Tiêu chuẩn XDVN TCXD129:1985

  • Loại văn bản: Tiêu chuẩn XDVN
  • Số hiệu: TCXD129:1985
  • Cơ quan ban hành: ***
  • Người ký: ***
  • Ngày ban hành: ...
  • Ngày hiệu lực: ...
  • Lĩnh vực: Xây dựng
  • Tình trạng: Không xác định
  • Ngày công báo: ...

Nội dung toàn văn Tiêu chuẩn xây dựng Việt Nam TCXD 129:1985 về thủy tinh – phương pháp phân tích hoá học xác định hàm lượng Silic dioxyt


TIÊU CHUẨN XÂY DỰNG

TCXD 129 : 1985

THUỶ TINH – PHƯƠG PHÁP PHÂN TÍCH HÓA HỌC XÁC ĐỊNH HÀM HÀM LƯỢNG SILIC DIOXYT
Glass – Methods for chemical analysis, determination of silic dioxide content

Tiêu chuẩn này quy định phương pháp xác định hàm lượng silic dioxide trong thuỷ tinh thông dụng không mầu.

1. Quy định chung

Theo TCXD 128: 1985

2. Nguyên tắc

Phân giải mẫu bằng cacbonat kiềm, hòa tan khối nung chảy bằng axit clohydric loãng, cô cạn dung dịch (hai lần) để khử nước của axit silicic. Nung kết tủa silicdioxyt ở 10000C và xử lí bằng axit flohydric để tách silic ở dạng silictêranorua.

3. Hóa chất và dụng cụ

Natri cacbonat khan, kali cacbonat khan hoặc hỗn hợp có tỉ lệ 1 : 1;

Axit clohydric đặc (d = l,19) và pha loãng 1 : 1;

Axit flohydric dung dịch 40%;

Axit sunfuric dung dịch pha loãng 1 : 1;

Rượu mêtylic;

Chén bạch kim dung tích 30 – 40ml;

Bát sứ đáy bằng dung tích 300 – 500ml;

Giấy lọc không tro (bằng vàng) cháy vữa;

Giấy đo pH từ 1 – 11.

4. Cách tiến hành

Cân 0,5g mẫu đã chuẩn bị theo TCXD 128 : 1985 vào chén bạch kim đã có sẵn 5 – 7g hỗn hợp chắt nung chảy natri-kali cacbonat, trộn đều hỗn hợp, phủ lên trên mẫu một lớp mỏng hỗn hợp chất nung chảy.

Cho chén vào lò nung, tăng nhiệt độ lò đến 9500C, nung mẫu ở nhiệt độ này 30 – 40 phút. Lấy chén ra khỏi lò, để nguội.

Chuyển khối nung chảy trong chén bạch kim vào bát sứ bằng nước nóng và axit clohydric (1:1) rửa sạch chén bạch kim. Đậy bát sứ bằng mặt kính đồng hồ, thêm từ từ vào bát 30ml axit clohydric đặc. Để yên bát 20 phút cho tan mẫu. Rửa thành bát và mặt kính đồng hồ bằng nước nóng, khuấy đều dung dịch.

Đặt bát sứ lên bếp cách thuỷ hoặc cách cát (nhiệt độ khoảng 1100C) cô đến còn khoảng 20ml thêm vào bát l0ml rượu mêtylic khuấy đều, sau khi rượu bay hơi hết thêm tiếp 10ml rượu metyhc, tiếp tục cho bay hơi đến khô. Dùng đũa thủy tinh dằm nhỏ các cục muối trong bát. Sau khi mẫu khô kiệt (hết giọt nước đọng ở mặt dưới kính đồng hồ tiếp tục để bát sứ trên bếp l giờ nữa.

Lấy bát khỏi bếp, để nguội, thêm vào bát 15ml axit clohydric đặc, để yên 10 phút cho tan muối. Thêm vào bát 10ml nước sôi, khuấy đều và đun ấm cho tan hết muối.

Lọc dung dịch còn nóng này qua giấy lọc (băng vàng) dùng nước đun sôi rửa kết tủa và giấy lọc đến hết ion clo trong nước rửa (hoặc chạm nhẹ một mẫu giấy đo pH vào giấy lọc thấy không còn axit). Thu nước lọc và nước rửa vào bát sứ đã dùng để kết tủa silic lần đầu) đặt bát lên bếp cách thủy cô dung dịch đến khô kiệt cô tiếp tục 1 giờ nữa. Lấy bát ra để nguội thêm vào bát l0ml axit Clohyđric đặc, để yên 10 phút, thêm vào bát 80ml nước đun sôi, khuấy đều dung dịch cho tan muối. Lọc dung dịch qua giấy lọc (băng vàng), dùng một mảnh nhỏ, giấy lọc không tro lau sạch mặt kính đồng hồ, bát sứ và đũa thủy tinh rồi cho vào phễu lọc. Dùng nước đun sôi rửa kết tủa và giấy lọc đến khi hết ion clo trong nước rửa (hoặc thử bằng giấy đo pH như trên). Nước lọc và rửa giữ lại để xác định lưu huỳnh trioxyt (dung dịch I) .

Gộp cả hai lượng kết tủa silic (sau hai lần cô cạn dung dịch) vào chén bạch kim, sấy khô giấy lọc và đốt thành tro trên bếp điện. Đưa chén vào lò nung, tăng nhiệt độ đến 1.0000C và giữ ở nhiệt độ này trong l giờ, lấy chén khỏi lò nung, để nguội trong bình hút ẩm đến nhiệt độ phòng rồi cân … Cho lại chén vào lò, nung ở nhiệt độ 1.0000C trong 15 – 20 phút, để nguội trong bình hút ẩm và cân, lập lại quá trình nung – cân đến khi thu được khối lượng không đổi.

Tẩm ướt kết tủa trong chén bạch kim bằng vài giọt nước, thêm tiếp vào chén lml axit sunfuríc 1 : 1 và 8 – 10ml axit flohyaric 40% lắc nhẹ chén để trộn đều các chất trong chén, đặt chén trên bếp điện cho bay hơi đến khô, thêm tiếp vào chén 5ml axit flohyđric 40% cho bay hơi trên bếp điện đến bốc khói trắng, thêm vào chén 5ml axit flohyđric 40% cho bay hơi trên bếp điện đến ngừng bốc khói trắng.

Nung chén và cặn còn lại trong lò ở nhiệt độ 1.0000C khoảng 15 phút, lấy chén ra để nguội trong bình hút ẩm và cân, lập lại quá trình nung – cân đến khi thu được khối lượng không đổi.

5. Tính kết quả

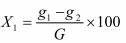
5.1. Hàm lượng silic dioxýt (Xl) tính bằng phần trăm theo công thức:

Trong đó :

g1 : Khối lượng của chén bạch kim và kết tủa trong khi xử lí bằng axit flohydric, tính bằng gam.

g2 : Khối lượng của chén bạch kim và cặn còn lại sau khi xử lí bằng axit flohydric, tính bằng gam.

G : Khối lượng mẫu lấy đem phân tích, tính bằng gam

5.2. Chênh lệch giữa hai kết quả xác định song song không lớn hơn : 0,60% (tuyệt đối).

Leave a Reply

Your email address will not be published. Required fields are marked *