Tiêu chuẩn XDVN TCXD33:1985

  • Loại văn bản: Tiêu chuẩn XDVN
  • Số hiệu: TCXD33:1985
  • Cơ quan ban hành: ***
  • Người ký: ***
  • Ngày ban hành: ...
  • Ngày hiệu lực: ...
  • Lĩnh vực: Xây dựng
  • Tình trạng: Không xác định
  • Ngày công báo: ...

Nội dung toàn văn Tiêu chuẩn xây dựng TCXD 33:1985 về cấp nước – mạng lưới bên ngoài và công trình – tiêu chuẩn thiết kế


Đặc điểm hộ dùng nước

Bậc tin cậy của hệ thống cấp nước

– Các xí nghiệp luyện kim, chế biến dầu lửa, công nghiệp hóa học, nhà máy điện, hệ thống cấp nước sinh hoạt của điểm dân cư trên 50.000 người, được phép giảm lưu lượng nước cấp không quá 30% lưu lượng nước tính toán trong 3 ngày.

– Các xí nghiệp khai thác mỏ, chế tạo cơ khí và các loại công nghiệp khác, hệ thống cấp nước sinh hoạt của điểm dân cư đến 50.000 người được phép giảm lưu lượng nước cấp không quá 30% lưu lượng trong l tháng hoặc ngừng cấp nước trong 12 giờ.

– Các xí nghiệp công nghiệp nhỏ, hệ thống tưới nông nghiệp, hệ thống cấp nước sinh hoạt của điểm dân cư đến 5.000 người và hệ thống cấp nước của khu công nghiệp được phép giảm lưu lượng cấp nước không quá 30% trong l tháng và ngừng cấp nước trong 2 ngày.

I

 

 

II

 

 

 

III

Ghi chú:

1- Những xí nghiệp không ghi trong bảng 1-1 nhưng có hệ thống cấp nước tuần hoàn thì xếp vào bậc II.

2- Các hộ dùng nước đặc biệt do cơ quan có thẩm quyền xét duyệt không áp dụng bậc tin cậy nói trên.

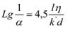
1.13. Vật liệu ống dùng cho mạng lưới và công trình cấp nước lấy theo chỉ dẫn ở điều 5.39;7.12; 8.20.

2. Sơ đồ cấp nước vùng

2.1. Phải lập sơ đồ cấp nước dùng để xác định khả năng và sự hợp lí về kinh tế trong việc bố trí các khu công nghiệp, nông nghiệp và dân cư khi xây dựng mới hoặc mở rộng khu vực hiện có.

2.2. Lập sơ đồ cấp nước vùng theo hướng dẫn ở phụ lục 1.

2.3. Tiêu chuẩn dùng nước ăn uống sinh hoạt của điểm dân cư (có kể đến nước cho công nghiệp, công trình công cộng, tưới đường, tưới cây v.v… lấy theo bảng 2- l) .

Bảng 2-1

Bạn phải đăng nhập hoặc đăng ký Thành Viên TVPL Pro để sử dụng được đầy đủ các tiện ích gia tăng liên quan đến nội dung TCVN.

Mọi chi tiết xin liên hệ: ĐT: (028) 3930 3279 DĐ: 0906 22 99 66

Tiêu chuẩn cấp nước tính theo đầu người (ngày trung bình trong năm) 1/người.ngày

Thành phố lớn, thành phố du lịch, nghỉ mát, khu công nghiệp lớn.

200-250

Thành phố, thị xã vừa và nhỏ, khu công nghiệp nhỏ

150-200

Thị trấn, trung tâm công – nông nghiệp, công – ngư nghiệp.

80-120

Nông thôn

25 – 50

Bạn phải đăng nhập hoặc đăng ký Thành Viên TVPL Pro để sử dụng được đầy đủ các tiện ích gia tăng liên quan đến nội dung TCVN.

Mọi chi tiết xin liên hệ: ĐT: (028) 3930 3279 DĐ: 0906 22 99 66

2.4. Tiêu chuẩn dùng nước cho nhu cầu sản xuất công nông nghiệp phải xác định trên cơ sở những tài liệu thiết kế đã có, các chỉ tiêu cơ bản hoặc so sánh với các điều kiện sản xuất tương tự.

2.5. Khi cân đối với nhu cầu cấp nước vùng phải ưu tiên xác định những nguồn nước hiện có trong vùng, sau đó mới xác định nội đung và hiệu quả kinh tế kĩ thuật của các biện pháp như bổ sung lưu lượng từ các vùng lân cận, khả năng cấp nước của các hồ lớn khi điều hoà dòng chảy.

2.6. Khi sử dụng tổng hợp các nguồn nước cho nhiều hộ tiêu thụ có bậc tin cậy khác nhau thì việc cân đối nhu cầu cấp nước phải được tiến hành với toàn bộ bậc tin cậy tính toán cho tất cả các hộ tiêu thụ, riêng đối với những hộ tiêu thụ có bậc tin cậy thấp hơn cho phép kiểm tra riêng.

2.7. Khi sử dụng nguồn nước mặt mà không cần điều hoà dòng chảy để cân đối, công trình cấp nước phải tính toán theo tuyến có lưu lượng nhỏ nhất. Trường hợp này phải lập bảng cân đối công trình nước theo lưu lượng trung bình tháng ứng với tần suất tính toán của nguồn nước.

2.8. Trường hợp nhu cầu dùng nước vượt quá lưu lượng của nguồn nước mặt thì cần nghiên cứu điều hoà dòng chảy bằng hồ chứa.

2.9. Có thể điều hoà dòng chảy bằng các biện pháp sau đây:

– Xây dựng hồ chứa điều chỉnh theo mùa khi nhu cầu lấy nước nhỏ hơn hoặc bằng lưu lượng của năm kiệt ứng với tần suất tính toán kể cả lưu lượng nước mất đi ở hồ chứa;

– Xây dựng hồ chứa điều chỉnh dòng chảy nhiều năm khi nhu cầu lấy nước hàng năm vượt quá lưu lượng nước của năm kiệt ứng với tần suất tính toán nhưng bé hơn lưu lượng của dòng chảy trung bình nhiều năm.

2.10. Khi sử dụng tổng hợp các nguồn nước ngầm và nước mặt phải lập bảng cân đối sử dụng các nguồn nước theo mùa để xét việc sử dụng các nguồn nước mặt theo các điều trên. Còn các nguồn nước ngầm khi cần bổ sung lưu lượng phải áp dụng theo chương 5. Lưu lượng sử dụng và bổ sung cho 2 loại nguồn nước phải xác định tổng hợp trên cơ sở kinh tế kĩ thuật.

Bạn phải đăng nhập hoặc đăng ký Thành Viên TVPL Pro để sử dụng được đầy đủ các tiện ích gia tăng liên quan đến nội dung TCVN.

Mọi chi tiết xin liên hệ: ĐT: (028) 3930 3279 DĐ: 0906 22 99 66

3.1. Công suất của hệ thống cấp nước sinh hoạt và chữa cháy ở các điểm dân cư tùy theo điều kiện địa phương, phải đảm bảo được các yêu cầu sau đây:

– Nhu cầu dùng nước cho ăn uống sinh hoạt của khu vực xây dựng nhà ở và các công trình công cộng;

– Tưới và rửa đường phố, quảng trường, cây xanh, nước cấp cho các vòi phun;

– Tưới cây trong vườn ươm;

– Cấp nước ăn uống, sinh hoạt trong các xí nghiệp, công nông nghiệp;

– Cấp nước sản xuất cho những xí nghiệp dùng nước đòi hỏi chất lượng như nước sinh hoạt, hoặc nếu xây dựng hệ thống cấp nước riêng thì không hợp lý về kinh tế;

– Cấp nước chữa cháy;

– Cấp nước cho yêu cầu riêng của trạm xử lí nước;

– Cấp nước cho các nhu cầu khác, trong đó có việc sục rửa mạng lưới đường ống và thoát nước v.v…

Bạn phải đăng nhập hoặc đăng ký Thành Viên TVPL Pro để sử dụng được đầy đủ các tiện ích gia tăng liên quan đến nội dung TCVN.

Mọi chi tiết xin liên hệ: ĐT: (028) 3930 3279 DĐ: 0906 22 99 66

Bảng 3-l

STT

Mức độ tiện nghi của khu nhà

Tiêu chuẩn cấp nước sinh hoạt trọng điểm dân cư cho 1 người trong ngày (trung bình trong năm) (1/người.ngày)

1

2

 

3

 

Bạn phải đăng nhập hoặc đăng ký Thành Viên TVPL Pro để sử dụng được đầy đủ các tiện ích gia tăng liên quan đến nội dung TCVN.

Mọi chi tiết xin liên hệ: ĐT: (028) 3930 3279 DĐ: 0906 22 99 66

Nhà có vòi nước riêng, không có các thiết bị vệ sinh.

Nhà có thiết bị vệ sinh, tắm hương sen và hệ thống thoát nước bên trong.

Nhà có thiết bị vệ sinh, chậu tắm và hệ thống thoát nước bên trong.

Như trên và có tắm nước nóng cục bộ.

60 – 100

100 – 150

 

150 – 250

 

Bạn phải đăng nhập hoặc đăng ký Thành Viên TVPL Pro để sử dụng được đầy đủ các tiện ích gia tăng liên quan đến nội dung TCVN.

Mọi chi tiết xin liên hệ: ĐT: (028) 3930 3279 DĐ: 0906 22 99 66

Ghi chú:

1- Đối với những khu vực dùng nước ở vòi công cộng lấy theo tiêu chuẩn 40-60 1/ngày.người.

2- Việc lựa chọn tiêu chuẩn dùng nước trong giới hạn trên cần căn cứ vào điều kiện tự nhiên, lưu lượng nguồn nước, mức độ tiện nghi, số tầng nhà và các điều kiện địa phương khác.

3- Căn cứ vào điều kiện nguồn nước, điều kiện kinh tế kĩ thuật để chọn tiêu chuẩn dùng nước trong giới hạn nói trên. Đối với những khu dân cư mới xây dựng hoặc nhiệt độ trung bình cao nên chọn giới hạn trên.

4- Khi chưa có số liệu cụ thể về mật độ dân cư phân loại theo mức độ tiện nghi, có thể lấy tiêu chuẩn trung bình như sau:

a) Nhà 1, 2 tầng ——— 80-1201/người.ngày

b) Nhà từ 3 đến 5 tầng — 120-180 1/người.ngày

c) Khu du lịch, nghỉ mát, khách sạn cao cấp và các khu đặc biệt v.v… tuỳ theo mức độ tiện nghi lấy từ 180-400 1/người.ngày.

5- Đối với các điểm dân cư nông nghiệp có mật độ 350ng/ha, với số dân dưới 3.000 người lấy tiêu chuẩn 40-50 1/người.ngày. Với dân số trên 3.000 người lấy tiêu chuẩn 50-60 1/người.ngày.

Bạn phải đăng nhập hoặc đăng ký Thành Viên TVPL Pro để sử dụng được đầy đủ các tiện ích gia tăng liên quan đến nội dung TCVN.

Mọi chi tiết xin liên hệ: ĐT: (028) 3930 3279 DĐ: 0906 22 99 66

3.3. Lưu lượng ngày tính toán (trung bình trong năm) cho nhu cầu sinh hoạt trong khu dân cư cần xác định theo công thức:

Trong đó:

qi – Tiêu chuẩn dùng nước lấy theo bảng 3- l.

Ni – Số dân tính toán ứng với tiêu chuẩn dùng nước qi;

Lưu lượng nước tính toán trong ngày dùng nước nhiều nhất và ít nhất Qngày(m3/ngày) cần tính theo công thức:

Qngày.max = Kngày.max X Qngày.tb

Qngày.min = Kngày.min X Qngày.tb           (2)

Hệ số dùng nước không điều hoà ngày kể đến cách tổ chức đời sống xã hội, chế độ làm việc của các xí nghiệp, mức độ tiện nghi, sự thay đổi nhu cầu dùng nước theo mùa cần lấy như sau:

Bạn phải đăng nhập hoặc đăng ký Thành Viên TVPL Pro để sử dụng được đầy đủ các tiện ích gia tăng liên quan đến nội dung TCVN.

Mọi chi tiết xin liên hệ: ĐT: (028) 3930 3279 DĐ: 0906 22 99 66

Kngày.min = 0,7 – 0,9

Lưu lượng giờ tính toán q m3/h, phải xác định theo công thức:

     (3)

Hệ số dùng nước không điều hoà giờ, K giờ cần xác định theo biểu thức:

K giờ max = D max x E max;

K giờ min = D min x E min;        (4)

D – Hệ số kể đến mức độ tiện nghi của công trình, chế độ làm việc của các xí nghiệp và các điều kiện địa phương khác như sau:

Dmax = 1,4 – 1,5

Dmin = 0,4 – 0,6

Bạn phải đăng nhập hoặc đăng ký Thành Viên TVPL Pro để sử dụng được đầy đủ các tiện ích gia tăng liên quan đến nội dung TCVN.

Mọi chi tiết xin liên hệ: ĐT: (028) 3930 3279 DĐ: 0906 22 99 66

Bảng 3-2

Số dân (1000 người)

1

2

4

6

10

20

50

Bạn phải đăng nhập hoặc đăng ký Thành Viên TVPL Pro để sử dụng được đầy đủ các tiện ích gia tăng liên quan đến nội dung TCVN.

Mọi chi tiết xin liên hệ: ĐT: (028) 3930 3279 DĐ: 0906 22 99 66

300

1000 và lớn hơn

βmax

β min

2

0,10

1,8

0,15

1,6

Bạn phải đăng nhập hoặc đăng ký Thành Viên TVPL Pro để sử dụng được đầy đủ các tiện ích gia tăng liên quan đến nội dung TCVN.

Mọi chi tiết xin liên hệ: ĐT: (028) 3930 3279 DĐ: 0906 22 99 66

1,4

0,25

1,3

0,4

1,2

0,5

1,15

0,6

1,1

Bạn phải đăng nhập hoặc đăng ký Thành Viên TVPL Pro để sử dụng được đầy đủ các tiện ích gia tăng liên quan đến nội dung TCVN.

Mọi chi tiết xin liên hệ: ĐT: (028) 3930 3279 DĐ: 0906 22 99 66

1,05

0,85

1

1

Ghi chú:

1- Lưu lượng ngày trong khu dân cư khi các khu nhà ở có mức độ tiện nghi hoặc tầng cao khác nhau phải lấy bằng tổng lưu lượng ngày của từng khu xác định theo tiêu chuẩn dùng nước và số dân tương ứng.

2- Khi xác định lưu lượng để tính toán công trình và mạng lưới, kể cả mạng lưới bên trong khu nhà ở, hệ số E phải lấy theo số dân được phục vụ, còn trong hệ thống cấp nước phân vùng phải tính theo số dân của mỗi vùng.

3.4. Trong các khu dân cư việc phân phối nước theo giờ trong ngày cho tưới rửa, cho sinh hoạt và tắm trong các xí nghiệp lấy theo các biểu đồ tổng hợp. Biểu đồ này được lập trên cơ sở các biểu đồ dùng nước của từng đối tượng hoặc tham khảo biểu đồ thực tế của các khu dân cư tương tự. Khi lập biểu đồ hoặc bảng dùng nước tổng hợp có thể sử dụng bảng 3 – 3.

Bảng 3-3

Bạn phải đăng nhập hoặc đăng ký Thành Viên TVPL Pro để sử dụng được đầy đủ các tiện ích gia tăng liên quan đến nội dung TCVN.

Mọi chi tiết xin liên hệ: ĐT: (028) 3930 3279 DĐ: 0906 22 99 66

Lưu lượng tính bằng % lưu lượng ngày lớn nhất của thời gian dùng nước

Nhiều nhất

Trung bình

ít nhất

– Nước tưới rửa đường, quảng trường, cây xanh và tưới vườn ươm.

– Nước ăn uống sinh hoạt và tắm trong các xí nghiệp công nghiệp.

