Nội dung toàn văn Tiêu chuẩn xây dựng TCXD 205:1998 về móng cọc – tiêu chuẩn thiết kế
TIÊU CHUẨN XÂY DỰNG
TCXD 205 : 1998
MÓNG CỌC – TIÊU CHUẨN THIẾT KẾ
Pile foundation – Specifications for design
1. Nguyên tắc chung
1.1. Phạm vi áp dụng của tiêu chuẩn
Tiêu chuẩn thiết kế móng cọc được áp dụng cho các công trình thuộc lĩnh vực xây dựng dân dụng và công nghiệp, giao thông, thuỷ lợi và các ngành có liên quan khác. Những công trình có yêu cầu đặc biệt mà chưa đề cập đến trong tiêu chuẩn này sẽ được thiết kế theo tiêu chuẩn riêng hoặc do kỹ sư tư vấn đề nghị với sự chấp thuận của chủ công trình.
1.2. Các tiêu chuẩn hiện hành có liên quan :
– TCVN 4195 ¸ 4202 : 1995 Đất xây dựng – Phương pháp thử;
– TCVN 2737 ¸ 1995 – Tải trọng và tác động – Tiêu chuẩn thiết kế;
– TCVN 5574 ¸ 1991 – Kết cấu bê tông cốt thép – Tiêu chuẩn thiết kế;
– TCVN 3993 ¸ 3994 : 1985 – Chống ăn mòn trong xây dựng kết cấu bê tông và bê tông cốt thép;
– TCXD 206 : 1998 – Cọc khoan nhồi – Yêu cầu về chất lượng thi công;
– TCVN 160 : 1987 – Khảo sát địa kỹ thuật phục vụ cho thiết kế và thi công móng
– TCXD 174 : 1989 – Đất xây dựng – Phương pháp thí nghiệm xuyên tĩnh;
– TCXD 88 :1982 Cọc – Phương pháp thí nghiệm hiện trướng;
– ASTM D4945 :1989 – Thí nghiệm động cọc biến dạng lớn – Phương pháp tiêu chuẩn ( standard test Method for High-Strain Dynamic Testing of Piles );
– BS 8004 :1986 – Móng (Foundations)
– SINP 2.02.03.85 – Móng cọc ( Svainu fudamentu);
– SINP.2.02.01.83 – Nền nhà và công trình ( Osnovania zdanii i soorujenii)
1.3. Kí hiệu quy ước chính.
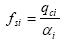
AP – Diện tích tiết diện mũi dọc;
As – Tổng diện tích mặt bên có thể kể đến trong tính toán;
B – Bề rộng của đáy móng quy ước;
c – Lực dính của đất;
d – Bề rộng tiết diện cọc dp – Đường kính mũi cọc;
ES – Mô – đun biến dạng của đất nền;
EP – Mô – đun biến dạng của vật liệu cọc;
FS – Hệ số an toàn chung của cọc;
FSS -Hệ số an toàn cho ma sát biên của cọc;
FSp – Hệ số an toàn cho sức chống tại mũi cọc;
G1 – Giá trị mô – đun của lớp đất xung quanh thân cọc;
G2 – Giá trị mô – đun cắt của lớp đát dưới mũi cọc;
L – Chiều dài cọc;
IL – Chỉ số sệt của đất;
MX,MY – giá trị mô men tác dụng lên đài cọc theo các trục x và y;
N – Tải trọng nén tác dụng lên cọc;
NK – Tải trọng nhổ tác dụng lên cọc;
NH – Tải trọng ngang tác dụng lên cọc;
Nc, Nq,Ny – Thông số sức chịu tải lấy theo giá trị góc ma sát trong nền đất
NSPT – Chỉ số SPT từ thí nghiệm xuyên tiêu chuẩn (SPT);
Qa – Sức chịu tải trọng nén cho phép của cọc;
Qak – Sức chịu tải trọng nhổ cho phép của cọc;
Qah – Sức chịu tải trọng ngang cho phép của cọc;
Qu– Sức chịu tải trọng nén cực hạn của cọc;
Quk– Sức chịu tải trọng nhổ cực hạn của cọc;
Quh– Sức chịu tải trọng ngang cực hạn của cọc;
Qs– Sức chịu tải trọng cực hạn của cọc đơn do ma sát bên;
Qp– Sức chịu tải trọng cực hạn của cọc đơn do lực chống;
S – Độ lún giới hạn của công trình; Sgh -Trọng lực cọc;
W – Lực chống cắt không thoát nước của đất nền;
ca– Lực dính giữa cọc và đất xung quanh cọc;
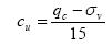
cu – Sức chống cắt không thoát nước của đất nền;
fi – Ma sát bên tại lớp đất thứ i;
fc – Cường độ chịu nén của bê tông;
fpe – Giá trị ứng xuất trước của tiết diện bê tông đã kể đến tổn thất;
fy – Giới hạn dẻo của thép;
li – Chiều dày của lớp đất thứ i trong chiều dài tính toán cọc;
qp – Cường độ chịu tải cực hạn của đất ở mũi cọc;
qc – Sức chống ở thí nghiệm xuyên tĩnh;
u – Chu vi tiết diện ngang thân cọc;
γ – Khối lượng thể tích tự nhiên của đất;
υ – Hệ số poát xông của đất;
φ – Góc ma sát trong của đất
φ n- Góc ma sát giữa cọc và đất;
1.4. Các định nghĩa và thuật ngữ.
– Cọc : là một kết cấu có chiều dài so với bề rộng diện ngang được đóng, ấn hay thi công tại chỗ vào lòng đất, đá để truyền tải trọng công trình xuống các lớp đất đá sâu hơn nhằm cho công trình xây dựng đạt yêu cầu của trạng thái giới hạn quy định.
– Cọc chiếm chỗ: là loại cọc được đưa vào lòng đất bằng cách đẩy xâu ra xung quanh, bao gồm các loại cọc chế tạo được đưa xuống đọ sâu thiết kế bằng phương pháp đóng (được gọi là cọc đóng), ấn (được gọi là cọc ép) và rung, hay loại cọc nhồi đổ tại chỗ mà phương pháp tạo lỗ được thực hiện bằng phương pháp đóng.
– Cọc thay thế : là loại cọc thi công bằng cách khoan lỗ và sau đó lấp đầy bằng vật liệu khác ( ví dụ cọc nhồi đổ tại chỗ ) hoặc đưa các loại cọc chế tạo sẵn vào.
– Cọc thí nghiệm : là cọc được dùng để đánh giá sức chịu tải hoặc kiểm tra chất lượng cọc.
– Nhóm cọc : gồm một số cọc được bố trí gần nhau và cùng có chung một đài cọc.
– Băng cọc : gồm những cọc được bố trí theo 1 – 3 hàng dưới các móng băng.
– Bè cọc : gồm nhiều cọc có chung một đài với kích thước lớn hơn 10 x 10m.
– Đài cọc : là phần kết cấu để liên kết các cọc trong một nhóm cọc với công trình bên trên
– Cọc đài cao : là hệ cọc trong đó đài cọc không tiếp xúc với đất.
– Cọc chống : là cọc có sức chịu tải chủ yếu do lực ma sát của đất tại mũi cọc.
– Cọc ma sát : là cọc có sức chịu tải chủ yếu do ma sát của đất tại mặt bên cọc.
– Lực ma sát âm : là giá trị lực đo đất tác dụng lên thân cọc có chiều cùng với chiều tải trọng của công trình tác dụng lên cọc khi chuyển dịch của đất xung quanh cọc lớn hơn chuyển dịch của cọc.
– Thí nghiệm xuyên tiêu chuẩn SPT (Sandard Penetration Test ): là thí nghiệm thực hiện trong hố khoan bằng cách đóng một ống mẫu có kích thước quy định vào lòng đất bằng lượng rơi tự do của một quả búa là 65,5 kg với chiều cao rơi búa là 76cm.
– Chỉ số NSPT : là kết quả thu được từ thí nghiệm SPT, thể hiện bằng số nhát búa cần thiết để đóng được mũi xuyên vào đất một khoảng là 30cm.
– Sức chịu tải cực hạn : là giá trị sức chịu tải lớn nhất của cọc trước thời điểm xảy ra phá hoại, xác định bằng tính toán hoặc thí nghiệm.
– Sức chịu tải cho phép : là giá trị tải trọng mà cọc có khả năng mang được, xác định bằng cách chia sức chịu tải cực hạn cho hệ số an toàn quy định
– Tải trọng thiết kế (tải trọng sử dụng): là giá trị tải trọng dự tính tác dụng lên cọc.
2. Yêu cầu đối với khảo sát.
2.1. Khảo sát địa chất công trình
2.1.1. Những vấn đề chung
Nhiệm vụ kỹ thuật cho khảo sát điều kiện đất nền phục vụ thiết kế móng cọc do đơn vị tư vấn hoặc thiết kế đề xuất và được chủ đầu tư nhất trí, sau đó chuyển giao cho đơn vị chuyên ngành khảo sát cần nêu rõ dự kiến các loại cọc, kích thước cọc và các giải pháp thi công để làm cơ sở cho các yêu cầu khảo sát.
Trên cơ sở các nhiệm vụ kỹ thuật của chủ đấu tư, đơn vị thực hiện khảo sát lập phương án kĩ thuật để thực hiện.
2.1.2. Các giai đoạn khảo sát
Công việc khảo sát thực hiện theo yêu cầu của Tiêu chuẩn “Khảo sát Địa kĩ thuật phục vụ cho thiết kế và thi công móng cọc “ TCXD 160:1987. Thông thường nội dung khảo sát được thực hiện làm 2 giai đoạn tùy theo yêu cầu của chủ đầu tư, bao gồm:
– Khảo sát sơ bộ, giai đoạn này được thực hiện trong trường hợp quy hoạch khu vực xây dựng, nhằm cung cấp các thông tin ban đầu để khởi thảo các giải pháp công trình và nền móng dự kiến.
– Khảo sát kĩ thuật: giai đoạn này được thực hiện sau khi phương án công trình đã được khẳng định, nhằm cung cấp các chi tiêu tính toán phục vụ cho việc thiết kế chi tiết các giải pháp nền móng.
2.1.3. Khối lượng khảo sát.
– Đối với giai đoạn khảo sát sơ bộ: Số lượng điểm khảo sát cần phải đủ tuỳ theo điều kiện phức tạp của đất nền và độ lớn của diện tích xây dựng để có thể cung cấp các thông tin sơ bộ về đất nền theo độ sâu, trong đó ít nhất một điểm phải khoan đến độ sâu của lớp đất có khả năng chịu lực thích hợp.
– Đối với giai đoạn khảo sát kĩ thuật: Số lượng điểm khảo sát cần phải tuỳ theo độ lớn của diện tích xây dựng nhưng không quá 3 điểm cho khu vực hoặc công trình dự kiến xây dựng. Đối với trụ và mố cầu, tại mỗi vị trí thực hiện ít nhất một điểm thăm dò.
2.1.4. Độ sâu thăm dò
– Đối với giai đoạn khảo sát sơ bộ: tùy theo đặc điểm công trình, độ sâu điểm thăm dò được kết thúc khi NSPT > 50 – 100 và liên tiếp trong 5 lần thí nghiệm tiếp theo. Khoảng cách giữa hai lần thí nghiệm liền nhau không lớn hơn 1,5m.Trong trường hợp không sử dụng thí nghiệm SPT, có thể sử dụng các phương pháp sao cho vẫn thỏa mãn yêu cầu xác định được lớp đất có đủ tin cậy để tựa cọc.
– Đối với giai đoạn khảo sát kĩ thuật: độ sâu thăm dò không nhỏ hơn một trong 2 giá trị sau: 10 lần đường kính dưới độ sâu mũi cọc và 6m. Tuy nhiên đối với các công trình giao thông khi sử dụng nhóm cọc, độ sâu thăm dò dưới mũi cọc không nhỏ hơn 2 lần chiều rộng lớn nhất của nhóm cọc được thiết kế chống trên mặt đá hoặc ngàm trong đá. Khi cọc được thiết kế chống hay ngàm trong đá, tại mỗi vị trí thăm dò cần khoan vào đá một chiếu sâu không nhỏ hơn 6m hay 3 lần đường kính cọc.
2.1.5. Các phương pháp khảo sát phục vụ cho thiết kế :
– Khoan
– Lấy mẫu đất và nước để thí nghiệm;
– Thí nghiệm xuyên tiêu chuẩn ( SPT );
– Thí nghiệm xuyên tĩnh ( CPT );
– Thí nghiệm cắt cánh;
– Các thí nghiệm quan trắc nước dưới đất;
– Thí nghiệm nén ngang trong hố khoan;
– Thí nghiệm xác định sức chịu tải và khả năng thi công cọc;
– V.v…
2.1.6. Các thông số chủ yếu cần cho thiết kế bao gồm :
– Chỉ số Nspt theo độ sâu;
– Giá trị sức chống ở mũi, qc và ma sát bên, fs theo độ sâu;
– Giá trị sức chống cắt,cU theo độ sâu;
– Chế độ nước dưới đất;
– Các chỉ tiêu cơ lí của đất, tính ăn mòn của đất và nước.
2.2. Khảo sát công trình lân cận.
Các công trình lân cận khu vực xây dựng (nhà, cầu, đường, công trình ngầm, hệ thống đường ống kĩ thuật,v.v…) cần được khảo sát hiện trạng để lập biện pháp thi công và thi công cọc chống ảnh hưởng bất lợi đối với việc sử dụng bình thường của các công trình đó. Nội dung và giải pháp khảo sát do kĩ sư tư vấn quyết định.
3. Nguyên tắc cơ bản cho tính toán
3.1. Những yêu cầu chung
3.1.1. Cọc và móng cọc được thiết kế theo các trạng thái giới hạn. Trạng thái giới hạn của móng cọc được phân làm hai nhóm sau:
* Nhóm thứ nhất gồm các tính toán :
– Sức chịu tải giới hạn của cọc theo điều kiện đất nền;
– Độ bền của vật liệu làm cọc và đài cọc;
– Độ ổn định của cọc và móng;
* Nhóm thứ 2 gồm các tính toán :
– Độ lún của nền cọc và móng;
– Chuyển vị trí ngang của cọc và móng;
– Hình thành và mở rộng vết nứt tròn cọc và đài cọc bằng bê tông cốt thép
Chú thích :
1) Khi trong nền đất dưới mũi cọc có lớp đất yếu thì cần phải kiểm tra sức chịu tải của lớp này để đảm bảo điều kiện làm việc tin cậy của cọc.
2) Khi cọc làm việc trong đài cao hoặc cọc dài và mảnh xuyên qua lớp đất nếu có sức chịu tải giới hạn nhỏ hơn 50 kPa (hoặc sức chống cắt thoát nước nhỏ hơn 10 kPa) thì cần kiểm tra lực nén cực hạn của thân cọc.
3) Khi cọc nằm ở sườn dốc ở mép biên cạnh hố đào …, cần kiểm tra tính ổn định của các cọc và móng. Nếu có yêu cầu nghiêm ngặt đối với chuyển vị ngang, phải kiểm tra chuyển vị ngang.
4) Tính toán khả năng chống nứt và độ mở rộng khe nứt của cọc và đài cọc bằng bê tông cốt thép theo tiêu chuẩn thiết kế kết cấu bê tông cốt thép hiện hành.
3.1.2. Tải trọng dùng trong tính toán theo nhóm trạng thái giới hạn đầu là tổ hợp tải trọng cơ bản và tải trọng đặc biệt (động đất, gió,…) còn theo nhóm trạng thái và giới hạn thứ hai theo tổ hợp tải trọng cơ bản với tải trọng như quy định của tiêu chuẩn trọng tải và tác động.
3.1.3. Mỗi phương án thiết kế cần thoả mãn các yêu cầu sau đây:
a) Đảm bảo mọi yêu cầu của trạng thái giới hạn theo quy định;
b) Hệ số an toàn sử dụng cho vật liệu cọc và đất nền là hợp lý;
c) Phương án có tính khả thi về mặt kinh tế – kĩ thuật, đảm bảo việc sử dụng bình thường các công trình lân cận.
3.1.4. Những công trình có một trong những điều kiện sau đây phải tiến hành quan trắc lún theo một chương trình quy định cho đến khi độ lún được coi là ổn định:
– Công trình có tính chất quan trọng
– Điều kiện địa chất phức tạp;
– Dùng công nghệ làm cọc mới;
3.2. Chọn loại cọc
3.2.1. Việc lựa chọn loại cọc về nguyên tắc phải dựa vào điều kiện 3.1.3, trong đó phải đặc biệt chú ý đến các yếu tố chính sau đây:
– Đặc điểm của công trình;
– Điều kiện cụ thể của đất nền và nước ngầm;
– Những ràng buộc khác của hiện trường xây dựng (mức độ ồn và độ rung động cho phép, hiện trạng công trình lân cận, hệ thống ngầm nước dưới đất và vệ sinh môi trường khác …);
– Khả năng thi công của nhà thầu;
– Tiến độ thi công và thời gian cần thiết để hoàn thành;
– Khả năng kinh tế của chủ đầu tư.
3.2.2. Cần nắm vững phạm vi sử dụng của từng loại cọc cũng như khả năng và mức độ hoàn thiện của thiết bị thi công, trình độ nghề nghiệp của đơn vị thi công, nhất là phương án cọc khoan đổ bê tông tại chỗ. Nên lập không ít 2 phương án để so sánh hiệu quả kinh tế kỹ thuật và tính khả thi để lựa chọn.
Chú thích :
1) Theo biện pháp thi công, cọc được phân làm 3 loại chính:
a) Cọc gây dịch chuyển lớn trong quá trình thi công là loại cọc thông thường, được hạ bằng phương pháp đóng, ép hoặc rụng;
b) Cọc gây dịch chuyển nhỏ trong quá trình thi công : bao gồm các loại cọc thép hình có mặt cắt hở, cọc ống mà đất có thể chui vào lòng cọc một cách dễ dàng hoặc cọc được hạ bằng phương pháp đóng, ép và rung có khoan dẫn với đường kính lỗ khoan nhỏ hơn bề rộng tiết diện cọc.
c) Cọc thay thế : là các loại cọc khoan nhồi hoặc cọc được hạ bằng phương pháp đóng, ép và rụng có khoan dẫn với đường kính lỗ khoan bằng lớn hơn bề rộng tiết diện cọc.
2) Khi sử dụng loại cọc dịch chuyển lớn, cần chú ý tới ảnh hưởng bất lợi đến công trình lân cận và cọc được thi công trước đó do dịch chuyển ngang của nền đất. Các dịch chuyển này có thể làm các cọc thi công trước đó bị nặng lên và bị dịch chuyển ngang quá mức cho phép.
Trong quá trình hạ cọc, nền đất bị xáo động, hiệu ứng này cần phải được kể đến trong thiết kế nhóm cọc. Các hiện tượng nêu trên có thể khắc phục được bằng cách sử dụng các loại cọc gây dịch chuyển nhỏ, khoan dẫn trước khi hạ cọc khoan nhồi.
3) Khi sử dụng giải pháp cọc khoan nhồi trong nền đất rời bão hoà nước, nước trong đất, đặc biệt là nước có áp, có thể làm ảnh hưởng đến chất lượng cọc và khả năng chịu tải của các lớp đất xung quanh thân cọc, mặt khác với sự tồn tại của nước tự do trong các lớp đất rời sẽ làm ảnh hưởng đến quá trình linh kết của xi măng. Trong trường hợp này cần sử dụng ống vách để bảo vệ cho cọc.
4) Khi thi công móng cọc cạnh các công trình đặt trên nền đất hay đất bụi ở trạng thái rời, bão hoà nước, nhất thiết phải tránh sử dụng các phương pháp gây tác dụng làm giảm cường độ chống cắt của các lớp đất dưới đáy móng của các công trình lân cận.
3.3. Cường độ của vật liệu cọc
3.3.1. Những vấn đề chung
Cọc chế tạo sẵn phải được thiết kế để có thể chịu được giá trị nội lực sinh ra trong quá trình cẩu, vận chuyển, lắp dựng, thi công hạ cọc và chịu tải với hệ số an toàn và hợp lí. Đối với cọc khoan nhồi, để đảm bảo cường độ, cần chú ý đến độ sạch của đáy hố khoan, độ thẳng đứng của cọc, đảm bảo kích thước thân cọc, độ đồng nhất và đặc chắc của bê tông.
