Nội dung toàn văn Tiêu chuẩn xây dựng TCXD 160:1987 về khảo sát địa kỹ thuật phục vụ cho thiết kế và thi công móng cọc
TIÊU CHUẨN XÂY DỰNG
TCXD 160: 1987
KHẢO SÁT ĐỊA KĨ THUẬT PHỤC VỤ CHO THIẾT KẾ VÀ THI CÔNG MÓNG CỌC
1. Những quy định chung
1.1. Tiêu chuẩn này quy định những yêu cầu bổ sung về thành phần và khối lượng công tác khảo sát địa kĩ thuật để thiết kế và thi công móng cọc. Tiêu chuẩn này không áp dụng cho việc khảo sát để xây dựng các công trình nông nghiệp, thủy lợi, năng lượng và các công trình dạng tuyến.
1.2. Yêu cầu chung đối với khảo sát địa kĩ thuật (khảo sát địa chất công trình cho xây dựng) được quy định trong các tiêu chuẩn ngành 20 TCXD 78: 1979 “Khảo sát cho xây dựng -nguyên tắc cơ bản”. “Khảo sát cho xây dựng công nghiệp”, “Khảo sát cho xây dựng đô thị và nông thôn” và 20 TCXD 21: 1986 “Tiêu chuẩn thiết kế móng cọc” (Phần khảo sát cho thiết kế móng cọc).
1.3. Thành phần và khối lượng công tác khảo sát địa kĩ thuật quy định trong tiêu chuẩn này và trong các tiêu chuẩn trình bày ở điều 1.2 của tiêu chuẩn này phải đảm bảo thu được những số liệu ban đầu cần thiết để thiết kế một phương án móng cọc tối ưu, đạt độ tin cậy yêu cầu và tổng chi phí ít nhất cho công tác khảo sát, thi công xây dựng và sử dụng công trình.
1.4. Nhiệm vụ kĩ thuật khảo sát địa kĩ thuật cho thiết kế móng cọc do cơ quan thiết kế lập và phải được cơ quan chủ quản công trình nhất trí, sau đó chuyển giao cho cơ quan khảo sát.
1.5. Trong nhiệm vụ kĩ thuật khảo sát phải nêu rõ dự kiến các kiểu cọc, kích thước cọc và các giải pháp kết cấu móng cọc để bổ sung cho các yêu cầu khảo sát quy định trong các tiêu chuẩn 20 TCXD 78: 1979 “Khảo sát cho xây dựng – Nguyên tắc cơ bản”. “Khảo sát cho xây dựng công nghiệp”, “Khảo sát cho xây dựng đô thị và nông thôn” và 20 TCXD 45: 1978 “Tiêu chuẩn thiết kế nền nhà và công trình”.
1.6. Trên cơ sở nhiệm vụ kĩ thuật do cơ quan đặt hàng giao, cơ quan khảo sát lập phương án kĩ thuật khảo sát có xét đến đặc điểm kết cấu và điều kiện làm việc của cọc (móng cọc) dưới tác dụng của tải trọng công
– Chiều sâu đặt cọc (đài cọc và thân cọc) biến đổi rất lớn (từ 2 đến 30m, trong một số trường hợp đặc biệt đến 60m).
– Mối quan hệ giữa chiều dày lớp đất chịu nén với sự bố trí cọc trên mặt bằng và kích thước lưới cọc.
– Sự ảnh hưởng đến sức chịu tải và độ lún của móng cọc không chỉ riêng đối với lớp đất nằm dưới mũi cọc và cả đối với lớp đất xung quanh thân cọc.
– Sự xuất hiện lực ma sát ở mặt bên (sườn) cọc.
– Sự phụ thuộc của sức chịu tải và độ lún của móng cọc vào công nghệ thi công cọc.
– Xác định khả năng đóng cọc đến độ sâu thiết kế;
– Trong những trường hợp cần thiết phải thử nghiệm cọc tại hiện trường.
1.7. Cách thức thử nghiệm cọc tại hiện trường tuân theo đúng quy định hiện hành.
2. Các yêu cầu đối với công tác khảo sát địa kĩ thuật
2.1. Thành phần và khối lượng công tác khảo sát địa kĩ thuật để thiết kế và thi công móng cọc chống, phụ thuộc vào chiều sâu, thế nằm và địa hình của mái lớp đất tựa cọc cũng như trạng thái của phần đất ở đầu lớp này.
2.2. Khảo sát địa kĩ thuật để thiết kế và thi công móng cọc chống cần tiến hành các công tác sau:
a) Khoan các hố kĩ thuật và lấy mẫu đất thí nghiệm để xác định mái lớp đất có thể tựa cọc, đồng thời phải khoan sâu vào lớp này ít nhất 1,5m trong đó có 3 lỗ khoan phải khoan sâu vào lớp tựa cọc ít nhất là 3m.
b) Xuyên động để chính xác hóa mái lớp tựa cọc và lựa chọn phương pháp đóng cọc.
c) Đào hố lấy mẫu nguyên dạng và không nguyên dạng để xác định các chỉ tiêu cơ lí của lớp đất tựa cọc khi không thể xác định chúng bằng phương pháp khoan.
d) Tiến hành thử nghiệm cọc tại hiện trường nếu như cơ quan khảo sát và cơ quan thiết kế thấy cần thiết sau khi đã thỏa thuận với cơ quan chủ quản công trình (Ban quản lí công trình).
e) Thực hiện công tác thăm dò địa vật lí (nếu thấy cần thiết).
2.3. Khối lượng công tác nêu trong mục 2.2 cần phải đủ để có thể thành lập bản đồ đường đẳng độ sâu cách nhau 1m của mái lớp tựa cọc trong phạm vi nhà và công trình thiết kế.
2.4. Dựa vào mức độ đồng nhất về điều kiện thế nằm và tính chất của đất đối với móng cọc treo, mức độ phức tạp của điều kiện địa chất công trình được phân ra thành 3 cấp.
– Cấp 1: Tầng đất có 1 lớp hay nhiều lớp nằm ngang hoặc hơi nghiêng (độ nghiêng không quá 0,05) trong phạm vi mỗi lớp đất đồng nhất về tính chất.
– Cấp II: Tầng đất có một hay nhiều lớp, ranh giới giữa các lớp tương đối ổn định (độ nghiêng không quá 0,1). Trong phạm vi từng lớp, đất không đồng nhất về tính chất.
– Cấp III: Tầng đất gồm nhiều lớp khác nhau về thành phần và không đồng nhất về tính chất, ranh giới giữa các lớp đất không ổn định (độ nghiêng lớn hơn 0,1) một số lớp riêng biệt có thể bị vát nhọn.
2.5. Thành phần và khối lượng công tác khảo sát địa kĩ thuật để thiết kế và thi công móng cọc treo được xác định bởi mức độ phức tạp về điều kiện địa chất công trình của diện tích xây dựng áp dụng cho móng cọc (mục 2.4) và bởi đặc điểm của nhà hoặc công trình thiết kế được quy định ở bảng 1.