0

 

20 – 40

Bạn phải đăng nhập hoặc đăng ký Thành Viên TVPL Pro để sử dụng được đầy đủ các tiện ích gia tăng liên quan đến nội dung TCVN.

Mọi chi tiết xin liên hệ: ĐT: (028) 3930 3279 DĐ: 0906 22 99 66

 

30 – 50

50 – 80

 

10 – 50

3.5. Tiêu chuẩn nước tưới, rửa trong khu dân cư và khu công nghiệp tùy theo loại mặt đường, cách rửa, loại cây và các điều kiện địa phương khác cần lấy theo bảng 3 – 4.

Bảng 3 – 4

Mục đích dùng nước

Đơn vị tính

Bạn phải đăng nhập hoặc đăng ký Thành Viên TVPL Pro để sử dụng được đầy đủ các tiện ích gia tăng liên quan đến nội dung TCVN.

Mọi chi tiết xin liên hệ: ĐT: (028) 3930 3279 DĐ: 0906 22 99 66

– Rửa bằng cơ giới, mặt đường và quảng trường đã hoàn thiện.

– Tưới bằng cơ giới, mặt đường và quảng trường đã hoàn thiện.

– Tưới bằng thủ công(có ống mềm) vỉa hè và mặt đường hoàn thiện.

– Tưới cây xanh đô thị

– Tưới thảm cỏ và bồn hoa

– Tưới cây trong vườn ươm các loại.

1 lần rửa

 

1 lần tưới

Bạn phải đăng nhập hoặc đăng ký Thành Viên TVPL Pro để sử dụng được đầy đủ các tiện ích gia tăng liên quan đến nội dung TCVN.

Mọi chi tiết xin liên hệ: ĐT: (028) 3930 3279 DĐ: 0906 22 99 66

1 lần tưới

1 lần tưới

1 lần tưới

1 ngày

1,2 – 1,5

 

0,3 – 0,4

 

0,4 – 0,5

Bạn phải đăng nhập hoặc đăng ký Thành Viên TVPL Pro để sử dụng được đầy đủ các tiện ích gia tăng liên quan đến nội dung TCVN.

Mọi chi tiết xin liên hệ: ĐT: (028) 3930 3279 DĐ: 0906 22 99 66

4 – 6

6

Ghi chú:

1- Khi thiếu số liệu về quy hoạch (đường đi, cây xanh, vườn ươm) thì lưu lượng nước để tưới tính theo dân số lấy không quá 8 – 12% tiêu chuẩn cấp nước sinh hoạt tùy theo điều kiện khí hậu; khả năng nguồn nước, mức độ hoàn thiện của khu dân cư và các điều kiện tự nhiên.

2- Trong khu công nghiệp có mạng lưới cấp nước sản xuất thì nước tưới đường, tưới cây được phép lấy từ mạng lưới này, nếu chất lượng nước phù hợp với yêu cầu vệ sinh và kĩ thuật trồng trọt.

3.6. Số lần tưới cần xác định theo điều kiện địa phương.

3.7. Tiêu chuẩn nước cho nhu cầu sinh hoạt trong xí nghiệp công nghiệp phải lấy theo bảng 3- 5

Bảng 3-5

Loại phân xưởng

Bạn phải đăng nhập hoặc đăng ký Thành Viên TVPL Pro để sử dụng được đầy đủ các tiện ích gia tăng liên quan đến nội dung TCVN.

Mọi chi tiết xin liên hệ: ĐT: (028) 3930 3279 DĐ: 0906 22 99 66

Hệ số không điều hòa giờ

– Phân xưởng tỏa nhiệt trên 20 Kcalo/m3 giờ

– Các phân xưởng khác

45

25

2,5

3

3.8. Lưu lượng giờ cho một nhóm vòi tắm hương sen trong xí nghiệp công nghiệp cần lấy bằng 300 1/h. Thời gian dùng vòi tắm hương sen kéo dài 45 phút sau khi hết ca. Số vòi tắm hương sen tính theo số công nhân trong ca đông nhất và đặc điểm vệ sinh của quá trình sản xuất theo bảng 3- 6.

Bảng 3-6

Bạn phải đăng nhập hoặc đăng ký Thành Viên TVPL Pro để sử dụng được đầy đủ các tiện ích gia tăng liên quan đến nội dung TCVN.

Mọi chi tiết xin liên hệ: ĐT: (028) 3930 3279 DĐ: 0906 22 99 66

Đặc điểm vệ sinh của quá trình sản xuất

Số người sử dụng tính cho 1 nhóm hương sen

I

 

II

a) Không làm bẩn quần áo và tay chân

b) Làm bẩn quần áo và tay chân c) Có dùng nước

d) Thải nhiều bụi hay các chất bẩn độc.

30

Bạn phải đăng nhập hoặc đăng ký Thành Viên TVPL Pro để sử dụng được đầy đủ các tiện ích gia tăng liên quan đến nội dung TCVN.

Mọi chi tiết xin liên hệ: ĐT: (028) 3930 3279 DĐ: 0906 22 99 66

10

6

Ghi chú: .

1- Đối với công nhân làm việc trong khu xử lí nước lấy theo điều 13.8.

2- Tiêu chuẩn nước cho chăn nuôi gia súc, gia cầm lấy theo tiêu chuẩn của Bộ Nông nghiệp.

3.9. Lưu lượng nước cho nhu cầu sản xuất của các xí nghiệp công nghiệp phải xác định dựa trên yêu cầu công nghệ.

3.10. Khi cần xác định lưu lượng tính toán tập trung của nhà ở và nhà công cộng đứng riêng biệt thì tiêu chuẩn dùng nước lấy theo tiêu chuẩn thiết kế cấp nước trong nhà.

Lưu lượng nước chữa cháy

3.11. Phải thiết kế hệ thống cấp nước chữa cháy trong các khu dân cư, các xí nghiệp công nông nghiệp kết hợp với hệ thống cấp nước sinh hoạt hoặc cấp nước sản xuất. Khi thiết kế cấp nước chữa cháy cần theo tiêu chuẩn phòng cháy và chữa cháy (TCVN 2622: 1995).

Bạn phải đăng nhập hoặc đăng ký Thành Viên TVPL Pro để sử dụng được đầy đủ các tiện ích gia tăng liên quan đến nội dung TCVN.

Mọi chi tiết xin liên hệ: ĐT: (028) 3930 3279 DĐ: 0906 22 99 66

3.12. áp lực tự do nhỏ nhất trong mạng lưới cấp nước sinh hoạt của khu dân cư, tại điểm lấy nước vào nhà, tính từ mặt đất không được nhỏ hơn 10m cho nhà l tầng. Đối với nhà nhiều tầng, cứ mỗi tầng cao hơn phải thêm 4m.

Ghi chú:

1- Trong giờ dùng nước ít nhất áp lực cho mỗi tầng, trừ tầng thứ nhất được phép lấy 3m.

2- Đối với nhà cao tầng biệt lập cũng như đối với nhà hoặc nhóm nhà đặt tại điểm cao được phép đặt thiết bị tăng áp cục bộ.

3- áp lực tự do trong mạng lưới tại vòi công cộng không được nhỏ hơn 10m.

3.13. áp lực thuỷ tĩnh trong mạng lưới bên ngoài của hệ thống cấp nước sinh hoạt tại các hộ tiêu thụ không nên quá 40m.

Ghi chú:

1- Trường hợp đặc biệt có thể lấy đến 60m.

2- Khi áp lực trên mạng lưới lớn hơn áp lực cho phép đối với những nhà biệt lập hoặc những khu biệt lập được phép đặt thiết bị điều hoà áp lực hoặc phải phân vùng hệ thống cấp nước.

Bạn phải đăng nhập hoặc đăng ký Thành Viên TVPL Pro để sử dụng được đầy đủ các tiện ích gia tăng liên quan đến nội dung TCVN.

Mọi chi tiết xin liên hệ: ĐT: (028) 3930 3279 DĐ: 0906 22 99 66

Trong hệ thống cấp nước chữa cháy áp lực cao, những máy bơm chữa cháy cố định phải có thiết bị bảo đảm mở máy không chậm quá 3 phút sau khi nhận tín hiệu có cháy.

3.15. Áp lực tự do trong mạng lưới cấp nước chữa cháy áp lực thấp không được nhỏ hơn 10m tính từ mặt đất và chiều dài ống vòi rồng dẫn nước chữa cháy không quá 150m.

Áp lực tự do trong mạng lưới cấp nước chữa cháy áp lực cao phải đảm bảo chiều cao của cột nước dày đặc không nhỏ hơn 10m khi thoả mãn toàn bộ lưu lượng nước chữa cháy và với điều kiện vòi chữa cháy đặt ở điểm cao nhất ở ngôi nhà cao nhất, chiều dài ống và vòi rồng 120m, đường kính 66mm, đường kính nhỏ nhất của vòi rồng là 19mm với lưu lượng tính toán của vòi là 5 1/s.

Ghi chú: ở các trại chăn nuôi áp lực tự do để chữa cháy cần tính với điều kiện vòi rồng tại điểm cao nhất của trại chăn nuôi một tầng.

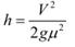
3.16. Tổn thất áp lực trên lm chiều dài ống vòi rồng bằng vải có đường kính 66mm cần tính theo công thức:

h = 0,00385 q2(m)

q: lưu lượng vòi rồng (1/s).

4. Nguồn nước

4.1. Chọn nguồn nước phải căn cứ theo tài liệu kiểm nghiệm nguồn nước về lí, hoá, vi trùng; tài liệu khảo sát địa hình thuỷ văn, địa chất thuỷ văn; khả năng bảo vệ nguồn nước và các tài liệu khác. Khối lượng ấn định cho công tác thăm dò, điều tra cần xác định tuỳ theo đặc điểm, mức độ tài liệu hiện có của khu vực; Tuỳ theo lưu lượng chất lượng nước cần lấy, loại hộ dùng nước và giai đoạn thiết kế.

Bạn phải đăng nhập hoặc đăng ký Thành Viên TVPL Pro để sử dụng được đầy đủ các tiện ích gia tăng liên quan đến nội dung TCVN.

Mọi chi tiết xin liên hệ: ĐT: (028) 3930 3279 DĐ: 0906 22 99 66

4.3. Độ đảm bảo lưu lượng trung bình tháng hoặc trung bình ngày của các nguồn nước mặt phải lấy theo bảng 4- 1, tuỳ theo bậc tin cậy.

Bảng 4 – 1

Bậc tin cậy cấp nước

Độ đảm bảo lưu lượng tháng hoặc ngày của các nguồn nước mặt (%)

I II

III

95

90

85

Bạn phải đăng nhập hoặc đăng ký Thành Viên TVPL Pro để sử dụng được đầy đủ các tiện ích gia tăng liên quan đến nội dung TCVN.

Mọi chi tiết xin liên hệ: ĐT: (028) 3930 3279 DĐ: 0906 22 99 66

4.4. Việc đánh giá khả năng sử dụng nguồn nước vào mục đích cấp nước và việc chọn khu vực để xây dựng hồ chứa cần thực hiện theo chỉ dẫn của phụ lục 3.

4.5. Chọn nguồn nước phải theo những quy định của cơ quan quy hoạch và quản lí nguồn nước. Chất lượng nguồn nước dùng cho ăn uống sinh hoạt phải đảm bảo tiêu chuẩn Nhà nước quy định. Chất lượng nguồn nước dùng cho sản xuất căn cứ theo yêu cầu của từng đối tượng dùng nước.

4.6. Phải ưu tiên sử dụng nguồn nước ngầm đủ tiêu chuẩn vệ sinh để cấp cho nhu cầu ăn uống – sinh hoạt. Khi sử dụng các nguồn nước khác phải có lí do xác đáng.

4.7. Không được phép dùng nguồn nước ngầm cấp cho các nhu cầu không có liên quan đến sinh hoạt. ở những vùng không có nguồn nước nào khác nhưng có đủ trữ lượng nước ngầm thì cho phép sử dụng nước ngầm vào các nhu cầu khác nhưng phải được phép của cơ quan quản lí nguồn nước.

4.8. Cần nghiên cứu khả năng bổ sung trữ lượng nước ngầm bằng các công trình nhân tạo khi nguồn nước ngầm tự nhiên không đủ trữ lượng khai thác nhưng phải trên cơ sở so sánh kinh tế kĩ thuật.

4.9. Cho phép xử lí nước khoáng hoặc nước biển để cấp cho hệ thống cấp nước ăn uống, sinh hoạt, nhưng phải so sánh kinh tế – kĩ thuật với các nguồn nước khác.

4.10. Cho phép dùng nước địa nhiệt cấp cho ăn uống, sinh hoạt và sản xuất nếu đảm bảo những quy định ở điều 4.5.

Nhiệt độ cao nhất của nước cấp cho ăn uống sinh hoạt không được quá 35oC.

4.11. Các phương án chọn nguồn nước phải được đánh giá toàn diện về kinh tế bao gồm các chi phí xây lắp, quản lí, tiêu thụ điện năng v.v… Đồng thời phải xét đến ảnh hưởng của việc khai thác nguồn nước đối với các ngành kinh tế khác. Thí dụ như làm giảm công suất của nhà máy thủy điện v.v…

Bạn phải đăng nhập hoặc đăng ký Thành Viên TVPL Pro để sử dụng được đầy đủ các tiện ích gia tăng liên quan đến nội dung TCVN.

Mọi chi tiết xin liên hệ: ĐT: (028) 3930 3279 DĐ: 0906 22 99 66

4.13. Hồ chứa để cấp nước ăn uống sinh hoạt nên xây dựng ngoài các khu dân cư, trong các lưu vực thưa dân, có nhiều rừng không có bè gỗ và xả nước bẩn.

Trường hợp ngoại lệ, khi bắt buộc phải xây dựng hồ chứa nước ở phía dưới hoặc trong khu dân cư, thì nước bẩn xả vào hồ phải được làm sạch đến mức độ yêu cầu theo quy định bảo vệ nguồn nước mặt.

5. Công trình thu nước

Công trình thu nước ngầm

Chỉ dẫn chung:

5.1. Chọn vị trí, kiểu và sơ đồ công trình thu nước ngầm phải căn cứ vào tài liệu địa chất,địa chất thuỷ văn, công suất của công trình, loại trang thiết bị, điều kiện thi công và bảo vệ vệ sinh; nói chung phải xét đến:

1- Đặc điểm của tầng chứa nước và điều kiện bổ sung nước ngầm.

2- Điều kiện bảo đảm vệ sinh và tổ chức vùng bảo vệ vệ sinh, bảo vệ nguồn nước không bị nhiễm bẩn bởi nước thải sinh hoạt, sản xuất và không bị nước có độ khoáng hoá cao hoặc có các chất độc hại thấm vào.

3- Khu đất không bị xói lở trượt hoặc các loại biến dạng khác gây phá hoại công trình.

Bạn phải đăng nhập hoặc đăng ký Thành Viên TVPL Pro để sử dụng được đầy đủ các tiện ích gia tăng liên quan đến nội dung TCVN.

Mọi chi tiết xin liên hệ: ĐT: (028) 3930 3279 DĐ: 0906 22 99 66

5- Giếng khoan phải cách xa các công trình kiến trúc tối thiểu 25m.

5.2. Sử dụng nguồn nước ngầm vào mục đích cấp nước phải được sự đồng ý của cơ quan vệ sinh dịch tễ, cơ quan quy hoạch và quản lí nguồn nước.

Công trình thu nước có công suất lớn phải được cơ quan có thẩm quyền về quy hoạch quản lí nguồn nước phê duyệt.

Tài liệu xác định trữ lượng để thiết kế giếng khai thác phải do Hội đồng trữ lượng quốc gia phê duyệt.

Khi khoan thăm dò kết hợp với khoan khai thác phải do cơ quan có chức năng và đủ thẩm quyền quyết định.

5.3. Khi thiết kế các công trình thu nước mới và mở rộng các công trình hiện có phải xét đến điều kiện hoạt động phối hợp với những công trình thu nước ở khu vực lân cận.

5.4. Các loại công trình thu nước ngầm có thể sử dụng là:

1- Giếng khơi dùng để thu nước mạch nông vào từ xung quanh hoặc từ đáy ở độ sâu thích hợp.