3.3.2. Ứng xuất trong cọc ứng xuất cho phép lớn nhất không được vượt quá giới hạn sau :
– Với cọc bê tông cốt thép : 0.33 fc;
– Với cọc bê tông cốt thép ứng xuất trước : 0.33 fc – 0.27 fpe;
– Với cọc thép hình chữ H cà tròn không có bê tông nhồi : 0.25 fy;
– Với cọc thép hình tròn có bê tông nhồi : 0.25 fy + 0.40 fc;
ứng xuất cho phép lớn nhất (trong quá trình đóng cọc có thể sinh ra hai loại sóng ứng xuất nén và kéo) do đóng cọc, không được vượt quá giới hạn sau:
– Với cọc bê tông cốt thép : 0.85 fc (cho trường hợp sóng nén ); 0.70 fy (cho trường hợp sóng kéo);
– Với cọc bê tông cốt thép ứng xuất trước : 0.85 fc-fpc(cho trường hợp sóng nén); fc+fpc (cho trường hợp sóng kéo);
– Với cọc thép 0.90 fy (cho trường hợp sóng nén và sóng kéo).
Chú thích:
1) Nếu mặt phẳng đầu cọc không vuông góc với hướng rơi của quả búa, lực ngang sẽ xuất hiện gây mô – men uốn cho cọc. Giá trị mô – men này sẽ tác dụng lại dàn búa và làm cho các cọc bị nghiêng.
2) Nếu tiết diện chịu và chậm của cọc không đủ lớn, vật liệu đầu cọc sẽ bị phá hoại. Hiện tượng này thường xảy ra đối với cọc gỗ và cọc thép được đóng trực tiếp mà không có mũi cọc, tuy nhiên nếu mũi cọc không che hết được đầu cọc thì cũng xảy ra các hiện tượng như trên.
3) Nếu cọc phải đóng qua một lớp sét cứng hoặc lớp cát chặt để đi xuống lớp chịu lực sâu hơn, thì do đầu cọc chịu va cham trong thời gian dài nên dễ bị hư hỏng. Mũi cọc khi đâm váo các lớp cuội hoặc sỏi đá cũng dễ bị phá hoại.
4) Khi đóng cọc với quả búa nhẹ so với trọng lượng cọc và chiều cao rơi búa lớn sẽ gây ứng xuất tiếp xúc lớn làm hỏng đầu cọc. Thông thường tỉ số giữa trọng lượng búa và cọc không nhỏ hơn 0.25 và được lấy tùy theo loại búa sử dụng.
5) Khi đóng cọc qua lớp đất yếu, nếu chiều cao rơi búa lớn có thể gây ứng xuất kéo dài làm hỏng cọc.
3.3.3. Cọc bê tông cốt thép đúc sẵn
Cọc được thiết kế với các loại tải trọng thường xuất hiện trong quá trình bốc dỡ, vận chuyển và đóng cọc.
a) Bê tông
Những yêu cầu về bê tông cọc được lấy theo các tiêu chuẩn thiết kế cấu bê tông cốt thép hiện hành. Bê tông cọc cần được thết kế chống được các tác nhân bên ngoài có trong nền đất.
Dựa trên điều kiện làm việc của cọc, mác tối thiểu cho bê tông cọc có thể lấy theo bảng 3.1 :
Bảng 3.1 – Mác tối thiểu của cọc bê tông cọc
|
Điều kiện |
Mác bê tông ( Mpa) |
|
Cọc phải đóng đến độ chối rất nhỏ |
40 |
|
Điều kiện bình thường và dễ đóng |
25 |
b) Cốt thép
Cốt thép cọc phải thoả mãn các điều kiện quy định về chất lượng cốt thép để có thể chịu được các nội lực phát sinh trong quá trình bốc dỡ, vận chuyển và áp lực kéo các mô – men uốn của công trình bên tác dụng vào cọc, cũng cần xét đến trị ứng xuất kéo có thể phát sinh do hiện tượng nâng nền khi đóng các cọc tiếp theo.
Cốt thép chủ yếu cần được kéo dài liên tục theo suốt chiều dài cọc. Trong trường hợp bắt buộc phải nối cốt thép chủ, mối nối cần được tuân theo quy định về nối thép và bố trí mối nối của các thanh.
Trong trường hợp cần tăng khả năng chịu mô – men, thép được tăng cường ở phần đầu cọc, nhưng cần bố trí sao cho sự gián đoạn đột ngột của cốt thép không gây ra hiện tượng nứt khi cọc chịu tác động xung trong quá trình đóng cọc.
Cốt thép dọc được xác định theo tính toán, hàm lượng thép không nhỏ hơn 0,8% đường kính không nên nhỏ hơn 14mm. Đối với những trường hợp sau,nhất là các cọc cho nhà cao tầng, hàm lượng của cốt thép dọc có thể nâng lên 1 – 1.2%:
– Mũi cọc xuyên qua lớp đất cứng;
– Độ mảnh của cọc L/d >60;
– Sức chịu tải thiết kế của cọc đơn khá lớn mà số cọc của 1 dài ít hơn 3 cây.
Cốt đai có vai trò đặc biệt quan trọng để chịu ứng xuất nảy sinh trong quán trình đóng cọc. Cốt đai có dạng móc, đai kín hoặc xoắn. Trừ trường hợp có sử dụng mối nối đặc biệt hoặc mặt bích bao quanh đầu cọc mà có thể phân bố được ứng xuất gây ra trong quá trình đóng cọc, trong khoảng cách bằng 3 lần cạnh nhỏ của cọc tại hai đầu cọc, hàm lượng cốt đai không ít hơn 0,6% của thể tích vùng nêu trên.
Trong phần thân cọc, cốt đai có tổng tiết diện không nhỏ hơn 0,2% và được bố trí với khoảng cách không lớn hơn ẵ bề rộng tiết diện cọc. Sự thay đổi các vùng có khoảng cách các đai cốt khách nhau không nên quá đột ngột
c) Mũi cọc
Mũi cọc có thể là mặt phẳng hay nhọn. trong trường hợp phải đóng xuyên qua quá, sét lẫn cuội sỏi hoặc các loại đất nền khác có thể phá hoại phần bê tông nên mũi cọc cần thiết bằng thép hoặc gang đúc. Trong nền sét đồng nhất, mũi cọc không nhất thiết phải nhọn.
d) Nối cọc
Một cây mọc không nên có quá 2 mối nối (trừ trường hợp cọc thi công bằng phương pháp ép); khi cọc có trên hai mối nối phải tăng hệ số an toàn đối với sức chịu tải. Nói chung mối nối cọc nên thực hiện bằng phương pháp hàn. Cần có biện pháp bảo vệ mối nối trong các lớp đất có tác nhân ăn mòn.
e) Cắt đầu cọc.
Trong trường hợp cọc không được đóng đến độ sâu thiết kế, đầu cọc được cắt đến cao độ sao cho phần bê tông cọc nằm trong đài đảm bảo từ 5 -10cm nếu liên kết khớp cọc dài. Phần cốt thép nằm trong đài được thoả mãn theo yêu cầu của thiết kế. Khi cắt đầu cọc, phải đảm bảo cho bê tông cọc không bị nứt, nếu có, cần đục bỏ phần nứt và vá lại bằng bê tông mới.
g) Kéo dài cọc
Trong trường hợp phải kéo dài cọc mà đầu cọc không được thiết kế mối đặc biệt, thì phải đập bỏ một phần bê tông đầu cọc không ít hơn 200mm và phải tránh làm hỏng bê tông cọc. Thép chủ được hàn theo đúng quy phạm về về hàn cốt thép. Khi không có máy hàn thì có thể sử dụng cách nối bằng phương pháp buộc, chiều dài đoạn buộc không nhỏ hơn 40 lần đường kính cốt thép.
3.3.4. Cọc bê tông ứng suất trước
Thiết kế cọc bê tông cốt thép ứng suất trước cần tuân thủ các yêu cầu của Tiêu chuẩn thiết kế kết cấu bê tông cốt thép hiện hành và cần lưu ý đến các điểm sau:
– Bảo vệ chống ăn mòn;
– Hạn chế phát sinh vết nứt trong quá trình thi công cọc;
– Sử dụng búa có tỉ số trọng lượng búa trọng lượng cọc lớn với chiều cao rơi búa thấp để hạn chế hỏng cọc.
3.3.5. Cọc thép
Cọc thép thường có tiết diện hở như cọc chữ H, Chữ I, hoặc có tiết diện kín như hình tròn, hình hộp. Tỉ lệ giữa đường kính ngoài và chiều dày thành ống không lớn hơn 100. Chiều dày nhỏ nhất của thành ống là 8mm.
a) Thép
Thép sử dụng làm cọc cần tuân theo tiêu chuẩn tương ứng được ban hành về thép hoặc các tiêu chuẩn khác tuỳ theo quy định người thiết kế.
b) Bê tông nhồi
Trong trường hợp có cọc tiết diện kín được nhồi đầy hoặc một phần bê tông để tham gia chịu lực thì lượng xi măng trong hỗn hợp bê tông không nên nhỏ hơn 300 kg/m3 và độ sụt không nhỏ hơn 75mm.
c) Thiết kế
c1. Truyền tải vào cọc
Tải trọng của công trình được truyền xuống cọc thông qua đài cọc bằng bê tông cốt thép, một chiều dài đoạn cọc được ngàm trong đài. Đài cọc phải đủ dày và có lưới thép hoặc thép tấm phủ lên đầu cọc để tránh hiện tượng chọc thủng. Trong phần cọc ngàm đài, cần làm sạch bề mặt thép. Nếu tải trọng công trình được thiết kế cho phần bê tông nhồi trong cọc ống hay cọc tiết diện kín, ứng xuất cho phép tác dụng lên phần bê tông cần tuân theo tiêu chuẩn thiết kế kết cấu bê tông cốt thép hiện hành.
c2. Chống ăn mòn
Trong trường hợp có khả năng xuất hiện hiện tượng ăn mòn vật liệu thép, cần phải có biện pháp chống ăn mòn, theo như tiêu chuẩn quy định trong tiêu chuẩn chống ăn mòn kim loại. Chiều dày của thép được xác định dựa vào tốc độ ăn mòn, tuổi thọ dự kiến của công trình và tăng thêm dự trữ ăn mòn là 2mm.
d) Mũi cọc
Đối với các cọc có tiết diện hở không đòi hỏi phải có mũi. Trong trường hợp các cọc được đóng vào lớp đất cứng, thời gian đóng cọc dài, mũi cọc cần được gia cường bằng thép bản để tăng độ cứng. Khi cọc được đóng vào đá phải có mũi đặc biệt. Đối với các cọc có tiết diện kín, nếu yêu cầu phải bịt đáy cọc thì việc bịt đáy được thực hiện bằng cách làm thêm bản bằng tấm thép hoặc mũi bằng gang đúc hay thép chế tạo sẵn.
3.3.6. Cọc nhồi
Cọc nhồi là cọc được thi công toạ lỗ trước trong đất, sau đó lỗ được lấp đầy bằng bê tông hoặc không có cốt thép. Việc tạo lỗ được thực hiện bằng phương pháp khoan, đóng ống hay các phương pháp đào khác. Cọc nhồi có đường kính bằng và nhỏ hơn 600mm được gọi là cọc nhồi có đường kính nhỏ, cọc nhồi có đường kính lớn hơn 600mm được gọi là cọc nhồi đường kính lớn.
Người thiết kế và người thi công cần có hiểu biết đầy đủ về điều kiện đất nền cũng như đặc điểm của công nghệ dự định thực hiện để đảm bảo các quy định về chất lượng cọc.
a) Bê tông
Bê tông dùng cho cọc khoan nhồi là các loại bê tông thông thường. Ngoài điều kiện về cường độ, bê tông phải có độ sụt lớn để đảm bảo tính liên tục của cọc.
Độ sụt bê tông được nêu trong bảng 3.2. Mác bê tông sử dụng cho cọc nhồi nói chung không thấp hơn 20 Mpa
Bảng 3.2 – Đột sụt của bê tông cọc nhồi
|
Điều kiện sử dụng |
Độ sụt |
|
Đổ tự do trong nước, cốt thép có khoảng cách lớn cho phép bê tông dịch chuyển dễ dàng |
7,5 ¸ 12,5 |
|
Khoảng cách cốt thép không đủ lớn, để cho phép bê tông dịch chuyển dễ dàng, khi cốt đầu cọc nằm trong vùng vách tạm. Khi đường kính dọc nhỏ hơn 600mm. |
10 ¸ 17,5 |
|
Khi bê tông được đổ dưới nước hoặc trong dung dịch sét ben – tô – nit qua ống đổ( tremie) |
>15 |
Thông thường bê tông của cọc nhồi có hàm lượng xi măng không nhỏ hơn 350 kg/m3. Để tránh sự phân tầng do bê tông có độ sụt lớn hoặc bê tông bị mất nước trong điều kiện mùa hè, nên sử dụng các loại phụ gia thích hợp.
b) Cốt thép
Cốt thép dọc của cọc nhồi xác định theo tính toán, đồng thời phải thoả mãn một số yêu cầu cấu tạo sau :
– Trong trường hợp cọc nhồi chịu kéo, cốt thép dọc cần được bố trí theo suốt chiều dài cọc. Khi cốt thép dọc được nối cần phải hàn theo yêu cầu chịu lực. Khi lực nhổ là nhỏ, cốt thép dọc được bố trí đến độ sâu cần thiết để lực kéo được triệt tiêu hoàn toàn thông qua ma sát cọc.
– Đối với cọc chịu nén dọc trục, hàm lượng cốt thép không nên nhỏ hơn 0,2 ¸ 0,4%.Đường kính cốt thép không nhỏ hơn 10mm và bố trí đều theo chu vi cọc.
Đối với cọc chịu tải trọng ngang, hàm lượng cốt thép không nhỏ hơn 0,4 ¸ 0,65%
Cốt đai cọc nhồi thường là Ф6 ¸ Ф10, khoảng cách 200 ¸ 300mm. Có thể dùng đai hàn vòng đơn hoặc đai ốc xoắn chưa liên tục. Nếu chiều dài lồng thép lớn hơn 4m, để tăng cường độ cứng tính toàn khối thì bổ sung thép đai Ф 12 cách nhau 2m, đồng thời các cốt đai này được sử dụng để gắn các miếng kê tạo lớp bảo vệ cốt thép.
Chiều dày lớp bảo vệ cốt thép dọc của cọc nhồi không nhỏ hơn 50mm.
Thông thường cọc nhồi được tạo lỗ từ cao độ mặt đất, đất trong lòng cọc được lấy ra. Hiện tượng dãn đất trong quá trình thi công sẽ gây ra ứng suất kéo cho cọc và nó tồn tại đến khi cọc được tải đủ. Do đó cốt thép cọc cần được bố trí đủ để chịu lực kéo để trên cho đến khi giá trị lực kéo này bị triệt tiêu do tải trọng của công trình truyền xuống.
3.4. Cọc chịu tải dọc trục
Thông thường cọc được đóng thẳng đứng và ngập hoàn toàn trong đất, khi xác định sức chịu tải theo vật liệu cọc thì không cần phải xét đến ổn định của cọc. Đối với cọc chống xuyên qua nền đất yếu (sức chống cắt không thoát nước nhỏ hơn 10 kPa) thì cần xét đến độ ổn định của cây cọc.
3.5. Cọc chịu tải trọng ngang
Cọc được đóng thẳng đứng có thể phải chịu lực ngang trong một số trường hợp như : cọc đài cao, kết cấu bên trên chịu tải trọng ngang, khi xuất hiện lực xô ngang hoặc tải trọng động đất. Tải trọng ngang lúc này cần được kể đến vì có thể sẽ gây bất lợi cho sự làm việc của cọc.
3.6. Cọc xiên
Cọc xiên sử dụng khi tải trọng ngang lớn. Trong tính toán phân bố tải trọng, cọc được xem là làm việc dọc trục và được xác định bằng phương pháp hình học hoặc giải tích. Tuy nhiên trong thực tế luôn có mômen tác dụng lên cọc. Độ lớn của mô- men uốn nối trên phụ thuộc vào độ lún của nhóm cọc, độ nghiêng của cọc và kiểu liên kết giữa cọc và đài cọc.
3.7. Cọc chịu tải lệch tâm
Thông thường tải trọng tại chân cột là tải trọng lệch tâm hoặc có một giá trị tải trọng ngang và mô- men nhỏ hơn so với giá trị tải trọng thẳng đứng. Mặt khác cọc không thể thi công được đúng vị trí nên làm tăng độ lệch tâm của hệ cọc; điều đó có nghĩa là luôn tồn tại một giá trị lệch tâm nào đó. Vì vậy cọc nên được thiết kế để chịu được những tình huống tải trọng nêu trên.
3.8. Cọc chịu nhổ
Trong nhiều trường hợp cọc làm việc với cọc nhổ, như cọc neo, cọc của móng các công trình với dạng tháp, trong đó giá trị tải trọng thẳng đứng là nhỏ hơn so với lực ngang và mô- men. Cọc được thiết kế như các thanh chịu kéo. Nếu cọc được làm bằng bê tông cốt thép, cốt thép sẽ chịu toàn bộ giá trị lực nhổ. Bê tông cọc neo thường bị nứt, vì vậy cần chú ý đến các tác nhân ăn mòn, gây hư hỏng cốt thép cọc làm ảnh hưởng đến khả năng chịu tải lâu dài của cọc.
3.9. Nhóm cọc
3.9.1. Hạ cọc
Trong nhóm cọc, hiện tượng cọc đóng trước bị nâng và bị đẩy ngang trong quá trình thi công nên được lưu ý khi chọn lựa loại cọc, khoảng cách giữa các cọc và trình tự thi công. Trong nền cát, sét đứng và cuội sỏi để có thể đóng tất cả các cọc trong nhóm đến độ sâu thiết kế, thứ tự đóng nên tiến hành từ giữa nhóm ra phía ngoài. Trong trường hợp cần thiết có thể sử dụng biện pháp khoan dẫn. Khi nhóm cọc đặt gần cọc cừ hoặc công trình có sẵn thì nên tiến hành đóng cọc từ phần tiếp giá và ra xa dần để tránh làm dịch chuyển tường cừ và công trình lân cận. Cọc khoan nhồi trong trường hợp này là giải pháp thích hợp
3.9.2. Khoảng cách cọc
Khoảng cách giữa các cọc trong nhóm có quan hệ với điều kiện đất nền, đối xử từng cọc đơn trong nhóm và giá thành của công trình.
Khoảng cách giữa các cọc gồm cần lựa chọn sao cho hiện tượng nâng cọc, làm chặt đất giữa các cọc là nhỏ nhất đồng thời tận dụng được tối đa sức chịu tải của cọc và cần phải đủ để có thể hạ được tất cả các cọc đến độ sâu thiết kế mà không làm hư hỏng các cọc khác và công trình lân cận.
Giá thành của đài cọc và giằng móng cũng làm ảnh hưởng đến việc lựa chọn khoảng cách và kích thước cọc.
Khoảng cách giữa các cọc có thể xác định những điều kiện sau :
a) Phương pháp thi công (cọc đóng hay cọc nhồi);
b) Khả năng chịu tải của nhóm cọc.
Thông thường, khoảng cách tâm giữa hai cọc kề nhau lên lấy như sau :
– Cọc ma sát không nhỏ hơn 3d;
– Cọc chống không nhỏ hơn 2d;
– Cọc có mở rộng dây, không nhỏ hơn 1,5 đường kính mở rộng D hoặc D +1m (khi D > 2m).
3.9.3. Hiệu ứng nhóm
Do sự tương tác giữa các cọc trong nhóm nên độ lún của nhóm cũng như
Sức chịu tải của cọc trong nhóm sẽ khác với cọc đơn. Hiệu ứng này cần được xét đến trong thiết kế. Chiều sâu và vùng ảnh hưởng phần đát dưới nhóm cọc phụ thuộc vào kích thước của nhóm và độ lớn của tải trọng.
3.9.4. Độ lún của cọc.
Độ lún của một cọc ma sát có số lượng cọc nhiều sẽ cao hơn so với nhóm có ít cọc hơn ở cùng một điều kiện đất nền và độ lớn của ứng xuất dưới đáy mũi cọc.
Khi dự tính độ lún của nhóm cọc người ta thường tính cho khối móng quy ước, trong đó diện tích của khối móng quy ước xá định tùy theo điều kiện làm việc của cọc.
3.9.5. Khả năng chịu tải của nhóm cọc
Trong nền đất rời quá trình hạ cọc bằng phương pháp đóng hay ép thường nén chặt đất nền, vì vậy sức chịu tải của nhóm cọc có thể lớn hơn tổng sức chịu tải của các cọc đơn trong nhóm.
Trong nền đất dính, sức chịu tải của nhóm cọc ma sát nhỏ hơn tổng sức chịu tải của các cọc đơn trong nhóm. Mức độ giảm sức chịu tỉa của các cọc đơn trong nhóm. Mức độ giảm sức chịu tải của nhóm cọc trong trường hợp này phụ thuộc vào khoảng cách giữa các cọc trong nhóm, đặc tính của nền đất, độ cứng của đài cọc và sự tham gia truyền tải công trình của đài xuống cọc và đất.
Đối với cọc chống, sức chịu tải của nhóm cọc bằng tổng sức chịu tải của các cọc đơn trong nhóm.
