Nội dung toàn văn Tiêu chuẩn xây dựng TCXD 168:1989 về thạch cao dùng để sản xuất xi măng
TIÊU CHUẨN XÂY DỰNG
TCXD 168 : 1989
THẠCH CAO DÙNG ĐỂ SẢN XUẤT XI MĂNG
Gypsum for cement production
Tiêu chuẩn này áp dụng cho loại thạch cao thiên nhiên và thạch cao nhân tạo dùng làm phụ gia điều chỉnh thời gian đông kết của xi măng.
1. Yêu cầu kĩ thuật
Thạch cao thiên nhiên và thạch cao nhân tạo dùng làm phụ gia điều chỉnh thời gian đông kết của xi măng phải phù hợp với yêu cầu của tiêu chuẩn này.
Thạch cao thiên nhiên và thạch cao nhân tạo được khai thác và chế tạo theo phương pháp công nghệ quy định.
1.1. Thạch cao thiên nhiên tính theo hàm lượng thạch cao (CaSO4.2H2O) được chia 4 loại ghi trong bảng 1.
Thạch cao nhân tạo tính theo hàm lượng anhydric sunfuric (SO3) được chia 3 loại ghi trong bảng 2.
Bảng 1
|
Chỉ tiêu kĩ thuật |
Phân loại |
|||
|
I |
II |
III |
IV |
|
|
Hàm lượng CaSO4.2H2O không nhỏ hơn (%) Hàm lượng nước liên kết không nhỏ hơn (%) |
95 19,5 |
90 18,83 |
80 16,74 |
70 14,64 |
Bảng 2
|
Chỉ tiêu kĩ thuật |
Phân loại |
||
|
I |
II |
III |
|
|
Hàm lượng anhydric sunfuric không nhỏ hơn % |
45 |
37 |
33 |
Hàm lượng thạch cao (CaSO4.2H2O) trong thạch cao thiên nhiên được xác định theo hàm lượng nước liên kết.
Hàm lượng thạch cao trong thạch cao nhân tạo được xác định theo hàm lượng anhydric sunfuric (SO3).
1.2. Thạch cao thiên nhiên, thạch cao nhân tạo được sử dụng có kích thước từ 0 – 300mm.
Hàm lượng thạch cao có kích thước từ 0 – 5mm không được lớn hơn 5%. Hàm lượng thạch cao có kích thước lớn hơn 300mm không lớn hơn 15%.
Ghi chú: Trong trường hợp thoả thuận của bên tiêu thụ cho phép đá thạch cao thiên nhiên có kích thước lớn hơn 300mm, nhưng không lớn quá 500mm.
2. Quy tắc nghiệm thu
2.1. Đá thạch cao thiên nhiên, thạch cao nhân tạo phải được kiểm tra chất lượng, kích thước tại xí nghiệp sản xuất.
2.2. Thạch cao không được nghiệm thu và cung cấp theo lô, mỗi lô bao gồm thạch cao cùng loại.
2.3. Khối lượng mỗi lô thạch cao được quy định tuỳ thuộc vào công xuất khai thác.
100 tấn với công suất tới 100.000 t/năm
200 tấn với công suất trên 100.000 t/năm
Lượng thạch cao ít hơn 100 tấn hoặc 200 tấn cũng được coi là một lô nguyên.
2.4. Bên tiêu thụ được quyền kiểm tra chất lượng, kích thước thạch cao theo yêu cầu kĩ thuật của tiêu chuẩn này. Lấy mẫu thử tiến hành theo mục 2.4.1. và thử nghiệm theo mục 3.
2.4.1. Nếu thạch cao vận chuyển theo đường sắt thì lấy mẫu trên toa ở các vị trí khác nhau, với khối lượng mẫu ít nhất là 150 kg.
2.4.2. Nếu thạch cao vận chuyển bằng đường ô tô thì mẫu lẫy ít nhất ở 5 ô tô với khối lượng mẫu lấy là 150kg.
2.5. Nếu mẫu thử nghiệm không đạt kết quả theo yêu cầu thì tiến hành thử nghiệm lại lần thứ hai. Lần thứ hai cũng không đạt yêu cầu thì coi như lô đó không đạt tiêu chuẩn.