Bảng 1
|
Đặc điểm nhà và công trình thiết kế |
Thành phần và công tác khảo sát địa kĩ thuật phụ thuộc váo đặc điểm của nhà và công trình thiết kế |
Khối lượng công tác khảo sát địa kĩ thuật phụ thuộc vào mức độ phức tạp và điều kiện địa chất công trình áp dụng cho móng cọc |
||
|
Cấp I |
Cấp II |
Cấp III |
||
|
1 |
2 |
3 |
4 |
5 |
|
Nhà ở, dưới 9 tầng, kể cả tải trọng của tường truyền lên móng không quá 50 T/m và các công trình công nghiệp với tải trọng truyền lên cột khung không quá 300T, khi xây dựng hàng loạt. |
1. Khoan |
Theo lưới 70x70m nhưng mỗi nhà (công trình) phải có ít nhất 1 lỗ khoan |
Theo lưới 50x50m nhưng mỗi nhà (công trình) phải có ít nhất 2 lỗ khoan |
Theo lưới 30x30m nhưng mỗi nhà (công trình) phải có ít nhất 2 lỗ khoan |
|
2. Thí nghiệm đất trong phòng |
Trong một đơn nguyên địa chất công trình, mỗi chỉ tiêu phải có ít nhất 6 giá trị |
|
|
|
|
3. Xuyên tĩnh |
Theo lưới 35x35m, nhưng mỗi nhà (công trình) phải có ít nhất 2 điểm |
Theo lưới 25x25m, nhưng mỗi nhà (công trình) phải có ít nhất 3 điểm |
Theo lưới 15x15m, nhưng mỗi nhà (công trình) phải có ít nhất 5 điểm |
|
|
4. Thí nghiệm cọc chuẩn |
Trong phạm vi một đơn nguyên địa chất công trình ở mỗi độ sâu cụ thể phải có ít nhất 3 điểm thí nghiệm |
|
|
|
|
Nhà ở dưới 16 tầng kể cả tải trọng của tường lên móng không quá 300T/m và các công trình công nghiệp với tải trọng truyền lên cột khung không quá 2000T |
1. Khoan |
Theo lưới 50x50m nhưng mỗi nhà (công trình) phải có ít nhất 1 lỗ khoan |
Theo lưới 40x40m, nhưng mỗi nhà (công trình) phải có ít nhất 7 lỗ khoan |
Theo lưới 30x30m, nhưng mỗi nhà (công trình) phải có ít nhất 10 lỗ khoan |
|
2. Thí nghiệm đất trong phòng |
Trong một đơn nguyên địa chất công trình, mỗi chit tiêu phải có ít nhất 6 giá trị |
|
|
|
|
3. Xuyên tĩnh |
Theo lưới 25x25m, nhưng mỗi nhà (công trình) phải có ít nhất 5 điểm |
Theo lưới 20x20m, nhưng mỗi nhà (công trình) phải có ít nhất 7 điểm |
Theo lưới 15x15m, nhưng mỗi nhà (công trình) phải có ít nhất 10 điểm |
|
|
4. Thí nghiệm cọc chuẩn |
Trong phạm vi một đơn nguyên địa chất công trình phải có ít nhất 6 điểm thí nghiệm |
|
|
|
|
5. Thí nghiệm cọc chuẩn |
Trong phạm vi một đơn nguyên địa chất công trình ở mỗi độ sâu cụ thể phải có ít nhất 3 điểm thí nghiệm cọc chuẩn và một thí nghiệm cọc tại hiện trường |
|
|
|
|
6. Thí nghiệm cọc tại hiện trường |
|
|
||
|
Nhà và công trình quá cao (nhà 16-28 tầng, kho chứa, ống khói, lò luyện) công trình công nghiệp với tải trọng truyền lên cột khung lớn hơn 2000T |
1. Khoan |
Theo lưới 40x40m nhưng mỗi nhà (công trình) phải có ít nhất 1 lỗ khoan |
Theo lưới 30x30m, nhưng mỗi nhà (công trình) phải có ít nhất 4 lỗ khoan |
Theo lưới 30x30m, nhưng mỗi nhà (công trình) phải có ít nhất 5 lỗ khoan |
|
2. Thí nghiệm đất trong phòng |
Trong một đơn nguyên địa chất công trình, mỗi chit tiêu phải có ít nhất 6 giá trị |
|
|
|
|
3. Xuyên tĩnh |
Theo lưới 20x20m, nhưng mỗi nhà (công trình) phải có ít nhất 5 điểm |
Theo lưới 15x15m, nhưng mỗi nhà (công trình) phải có ít nhất 8 điểm |
Theo lưới 10x10m, nhưng mỗi nhà (công trình) phải có ít nhất 10 điểm |
|
|
4. Thí nghiệm cọc chuẩn |
Trong phạm vi một đơn nguyên địa chất công trình thể phải có ít nhất 6 thí nghiệm |
|
|
|
|
5. Thí nghiệm cọc chuẩn |
Trong phạm vi một đơn nguyên địa chất công trình ở mỗi độ sâu cụ thể phải có ít nhất 2 thí nghiệm nhưng giá trị thu được không được chênh lệch quá 30% giá trị |
|
|
|
|
6. Thí nghiệm cọc tại hiện trường |
Trong phạm vi một đơn nguyên địa chất công trình ở mỗi độ sâu cụ thể phải có ít nhất 2 thí nghiệm nhưng giá trị thu được không được chênh lệch quá 30% giá trị |
|
|
|
Chú thích:
1) Khi các cọc bố trí thành hàng hay cụm cọc với lưới cọc không quá 10x10m thì chiều sâu nghiên cứu đất xác định theo 20 TCXD 21: 1986 “Tiêu chuẩn thiết kế móng cọc”. Nếu lưới cọc có kích thước lớn hơn 10x10m thì chiều sâu nghiên cứu phải sâu hơn độ sâu dự kiến đặt cọc ít nhất một khoảng bằng chiều rộng của lưới cọc. Khi có các lớp đất lún Ướt, trương nở, nhiễm mặn và nén lún mạnh (bùn, than bùn, đất sét ở trạng thái chảy) thì chiều sâu nghiên cứu được xác định bằng cách: do cần thiết phải đóng cọc xuyên qua toàn bộ chiều dày lớp có tính chất đặc biệt ấy, nên phải xác định chiều sâu thế nằm của lớp đất nằm lót dưới và xác định các đặc trưng cơ lí của nó.
2) Các dạng công tác khảo sát địa kĩ thuật phải được tiến hành tuần tự như quy định trong bảng 1. Việc thí nghiệm đất trong phòng được tiến hành đồng thời với xuyên tĩnh và nén ngang. Vị trí thí nghiệm cọc chuẩn và thí nghiệm cọc tại hiện trường phải cách xa lỗ khoan 1-2m, cùng với khoảng cách như vậy ở cạnh lỗ khoan phải tiến hành xuyên tĩnh.
3) Chiều sâu dự kiến thí nghiệm cọc chuẩn và thí nghiệm cọc tại hiện trường trong phương án kĩ thuật phải hiệu chỉnh theo kết quả khoan và xuyên tĩnh.
4) Khi xây dựng nhà cao đến 9 tầng và các công trình với tải trọng truyền lên cột là 300T nằm đơn độc thì số lượng lỗ khoan và số lượng điểm xuyên tăng lên 2 lần.
5) Khi không có số liệu về hệ số chuyển đổi từ thử cọc chuyển sang thử cọc tại hiện trường cũng như chiều dài cọc lớn hơn 12m thì việc thí nghiệm cọc chuẩn được thay bằng thí nghiệm tại hiện trường. Trong mọi trường hợp khi thiết kế cọc nhồi đều phải thí nghiệm tại hiện trường.
6) Khi tải trọng ngang lớn hơn 0,15 lần so với tải trọng đứng nhất thiết phải thí nghiệm cọc tại hiện trường chịu tải trọng tĩnh ngang.