Cọc trong nhóm chịu tải trọng lệch tâm nên bố trí sao cho điểm đặt của hợp lực tải trọng là gần nhất so với trọng tâm của mặt bằng nhóm cọc.
3.10. Ma sát âm
Ma sát âm là giảm khả năng chịu tải của cọc, nhất là đối với cọc nhồi, do đó cần xen xét khả năng xuất hiện của nó khi tính toán sức chịu tải của cọc trong các trường hợp sau:
– Sự cố kết chưa kết thúc của trầm tích hiện đại và trầm tích kiến tạo;
– Sự tăng độ chặt của đát rời tác dụng của động lực;
– Sự lún ướt của đất khi bị ngập nước;
– Tăng ứng suất hữu hiệu trong đất do mực nước ngầm bị hạ thấp;
– Tôn nền quy hoạch có chiều dày lớn hơn 1m;
– Phụ tải trên nền kho lớn hơn 20 kPa;
– Sự giảm thể tích đất do chất hưu cơ có trong đất bị phân huỷ.
– Sự cố chưa kết thúc của trầm tích hiện đại và trầm tích kiến tạo;
– Sự tăng độ chặt của đất rời dưới tác dụng của động lực;
– Sự lún ướt của đất khi bị ngập nước;
– Tăng ứng suất hữu hiệu trong đất do mực nước ngầm bị hạ thấp;
– Tôn nền quy hoạch có chiều dầy lớn hơn 1m;
– Phụ tải trên nền kho lớn hơn 20 kPa;
– Sự giảm thể tích đất do chất hữu cơ trong đất bị phân huỷ.
3.11. Đài cọc
Đài cọc thường được làm bằng bê tông cốt thép, được thiết kế như cấu kiện dưới tác dụng của tải trọng công trình và phản lực của cọc. Tuỳ theo cách liên kết giữa các đài cọc, có thể xem đài cọc làm việc như hệ các kết cấu độc lập, hệ kết cấu phẳng hoặc không gian.
3.12. Liên kết cọc và đài
Cọc có thể được liên kết với đài dưới dạng khớp hoặc ngàm.
Trong trường hợp liên kết khớp, cọc cần được cắm vào đài với chiều sâu 5-10cm. không bắt buộc phải kéo dài cốt thép cọc vào đài.
Trong trường hợp liên kết ngàm, thì chiều dài ngàm cọc hoặc cốt thép cọc kéo dài trong đài lấy theo yêu cầu của tiêu chuẩn thiết kế kết cấu bê tông cốt thép. Trong trường hợp cọc bê tông ứng suất trước, không được dùng cốt thép kéo căng của cọc để ngàm vào đài mà phải cấu tạo hệ cốt thép riêng.
Khi cọc được liên kết ngàm với đài, cần kể đến giá trị mô-men phát sinh tại liên kết.
3.13. Hệ số an toàn
Khi thiết kế móng cọc, các loại hệ số an toàn được áp dụng bao gồm:
a) Hệ số an toàn cho vật liệu làm cọc và đài cọc như là những thành phần của kết cấu, lấy theo các tiêu chuẩn thiết kế kết cấu bê tông cốt thép hoặc thép;
b) Hệ số an toàn áp dụng cho việc xác định sức chịu tải theo đất nền cần kể đến trạng thái tự nhiên của nền đất, độ tin cậy của phương pháp xác định các thông số tính toán và đặc điểm làm việc của công trình.
Thông thường hệ số an toàn được sử dụng nằm trong khoảng từ 1,2 đến 3,0 như trình bày ở các phụ lục A,B,C,D và E.
Chú thích:
1) Khi có yêu cầu đặc biệt về độ lún tuyệt đối và độ lún lệch (nhỏ hơn quy định thông thường), giá trị hệ số an toàn cần phải lấy lớn hơn cận trên, khi độ lún không phải là điều kiện quyết định cho thiết kế, có thể sử dụng một giá trị hệ số an toàn nhỏ hơn cận dưới.
2) Hệ số an toàn nên lấy lớn hơn trong từng trường hợp cọc chịu những tải trọng va chạm lớn, dao động, tải trọng lặp hoặc những tải trọng tương tự mà có thể làm suy giảm cường độ của đất trong quá trình chịu tải.
3) Đối với nhóm cọc, người thiết kế nên xem xét những chỉ dẫn trong mục 3.9. khả năng chịu tả của nhóm cọc cần xem xét đến điều kiện làm việc của khối đất cọc và tổng sức chịu tải của các cọc đơn trong nhóm. Lúc này nên dự tính độ lún của nhóm cọc dưới tải trọng làm việc.
4) Trong trường hợp cọc nhồi có đường kính lớn, thông thường phải thiết kế đến sự khác nhau giữa quan hệ tải trọng- độ lún của sức chống mũi và ma sát bên. sự khác nhau này được thể hiện bằng các giá trị hệ số an toàn như nhau cho mũi cọc và mặt bên khi tính toán sức chịu tải.
4. Sức chịu tải của cọc đơn
4.1. Yêu cầu chung
4.1.1. Sức chịu tải của cọc theo đất nền được dự tính trên cơ sở:
a) Chỉ tiêu của đất nền xác định từ thí nghiệm trong phòng hoặc hiện trường (xem phụ lục A, B, C);
b) Thử cọc bằng tải trọng tĩnh (xem phụ lục E);
c) Thử cọc bằng tải trọng động (xem phụ lục D);
Chú thích:
1) Trong các phương pháp kể trên, phương pháp thử cọc bằng tải trọng tĩnh cho kết quả có độ tin cậy cao nhất.
2) Kết quả thử cọc bằng tải trọng động cần được hiệu chỉnh theo thử tĩnh.
3) Trong thiết kế sơ bộ có thể sử dụng kinh nghiệm đã có trong điều kiện đất nền và công trình tương tự của địa phương.
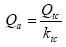
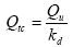
4.1.2. Công thức chung để dự tính sức chịu tải cho phép của cọc đơn theo đất nền là:
(4.1)
Chú thích: Một số giá trị của hệ số an toàn được kiến nghị trong các phụ lục kèm theo tiêu chuẩn này.
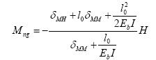
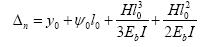
4.1.3. Tính toán cọc theo độ bền của vật liệu theo yêu cầu của các tiêu chuẩn thiết kế kết cấu bê tông cốt thép hoặc thép. Trong trường hợp chịu nén, cọc được xem như một thanh ngàm cứng trong đất tại độ sâu cách đáy đài một khoảng Le (xem phụ lục G).
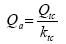
4.1.4. Sức chịu tải cho phép của cọc đơn dùng trong thiết kế lấy bằng giá trị nhỏ nhất từ kết quả tính toán theo điều 4.1.2. và 4.1.3.
4.2. Sức chịu tải trọng nén của cọc đơn
4.2.1. Tải trọng nén truyền lên cọc phải thoả mãn điều kiện:
N ≥ Qa (4.2)
Trong đó Qa lấy theo quy định của điều 4.1.4.
4.2.2. Sức chịu tải cực hạn của cọc theo đất nền bao gồm hai thành phần- sức chống ở mũi và ma sát bên của cọc:
Qu= Qp+ Qs (4.3)
Chú thích:
1) Cần kể đến trọng lượng cọc như tải trọng tác dụng trong trường hợp cọc chịu ma sát âm.
2) Khi cọc làm việc như cọc chống, nên bỏ qua ma sát bên trừ trường hợp có khả năng xẩy ra ma sát âm.
4.3. Sức chịu tải trọng nhổ của cọc đơn
4.3.1. Tải trọng nhổ truyền lên cọc phải thoả mãn điều kiện:
Nk ≤ Qak (4.4)
Trong đó Qak lấy theo quy định của điều 4.1.4.
4.3.2. Sức chịu nhổ cực hạn của cọc theo đất nền lấy bằng tổng ma sát bên cọc có kể thêm trọng lượng cọc:
Quk = Qsk + w (4.5)
Chú thích: Một số phương pháp tính toán khả năng chịu tải trọng nhổ của cọc được giới thiệu trong các phụ lục A và B.
4.4. Sức chịu tải trọng ngang của cọc
4.4.1. Tải trọng ngang H, tác dụng lên cọc phải mãn điều kiện:
H ≤ Qah (4.6)
Trong đó Qah lấy theo quy định của điều 4.1.4.
4.4.2. Sức chịu tải trọng ngang cực hạn của cọc được tính toán khi cọc chịu tác dụng đồng thời của mô men uốn, lực ngang, lực dọc trục và phản lực của nền đất.
Chú thích:
1) ảnh hưởng của liên kết giữa cọc và đài cọc cần được kể đến trong tính toán.
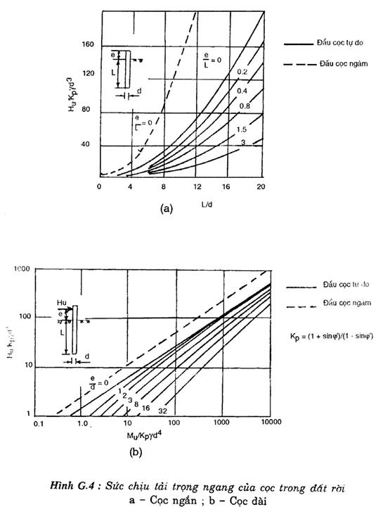
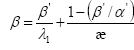
2) Một số phương pháp tính toán sức chịu tải trọng ngang của cọc được giới thiệu trong phụ lục G.
4.5. Thí nghiệm xác định sức chịu tải của cọc
Công tác thí nghiệm nên được thực hiện bởi một đơn vị độc lập và có năng lực chuyên môn cao và thực hiện theo tiêu chuẩn thử cọc hiện hành TCXD 88:1982.
4.5.1. Phương pháp thử bằng tải trọng động
4.5.1.1. Thí nghiệm động được kết hợp với thí nghiệm tĩnh để xác định quy trình đóng cọc thích hợp và sức chịu tải của cọc.
4.5.1.2. Thí nghiệm động bao gồm hai phương pháp thông dụng:
a- Dùng công thức động để dự tính sức chịu tải theo độ chối khi đóng thử (xem phụ lục D);
b- Dùng lí thuyết truyền sóng ứng suất để xử lí kết quả đo biến dạng và gia tốc dịch chuyển của đầu cọc khi đóng thử theo tiêu chuẩn ASTM D4945-89.
Chú thích: Kết quả do biến dạng và gia tốc dịch chuyển của cọc khi đóng còn được sử dụng để phát hiện các khuyết tật trong cọc hoặc kiểm tra chiều dài cọc.
4.5.1.3. Công tác thí nghiệm động bằng cách đo độ chối phải được thực hiện theo yêu cầu của tiêu chuẩn về thí nghiệm cọc hiện hành với số lượng tới 1% tổng số cọc tại công trình đang xét nhưng không ít hơn 5 cọc.
4.5.2. Phương pháp thử bằng tải trọng tĩnh.
4.5.2.1. Phương pháp này bao gồm:
– Thí nghiệm nén dọc trục;
– Thí nghiệm nhổ dọc trục;
– Thí nghiệm nén ngang vuông góc với trục cọc.
Chú thích: Tùy theo yêu cầu, công tác thí nghiệm có thể được thực hiện trên cọc đơn hoặc trên nhóm cọc.
4.5.2.2. Số lượng cọc thí nghiệm trong giai đoạn khảo sát (trước khi thiết kế) theo tiêu chuẩn thử cọc hiện hành và được lựa chọn trên cơ sở:
– Điều kiện đất nền và sự biến động chiều dày của nó trong phạm vi công trình;
– Quy mô và tầm quan trọng của công trình;
– Kinh nghiệm đã có đối với cùng loại cọc trong điều kiện đất nền địa phương;
– Trình độ công nghệ thi công cọc;
– Số lượng cọc dự kiến sử dụng trong công trình.
4.5.2.3. Nên bố trí cọc thí nghiệm tại các vị trí có điều kiện đất nền điển hình của khu vực xây dựng.
4.5.2.4. Việc thi công cọc thí nghiệm được thực hiện bằng những thiết bị và quy trình mà dự kiến sẽ sử dụng khi thi công hàng loạt.
4.5.2.5. Quy trình thí nghiệm cọc đo đơn vị tư vấn lập ra trên cơ sở đặc điểm của đất nền tải trọng công trình và phù hợp với quy định của tiêu chuẩn về thí nghiệm cọc hiện hành.
4.5.2.6. Trong quá trình thi công và trước khi nghiệm thu công tác thi công, có thể thí nghiệm bổ sung một số cọc. Số lượng và vị trí cọc thí nghiện bổ sung được xác định trên cơ sở hồ sơ theo dõi của tư vấn giám sát xây dựng.
Chú thích:
1) Tải trọng thử phải đạt tới trong thí nghiệm nén tĩnh ở giai đoạn này phải lớn hơn sức chịu tải thiết kế của cọc và do tư vấn thiết kế quyết định.
2) Đánh giá chất lượng thi công cọc nói chung được trình bày trong mục 7 của tiêu chuẩn này.
5. Tính toán nền móng cọc theo biến dạng
5.1. Việc tính toán móng cọc ma sát và nền của nó theo biến dạng được thể hiện thông qua độ lún tuyệt đối, lún lệch, chuyển vị ngang, nghiêng hoặc xoắn của công trình trên cọc và móng cọc. Các đặc trưng biến dạng tính toán nói trên phải thoả mãn điều kiện:
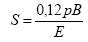
S ≤ Sgh (5.1)
Ở đây S được hiểu như bất kì đặc trưng tính toán biến dạng nào cần xem xét; còn Sgh là trị phép của đặc trưng biến dạng đó.
Chú thích:
1) Các đặc trưng biến dạng nói trên (xem phụ lục H) có thể là:
– Độ lún tuyệt đối của từng móng độc lập Si;
– Độ lún trung bình của nền công trình Stb;
– Độ lún lệch tương đối ΔS/L của 2 móng gần nhau, tức là tỉ số giữa hiệu số của hai chuyển thẳng đứng với khoảng cách L giữa chúng;
– Độ nghiêng I của móng hay của công trình nói chung-tức là tỉ số giữa hiệu số độ lún của những điểm ở mép ngoài cùng của móng với chiều rộng hoặc chiều dài của móng;
– Độ võng hoặc vồng lên tương đối f/L- tức là tỉ số giữa mũi tên võng f với chiều dài của phần công trình chịu uốn;
– Độ cong của đoạn chịu uốn ρ1/ R ;
– Góc xoắn tương đối của công trình υ= Δβ / L ;
– Chuyển vị ngang của móng u, v.v.
2) Trong trường hợp cần kể đến quá trình lâu dài thì phải tính độ lún theo thời gian. độ lún của móng cọc trong quá trình xây dựng cho phép không kể đến nếu như chúng không ảnh hưởng đến tính sử dụng thuận lợi của công trình.
3) Trị giới hạn của các đặc trưng biến dạng nói trên có thể thay đổi khi dùng giải pháp xây dựng nhằm giảm tính nền lún và tính không đồng nhất của nền cũng như các giải pháp cấu tạo nhằm giảm tính nhạy của công trình đối với biến dạng của nền.
5.2. Tính toán móng cọc theo biến dạng nên tiến hành ở mọi loại đất trừ trường hợp cọc tựa trên đất hòn lớn, cát chặt và sét cứng. Việc tính toán này cũng cần thiết khi cọc chịu tải trọng ngang và có thể gây ra những chuyển vị ngang đáng kể.
5.3. Tải trọng dùng trong tính toán biến dạng là tổ hợp tải trọng cơ bản truyền lên móng kể cả tải trọng trên nền kho hoặc thiết bị đặt gần móng; trong trường hợp có tôn nền cao hơn 2m bằng đất và trong nền cọc có lớp đất yếu dày hơn 30cm hoặc khi xuất hiện áp lực phụ thêm do hạ mực nước ngầm thì cần kể đến các tác động này trong tính toán độ lún của móng.
Chú thích:
1) Nói chung không cần tiến hành dự tính độ lún của móng cọc trong các trường hợp sau đây: cọc chống, cọc đơn chịu nhổ và nhóm cọc chịu lực nhổ vì khi tính toán chúng theo sức chịu tải hiển nhiên đảm bảo được về biến dạng.
2) độ lún của móng cọc chống chủ yếu là do biến dạng đàn hồi của vật liệu thân cọc dưới tác dụng tải trọng công trình độ lún này có thể xác định bằng độ lún của cọc đơn lấy từ kết quả nén tĩnh ứng với tải trọng ở đầu cọc hoặc cũng có thể tính toán theo phương pháp trình bày ở phụ lục H.
3) Không cần dự tính độ lún mố cầu đường sắt có nhịp dưới 50m và mố cầu đường bộ có nhịp dưới 100m thuộc hệ kết cấu tĩnh định. Trong trường hợp cần dự tính độ lún của mố cầu, có thể thực hiện theo điểm của chú thích này với một số bổ sung sau đây.
4) Cọc trong mố làm việc như cọc chống;
5) Khoảng cách giữa các tim cọc lớn hơn 6d;
6) Số hàng cọc theo chiều dọc không quá 3 hàng.
7) Việc tính toán móng cọc cho các mố cầu và cống phải thực hiện theo nhóm trạng thái giới hạn về độ bền có kiểm tra độ lún và chuyển vị ngang đỉnh mố.
5.4. Tuỳ theo kích thước của móng và cách bố trí của cọc trong móng, việc dự tính độ lún có thể phân ra: độ lún của nhóm cọc, băng cọc, bè cọc hoặc cọc đơn.
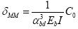
5.4.1. Độ lún của nhóm cọc (khi cọc được bố trí dưới các cột, trụ hoặc mố cầu…) thường dựa vào kích thước của móng quy ước với tải trọng tương ứng để xác định. độ sâu và kích thước của móng quy ước thay đổi theo điều kiện cụ thể của đất nền (xem phụ lục H).
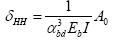
5.4.2. Độ lún của nhóm cọc (khi cọc được bố trí dưới các móng băng thành một và hai hàng với khoảng cách giữa các cọc 3-4d) được tính toán theo lí thuyết bài toán phẳng (xem phụ lục H).
5.4.3. Độ lún của bè cọc (khi bố trí đều khắp dưới các móng bè có kích thước lớn hơn 10 x 10m) có thể xác định bằng phương pháp lớp biến dạng tuyến tính (xem phụ lục H).
5.4.4. Độ lún của cọc đơn (thường là cọc nhồi không hoặc có mở rộng đáy, bố trí dưới các cột) được tính toán theo lí thuyết bán không gian biến dạng hoặc theo kết quả nén tĩnh cọc tại hiện trường.
6. Thiết kế móng cọc
6.1. Yêu cầu chung
6.1.1. Tải trọng lấy trong thiết kế móng cọc cần theo chỉ dẫn ở điều 3.1.2. của tiêu chuẩn này.
6.1.2. Khi thiết kế móng cọc cần thực hiện các công việc sau:
– Thu nhập và nghiên cứu các dữ kiện của nền đất và công trình bên trên;
– Tải trọng cà tổ hợp tải trọng trên móng cùng đặc điểm của tác động và những khả năng thay đổi tải trọng trong quá trình sử dụng công trình;
– Kiểu móng cùng biến dạng giới hạn tuyệt đối tương đối của công trình;
– Lựa chọn loại móng cọc, lớp đất chịu lực để đặt mũi cọc và xác định kích thước cọc, bố trí cọc trong móng.
6.1.3. Thiết kế đài cọc phải bảo đảm các yêu cầu về cấu tạo của tiêu chuẩn thiết kế kết cấu bê tông cốt thép, trong đó cần kiểm tra chọc thủng, lực cắt và chịu uốn của đài cọc.
6.1.4. Liên kết đài cọc với cọc cần theo chỉ dẫn ở điều 3.11 và 3.12 của tiêu chuẩn này.
6.1.5. Độ sâu đáy đài cọc được quy định tuỳ thuộc vào các giải pháp kết cấu phần dưới mặt đất của nhà và công trình (có tầng hầm hoặc tầng hầm kĩ thuật) và theo thiết kế san nền của khu vực xây dựng (đào bớt đi hoặc đắp cao thêm), còn chiều dày của đài được xác định bằng tính toán theo quy định của tiêu chuẩn thiết kế kết cấu bê tông cốt thép.
6.1.6. Tải trọng tính toán trên cọc N nên xác định khi xem móng như là kết cấu khung chịu tải trọng đứng, ngang và mô men uốn. Tải trọng dọc trục tác dụng lên từng cọc trong nhóm gồm các cọc thẳng đứng xác định theo công thức:
(6.1)
Trong đó:
P- tải trọng thẳng đứng tính toán tác dụng lên nhóm cọc, kN;
Mx, My- Mô men tính toán ứng với các trục chính x và y của mặt bằng nhóm cọc tại tọa độ đáy đài cọc, kN.m;
xi và yi– toạ độ của cọc thứ i, m;
x và y- toạ độ của cọc mà ở đó tải trọng tác dụng lên cọc được tính toán, m.
