đối với đặc trưng và yếu tố nào được giữ nguyên không đổi;
h) điều kiện môi trường xung quanh;
i) dữ liệu thô;
j) điều kiện phi tiêu chuẩn.
Đối với mỗi đặc trưng đo, cần báo cáo (hoặc cung cấp) thông tin sau đây:
– biểu đồ chạy của dữ liệu;
– đồ thị điểm hoặc biểu đồ tần số của dữ liệu;
– biểu đồ xác suất của dữ liệu;
– giá trị trung bình từ dữ liệu;
– độ lệch chuẩn từ dữ liệu;
– phần trăm nằm ngoài quy định ước lượng;
– chỉ số hiệu năng máy;
– khoảng tin cậy của các chỉ số hiệu năng máy;
– độ không đảm bảo đo.
6.2 Khoảng tin cậy
6.2.1 Khái quát
Các nghiên cứu đề cập trong tiêu chuẩn này thường không tạo ra lượng lớn dữ liệu. Cần tính cả chỉ số hiệu năng và khoảng tin cậy của chúng. Điều này sẽ thông tin cho người sử dụng thông tin được tạo ra về mức độ không đảm bảo hiện có gắn với điểm ước lượng của chỉ số hiệu năng máy dựa trên mẫu dữ liệu nhỏ.
6.2.2 Chỉ số tính được với dữ liệu có phân bố chuẩn
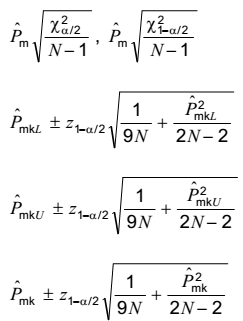
Giả định dữ liệu có phân bố chuẩn, chỉ số hiệu năng máy
tuân theo phân bố khi bình phương. Các chỉ số khác (
,
và
) có các phân bố phức tạp hơn nhưng giới hạn tin cậy xấp xỉ liên quan đến phân bố chuẩn có thể chọn cho N > 30. Các biểu thức sau đây cho khoảng tin cậy xấp xỉ 100 (1 – a) %

z là độ lệch chuẩn hóa đối với phân bố chuẩn.
CHÚ THÍCH: Dấu “nón” ở trên chỉ số thể hiện đây là các giá trị ước lượng.
6.2.3 Chỉ số tính được từ dữ liệu theo phân bố không chuẩn
Khoảng tin cậy có thể được tính cho các chỉ số khi dữ liệu thu được từ phân bố không chuẩn, trong đó sẽ cần thiết lập phân bố cụ thể từ đó dữ liệu được lấy. Tham khảo TCVN 9944-4 (ISO/TR 22514-4) và TCVN 9599 (ISO 21747).
7 Hành động tiếp theo nghiên cứu hiệu năng máy
Khi kết thúc nghiên cứu, thông tin chi tiết nêu trong Điều 6 trên đây cần được lập thành văn bản và kèm vào báo cáo nghiên cứu hoàn chỉnh.
Hành động cần thiết tiếp theo sẽ phụ thuộc vào mục đích của nghiên cứu. Nếu nghiên cứu là để phê duyệt máy thì kết quả chỉ số hiệu năng nhỏ hơn giá trị xác định trước sẽ chỉ ra máy không được chấp nhận và cần có hành động sửa chữa để cải tiến. Cần đưa ra giải thích về việc chấp nhận hay không chấp nhận bằng cách sử dụng độ rộng khoảng tin cậy của các chỉ số chứ không sử dụng riêng các điểm ước lượng. Khi hoàn thành công việc như vậy, nên tiến hành nghiên cứu thêm để xác nhận xem máy đã được cải tiến thành công chưa.
Ứng dụng phổ biến của nghiên cứu máy là cho việc chấp nhận hoặc mua máy hoặc bộ phận của thiết bị. Trong trường hợp này, giá trị chấp nhận tối thiểu của hiệu năng máy phải được xác định và thống nhất giữa nhà cung cấp và khách hàng trước khi tiến hành nghiên cứu. Trong một số trường hợp, khách hàng có trách nhiệm quy định giá trị các chỉ số cho nhà cung cấp.