2- Họng hay giếng thu nước ngầm chảy lộ thiên.

Bạn phải đăng nhập hoặc đăng ký Thành Viên TVPL Pro để sử dụng được đầy đủ các tiện ích gia tăng liên quan đến nội dung TCVN.

Mọi chi tiết xin liên hệ: ĐT: (028) 3930 3279 DĐ: 0906 22 99 66

4- Giếng khoan mạch sâu có áp hoặc không áp, hoàn chỉnh hay không hoàn chỉnh. Lựa chọn dùng loại công trình nào phải dựa vào điều kiện nêu ở điều 5.l. và dựa vào tính toán kinh tế kĩ thuật mà quyết định.

Giếng khoan:

5.5. Khi thiết kế giếng phải dự kiến phương pháp khoan, xác định chiều sâu, đường kính giếng, kiểu ống lọc, loại máy bơm và vỏ bao che.

5.6. Chọn phương pháp khoan giếng phải dựa vào điều kiện địa chất, địa chất thuỷ văn, độ sâu và đường kính của giếng, lấy theo chỉ dẫn ở phụ lục 5.

5.7. Chiều sâu giếng phụ thuộc vào độ sâu tầng, chiều dày tầng chứa nước hoặc hệ thống các tầng chứa nước, lưu lượng cần khai thác và mực nước động tương ứng.

5.8. Xác định đường kính và chiều dài đoạn ống vách đầu tiên của giếng, đường kính cuối cùng của lỗ khoan giếng phải căn cứ vào lưu lượng cần khai thác, loại và cỡ máy bơm, đường kính ngoài của ống hút, chiều sâu đặt ống hút, độ nghiêng cho phép của giếng, thiết bị để đo mực nước động trong quá trình khai thác.

Ghi chú: Đường kính đoạn ống vách đầu tiên của giếng là đường kính trong của ống mà trong đó đặt bơm hoặc các bộ phận hút của bơm.

5.9. Kích thước và kết cấu ống lọc cần xác định trên cơ sở điều kiện địa chất và địa chất thuỷ văn tuỳ theo lưu lượng và chế độ khai thác, theo chỉ dẫn ở phụ lục 6.

5.10. Chiều dài phần công tác của ống lọc, nếu thu nước trong tầng ngậm nước có áp và chiều dày tầng ngậm nước dưới 10m thì lấy bằng chiều dày tầng ngậm nước; nếu thu nước trong tầng ngậm nước không áp có chiều dày dưới 10m, thì chiều dài phần công tác của ống lọc lấy bằng chiều dày tầng ngậm nước trừ đi độ hạ mực nước trong giếng khi khai thác (ống lọc phải đặt ngập dưới mực nước tính toán). Khi chiều dày tầng ngậm nước lớn hơn 10m thì chiều dài phần công tác của ống lọc phải được xác định phụ thuộc vào hệ số thấm của đất, lưu lượng khai thác và kết cấu ống lọc.

Bạn phải đăng nhập hoặc đăng ký Thành Viên TVPL Pro để sử dụng được đầy đủ các tiện ích gia tăng liên quan đến nội dung TCVN.

Mọi chi tiết xin liên hệ: ĐT: (028) 3930 3279 DĐ: 0906 22 99 66

5.12. Khi khai thác trong nhiều tầng chứa nước thì phần công tác của ống lọc phải đặt trong các tầng khai thác và nối các phần công tác của ống lọc lại với nhau bằng ống đặc (không khoan lỗ).

5.13. Những chỗ chuyển tiếp thay đổi đường kính của các đoạn ống vách, hay chỗ chuyển tiếp từ ống vách sang ống lọc có thể cấu tạo bằng cách nối ống hàn liền (dùng côn chuyển tiếp hoặc nối lồng. Để chống thấm tại chỗ nối lồng có thể dùng bộ phận nối ép (ống bao bên trong dùng sợi đay dầu).

Đầu mút trên của ống lọc phải cao hơn chân đế ống vách 3m khi giếng sâu đến 30m và không ít hơn 3m khi giếng sâu trên 30m.

5.14. Đường kính trong của ống vách tại chỗ nối lồng với ống lọc khi khoan dập phải lớn hơn đường kính ngoài của ống lọc ít nhất 50mm, nếu phải đổ sỏi quanh ống lọc – phải lớn hơn ít nhất 100mm.

Khi khoan xoay, nếu không gia cố thành giếng bằng ống thì đường kính cuối cùng của lỗ khoan giếng phải lớn hơn đường kính ngoài của ống lọc 100mm.

5.15. Khoảng trống giữa các ống vách hoặc giữa ống vách và thành giếng phải được chèn kĩ bằng bê tông hay đất sét viên () 30mm) đầm kĩ để tránh nước mặt thấm qua làm nhiễm bẩn giếng.

Trong một giếng khoan nếu bên trên đường ảnh hưởng của tầng chứa nước dự kiến khai thác lại có một tầng đất bở rời chứa nước, thì khoảng giữa thành giếng và mặt ngoài ống vách phải chèn kĩ bằng bê tông hoặc đất sét viên. Trong trường hợp cần thiết phải cấu tạo nhiều lớp ống chống để hạn chế mực nước tầng trên rút xuống tầng dưới mang theo hạt mịn làm rỗng đất gây sụt lở nền trạm bơm.

5.16. Chiều dài ống lắng cần lấy phụ thuộc tính chất của đất nhưng không quá 2m.

5.17. Phần ống vách của giếng phải cao hơn mặt sàn đặt máy bơm ít nhất 0,3m.

Bạn phải đăng nhập hoặc đăng ký Thành Viên TVPL Pro để sử dụng được đầy đủ các tiện ích gia tăng liên quan đến nội dung TCVN.

Mọi chi tiết xin liên hệ: ĐT: (028) 3930 3279 DĐ: 0906 22 99 66

– Độ sâu đúng thiết kế; mực nước động, tĩnh, bảo đảm khai thác lâu dài kể cả khi có ảnh hưởng của những giếng chung quanh.

– Độ nghiêng của giếng nhỏ hơn l: 1500

– Hàm lượng ngậm cát của nước bơm lên ≤ 5 mg/l;

– Lưu lượng bơm thử cao hơn lưu lượng khai thác 7%;

5.19. Khi đặt bơm có động cơ miệng giếng (bơm giếng trục đứng) thì đường kính khai thác của ống vách phải lớn hơn đường kính quy ước của máy bơm ít nhất là 50mm; nếu dùng máy bơm chìm thì cho phép đường kính khai thác của ống vách bằng đường kính quy ước của máy bơm.

5.20. Tuỳ theo điều kiện cụ thể và kiểu thiết bị, miệng giếng phải đặt trong nhà hoặc trong hố chìm. Khi dùng máy bơm có động cơ đặt trên miệng giếng nhất thiết phải có vỏ bao che.

5.21. Để khai thác nhóm giếng khi mức nước động không quá 8- 9m cho phép dùng ống thu kiểu xi phông.

5.22. Trường hợp không dùng được các thiết bị lấy nước khác hoàn chỉnh hơn, nếu có cơ sở kinh tế kĩ thuật thì được phép dùng máy nén khí, nhưng phải lấy không khí ở độ cao cách mặt đất ít nhất 4m, cửa hút không khí phải có lưới lọc và không để nước mưa rơi vào, đồng thời phải đảm bảo lọc sạch dầu cho không khí sau máy nén. Còn chiều sâu của giếng phải thoả mãn yêu cầu của hệ số ngập (hệ số ngập là tỉ số giữa khoảng cách từ đầu phun không khí ở dưới giếng đến trục ống nước lên khỏi miệng giếng tỉ số này có thể lấy từ 2 – 10 )

5.23. Chiều cao trạm bơm giếng tính từ mặt đất phải lấy theo kích thước thiết bị nhưng không dưới 3,5m. Diện tích trạm bơm tối thiểu phải bằng 12m2 để đặt máy, thiết bị điều khiển và đảm bảo thông thoáng.

Bạn phải đăng nhập hoặc đăng ký Thành Viên TVPL Pro để sử dụng được đầy đủ các tiện ích gia tăng liên quan đến nội dung TCVN.

Mọi chi tiết xin liên hệ: ĐT: (028) 3930 3279 DĐ: 0906 22 99 66

5.24. Để giữ cho các tầng đất ngậm nước không bị nhiễm bẩn thì những giếng bị hỏng hoặc bị nhiễm bẩn không thể sử dụng được nữa phải lấp bỏ bằng đất sét hoặc bê tông. Nhất thiết phải lấp bỏ những giếng thăm dò nếu chúng không được dùng làm giếng khai thác hoặc giếng quan trắc.

5.25. Số lượng giếng dự phòng cần lấy theo bảng 5- l.

Bảng 5 – 1

Số giếng làm việc

Số giếng dự phòng theo bậc tin cậy

Bậc I

Bậc II

Bậc III

1-2

Bạn phải đăng nhập hoặc đăng ký Thành Viên TVPL Pro để sử dụng được đầy đủ các tiện ích gia tăng liên quan đến nội dung TCVN.

Mọi chi tiết xin liên hệ: ĐT: (028) 3930 3279 DĐ: 0906 22 99 66

10 trở lên

1

1-2

20%

0

1

10%

0

0

Bạn phải đăng nhập hoặc đăng ký Thành Viên TVPL Pro để sử dụng được đầy đủ các tiện ích gia tăng liên quan đến nội dung TCVN.

Mọi chi tiết xin liên hệ: ĐT: (028) 3930 3279 DĐ: 0906 22 99 66

Ghi chú:

1- Tùy theo điều kiện địa chất thủy văn và khi có lí do xác đáng có thể tăng số giếng dự phòng nhưng không quá 2 lần ghi trong bảng 5-1.

2- Đối với bất kì loại công trình thu nước nào cũng phải có bơm dự phòng đặt trong kho. Khi số bơm công tác dưới 10- lấy 1, trên 10 – lấy bằng 10% số máy bơm công tác.

3- Loại công trình thu nước theo bậc tin cậy cấp nước cần lấy theo điều 1.3.

Giếng khơi:

5.26. Chiều sâu của giếng khơi không quá 15m. Đường kính của giếng xác định theo tài liệu thăm dò, yêu cầu bố trí thiết bị và thi công thuận tiện, tối thiểu là 0,7m và không quá 5m. Giếng có thể làm hình trụ tròn hay hình chóp cụt, thành giếng có thể xây bằng gạch, bằng đá hay bê tông cốt thép lắp ghép.

5.27. Nước vào giếng khơi có thể vào từ thành, từ đáy hoặc vừa từ thành và đáy, hoặc có thêm các ống thu hình nan quạt. Chọn kiểu nào là tùy theo tài liệu địa chất thủy văn, yêu cầu dùng nước và tính toán kinh tế kĩ thuật mà quyết định.

5.28. Các lỗ nước vào giếng khơi có thể thiết kế bằng tầng lọc sỏi một lớp hay hai lớp, mỗi lớp dày tối thiểu 100mm. Đường kính hạt của lớp lọc tiếp giáp với tầng chứa nước lấy theo phụ lục 6. Tỉ lệ đường kính tính toán của các hạt giữa 2 lớp vật liệu lọc tiếp giáp không nhỏ hơn 5. Có thể chèn các lỗ thu nước bằng những viên bê tông rỗng đúc sẵn, cấp phối lấy theo điều 5.29.

5.29. Chọn thành phần hạt sỏi, tỉ lệ nước xi măng cho tầng lọc bằng bê tông rỗng phải dựa vào tính toán theo loại nham thạch của tầng chứa nước bên ngoài. Sơ bộ chọn thành phần hạt như sau:

Bạn phải đăng nhập hoặc đăng ký Thành Viên TVPL Pro để sử dụng được đầy đủ các tiện ích gia tăng liên quan đến nội dung TCVN.

Mọi chi tiết xin liên hệ: ĐT: (028) 3930 3279 DĐ: 0906 22 99 66

– Lượng xi măng mác 400 lấy 250 kg cho 1m3 bê tông.

– Tỉ lệ:

5.30. Khi lấy nước từ đáy thì đáy giếng khơi phải làm một tầng chèn để cát khỏi đùn lên gồm 3-4 lớp cát sỏi có đường kính hạt lớn dần từ dưới lên trên, chiều dày tối thiểu mỗi lớp phải bằng 100 mm, thành phần của hạt vật liệu chèn xem phụ lục 6.

5.31. Khi thiết kế giếng khơi phải tuân theo các điều sau đây để tránh nhiễm bẩn nước:

1- Thành giếng cao hơn mặt đất tối thiểu 0,8m. Phải có cửa thăm để người quản lí có thể ra vào trông nom hoặc sửa chữa.

2- Xung quanh miệng giếng phải có mặt dốc thoáng nước bằng vật liệu không thấm nước rộng 1,5m, độ dốc i = 0,05 hướng ra ngoài, xung quanh thành giếng cần đắp vòng đai đất sét rộng 0,5m.

3- Giếng kín phải làm ống thông hơi, đầu ống thông hơi phải có chóp che mưa.

5.32. Khi thiết kế một nhóm giếng, nếu có điều kiện thì nên dùng kiểu xi phông để tập trung nước, khi đó mực nước động trong giếng tập trung phải cao hơn đầu hút nước của xi phông lm. Độ sâu ống dẫn không quá 4m. Độ sâu tính từ tim ống đến mực nước động trong giếng không quá 7m.

5.33. Tốc độ nước chảy trong ống xi phông lấy bằng 0,5- 0,7m/s. Độ dốc của đoạn ống từ giếng đến giếng tập trung không nhỏ hơn 0,001.

Bạn phải đăng nhập hoặc đăng ký Thành Viên TVPL Pro để sử dụng được đầy đủ các tiện ích gia tăng liên quan đến nội dung TCVN.

Mọi chi tiết xin liên hệ: ĐT: (028) 3930 3279 DĐ: 0906 22 99 66

5.34. Khi tầng chứa nước nằm nông và có một giải rộng dải hệ số thẩm thấu, nhưng không đủ điều kiện làm giếng khơi hay giếng khoan thì cần nghiên cứu làm công trình thu nước kiểu nằm ngang.

Công trình thu nước kiểu nằm ngang cần thiết kế dạng mương hở; rãnh thu bằng đá có đường hầm hoặc ống thu.

5.35. Công trình thu dạng rãnh đá dăm chỉ nên dùng để cấp nước tạm thời. Đối với công trình thu dạng này, nước được thu qua rãnh ngầm đổ đầy đá hoặc đá hộc kích thước 0,1 – 0,15m, chung quanh đổ hai, ba lớp đá dăm hoặc cuội cỡ hạt bé hơn – tạo thành tầng lọc nước, chiều dày mỗi lớp ít nhất là 150mm. Đường kính hạt giữa các lớp kề nhau lấy theo phụ lục 6.

Kích thước phần rãnh đổ đá lấy phụ thuộc vào công suất cần khai thác và điều kiện địa chất thuỷ văn của từng tầng đất ngậm nước. Phía trên tầng lọc cần phủ một lớp đất sét để tránh nước trên mặt đất thấm trực tiếp vào rãnh.

5.36. Đối với hệ thống cấp nước có bậc tin cậy loại I, loại II phải thiết kế đường hầm thu nước. Đường hầm ngang thu nước đến làm bằng bê tông rỗng cấp phối tuỳ thuộc địa tầng bên ngoài, lấy theo điều 5-29. Bên ngoài của đường hầm cần có một lớp sỏi 150mm, cỡ sỏi lấy theo chỉ dẫn ở phụ lục 6.

5.37. Đối với đường hầm thu nước dưới lòng sông hay bãi bồi cần tuỳ theo tình hình xói mòn của dòng sông mà có biện pháp bảo vệ cho bộ phận trên của tầng lọc. Khi thiết kế đường hầm thu nước nằm ngang ở dưới lòng sông cần tuỳ theo chất lượng nước sông kết hợp với niên hạn sử dụng mà lấy hệ số dự trữ một cách thích đáng.