Chú thích:
1) Việc phân bố tải trọng giữa các cọc của móng dài cao theo chỉ dẫn của điều 6.2.5. của tiêu chuẩn này.
2) Khi có cọc xiên thì tải trọng phân bố cho các cọc theo cách giải hệ này như kết cấu khung.
6.1.7. Tải trọng ngang tác dụng lên từng cọc trong nhóm gồm các cọc thẳng đứng và có cùng tiết diện ngang, được phân bố đều lên các cọc trong nhóm.
6.2. Đặc điểm thiết kế móng cầu và công trình thuỷ lợi
6.2.1. Thông thường đối với trụ cầu và các công trình thuỷ lợi có tải trọng ngang lớn, việc dùng cọc xiên thường là giải pháp hợp lí. Móng cọc của các mố cầu nên bố trí một hoặc vài hàng cọc xiên theo phía lòng sông. Móng cọc của trụ cầu nên có đài cao nên thiết kế với cọc xiên theo bốn hướng cùng với cọc thẳng đứng.
6.2.2. Đối với móng của mố và trụ cầu, do đặc điểm làm việc của nó, cần thiết kế theo các yêu cầu bổ sung sau đây:
a) Kết cấu của móng cọc và độ sâu mũi cọc được thiết kế có thể kể đến độ bào mòn và xói lở của đất do dòng chảy;
b) Cọc của các mố cầu cần kiểm tra dưới tác dụng của áp lực ngang của đất;
c) Cọc cho phép chống lên đá hoặc chôn vào đá. Trong trường hợp trên mặt đá có tầng trầm tích không bị bào mòn với điều kiện trong tầng ấy cọc tiếp thu hết tác dụng của mô men uốn thì cho phép không ngàm cọc vào đá. Khi không thoả mãn điều kiện vừa nêu thì độ sâu chôn cọc vào đá không nhỏ hơn 0,5n khi đá có cường độ chống nén, lớn hơn 50Mpa và không nhỏ hơn 1m trong các loại đá còn lại.
Chú thích: tính toán cụ thể khi mũi cọc tựa lên nền đá có thể tham khảo điều A.2 của phụ lục A thuộc tiêu chuẩn này.
6.2.3. Khi thiết kế móng cọc cho cầu, cần chú ý:
a) Các kích thước của đài cọc (hoặc của đệm nối bằng bê tông cốt thép) trên mặt bằng phải quy định sao cho khoảng cách từ mép đài đến cọc gần nhất không được nhỏ hơn 0,25m (khoảng cách mép-mép);
b) Đối với cọc có đường kính lớn hơn 2m, bản đài không cần có mép thừa.
6.2.4. Đáy đài cọc của móng cầu cần kể đến chiều sâu dòng nước, việc xói lở đã nêu ở điều
6.2.2 cũng như sức chịu tải tính toán và độ bền lâu dài của móng trong điều kiện khí hậu địa phương.
6.2.5. Việc phân bố tải trọng giữa các cọc của móng đài cao nên xác định bằng cách tính chúng như kết cấu khung.
6.2.6. Móng cọc của các mố cầu và của các trụ trung gian trên các mái dốc nên kiểm tra độ ổn định chống trượt sâu.
6.3. Đặc điểm thiết kế móng cọc trong những vùng có động đất
6.3.1. Khi thiết kế móng cọc trong những vùng có động đất, ngoài những yêu cầu của tiêu chuẩn này còn cần phải tuân theo những yêu cầu về xây dựng trong những vùng có động đất được quy định ở tiêu chuẩn về tải trọng và tác động.
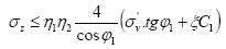
6.3.2. Móng cọc của nhà và công trình có kể đến tác động của động đất được tính toán với tổ hợp tải trọng đặc biệt theo trạng thái giới hạn thứ nhất. ở đây cần chú ý:
a) Xác định khả năng chịu tải của cọc dưới tác động của tải trọng nén và nhổ theo yêu cầu nêu trong tiêu chuẩn này;
b) Kiểm tra cọc theo điều kiện bền vật liệu dưới tác dụng đồng thời của các lực tính toán (lực nén, mô men uốn và lực ngang);
c) Kiểm tra độ ổn định của đất theo điều kiện hạn chế áp lực truyền lên đất qua các mặt bên của cọc.
Ngoài những yêu cầu nêu ở điều này, trong tính toán còn cần phải chú ý đến những yêu cầu bổ sung nêu trong phụ lục I của tiêu chuẩn này.
Chú thích: Khi xác định trị số tính toán của tải trọng động đất tác dụng lên nhà và công trình, thì móng cọc dài cao nên xem như tầng khung cuối cùng.
6.4. Đặc điểm thiết kế móng cọc cho các tuyến đường dây tải điện trên không;
6.4.1. Khi khảo sát địa chất công trình cho các tuyến đường dây tải điện trên không với các trụ điện có khoảng chuyển tiếp lớn cần phải thực hiện toàn bộ nội dung nêu ở chương 2 của tiêu chuẩn này. trong trường hợp còn lại cho phép thực hiện không ít hơn 3 điểm thăm dò cho mỗi km chiều dài tuyến.
Chú thích: Sự phân loại các đường dây tải điện trên không và khoảng chuyền tiếp được lấy theo tiêu chuẩn lắp đặt thiết bị điện.
6.4.2. Chiều sâu hố khoan quy định như sau:
a) Đối với trụ trung gian- sâu hơn 2m dưới mũi cọc;
b) Đối với trụ góc- sâu hơn 4m dưới mũi cọc;
6.4.3. Móng cọc cho các trụ đường dây và trạm phân phối điện ngoài trời được ghép dùng trong tất cả các loại đất.
6.4.4. Không được phép dùng các cọc dạng hình kim, hình nêm và hình thoi cho móng trụ đường dây.
6.4.5. Đối với các cọc chịu tải trọng ngang hoặc tải trọng nhổ, chiều sâu hạ cọc vào trong đất không được nhỏ hơn 4m, và không 3m đối với móng của các trụ gỗ.
6.4.6. Tính toán sức chịu tải của cọc móng đường dây tải điện trên không được trình bày trong phụ lục K.
6.5. Thiết kế móng cọc trong một số điều kiện đặc biệt khác
6.5.1. Móng cọc trong đất than bùn và đất đắp cần phải được thiết kế có kể đến ma sát âm của đất.
6.5.2. Móng cọc trong đất lún ướt nên thiết kế xuất phát từ điều kiện là đất trong móng có thể bị ướt hoàn toàn ở độ no nước G≥ 0,8.
Khi khảo sát địa chất công trình ở nơI xây dựng có đất lún ướt nên xác định đất lún ướt và tách lớp đất có độ lún ướt tương đối δs < 0,02 ở áp lực p= 3 kg/c
6.5.3. Các loại đất lún ướt và các loại đất khác mà các đặc trưng bền và biến dạng chúng giảm đi khi ướt, trong mọi trường hợp khi chiều dày của các lớp ấy đến 3cm thỉ nên dùng cọc xuyên suốt các lớp và chôn vào lớp và chôn vào lớp không lún ướt.
6.5.4. Khi thiết kế móng cọc trong đất trương nở cho phép cọc xuyên hết chiều dày đất trương nở hoặc xuyên một phần (chống mũi cọc trực tiếp lên đất trương. tuy nhiên cần phải có những tính toán móng cọc theo các trạng thái giới hanh trong đất trương nở có kể đến kết quả nén tĩnh cọc và độ trồi của cọc khi nở đất.
6.5.5. Đối với vùng đất trương nở, ngoài những yêu cầu chung để thiết kế móng cọc trình bày trong tiêu chuẩn này, còn phải thực hiện đầy đủ các chỉ dẫn bổ sung sau đây:
a) Trên vùng xây dựng phải tiến hành thử tĩnh cọc có làm ướt đất và xác định độ nâng cao toàn bộ mặt đất khi nở;
b) Việc thử tĩnh cọc cần bắt đầu gia tải đối với cọc đóng trong đất có độ ẩm tự nhiên, cho tới tải trọng bằng tải trọng dự kiến dùng trong tính toán cọc. Sau khi gia tải cần làm ướt đất và đo chuyển vị của cọc;
c) Cùng lúc kết thúc quá trình trương nở của đất, việc thử cọc phải tiến hành theo phương pháp như là đối với đất thông thường, không trương nở.
6.5.6. Khi thiết kế móng cọc trong vùng khai thác mỏ, ngoài những yêu cầu của tiêu chuẩn thiết kế nhà và công trình trong vùng khai thác mỏ; ở đây cùng với những tài liệu khảo sát công trình để thiết kế móng cọc trình bầy ở đây cùng với những tài liệu về khảo sát địa chất mỏ và các thông tin về những biến dạng dự tính của mặt đất.
6.5.7. Việc tính toán móng cọc của nhà và công trình xây ở vùng khai thác mỏ cần theo các trạng thái giới hạn bằng tổ hợp đặc biệt của tải trọng, có kể đến tác động theo các phía nền bị biến dạng khi khai thác.
6.5.8. Những tính toán khác về móng cọc xây dựng trong vùng đất lún ướt, vùng đất trương nở hoặc vùng khai thác mỏ có thể tham khảo SNIP 2.02.03-85 và các tài liệu liên quan khác.
7. Yêu cầu kĩ thuật về đánh giá chất lượng cọc
7.1. Cọc đóng và ép
7.1.1. Trước khi tiến hành thi công cọc cần lập chương trình thi công và biện pháp quản lí chất lượng cọc. Trong hồ sơ cần thể hiện:
– Loại cọc, cấu tạo cọc và hồ sơ đúc cọc của nơI sản xuất;
– Vị trí và các sai số cho phép;
– Chiều dài cọc, cao độ mũi cọc và đỉnh cọc dự kiến;
– Số lượng cọc;
– Trình tự đóng ép cọc;
– Yêu cầu chính đối với thiết bị đóng và ép cọc, khi cần có thể phải kiểm tra một số thông số chính của thiết bị trước khi thi công hàng loạt;
– Dự kiến các khó khăn có thể gặp trong quá trình thi công và biện pháp xử lí;
– Sức chịu tải cho phép của cọc.
7.1.2. Quá trình đóng/ép tất cả các cọc phải được theo dõi và lập lí lịch thi công cho từng cọc.
7.1.3. Lí lịch cọc bao gồm các điểm sau:
– Loại cọc và thiết bị hạ cọc;
– Số kí hiệu của cọc;
– Nơi và ngày sản xuất cọc;
– Tiết diện cọc, chiều dài và loại cốt thép ( cho cọc bê tông cốt thép);
– Thời gian thi công(ngày, giờ bắt đầu, kết thúc) và các sự cố gặp phải khi thi công cùng biện pháp khắc phục;
– Đối với cọc đóng cần ghi các giá trị trọng lượng búa, chiều cao rơI búa, số nhát đập, độ chối. đối với cọc ép cần ghi chi tiết lực ép cho từng đoạn và lực ép cuối cùng;
– Các chướng ngại vật gặp phải khi thi công;
– Sai lệch vị trí, độ nghiêng và cao độ thực tế của đỉnh và mũi cọc.
7.1.4. Hồ sơ theo dõi thi công cọc cần được lưu trữ theo quy định của nhà nước. Bản vẽ hoàn công cọc cần được lưu trữ lâu dài.
7.1.5. Thí nghiệm kiểm tra chất lượng thi công có thể được bổ sung nếu việc theo dõi thi công cho thấy cọc không đạt chất lượng yêu cầu. Các thí nghiệm cần thực hiện gồm:
– Khảo sát lại đất nền;
– Đóng vồ cọc nếu cọc chống bị trồi lên khi đóng các cọc lân cận;
– Kiểm tra phát hiện khuyết tật của cọc do thi công;
– Kiểm tra sức chịu tải;
– Kiểm tra vật liệu thân cọc (độ đặc chắc và cường độ).
7.2. Cọc nhồi
7.2.1. Trước khi tiến hành thi công cần lập chương trình thi công và biện pháp quản lí chất lượng cọc. Trong hồ sơ cần thể hiện:
– Loại cọc, cấu tạo cọc;
– Vị trí và các sai số cho phép;
– Chiều dài cọc, cao độ mũi cọc và đỉnh cọc dự kiến;
– Số lượng cọc;
– Trình tự thi công cọc;
– Thiết bị và công nghệ thi công đã ổn định trước khi thi công hàng loạt;
– Sức chịu tải của cọc và tỉ lệ % cọc cần kiểm tra chất lượng;
– Các khó khăn có thể gặp trong quá trình thi công cùng với biện pháp dự kiến xử lí.
7.2.2. Quá trình thi công của tất cả các cọc phải được theo dõi hết sức chặt chẽ. Phải lập lí lịch thi công cho từng cọc, có chữ kí xác nhận của các bên có liên quan.
7.2.3. Lí lịch cọc bao gồm các điểm sau:
– Loại cọc và thiết bị tạo lỗ;
– Số kí hiệu của cọc;
– Đường kính cọc, chiều dài, độ sạch đáy lỗ, độ nghiêng của lỗ khoan;
– Thời gian thi công (ngày, giờ bắt đầu, kết thúc) và đặc biệt là các sự cố gặp phải khi thi công cùng biện pháp khắc phục.
– Loại cốt thép;
– Mác bê tông, độ sụt, thể tích bê tông, phương pháp đổ bê tông;
– Tỉ trọng, độ PH, độ nhớt và thành phần hạt của dung dịch khoan (nếu dùng);
– Áp lực bơm vữa hoặc bê tông, đường kính trong và ngoài của ống bơm;
– Các lớp đất đã gặp trong quá trình khoan, quá trình thổi rửa đáy lỗ khoan;
– Các chướng ngại vật gặp phải khi thi công;
– Sai lệch vị trí và cao độ thực tế của đầu và mũi cọc;
– Kết quả kiểm tra chất lượng cọc theo quy định của chương trình quản lí chất lượng.
7.2.4. Hồ sơ theo dõi thi công cọc cần được lưu trữ theo quy định của nhà nước.
7.2.5. Nếu qua kết quả theo dõi và kiểm tra cho thấy cọc không đạt chất lượng yêu cầu, cần bổ sung một số thí nghiệm kiểm tra. Các thí nghiệm cần thực hiện lúc này gồm:
– Khảo sát lại đất nền;
– Thí nghiệm kiểm tra độ đồng nhất của vật liệu cọc bằng các phương pháp gián tiếp (siêu âm, rung, biến dạng nhỏ, biến dạng lớn);
– Khoan lấy mẫu bê tông cọc để xác định trực tiếp chất lượng bê tông, trong đó có cường độ;
– Kiểm tra kích thước thước hình học (đường kính, độ sâu,..);
– Thí nghiệm kiểm tra sức chịu tải của cọc.
Chú thích: việc kiểm tra chất lượng thi công thực hiện theo tiêu chuẩn TCXD 206:1998 “cọc khoan nhồi – yêu cầu về chất lượng thi công”.
PHỤ LỤC A
XÁC ĐỊNH SỨC CHỊU TẢI CỦA CỌC THEO CHỈ TIÊU CƠ LÍ CỦA ĐẤT NỀN (THEO SNIP 2.20.03.85)
A.1. Các chỉ tiêu cơ lí dùng trong tính toán của phụ lục này được xác định theo TCVN 4195: 1995 ¸ TCVN 4202: 1995- Đất xây dựng.
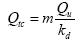
Sức chịu tải cho phép của cọc đơn, theo đất nền, được tính:
(A.1a)
Qa– sức chịu tải cho phép tính toán theo đất nền bằng phương pháp nêu trong phụ lục này;
Qtc– sức chịu tải tiêu chuẩn tính theo đất nền của cọc đơn;
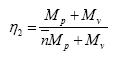
Ktc– Hệ số an toàn, lấy bằng:
1,2- Nếu sức chịu tải xác định bằng nén tĩnh cọc tại hiện trường;
1,25- Nếu sức chịu tải xác định theo kết quả thử động cọc có kể đến biến dạng đàn hồi của đất hoặc theo kết quả thử đất tại hiện trường bằng cọc mẫu;
1,4- Nếu sức chịu tải xác định bằng tính toán, kể cả theo kết quả thử động cọc mà không kể đến biến dạng đàn hồi của đất;
1,4 (1,250- Đối với móng mố cầu đài thấp, cọc ma sát, cọc chống, còn khi ở cọc đài cao- khi cọc chống chỉ chịu tải thẳng đứng, không phụ thuốc số lượng cọc trong móng;
Đối với đài cao hoặc đài thấp mà đáy của nó nằm trên đất có tính nén lớn và đối với cọc ma sát chịu tải trong nén, cũng như đối với bất kỳ loại đài nào mà cọc treo, cọc chống chịu tải trọng nhổ, tuỳ thuộc số lượng cọc trong móng, trị số ktc lấy như sau:
– Móng có trên 21 cọc: ktc=1,4 (1,25);
– Móng có từ 11 đến 20 cọc: ktc= 1,55 (1,4);
– Móng có từ 6 đến 10 cọc: ktc= 1,65 (1,5);
– Móng có từ 1 đến 5 cọc: ktc=1,75 (1,6).
Số trong hoặc đơn là trị số của ktc khi sức chịu tải của cọc được xác định từ kết quả nén tĩnh ở hiện trường.
Chú thích:
1) Nếu việc tính toán móng cọc có kể đến tải trọng gió và tải trọng cầu trục thì được phép tăng tải trọng tính toán trên các cọc biên lên 20% (trừ móng trụ đường dây tải điện).
2) Đối với móng chỉ có cọc đóng, mang tải trên 60 tấn (600 kN) hoặc 1 cọc nhồi mang tải trọng 250 tấn (2500 kN) thì:
ktc=1,4 – Nếu sức chịu tải xác định theo thử tĩnh cọc;
ktc=1,6- Nếu sức chịu tải xác định theo các phương pháp khác;
ktc=1- Đối với móng bè cọc của công trình có độ cứng lớn, độ lún giới hạn lớn hơn hoặc bằng 30cm (với số cọc lớn hơn 100), nếu sức chịu tải của cọc xác định theo thử tĩnh.
A.2. Sức chịu tải tiêu chuẩn của cọc chống trên đất ít nén co (khi Es= 500 kg/cm2) xác định theo công thức:
Qtc = mqp Ap (A.1b)
Trong đó:
m- Hệ số điều kiện làm việc của cọc trong đất, lấy bằng m=1;
Ap– Diện tích tựa lên đất của cọc tròn rỗng và cọc ống lấy bằng diện tích tiết diện ngang, còn đối với cọc tròn rỗng và cọc ống lấy bằng diện tích tiết diện ngang của thành cọc khi không nhồi bê tông phần rỗng đến chiều cao không nhỏ hơn 3 lần đường kính cọc;
qp– cường độ chịu tải của đất ở mũi cọc, T/m2, lấy như sau:
a. Đối với mọi loại cọc đóng mà mũi cọc chống lên đá, đất hòn lớn (đá tảng, đá cuội, đá dăm, sỏi sạn có độn cát) cũng như trong trường hợp chống lên đất sét cứng (trừ lớp phủ có độ bão hoà G< 0,85 và đất trương nở), qp =2000T/m2;
b. Đối với cọc nhồi, cọc ống có nhồi bê tông ngàm vào đá không bị phong hoá (không có các phụ lớp yếu) không nhỏ hơn 0,5m, theo công thức:
(A.2)
Trong đó:
– Cường độ chịu nén tiêu chuẩn một trục, (trung bình cộng) của đá ở trạng thái no nước, t/m2;
kđ– hệ số an toàn theo đất, lấy bằng 1,4;
h3– Độ chôn sâu tính toán trong đá, m;
d3– Đường kính ngàm của phần chôn vào đá, m.
c) Đối với cọc ống chống lên bề mặt đá bằng phẳng không bị phong hoá, lớp này được phủ bởi lớp đất không bị xói lở có chiều dày không nhỏ hơn 3 lần đường kính cọc ống, theo công thức:
(A.3)
Trong đó
và kđ có ý nghĩa như trong công thức (A.2).
Chú thích: Khi cọc chống lên nền đá bị phong hoá cũng như có thể bị xói lở thì sức chống tiêu chuẩn của đất
phải dựa trên kết quả thử cọc bằng phương pháp tĩnh.
A.3. Sức chịu tải tiêu chuẩn của cọc ma sát thi công bằng phương pháp đóng có bề rộng tiết diện đến 0,8m, chịu tải trọng nén, được xác định theo công thức:
Qtc = m(mR qp Ap + uåmf fsi li ) (A.4)
Trong đó:
qp và fs– cường độ chịu tải ở mũi và mặt bên của cọc, lấy theo bảng A.1 và A.2;
m- Hệ số điều kiện làm việc của đất lần lượt ở mũi cọc và ở mặt bên cọc có kể đến
ảnh hưởng của phương pháp hạ cọc đến sức chống tính toán của đất, xác định theo bảng A.3.