Nếu mục đích nghiên cứu là để hỗ trợ việc giải quyết vấn đề nào đó thì những người có trách nhiệm cần nghiên cứu kết quả. Những biến động trong dữ liệu có thể giải thích hiện tượng của vấn đề và chỉ ra giải pháp có thể.
Phụ lục A
(tham khảo)
Bảng và phiếu kiểm tra
Xem Bảng A.1.
Bảng A.1 – Giá trị tỷ lệ ước lượng vượt quá giới hạn quy định với giả định phân bố chuẩn
|
Pmk |
0,0 |
0,01 |
0,02 |
0,03 |
0,04 |
0,05 |
0,06 |
0,07 |
0,08 |
0,09 |
|
1,6 |
7,9E-07 |
6,8E-07 |
5,9E-07 |
5,0E-07 |
4,3E-07 |
3,7E-07 |
3,2E-07 |
2,7E-07 |
2,3E-07 |
2,0E-07 |
|
1,5 |
3,4E-06 |
3,0E-06 |
2,6E-06 |
2,2E-06 |
1,9E-06 |
1,7E-06 |
1,4E-06 |
1,2E-06 |
1,1E-06 |
9,2E-06 |
|
1,4 |
1,3E-05 |
1,2E-05 |
1,0E-05 |
8,9E-06 |
7,8E-05 |
6,8E-05 |
5,9E-05 |
5,2E-05 |
4,5E-05 |
3,9E-05 |
|
1,3 |
4,8E-05 |
4,2E-05 |
3,7E-05 |
3,3E-05 |
2,9E-05 |
2,6E-05 |
2,3E-05 |
2,0E-05 |
1,7E-05 |
1,5E-05 |
|
1,2 |
0,000 2 |
0,000 1 |
0,000 1 |
0,000 1 |
0,000 1 |
0,000 1 |
0,000 1 |
0,000 1 |
0,000 1 |
0,000 1 |
|
1,1 |
0,000 5 |
0,000 4 |
0,000 4 |
0,000 3 |
0,000 3 |
0,000 3 |
0,000 3 |
0,000 2 |
0,000 2 |
0,000 2 |
|
1,0 |
0,001 3 |
0,001 2 |
0,001 1 |
0,001 0 |
0,000 9 |
0,000 8 |
0,000 7 |
0,000 7 |
0,000 6 |
0,000 5 |
|
0,9 |
0,003 5 |
0,003 2 |
0,002 9 |
0,002 6 |
0,002 4 |
0,002 2 |
0,002 0 |
0,001 8 |
0,001 6 |
0,001 5 |
|
0,8 |
0,008 2 |
0,007 5 |
0,006 9 |
0,006 4 |
0,005 9 |
0,005 4 |
0,004 9 |
0,004 5 |
0,004 1 |
0,003 8 |
|
0,7 |
0,017 9 |
0,016 6 |
0,0154 4 |
0,014 3 |
0,013 2 |
0,012 2 |
0,011 3 |
0,010 4 |
0,009 6 |
0,008 9 |
|
0,6 |
0,035 9 |
0,033 6 |
0,031 4 |
0,029 4 |
0,027 4 |
0,025 6 |
0,023 9 |
0,022 2 |
0,020 7 |
0,019 2 |
|
0,5 |
0,066 8 |
0,063 0 |
0,059 4 |
0,055 9 |
0,052 6 |
0,049 5 |
0,046 5 |
0,043 6 |
0,040 9 |
0,038 4 |
|
0,4 |
0,115 1 |
0,109 3 |
0,103 8 |
0,098 5 |
0,093 4 |
0,088 5 |
0,083 8 |
0,079 3 |
0,074 9 |
0,070 8 |
|
0,3 |
0,184 1 |
0,176 2 |
0,168 5 |
0,161 1 |
0,153 9 |
0,146 9 |
0,140 1 |
0,133 5 |
0,127 1 |
0,121 0 |
|
0,2 |
0,274 3 |
0,264 3 |
0,254 6 |
0,245 1 |
0,235 8 |
0,226 6 |
0,217 7 |