5.38. Tiết diện đường hầm thu nước cần tính toán thuỷ lực với điều kiện nước chảy không đầy, đồng thời thoả mãn các điều kiện sau:

– Tốc độ chảy trong đường hầm lấy bằng 0,5-0,8m/s;

– Chiều dày lớp nước thường lấy bằng 0,4D (D là đường kính hầm thu);

Bạn phải đăng nhập hoặc đăng ký Thành Viên TVPL Pro để sử dụng được đầy đủ các tiện ích gia tăng liên quan đến nội dung TCVN.

Mọi chi tiết xin liên hệ: ĐT: (028) 3930 3279 DĐ: 0906 22 99 66

5.39. ống thu nước nằm ngang được thiết kế khi độ sâu đỉnh tầng chứa nước nhỏ hơn 5m. Phần thu nước có thể là ống sành, ống xi măng amiăng, bê tông cốt thép hoặc ống chất dẻo, có lỗ tròn, hay khe hở ở 2 bên sườn và phần trên ống. Phần dưới ống (không quá 1/5 chiều cao) không khoan lỗ hoặc khe hở. Đường kính nhỏ nhất của ống là 150mm.

Ghi chú:

1- Cho phép dùng ống bằng kim loại khi có lí do chính đáng.

2- ống bằng chất dẻo chỉ được dùng loại đảm bảo vệ sinh, không ảnh hưởng đến chất lượng nước.

5.40. Xung quanh ống thu nước đặt trong rãnh phải đặt tầng lọc ngược, cấp phối xem phụ lục 6.

5.41. Đường kính ống dẫn nước của công trình thu nước kiểu nằm ngang phải xác định ứng với thời kì mực nước ngầm thấp nhất, độ dày tính toán lấy bằng 0,5 đường kính ống.

5.42. Độ dốc của ống về phía giếng thu không được nhỏ hơn:

0,007

khi

Bạn phải đăng nhập hoặc đăng ký Thành Viên TVPL Pro để sử dụng được đầy đủ các tiện ích gia tăng liên quan đến nội dung TCVN.

Mọi chi tiết xin liên hệ: ĐT: (028) 3930 3279 DĐ: 0906 22 99 66

0,005

khi

D = 200mm

0,004

khi

D = 250mm

0,003

khi

D = 300mm

Bạn phải đăng nhập hoặc đăng ký Thành Viên TVPL Pro để sử dụng được đầy đủ các tiện ích gia tăng liên quan đến nội dung TCVN.

Mọi chi tiết xin liên hệ: ĐT: (028) 3930 3279 DĐ: 0906 22 99 66

khi

D = 400mm

0,001

khi

D = 500mm

Tốc độ nước chảy trong ống không nhỏ hơn 0,7m/s.

5.43. Phải đặt các giếng thăm để quan sát chế độ làm việc của ống thu và đường hầm thu nước cũng như để thông gió và sửa chữa: ống thu có đường kính từ 150mm- 600mm, thì khoảng cách giữa các giếng thăm lấy không quipá 50m. Khi đường kính lớn hơn 600mm thì khoảng cách giữa các giếng thăm 75m. Đối với đường hầm khoảng cách giữa các giếng lấy trong khoảng 100- 150m. Tại những điểm ống thu hoặc đường hầm thu nước đổi hướng theo mặt bằng hay mặt đứng cũng đều phải đặt giếng thăm.

5.44. Giếng thăm phải có đường kính 1m. Miệng giếng cao hơn mặt đất tối thiểu 0,5m. Xung quanh giếng phải láng lớp chống thấm rộng 1m và chèn đất sét. Giếng thăm phải có ống thông hơi.

5.45. Trạm bơm trong công trình thu kiểu nằm ngang phải kết hợp với giếng tập trung. Khi có lí do chính đáng được phép đặt trạm bơm riêng.

Bạn phải đăng nhập hoặc đăng ký Thành Viên TVPL Pro để sử dụng được đầy đủ các tiện ích gia tăng liên quan đến nội dung TCVN.

Mọi chi tiết xin liên hệ: ĐT: (028) 3930 3279 DĐ: 0906 22 99 66

5.46. Để thu nước mạch chảy lộ thiên cần phải xây dựng ngăn thu. Đối với mạch nước đi lên phải thu nước qua đáy, đối với mạch nước đi xuống cần thu nước qua lỗ trên thành ngăn thu.

5.47. Kích thước mặt bằng, cốt đáy và cốt mức nước (cốt ống tràn) trong ngăn thu phải dựa vào điều kiện địa chất, địa chất thuỷ văn và lưu lượng khai thác mà quyết định.

5.48. Để thu nước mạch từ các lớp đất đá có khe nứt cho phép không dùng tầng lọc, còn để thu nước từ các lớp đất đá bở rời phải qua tầng lọc ngược.

5.49. Ngăn thu phải đặt ống tràn, cốt miệng ống tràn cần tính theo lưu lượng của mạch; nếu đặt cao quá, áp lực tĩnh trước miệng phun tăng lên, lưu lượng mạch chảy ra bị giảm và có thể xẩy ra trường hợp mạch chuyển ra nơi khác có áp lực thấp hơn; nếu đặt cốt miệng ống tràn thấp quá sẽ không tận dụng hết lưu lượng phun ra của mạch. ống xả ngăn thu có đường kính nhỏ nhất 100mm.

5.50. Bể lắng cặn khi nước có nhiều cặn lớn phải cấu tạo tường tràn chia ngăn thu làm 2 ngăn, một ngăn để lăng và một ngăn để thu nước.

5.51. Xây ngăn thu phải đảm bảo điều kiện bảo vệ vệ sinh như đã ghi ở điều 5.31.

Bổ sung trữ lượng nước ngầm

5.52. Khi cần thiết có thể bổ sung trữ lượng nước ngầm bằng các nguồn nước mặt qua những hệ thống công trình đặc biệt, hoạt động liên tục hay định kì. Ngoài công trình thấm, công trình thu và bơm nước, tùy theo điều kiện cụ thể cần dự kiến công trình làm sạch và khử trùng cho nước.

5.53. Khi dùng nguồn nước thấm cho nhu cầu ăn uống sinh hoạt, chất lượng nguồn nước mặt bổ sung phải đảm bảo tiêu chuẩn vệ sinh do Nhà nước quy định. Khi có lí do và được sự nhất trí của cơ quan vệ sinh dịch tễ, có thể dùng nước làm nguội và các loại nước khác để bổ sung nước ngầm.

Bạn phải đăng nhập hoặc đăng ký Thành Viên TVPL Pro để sử dụng được đầy đủ các tiện ích gia tăng liên quan đến nội dung TCVN.

Mọi chi tiết xin liên hệ: ĐT: (028) 3930 3279 DĐ: 0906 22 99 66

– Giảm kinh phí đầu tư xây dựng và quản lí sử dụng công trình làm sạch;

– Bảo vệ tầng chứa nước khỏi bị nhiễm mặn, nhiễm bẩn do nước thải sinh hoạt, nước thải sản xuất ngấm xuống.

– Tăng công suất dự kiến trong khi khai thác công trình thu nước sạch nông, tránh hao hụt do bốc hơi;

– Làm hạ nhiệt độ của nước mặt khi cần thiết.

5.55. Công trình bổ sung trữ lượng nước ngầm phải do cơ quan có thẩm quyền về quy hoạch , quản lí nguồn nước và sử dụng nước phê duyệt.

5.56. Trong tất cả các công trình bổ sung nhân tạo nước ngầm cần đặt thiết bị và dụng cụ để quan sát quá trình làm việc của công trình và sự thấm nước qua bề dày tầng chứa nước.

5.57. Công trình bổ sung nhân tạo trữ lượng nước ngầm để cấp nước sinh hoạt nhất thiết phải có vùng bảo vệ vệ sinh (theo chỉ dẫn ở chương II).

Công trình thu nước mặt

5.58. Kết cấu công trình thu phải đảm bảo:

Bạn phải đăng nhập hoặc đăng ký Thành Viên TVPL Pro để sử dụng được đầy đủ các tiện ích gia tăng liên quan đến nội dung TCVN.

Mọi chi tiết xin liên hệ: ĐT: (028) 3930 3279 DĐ: 0906 22 99 66

– Không cho rác, nước, bùn, cát, rong tảo, cá lọt vào công trình.

5.59. Thiết kế công trình thu nước mặt căn cứ vào:

– Lưu lượng nước tính toán;

– Mức độ tin cậy của công trình thu;

– Đặc điểm thủy văn của nguồn nước, có kể đến mức nước cao nhất và thấp nhất, cho trong bảng 5-2;

– Yêu cầu của cơ quan vệ sinh dịch tễ, cơ quan quản lí nguồn nước, giao thông đường thủy.

Bảng 5-2.

Bậc tin cậy cấp nước

Độ đảm bảo mức nước tính toán của nguồn nước mặt đối với công trình thu nước (%)

Bạn phải đăng nhập hoặc đăng ký Thành Viên TVPL Pro để sử dụng được đầy đủ các tiện ích gia tăng liên quan đến nội dung TCVN.

Mọi chi tiết xin liên hệ: ĐT: (028) 3930 3279 DĐ: 0906 22 99 66

Thấp nhất

I

 

II

III

1 (Cho phép vượt quá mức nước tính toán cao nhất 1%)

2 (Như trên, 2%)

3 (Như trên, 3%)

97 (Cho phép thấp hơn mức nước tính toán thấp nhất 2%)

Bạn phải đăng nhập hoặc đăng ký Thành Viên TVPL Pro để sử dụng được đầy đủ các tiện ích gia tăng liên quan đến nội dung TCVN.

Mọi chi tiết xin liên hệ: ĐT: (028) 3930 3279 DĐ: 0906 22 99 66

90 (-nt- 7%)

Ghi chú: Bậc cơ bản của đập dâng nước và giữ nước có trong thành phần của công trình thu nước mặt phải lấy theo tiêu chuẩn thiết kế công trình thuỷ lợi, nhưng không thấp hơn:

– Loại II với bậc tin cậy cấp nước I;

– Loại III với bậc tin cậy cấp nước II;

– Loại IV với bậc tin cậy cấp nước III.

5.60. Vị trí đặt công trình thu nước mặt cần phải đảm bảo các yêu cầu sau đây:

a) ở đầu dòng nước so với khu dân cư và khu vực sản xuất.

b) Lấy đủ lượng nước yêu cầu cho trước mắt và cho tương lai.

c) Thu lượng nước có chất lượng tốt và thuận tiện cho việc tổ chức bảo vệ vệ sinh nguồn nước.

Bạn phải đăng nhập hoặc đăng ký Thành Viên TVPL Pro để sử dụng được đầy đủ các tiện ích gia tăng liên quan đến nội dung TCVN.

Mọi chi tiết xin liên hệ: ĐT: (028) 3930 3279 DĐ: 0906 22 99 66

e) Tổ chức hệ thống cấp nước (bao gồm thu, dẫn, xử lí và phân phối nước) một cách hợp lí và kinh tế nhất.

f) ở gần nơi cung cấp điện.

g) Phối hợp giải quyết các yêu cầu của công nghiệp, nông nghiệp và giao thông đường thuỷ một cách hợp lí.

5.61. Các công trình thu nước mặt nói chung phải có khả năng làm sạch nước sơ bộ khỏi các vật nổi, rác rưởi và khi cần thiết cả phù sa. Đặt công trình thu ở nơi mà trong mùa lũ có vật nổi lớn (gỗ, tre, nứa…) phải có biện pháp hướng vật nổi di chuyển tránh công trình thu hoặc rào phía thượng nguồn công trình thu. Khi thiết kế công trình thu nước mặt lớn trong điều kiện địa chất thuỷ văn phức tạp cần phải tiến hành thí nghiệm trên mô hình.

5.62. Không được phép đặt công trình thu trong luồng đi lại của tầu bè, trong khu vực có phù sa di chuyển dưới đáy sông, thượng lưu các hồ chứa, vùng cá ngụ ở cửa sông và ở nơi có nhiều rong tảo.

5.63. Không nên đặt công trình thu ở hạ lưu sát nhà máy thuỷ điện, trong khu vực ngay dưới cửa sông.

5.64. Công trình thu ở hồ chứa phải đặt:

– ở độ sâu không nhỏ hơn 3 lần chiều cao tính toán của sóng trong điều kiện mực nước thấp nhất.

– Trong vùng kín sóng.

Bạn phải đăng nhập hoặc đăng ký Thành Viên TVPL Pro để sử dụng được đầy đủ các tiện ích gia tăng liên quan đến nội dung TCVN.

Mọi chi tiết xin liên hệ: ĐT: (028) 3930 3279 DĐ: 0906 22 99 66

5.65. Công trình thu nước ở biển hoặc hồ lớn phải đặt trong vịnh, sau công trình chắn sóng hoặc trong vùng không có sóng vỗ.

5.66. Công trình thu chia làm 3 mức tin cậy thu nước tuỳ theo mức độ phức tạp của điều kiện tự nhiên, kiểu công trình thu và khả năng đi đến cửa thu nước để quản lí.

Mức l: Công trình thu đảm bảo thu được lưu lượng nước tính toán thường xuyên liên tục.

Mức 2: Cho phép gián đoạn trong 12 giờ hoặc giảm 30% lưu lượng tính toán trong thời gian l tháng.

Mức 3: Cho phép gián đoạn trong 3 ngày.

5.67. Điều kiện tự nhiên của nguồn nước được phân loại theo mức độ phức tạp của việc thu nước; sự thiếu ổn định của lòng sông, bờ sông; chế độ thuỷ văn và mức độ nhiễm bẩn của nguồn nước theo các chỉ tiêu trong bảng 5- 3.

Bảng 5-3

Đặc điểm điều kiện thu nước

Điều kiện lấy nước

Bạn phải đăng nhập hoặc đăng ký Thành Viên TVPL Pro để sử dụng được đầy đủ các tiện ích gia tăng liên quan đến nội dung TCVN.

Mọi chi tiết xin liên hệ: ĐT: (028) 3930 3279 DĐ: 0906 22 99 66

Các yếu tố khác

Dễ dàng

 

Trung bình

 

Chất lơ lửng P ≤ 0,5kg/m3. Lòng, bờ sông (hồ) ổn định, không có lũ.

Chất lơ lửng ≤ 0,5kg/m3 (Trung bình trong mùa lũ). Lòng, bờ và bãi sông ổn định. Độ dao động mức nước theo mùa ≤ 1m.

Phù sa dịch chuyển dọc theo bờ không làm ảnh hưởng đến sự ổn định của bờ.

Trong nguồn nước không có sò, rong, tảo; có ít rác và chất bẩn.

Bạn phải đăng nhập hoặc đăng ký Thành Viên TVPL Pro để sử dụng được đầy đủ các tiện ích gia tăng liên quan đến nội dung TCVN.

Mọi chi tiết xin liên hệ: ĐT: (028) 3930 3279 DĐ: 0906 22 99 66

Khó khăn

Chất lơ lửng P ≥ 5kg/m3. Lòng sông di chuyển cùng với sự biến động bờ và đáy, gây nên sự thay đổi cốt đáy sông từ l-2m trong năm. Bờ sông bị biến đổi với sự di chuyển phù sa dọc theo bờ với mái dốc có độ dốc thay đổi.

Có vật nổi lớn (gỗ,tre…) khi có lũ. Có rác và chất cản gây khó khăn nhiều cho công trình thu và xử lí.

Rất khó khăn

Chất lơ lửng P>5kg/m3. Lòng sông không ổn định thay đổi hình dạng ngẫu nhiên hay có hệ thống, bờ sông thay đổi nhiều, có khả năng gây trượt.

-nt-

 

 

 

Bạn phải đăng nhập hoặc đăng ký Thành Viên TVPL Pro để sử dụng được đầy đủ các tiện ích gia tăng liên quan đến nội dung TCVN.

Mọi chi tiết xin liên hệ: ĐT: (028) 3930 3279 DĐ: 0906 22 99 66

5.68. Nếu trong sơ đồ công nghệ bậc tin cậy cấp nước là bậc I và bậc II thì phải chia công trình thu nước làm nhiều ngăn. Số ngăn làm việc độc lập không được nhỏ hơn 2.