Trong công thức (A.4) việc lấy tổng cường độ chịu tải của đất phải được tiến hành trên tất cả các lớp đất mà cọc xuyên qua. Trong trường hợp khi san nền cần gạt bỏ hoặc có thể bị xói trôi đất đi, phải tiến hành lấy tổng sức chống tính toán của tất cả các lớp đất nằm lần lượt bên dưới mức san nền (gọt bỏ hoặc dưới cốt xói lở cục bộ khi bị lũ).
Chú thích:
1) Sức chịu tải của cọc đóng có mở rộng đáy khi xác định theo công thức (A.4): chu vi u ở thân cọc là chu vi tiết diện ngang của thân cọc, còn ở phần mở rộng là chu vi tiết diện ngang của phần mở rộng.
Bảng A1- Sức chống của đất ở mũi cọc qp
|
Độ sâu của mũi cọc, m |
Sức chống ở mũi cọc đóng và cọc ống không nhồi bê tông,qp,T/m2 |
||||||
|
Của đất cát chặt vừa |
|||||||
|
Sỏi |
Thô |
– |
Thô vừa |
Mịn |
Bụi |
– |
|
|
Của đất sét với chỉ số sệt IL bằng |
|||||||
|
0 |
0.1 |
0.2 |
0.3 |
0.4 |
0.5 |
0.6 |
|
|
3 |
750 |
660 (400) |
300 |
310 (200) |
200 (120) |
110 |
60 |
|
4 |
830 |
680 (510) |
380 |
320 (250) |
210 (160) |
125 |
70 |
|
5 |
880 |
700 (620) |
400 |
340 (280) |
220 (200) |
130 |
80 |
|
7 |
970 |
730 (690) |
430 |
370 (330) |
240 (220) |
140 |
85 |
|
10 |
1050 |
770 (730) |
500 |
400 (350) |
260 (240) |
150 |
90 |
|
15 |
1170 |
820 (750) |
560 |
440 (400) |
290 |
165 |
100 |
|
20 |
1260 |
850 |
620 |
480 (450) |
320 |
180 |
110 |
|
25 |
1340 |
900 |
680 |
520 |
350 |
195 |
120 |
|
30 |
1420 |
950 |
740 |
650 |
380 |
210 |
130 |
|
35 |
1500 |
1000 |
800 |
600 |
410 |
225 |
140 |
Bảng A.2 – ma sát bên fs
|
Độ sâu trung bình của lớp đất, m |
Ma sát bên cọc, fs , T/m2 |
||||||||
|
Của đất cát, chặt vừa |
|||||||||
|
Thô và thô vừa |
mịn |
Bụi |
– |
– |
– |
– |
– |
– |
|
|
Của đất sét khi chỉ sệt IL bằng |
|||||||||
|
0,2 |
0,3 |
0,4 |
0,5 |
0,6 |
0,7 |
0,8 |
0,9 |
1 |
|
|
1 2 3 4 5 6 |
3,5 4,2 4,8 5,3 5,6 5,8 |
2,3 3 3,5 3,8 4 4,2 |
1,5 2,1 2,5 2,7 2,9 3,1 |
1,2 1,7 2 2,2 2,4 2,5 |
0,5 1,2 1,1 1,6 1,7 1,8 |
0,4 0,7 0,8 0,9 1 1 |
0,4 0,5 0,7 0,8 0,8 0,8 |
0,3 0,4 0,6 0,7 0,7 0,7 |
0,2 0,4 0,5 0,5 0,6 0,6 |
|
8 10 15 20 25 30 35 |
6,2 6,5 7,2 7,9 8,6 9,3 10 |
4,4 4,6 5,1 5,6 6,1 6,6 7 |
3,3 3,4 3,8 4,1 4,4 4,7 5 |
2,6 2,7 2,8 3 3,2 3,4 3,6 |
1,9 1,9 2 2 2 2,1 2,2 |
1 1 1,1 1,2 1,2 1,2 1,3 |
0,8 0,8 0,8 0,8 0,8 0,9 0,9 |
0,7 0,7 0,7 0,7 0,7 0,8 0,8 |
0,6 0,6 0,6 0,6 0,6 0,7 0,7 |
Chú thích của bảng A.1 và A.2:
1) Trong những trường hợp khi mà ở bảng A.1 các giá trị số của qp trình bày ở dạng phân số, thì tử số là của cát còn ở mẫu số là của sét.
2) Trong bảng A.1 và A.2, độ sâu của mũi cọc là độ sâu trung bình của lớp đất khi san nền bằng phương pháp gọt bỏ hoặc đắp dày đến 3m, nên lấy từ mức địa hình tự nhiên, còn khi gọt bỏ và đắp thêm dày từ 3¸10m thì lấy từ cốt quy ước nằm cao hơn phần bị gọt 3 m hoặc thấp hơn mức đắp 3m.
Độ sâu hạ cọc trong các lớp đất ở vùng có dòng chảy của nước nên lấy có lưu ý đến khả năng chúng bị xói trôI ở mức lũ tính toán.
Khi thiết kế cọc cho các đường vượt qua hào rãnh thì chiều sâu của mũi cọc nêu ở bảng A.1 nên lấy từ cốt địa hình tự nhiên ở vị trí móng công trình.
3) Đối với các giá trị trung gian của độ sâu và chỉ số sệt IL thì xác định qp và fs từ bảng A.1 và A.2 bằng phương pháp nội suy.
4) Cho phép sử dụng các giá trị sức chống tính toán, qp theo bảng A.1 với điều kiện độ chôn sâu của cọc trong đất không bị xói trôI hoặc gọt bỏ không nhỏ hơn:
– Đối với công trình thuỷ lợi: 4m;
– Đối với nhà và các công trình khác: 3m.
5) Khi xác định ma sát bên fs theo bảng A.2, đất nền được chia thành các lớp nhỏ đồng nhất có chiều dày không quá 2m
6) Ma sát bên tính toán fs của đất cát chặt nên tăng thêm 30% so với giá trị trình bày trong bảng A.2.
Bảng A.3- các hệ số mR và mf
|
Phương pháp hạ cọc |
Hệ số điều kiện làm việc của đất được kể đến một cách độc lập với nhau khi tính toán sức chịu tải của cọc |
|
|
Dưới mũi cọc mR |
ở mặt bên cọc mf |
|
|
1. Hạ cọc đặc và cọc rỗng có bịt mũi cọc, bằng búa hơi (treo), búa máy và búa diezel |
1 |
1 |
|
2. Hạ cọc bằng cách đóng vào lỗ khoan mồi với độ sâu mũi cọc không nhỏ hơn 1m dưới đáy hố khoan, khi đường kính lỗ khoan mồi: a) Bằng cạnh cọc vuông b) Nhỏ hơn cạnh cọc vuông 5cm c) Nhỏ hơn cạnh cọc vuông hoặc đường kính cọc tròn (đối với trụ đường dây tải điện) 15cm. |
1 1 1 |
0,5 0,6 1 |
|
3. Hạ cọc có xói nước trong đất cát với điều kiện đóng tiếp cọc ở mét cuối cùng không xói nước |
1 |
0,9 |
|
4. Rung và ép cọc vào: a) Đất cát, chặt vừa: – Cát thô và thô vừa – Cát mịn – Cát bụi b) Đất sét có độ sệt IL= 0,5: – Á cát – Á sét – Sét c) Đất sét có độ sệt IL ≤ 0 |
1,2 1,1 1
0,9 0,8 0,7 1 |
1 1 1
0,9 0,9 0,9 1 |
|
5. Cọc rỗng hở mũi hạ bằng búa có kết cấu bất kì a) Khi đường kính lỗ rỗng của cọc ≤40cm b) Khi đường kính lỗ rỗng của cọc >40cm |
1 0,7 |
1 1 |
|
6. Cọc tròn rỗng, bịt mũi, hạ bằng phương pháp bất kì, tới độ sâu ≥10m, sau đó có mở rộng mũi cọc bằng cách nổ mìn trong đất cát chặt vừa và trong đất sét có độ sệt IL≤0,5, khi đường kính mở rộng bằng: a) 1m, không phụ thuộc vào loại đất nói trên b) 1,5m trong đất cát và á cát c) 1,5m trong á sét và sét |
0,9 0,8 0,7 |
1 1 1 |
Chú thích: Hệ số mR và mf ở điểm 4 bảng A.3 đối với đất sét có độ sệt 0,5 > IL>0 được xác định bằng cách nội suy.
A.4. Đối với cọc đóng mà mũi của nó tựa lên đất cát có độ chặt tương đối ID ≤ 1/3 hoặc trên đất sét có chỉ số sệt IL>0,6 thì sức chịu tải của cọc nên xác định theo kết quả thử tĩnh cọc.
A.5. Tính sức chịu tải của cọc nêm, cọc hình thang, hình thoi, xuyên qua đất cát và đất sét nên tiến hành có kể đến sức chịu tải tăng thêm của đất ở mặt bên cọc, sức chống này phụ thuộc vào mô đun biến dạng của đất từ kết quả thử nén ở trong phòng thí nghiệm các loại đất mà cọc xuyên qua, nên xác định theo công thức:
Qtc = m[qpAp + åLi (uifi + uoiicEjk’iξp)] (A.5)
Trong đó:
m, qp, Ap, li và fi– Kí hiệu giống như trong công thức (A.4);
ui– chu vi ngoài của tiết diện I của cọc, m;
uoi– Tổng các cạnh tiết diện I, m, có độ nghiêng với trục cọc;
ic– Độ nghiêng mặt hông của cọc tính bằng phân lượng của đơn vị, là tỉ số của nửa cạnh tiết diện ngang ở đầu trên và đầu dưới trên chiều dài của đoạn có mặt nghiêng, khi ic ≥0,025 thì nên lấy ic=0,025;
Ei– Mô đun biến dạng của lớp đất thứ I ở quanh mặt hông cọc, T/m2; xác định từ kết quả thử đất trong máy nén;
K’i– Hệ số, xác định theo bảng A.4;
ξp – hệ số lưu biến, lấy bằng 0,8.
Chú thích: Đối với cọc hình thoi, tổng sức chống của đất ở mặt bên phần có độ nghiêng ngược trong công thức A.5 không tính đến.
Bảng A.4- hệ số k’i
|
Loại đất |
Hệ số k’i |
|
Cát và á cát Á sét Sét: khi chỉ số dẻo Ip=18 khi chỉ số dẻo Ip=25 |
0,5 0,6 0,7 0,9 |
|
Chú thích: đối với sét có chỉ số dẻo 18 < Ip<25, hệ số k’I xác định bằng nội suy. |
|
A.6. Sức chịu tải trọng nhổ, của cọc xác định theo công thức:
(A.7)
Trong đó:
m- hệ số điều kiện làm việc, trong điều kiện tựa lên đất sét có độ no nước G<0,85 lấy m=0,8 còn trong các trường hợp còn lại lấy m=1;
mR– Hệ số điều kiện làm việc của đất dưới mũi cọc. Lấy mR=1 trong mọi trường hợp trừ khi cọc mở rộng đáy bằng cách nổ mìn, đối với trường hợp này mR=1,3, còn khi thi công cọc có mở rộng đáy bằng phương pháp đổ bê tông dưới nước thì lấy mR=0,9;
qp– cường độ chịu tải của đất dưới mũi cọc, T/m2, lấy theo yêu cầu của các điều A.8 và A.9 của phụ lục này;
Ap– diện tích mũi, m2, lấy như sau:
a) Đối với cọc nhồi có mở rộng đáy và đối với cọc tru lấy bằng diện tích tiết diện ngang của chúng;
b) Đối với cọc nhồi có mở rộng đáy lấy bằng diện tích tiết diện ngang của ống kể cả thành ống;
c) Đối với ống có nhồi bê tông lấy bằng diện tích tiết diện ngang của ống kể cả thành ống;
d) Đối với cọc ống có nhân đất (không nhồi ruột cọc bằng bê tông), lấy bằng diện tích tiết diện ngang của thành ống.
mf– Hệ số điều kiện làm việc của đất ở mặt bên của cọc, phụ thuộc vào phương pháp tạo lỗ khoan, lấy theo bảng A.5;
fi– Ma sát bên của lớp đất I ở mặt bên của thân cọc, T/m2, lấy theo bảng A.
Bảng A.5- Hệ số mf
|
Loại cọc và phương pháp thi công cọc |
Hệ số điều kiện làm việc của đất mf trong |
|||
|
Cát |
Á cát |
Á sét |
Sét |
|
|
1 |
2 |
3 |
4 |
5 |
|
1. Cọc chế tạo bằng biện pháp đóng ống thép có bịt kín mũi rồi rút dần ống thép khi đổ bê tông |
0,8 |
0,8 |
0,8 |
0,7 |
|
2. Cọc nhồi rung ép |
0,9 |
0,9 |
0,9 |
0,9 |
|
3. Cọc khoan nhồi trong đó kể cả mở rộng đáy, đổ bê tông: a) khi không có nước trong lỗ khoan (phương pháp khô) hoặc khi dùng ống chống b) Dưới nước hoặc dung dịch sét c) Hỗn hợp bê tông cứng đổ vào cọc có đầm (phương pháp khô). |
0,7
0,6 0,8 |
0,7
0,6 0,8 |
0,7
0,6 0,8 |
0,6
0,6 0,7 |
|
4. Cọc ống hạ bằng rung có lấy đất ra |
1 |
0,9 |
0,7 |
0,6 |
|
5. Cọc – trụ |
0,7 |
0,7 |
0,7 |
0,6 |
|
6. Cọc khoan nhồi, cọc có lỗ tròn rỗng ở giữa, không có nước trong lỗ khoan bằng cách dùng lõi rung |
0,8 |
0,8 |
0,8 |
0,7 |
|
7. Cọc khoan phun chế tạo có ống chống hoặc bơm hỗn hợp bê tông với áp lực 2-4 atm. |
0,9 |
0,8 |
0,8 |
0,8 |
A.8. Cường độ chịu tải của đất qp, T/m2, dưới mũi cọc nhồi cọc trụ và cọc ống hạ có lấy đất ra khỏi ruột ống sau đó đổ bê tông cho phép lấy như sau:
a) Đối với đất hòn lớn có chất độn là cát và đối với đất cát trong trường hợp cọc nhồi có và không có mở rộng đáy, cọc ống hạ có lấy hết nhân đất và cọc trụ- tính theo công thức (A.8). còn trong trường hợp cọc ống hạ có giữ nhân đất nguyên dạng ở chiều cao ≥0,5m- tính theo công thức (A.9):
qp = 0,75β(γ’IdpAok + αγILB0k) (A.8)
qp = β(γ’IdpAok + αγILB0k) (A.9)
Trong đó:
Β, Aok,αB0k – Hệ số không thứ nguyên lấy theo bảng A.6;
γ’I – Trị tính toán trung bình (theo các lớp) của trọng lượng thể tích đất, t/m3, nằm phía trên mũi cọc (khi đất no nước có kể đến sự đẩy nổi trong nước);
L- chiều dài cọc, m;
dp– Đường kính, m của cọc nhồi hoặc của đáy cọc (nếu có mở rộng đáy cọc ).
b) Đối với đất sét, trong trường hợp cọc nhồi có và buồn có không có mở rộng đáy, cọc ống có lấy lõi đất ra (lấy một phần hoặc lấy hết) và nhồi bê tông vào ruột ống và cọc trụ cường độ chịu tải của đất lấy theo bảng A.7.
Chú thích: Những nguyên tắc nêu ở điều A.8 được áp dụng khi độ chôn sâu của mũi cọc vào đất nền không nhỏ hơn đường kính của cọc (hoặc phần mở rộng đối với cọc có mở rộng đáy), nhưng không nhỏ hơn 2m.
Bảng A.6- các hệ số của công thức (A.8) và (A.9)
|
Kí hiệu các hệ số |
Các hệ số Aok, Bko, α và β khi các trị tính toán của góc ma trong của đất φI, độ |
|||||||||
|
23 |
25 |
27 |
29 |
31 |
33 |
35 |
37 |
39 |
||
|
Ako Bko o Bk |
9,5 18,6 |
12,8 24,8 |
17,3 32,8 |
24,4 45,5 |
34,6 64 |
48,6 87,6 |
71,3 127 |
108 185 |
163 260 |
|
|
|
4 5 7,5 10 12,5 15 17,5 20 22,5 25 |
0,78 0,75 0,68 0,62 0,58 0,55 0,51 0,49 0,46 0,44 |
0,79 0,76 0,7 0,67 0,63 0,61 0,58 0,57 0,55 0,54 |
0,8 0,77 0,7 0,67 0,63 0,61 0,58 0,57 0,55 0,54 |
0,82 0,79 0,74 0,7 0,67 0,65 0,62 0,61 0,6 0,59 |
0,84 0,81 0,76 0,73 0,7 0,68 0,66 0,65 0,64 0,63 |
0,85 0,82 0,78 0,75 0,73 0,71 0,69 0,68 0,67 0,67 |
0,85 0,83 0,8 0,77 0,75 0,73 0,72 0,72 0,71 0,7 |
0,86 0,84 0,82 0,79 0,7 0,76 0,75 0,75 0,74 0,74 |
0,87 0,85 0,84 0,81 0,80 0,79 0,78 0,78 0,77 0,77 |
|
β khi dp= |
≤0,8m <4m |
0,31 0,25 |
0,31 0,21 |
0,29 0,23 |
0,27 0,22 |
0,26 0,21 |
0,25 0,20 |
0,24 0,19 |
0,28 0,18 |
0,28 0,17 |
A.9. Cường độ chịu tải qp, T/m2 của đất dưới mũi cọc ống không nhồi bê tông mà có nhân đất lưu lại ở giai đoạn sau cùng lúc hạ cọc có chiều cao ≥0,5m (với điều kiện là nhân đất được hình thành từ đất có cùng đặc trưng với đất được dùng làm nền ở mũi cọc ống) nên lấy theo bảng A.1 của phụ lục này với hệ số điều kiện làm việc có kể đến phương pháp hạ cọc ống như điều 4 bảng A.3 thuộc phụ lục này, đồng thời sức chống tính toán trong trường hợp này là của diện tích tiết diện ngang của thành cọc ống.
A.10. Sức chịu tải trọng nhổ cực hạn của cọc nhồi xác định theo công thức:
Quk = m.uΣmf fili + w (A.10)
Trong đó:
m- ý nghĩa như trong công thức (A.6);
u, mf, fi và li– kí hiệu giống như trong công thức (A.7).
Bảng A.7- Trị số qp
|
Chiều sâu mũi cọc h,m |
Cường độ chịu tải qp, T/m2, dưới mũi cọc nhồi có và không mở rộng đáy, cọc trụ và cọc ống hạ có lấy đất và nhồi bê tông vào ruột ống, ở đất sét có chỉ số sệt IL bằng |
||||||
|
0 |
0.1 |
0.2 |
0.3 |
0.4 |
0.5 |
0.6 |
|
|
3 5 7 10 |
85 100 115 135 |
75 85 100 120 |
65 75 85 105 |
50 65 75 95 |
10 50 60 80 |
30 40 50 70 |
25 35 45 60 |
|
12 15 18 20 30 40 |
155 180 210 230 330 450 |
140 165 190 240 300 400 |
125 150 170 190 260 350 |
110 130 150 165 230 300 |
95 100 130 145 200 250 |
80 100 115 125 – – |
70 80 95 105 – – |
|
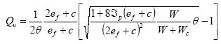
Chú thích : Đối với móng của mố cầu, các giá trị qp trình bày ở bảng A.7 nên: a) Tăng lên (khi mố cầu nằm trong vùng nước) một đại lượng bằng 1,5 ( γn hn ) trong đó: γn – trọng lượng riêng của nước, 1 T/m3; hn– chiều cao của lớp nước, m, kể từ mức nước mùa khô đến mức bào xói ở cơn lũ tính toán. b) Giảm đI khi hệ số rỗng của đất e>0,6; lúc này giá trị của qp trong bảng A.7 phải nhân với hệ số giảm thấp m xác định bằng nội suy giữa các giá trị m=1 khi e=0,6 và m=0,6 khi e=1,1. |
|||||||
PHỤ LỤC B
XÁC ĐỊNH SỨC CHỊU TẢI CỦA CỌC THEO CHỈ TIÊU CƯỜNG ĐỘ CỦA ĐẤT NỀN
B.1. Yêu cầu chung
B.1.1. Sức chịu tải cực hạn của cọc tính theo công thức:
Qu = Asfs + Apqp (B.1)
B.1.2. Sức chịu tải cho phép của cọc tính theo công thức:
Trong đó:
(B.2)
FSs– Hệ số an toàn cho thành phần ma sát bên, lấy bằng 1,5-2,0;
FSp– Hệ số an toàn cho sức chống dưới mũi cọc lấy bằng 2,0-3,0.