0,209 0 |
0,200 5 |
0,192 2 |
|
0,1 |
0,382 1 |
0,370 7 |
0,359 4 |
0,348 3 |
0,337 2 |
0,326 4 |
0,315 6 |
0,305 0 |
0,294 6 |
0,284 3 |
|
0,0 |
0,500 0 |
0,488 0 |
0,476 1 |
0,464 1 |
0,452 2 |
0,440 4 |
0,428 6 |
0,416 8 |
0,405 2 |
0,393 6 |
CHÚ THÍCH 1: Giá trị của Pmk trong bảng chỉ cho một đuôi của phân bố. Để ước lượng tổng tỷ lệ nằm ngoài quy định, người đọc phải tra tỷ lệ cho cả PmkU và PmkL rồi sau đó cộng hai tỷ lệ này với nhau.
CHÚ THÍCH 2: Ký hiệu E-a được đọc là x 10-a, ví dụ 2,6E-06 là 2,6 x 10-6.
CHÚ THÍCH 3: Đối với giá trị Pmk âm, tỷ lệ là 1 – p, trong đó p là giá trị trong bảng.
Ví dụ về giấy xác suất sử dụng là cho phân bố chuẩn và phân bố cực trị. Trên thực tế, các loại này sẽ thích hợp cho nhiều trường hợp. Ngoài ra, nhà cung cấp văn phòng phẩm còn cung cấp các loại giấy xác xuất cho những loại phân bố phổ biến khác.
Các sản phẩm phần mềm cũng có sẵn để lập các biểu đồ tương tự nếu người thực hành muốn sử dụng chúng.

Hình A.1 – Phiếu dùng cho dữ liệu phân bố chuẩn

Hình A.2 – Phiếu dùng cho dữ liệu phân bố cực trị
Phụ lục B
(tham khảo)
Phân tích dữ liệu bằng máy tính
Đồ thị cho trên các hình từ B.1 đến B.3 dựa trên dữ liệu phân tích thủ công trong Điều 5 và trình bày trên Hình 2. Chúng được tạo ra bằng cách sử dụng chương trình phần mềm MINITABTM.2)

Hình B.1 – Ví dụ về kết quả của biểu đồ chạy dùng cho nghiên cứu máy

Hình B.2 – Ví dụ về kết quả của nghiên cứu hiệu năng máy
CHÚ THÍCH 1: Trong các ví dụ về kết quả từ phần mềm (Hình B.2 và B.3), dấu chấm thập phân được sử dụng thay cho dấu phẩy thập phân.
CHÚ THÍCH 2: Giá trị trung bình, độ lệch chuẩn và phần trăm được cho đối với tỷ lệ nằm ngoài giới hạn thể hiện trên Hình 2 không hoàn toàn giống với giá trị cho trên Hình B.2 vì ước lượng các giá trị bằng đồ thị có độ không chính xác nhỏ kèm theo.

Hình B.3 – Ví dụ về kết quả của đồ thị xác suất
CHÚ THÍCH 3: Đồ thị xác suất ở trên (Hình B.3) có khác biệt so với Hình 2 vì đồ thị này được tạo ra bằng cách sử dụng các tần số “lớp” trong khi phần mềm vẽ đồ thị sử dụng từng điểm dữ liệu.