7) Nếu trên diện tích xây dựng có đất cát bở rời và đất loại sét có độ sệt B > 0,6 và cọc không dự kiến cắt qua toàn bộ chiều dày lớp đất trên thì thành phần khối lượng và phương pháp khảo sát được xác định cho từng trường hợp cụ thể. 8) Việc thay đổi các dạng và khối lượng công tác khảo sát địa kĩ thuật khác với quy định trong bảng 1 thì phải lập luận có cơ sở khoa học và phải thỏa thuận với cơ quan thiết kế.
2.6. Khi khảo sát địa kĩ thuật để thiết kế và thi công móng cọc cần tiến hành thí nghiệm đất bằng các phương pháp thí nghiệm hiện trường gồm: Xuyên tĩnh, xuyên động, nén ngang, nén tải trọng tĩnh, thí nghiệm cọc chuẩn và thí nghiệm cọc tại hiện trường.
2.7. Việc thí nghiệm đất bằng xuyên tĩnh nhằm giải quyết những nhiệm vụ sau:
– Xác định mức độ đồng nhất của đất theo diện và theo chiều sâu về khả năng chịu tải của cọc và mô-đun biến dạng của đất;
– Xác định mái lớp tựa cọc theo diện và chiều sâu;
– Xác định khả năng hạ cọc đến độ sâu yêu cầu;
– Xác định sức chịu tải lớn nhất của cọc theo các phương án chôn cọc khác nhau; Chọn khoảnh thí nghiệm để nghiên cứu đất bằng các phương pháp khác, trong đó có phương pháp thí nghiệm cọc tại hiện trường.
2.8. Việc thí nghiệm đất bằng xuyên động được tiến hành để chính xác hóa theo diện và theo chiều sâu mái lớp đá cứng và đất hòn lớn (đối với cọc chống).
2.9. Việc thí nghiệm đất bằng bàn nén tải trọng tĩnh hoặc nén ngang được tiến hành theo quy định trong 20 TCXD 80: 1980. “Đất xây dựng -phương pháp thí nghiệm hiện trường bằng nén tải trọng tĩnh” và “Đất xây dựng -phương pháp thí nghiệm hiện trường nén ngang” để xác định mô-đun biến dạng của đất khi tính toán móng cọc theo trạng thái giới hạn thứ 2.
Chú thích:
Khi thí nghiệm bàn nên tải trọng tĩnh không sử dụng loại bàn nén có diện tích lớn hơn 600cm2.
2.10. Việc thí nghiệm đất bằng cọc chuẩn được tiến hành theo quy định ở phụ lục 1 để xác định khả năng chịu tải lớn nhất của cọc đóng.
2.11. Khi thiết kế móng cọc thì công tác thí nghiệm cọc tại hiện trường là một dạng công tác khảo sát cần được thực hiện. Mục đích và phương pháp thí nghiệm cọc tại hiện trường phải thực hiện theo quy định trong tiêu chuẩn 20 TCXD 88: 1982 “Cọc -phương pháp thí nghiệm cọc tại hiện trường”. Việc thí nghiệm cọc tại hiện trường phải tiến hành cả thử tải trọng tĩnh và tải trọng động.
2.12. Thí nghiệm cọc đóng bằng tải trọng động và tải trọng tĩnh chỉ được tiến hành sau khi đất nền đã ổn định (phục hồi), còn đối với cọc nhồi thì sau khi vật liệu làm cọc đạt đến độ bền thiết kế. Thời hạn phục hồi tối thiểu của cọc được quy định trong tiêu chuẩn 20TCXD 88: 1982 “Cọc -phương pháp thí nghiệm hiện trường”. Thời hạn này sẽ tăng lên trong trường hợp nếu sức chịu tải của cọc tính theo công thức (1) với số liệu thử nghiệm bằng tải trọng động tăng lên khoảng 15% đến 20% so với sức chịu tải của cọc có thời gian hồi phục 6 ngày.
P = P0 + D (P6 – P0) (1)
Trong đó:
P0 và P6: Sức chịu tải của cọc tính theo số liệu thí nghiệm tải trọng động ngang sau khi đến g đóng và sau khi đóng 6 ngày.
D: Hệ số tăng sức chịu tải sau 60 ngày, xác định theo bảng 2.
|
P6- P0 |
1 |
1,2 |
1,4 |
1,6 |
1,8 |
|
P1-P0 |
|||||
|
D |
1 |
1,2 |
1,6 |
2,2 |
3,6 |
Chú thích:
P3 Sức chịu tải của cọc sau khi đóng 3 ngày
Thời gian phục hồi tối ưu là:
Trong các lọai đất cát: 3 ngày; đất loại sét có độ sệt B<0,5 – 6 ngày; đất loại sét có độ sệt 0,5<B<0,8 và trong sét pha – 10 ngày; sét pha – 20ngày; sét – 30 ngày và trong đất loại sét có độ sệt B>0,8-40 ngày
2.13. Việc chỉnh lí thống kê các chỉ tiêu cơ lí của đất (khối lượng, thể tích, góc ma sát trong, lực dính kết…), tiến thành theo quy định trong tiêu chuẩn 20 TCXD 74-86 “Đất -phương pháp chỉnh lí thống kê các kết quả xác định các đặc trưng”. Khi xác định khả năng chịu tải của cọc theo kết quả xuyên tĩnh, thí nghiệm cọc chuẩn hoặc thí nghiệm cọc tại hiện trường để tìm các giá trị tính toán sức chịu tải của cọc nhất thiết phải xét tới hệ số tin cậy K1c được quy định trong các tiêu chuẩn thiết kế tương ứng.
3. Thí nghiệm cọc trong điều kiện đất đặc biệt.
A. Thí nghiệm cọc trong đất lún ướt
3.1. Việc thí nghiệm cọc bằng tải trọng tĩnh trong đất lún ướt để xác định khả năng chịu tải của cọc phải xét đến động thái thấm ướt nền nhà hoặc công trình trong suốt thời gian sử dụng. Trường hợp không có khả năng gây thấm ướt trong suốt quá trình xây dựng và sử dụng nền nhà hoặc công trình trên móng cọc thì việc thí nghiệm cọc bằng tải trọng tĩnh với đất có độ ẩm tự nhiên phải thực hiện theo đúng quy định của tiêu chuẩn 20 TCXD 88: 1982 “Cọc -phương pháp thí nghiệm hiện trường”. Còn trường hợp có khả năng gây thấm ướt nền nhà hoặc công trình trong quá trình sử dụng thì việc thí nghiệm cọc bằng tải trọng tĩnh trong đất lún ướt phải tiến hành trong đất được thấm ướt hoàn toàn đến độ bão hòa G≥8. Việc thí nghiệm cọc phải được tiến hành trên khu vực gần nhà hoặc công trình thiết kế có điều kiện đất tương tự. Không được phép thí nghiệm cọc có làm thấm ướt đất nền trên phạm vi nền đất của nhà hoặc công trình thiết kế. Việc đóng cọc hay nhồi cọc để thử cọc phải tiến hành trong đất có độ ẩm tự nhiên. Phương pháp đóng hoặc nhồi cọc phải giống như khi thi công thực tế.
3.2. Thử cọc trong đất thấm ướt được chia ra làm 2 loại: thấm ướt “cục bộ” và thấm ướt “toàn bộ” diện tích. Thử cọc trong đất được thấm ướt “cục bộ” tiến hành khi chỉ thấm ướt trong nền cọc thí nghiệm, còn thử cọc thấm ướt “toàn bộ” diện tích tiến hành khi thấm ướt đất hết toàn bộ chiều sâu tầng đất lún ướt và thấy đất bị lún do tác dụng của tự trọng tầng đất nằm trên. Ranh giới nền đất khi thấm ướt cục bộ lấy bằng 5d dưới mũi cọc 2d xa sườn cọc (d-đường kính hay cạnh của tiết diện ngang cọc).