3. Phương pháp thử
3.1. Chuẩn bị mẫu thử
Trộn đều mẫu đã lấy ở mục 2.4.1.; 2.4.2. Chia hai phần bằng nhau, một phần dùng để thí nghiệm, một phần giữ lại để thử nghiệm lúc cần thiết.
3.2. Xác định kích thước thạch cao thiên nhiên.
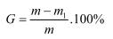
3.2.1. Xác định hàm lượng thạch cao có kích thước từ 0 – 5mm.
3.2.1.1. Dụng cụ thử nghiệm:
Cân kĩ thuật;
Sàng có kích thước lỗ 5 mm.
3.2.1.2. Tiến hành thử
Cân 50 kg, dùng sàng có kích thước lỗ 5mm, sàng những hạt có kích thước nhỏ hơn 5mm, cân lượng mẫu lọt qua sàng.
Hàm lượng đá có kích thước từ 0 – 5mm được xác định theo công thức:
![]()
Trong đó:
G – Khối lượng mẫu thử (kg);
G1 – Khối lượng mẫu lọt qua sàng (kg).
3.2.2. Xác định hàm lượng thạch cao có kích thước lớn hơn 300mm.
3.2.2.1. Dụng cụ thử nghiệm: Cân kĩ thuật;
Compa đo đường kính 300 ± 1mm
3.2.2.2. Tiến hành thử:
Cân 50 kg, dùng compa đo đường kính đá có kích thước lớn hơn 300mm. Cân lượng mẫu có kích thước lớn hơn 300mm. Hàm lượng có kích thước lớn hơn 300mm được tính theo công thức:
![]()
Trong đó:
G – Khối lượng mẫu thử (kg);
G1 – Khối lượng mẫu có kích thước lớn hơn 300mm (kg).
3.3. Xác định hàm lượng thạch cao (CaSO4.2H2O)
3.3.1. Dụng cụ thử nghiệm:
Cân phân tích có độ chính xác 0,0002g;
Tủ sấy có bộ phận điều chỉnh nhiệt độ;
Chén sứ nung Ф 30 – 40mm;
Lò nung;
Bình hút ẩm Ф 200mm;
Cối chày sứ.
3.3.2. Chuẩn bị mẫu thử:
Mẫu thạch cao khi xác định thành phần kích cỡ đem đập nhỏ đến cỡ hạt có kích thước 10mm. Lấy mẫu trung bình 1kg đem nghiền nhỏ đến kích thước 1mm.
Dùng phương pháp chia tư lấy mẫu trung bình khoảng 100g nghiền mịn trong cối sứ đến khi lọt qua sàng No 0,008.
3.3.3. Tiến hành thử:
Lấy mẫu ở mục 3.3.2. đem sấy ở nhiệt độ 50 ± 5oC trong khoảng 3 giờ đến trọng lượng không đổi, cân 2g cho vào chén sứ đã biết khối lượng, đem nung trong lò điện ở nhiệt độ 400 ± 15oC, trong suốt 1 giờ. Lấy mẫu ra đặt vào bình hút ẩm để nguội đến nhiệt độ trong phòng và cân khối lượng. Đem chén sứ có mẫu đó nung lại lần thứ hai ở nhiệt độ đó trong 30 phút để nhận được khối lượng không đổi.
Hàm lượng nước liên kết được tính theo công thức:
![]()
Trong đó:
m – Khối lượng mẫu trước khi nung (g);
m1 – Khối lượng mẫu sau khi nung (g).
Hàm lượng thạch cao (CaSO4.2H2O) được tính theo công thức:
CaSO4.2H2O = 4.77785.G (%)
Trong đó:
G – hàm lượng nước liên kết (%)
4.77785 – hệ số chuyển
3.4. Xác định hàm lượng anhydric sunfuric (SO3)
3.4.1. Dụng cụ thử nghiệm:
Cân phân tích có độ chính xác đến 0,0002g;
Tủ sấy có bộ phận điều chỉnh nhiệt độ;
Lò nung;
Bình hút ẩm 200mm; Cốc thuỷ tinh 100ml;
Bình tia nước, đũa thuỷ tinh;
Phễu thuỷ tinh Ф 50 – 1000mm;
Mắt kính đồng hồ;
Giấy lọc băng xanh.