THƯ MỤC TÀI LIỆU THAM KHẢO
[1] TCVN 8244-1 (ISO 3534-1), Thống kê học – Từ vựng và ký hiệu – Phần 1: Thuật ngữ chung về thống kê và thuật ngữ dùng trong xác suất
[2] TCVN 8244-2 (ISO 3534-2), Thống kê học – Từ vựng và ký hiệu – Phần 2: Thống kê ứng dụng
[3] TCVN 9603 (ISO 5479), Giải thích dữ liệu thống kê – Kiểm nghiệm sai lệch so với phân bố chuẩn
[4] TCVN 9945-1 (ISO 7870-1), Biểu đồ kiểm soát – Phần 1: Hướng dẫn chung
[5] ISO 7873, Control charts for arithmetic average with warning limits (Biểu đồ kiểm soát đối với trung bình cộng có giới hạn cảnh báo)
[6] ISO 8258, Shewhart control charts (Biểu đồ kiểm soát Shewhart) 3)
[7] ISO 11462-1, Guidelines for implementation of statistical process control (SPC) – Part 1: Elements of SPC (Hướng dẫn thực thi kiểm soát thống kê quá trình (SPC) – Phần 1: Các thành phần của SPC)
[8] TCVN 9599 (ISO 21147), Phương pháp thống kê – Thống kê hiệu năng và năng lực quá trình đối với các đặc trưng chất lượng đo được
[9] TCVN 9944-4 (ISO/TR 22514-4), Phương pháp thống kê trong quản lý quá trình – Năng lực và hiệu năng – Phần 4: Ước lượng năng lực quá trình và đo hiệu năng
[10] Automotive Industry Action Group (AIAG), Measurement Systems Analysis Reference Manual, 3rd ed. Chrysler, Ford, General Motors Supplier Quality Requirements Task Force, 2002 (Sổ tay tham khảo về phân tích hệ thống đo)
MỤC LỤC
Lời nói đầu
Lời giới thiệu
1 Phạm vi áp dụng
2 Ký hiệu và chữ viết tắt
3 Điều kiện tiên quyết cho ứng dụng
3.1 Khái quát
3.2 Số lượng bộ phận cần sử dụng trong nghiên cứu
3.3 Vật liệu sử dụng
3.4 Hệ thống đo
3.5 Thực hiện nghiên cứu
3.6 Trường hợp đặc biệt
4 Thu thập dữ liệu
4.1 Khả năng truy tìm nguồn gốc của dữ liệu
4.2 Lưu giữ mẫu
4.3 Ghi dữ liệu
5 Phân tích
5.1 Khái quát
5.2 Biểu đồ chạy
5.3 Phân tích dạng dữ liệu
5.4 Xây dựng đồ thị xác suất
5.5 Giải thích phiếu
5.6 Trường hợp đặc biệt
5.7 Chỉ số hiệu năng máy đối với phân bố chuẩn và phân bố bất đối xứng
6 Báo cáo
6.1 Báo cáo thử nghiệm
6.2 Khoảng tin cậy
7 Hành động tiếp theo nghiên cứu hiệu năng máy
Phụ lục A (tham khảo) Bảng và phiếu kiểm tra
Phụ lục B (tham khảo) Phân tích dữ liệu bằng máy tính
Thư mục tài liệu tham khảo
1) Biểu đồ này được tạo ra bằng cách sử dụng chương trình phần mềm MINITABTM. MINITABTM là tên thương mại của sản phẩm do Minitab cung cấp. Thông tin này đưa ra nhằm tạo thuận lợi cho người sử dụng tiêu chuẩn này và không phải là chứng thực cho sản phẩm này. Có thể sử dụng các sản phẩm tương đương nếu chúng chứng tỏ dẫn đến kết quả tương tự.
2) MINITABTM là tên thương mại của sản phẩm do Minitab cung cấp. Thông tin này đưa ra nhằm tạo thuận lợi cho người sử dụng tiêu chuẩn này và không phải là chứng thực cho sản phẩm này. Có thể sử dụng các sản phẩm tương đương nếu chúng chứng tỏ dẫn đến kết quả tương tự.
3) Tiêu chuẩn này hiện đã được soát xét và thay thế bằng ISO 7870-2:2013.