3.3. Việc thí nghiệm cọc có thấm ướt “cục bộ” tiến hành trong điều kiện đất lún ướt loại I và II. Với đất lún ướt loại II, trong một số trường hợp phải tiến hành thí nghiệm cọc có thấm ướt “toàn bộ” diện tích bằng tải trọng tĩnh. Khi xác định khả năng chịu tải và sự chuyển vị của cọc phải xét đến khả năng lún của đất do trọng lượng bản thân và do tác dụng của lực ma sát âm gây ra.
3.4. Do kĩ thuật thử cọc có thấm ướt “toàn bộ” rất phức tạp, nên chỉ thực hiện công tác này khi xây dựng những công trình cấp I, công trình đặc biệt hoặc những công trình quan trọng khác theo những phương án kĩ thuật đặc biệt.
3.5. Việc thấm ướt “cục bộ” nền cọc được bắt đầu thực hiện sau khi đóng hoặc nhồi cọc cho đến khi kết thúc thử nghiệm cọc bằng tải trọng tĩnh. Nền đất: được thấm ướt qua hào đào xung quanh cọc thử, cách sườn cọc 1m. Hào có đáy rộng ít nhất 0,5m và sâu từ 1,0 đến 1,5m. Khi chiều dài cọc lớn hơn 10m thì trên đáy hào phải khoan ít nhất 4 lỗ khoan ép nước. Đường kính lỗ khoan 10-20cm, sâu không quá 0,8L (L-chiều dài cọc). Hào và lỗ khoan được lấp sỏi theo quy định sau: lỗ khoan lấp đầy, còn hào thì chỉ lấp 1 lớp dày 10-20cm khi thí nghiệm bằng tải trọng đứng và lấp đầy toàn bộ khi thí nghiệm bằng tải trọng ngang. Trong suốt thời gian thử cọc phải giữ cho mực nước trong hào cao khoảng 1m. Để làm ẩm nền cọc dài 7m thì trước khi bắt đầu thí nghiệm, cần một lượng nước khoảng 100m3 và những mét cọc sau đó thì cứ 1m cọc cần thêm 20m3. Thời gian thấm ướt cho đến trước lúc bắt đầu thử cọc cần từ 8 đến 20 ngày đêm phụ thuộc vào chiều dài cọc và tính thấm của đất.
3.6. Để kiểm tra độ ẩm của đất theo chiều sâu, nên tiến hành lấy mẫu và xác định độ ẩm của đất.Sau khi thấm ướt hoàn toàn nền cọc mới bắt đầu thử cọc theo quy định trong tiêu chuẩn 20TCXD 88: 1982 “Cọc -Phương pháp thí nghiệm hiện trường”.
3.7. Việc thấm ướt “toàn bộ” tầng đất được tiến hành từ hố móng sau khi đã hạ cọc.
Hố móng hình vuông có cạnh bằng chiều sâu thế nằm của tầng đất lún Ướt, nhưng không dưới 20m; còn chiều sâu hố móng ít nhất là 1m. Hố móng phải đào ở chỗ đất có thể bị lún ướt nhiều nhất do trọng lượng bản thân gây ra.
3.8. Thử cọc theo cách thấm ướt “toàn bộ” chỉ được tiến hành sau khi đã thấm ướt đất, nhưng phải trước lúc bắt đầu xảy ra lún đất do trọng lượng bản thân gây ra. Để làm việc này phải sử dụng bàn chất tải. Cọc được nén đều trong suốt thời gian thử với tải trọng bằng khoảng 60% tải trọng giới hạn được xác định qua thử cọc có thấm ướt “cục bộ”. Chiều dài cọc thử phải đảm bảo xuyên qua toàn bộ tầng đất lún ướt và cắm sâu vào tầng đất, không bị lún ướt đến độ sâu yêu cầu. Nên chọn kết cấu cọc, sao cho có thể đo được lực truyền dọc theo chiều dài cọc ở từng tiết diện ngang để dễ thu được số liệu về sự phân bố ứng suất tiếp tuyến theo thân cọc và ứng suất pháp tuyến ở mũi cọc trong suốt thời gian thử cọc.
3.9. ở hố móng phải bố trí hệ thống mốc đo theo diện và theo chiều sâu. Dựa vào số liệu đo thủy chuẩn của những mốc ấy xác định được sự biến dạng theo lớp của đất trong tầng đất lún Ướt. Những mốc bố trí theo chiều sâu phải đặt ở tâm hố móng cách nhau 2-3 m trong suốt chiều dày của tầng đất lún Ướt. Những mốc bố trí theo diện phải xếp theo 2 tuyến vuông góc với nhau. Bốn mốc gần tâm nhất phải cách xa tâm hố móng 1,5H (H -chiều dày tầng đất lún Ướt), còn các mốc tiếp theo cách nhau 3m.
3.10. Việc thấm ướt đất trong hố móng phải tiến hành tiếp tục bằng cách giữ một lớp nước ít nhất là 0,5m trong hố cho đến khi đất lún hoàn toàn và đạt độ lún ổn định quy Đớc. Độ lún ổn định quy Đớc là độ lún mà cứ trong thời gian 10 ngày thì lún thêm không quá 1cm. Trong quá trình thấm ướt phải định kì xác định nước thấm vào đất. Cứ 5-7 ngày trước khi xuất hiện lún và 2-3 ngày trong thời gian đất dày 20m thì việc thử cọc như vậy phải kéo dài khoảng 3 tháng. Để làm thấm ướt đất được nhanh, trên đáy hố móng phải khoan các lỗ khoan ép nước sâu khoản 0,8H theo lưới 3x3m. Các hố khoan phải lấp đầy sỏi hoặc đá dăm, còn hố móng thì chỉ rải một lớp dày 10-20cm.
B. Thử cọc trong đất trương nở.
3.11. Thử cọc bằng tải trọng tĩnh (gọi tắt là thử tĩnh cọc) trong đất trương nở xác định khả năng chịu tải của cọc và trị số nâng của đất nền nhà và công trình trong quá trình sử dụng bị thấm ướt và trương nở.
3.12. Thử tĩnh cọc được bắt đầu từ lúc bắt đầu gia tải lên cọc đóng hoặc cọc nhồi trong đất có độ ẩm tự nhiên với tải trọng bằng tải trọng tính toán dự kiến. Sau khi gia tải bắt đầu tiến hành thấm ướt đất nền và quan trắc sự dịch chuyển của cọc.
3.13. Việc thấm ướt đất phải tiến hành trong một hố móng có diện tích ít nhất 150m2 và sâu hơn mái lớp đất trương nở khoảng 0,5m qua các lỗ khoan ép nước đường kính 10-20cm và sâu hơn mũi cọc thử nghiệm khoảng 1,5m. Số lượng lỗ khoan ép nước ít nhất là 4 lỗ và phải đặt chúng cách sườn cọc 1-2m.
3.14. Sau khi kết thúc quá trình trương nở của đất việc thử cọc sẽ tiến hành theo phương pháp giống như khi thử cọc trong đất bình thường không có tính trương nở và được quy định trong tiêu chuẩn 20 TCXD 88: 1982 “Cọc -phương pháp thí nghiệm hiện trường”.