5.69. Để đảm bảo bậc tin cậy cấp nước cần thiết trong điều kiện thu nước khó khăn phải dùng công trình thu phối hợp với các kiểu khác nhau, phù hợp với đặc điểm tự nhiên và phải có biện pháp chống phù sa và khắc phục các khó khăn khác.

Để đảm bảo bậc tin cậy cấp nước cần thiết trong điều kiện thu nước rất khó khăn cần phải đặt công trình thu ở 2 vị trí không bị ngừng cấp nước cùng một lúc. Công suất của mỗi một công trình thu có bậc tin cậy cấp nước I cần lấy bằng 75% lưu lượng tính toán, với bậc tin cậy cấp nước II- lấy bằng 50% lưu lượng tính toán. Công trình thu có bậc tin cậy cấp nước II và III trong điều kiện thu nước dễ dàng hay trung bình được phép tăng l bậc.

5.70. Khi độ sâu gần bờ sông đảm bảo thu nước bình thường hoặc có thể tăng thêm độ sâu bằng các công trình điều chỉnh, đồng thời có đủ điều kiện và địa chất công trình và khả năng thi công thì cần thiết kế công trình thu nước ở kiểu kết hợp.

Trong trường hợp điều kiện địa chất công trình, điều kiện thuỷ văn, khả năng thi công cho phép và khi công trình thu có công suất nhỏ thì có thể đặt họng thu nước gần bờ trạm bơm đặt riêng và nối với nhau bằng ống hút.

5.71. Khi độ sâu ở bờ sông không đủ để thu nước và dao động mức nước đến 6m, thì đối với công trình thu có công suất nhỏ nhất cấu tạo:

– Họng thu ngập đặt ở lòng sông;

– Ngăn thu có lưới chắn rác đặt trên bờ,

– ống tự chảy hoặc ống xi phông nối họng thu với ngăn thu;

Bạn phải đăng nhập hoặc đăng ký Thành Viên TVPL Pro để sử dụng được đầy đủ các tiện ích gia tăng liên quan đến nội dung TCVN.

Mọi chi tiết xin liên hệ: ĐT: (028) 3930 3279 DĐ: 0906 22 99 66

Khi mực nước dao động trên 6m và khi dùng máy bơm trục đứng thì nên bố trí trạm bơm kết hợp với ngăn thu có lưới chắn rác ở bờ.

5.72. Đối với công trình thu bậc tin cậy I có công suất trung bình hoặc lớn phải xét khả năng dùng vịnh hoặc mương thu nước có bờ cao trong trường hợp:

– Cần thu lưu lượng lớn khi không đủ độ sâu;

– Trong nguồn nước có nhiều phù sa và cát bồi.

5.73. Chọn kiểu, cấu tạo và hình dáng vịnh thu phải dựa trên kết quả nghiên cứu thực nghiệm bằng mô hình thuỷ lực trong phòng thí nghiệm.

5.74. Khi sử dụng nguồn nước sông mà không đủ độ sâu cần xét khả năng xây dựng:

– Công trình thu kiểu kết hợp hay đặc biệt để đảm bảo thu nước một cách tin cậy;

– Công trình điều hoà cục bộ dòng chảy hay lòng sông để tăng khả năng thu nước hoặc tăng độ sâu cục bộ, làm cho việc vận chuyển phù sa dưới đáy sông được tốt hơn;

– Đập dâng nước.

Bạn phải đăng nhập hoặc đăng ký Thành Viên TVPL Pro để sử dụng được đầy đủ các tiện ích gia tăng liên quan đến nội dung TCVN.

Mọi chi tiết xin liên hệ: ĐT: (028) 3930 3279 DĐ: 0906 22 99 66

5.76. Đối với công trình thu nước sông ở miền núi hoặc trung du phải giải quyết việc vận chuyển các vật cứng vòng qua công trình thu bằng cách:

– Xây dựng công trình hướng dòng di chuyển phù sa, cát bồi khi không có đập;

– Xả phù sa, cát bồi qua thiết bị thau rửa của đập dâng nước;

– Dùng bể lắng đặt đầu công trình thu;

– Di chuyển dòng bùn, cát, đá theo dòng sông.

5.77. Khi kết hợp công trình thu nước đập dâng nước phải dự kiến khả năng sửa chữa đập trong khi công trình thu vẫn hoạt động bình thường.

5.78. Khi đặt công trình thu trong hồ nuôi cá phải có thiết bị bảo vệ cá dưới dạng một bộ phận của họng thu hoặc dưới dạng một công trình riêng biệt trên mương dẫn nước. Việc đặt và chọn thiết bị bảo vệ cá phải được sự đồng ý của cơ quan thuỷ sản.

5.79. Được phép không đặt thiết bị bảo vệ cá trong các trường hợp:

– Công trình thu kiểu them;

Bạn phải đăng nhập hoặc đăng ký Thành Viên TVPL Pro để sử dụng được đầy đủ các tiện ích gia tăng liên quan đến nội dung TCVN.

Mọi chi tiết xin liên hệ: ĐT: (028) 3930 3279 DĐ: 0906 22 99 66

– Tại họng thu của công trình thu nước có công suất nhỏ mà vào thời kì cá đẻ, song chắn rác được thay thế bằng lưới chắn rác có mắt lưới nhỏ và có dự kiến việc rửa lưới bằng dòng nước ngược.

5.80. Kích thước các bộ phận chủ yếu của công trình thu (cửa thu nước, lưới, ống, mương dẫn v.v…), cũng như cao độ trục máy bơm cần xác định bằng tính toán thuỷ lực với lưu lượng nước tính toán và mực nước thấp nhất (theo bảng 5-2), có xét đến việc ngừng một đường ống hút hoặc một ngăn thu để sửa chữa hoặc kiểm tra.

5.81. Kích thước cửa thu nước cần xác định theo tốc độ trung bình của nước chảy qua song hoặc lưới chắn rác (có tính đến yêu cầu bảo vệ cá).

Tốc độ cho phép của nước chảy vào cửa thu (chưa kể đến yêu cầu bảo vệ cá) trong điều kiện thu nước trung bình và khó khăn cần lấy như sau:

– Vào công trình thu nước ở bờ không ngập: V = 0,6 – 0,2 m/s

– Vào họng thu nước ngập: V = 0,3 – 0,1 m/s

Khi có yêu cầu bảo vệ cá (trường hợp dùng lưới chắn rác phẳng có lỗ 3-4mm đặt trước cửa thu nước) nhưng không kể đến sự phức tạp của điều kiện thu nước trong các con sông có tốc độ dòng chảy 0,4m/s, thì tốc độ cho phép của nước chảy qua cửa thu là 0,25m/s. Nếu thu nước ở hồ thì lấy bằng 0,1m/s.

Ghi chú:

1- Tốc độ quy định trên đây tính với tổng diện tích lỗ của song hoặc lưới bảo vệ cá.

Bạn phải đăng nhập hoặc đăng ký Thành Viên TVPL Pro để sử dụng được đầy đủ các tiện ích gia tăng liên quan đến nội dung TCVN.

Mọi chi tiết xin liên hệ: ĐT: (028) 3930 3279 DĐ: 0906 22 99 66

3- Đối với công trình thu kiểu đặt sâu thu nước theo từng lớp, tốc độ tính toán phải xác định riêng.

5.82. Kích thước và diện tích cửa thu nước xác định cho tất cả các ngăn làm việc đồng thời (trừ ngăn dự phòng) theo công thức:

           (5-1)

: – Diện tích cửa thu của một ngăn thu (m2)

V – Tốc độ nước chảy vào cửa thu (m/s), tính với diện tích thông thuỷ của cửa.

Q- Lưu lượng nước tính toán của một ngăn thu (m3/s)

K- Hệ số kể đến sự thu hẹp diện tích do các thanh song chắn hoặc lưới.

                           (đối với song chắn)

                      (đối với lưới)

Bạn phải đăng nhập hoặc đăng ký Thành Viên TVPL Pro để sử dụng được đầy đủ các tiện ích gia tăng liên quan đến nội dung TCVN.

Mọi chi tiết xin liên hệ: ĐT: (028) 3930 3279 DĐ: 0906 22 99 66

c- Chiều dày của thanh song chắn hoặc lưới (cm)

1,25- Hệ số kể đến lỗ bị tắc.

5.83. Trong các công trình thu nước kiểu thấm thì diện tích lớp thấm cũng xác định theo (5-l) nhưng lấy hệ số  ,trong đó p – độ rỗng của lớp thấm lấy bằng 0,5.

Tốc độ của nước chảy qua lỗ rỗng của lớp thấm v ≤ vgh = 10.1, ở đây Vgh – tốc độ giới hạn để bảo vệ cá con có chiều dài thân là l.

Ghi chú: Không được áp dụng công trình thu nước kiểu thấm đối với công trình thu cố định từ các nguồn nước bị nhiễm bẩn mà không đảm bảo việc sửa lớp thấm bị nhiễm bẩn.

5.84. Các công trình thu phải được bảo vệ khỏi sự xói lở bởi các dòng chảy vòng bằng cách xây nền sâu và gia cố đáy chung quanh công trình.

Kiểm tra tốc độ không gây xói lở đáy và lớp gia cố đáy bằng đá vk(m/s) đối với dòng chảy tĩnh cần thực hiện theo công thức:

Trong đó:

Bạn phải đăng nhập hoặc đăng ký Thành Viên TVPL Pro để sử dụng được đầy đủ các tiện ích gia tăng liên quan đến nội dung TCVN.

Mọi chi tiết xin liên hệ: ĐT: (028) 3930 3279 DĐ: 0906 22 99 66

d- Đường kính trung bình của hạt lắng đọng trên đáy hay của đá gia cố tính bằng (m).

d10– Đường kính lớn nhất của hạt lắng đọng trên đáy, hàm lượng của nó trong hỗn hợp không lớn hơn 10% tính bằng (m).

β- Độ đục do các loại hạt hình thành lòng sông gây nên (kg/m3).

H- Chiều sâu của dòng chảy (m).

5.85. Công trình thu phải được bảo vệ khỏi sự phá hoại bởi vật nổi và neo tầu thuyền. Tuỳ theo bậc tin cậy đặt ra đối với hệ thống cấp nước và mức độ phức tạp của các điều kiện thu nước, công trình thu phải được bảo đảm các phương tiện để chống sự bồi đắp đáy. Chỗ đặt công trình thu phải được rào bằng các phao nổi.

5.86. Các công trình thu ở bờ phải được bảo vệ chống xói lở do tác dụng của dòng nước và sóng bằng cách gia cố bờ và đáy.

5.87. Mép dưới cửa thu nước phải đặt cao hơn đáy sông hồ tối thiểu 0,5m. Mép trên của cửa thu hay của các công trình đặt ngập thì phải đặt thấp hơn lòng trũng của sóng 0,3m.

Độ ngập của cửa thu nước khi thu nước thành từng lớp cần phải xác định theo tính toán đối với độ ổn định phân tầng của khối nước trong hồ chứa.

5.88. Khi xây dựng công trình thu nước, cần tính toán đến khả năng nghiền nghêu sò và rong tảo làm tắc nghẹn các bộ phận thu nước để có biện pháp chống lại chúng (Clo hóa, rửa bằng nước nóng xả ra từ công trình công nghiệp nào gần đó, sơn bảo vệ v.v…) theo các chỉ dẫn ở điều 10.13.

Bạn phải đăng nhập hoặc đăng ký Thành Viên TVPL Pro để sử dụng được đầy đủ các tiện ích gia tăng liên quan đến nội dung TCVN.

Mọi chi tiết xin liên hệ: ĐT: (028) 3930 3279 DĐ: 0906 22 99 66

5.90. Đường ống tự chảy có các điểm tháo nước phải được thiết kế bằng ống hay mương ngầm làm bằng vật liệu không gỉ (ống bê tông cốt thép, ống xi măng amiăng, ống gang, mương ngầm bê tông cốt thép).

5.91. Đường ống dẫn nước tự chảy và ống xi phông thả dưới nước không có điểm thác nước cho phép dùng ống thép hàn thành ống nối liền có các mối nối tăng cường và có nền ổn định.

5.92. Phải kiểm tra độ nối của ống tự chảy và ống xi phông làm bằng thép và phải cấu tạo lớp cách li chống gỉ, khi cần thiết phải áp dụng biện pháp bảo vệ cá tốt hay bảo vệ bề mặt.

5.93. Đường ống xi phông và tự chảy đặt trong giới hạn lòng sông phải được bảo vệ mặt ngoài khỏi sự bào mòn của bùn cát đáy và khỏi bị neo tầu thuyền làm hư hỏng bằng cách đặt sâu chúng dưới đáy tuỳ theo điều kiện địa phương nhưng phải sâu ít nhất 0,5m hoặc ốp bằng đất có gia cố chống xói lở.

5.94. Kích thước tiết diện của ống hút làm việc theo nguyên tắc tự chảy và xi phông phải xác định bằng tính toán thuỷ lực đối với chế độ làm việc bình thường của công trình thu theo các trị số tốc độ sau đây:

– Đối với ống tự chảy 0,7- 1,5 m/s;

– Đối với ống hút 1,2 – 2 m/s.

Sau khi xác định tiết diện ngang của ống xi phông hay ống tự chảy theo tốc độ cho phép, phải kiểm tra lại khả năng tự xói rửa các hạt lắng đọng trong đường ống.

5.95. Mực nước tính toán tối thiểu trong các ngăn thu nước ở đây phải xác định bằng tính toán thuỷ lực, ứng với các trường hợp:

Bạn phải đăng nhập hoặc đăng ký Thành Viên TVPL Pro để sử dụng được đầy đủ các tiện ích gia tăng liên quan đến nội dung TCVN.

Mọi chi tiết xin liên hệ: ĐT: (028) 3930 3279 DĐ: 0906 22 99 66

– Khi một ngăn của công trình thu nước không làm việc;

– Khi xuất hiện các điều kiện bất lợi khác(tắc lưới chắn rác, tắc ống dẫn v.v…).

Ghi chú: Khi thấy có khả năng làm tắc ống dẫn bởi nghêu sò thì cần tính toán tổn thất trên đường ống dẫn với trị số độ chắn bằng 0,02-0,04.

Khi ống dẫn xi phông có chiều dài lớn phải dự kiến đặt thiết bị để mở từ từ van xả tại máy bơm.

5.96. Chọn lưới để làm sạch sơ bộ nước nguồn phải chú ý đến đặc điểm của sông hồ chứa nước và công suất của công trình thu.

Trong điều kiện sông hồ bị nhiễm bẩn ở mức trung bình, nghiêm trọng và rất nghiêm trọng mà công suất thu nước lớn hơn lm3/s thì phải dùng lưới quay.

5.97. Diện tích công tác của lưới phẳng hay lưới quay phải xác định theo mực nước tối thiểu trong ngăn đặt lưới và tốc độ qua mắt lưới được chọn như sau:

– Không lớn hơn 0,4m/s trong trường hợp cá có thể đi vào ngăn đặt lưới.

– 0,8- 1,2m/s khi có thiết bị ngăn cá ở phía ngoài ngăn thu đặt ở bờ.

Bạn phải đăng nhập hoặc đăng ký Thành Viên TVPL Pro để sử dụng được đầy đủ các tiện ích gia tăng liên quan đến nội dung TCVN.

Mọi chi tiết xin liên hệ: ĐT: (028) 3930 3279 DĐ: 0906 22 99 66

Đối với công trình thu công suất bé cho phép dùng các máy bơm giếng.

5.99. Để có thể tăng công suất của công trình thu phải có dự kiến đặt trong trạm bơm một tổ máy bơm bổ sung hoặc thay thế bằng máy bơm có công suất lớn hơn cũng như phải có dự kiến đặt trước vào trạm bơm các đoạn ống lồng để có thể đấu thêm vào trạm các ống xi phông hoặc tự chảy…

5.100. Trạm bơm(đợt một) của các công trình thu phải thiết kế theo các chỉ dẫn nêu trong chương 7.

Khi thiết kế trạm bơm phải có dự kiến đặt bơm thoát nước dò rỉ bơm hút bùn từ các ngăn thu nước và bơm rửa lưới (trong trường hợp không thể dùng nước lấy từ các đường ống áp lực).