B.1.3. Công thức chung tính toán ma sát bên tác dụng lên cọc là:
Fs = ca + σ’h tanφa (B.3)
Trong đó:
Ca– Lực dính giữa thân cọc và đất, T/m2; với cọc đóng bê tông cốt thép, ca=0,7c, trong đó c là lực dính của đất nền;
σ’h – Ứng suất hữu hiệu trong đất theo phương vuông góc với mặt bên cọc, T/m2;
φa– Góc ma sát giữa cọc và đất nền; với cọc bê tông cốt thép hạ bằng phương pháp đón lấy φa=φ, đối với cọc thép lấy φa=0,7φ, trong đó φ là góc ma sát trong của đất nền.
B.1.4. Cường độ chịu tải của đất dưới mũi cọc tính theo công thức:
qp = cNc + σ’vp Nq + γdp Nγ (B.4)
Trong đó:
c- Lực dính của đất, T/m2;
σ’vp – Ứng suất hữu hiệu theo phương thẳng đứng tại độ sâu mũi cọc do trọng lượng bản thân đất, T/m2;
Nc, Nq,Nγ – Hệ số sức chịu tải, phụ thuộc vào ma sát trong của đất, hình dạng mũi cọc phương pháp thi công cọc;
γ – Trọng lượng thể tích của đất ở độ sâu mũi cọc, T/m3.
B.2. Sức chịu tải cực hạn của cọc trong đất dính tính theo công thức:
Qu = Asαcu + Ap Nccu (B.5)
Trong đó:
Cu– sức chống cắt không thoát nước của đất nền, T/m2;
α – Hệ số không thứ nguyên. Đối với cọc đóng lấy theo hình B.1, đối với cọc nhồi lấy từ 0,3-0,45 cho sét dẻo cứng và bằng 0,6-0,8 cho sét dẻo mềm;
Nc– Hệ số sức chịu tải lấy bằng 9,0 cho cọc đóng trong sét cố kết bình thường và bằng 6,0 cho cọc khoan nhồi.
Chú thích:
1) Hệ số an toàn khi tính toán sức chịu tải của cọc theo công thức (B.5) lấy bằng 2,0-3,0.
2) Trị giới hạn của αcu trong công thức (B.5) lấy bằng 1 kg/cm2.
B.3. Sức chịu tải cực hạn của cọc trong đất rời tính theo công thức:
Qu = AsKsσ’v tanφa+ Apσ’v pNq (B.6)
Trong đó:
Ks– Hệ số áp lực ngang trong đất ở trạng thái nghỉ, lấy theo hình B.2;
σ’v – Ứng suất hữu hiệu trong đất tại độ sâu tính toán ma sát bên tác dụng lên cọc, t/m2;
φa– Góc ma sát giữa đất nền và thân cọc;
σ’vp– Ứng suất hữu hiệu theo phương pháp thẳng đứng tại mũi cọc, T/m2;
Nq– Hệ số sức chịu tải, xác định theo hình B.3.
B.3.1. Cường độ chịu tải dưới mũi cọc và ma sát bên tác dụng lên cọc trong đất rời ở độ sâu giới hạn, nghĩa là:
fs(z>zc)=fs(z=zc)
qp(z>zc)=qp(z=zc)
Chú thích: Độ sâu giới hạn zc xác định theo góc ma sát trong của đất nền (hình B.4).
B.3.2. Hệ số an toàn áp dụng khi sử dụng công thức tính toán B.6 lấy bằng 2,0-3,0.


PHỤ LỤC C
XÁC ĐỊNH SỨC CHỊU TẢI CỦA CỌC THEO KẾT QUẢ THÍ NGHIỆM XUYÊN
C.1. Tính toán theo kết quả xuyên tĩnh
C.1.1. Sức chịu tải của cọc được tính trên cơ sở sức chống xuyên đầu mũi qc.
C.1.2. Thiết bị xuyên sử dụng đầu xuyên chuẩn: đường kính đáy mũi côn bằng 35,7mm, góc nhọn mũi côn bằng 600. Nếu sử dụng loại đầu xuyên khác với chuẩn nêu trên cần quy đổi giá trị tương đương với đầu xuyên chuẩn trên cơ sở các tương quan được xác lập cho từng thiết bị.
C.1.3. Phương pháp tính theo tiêu chuẩn TCXD 174:1989.
C.1.3.1. Độ sâu ngàm cọc tới hạn zc, là độ sâu mà vượt quá giá trị đó thì cường độ chịu tải giữ nguyên giá trị không đổi:
– Trường hợp đất nền 1 lớp: zc= 6d, trong đó d là kích thước cạnh tiết diện hoặc đường kính tiết diện cọc;
– Trường hợp đất nền nhiều lớp:
Zc= 3d khi σv < 0,1 Mpa
Zc= 3d : 6d khi σv <0,1 Mpa (trong đó σv là áp lực cột đất).
C.1.3.2. Sức chống cực hạn ở mũi xác định theo công thức:
Qp=Ap.qp (C.1.1)
Giá trị của qp được xác định theo công thức:
(C.1.2)
Trong đó:
hsi-độ dài của cọc trong lớp đất thứ i,m;
u-chu vi tiết diện cọc, m;
fsi-ma sát bên đơn vị của lớp đất thứ i và được xác định theo sức chống xuyên đầu mũi qc ở cùng độ sâu, theo công thức:
(C.1.4)
Trong đó I là hệ số lấy theo bảng C.1.
C.1.4.4. Sức chịu tải cho phép của một cọc được xác định bằng cách lấy sức chịu tải giới hạn tính theo quy định trên chiu cho hệ số an toàn FS=2:3.
C.1.5. Tương quan thực nghiệm giữa sức chống xuyên qc và một số chỉ tiêu cơ lí của đất nền.
C.1.5.1. Tương quan giữa góc ma sát trong của đất rời, φ, và sức chống xuyên, qc, xác định theo bảng c.2.
Bảng C.2- Tương quan giữa qc và φ
|
qc (105Pa) |
M (độ) ở độ sâu |
|
|
2m |
≥5m |
|
|
10 |
28 |
26 |
|
20 |
30 |
28 |
|
40 |
32 |
30 |
|
70 |
34 |
32 |
|
120 |
36 |
34 |
|
200 |
38 |
36 |
|
300 |
40 |
38 |
C.5.2. Tương quan giữa sức chống xuyên qc và sức chống cắt không thoát nước của đất dính, cu, xác định theo công thức:
(C.1.5)
Trong đó σv là áp lực thẳng đứng do tải trọng bản thân của đất nền.

C.2. Tính toán sức chịu tải của cọc theo kết quả xuyên tiêu chuẩn
C.2.1. Kết quả xuyên tiêu chuẩn (SPT) trong đất rời có để tính toán sức chịu tải của cọc (Meyerhof, 1956).
C.2.2. Sức chịu tải cực hạn của cọc tính theo công thức của Meyerhof (1956)
Qu = K1NAp+ K2NtbAs (C.2.1)
Trong đó:
N- chỉ số SPT trung bình trong khoảng 1d dưới mũi cọc và 4d trên mũi cọc;
Ap– Diện tích tiết diện mũi cọc, m2;
Ntb– chỉ số SPT trung bình dọc thân cọc trong phạm vi lớp đất rời;
As– Diện tích mặt bên cọc trong phạm vi lớp đất rời, m2;
K1– hệ số, lấy bằng 400 cho cọc đóng và bằng 120 cho cọc khoan nhồi.
Hệ số an toàn áp dụng khi tính toán sức chịu tải của cọc theo xuyên tiêu chuẩn lấy bằng 2,5-3,0.
C.2.3. Sức chịu tải của cọc theo công thức của Nhật Bản:
Trong đó:
(C.2.2)
Na– chỉ số SPT của đất dưới mũi cọc;
Ns– chỉ số SPT của lớp cát bên thân cọc;
Ls-chiều dài đoạn cọc nằm trong đất cát, m;
Lc– chiều dài đoạn cọc nằm trong đất sét, m;
α– Hệ số, phụ thuộc vào phương pháp thi công cọc;
– Cọc bê tông cốt thép thi công bằng phương pháp đóng: α =30;
– Cọc khoan nhồi: α =15
PHỤ LỤC D
XÁC ĐỊNH SỨC CHỊU TẢI CỦA CỌC THEO CÔNG THỨC ĐỘNG
D.1. Khi xác định sức chịu tải của cọc theo công thức động có thể sử dụng công thức của Gersevanov (điều D.2) hoặc công thức của Hilley (điều D.3) của phụ lục này.
D.2. Xác định sức chịu tải của cọc theo công thức của Gersevanov. Sức chịu tải cho phép của cọc:
(D.1a)
Trong đó:
Qtc– sức chịu tải tiêu chuẩn tính theo công thức động của Gersevanov, T;
Ktc– Hệ số an toàn, xác định theo điều A.1 phụ lục A.
D.2.1. Sức chịu tải cực hạn của cọc, T, xác định theo công thức :
(D.1)
Trong đó:
Qu– sức chịu tải cực hạn của cọc, T, xác đinh theo công thức D.2 hoặc D.3
Kd– Hệ số an toàn theo đất, lấy theo điều D.2.2 của phụ lục này.
D.2.2. Trong trường hợp số cọc được thử ở những điều kiện đất như nhau, mà nhỏ hơn 6 chiếc, lấy Qu= Qu min và kd= 1,0.
Trong trường hợp số cọc được thử ở những điều kiện đất giống nhau, bằng hoặc lớn hơn 6 chiếc thì sức chống giới hạn Qu xác định trên cơ sở kết quả xử lí thống kê các giá trị riêng của sức chịu tải của cọc theo số liệu thử.
D.2.3. Khi thử động cọc đóng, nếu độ chối thực tế (đo được) ef ≥ 0,002m, Qu xác định theo công thức:
(D.2)
Nếu độ chối thực tế (đo được) ef<0,002m thì trong dự án đóng cọc nên xét việc dùng búa có năng lượng va đập lớn để hạ cọc, ở năng lượng này độ chối ef≥0,002m, còn trong trường hợp không thể đổi được thiết bị đóng cọc và khi đo được độ chối đàn hồi, thì sức chịu tải giới hạn nên xác định theo công thức:
(D.3)
Trong đó:
n- hệ số lấy bằng 150T/m2 đối với cọc bê tông cốt thép có mũ cọc;
F – diện tích được giới hạn bằng chu vi ngoài của tiết diện ngang cọc;
M- hệ số lấy bằng 1,0 khi đóng cọc bằng búa tác dụng va đập, còn khi hạ cọc bằng dung thì lấy theo bảng D.1 phụ thuộc vào loại đất dưới mũi cọc;
3P – Năng lượng tính toán của một va đập của búa, T.m lấy theo bảng D.2 hoặc năng lượng tính toán của máy hạ bằng rung- lấy theo bảng D.3;
ef – Độ chối thực tế, bằng độ lún của cọc do một va đập của búa, còn khi dùng máy rung là độ lún của cọc do công của máy trong thời gian một phút, m;
c-độ chối đàn hồi của cọc ( chuyển vị đàn hồi của đất và cọc), xác định bằng máy đo độ chối, m;
W- trọng lượng của phần va đập của búa,T;
W1 – Trọng lượng của cọc dẫn ( Khi hạ bằng rung W1=0 ), T;
Wn – Trọng lượng của búa hoặc của máy rung, T;
ε – hệ số phục hồi va đập, khi đóng cọc và cọc ống bê tông cốt thép bằng búa tác động đập có dùng mũ đệm gỗ, lấy ε2 = 0,2 khi hạ bằng rung, lấy ε2 =0;
– hệ số, l/t, xác đinh theo công thức:
(D.4)
n0, nh– Hệ số chuyển từ sức chống động sang sức chống tĩnh của đất, lấy lần lượt bằng đối với đất dưới mũi cọc n0= 0,0025s.m/T và đối với đất ở mặt hông cọc nh=0,25 s.m
Ω– Diện tích mặt bên cọc tiếp xúc với đất, m2;
g- gia tốc trọng trường, lấy bằng 9,81m/s2;
h – chiều cao nẩy đầu tiên của phần va đập của búa đối với búa diesel lấy bằng h=0,5m đối với các loại búa khác h=0;
H- Chiều cao rơi thực tế của phần động của búa, m.
Chú thích:
1. Các giá trị của Wn, W, Wc và W1 dùng trong công thức tính toán nói trên không có hệ số vượt tải
2. Trong trường hợp có chênh lệch hơn 1,4 lần về sức chịu tải của cọc xác định theo các công thức (D.2 và D.3) với sức chịu tải xác định bằng tính toán dựa vào tính chất cơ lý của đất cần kiểm tra thêm bằng phương pháp nén tĩnh.
Bảng D.1 – Hệ số M
|
Loại đất dưới mũi cọc |
Hệ số M |
|
1. Sỏi cạn có chất lấp nhét cát 2. Cất thô vừa, chặt trung bình và á cát cứng 3. Cát mịn chặt trung bình 4. Cát bụi chặt trung bình 5. Á sét dẻo, á sét và sét cứng 6. Á sét và sét nửa cứng 7. á sét và sét khô dẻo |
1,3 1,2 1,1 1,0 0,9 0,8 0,7 |
|
Chú thích: trong cát chặt, giá trị của hệ số M nói ở điểm 2,3 và 4 nên tăng thêm 60% còn khi có tài liệu xuyên tĩnh – tăng 100% |
|
Bảng D.2 – Năng lượng tính toán 3P của búa
|
Kiểu búa |
Năng lựợng tính toán của va đập búa 3P, T.m |
|
1. Búa treo hoặc tác dụng đơn động 2. Búa di-e-den ống 3. búa di-e-den cần va đập đơn 4. Búa di-e-den khi đóng kiểm tra lại bằng va đập đơn |
WH 0,9WH 0,4WH W(H-h) |
|
Chú thích: ở điểm 4, h – chiều cao nẩy đầu tiên phần va đập của búa diesel do đệm không khí gây ra, xác định theo th|ớc đo, m. Để tính toán sơ bộ cho phép h= 0,6m đối với búa kiểu cột và h=0,4m đối với búa kiểu ống |
|
Bảng D.3- Năng lượng tính toán ?p của búa rung
|
Lực kích thích của máy rung, T |
10 |
20 |
30 |
40 |
50 |
60 |
70 |
80 |
|
Năng lượng tính toán tương đương va đập của máy rung 3P, T.m |
4,5 |
9 |
13 |
17,5 |
22 |
6,5 |
31 |
35 |
D.3. Công thức động Hilley
D.3.1. Sức chịu tải giới hạn xác định theo công thức:
(D.4)
Trong đó:
k – Hiệu xuất cơ học của búa đóng cọc; một số giá trị được kiến nghị sử dụng như sau:
– 100% đối với búa rơi tự do điều khiển tự động và búa diesel;
– 75% Đối với búa rơi tự do nâng bằng cáp tời;
– 75%- 85% Đối với các loại búa hơi nước đơn động;
Wc -Trọng lượng của cọc, T;
W – trọng lượng của búa đóng, T;
h – Chiều cao rơi búa, m;
e- Hệ số phục hồi, một số giá trị của e như sau:
+ Cọc có đầu bịt thép: e=0,55;
+ Cọc thép có đệm đầu cọc bằng gỗ mềm: e=0,4;
+ Cọc bê tông cốt thép, đệm đầu bằng gỗ: e=0,25.
ef – Độ lún của cọc dưới một nhát búa khi thí nghiệm( độ chối ),m;
c1 – Biến dạng đàn hồi của đầu cọc, đệm đầu cọc và cọc dẫn, m;
c2 – Biến dạng đàn hồi của cọc,m:
c2=Qu.L/AE
c3– Biến dạng của đất nền, thường lấy bằng 0,005m;
A – Diện tích tiết diện cọc,m2;
E- Môdun đàn hồi của vật liệu cọc, T/m2.
D.3.2. Hệ số an toàn khi áp dụng công thức Hilley Fs ≥3,0.
PHỤ LỤC E
XÁC ĐỊNH SỨC CHỊU TẢI THEO KẾT QUẢ NÉN TĨNH CỌC
E.1. Quy trình thí nghiệm để xác định sức chịu tải bằng thí nghiệm nén tĩnh được thực hiện trên cơ sở thoả thuận với chủ đầu tư hoặc cơ quan tư vấn của chủ đầu tư
E.2. Khi lựa chọn quy trình xác định sức chịu tải cho phép của cọc cần chú ý tới những đặc điểm của điều kiện địa chất tải trọng công trình và yêu cầu của thiết kế.
E.3. Phương pháp của SNIP2.02.03.85:
E.3.1. Sức chịu tải trọng nén thẳng đứng cho phép của cọc tính theo công thức:
(E.1)
Trong đó :
Qa – Sức chịu tải cho phép của cọc; Qtc
ktc – Hệ số an toàn, xác định theo điều A.1 phụ lục A.
E.3.2. Sức chịu tải tiêu chuẩn theo kết quả thử chúng bằng tải trọng nén, nhổ được và theo hướng ngược được xác định theo công thức:
(E.2)
Trong đó:
m- Hệ số làm việc cho tất cả các loại nhà và công trình trừ trụ đường dây tải của lộ thiên,lấy bằng:
m=1.0 đối với cọc chịu nén dọc trục hoặc nén ngang;
m=0,8 đối với cọc chịu nhổ khi độ sâu độ cọc vào đất ≥ 4m;
m=0,6 đối với cọc chịu nhổ khi độ sâu độ cọc vào đất < 4m;
Qu – Sức chịu tải cực hạn của cọc, t, xác định theo các điều E.3.3. đến E.3.5 của phụ lục 1
Kd – Hệ số an toàn theo đất, lấy theo những chỉ dẫn của điều E.4.3 của phụ lục này.
E.3.3. Trong trường hợp nếu số cọc được thử ở những điều kiện đất nền như nhau ít hơn 6 chiếc QuQumin,còn hệ số an toàn theo đất kđ=1.
Khi số lượng cọc thử ỏ cùng điều kiện địa chất công trình bằng hoặc lớn hơn 6 chiếc thì các đại lượng Qu nên xác định trên cơ sở kết quả xử lí thống kê.
E.3.4. Sức chống giới hạn Qu của cọc được xác định như sau (hình E.1)
– Là giá trị tải trọng gây ra độ lún tăng liên tục
– Là giá trị ứng với độ lún ξ Sgh trong các trường hợp còn lại:
Δ = ξ Sgh (E.3)
Trong đó:
Sgh-Trị số lún giới hạn trung bình cho trong tiêu chuẩn thiết kế nền móng,được qui
định theo nhiệm vụ thiết kế hoặc lấy theo tiêu chuẩn đối với nhà và công trình;
ξ – Hệ số chuyển từ độ lún lúc thử đến độ lún lâu dài của cọc, thông thường lấy ξ =0,1.Khi có cơ sở thí nghiệm và quan trắc lún đầy đủ, có thể lấy ξ =0,2

Nếu độ lún xác định theo công thứ (E.3) lớn hơn 40mm thì sức chịu tải cực hạn của cọc Qu nên lấy ở tải trọng ứng với Δ =40mm
Đối với các cầu, sức chịu tải cực hạn của cọc chịu tải trọng nén phải lấy tải trọng bé hơn 1 cấp so với tải trọng mà dưới tải trọng này gây ran;
a) Sự tăng độ lún sau một cấp gia tải (ở tổng độ lún lớn hơn 40mm0 vượt quá 5 lần sự tăng độ lún của một cấp gia tải trước đó
b) Độ lún không tắt dần tron thời gian một ngày đêm hoặc hơn (ở tổng độ lún của cọc lớn hơn 40mm
Nếu khi htử,tải trọng lớn nhất đã đạt được có trị số bằng hoặc lớn hơn1,5Qtc (trong đó Qtc – Sức chịu tải của cọc tính theo các công thức của phụ lục A), mà độ lún của cọc bé hơn trị số xác định theo công thức (E.3), đối với cầu thì bé hơn 40mm, trong trường hợp này, sức chịu tải cực hạn của cọc cho phép lấy bằng tải trọng lớn nhất có được lúc thử.
Chú thích: Các cấp tải trọng khi thử cọc bằng nén tĩnh thường qui định trong phạm vi 1/10-1/15 sức chịu tải cực hạn tính toán của cọc
E.3.5. Khi thử tải bằng tải trọng tĩnh theo hướng ngang hặc nhổ thì sức chịu tải giới hạn
(điều E.3.3 của phụ lục này) lấy ở tải trọng mà dưới tác dụng của nó, chuyển vị của cọc tăng không ngừng.
Chú thích: Kết quả thử tĩnh cọc chịu tải trọng ngang giới hạn cho phép của nhà và công trình. Loại tải trọng như thế đối với nhà và công trình (trừ những công trình đặc biệt nhạy đối với biến dạng ngang) cho phép lấy tải trọng mà ở đó trị biến dạng ngang của cọc ở mức mặt đất khi thử bằng trị số giới hạn cho phép nhưng không quá 10mm.