Quá trình trương nở được coi là kết thúc, khi độ nâng mặt đất ít nhất bằng 0,9 trị số nâng toàn phần mặt đất ∆h khi trương nở. Trị số ∆h xác định theo kết quả thấm ướt thí nghiệm đất trong hố móng không có cọc hoặc làm theo qui định trong phụ lục 3 của tiêu chuẩn 20 TCXD 45: 1978 “Hướng dẫn thiết kế nền nhà và công trình”. Ngoài ra, khi đóng cọc trong cát phải tiến hành ở điều kiện cát có độ ẩm tự nhiên còn trong đất hòn lớn và đất loại sét thì phải làm ướt nhanh đất nền từ trên mặt hoặc qua các lỗ khoan thấm nước.
C. Thử cọc trong đất bị muối hóa.
3.15. Thử cọc trong đất bị muối hóa để xác định sức chịu tải của cọc và mức độ giảm sức chịu tải do rửa trôi muối dưới tác dụng của tải trọng thẳng đứng và nằm ngang. Công tác thí nghiệm này chỉ cần thiết tiến hành khi thấy rằng trong quá trình sử dụng nền đất dưới móng công trình sẽ bị nước ngầm hoặc nước thải công nghiệp làm sũng nước lâu dài và khi theo tính toán lí thuyết cho thấy tốc độ rửa lùa muối thông nước với thời gian sử dụng công trình và quá trình muối hóa của đất trong đới hoạt động của móng cọc (nhất là ở vị trí mặt tiếp xúc giữa đất với cọc).
3.16. Trường hợp trong quá trình sử dụng nền nhà và công trình có thể bị thấm ướt trong một thời gian ngắn thì việc tính cọc trong đất bị muối hóa cũng phải thực hiện bằng cách làm thấm ướt nhanh tầng đất cho đến khi độ bão hòa nước của đất đạt đến G≥ 0,7-0,8. Thử tĩnh cọc phải thực hiện ở vị trí gần nhà hoặc công trình thiết kế và có điều kiện đất nền tương tự. Nơi thử cọc phải là chỗ mà đất có độ muối hóa lớn nhất, vị trí đóng hoặc nhồi cọc thử không được cách xa công trình thăm dò 1-2m.
3.17. Việc thử cọc trong đất có khả năng bị muối hóa chỉ thực hiện khi xây dựng nhà và công trình cấp I, cấp II và các công trình quan trọng ở trên những nền đất có tổng lượng muối để hòa tan hoặc hàm lượng thạch cao vĐợt quá trọng lượng đất hong khô được quy định dưới đây cho từng loại đất sau: đát cát -a0 > 3%, đất hòn lớn – a0 > 5% và đất loại sét a0 > 20%.
3.18. Chỉ sau khi đóng hoặc nhồi cọc mới bắt đầu làm thấm ướt đất chậm, nhưng không được truyền tải trọng lên cọc. Việc thấm ướt đất hòn lớn và đất cát thực hiện qua hào đào xung quanh cọc thử, nhưng cách thành cọc không quá 0,5m. Hào sâu 0,3-0,4m, rộng không quá 0,5m. Trên đáy hào rải cát thành một lớp dày 0,2-0,3m, bên trên cát phủ một lớp sỏi dày 0,1m.
3.19. Nếu ở phần trên của nền đất có một lớp đất loại sét bị thạch cao hóa (a0 > 35-40%) với hệ số thấm K <10-5 -10-6cm/s thì phải đào hào ngay sát thành cọc, rộng ít nhất là 1m, sâu 0,3 -0,4m để thấm ướt đất. Để tăng nhanh quá trình thấm ướt ở đáy phải khoan ít nhất 4 lỗ khoan ép nước đường kính 10-20cm. Trong các lỗ khoan lấp đầy sỏi hoặc sỏi lẫn cát. Chiều sâu lỗ khoan phải lớn hơn chiều dài cọc thử 0,5m. Trong cát và đất hòn lớn thì không cần dùng lỗ khoan ép nước.
3.20. Để thử cọc nhồi trong đất loại sét bị muối hóa thấm ướt đất dưới mũi cọc được thựchiện qua một ống có đường kính ít nhất 50mm đặt ở tâm lỗ khoan trước khi nhồi (bê tông) cọc. ống này phải cắm vào đất sâu hơn đáy lỗ khoan 5-10cm và nhô cao hơn miệng lỗ khoan 10-15cm. Phương pháp thấm ướt nền đất nói trên không áp dụng cho trường hợp cọc được nhồi bằng phương pháp rút dần ống vách.
3.21. Trong quá trình thấm ướt phải lấy mẫu đất để xác định độ ẩm và xác định bằng mắt thấy có hiện tượng xói ngầm cơ học và sự tăng đột ngột lượng nước thấm vào trong đất.
3.22. Thời gian rửa muối chứa trong đất dài hay ngắn do độ thấm và độ muối hóa ban đầu của đất quyết định. Quá trình rửa muối được coi như chấm dứt nếu độ muối hóa trung bình của đất không quá 0,6-0,7 độ muối hóa ban đầu.
3.23. Trong quá trình thấm ướt chậm, đặc biệt là khi thử bằng tải trọng ngang, phải bảo đảm rửa sạch muối chứa ở tại chỗ tiếp xúc giữa đất với mặt cọc và phải theo dõi để không cho nước thoát từ hào ra khỏi phạm vi ranh giới làm thấm ướt theo những đường thấm riêng. Khi thấy xuất hiện những đường thấm như vậy nhất thiết phải bịt kín lại.
3.24. Trong trường hợp ở phần trên cùng của nền đất có 3-4m đất loại sét bị thạch cao hóa mạnh (a0 > 35-40%) khi cần thử cọc bằng cách không làm thấm ướt chậm thì phải đào bỏ đất bị thạch cao hóa mạnh trong phần tiếp xúc với mặt cọc và làm ẩm nhanh lớp đất nằm dưới cho tới khi độ bão hòa G > 0,7-0,8.
3.25. Sau khi kết thúc quá trình rửa muối trong đất tiến hành thử cọc theo đúng quy định của tiêu chuẩn 20 TCXD 88: 1982 “Cọc -phương pháp thí nghiệm hiện trường”.
4. Báo cáo khảo sát địa kĩ thuật.
4.1. Dựa vào kết quả công tác khảo sát địa kĩ thuật tiến hành lập “Báo cáo khảo sát địa kĩ thuật để thiết kế và thi công móng cọc”. Báo cáo kĩ thuật gồm 2 phần:
Phần I: Thuyết minh của báo cáo.
Phần II: Các phụ lục kèm theo báo cáo.
4.2. Ngoài những yêu cầu quy định trong các tiêu chuẩn về thiết kế và khảo sát xây dựng, trong đó có khảo sát địa kĩ thuật, báo cáo kĩ thuật cần phải xác định lớp đất có khả năng chịu tải lớn nhất (lớp tựa cọc) và có những số liệu để xác định sức chịu tải của cọc và dự kiến độ lún của nhà hoặc công trình.
4.3. Phần thuyết minh của báo cáo kĩ thuật gồm có các chương sau:
1) Mở đầu.
2) Đặc điểm kết cấu của nhà hoặc công trình thiết kế.
3) Điều kiện địa chất công trình khu vực khảo sát.
4) Tính toán nền móng theo kết quả thí nghiệm hiện trường: Xuyên tĩnh, xuyên động, nén ngang, nén tải trọng tĩnh, thử cọc chuẩn và thử cọc tại hiện trường.
5) Kết luận và kiến nghị.