6. Làm sạch và xử lí nước

Chỉ dẫn chung:

6.1. Phương pháp xử lí nước, thành phần và các thông số tính toán công trình làm sạch, liều lượng tính toán các hoá chất phải xác định theo: chất lượng nước nguồn, chức năng của hệ thống cấp nước, công suất trạm làm sạch, điều kiện địa phương, điều kiện kinh tế kĩ thuật và dựa vào những số liệu nghiên cứu công nghệ và vận hành những công trình làm việc trong điều kiện tương tự.

6.2. Các phương pháp xử lí hoá học chủ yếu cho ở bảng 6- l.

6.3. Khi thiết kế trạm làm sạch và xử lí nước cần dự kiến việc dùng lại nước rửa hoặc xả nước rửa vào hồ chứa với điều kiện phải thực hiện những yêu cầu của cơ quan vệ sinh dịch tễ và cơ quan bảo vệ cá (thuỷ sản).

Bạn phải đăng nhập hoặc đăng ký Thành Viên TVPL Pro để sử dụng được đầy đủ các tiện ích gia tăng liên quan đến nội dung TCVN.

Mọi chi tiết xin liên hệ: ĐT: (028) 3930 3279 DĐ: 0906 22 99 66

6.4. Để kiểm tra quá trình công nghệ xử lí và khử trùng nước, trước và sau mỗi công trình (bể trộn, bể lắng trong, bể lọc, bể chứa, trạm bơm v.v…) đều phải đặt thiết bị để lấy mẫu nước phân tích.

6.5. Phân loại các nguồn nước mặt như sau:

a) Theo hàm lượng cặn:

Nước ít đục:              đến 50 mg/l

Nước đục vừa:          từ 50 mg/l đến 250 mg/l

Nước đục:                 từ 250 mg/l đến 2500 mg/l

Nước rất đục:            trên 2500 ml/l

b) Theo độ mầu

Nước ít mầu:              dưới 350

Bạn phải đăng nhập hoặc đăng ký Thành Viên TVPL Pro để sử dụng được đầy đủ các tiện ích gia tăng liên quan đến nội dung TCVN.

Mọi chi tiết xin liên hệ: ĐT: (028) 3930 3279 DĐ: 0906 22 99 66

6.6. Công suất tính toán các công trình làm sạch phải tính cho ngày dùng nước nhiều nhất cộng với lưu lượng nước dùng riêng cho trạm – đồng thời phải kiểm tra điều kiện làm việc tăng cường để đảm bảo lượng nước bổ sung khi có cháy.

6.7. Lưu lượng nước dùng riêng cho trạm làm trong, khử mầu, trạm khử sắt…lấy bằng 2- 4% lượng nước cấp cho hộ tiêu thụ nếu có dùng lại nước sau khi rửa bể lọc. Lấy bằng 5- 10% khi không dùng lại nước sau khi rửa lọc. Đối với trạm làm mềm và khử muối thì lấy bằng 20 – 50% và phải xác định chính xác lại bằng tính toán.

6.8. Trạm làm sạch và xử lí nước phải tính cho điều kiện làm việc điều hoà suốt ngày đêm với khả năng ngừng từng công trình để kiểm tra, thay rửa và sửa chữa. Đối với trạm công suất đến 3000 m3/ng thì được phép làm việc 1 phần ngày đêm.

Bảng 6 – 1

Chỉ tiêu chất lượng nước

Phương pháp xử lí hóa học

Hóa chất sử dụng

Nước có độ đục lớn

 

Bạn phải đăng nhập hoặc đăng ký Thành Viên TVPL Pro để sử dụng được đầy đủ các tiện ích gia tăng liên quan đến nội dung TCVN.

Mọi chi tiết xin liên hệ: ĐT: (028) 3930 3279 DĐ: 0906 22 99 66

Nước có độ mầu cao, có nhiều chất hữu cơ và phù du sinh vật.

 

Độ kiềm thấp làm khó khăn cho việc keo tụ,

Có mùi và vị

 

Nước có nhiều muối cứng.

 

Hàm lượng muối cao hơn tiêu chuẩn.

Có đihyđrô sunfua (H2S)

Bạn phải đăng nhập hoặc đăng ký Thành Viên TVPL Pro để sử dụng được đầy đủ các tiện ích gia tăng liên quan đến nội dung TCVN.

Mọi chi tiết xin liên hệ: ĐT: (028) 3930 3279 DĐ: 0906 22 99 66

 

 

Nhiều ôxy hòa tan

Nước không ổn định có chỉ số bão hòa thấp (ăn mòn)

Nước không ổn định có chỉ số bão hòa cao.

 

Nước có vi trùng

 

Nước có nhiều sắt

Bạn phải đăng nhập hoặc đăng ký Thành Viên TVPL Pro để sử dụng được đầy đủ các tiện ích gia tăng liên quan đến nội dung TCVN.

Mọi chi tiết xin liên hệ: ĐT: (028) 3930 3279 DĐ: 0906 22 99 66

 

Clo hóa trước

Đánh phèn; xử lí bằng chất phụ trợ keo tụ

 Ôzôn hóa,

 Kiềm hóa

Cácbon hóa, Clo hóa trước. Clo hóa trước kèm theo aminac hóa.

Xử lí bằng kali.

Khử cácbon, làm mềm bằng vôi – xôđa trao đổi ion.

Trao đổi ion điện phân.

Bạn phải đăng nhập hoặc đăng ký Thành Viên TVPL Pro để sử dụng được đầy đủ các tiện ích gia tăng liên quan đến nội dung TCVN.

Mọi chi tiết xin liên hệ: ĐT: (028) 3930 3279 DĐ: 0906 22 99 66

Axít hóa

Làm thoáng Clo hóa

Đánh phèn

Liên kết ôxy bằng các chất khử

Permanaganat,Ozôn hóa

Kiềm hóa, phốtphát hóa

Axít hóa, phốt phát hóa

Clo hóa

Ozôn hóa

Bạn phải đăng nhập hoặc đăng ký Thành Viên TVPL Pro để sử dụng được đầy đủ các tiện ích gia tăng liên quan đến nội dung TCVN.

Mọi chi tiết xin liên hệ: ĐT: (028) 3930 3279 DĐ: 0906 22 99 66

Phèn nhôm, phèn sắt, chất phụ trợ keo tụ.

(poliacrilamit, axit silicic hoạt tính)

Clo, phèn, chất phụ trợ keo tụ, Ôzôn

 

 

Vôi, xôđa

 

Than hoạt tính, Clo lỏng kali

Permanganat, amoniắc, Ôzôn

Bạn phải đăng nhập hoặc đăng ký Thành Viên TVPL Pro để sử dụng được đầy đủ các tiện ích gia tăng liên quan đến nội dung TCVN.

Mọi chi tiết xin liên hệ: ĐT: (028) 3930 3279 DĐ: 0906 22 99 66

Vôi xôđa, phèn, (sắt clorua, sắt sunliat) muối ăn, axit sunfuric

Axít sunfuric

Xô đa, xút, vôi.

 

 

 

Sunfat hoặc natri thiosunfat. Khí

sunfurơ. Hyđrazin

Vôi, xôđa, phốtphát natri

Bạn phải đăng nhập hoặc đăng ký Thành Viên TVPL Pro để sử dụng được đầy đủ các tiện ích gia tăng liên quan đến nội dung TCVN.

Mọi chi tiết xin liên hệ: ĐT: (028) 3930 3279 DĐ: 0906 22 99 66

 

Clo, hyđrôcloxit ozôn, amôniac.

 

Clo,vôi, xô đa, phèn, Kali,Permangnat.

 

 

Dây chuyền và biện pháp xử lí nước

6.9. Các công trình công nghệ chủ yếu của trạm xử lí nước thải lấy theo bảng 6-2 và chỉ dẫn ở mục 6.1.

Bảng 6-2

Bạn phải đăng nhập hoặc đăng ký Thành Viên TVPL Pro để sử dụng được đầy đủ các tiện ích gia tăng liên quan đến nội dung TCVN.

Mọi chi tiết xin liên hệ: ĐT: (028) 3930 3279 DĐ: 0906 22 99 66

Điều kiện sử dụng

Chất lượng nước nguồn

Công suất của trạm (m3 /ng)

Chất lơ lửng (mg/l)

Độ sâu (độ)

Xử lí nước có dùng phèn:

1- Trạm có bể lọc nhanh

a) Bể lọc áp lực

b) Bể lọc hở

Bạn phải đăng nhập hoặc đăng ký Thành Viên TVPL Pro để sử dụng được đầy đủ các tiện ích gia tăng liên quan đến nội dung TCVN.

Mọi chi tiết xin liên hệ: ĐT: (028) 3930 3279 DĐ: 0906 22 99 66

d) Bể lắng trong có lớp cặn lơ lửng và bể lọc

 

 

đến 50

đến 30

đến 2500

đến 2500

 

 

Bạn phải đăng nhập hoặc đăng ký Thành Viên TVPL Pro để sử dụng được đầy đủ các tiện ích gia tăng liên quan đến nội dung TCVN.

Mọi chi tiết xin liên hệ: ĐT: (028) 3930 3279 DĐ: 0906 22 99 66

đến 50

bất kì

bất kì

 

 

đến 3000

bất kì

đến 3000

đến 3000

Bạn phải đăng nhập hoặc đăng ký Thành Viên TVPL Pro để sử dụng được đầy đủ các tiện ích gia tăng liên quan đến nội dung TCVN.

Mọi chi tiết xin liên hệ: ĐT: (028) 3930 3279 DĐ: 0906 22 99 66

f) Bể lắng sơ bộ, bể lắng, bể lọc

g) Bể lọc hạt to để làm trong một phần.

2- Bể lọc tiếp xúc

3- Bể lắng hoặc bể lắng trong để làm sạch một phần

Xử lí nước không dùng phèn

4- Trạm có bể lọc chậm

a) Khi phục hồi phải lấy cát ra

b) Khi phục hồi không phải lấy cát ra (xới bằng cơ khí và rửa bằng nước)

c) Bể lọc sơ bộ, bể lọc chậm phục hồi bằng cơ giới.

Bạn phải đăng nhập hoặc đăng ký Thành Viên TVPL Pro để sử dụng được đầy đủ các tiện ích gia tăng liên quan đến nội dung TCVN.

Mọi chi tiết xin liên hệ: ĐT: (028) 3930 3279 DĐ: 0906 22 99 66

Xử lí nước có chất sắt:

1- Dàn mưa (công trình làm thoáng tự nhiên) lọc phá hay lọc tiếp xúc lọc chậm

2- Dàn mưa,bể tiếp xúc, lọc nhanh hoặc dàn mưa, lọc tiếp xúc

3- Công trình làm thoáng dùng quạt gió, bể tiếp xúc lọc nhanh, hoặc công trình làm thoáng dùng quạt gió lọc tiếp xúc.

4- Ejectơ thu khí, lọc áp lực

5- Máy nén khí, lọc áp lực

6- Phun mưa trên mặt bể lọc rồi lọc hoặc trực tiếp

đến 2500

trên 2500

Bạn phải đăng nhập hoặc đăng ký Thành Viên TVPL Pro để sử dụng được đầy đủ các tiện ích gia tăng liên quan đến nội dung TCVN.

Mọi chi tiết xin liên hệ: ĐT: (028) 3930 3279 DĐ: 0906 22 99 66

đến 150

 

 

đến 2500

 

đến 50

đến 700

 

đến 1000

Bạn phải đăng nhập hoặc đăng ký Thành Viên TVPL Pro để sử dụng được đầy đủ các tiện ích gia tăng liên quan đến nội dung TCVN.

Mọi chi tiết xin liên hệ: ĐT: (028) 3930 3279 DĐ: 0906 22 99 66

bất kì

đến 150

đến 150

 

 

bất kì

 

đến 50

Bạn phải đăng nhập hoặc đăng ký Thành Viên TVPL Pro để sử dụng được đầy đủ các tiện ích gia tăng liên quan đến nội dung TCVN.

Mọi chi tiết xin liên hệ: ĐT: (028) 3930 3279 DĐ: 0906 22 99 66

 

đến 50

đến 150

trên 3000

bất kì

bất kì

bất kì

 

 

Bạn phải đăng nhập hoặc đăng ký Thành Viên TVPL Pro để sử dụng được đầy đủ các tiện ích gia tăng liên quan đến nội dung TCVN.

Mọi chi tiết xin liên hệ: ĐT: (028) 3930 3279 DĐ: 0906 22 99 66

 

đến 1000

đến 30000

 

đến 30000

bất kì

2.400

 

 

Bạn phải đăng nhập hoặc đăng ký Thành Viên TVPL Pro để sử dụng được đầy đủ các tiện ích gia tăng liên quan đến nội dung TCVN.

Mọi chi tiết xin liên hệ: ĐT: (028) 3930 3279 DĐ: 0906 22 99 66

10.000

 

< 500

Bất kì

 

 

Bất kì

Hàm lượng sắt bất kì sau khi làm thoáng, pH t 7, độ kiềm t

2mgđl/l

Bạn phải đăng nhập hoặc đăng ký Thành Viên TVPL Pro để sử dụng được đầy đủ các tiện ích gia tăng liên quan đến nội dung TCVN.

Mọi chi tiết xin liên hệ: ĐT: (028) 3930 3279 DĐ: 0906 22 99 66

NH4 < 1mg/l

độ ôxi hóa

(0,15Fe2+ + 3mg/l)

Hàm lượng sắt < 12mg/l

pH ≥ 6,8

-nt-

Hàm lượng sắt < 9mg/l

pH > 7

Ghi chú:

Bạn phải đăng nhập hoặc đăng ký Thành Viên TVPL Pro để sử dụng được đầy đủ các tiện ích gia tăng liên quan đến nội dung TCVN.

Mọi chi tiết xin liên hệ: ĐT: (028) 3930 3279 DĐ: 0906 22 99 66

2- Khi chọn thành phần các công trình trong dây chuyền công nghệ cần xét đến số liệu theo dõi nhiều năm và sự thay đổi chất lượng nước nguồn trong năm và khoảng thời gian có hàm lượng cặn và độ mầu cao nhất.

3- Bể lắng trong có lớp cặn lơ lửng chỉ áp dụng khi nước đưa vào công trình có lưu lượng điều hoà hoặc thay đổi dần dần trong phạm vi không quá r 15% trong 1 giờ, và nhiệt độ nước đưa vào thay đổi không quá r 10C trong 1 giờ.

4- Khi xử lí nước rất đục để làm sạch sơ bộ có thể dùng bể lắng ngang, hố lắng tự nhiên hay các công trình khác.

5- Tại các công trình thu nước và làm sạch nước cần phải đặt lưới với cỡ mắt lưới 0,5-2mm tùy theo loại hệ thống phân phối và thành phần công trình làm sạch. Khi lượng phù du sinh vật trong nước vượt quá 1000 con/ml thì ngoài lưới phẳng hoặc lưới quay tại công trình thu nước nên bố trí thêm microphin.

Chuẩn bị hoá chất

6.10. Liều lượng hoá chất tính toán cần xác định để hàm lượng chung còn lại trong nước nằm trong phạm vi cho phép theo “Tiêu chuẩn vệ sinh đối với chất lượng nước ăn uống và sinh hoạt” (phụ lục 7).

6.11. Liều lượng phèn tính theo AL2 (SO4)3, FeCl3, Fe2(SO4)3. Sản phẩm không chứa nước được chọn sơ bộ như sau:

a) Khi xử lí nước đục (theo bảng 6- 3)

b) Khi xử lí nước có màu tính theo công thức:

Bạn phải đăng nhập hoặc đăng ký Thành Viên TVPL Pro để sử dụng được đầy đủ các tiện ích gia tăng liên quan đến nội dung TCVN.

