Tiêu chuẩn XDVN TCXD130:1985

  • Loại văn bản: Tiêu chuẩn XDVN
  • Số hiệu: TCXD130:1985
  • Cơ quan ban hành: ***
  • Người ký: ***
  • Ngày ban hành: ...
  • Ngày hiệu lực: ...
  • Lĩnh vực: Xây dựng
  • Tình trạng: Không xác định
  • Ngày công báo: ...

Tiêu chuẩn xây dựng Việt Nam TCXD 130:1985 về thủy tinh – phương pháp phân tích hóa học xác định hàm lượng lưu huỳnh triôxýt đã được thay thế bởi Tiêu chuẩn quốc gia TCVN 9173:2012 về Thủy tinh không màu – Phương pháp xác định hàm lượng sunfua trioxit .

Nội dung toàn văn Tiêu chuẩn xây dựng Việt Nam TCXD 130:1985 về thủy tinh – phương pháp phân tích hóa học xác định hàm lượng lưu huỳnh triôxýt


TIÊU CHUẨN XÂY DỰNG

TC 130 : 1985

THỦY TINH – PHƯƠNG PHÁP PHÂN TÍCH HÓA HỌC XÁC ĐỊNH HÀM LƯỢNG LƯU HUỲNH TRIÔXÝT
Glass – Methodfor chemical analysisfor determination of trioxide sulfuric content

Tiêu chuẩn này quy định phương pháp xác định hàm lượng lưu huỳnh trioxýt thủy tinh thông dụng không mầu.

1. Quy định chung

Theo TCXD 128: 1985

2. Nguyên tắc

Kết tủa lưu huỳnh trioxýt bằng Bary clorua trong môi trường axit Clohyđric. Nung kết tủa tạo thành ở 8500C, dạng cân là BaSO4

3. Hóa chất

Metyl đỏ dung dịch 0,1%;

Amon hyđrôxýt dung dịch 25%;

Bary clorua dung dịch 10%;

Amon clorua tinh thể;

Axít clohyđric đậm đặc (d – 1,19) và pha loãng 1: 1;

Giấy lọc không tro (băng xanh) cháy chậm.

4. Cách tiến hành

Cho dung dịch mẫu đã tách silic – dung dịch I (TCXD 129: 1985 mục 4) vào cốc thủy tinh cô trên bếp đèn còn khoảng l00 – 120 ml, thêm vào dung dịch 2 gam Amon Clorua và 1 – 2 giọt metyl đổ 0,l% vừa khuấy dung dịch vừa nhỏ từ từ Amon Hyđrôxýt 25% đến chuyển màu chỉ thị sang vàng, đun dung dịch đến 70 – 800C để đông tụ kết tủa hyđrôxýt.

Lọc dung dịch qua giấy lọc băng trắng, rửa kết tủa 8 – 10 lần bằng nước đun sôi. Thu nước lọc và nước rửa vào cốc dung tích 250ml, cô trên bếp điện đến còn khoảng 100ml, dùng axit clohydric 1: 1 trung hòa đến chuyển mầu chỉ thị sang mầu đỏ, cho dư 2 – 3ml axit nữa.

Đun sôi dung dịch mẫu, vừa khuấy vừa nhỏ từ từ 10ml dung dịch Bary clorua 10% đã đun đến gần sôi, tiếp tục khuấy dung dịch 3 – 5 phút nữa. Để cốc vào nơi có nhiệt độ 40 – 500C trong khoảng 10 giờ.

Lọc kết tủa qua giấy lọc băng xanh, dùng nước đun sôi rửa kết tủa và giấy lọc đến hết ion clo trong nước rửa.

Chuyển kết tủa Barysunfat vào chén nung sứ đã nung đến khối lượng không đổi ở 8500C làm khô và đốt giấy lọc thành than trên bếp điện. Chuyển chén nung vào lò, tăng nhiệt độ lò đến 8500C giữ nhiệt độ này khoảng 50 – 60 phút, lấy chén khỏi lò để nguội trong bình hút ẩm đến nhiệt độ phòng rồi cân. Nung lại chén ở nhiệt độ trên 15 phút để nguội và cân, lặp lại quá trình nung – cân đến khi thu được khối lượng không đổi.

5. Tính kết tủa

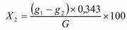
5.1. Hàm lượng lưu huỳnh triôxýt (X2) trong mẫu tính bằng phần trăm theo công thức:

Trong đó:

g1: Khối lượng chén nung và kết tủa bary suất, tính bằng gam.

g2: Khối lượng chén nung, tính bằng gam.

G: Khối lượng mẫu lấy đem phân tích, tính bằng gam

5.2. Chênh lệch giữa hai kết quả xác định song song không lớn hơn 0,15% (tuyệt đối).

Leave a Reply

Your email address will not be published. Required fields are marked *