E.4. Một số phương pháp thông thường khác dùng để xác định sức chịu tải giới hạn của cọc khi không thể thử cọc đến phá hoại, nhất là đối với cọc có đường kính lớn.
E.4.1. Phương pháp của Canadian Foundation Engineering Manual(1985)
Sức chịu đựn giới hạncủa cọc là tải trọng xác định từ giao đIểm của biểu đò quan hệ tải trọng- độ lún với đường thẳng (hình E.2)

Sf= δ + d/30 (E.4)
Trong đó :
Sf-Độ lún tại cấp tỉa trọng phá hoại,m
δ – Biến dạng đàn hồi của cọc,m
(E.5)
Q -Tải trọng tác dụng lên cọc,T
Lp– Chiều dài cọc, m
A-Diện tích tiết diện cọc, m2
Ep– Mô đun đàn hồi của vật liệu cọc,T/m2
E.4.2. Phương pháp của Davisson:sức chịu tải giới hạn của cọc là tải trọng ứng với độ lún trên đường cong tải trọng-Độ lún có được lúc thử tĩnh:
(E.6)
E.4.3. Trong trường hợp cọc dàI thì sức chịu tải giới hạn ứng với độ lún:
– Khi Lp/d>80 :
(E.7)
– Khi Lp/d>100 : Sf = 60 : 80 mm (E.8)
Chú thích: Cách xác định Sf nói ở đIều E4-2 và E4-3 thực hiện như nêu ở đIều E4-1.
E.4.4. Sức chịu tải trọng nén cho phép xác định theo công thức:
(E.9)
E.4.5. Thông thường hệ số an toàn FS ≥ 2,0. Hệ số an toàn cao hơn nên được áp dụng cho các trường hợp sau đây:
– Đối với cọc ma sát trong đất dính
– Khi điều kiện địa chất phức tạp nhưng số lượng cọc thí nghiệm hạn chế
– Cọc trong cát rời, sức chịu tải suy giảm theo tời gian
– Khi cần đảm bảo yêu cầu cao về độ lún.
PHỤ LỤC G
TÍNH CỌC DƯỚI TÁC DỤNG ĐỒNG THỜI CỦA TẢI TRỌNG ĐỨNG VÀ TẢI TRỌNG NGANG VÀ MÔ MEN
TÍNH TOÁN THEO PHƯƠNG PHÁP CỦA SNIP II-17-77
G.1. Tính cọc dưới tác dụng đông thời của tải trọng đứng, ngang và mô men theo sơ đồ nêu trên hình G1,bao gồm:
a) Chuyển vị ngang Δn và góc xoay, Ψ của đầu cọc cần thoả mãn điều kiện sau:
Δn ≤ Sgh (G1)
Ψ ≤ Ψgh (G2)
Trong đó:
Δn và Ψ -Những giá trị tính toán tương ứng chuyển vị ngang, m, và góc xoay,radian,của đầu cọc,xác đinh theo những chỉ dẫn ở đIều G.4 trong phụ lục này
Sgh và Ψgh-Những giá trị tương ứng chuyển vị ngang, m, góc xoay, radian, của đầu cọc, ược qui định từ nhiệm vụ thiết kế nhà và công trình.
b) Tính toán sự ổn định của đất nền xung quanh cọc, hực hiện theo những yêu càu của điều 6 phụ lục này.
c) Kiểm tra tiết diện của cọc theo độ bền của vật liệu, theo trạng thái giới hạn thứ nhất và thứ hai dưới tác dụng đồng thời của lực dọc trục, mô men uốn và lực ngang.
Các Giá trị tính toán của mô men uốn, lực ngang và lực dọc trục, tác dụng lên những tiết diện khác nhau của cọc, được xác định theo điều G7 của phụ lục này.Trong trường hợp cọc được ngàm cứng vào đài, góc xoay Ψ =0, tính toán mô men tại ngàm theo điều G.8 của phụ lục này.
Chú thích: Không cần tính toán độ ổn định của đất nền xung quanh cọc có bề rộng tiết diện d ≤ 0,6m với chiều dài trong đất lớn hơn 10d, trừ trường hợp cọc được hạ vào bùn hoặc đất sét ở trạng thái chảy hoặc dẻo chảy.
G.2. Khi tính toán cọc chịu tải trọng ngang, đất quanh cọc được xem như môi trường đàn hồi biến dạng tuyến tính đặc trưng bằng hệ số nền Cz,(T/m3)
Khi không có những số liệu thí nghiệm, cho phép xác định số liệu tính toán của hệ số nền Cz của đất ở quanh cọc theo công thức:
Cz=K.z (G.3)
Trong đó:
K – Hệ số tỉ lệ,T/m4,được lấy theo bảng G1
z – Độ sâu của vị trí tiết diện cọc, m, kể từ mặt đất đối với cọc dài cao, hoặc kể từ đáy đài đối với cọc đài thấp
Bảng G1-Hệ số tỉ lệ k
|
Loại đất quanh cọc và đặc trưng của nó |
Hệ số tỉ lệ k,T/m4 cho cọc |
|
|
Đóng |
Nhồi, cọc ống và cọc chống |
|
|
Sét, á sét dẻo chảy (0,75<Il ≤ 1) |
65-250 |
50-200 |
|
Sét, á sét dẻo mềm (0,5<Il ≤ 0,75), á sét dẻo(0 ≤ Il ≤ 1), cát bụi (0,6 ≤ e ≤ 0,8) |
200-500 |
200-400 |
|
Sét, á sét gần dẻo và nửa cứng(0 ≤ Il ≤ 0,5), á sét cứng (Il<0), cát hạt trung(0,55 ≤ e ≤ 0,7) |
500-800 |
400-600 |
|
Sét và á sét cứng (Il<0), cát hạt thô (0,55 ≤ e ≤ 0,7) |
800-1300 |
600-1000 |
|
Chú thích: 1. Giá trị nhỏ của hệ số K trong bảng G1 tương ứng với giá trị số sệt Il của đất sét và hệ số rỗng e của đát cát được ghi trong dấu ngoặc đơn, còn giá trị lớn của hệ sô K tương ứng với giá trị nhỏ nhất của Il và e. Đối với những đất có đặc trưng Il và e ở khoảng trung gian thì hệ số K được xác định bằng cách nội suy. 2. Hệ số K đối với cát chặt được lấy cao hơn 30% so với giá trị lớn nhất ghi trong bảng cho loại đất loại sét. |
||
G.3. Tất cả các tính toán được thực hiện theo chiều sau tính đổi của vị trí tiết diện cọc trong đất, Ze, và có chiều sâu tính đổi hạ cọc trong đất, Le, xác định theo công thức sau:
Ze=α bdz (G.4)
Le= α bdL (G.5)
Trong đó:
z và L – Chiều sâu thực tế vị trí tiết diện cọc trong đất và chiều sâu hạ cọc thực tế (mũi cọc) trong đất tính từ mặt đất với cọc đài cao và từ đáy đài với cọc đài thấp, m
α bd-Hệ số biến dạng, I/m, xác định theo công thức:
(G.6)
Trong đó:
K – kí hiệu như tron công thức G3
Eb – Mô đun đàn hồi ban đầu của bê tông cọc hi nén và kéo,T/m2, lấy theo tiêu chuẩn thiết kế kết cấu bê tông cốt thép
I – Mô men quán tính tiết diện ngang của cọc, m4
bc – Chiều rộng qui ước của cọc, m được lấy như sau:
+ Khi d ≥ 0,8 thì bc=d+1m
+ Khi d<0,8m thì bc=1,5d+0,5m
G.4. Tính toán chuyển vị ngang của cọc ở mức đáy dài và góc xoay theo các công thức:
(G.7)
(G.8)
Trong đó:
H và M – Giá trị tính toán của lực cắt, T, và mô men uốn, T.m, tại dầu cọc (xem hình g.1)
l0 – Chiều dài đoạn cọc, m, bằng khoảng cách từ đáy đài cọc đến mặt đất
Y0 và Ψo -Chuyển vị ngang, m, và góc xoay của tiết diện ngang của cọc, radian, ở mặt đất với cọc đài cao, ở mức đáy đài thấp và được xác định theo điều G5 của phụ lục này.
Chú thích: Các đại lượng trong phụ lục này được coi là dương trong các trường hợp sau:
– Mô men và lực ngang tại đầu cọc:mô men theo chiều quay của kim đồng hồ và lực ngang hướng về phía bên phải
– Mô men uốn và lực cắt trong phần dưới của tiết diện cắt:mô men theo chiều quay của kim đồng hồ và lực ngang hướng về phía bên phải
– Góc xoay và chuyển vị ngang của tiết diện cọc:góc xoay theo chiều quay của kim đồng hồ và chuyển hướng về bên phải.
G.5. Xác định chuyển ngang y0,m và góc xoay o , radian, theo công thức:
y0 = H0δHH + M0δHM (G.9)
Ψ0 = H0δMH + M0δMM (G.10)
Trong đó :
H0 – Giá trị tính toán của lực cắt, T, lấy H0=H
M0 – Mô men uốn, T.m, lấy M0=M+Hl0
δHH – Chuyển vị ngang của tiết diện, m/T, bởi lực H0=1 (hình G.2a)
δHM – Chuyển vị ngang của tiết diện, l/T, bởi mô men M0=1 (hình G.2b)
δMH – Góc xoay của tiết diện, l/T (T.m) δMH-Góc xoay củ tiết diện, l/T, bởi lực H0=1 (hình G.2a)
δMM – Góc xoay của tiết diện,l/T (T.m), bởi mô men M0=1 (hình G.2b)
Chuyển vị δHH, δMH = δHM và δMM được xác định theo công thức:
(G.11)
(G.12)
(G.13)
Trong đó:
A0,B0,C0 – Những hệ số không thứ nguyên lấy theo bảng G.2 tùy thuộc vào chiều sâu tính đổi của phần cọc trong đất Le xác định theo công thức G.5. Khi Le nằm giữa hai giá trị ghi trong bảng G.2 thì lấy theo giá trị gần hơn để tra bảng

G.6. Khi tính độ ổn định của nền quanh cọc, phải kiểm tra điều kiện hạn chế áp lực tính toán σz lên đất ở mặt bên của cọc theo công thức:
(G.14)
Trong đó:
σz – áp lực tính toán lên đất T/m2, ở mặt bên cọc, xác định theo công thức (G.16) tại độ sâu z, m, kể từ mặt đất cho cọc đài cao và từ đáy dài cho cọc đài thấp:
a) Khi Le2,5:tại 2 độ sâu z=L/3 và z= L
b) Khi Le>2,5:tại độ sâu z=0,85/bd, trong đó /bd, xác định theo công thức (G6)
γ1 – Khối lượng thể tích tính toán của đất, T/m3
σ’v – Ứng suất có hiệu theo phương thẳng đứng trong đất tại độ sâu z,T/m2
φ1,C1 – Giá trị tính toán của góc ma sát trong, độ và lực dính, T/m2 của đất
ξ – Hệ số, lấy = 0,6 cho cọc nhồi và cọc ống = 0,3 cho các loại cọc còn lại;
η1 – Hệ số, lấy bằng 1, trừ trường hợp tính móng của các công trình chắn lấy bằng 0,7;
η2 – Hệ số, kể đến phần tải trọng thường xuyên trong tổng tải trọng, tính theo công thức:
(G.15)
Trong đó:
Mp – Mômen do tải trọng ngoài thường xuyên, tính toán ở tiết diện móng tại mức mũi cọc, T.m;
Mv – Mômen do tải trọng tạm thời, T.m;
n , hệ số, lấy bằng 2,5 trừ các trường hợp sau đây:
a) Những công trình quan trọng:
+ Khi Lc ≤ 2,5 lấy n = 4;
+ Khi Lc ≥ 5 lấy n = 2,5;
+ Khi Lc nằm giữa các trị số trên thì nội suy n .
b) Móng 1 hàng cọc chịu tải trọng lệch tâm thẳng đứng nên lấy n = 4, không phụ thuộc vào Lc.
Chú thích: Nếu áp lực ngang tính toán lên đất σz không thỏa mãn điều kiện (G.14) nhưng lúc này sức chịu tải của cọc theo vật liệu chưa tận dụng hết và chuyển vị của cọc nhỏ hơn trị số chuyển vị cho phép khi chiều sâu tính đổi của cọc Lc > 2,5 thì nên lặp lại việc tính toán với hệ số tỉ lệ K giảm đi (điều G.2 của phụ lục này). Với trị số mới của K cần kiểm tra độ bền của cọc theo vật liệu, chuyển vị của cọc cũng phải tuân theo điều (G.14).
G.7. Áp lực tính toán, σz, T/m2, lực cắt Qz, T, trong các tiết diện của cọc tính theo công thức:
(G.16)
(G.17)
(G.18)
Nz = N (G.19)
Trong đó:
K – Hệ số tỉ lệ xác định theo bảng G.1 của phụ lục này;
αbd, Eb, I – Có ý nghĩa như công thức (G.6);
ze – Chiều sâu tính đổi xác định theo công thức (G.4) tùy theo độ sâu thực tế z mà ở đó xác định σz, Mz, Qz;
H0, M0, y0 và Ψ0 có ý nghĩa như đã nêu ở điều G.4 và G.5 của phụ lục này;
|
A1B1, C1và D1 A3B3, C3 và D3 A4B4, C4 và D4 |
– Các hệ số lấy theo bảng (G.3); |
N – Tải trọng tính toán dọc trục tại đầu cọc.

G.8. Mômen ngàm tính toán, Mng, T.m, khi tính cọc ngàm cứng trong đài và đầu cọc không bị xoay, tính theo công thức sau:
(G.20)
Ở đây, ý nghĩa các kí hiệu đều giống nhau, như những công thức nêu ở trên. Dấu “âm” có ý nghĩa là với lực ngang H hướng từ trái sang phải, mômen truyền lên đầu cọc từ phía ngàm có hướng ngược với chiều kim đồng hồ.
TÍNH TOÁN SỨC CHỊU TẢI TRỌNG NGANG THEO PHƯƠNG PHÁP CỦA BROMS (1964)
G.9. Tùy theo độ cứng của cọc và phân bố phản lực nền theo phương ngang, cọc đạt tới sức chịu tải giới hạn theo những cơ chế khác nhau. Đối với cọc “cứng”, sức chịu tải trọng chỉ phụ thuộc vào đất nền trong khi sức chịu tải của cọc “mềm” hoàn toàn phụ thuộc vào khả năng chịu uốn của vật liệu cọc.
Các công thức tính toán và các biểu đồ được thiết lập cho trường hợp cọc nằm trong đất dính và trong đất rời.
G.9.1. Cọc trong đất dính
a) Cọc “cứng” : Sức chịu tải giới hạn, Hu, được tính toán trên cơ sở biểu đồ quan hệ giữa độ sâu ngàm cọc tương đối L/d và sức chịu tải giới hạn tương đối, Hu/Cud2, (hình G.3a). Trường hợp liên kết ngàm giữa cọc và dải cọc cũng được kể đến trong phương pháp tính.
b) Cọc “mềm” : Sức chịu tải giới hạn. Hu, được tính toán trên cơ sở biểu đồ quan hệ giữa khả năng chịu uốn giới hạn tương đối của vật liệu cọc, Mu/cud3 (hình G.3b).
G.9.2 Cọc trong đất rời
a) Cọc “cứng” : Sức chịu tải giới hạn, Hu, được tính toán trên cơ sở biểu đồ quan hệ giữa độ sâu ngàm cọc tương đối, L/d, và sức chịu tải trọng giới hạn tương đối, Hu-/Kpγd3 (hình G.4a).
b) Cọc “mềm”: Sức chịu tải giới hạn, Hu, được tính toán trên cơ sở biểu đồ quan hệ giữa khả năng chịu uốn giới hạn tương đối của vật liệu cọc, Mu/Kpγd4, và sức chịu tải giới hạn tương đối, Hu/Kpγd3 (hình G.4b).

PHỤ LỤC H
TÍNH TOÁN ĐỘ LÚN CỦA MÓNG CỌC
H.1. Độ lún của cọc đơn
Độ lún của cọc đơn, xuyên qua lớp đất có môđun cắt G1, Mpa (T/m2) và hệ số poát – xông ν1 và chống lên lớp đất được xem như bán không gian biến dạng tuyến tính đặc trưng bởi môđun cắt g2 và hệ số poat- xông ν2 được tính theo công thức sau đây với điều kiện tải trọng truyền lên cọc N ≤ Qa và khi Lp/d>5, G1 lp/G2d>1:
a) Đối với cọc đơn không mở rộng mũi;
(H.1)
Trong đó:
N – Tải trọng đứng truyền lên cọc, MN(tấn);
β – hệ số xác định theo công thức:

Trong đó:
β’ =0,17 x ln(kνG1Lp/G2d) – hệ số ứng với cọc có độ cứng tuyệt đối (EA= ∞ );
α’ = 0,17 x ln ( kvLp/d) – hệ số đối với nền đồng nhất có các đặc trưng G1 và ν1;
æ = EA/G1K2p – độ cứng tương đối của cọc;
λ1 – Thông số, xác định việc tăng độ lún do thân cọc chịu nén và tính theo công thức:
![]()
kν, kν1– Các hệ số tính theo công thức :
kν = 2,82 – 3,78 + 2,81ν2
lần lượt khi ν = (ν1 + ν2)/2 và khi ν = ν1;
Qtc – sức chịu tải của cọc xác định theo phụ lục A
b) Đối với cọc đơn mở rộng đáy:
Trong đó:
db – Đường kính phần mở rộng của cọc
Các đặc trưng G1 và ν1được lấy trung bình đối với tất cả các lớp đất trong phạm vi chiều sâu hạ cọc, còn G2 và ν2 – trong phạm vi 10 đường kích cọc hoặc đường kính phần mở rộng( đối với cọc có mở rộng mũi ) kể từ mũi cọc trở xuống với điều kiện là dưới mũi cọc không có than bùn, đất bùn có độ sệt chảy.
H.2. Tính toán độ lún của nhóm cọc
H.2.1. Dự tính độ lún của nhóm cọc được dựa trên mô hình móng quy ước. Có hai cách xác định móc quy ước như sau:
Cách 10: ranh giới móng quy ước (hình H1)
– Phía dưới là mặt phẳng AC đi qua mũi cọc được xem là đáy móng;
– Phía trên là mặt đất san nền BD, với AB = Llà độ sâu đặt móng;
– Phía cạnh là các mặt phẳng đứng AB và CD qua mép ngoài cùng của hàng cọc biên tại khoảng cách Ltbtg (φtb/4) nhưng không lớn hơn 2d (d – đường kính hoặc cạnh góc vuông) khi dưới mũi cọc có lớp sét bụi với chỉ số sệt IL > 0,6; khi có cọc xiên thì các mặt phẳng đứng nói trên đi qua mũi cọc xiên này;
![]()
Trong đó
φi – Góc ma sát trong của lớp đất có chiều dày li;
Ltb– độ sâu hạ cọc trong đất kể từ đáy dài, Ltb = Σli.
Chú thích:
1. Nếu trong chiều dài của cọc có lớp đất yếu ( bùn, than bùn,.v.v.) dày hơn 30 cm thì kích thước đáy móng quy ước giảm đi bằng cánh lấy Ltb là khoảng cách từ mũi cọc đến đáy lớp đất yếu;
2. Trọng lượng bản thân của móng quy ước gồm trọng lượng cọc, dài và đất nằm trong phạm vi móng quy ước.
Cách 20:
a) Ranh giới móng quy ước khi đất nền là đồng nhất
Cách xác định móng quy ước trương tự cách 10, chỉ khác là lấy góc mở bằng 300 cho mọi loại đất kể từ độ sâu 2Ltb/3 (hình H2).
b) Ranh giới của móng quy ước khi cọc xuyên qua một số lớp đất yếu tựa vào lớp đất cứng cánh xác định móng quy ước như mô tả trong cánh 1, riêng góc mở lấy bằng 300 kể từ độ sâu 2L1/3, với L1 – phần cọc nằm dưới lớp đất yếu cuối cùng (hình H.3)
c) Ranh giới của móng quy ước khi đất nên nằm trong phạm vi chiều dài cọc gồm nhiều lớp có sức chịu tải khác nhau.
– Chiều rộng và chiều dài bản móng quy ước là đáy hình khối có cạnh mở rộng so với mặt đứng của hàng cọc biên bằng 1/4 cho đến độ sâu 2Lp/3, từ đó trở xuống đến mặt phẳng mũi cọc góc mở bằng 300 (hình H.4);
– Độ sâu đặt móng quy ước là tại mặt phẳng mũi cọc.
H.2.2. ứng suất phụ thêm phân bố trong đất nền, dưới mũi cọc có thể tính toán theo lời giải Boussinesq với giả thiết bản móng quy ước đặt trên bán không gian đàn hồi.
H.2.3. Độ lún của móng quy ước được tính theo phương pháp quen biết như đối với móng nông trên nền thiên nhiên.
H.3. Độ lún của móng băng cọc.