Mọi chi tiết xin liên hệ: ĐT: (028) 3930 3279 DĐ: 0906 22 99 66

 (6-1)

 Trong đó:

Pp – Liều lượng phèn tính theo sản phẩm không chứa nước.

M- Độ mầu của nước nguồn sẽ xử lý tính bằng độ theo thang màu Platin- coban.

Ghi chú: Khi xử lí nước vừa đục vừa có mầu thì lượng phèn được xác định theo bảng 6-3 và theo công thức (6-1) rồi chọn lấy gíá trị lớn hơn.

Bảng 6.3 – Liều lượng phèn để xử lí nước

Hàm lượng cặn (mg/l)

Liều lượng phèn không chứa nước dùng để xử lí nước đục (mg/l)

đến 100

Bạn phải đăng nhập hoặc đăng ký Thành Viên TVPL Pro để sử dụng được đầy đủ các tiện ích gia tăng liên quan đến nội dung TCVN.

Mọi chi tiết xin liên hệ: ĐT: (028) 3930 3279 DĐ: 0906 22 99 66

201 – 400

401 – 600

601 – 800

801 – 1000

1001 – 1400

1401 – 1800

1801 – 2200

2201 – 2500

25 – 35

Bạn phải đăng nhập hoặc đăng ký Thành Viên TVPL Pro để sử dụng được đầy đủ các tiện ích gia tăng liên quan đến nội dung TCVN.

Mọi chi tiết xin liên hệ: ĐT: (028) 3930 3279 DĐ: 0906 22 99 66

40 – 60

45 – 70

55 – 80

60 – 90

65 – 105

75 – 115

80 – 125

90 – 130

Ghi chú:

Bạn phải đăng nhập hoặc đăng ký Thành Viên TVPL Pro để sử dụng được đầy đủ các tiện ích gia tăng liên quan đến nội dung TCVN.

Mọi chi tiết xin liên hệ: ĐT: (028) 3930 3279 DĐ: 0906 22 99 66

2- Khi dùng bể lọc tiếp xúc hay bể lọc làm việc theo nguyên lí keo tụ trong lớp vật liệu lọc thì lượng phèn lấy nhỏ hơn các trị số ở bảng 6-3 và công thức (6-1) khoảng 10-15%.

6.12. Liều lượng chất phụ trợ keo tụ ( cho thêm vào với phèn) phải lấy như sau:

a) Pôliacrilamit (PAA)

– Khi cho vào nước trước bể lắng hoặc bể lắng trong có lớp cặn lơ lửng, lấy theo bảng 6- 4.

Khi cho vào nước trước bể lọc ở sơ đồ làm sạch 2 bậc lấy bằng 0,05 – 0,1 mg/l. Khi cho vào trước bể lọc tiếp xúc hay bể lọc ở sơ đồ làm sạch l bậc lấy bằng 0,4 – 0,6mg/l.

b) Axít silic hoạt tính (theo SiO2)

– Khi cho vào nước trước bể lắng hay bể lắng trong đó có lớp cặn lơ lửng lấy bằng 2-3mg/l.

– Khi cho vào nước trước bể lọc ở sơ đồ làm sạch 2 bậc lấy bằng 0,2-0,5 mg/l

– Khi cho vào nước trước bể lọc tiếp xúc hay bể lọc ở sơ đồ làm sạch một bậc lấy bằng l- 3mg/l.

Bạn phải đăng nhập hoặc đăng ký Thành Viên TVPL Pro để sử dụng được đầy đủ các tiện ích gia tăng liên quan đến nội dung TCVN.

Mọi chi tiết xin liên hệ: ĐT: (028) 3930 3279 DĐ: 0906 22 99 66

Bảng 6-4

Hàm lượng cặn (mg/l)

Độ mầu (độ)

Lượng PAA không chứa nước (mg/l)

Đến 10

11 đến 100

101 – 500

500 – 10.000

30

Bạn phải đăng nhập hoặc đăng ký Thành Viên TVPL Pro để sử dụng được đầy đủ các tiện ích gia tăng liên quan đến nội dung TCVN.

Mọi chi tiết xin liên hệ: ĐT: (028) 3930 3279 DĐ: 0906 22 99 66

20 – 60

1,5 – 1

1 – 0,6

8,6 – 0,4

0,4 – 1,0

6.14. Khi trong nước nguồn có phênol cần phải cho amoniac hoặc muối amôni với liều lượng 20-25% (Tính theo NH3) liều lượng Clo, trước khi Clo hoá nước.

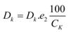
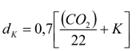
6.15. Liều lượng hoá chất để kiềm hoá DK(mg/l) cần xác định theo công thức:

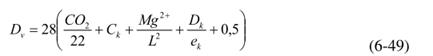
Bạn phải đăng nhập hoặc đăng ký Thành Viên TVPL Pro để sử dụng được đầy đủ các tiện ích gia tăng liên quan đến nội dung TCVN.

Mọi chi tiết xin liên hệ: ĐT: (028) 3930 3279 DĐ: 0906 22 99 66

– Pp= Liều lượng phèn lớn nhất trong thời gian kiềm hoá (mg/l)

– e = Đương lượng của phèn ( không chứa nước) tính bằng mg/mg- 1

Đối với             AL2(SO4)3      e = 57

                        FeCl3            e = 54

                        Fe2 (SO4)3     e = 67

– k: Độ kiềm nhỏ nhất của nước tính bằng mg- l

– K: Hệ số.

Đối với vôi ( theo CaO) – K = 28

Đối với Sô đa (NO2CO3) – K = 53

Bạn phải đăng nhập hoặc đăng ký Thành Viên TVPL Pro để sử dụng được đầy đủ các tiện ích gia tăng liên quan đến nội dung TCVN.

Mọi chi tiết xin liên hệ: ĐT: (028) 3930 3279 DĐ: 0906 22 99 66

a) Than hoạt tính bột mịn, liều lượng (tính theo mác ” A – Kiềm “)

3 độ: đến 20 mg/l

4 độ: 30 đến 40 mg/l

5 độ: 50 – 80 mg/l b) Kali pecmanganat

Khi độ ôxy hoá pecmanganat của nước.

– từ 8- 10 mg/l 02: Liều lượng là l – 3 mg/l

– từ 10- 15 mg/l 02: Liều lượng là 3 – 5 mg/l .

– từ 15-25 mg/l 02: Liều lượng là 5 – 10 mg/l.

c) Ôzôn: Liều lượng xác định theo thực nghiệm.

Bạn phải đăng nhập hoặc đăng ký Thành Viên TVPL Pro để sử dụng được đầy đủ các tiện ích gia tăng liên quan đến nội dung TCVN.

Mọi chi tiết xin liên hệ: ĐT: (028) 3930 3279 DĐ: 0906 22 99 66

6.17. Trình tự cho hoá chất vào nước và khoảng cách thời gian giữa những lần cho các hóa chất phải lấy theo bảng 6- 5.

Nếu không thể đảm bảo khoảng cách thời gian cần thiết giữa những lần cho hoá chất vào ống dẫn ở trước trạm làm sạch và trước bể trộn thì cho phép đặt bể trộn và bể tiếp xúc phụ, nhưng cấu tạo của chúng không được phép để cho hoá chất cho vào nước dưới dạng huyền phù bị lắng xuống.

Bảng 6-5

Đặc điểm nước nguồn

Hóa chất để xử lí

Trình tự cho hóa chất vào nước

1- Khi không có mùi vị

2- Có mùi vị- mùi Clo phenol

Không tạo ra khi Clo hóa

Bạn phải đăng nhập hoặc đăng ký Thành Viên TVPL Pro để sử dụng được đầy đủ các tiện ích gia tăng liên quan đến nội dung TCVN.

Mọi chi tiết xin liên hệ: ĐT: (028) 3930 3279 DĐ: 0906 22 99 66

 

 

 

 

 

 

3- Như trên, có mùi Clophenol khi Clo hóa

Clo, phèn

a) Phèn, ôzôn

Bạn phải đăng nhập hoặc đăng ký Thành Viên TVPL Pro để sử dụng được đầy đủ các tiện ích gia tăng liên quan đến nội dung TCVN.

Mọi chi tiết xin liên hệ: ĐT: (028) 3930 3279 DĐ: 0906 22 99 66

c) Clo, than hoạt tính, phèn

 

d) Clo, Kali- pecmanganat,  than hoạt tính, phèn

 

a) Amôniac, Clo, phèn.

b) Phèn, ôzôn

c)Kali-pecmanganat Clo, phèn

 

d) Amôniăc, Clo, Kali- pecmanganat phèn

Bạn phải đăng nhập hoặc đăng ký Thành Viên TVPL Pro để sử dụng được đầy đủ các tiện ích gia tăng liên quan đến nội dung TCVN.

Mọi chi tiết xin liên hệ: ĐT: (028) 3930 3279 DĐ: 0906 22 99 66

Đầu tiên cho Clo, sau 2-3phút cho phèn.

Phèn, ôzôn trước hoặc sau bể lọc

– Đầu tiên pha Clo, sau 10 phút pha Kali- pecmanganat, qua 2-3 phút nữa thì pha phèn.

a) Pha Clo đầu tiên, sau 10-15 phút cho than hoạt tính, sau 2-3 phút pha phèn

b) Đầu tiên pha Clo, sau 2-3 phút pha phèn, than hoạt tính với liều lượng đến 5 mg/l trước bể lọc

– Pha Clo đầu tiên, sau đó 10 phút Kali- pecmanganat. Sau 10-15 phút than hoạt tính, sau 10 phút nữa pha phèn.

– Amôniăc, sau 2-3 phút pha Clo, sau 2-3 phút nữa pha phèn

– Phèn, ôzôn trước hoặc sau bể lọc

– Kali-pecmanganat sau 10 phút cho Clo, sau 2-3 phút cho phèn.

Bạn phải đăng nhập hoặc đăng ký Thành Viên TVPL Pro để sử dụng được đầy đủ các tiện ích gia tăng liên quan đến nội dung TCVN.

Mọi chi tiết xin liên hệ: ĐT: (028) 3930 3279 DĐ: 0906 22 99 66

– Kali-pecmanganat sau 10 phút than hoạt tính, sau 10 phút nữa cho phèn.

Ghi chú:

1- Khi độ kiềm không đủ để keo tụ phải cho thêm vôi hoặc sôđa đồng thời với phèn.

2- Để khử trùng phải cho Clo vào nước đã lọc.

3- Chất phụ trợ keo tụ cho vào nước sau khi cho phèn 2-3 phút.

4- Để khử vị và mùi, cho phép dùng bể lọc với lớp lọc bằng than hoạt tính dạng hạt (đặt sau bể lọc làm trong) hoặc dùng bể lọc 2 lớp; lớp trên là than hoạt tính.

5- Phải dự tính đến khả năng thay đổi thời gian tiếp xúc và hoà trộn nước với hóa chất.

6.18. Hoá chất cần được điều chế và định lượng dưới dạng dung dịch hay huyền phù, việc định liều lượng hoá chất phải đảm bảo độ chính xác bằng r 5% liều lượng đã định.

Số thiết bị định liều lượng cần phải lấy theo số điểm cho hóa chất vào nước theo khối lượng hoá chất và công suất của thiết bị định liều lượng, nhưng không nhỏ hơn 2 (l để dự phòng).

Bạn phải đăng nhập hoặc đăng ký Thành Viên TVPL Pro để sử dụng được đầy đủ các tiện ích gia tăng liên quan đến nội dung TCVN.

Mọi chi tiết xin liên hệ: ĐT: (028) 3930 3279 DĐ: 0906 22 99 66

1- Được phép định liều lượng hóa chất ở dạng khô trong trường hợp đặc biệt.

2- Các thiết bị định liều lượng cần đặt ở nơi dễ quan sát đủ ánh sáng và phải có dụng cụ để kiểm tra.

6.19. Trước khi cho vào nước các chất phản ứng (các hoá chất) phải hòa thành dung dịch qua các giai đoạn hoà tan, điều chỉnh nồng độ rồi chứa trong các bể (hoặc thùng) tiêu thụ.

a) Dung tích bể hoà trộn tính theo công thức:

Trong đó:

q: Lưu lượng nước xử lí (m3/h)

p: Liều lượng hoá chất dự tính cho vào nước (g/m3)

n: số giờ giữa 2 lần hoà tan đối với trạm công suất:

Bạn phải đăng nhập hoặc đăng ký Thành Viên TVPL Pro để sử dụng được đầy đủ các tiện ích gia tăng liên quan đến nội dung TCVN.

Mọi chi tiết xin liên hệ: ĐT: (028) 3930 3279 DĐ: 0906 22 99 66

                        1200 – 10.000 m3/ng.đ    n = 12 giờ

                        10.000 – 50.000m3/ngđ   n = 8 – 12 giờ.

                        50.000m3/ng.đ               n = 6 – 8 giờ

                        1.000.000 m3/ngđ          n = 3 giờ

bh: Nồng độ dung dịch hoá chất trong thùng hoà trộn tính bằng % .

: Khối lượng riêng của dung dịch lấy bằng lT/m3.

b) Dung tích bể tiêu thụ tính theo công thức:

Trong đó: bt = Nồng độ dung dịch hoá chất trong thùng tiêu thụ tính bằng %

Bạn phải đăng nhập hoặc đăng ký Thành Viên TVPL Pro để sử dụng được đầy đủ các tiện ích gia tăng liên quan đến nội dung TCVN.

Mọi chi tiết xin liên hệ: ĐT: (028) 3930 3279 DĐ: 0906 22 99 66

6.21. Cấu tạo bể hòa trộn phải đảm bảo khả năng dùng phèn sạch và phèn không sạch. Số bể tiêu thụ không được nhỏ hơn 2. Số bể hoà tan cần chọn tuỳ theo phương pháp vận chuyển phèn đến trạm xử lí, loại phèn cũng như thời gian hoà tan phèn.

6.22. Để hoà tan phèn và trộn phèn trong bể nếu dùng không khí ép thì cần lấy cường độ tiêu chuẩn như sau:

Để hoà tan: 8- 10 1/s- m2

– Để trộn đều khi pha loãng đến nồng độ cần thiết trong bể tiêu thụ: = 3- 5 1/s -m2.

Để phân phối không khí cần dùng ống có lỗ bằng vật liệu chịu axít.

Tốc độ không khí trong ống phải lấy bằng 10- 15 m/s, tốc dộ không khí qua lỗ bằng

20- 30 m/s. Đường kính lỗ 3- 4mm lỗ phải hướng xuống dưới. áp lực không khí ép lấy từ 1- 1,5 at.

Cho phép sử dụng máy khuấy hoặc bơm tuần hoàn để hòa tan và trộn dung dịch phèn. Khi dùng máy khuấy số cánh quạt không được nhỏ hơn 2, số vòng quay lấy bằng 20- 30 vòng/phút. Đối với trạm xử lí công suất dưới 500m3/ngđ có thể hoà trộn phèn bằng phương pháp thủ công.

6.23. Bể hòa trộn phải được thiết kế với tường đáy nghiêng một góc 45- 50o so với mặt phẳng nằm ngang. Để xả cặn và xả cặn bể phải bố trí ống có đường kính không nhỏ hơn 150mm.

Bạn phải đăng nhập hoặc đăng ký Thành Viên TVPL Pro để sử dụng được đầy đủ các tiện ích gia tăng liên quan đến nội dung TCVN.

Mọi chi tiết xin liên hệ: ĐT: (028) 3930 3279 DĐ: 0906 22 99 66

Khi dùng phèn bột trên ghi phải đặt lưới có kích thước lỗ là 2mm. Để rửa cặn và hòa tan phèn ở phần bể dưới ghi (phần dưới ống thu nước) cần phải có thiết bị để cho nước và không khí vào bể.

6.24. Đáy bể tiêu thụ phải có độ dốc không nhỏ hơn 0,005 về phía ống xả, ống xả phải có đường kính không nhỏ hơn 100mm. ống dẫn dung dịch đã điều chế phải đặt cách đáy 100- 200mm; Khi dùng phèn không sạch phải lấy dung dịch phèn ở lớp trên bằng ống mềm.