Ngoài quy định của các tiêu chuẩn chuyên ngành cần bổ sung vào nội dung của các chương trong báo cáo như sau:
4.4. Trong chương “Đặc điểm kết cấu nhà và công trình thiết kế” cần đưa ra số liệu về đặc điểm kết cấu và công nghệ của nhà hoặc công trình thiết kế. Tải trọng dự kiến truyền lên móng và độ chuyển vị cho phép.
4.5. Trong chương “Điều kiện địa chất công trình của khu vực khảo sát” thì cùng với sự phân tích điều kiện địa chất công trình, địa chất thủy văn và tính chất cơ lí của đất nền phải tiến hành phân khu địa chất công trình theo mức độ phức tạp về điều kiện địa chất công trình xuất phát từ yêu cầu thiết kế và tính toán móng cọc. Đối với mỗi phân vùng phải xác định được lớp tựa cọc, khả năng chịu tải của cọc và khả năng hạ cọc đến độ sâu thiết kế.
4.6. Sức chịu tải của cọc được tính toán theo số liệu thí nghiệm trong phòng, xuyên tĩnh phải đối chiếu so sánh với kết quả thử cọc chuẩn và thử cọc tại hiện trường (nếu có tiến hành) có xét đến khả năng thay đổi điều kiện địa chất công trình khi xây dựng và sử dụng nhà hoặc công trình. Các kết quả thử cọc đều phải đánh giá được sức chịu tải của cọc khi hạ cọc từ độ cao tự nhiên cũng như từ độ cao thiết kế đến độ sâu dự
4.7. Trong phần “Kết luận và kiến nghị” cần trình bày các giá trị sức chịu tải của cọc tính theo kết quả thí nghiệm xuyên tĩnh, thử cọc chuẩn và thử cọc tại hiện trường. Trong phần này chỉ rõ độ cao tuyệt đối mà mũi có tiết diện quy định tiếp nhận được tải trọng theo thiết kế. Khi không có tải trọng thiết kế thì phải chỉ ra được sức chịu tải của cọc có chiều dài khác nhau.
4.8. Ngoài các phụ lục kèm theo của báo cáo như các tiêu chuẩn chuyên ngành đã quy định còn phải có những phụ lục sau:
a) Bản đồ tài liệu thực tế khu vực khảo sát có chỉ rõ vị trí và ranh giới của các nhà và công trình thiết kế, các lỗ khoan (hố đào) và các điểm xuyên tĩnh (xuyên động), các vị trí thí nghiệm đất bằng nén tải trọng tĩnh, nén ngang và thử cọc.
– Bản đồ phân khu địa chất công trình;
– Bản đồ đường đồng mức cao độ mái lớp đất tựa cọc.
b) Các biểu đồ thí nghiệm đất bằng các phương pháp hiện trường như: xuyên tĩnh, xuyên động, nén ngang, nén tải trọng tĩnh, thử cọc chuẩn và thử cọc tại hiện trường bằng tải trọng tĩnh và tải trọng động (nếu như chúng được thực hiện trong quá trình khảo sát).
c) Các lát cắt địa chất công trình (dọc và ngang) của khu vực khảo sát, trên lát cắt ngoài vị trí lỗ khoan, điểm xuyên nén ngang, nén tải trọng tĩnh phải có vị trí thử cọc, vị trí và ranh giới công trình thiết kế, cao độ nền (sàn) tầng I và tầng hầm (nếu có).
d) Bảng tổng hợp chỉ tiêu cơ lí các lớp đất. e) Trụ các hố khoan.
g) Bảng thống kê cao độ, tọa độ các điểm thăm dò thí nghiệm và thử cọc. h) Bảng thống kê kết quả phân tích mẫu nước (nếu có)
i) Bảng kết quả thăm dò địa vật lí (nếu có)
Phụ lục 1
Phương pháp thử cọc chuẩn
1. Thử cọc chuẩn được tiến hành để xác định sức chịu tải của cọc trên thực tế có tiết diện ngang không đổi dưới tác dụng của tải trọng nén lên cọc.
2. Cọc chuẩn là một ống bằng kim loại cứng có đầu dưới bịt kín và có tiết diện ngang nhỏ hơn so với cọc thực tế. Khi thử cọc chuẩn cọc được hạ tới độ sâu dự kiến đặt cọc thực tế.
3. Thử cọc chuẩn thường được tiến hành tại vị trí mà theo số liệu khoan và xuyên tĩnh thì điều kiện đất ít thuận lợi nhất và đặc trưng nhất. Số lượng thí nghiệm cọc chuẩn được xác định trong phương án kỹ thuật khảo sát theo những quy định của tiêu chuẩn này.
4. Sức chịu tải của cọc xác định theo kết quả thử cọc chuẩn còn phải được chính xác thêm bằng cách tiến hành song song thử cọc tại hiện trường bằng tải trọng tĩnh trong những trường hợp sau đây.
a) Khi tải trọng tính toán truyền lên cọc theo thiết kế lớn hơn 60 T. b) Khi không thể thực hiện thí nghiệm xuyên tĩnh.
c) Khi sức kháng của cọc theo kết quả xuyên tĩnh và thử cọc chuẩn tiến hành ở cùng một vị trí trên khu vực khảo sát chênh lệch nhau lớn hơn 30%.
5. Số lần thử cọc tại hiện trường trong các trường hợp quy định trong các mục a và b của điều 4 được xác định trong phạm vi từ 1/4 đến 1/3 tổng số lần thử cọc chuẩn trên khu vực khảo sát ấy, nhưng không được ít hơn 2 thí nghiệm.
6. Cọc chuẩn thường là các đoạn ống thép được nối với nhau bằng ren. Chiều dài mỗi ống khoảng 2m. chiều dài toàn bộ cọc không quá 12m. ống thép có tiết diện ngang ít nhất 100cm2.
7. Trước khi hạ cọc chuẩn phải kiểm tra độ thẳng của cọc. Độ cong không được vĐợt quá 1cm trên 6m chiều dài cọc.
8. Cọc được đóng xuống bằng máy đóng loại nhẹ có trọng lượng búa cơ giới ít nhất 300kg và chiều cao rơi búa ít nhất 100cm.
9. Thiết bị dùng cho thử cọc chuẩn bằng tải trọng tĩnh gồm. Một kích thuỷ lực có sức nâng ít nhất 50T để đặt lên cọc.
– Kết cấu định vị (có dầm ngang hoặc không có dầm ngang) để tiếp nhận từ kích thuỷ lực truyền xuống neo.
– Bộ phận neo gồm những ống thép đóng, cọc xoắn hoặc neo có lưỡi di động.
– Hệ thống cọc mốc có gắn đồng hồ đo sự chuyển vị của cọc dưới tác dụng của tải trọng.
10. Phương pháp đóng và nhổ cọc chuẩn, lắp ráp và tháo dỡ thiết bị và các máy móc khác dùng để thí nghiệm phải thực hiện theo đúng những quy định trong tiêu chuẩn 20TCXD 88:1982 “cọc phương pháp thí nghiệm hiện trường”.
11. Việc gia tải cho thử tĩnh cọc chuẩn phải được thực hiện như sau:
– Tải trọng tác dụng lên cọc phải gia tăng đến mức tạo được độ lún của cọc ít nhất là 20 mm.
– Cấp tải trọng lấy bằng 1/10 tải trọng tối đa truyền lên cọc đã quy định trong phương án và là bội số của 0,25T.