3.4.2. Hoá chất:
Dung dịch Clorua bari 10%. Hoà tan 100g BaCl2H2O vào 1000ml nước cất. Nước rửa: Dung dịch axit clohydric 2%.
Axit clohydric d = 1,19
Dung dịch NH4OH 25% Thuốc thử Metyl đỏ 0,1%
3.4.3. Tiến hành thử
Lấy mẫu ở mục 3.3.2. Sấy khô ở nhiệt độ 50 ± 5oC đến trọng lượng không đổi, cân 0,5g cho vào cốc thuỷ tinh 100ml tẩm ướt mẫu bằng nước cất, dầm tan hết cục.
Đậy mặt kính đồng hồ thêm từ từ 5ml HCl (d = 1,19) vào miệng cốc. Dùng đũa thuỷ tinh khuấy đều đặt lên bếp cách thuỷ 30 phút. Thỉnh thoảng khuấy đều và dầm tan cục vón. Nếu dùng bếp cát thì giữ nhiệt độ 100 r 20oC. Sau đó lấy ra, cho thêm 50ml nước cất đun sôi và khuấy đều rồi để lắng. Dùng giấy lọc, lọc dung dịch đó, dùng nước cất đun sôi rửa sạch hết ion Clo. Bỏ kết tủa, lấy dung dịch đó để xác định SO3.
Cho 2 – 3 giọt thuốc thử mêtyl đỏ vào dung dịch đó, thêm từng giọt NH4OH 25% và khuấy đều, dung dịch đó cho đến khi dung dịch chuyển từ mầu đỏ sang mầu vàng cho dư 2 – 3 giọt NH4OH 25%. Để lắng và lọc dung dịch đó bằng giấy lọc. Rửa giấy lọc bằng nước cất đun sôi, đến khi hết ion clo. Bỏ kết tủa.
Đun sôi dung dịch này và dung dịch clorua bari 3 – 5 phút, nhỏ từ từ 20 ml BaCl2 đun sôi vào cốc chứa dung dịch, khuấy thật đều, ta thu được kết tủa BaSO4. Để yên dung dịch này trong 10 – 14 giờ, ở nhiệt độ 40 y 60oC. Sau đó, lọc kết tủa bằng giấy lọc, băng xanh và rửa kết tủa bằng nước rửa axit clohydric 2% đun nóng. Sau đó rửa bằng nước cất đun sôi cho đến hết ion clo, chuyển kết tủa và giấy lọc đó vào chén sứ đã biết khối lượng. Đem nung trong lò điện ở nhiệt độ 850oC trong 1 –2 giờ lấy mẫu ra đặt vào bình hút ẩm để nguội đến nhiệt độ trong phòng đem cân;nung lại chén sứ có mẫu ở nhiệt độ đó trong 30 phút để được khối lượng không đổi.
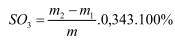
Hàm lượng SO3 được tính theo công thức:
![]()
Trong đó:
m – khối lượng mẫu thử (g);
m1 – khối lượng chén nung không có mẫu (g);
m2 – khối lượng chén nung có mẫu kết tủa (g) 0,343 hệ số chuyển.
4. Vận chuyển và bảo quản
4.1. Thạch cao thiên nhiên hay thạch cao nhân tạo được cung cấp theo lô ở dạng đổ thành đống cho tất cả các loại phương tiện vận chuyển.
4.2. Xí nghiệp, sản xuất cung cấp thạch cao phải có giấy chứng nhận của từng lô, giấy chứng nhận ghi rõ:
Tên xí nghiệp sản xuất;
Loại thạch cao;
Số hiệu lô;
Số hiệu tiêu chuẩn;
Khối lượng xuất.
4.3. Thạch cao cần được bảo quản chu đáo theo từng loại không để tạp chất lẫn vào.