H.3.1. Độ lún S, m, của móng băng với 1 hoặc 2 hàng cọc ( khi khoảng cách giữa các cọc bằng 3d – 4d) được tính theo công thức:
(H.3)
Trong đó:
p – Tải trọng phân bố đều trên mép dài kN/m ( kg/cm) có kể đến trọng lượng của móng trong khối đất và cọc với ranh giới như sau: phía trên là cốt nền; phía cạnh là mặt phẳng đứng đi qua hàng cọc ngoài cùng; phía dưới là mặt phẳng đi qua mũi cọc;
E, ν – Giá trị môđun biến dạng kPa (kg/cm2) và hệ số poát – xông của đất trong phạm vi chiều dày của lớp đất chịu nén dưới mũi cọc;
δ0 – lấy theo biểu đồ (xem hình vẽ) phụ thuốc vào hệ số poát – xông ν bề rộng quy đổi của móng b = b/h ( trong đó b – bề rộng của móng lấy tới mép ngoài của hàng cọc biên;
h – Độ sâu hạ cọc, và độ dày quy đổi của lớp đất chịu nén Hc/h (Hc – độ dày của lớp đất chịu nén xác định theo điều kiện như tính lún đối với nền thiên nhiên);
Giá trị của hệ số δ0 xác định theo biểu đồ bằng cách sau đây: Trên đồ thị vẽ qua điểm ứng với Hc/h một đường thẳng song song với trục hoành cắt đường cong b tương ứng, từ giao điểm này vẽ đường vuông góc đến gặp đường ν. Từ giao điểm nay vẽ một đương thẳng song song với trục hoánh đến cắt trục tung, đây chính là giá trị của hệ số δ0.
H.3.2. ứng suất trong nền đất dưới mũi cọc, xác định theo lời giải của bài toán phẳng với giả thiết tải trọng ở mũi cọc là phân bố đều theo chiều rộng và dài của móng.
H.4. Độ lún của móng bè cọc
H4.1. Dự tính độ lún của móng bè cọc có kích thước hơn 10 x 10 m có thể thực hiện theo phương pháp lớp biến dạng tuyến tính như trong tiêu chuẩn thiết kế nền nhà và công trình. ở đây việc tính toán nên lấy theo áp lực trung bình lên nền tại mặt phẳng đáy dài, và tăng chiều dài tính toán của lớp lên một đại lượng bằng độ sâu hạ cọc với môđun biến dạng của lớp mà cọc xuyên qua lấy bằng vô cùng hoặc bằng môđin biến dạng của vật liệu cọc.
H.4.2. Độ lún tính toán của móng gồm nhiều cọc mà mũi cọc tựa lên đất có môdun biến dạng E ≥ 20 Mpa có thể xác định theo công thức:
(H.4)
Trong đó :
P – áp lực trung bình lên nền ở đáy đài;
B – Chiều rộng hoặc đường kính móng;
E – Môđun biến dạng trung bình của lớp chịu nén dưới mặt mũi cọc với chiều dầy bằng B:

Trong đó :
E1, E2, Ei – Môdun biến dạng của lớp 1, 2 và lớp i;
h1, h2, hi – Chiều dày của lớp 1,2 và lớp i;
k1, k2, ki – Hệ số kể đến độ sâu của lớp lấy theo bảng H.1 tuỳ theo độ sâu của lớp đáy.
Bảng H.1 – Trị số k
|
Độ sâu của đáy lớp (Phần lẻ của B) |
(0 – 0,2) B |
(0,2 -0,4) B |
(0,4 – 0,6)B |
(0,6 – 0,8)B |
(0,8 – 1) B |
|
Hệ số ki |
1 |
0,85 |
0,6 |
0,5 |
0,4 |
H.5. Các đặc trưng biến dạng nêu ở điều 5.1 của tiêu chuẩn là những đại lượng sau đây (hình H6, H7,H8 và H9):
– Độ lún S là chuyển vị đi xuống của một điểm đang xét, ví dụ độ lún của điểm B là SB;
– Độ lún lệch ΔS là chuyển vị của một điểm này đối với một điểm khác, như chuyển vị của điểm B đối với điểm A là ΔSBA;
– Biến dạng góc α tại một điểm là sự thay đổi độ dốc tại điểm này, như αA = ΔSAB/LBA + ΔSBC/LBC;
– Góc xoay ω là góc mở của vật thể rắn của một đơn vị công trình so với phương thẳng đứng;
– Góc xoắn tương đối là tỉ số Δω/ L;
– Độ nghiêng i là tỉ số ΔS/L của 2 điểm mép ngoài cùng của công trình (đối với móng cứng tuyệt đối);
– Độ võng (hay vồng), f, là chuyển vị lớn nhất diễn ra giữa hai điểm so với đường thẳng vẽ giữa chúng (đối với móng mềm);
– Độ xoắn tương đối β là độ xoay của một đường thẳng giữa hai điểm mốc có liên quan tới sự nghiêng;
– Độ méo góc (hay độ võng hoặc vồng tương đối) f/L là tỉ số của độ võng giữa hai điểm với khoảng cách giữa chúng.
Trong bảng H2 và H3 nêu các biến dạng giới hạn của nền và kết cấu do lún gây ra
Bảng H.2 – Biến dạng giới hạn của nền ( theo SniP2.02.01.83)
|
Công trình |
Độ lún lệch tương đối Δ(S/L)U |
Độ nghiêng iu |
Độ lún trung bình Su hoặc lớn nhất Smax (trong ngoặc), cm |
|
1. Nhà sản xuất một tầng và nhà dân dụng nhiều tầng có khung hoàn toàn: – Bằng bê tông cốt thép – Bằng thép |
0,002 0,004 |
– – |
(8) (12) |
|
2. Nhà và công trình mà trong kết cấu không xuất hiện nội lực do độ lún không đều. |
0,006 |
– |
(15) |
|
3. Nhà nhiều tầng không khung với tường chịu lực: – Bằng tấm lợp – Bằng khối lớn hoặc có thể xây gạch không có thép – Như trên nhưng có thép, trong đó có giằng bê tông cốt thép |
0,0016 0,0020 0,0024 |
0,005 0,0005 0,0005 |
10 10 15 |
|
4. Công trình thép chứa vận thăng bằng kết cấu bê tông cốt thép; – Nhà công tác và xi lô kết cấu đổ tại chỗ liên khối trên cùng một móng bè – Như trên nhưng kết cấu lắp ghép – Xi lô độc lập kết cấu toàn khối đổ tại chỗ – Như trên nhưng kết cấu lắp ghép – Nhà công tác đứng độc lập |
– – – |
0,004 0,004 0,004 |
40 30 25 |
|
5. ống khói có chiều cao H, m : – H ≤100 m -100< H < 200 – 200 < h 300 – H > 300 |
– – – – |
0,005 1/(2H) 1/(2H) 1/(2H) |
40 30 20 10 |
|
6. Công trình cứng cao đến 100m, ngoài những điều đã nói ở điểm 4 và 5 |
– |
0,004 |
20 |
|
7. Công trình liên lạc, ăng ten : – Thân tháp tiếp đất – Thân tháp phát thanh cách điện với đất – Tháp phát thanh – Tháp phát thanh sóng ngắn – Tháp ( block riêng rẽ ) |
– – 0,002 0,0025 0,001 |
0,002 0,001 – – – |
20 10 – – – |
|
8. Trụ đường dây tải điện trên không – Trụ trung gian – Trụ neo, neo góc, trụ góc trung gian, trụ ở vòng cung, cửa chính của thiết bị phân phối kiểu hở. – Trụ trung chuyển đặc biệt |
0,003 0,0025
|
0,003 0,0025
|
– –
|
Chú thích cho bảng H.2:
1) Trị giới hạn của độ võng (vồng lên) tương đối của nhà nói ở điểm 3 lấy bằng 0,5( ΔS/L)U
2) Khi xác định độ lún lệch tương đối ΔS/L nói ở điểm 8, L là khoảng cách giữa 2 trục block móng theo hướng tải trọng ngang, còn ở các trụ kéo dây – là khoảng cách giữa các trục của mong chịu nén và neo.
3) Nếu nền gồm các lớp đất nằm ngang ( với độ dốc không quá 0,1) thì trị giới hạn về độ lún trung bình cho phép tăng lên 20%.
4) Đối với công trình nói ở điểm 2 và 3 có móng dạng bè thì trị giới hạn của độ lún trung bình cho phép tăng lên 1,5 lần.
5) Trên cơ sở tổng kết kinh nghiệm thiết kế xây dựng và khai thác các loại công trình khác nhau, cho phép lấy trị biến dạng giới hạn của nền khác với trị cho ở bảng này.
Bảng H.3 – Giới hạn biến dạng góc (Theo Skempton và McDonald, 1956; Bjerrum, 1963 và Wroth, 1975)
|
f/L |
Trạng thái công trình giới hạn |
|
1/5000 1/3000 1/1000 1/750 1/600 1/500 1/300 1/250 1/150 |
Vết ran li ti quan sát thấy trong công trình gạch không cốt thép; các tường chịu lực bị cong. Các vết nứt nhìn thấy ở các tường chịu lực. Các vết nứt nhìn thấy ở các tường gạch chèn khung. Giới hạn thực tế để ngăn chăn sự mất cân bằng của máymóc có độ chính xác cao Mức quá ứng suất cho phép trong các cấu kiện nghiêng trở lên đáng kể. Giới hạn thực tể để ngăn chặn các vết nứt trầm trọng trong nhà khung và công trình hiện đại. Hư hại khung công trình và tường tấm lớn, gây trở ngại cho di chuyển của các cần trục ở cao. Nghiêng đáng chú ý trong các nhà nhiều tầng. Hư hại đến kết cấu đối với hầu hết công trình. |
Chú thích cho bảng H.3
1) Đối với công trình bình thường, biến dạng góc giới hạn lấy nhỏ hơn 1/500
2) Cần tránh hư hại khi các khe nứt nhìn thấy được nếu biến dạng góc nhỏ hơn 1/1000.
3) Hư hại công trình ít sảy ra với giá trị f/L < 1/150.



PHỤ LỤC I
ĐẶC ĐIỂM THIẾT KẾ MÓNG CỌC TRONG VÙNG CÓ ĐỘNG ĐẤT
I.1. Khi tính toán sức chịu tải của cọc làm việc dưới tải trọng nén hoặc nhổ, giá trị Qp và Fi nên nhân với hệ số giảm thấp điều kiện làm việc của đất mềm Mcl và Mc2 cho trong bảng I.1 trừ trường hợp cọc chống lên đá và đất hòn lớn.
Giá trị Qp cũng phải nhân với hệ số điều kiện làm việc Mc3 = 1 khi Le ≥ 3 và Mc3 = 0,9 khi Le < 3 trong đó Le – Chiều dài tính đổi của cọc xác định theo hướng dẫn ở phụ lục G. Ma sát bên cọc, Fi trong khoảng giữa mặt đất đến độ sâu hu lấy bằng 0:
(1.1)
Trong đó:
αbd – hệ số biến dạng, xác định theo công thức (G.6) trong phụ lục G của tiêu chuẩn này.
I.2. Khi tính toán cọc theo điều kiện hạn chế áp lực lên đất qua mặt bên của cọc nêu trong phụ lục G, dưới tác dụng của tải trọng động đất, lấy giá trị của góc ma sát trong tính toán φ1 giảm như sau: Đối với động đất tính toán cấp 7-2 độ, 8-4 độ, cấp 9-7 độ.
I.3. Khi tính toán móng cọc của cầu, ảnh hưởng của động đất đến điều kiện ngàm cọc vào cát bụi no nước đất sét và á sét dẻo chảy vào dẻo mềm hoặc á cát chảy thì hệ số K cho trong bảng G.1 phụ lục G phải giảm đi 30%.
Khi tính toán sức chịu tải trọng của cọc chịu tác động của lực ngang cần phải kể đến đặc trưng ngắn hạn của tác động động đất bằng cánh tăng hệ số η2 thêm 30%, còn trường hợp móng một hàn cọc với tải trọng tác dụng tại mặt phẳng vuông góc với hàng đó thì η2tăng lên 10%.
I.4. Sức chịu tải của cọc, Qtc, T làm việc với tải trọng nén và nhổ thẳng đứng theo kết quả thí nghiệm hiện trường phải được xác định có xét đến tác động động đất theo công thức:
Qtc = kc . Qu (1.2 )
Trong đó:
Kc – Hệ số, bằng tỉ số giữa giá trị sức chịu tải trọng nén của cọc Qu nhận được bằng cách tính theo những chỉ dẫn ở điều I.1 và I.2 của phụ lục này có xét đến tác động động đất với giá trị tính theo chỉ dẫn ở chương 4 của tiêu chuẩn (không tính đến tác động động đất).
Qu – Sức chịu tải cực hạn của cọc, T, xác định theo kết quả thí nghiệm động tĩnh, xuyên tĩnh như chỉ dẫn ở chương 4 ( không tính đến tác động động đất)
Bảng I.1 – Hệ số Mc1 và Mc2
|
Cấp động đất tính toán |
hệ số điều kiện làm việc mcl để hiệu chỉnh qp trong đất |
Hệ số điều kiện làm việc mc2 để hiệu chỉnh f1, trong đất |
|||||||||
|
Cát chặt |
Cát chặt vữa |
Sét bụi ở độ sệt |
Cát chặt và chặt vừa |
Sét bụi ở độ sệt |
|||||||
|
ẩm và ít ẩm |
No nước |
ẩm và ít ẩm |
No nước |
IL < 0 |
0 ≤ IL ≤ 0,5 |
ẩm và ít ẩm |
No nước |
IL < 0 |
0 ≤ IL < 0,75 |
0,75 ≤ IL <1 |
|
|
7 |
1 |
0,9 |
0,95 |
0.8 |
1 |
0,95 |
0,95 |
0,90 |
0,95 |
0,85 |
0,75 |
|
|
— 0,9 |
—- – |
—- 0.85 |
—- – |
—- 1 |
—- 0.90 |
—- 0.85 |
—- – |
—- – |
—- 0.80 |
—- 0.75 |
|
8 |
0,9 — 0,8 |
0,8 —- – |
0,85 —- 0.75 |
0,7 —- – |
0,95 —- 0.95 |
0,90 —- 0.80 |
0,85 —- 0.75 |
0,80 —- – |
0,90 —- 0.80 |
0,80 —- 0.70 |
0,70 —- 0.65 |
|
9 |
0,8 —- 0,7 |
0,7 —- |
0,75 —- 0.60 |
– |
0,9 —- 0.85 |
0,85 —- 0.70 |
0,75 —- 0.65 |
0,70 —- |
0,85 —- 0.65 |
0,70 —- 0.60 |
0,60 —- |
|
Chú thích: Trị số ở tử số là dùng cho cọc đóng, ở mẫu số cho cọc nhồi. |
|||||||||||
I.5. Đối với móng trong vùng động đất cho phép dùng tất cả các loại cọc, trừ cọc không có cốt thép ngang.
Khi thiết kế mong cọc trong vùng có động đất phải đưa mũi cọc tựa lên loại đất đá, đất hòn lớn, cát chặt và chặt trung bình, đất sét có chỉ số sệt IL ≤ 0,5.
Không cho phép tựa mũi cọc lên cát dời bão hòa nước đất sét bụi có chỉ số sệt IL > 0,5.
I.6. Độ cắm sâu cọc vào trong đất ở vùng động đất phải lớn hơn 4m, và khi mũi cọc nằm trong nền đất cát bão hoà nước chặt vừa thì không nhỏ hơn 8m trừ trường hợp mũi cọc tựa trên đá, cho phép giảm độ chôn sâu của cọc khi có những kết quả chính xác của thí nghiệm cọc tại hiện trường bằng tác động bởi động đất mô phỏng.
I.7. Đài cọc dưới tường chịu lực của một khối nhà hoặc công trình cần phải liền khối và bố trí trên cùng một cao độ. Trong trường hợp liên kết ngàm, chiều dài ngàm cọc vào đài được xác định bằng tính toán có kể đến tải trọng động đất.
Không cho phép xây dựng móng cọc không có đai cho nhà và công trình
I.8. Khi có đủ cơ sở kinh tế – kỹ thuật, cho phép dùng móng cọc có đệm trung gian bằng vật liệu rời (đá răm, sỏi sạn, cát hạt thô lớn và cát trung )/ Giải pháp này không được sử dụng trong nền đất trương nở, đất than bùn, đất lún ướt, ở những vùng có hiện tượng trượt và hang ngầm (carst và vùng khai thác mỏ.)
Không nên tính toán cọc chịu tải trọng ngang trong móng có đệm trung gian. Sức chịu tải trọng nén có kể đến tác động động đất nên xác định theo tát cả mặt bên của cọc, tức là hu = 0, còn hệ số điều kiện làm việc của mũi cọc dưới tác dụng động đất mcl lấy bằng 1,2.
PHỤ LỤC K
THIẾT KẾ CỌC CHO TRỤ ĐƯỜNG DÂY TẢI ĐIỆN TRÊN KHÔNG
K.1. Sức chịu tải của cọc chịu nén thi công bằng phương pháp đóng cho các trụ đường dây được xác định theo các công thức (A.4) và (A.6) của phụ lục A, trong đó các hệ số điều kiện làm việc được lấy như sau:
a) Đối với trụ trung gian bình thường mc = 1,2;
b) Trong các trường hợp khác mc = 1,0
K.2. Sức chịu tải của cọc chịu nhổ được xác định theo công thức (A.10) của phụ lục A, trong đó các hệ số điều kiện làm việc được lấy như sau:
a) Đối với trụ trung gian tiêu chuẩn mc = 1,2;
b) Đối với trụ neo và góc mc = 1,0
c) Khoảng vượt lớn, nếu trọng lượng cọc và đài cọc bằng lực nhổ tính toán, thì lấy mc = 0,6;
d) Các trường hợp còn lại mc lấy theo nội suy.
K.3. Sức chịu tải của cọc khi chịu nén tính theo công thức (A.4) của phụ lục A phải giảm đi một lượng bằng 1,2W. khi cọc chịu nhổ, tính theo công thức (A.10), thì tăng thêm một lượng bằng 0,9W trong đó W là trọng lượng của cọc.
Khi tính toán móng cọc chịu nhổ trong đất dưới mực nước ngầm, cần xét tới tác dụng đẩy nổi của nước.
K.4. Ma sát bên của cọc trong móng đường dây tải điện trên không đối với đất sét bụi có chỉ số sệt IL > 0,3 cần phải tăng 25% so với giá trị cho trong bảng ở phụ lục A và cần áp dụng hệ số điều kiện làm việc bổ sung mg nêu trong bảng K.1 của phụ lục này.
Bảng K.1 – Hệ số mg
|
Loại móng đặc trưng của đất và tải trọng |
Các hệ số điều kiện làm việc bổ sung mg khi chiều dài của cọc |
|||
|
Lp > 25d |
Lp < 25d và các tỷ lệ |
|||
|
H/N ≤ 0,1 |
H/N = 0,4 |
H/N = 0,6 |
||
|
1. Móng dưới trụ trung gian tiêu chuẩn khi tính: a) Cọc đơn chịu tải trọng nhổ : – Trong đất cát và á cát – Trong sét và á sét: Khi IL ≤ 06 Khi IL > 0,6 b) Cọc đơn chịu tải trọng nén và cọc trong nhóm chịu tải trọng nhổ: – Trong đất cát và á cát – Trong sét và á sét. Khi IL ≤ 06 Khi IL > 0,6 2. Móng dưới neo, dưới trụ ở góc, ở các đâu mút, dưới trụ chuyển tiếp lớn khi tính. a) Cọc đơn chịu tải nhổ: – Trong đất cát và á cát – Trong sét và á sét. b) Cọc trong nhóm chịu tải trọng nhổ: – Trong đất cát và á cát – Trong sét và á sét. c) Cọc chịu tải trọng nén trong mọi loại đất |
0,9
1,15 1,5
0,9
1,15 1,50
0,8 1,0
0,8 1,0 1,0 |
0,9
1,15 1,5
0,9
0 1,50
0,8 1,0
0,8 1,0 1,0 |
0,8
1,05 1,35
0,9
1,15 1,50
0,7 0,9
0,8 1,0 1,0 |
0,55
0,7 0,9
0,9
1,15 1,50
0,6 0,6
0,8 1,0 1,0 |
Chú thích:
1) trong bảng K.1 lấy ký hiệu như sau:
d- Đường kính của cọc tròn, cạnh của cọc vông hoặc cạnh dài nhất của cọc tiết diện chữ nhật
H- Tải trọng ngang tính toán
N- Tải trọng đứng tính toán
2) Khi hạ cọc đơn với góc nghiêng hơn 100 về phía tác dụng của tải trọng ngang thì hệ số điều kiện làm việc mg lấy như đối với cọc thẳng đứng làm việc trong nhóm cọc (điểm 1b và 2b trong bảng K.1).