12. Sau mỗi lần tăng tải trọng lên cọc phải ghi số liệu ở tất cả các đồng hồ đo theo thứ tự sau: lần thứ nhất đọc ngay sau khi tăng tải, hai lần sau đọc cách nhau 15 phút và sau đó cứ 30 phút đọc 1 lần cho đến khi đạt độ lún ổn định quy Đớc là độ lún mà sau 30 phút cuối cùng không lún thêm quá 0.1mm.
13. Việc dỡ tải chỉ thực hiện sau khi đã đạt tải trọng lớn nhất. Việc dỡ tải ra khỏi cọc sau khi tiến hành theo từng cấp. Cấp dỡ tải lớn gấp 2 lần cấp gia tải. Sau mỗi cấp dỡ tải phải đọc ngay số chỉ ở các đồng hồ đo và sau đó cứ cách 15 phút ghi 1 lần sau khi giảm tải theo từng cấp dỡ tải.
14. Khi nhổ cọc chuẩn phải đo lực nhổ lớn nhất.
15. Kết quả đóng và thử tĩnh cọc chuẩn phải ghi đầy đủ theo mẫu đã quy định trong tiêu chuẩn 20TCXD 88:1982 ” cọc phương pháp thí nghiệm hiện trường”.
16. Kết quả thử động cọc chuẩn phải được trình bày dưới dạng biểu đồ quan hệ giữa độ chối trung bình và độ sâu chôn cọc (trên trục tung lấy tỷ lệ 1:1000 từ trên xuống dưới biểu diễn độ sâu chôn cọc còn trên trục hoành lấy tỷ lệ 1:1 -từ trái sang phải biểu diễn độ chối của cọc ở độ sâu tương ứng. Biểu đồ thử động cọc dùng để đánh giá mức đồng nhất của đất nền khu vực khảo sát.
17. Kết quả thử tĩnh cọc chuẩn được trình bày dưới dạng biểu đồ quan hệ giữa độ lún của cọc với tải trọng và sự thay đổi độ lún theo từng cấp gia tải -Trên trục hoành lấy tỷ lệ 1cm = 2T từ trái sang phải biểu thị tải trọng còn trên trục tung lấy tỷ lệ 10:1 từ trên xuống dưới biểu thị độ lún. Độ lún của cọc ngay sau khi gia tải và độ lún trong thời hạn gia tải cần trình bày riêng. Trên biểu đồ biểu diễn sự thay đổi độ lún của cọc theo thời gian đối với từng cấp tải trọng thì trên trục hoành lấy tỷ lệ 6mm = 1h biểu thị thời gian, còn trên trục tung lấy tỉ lệ 10:1 biểu thị độ lún.
18. Giá trị riêng của sức kháng giới hạn của cọc thực tế ở từng điểm riêng biệt được xác định trên đồ thị ” Lún tải trọng ” của cọc chuẩn theo công thức:
![]()
Trong đó : Фi và Фci giá trị riêng của sức kháng giới hạn tương ứng với cọc thử hiện trường và cọc chuẩn đôi với độ lún ∆S (mực 6.5 của tiêu chuẩn 20TCXD 21:1986 “Tiêu chuẩn thiết kế móng cọc”)
U và Uc – Chu vi cọc thử hiện trường và cọc chuẩn
19. Sức kháng giới hạn tiêu chuẩn và tính toán của cọc thử hiện trưòng được xác định trên cơ sở các giá trị riêng thu được bằng kết quả thử cọc chuẩn quy định trong điều
2.12 của tiêu chuẩn này.
Phụ lục 2
Phương pháp thí nghiệm cọc bằng tải trọng tĩnh (gọi tắt là thử tĩnh cọc) để tính lực ma sát âm
1. Phải tính lực ma sát âm để xác định sức chịu tải của cọc khi xuyên qua các loại đất có tính nén lún mạnh (than bùn, đất bị than bùn hoá, bùn) trong những trường hợp sau đây:
– Diện tích xây dựng được cấu tạo bởi đất yếu, cần tôn nền bằng đất đắp hoặc đất lấp.
– Gia tải cho nền nhà hoặc công trình với tải trọng quá lớn.
– Trọng lượng bản thân của đất nền được tăng lên khi hạ thấp mực nước ngầm trong khu vực khảo sát.
– Đất nền đang được cố kết (tự nhiên).
– Xây dựng công trình có móng nông, bên cạnh công trình móng cọc.
2. Lực ma sát âm chỉ tác động lên mặt sườn cọc của thân cọc ở những chỗ mà tốc độ lún của đất ma sát cọc lớn hơn tốc độ lún của bản thân móng cọc.
3. Mỗi đợt thí nghiệm được tiến hành ở một nhóm gồm 2 cọc sau khi khu vực khảo sát đã được tải. Số lượng nhóm thí nghiệm được xác định trong phương án kỹ thuật khảo sát, nhưng mỗi công trình phải bố trí ít nhất 2 nhóm thí nghiệm. Nhóm thí nghiệm phải bố trí tại vị trí dự đoán xuất hiện lực ma sát âm lớn
4. Phương pháp tiến hành thí nghiệm cọc trong mỗi nhóm như sau: (hình 1).

Cọc N1 hạ đến độ sâu thiết kế và thí nghiệm nén theo trục cọc bằng tải trọng tĩnh, đúng theo những quy định trong tiêu chuẩn 20TCXD88:1982 “Cọc -phương pháp thí nghiệm hiện trường”. Cọc N2 hạ đến mức tương ứng với điểm trung gian được xác định trong phương án kỹ thuật khảo sát (điểm trung gian là điểm mà có tốc độ lún của móng và của đất ở sát cọc cân bằng nhau). Tiến hành thí nghiệm nhổ cọc theo trục thẳng đứng bằng tải trọng tĩnh theo đúng những quy định trong tiêu chuẩn 20 TCXD 88: 1982 “Cọc -phương pháp thí nghiệm hiện trường”..
5. Dựa vào biểu đồ thí nghiệm nén cọc(N1); Se = f.(Pe) và nhổ cọc N2;Sn = f.(Pn) để lập biểu đồ “lún -tải trọng” cọc S = f.( Pe -Pn) bằng cách trên trục hoành lấy các giá trị của đồ thị Sn = f.(Pn) trừ đi các giá trị tương ứng của đồ thị Se = f.(Pe) khi có cùng một giá trị trên trục tung (độ lún) (hình 2. Dựa vào đồ thị S = f.( Pe -Pn) xác định sức chịu tải nhỏ nhất của cọc jmin (T).

Phụ lục 3
Phương pháp thí nghiệm cọc bằng chấn động
1. Sự giảm sức chịu tải của cọc dưới tác dụng của chấn động được đặc trưng bằng hệ số K0 là tích số của hệ số M1 và M2 thu được theo kết quả thí nghiệm chấn động cọc.
2. Việc thí nghiệm cọc dưới tác dụng chấn động nổ được thực hiện theo trình tự sau.
a) Dùng kích thuỷ lực F dọc trục cọc theo từng cấp tải trọng tăng dần (với độ lún đạt ổn định quy Đớc theo đúng quy định của tiêu chuẩn 20 TCXD 88: 1982 “Cọc -phương pháp thí nghiệm hiện trường” đến giá trị Po để độ lún của cọc đạt trị số theo công thức (16) trong tiêu chuẩn 20 TCXD 21: 1986 “Tiêu chuẩn thiết kế móng cọc”). Trước khi đóng cọc phải lắp thiết bị chống rung (lò xo hay dây cáp) vào giữa kích và kết cấu định vị.
b) ít nhất 24 giờ sau khi độ lún của cọc đạt độ ổn định dưới tác dụng của tải trọng Pm mới được dùng thuốc nổ BB đặt trong lỗ khoan cách cọc thí nghiệm một khoảng cách nhất định để nổ gây chấn động với cường độ yêu cầu. Thời gian gây nổ chấn động kéo dài ít nhất 7 giây. Khoảng cách giữa các lần nổ được xác định dựa vào sự tắt dần dao động của đất (theo băng ghi nổ kiểm tra tính từ lúc xuất hiện sóng có biên độ dao động lớn nhất đến lúc biên độ dao động của một đợt nổ giảm 2 lần). Khoảng thời gian này có thể lấy bằng khoảng 2T và < 3T, trong đó T là chu kỳ dao động của đất xung quanh cọc thí nghiệm.
3. Khi gây chấn động nổ, tải trọng truyền thẳng đứng không nhất thiết phải giữ cố định mà có thể giảm theo mức độ giảm sức kháng của đất. Khi thí nghiệm nổ chấn động, phải ghi được những yếu tố sau: những dao động nằm ngang của đất ở vị trí xung quanh cọc thí nghiệm theo hai phương vuông góc với nhau, độ lún của cọc ∆S trong thời gian thí nghiệm cọc và sự giảm áp lực trọng kích thuỷ lực. Đại lượng véc tơ gia tốc dao động của mặt đất xung quanh cọc thử không nhỏ hơn 2m/s2 đối với chấn động tính toán cấp 7: 4m/s2 đối với cấp 8: và 7m/s2 đối với cấp 9.
4. Tuỳ theo yêu cầu về cường độ nổ, cơ quan khảo sát (khoan nổ mìn) quyết định chọn chiều sâu, đường kính và cách bố trí hố khoan gây nổ. Khi nổ không được phép cho nổ tung đất lên trên mặt.
5. Khối lượng thuốc nổ BB tính bằng kg để đảm bảo yêu cầu về cường độ dao động của đất xung quanh cọc thử được xác định theo công thức (1) và chính xác hoá bằng kết quả nổ kiểm tra một mìn trên diện tích xây dựng.
C = Ctb.α.T2.r2
Trong đó:
Ctb = 2,8.10-3 Kg. s2.m -5 (2)
α: Đại lượng véc tơ gia tốc giao động mặt đất, m/s2.
T: Chu kỳ dao động của đất để tính toán sơ bộ, được lấy như sau T = 0.2s.
r: Khoảng cách từ lỗ khoan nổ đến cọc thử (m) với điều kiện r > 15 + 1.5l; trong đó l:chiều sâu chôn cọc trong đất, (m).
6. Dựa vào kết quả thử cọc bằng chấn động để xác định hệ số mi theo công thức.
7. Công tác thử cọc theo phương pháp tải trọng động ngang phải tiến hành theo trình tự sau.
a) Nén cọc bằng tải trọng tĩnh theo phương thẳng đứng như khi thử cọc bằng chấn động.
b) Dùng máy rung định hướng đặt trên xe quay quanh cọc và gắn chắc vào cọc để tạo ra chấn động theo phương pháp nằm ngang truyền lên cọc trong thời gian kéo dài ít nhất 10 giây với tần số góc cố định không quá 1/10 giây. Có thể dùng máy gây dung kiểu B -1, B -2 hay B ( của Liên Xô) có động cơ dòng điện 1 chiều để tạo ra biên độ dao động cần thiết do thay đổi tần số góc. Muốn cho cọc bị đẩy theo phương nằm ngang cần phải có biên độ dao động không đổi truyền lên mặt đất Ao >1.2y, nhưng không được nhỏ hơn 3mm (y là độ chuyển vị của cọc theo phương nằm ngang ở trên mặt đất khi gia tải chấn động tính toán lên móng cọc).
8. Trong quá trình thí nghiệm chấn động theo phương nằm ngang không cần giữ tải trọng đứng cố định, mà có thể giảm theo mức độ giảm sức kháng của đất. Khi thử cọc như vậy phải ghi được biên độ dao động của cọc trên mặt đất Ad, độ lún của cọc ∆Sng trong thời gian thí nghiệm ở máy phát chấn động kiểm tra và sự giảm áp lực trong kích thuỷ lực.
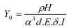
9. Độ chuyển vị ngang của cọc Yo tính bằng mét trên mặt đất khi gia tải chấn động ngang tính toán lên móng cọc xác định theo công thức:
![]()
Trong đó:
E.δ.I là giá trị nêu trong công thức (7) của phụ lục của tiêu chuẩn TCXD 21:1986 “Tiêu chuẩn thiết kế
10. Hệ số r tính như sau:
– Đối với cọc gắn chặt đầu dưới hoặc đầu trên nhô cao làm cho đầu cọc không thể xoay
được thì tính theo công thức (5) và (6)

– Đối với cọc có thể xoay đầu cọc và cọc đứng tự do
![]()
Trong đó các công thức trên kí hiệu như sau:
H – Tải trọng chấn động ngang tính toán truyền lên cọc.
M – Mô men uốn bên ngoài tác dụng lên cọc đứng tự do (Tm)
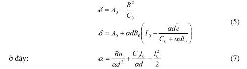
αd – hệ số biến dạng xác định theo công thức (7) của phụ lục của tiêu chuẩn 20 TCVN 21:1986 “Tiêu chuẩn thiết kế móng cọc”
A0,B0,C0 – Các hệ số không thứ nguyên lấy trong bảng 2 của phụ lục của tiêu chuẩn 20 TCVN 21:1986 “Tiêu chuẩn thiết kế móng cọc”
L0 – Khoảng cách từ đầu cọc nhô đến mặt đất (đối với cọc đứng tự do – chiều cao điểm truyền tải trọng ngang so với mặt đất) (cm)
11. Dựa vào kết quả thử cọc bằng chấn động ngang để xác định hệ số m2 theo công thức:
![]()
Trong đó : P0 và P2 là giá trị tải trọng tĩnh truyền lên cọc theo phương thẳng đứng tươg ứng với thời điểm trước và sau khi gây chấn động (T)
∆0 – độ lún của cọc dưới tác dụng của tải trọng P0 trước lúc thủ tục cọc bằng chấn động ngang (cm)
∆2 – độ lún bổ sung của cọc trong thời gian thử cọc bằng chấn động ngang (cm)
12. Công tác thí nghiệm cọc bằng cách nổ gây chấn động ngang được tiến hành trên nhiều cọc khác nhau, nhưng cũng có thể tiến hành trên cùng một cọc.
Trường hợp tiến hành cả hai cách thí nghiệm trên cùng một cọc thì thí nghiệm bằng tải trọng động ngang phải thực hiện sau khi thí nghiệm nổ gây chấn động. Trị số tải trọng tĩnh truyền thẳng đứng bị giảm xuống trong quá trình thí nghiệm do tác dụng nổ chấn động phải được gia tăng đến trị số tải trọng ban đầu Po trước khi tác dụng tải trọng động.
13. Để xác định sức chịu tải của cọc không được phép sử dụng những cọc đã được dùng trong thí nghiệm bằng tải trọng tĩnh để thí nghiệm chấn động.
Các cọc đã dùng trong thí nghiệm chấn động không được phép sử dụng tiếp làm móng cọc của công trình.
14. Cơ quan thiết kế quyết định số lượng cọc đem thí nghiệm chấn động và thường được lấy ít nhất bằng 1/3 số cọc thí nghiệm bằng tải trọng tĩnh truyền theo phương thẳng đứng của công trình ấy.