6.25. Mặt trong bể hoà trộn và tiêu thụ phải được bảo vệ bằng lớp vật liệu chịu axít để chống tác dụng ăn mòn của dung dịch phèn.

6.26. Khi dùng phèn sắt ở dạng dung dịch thì có thể cho ngay vào thùng hòa trộn rồi điều chỉnh nồng độ khi dùng sắt khô thì ở phần trên của bể hoà trộn phải đặt ghi và dùng tia nước phun để hoà tan. Các bể này phải đặt ở trong một phòng riêng có thông hơi tốt.

6.27. Để bơm dung dịch phèn phải dùng bơm chịu được axít hoặc Ejectơ.

Tất cả đường ống dẫn dung dịch phèn phải làm bằng vật liệu chịu axít. Kết cấu ống dẫn hoá chất phải đảm bảo khả năng súc rửa nhanh.

6.28. Pôliaerilamit phải dùng ở dạng dung dịch có nồng độ pôlime 0,1- 0,5 %

Điều chế dụng dịch bằng Pôliaerilamit kĩ thuật dạng gen phải tiến hành trong bể có máy khuấy cánh quạt với số vòng quay của trục 800- 1000 vòng/phút và với sự tuần hoàn thuỷ lực- công suất của máy khuấy (có kể đến chu kì toàn phần của việc điều chế dung dịch) là 2 giờ và nồng độ của dung dịch 0,5- l% .

6.29. Số lượng máy khuấy cũng như thể tích bể tiêu thụ phải xác định theo thời hạn dự trữ dung dịch Pôliaerilamit không ít hơn 20 ngày.

Bạn phải đăng nhập hoặc đăng ký Thành Viên TVPL Pro để sử dụng được đầy đủ các tiện ích gia tăng liên quan đến nội dung TCVN.

Mọi chi tiết xin liên hệ: ĐT: (028) 3930 3279 DĐ: 0906 22 99 66

6.31. Việc hoạt hoá bằng dung dịch nhôm sunfát tiến hành trong thiết bị hoạt động liên tục hay hoạt động định kì. Cách tính toán thiết bị để điều chế axít silic hoạt tính được trình bày ở phụ lục 8.

6.32. Để kiềm hoá và ổn định nước phải dùng vôi nếu có lí do chính đáng cho phép dùng xô đa.

6.33. Khi chọn sơ đồ công nghệ của quá trình chuẩn bị vôi phải xét đến chất lượng và dạng sản phẩm của nhà máy, nhu cầu về vôi, vị trí cho vôi vào nước v.v…

Ghi chú: Khi lượng vôi sử dụng dưới 50kg/ngày (theo CaO) thì được phép dùng sơ đồ sử dụng dung dịch vôi gồm có kho dự trữ ướt, thiết bị lấy vôi tôi, thùng bão hoà 2 lần và thiết bị định liều lượng.

6.34. Số bể chứa vôi sữa hoặc dung dịch vôi không được ít hơn 2, nồng độ vôi sữa trong bể tiêu thụ lấy không quá 5% theo CaO.

6.35. Khi xử lí ổn định nước, hoá chất sử dụng không được chứa chất bẩn và chất độc hại.

Để làm sạch vôi sữa khi xử lí ổn định nước phải dùng bể lắng đứng hoặc siclon thuỷ lực công suất của siclon thuỷ lực khi áp suất ở cửa vào bằng 0,6- 2,5 Kg/cm2 là:

Khi D = 75mm – – – – – – – – =3- 6m3/h

D = 125mm – – – — – – =6- 12m3/h

Bạn phải đăng nhập hoặc đăng ký Thành Viên TVPL Pro để sử dụng được đầy đủ các tiện ích gia tăng liên quan đến nội dung TCVN.

Mọi chi tiết xin liên hệ: ĐT: (028) 3930 3279 DĐ: 0906 22 99 66

D =250mm – — – – – – – =25- 50m3/h

6.36. Để trộn liên tục vôi sữa có thể sử dụng một trong các biện pháp sau: Thuỷ lực (máy bơm vôi tuần hoàn), máy khuấy hoặc không khí nén.

Khi trộn thuỷ lực, tốc độ đi lên của vôi sữa trong bể lấy không nhỏ hơn 5mm/s. Bể cần có đáy hình chóp, góc nghiêng không nhỏ hơn 45o và ống xả có đường kính không dưới 100mm.

Khi trộn bằng không khí nén cường độ tiêu chuẩn cần lấy bằng 8- 10 1/s- m2, áp lực khí nén lấy từ l- 1,5 at.

Tốc độ khuấy bằng máy không nhỏ hơn 40 vòng/phút.

6.37. Đường kính ống dẫn vôi sữa xác định như sau:

– ống áp lực dẫn sản phẩm sạch không nhỏ hơn 25mm, dẫn sản phẩm không sạch không nhỏ hơn 50mm.

– ống tự chảy lấy không nhỏ hơn 50mm. Tốc độ vôi sữa chảy trong ống không nhỏ hơn 0,8m/s. Chỗ ngoặt trên đường ống dẫn vôi sữa phải có bán kính cong là 5đ.ố (đó là đường kính ống).

Đường ống áp lực thiết kế với độ dốc về phía máy bơm không nhỏ hơn 0,02, ống tự chảy phải có độ dốc không kém 0,03 về phía miệng xả. Phải dự kiến khả năng thay rửa và tháo dỡ các đường ống này thuận tiện.

Bạn phải đăng nhập hoặc đăng ký Thành Viên TVPL Pro để sử dụng được đầy đủ các tiện ích gia tăng liên quan đến nội dung TCVN.

Mọi chi tiết xin liên hệ: ĐT: (028) 3930 3279 DĐ: 0906 22 99 66

6.39. Công suất thùng bão hoà 2 lần để chế dung dịch vôi phải xác định từ lưu lượng vôi tính toán và độ hoà tan của vôi lấy theo bảng 6- 6

Bảng 6-6

Nhiệt độ nước

50

100

200

300

Độ hòa tan của vôi g/m3 tính theo CaO

1430

Bạn phải đăng nhập hoặc đăng ký Thành Viên TVPL Pro để sử dụng được đầy đủ các tiện ích gia tăng liên quan đến nội dung TCVN.

Mọi chi tiết xin liên hệ: ĐT: (028) 3930 3279 DĐ: 0906 22 99 66

1230

1120

 

Dung tích thùng bão hoà Wo (m3) xác định theo công thức:

Wo = K1. K2. Qc                       (6-5)

Trong đó:

Qc – công suất của thùng bão hoà (m3/h)

Kl– Hệ số phụ thuộc nhiệt độ của nước được bão hoà, lấy theo bảng 6- 7.

K2 – Hệ số phụ thuộc tỉ số giữa độ cứng can xi với độ cứng toàn phần.

Bạn phải đăng nhập hoặc đăng ký Thành Viên TVPL Pro để sử dụng được đầy đủ các tiện ích gia tăng liên quan đến nội dung TCVN.

Mọi chi tiết xin liên hệ: ĐT: (028) 3930 3279 DĐ: 0906 22 99 66

K2 = 1,3 khi độ cứng can xi nhỏ hơn 70% độ cứng toàn phần.

Diện tích ngăn lắng của thùng bão hoà phải được kiểm tra với tốc độ đi lên của chất lỏng ghi trong bảng 6- 7.

Bảng 6-7

Chỉ tiêu

Nhiệt độ nước 0C

5

10

20

30

Bạn phải đăng nhập hoặc đăng ký Thành Viên TVPL Pro để sử dụng được đầy đủ các tiện ích gia tăng liên quan đến nội dung TCVN.

Mọi chi tiết xin liên hệ: ĐT: (028) 3930 3279 DĐ: 0906 22 99 66

Tốc độ cho phép của chất lỏng trong ngăn lắng của thùng bão hòa (mm/s).

7

0,15

6

0,2

5

0,26

4

0,33

Bạn phải đăng nhập hoặc đăng ký Thành Viên TVPL Pro để sử dụng được đầy đủ các tiện ích gia tăng liên quan đến nội dung TCVN.

Mọi chi tiết xin liên hệ: ĐT: (028) 3930 3279 DĐ: 0906 22 99 66

6.41. Để định liều lượng than ở dạng độ nhão phải tẩm ướt than trong thời gian l giờ trong bể trộn bằng thuỷ lực hay cơ giới. Máy bơm để trộn và chuyển bột than nhão phải chịu được tác dụng mài mòn của than. Nồng độ bột than lấy bằng 5- 10%.

6.42. ống dẫn bột than nhão cần tính toán với tốc độ không nhỏ hơn 1,5m/s. Trên ống phải có lỗ thăm để cọ rửa. Chỗ ngoặt phải điều hoà và có độ dốc theo chỉ dẫn ở điều 6.37.

6.43. Cấu tạo thiết bị định liều lượng phải đảm bảo khuấy trộn thuỷ lực và giữ bột than nhão ở mức cố định trong thiết bị.

6.44. Thiết bị dùng với bột than phải được thông gió cục bộ và có biện pháp chống cháy an toàn.

6.45. Dung tích bể điều chế dung dịch Kali-Pecmanganat phải xác định xuất phát từ nồng

độ làm việc của dung dịch hoá chất 0,5- 2% (theo sản phẩm thị trường). Trong đó thời gian hoà tan hoàn toàn hoá chất phải lấy bằng 4- 6 giờ khi nhiệt độ nước dưới 200C và bằng 2- 3 giờ khi nhiệt độ nước bằng 40oC.

6.46. Số bể hoà tan Kali Pecmanganat (đồng thời cũng là bể tiêu thụ) không được ít hơn 2(một để dự phòng)

Để định liều lượng dung dịch Kali Pecmanganat phải sử dụng thiết bị định liều lượng dùng cho dung dịch đã lắng trong.

Lưới quay và Micrôphin

Bạn phải đăng nhập hoặc đăng ký Thành Viên TVPL Pro để sử dụng được đầy đủ các tiện ích gia tăng liên quan đến nội dung TCVN.

Mọi chi tiết xin liên hệ: ĐT: (028) 3930 3279 DĐ: 0906 22 99 66

Lưới quay và Micrôphin phải đặt tại trạm làm sạch. Khi có lí do thì được phép đặt ở công trình thu nước.

6.48. Số lưới và Micrôphin dự phòng quy định như sau: Khi có từ l- 5 cái làm việc thì dự phòng 1 cái

Khi có từ 6- 10 cái làm việc thì dự phòng 1-2 cái

Khi có nhiều hơn l1 cái làm việc thì dự phòng 2- 3 cái.

6.49. Lưới và Micrôphin phải được đặt trong các ngăn. Trong ngăn cho phép đặt 2 cái, nếu số cái làm việc lớn hơn 5.

Mức nước cao nhất bên trong lưới phải thấp hơn miệng phễu thu nước rửa 10cm. Mức nước trong ngăn lấy thấp hơn mực nước trong lưới 20cm và được giữ ổn định nhờ 1 vách tràn ở cửa nước ra khỏi ngăn. Ngăn phải có ống xả. Trên mương dẫn nước đến ngăn phải có ống tràn dự phòng.

6.50. Rửa lưới và Micrôphin cần thực hiện bằng dòng nước đi qua chúng. Với mục đích đó cần có đường ống dẫn có áp lực không nhỏ hơn 1,5 Niutơn.

Lưu lượng nước để rửa lưới lấy bằng 0,5%, để rửa micrôphin lấy bằng 2% lưu lượng nước dẫn vào trạm.

Hệ thống ống dẫn nước rửa và thoát nước rửa phải tính với lưu lượng tối đa bằng 3% công suất đối với lưới và bằng 5% công suất đối với micrôphin.

Bạn phải đăng nhập hoặc đăng ký Thành Viên TVPL Pro để sử dụng được đầy đủ các tiện ích gia tăng liên quan đến nội dung TCVN.

Mọi chi tiết xin liên hệ: ĐT: (028) 3930 3279 DĐ: 0906 22 99 66

6.51. Thiết bị trộn phải đảm bảo cho hoá chất vào nước đúng trình tự với sự gián đoạn cần thiết về thời gian, cũng như đảm bảo phân phối đều hoá chất trong nước xử lí.

6.52. Để trộn hoá chất với nước có thể sử dụng các thiết bị trộn bằng thuỷ lực (bể trộn có tấm chắn khoan lỗ, bể trộn có tấm chắn ngang, bể trộn đứng, vành chắn ống venturi v.v…)

– Cho phép trộn hoá chất với nước trong ống dẫn và máy bơm nước đến công trình làm sạch. Chiều dài đoạn ống trộn phải xác định bằng tính toán; tổn thất áp lực trong đoạn ống đó kể cả tổn thất cục bộ không được nhỏ hơn 0,3-0,4m.

Ghi chú:

1- Kết cấu bể trộn không được để cặn và hoá chất cho vào nước dưới dạng huyền phù bị lắng xuống và không để nước bị bão hòa bởi bọt không khí.

2- Cho phép sử dụng thiết bị trộn cơ giới.

3- Cho phép sử dụng máy bơm để trộn các hoá chất không có tác dụng phá hoại máy bơm.

4- Để trộn vôi phải dùng bể trộn đứng.

6.53. Bể trộn có tấm chắn khoan lỗ, bể trộn có tấm chắn ngang; bể trộn đứng phải có ít nhất 2 ngăn với thời gian nước lưu lại không quá 2 phút; trong bể có tấm chắn khoan lỗ và tấm chắn ngang phải dự kiến khả năng tháo vách ra.

Bạn phải đăng nhập hoặc đăng ký Thành Viên TVPL Pro để sử dụng được đầy đủ các tiện ích gia tăng liên quan đến nội dung TCVN.

Mọi chi tiết xin liên hệ: ĐT: (028) 3930 3279 DĐ: 0906 22 99 66

6.54. Bể trộn có tấm chắn khoan lỗ phải có 3 vách ngăn khoan lỗ, tốc độ nước chảy qua lỗ lấy bằng 1m/s. Mép trên của hàng lỗ trên cùng phải ngập sâu dưới nước 10-15cm. Tỉ số giữa diện tích các lỗ và diện tích vách ngăn có thể lấy từ 30- 35% .

6.55. Bể trộn có tấm chắn ngang phải có 3 vách ngăn tạo nên những cửa đi thay đổi. Tấm chắn ở giữa có cửa nước đi 2 bên, tấm chắn đầu và cuối có cửa nước đi ở giữa.

Khoảng cách giữa các vách ngăn lấy bằng 2 lần chiều rộng bể. Tốc độ nước chảy trong máng ở cuối bể không được nhỏ hơn 0,6m/s. Tốc độ nước chảy qua cửa lấy bằng lm/s. Tổn thất áp lực qua mỗi một vách ngăn lấy bằng 0,15m . Để tránh không khí có thể lọt vào nước, mép trên của cửa phải ngập sâu trong nước 10-15cm.

6.56. Bể trộn đứng, hình dáng mặt bằng có thể tròn hay vuông, phần dưới có cấu tạo hình nón hay chóp với đáy 30- 40o và cho nước chảy từ dưới lên.

Khi tính toán phải lấy tốc độ nước ra khỏi ống dẫn vào đáy bể bằng 1- 1,5m/s. Tốc độ ở chỗ thu nước phía trên bằng 25mm/s. Việc thu nước có thể thực hiện bằng dàn ống hoặc máng có khoan lỗ. Tốc độ nước ở cuối ống hoặc máng thu lấy bằng 0,6 m/s.

6.57. Trong bể trộn hở phải có ống tràn và có ống để tháo cặn bể và xả cặn. Khi xác định chiều cao bể và vị trí đặt ống tràn phải xét yêu cầu ở mục 6.109.

Khi dùng bể trộn kín, ống tràn phải đặt trong ngăn nước vào, ngăn tạo bông kết tủa hoặc những công trình khác gần bể trộn.

6.58. Tổn thất áp lực trong thiết bị trộn kiểu vành chắn cần lấy bằng 0,3-0,4m.

6.59. Đường ống dẫn nước từ bể trộn sang ngăn kết bông, sang bể lắng trong có lớp cặn lơ lửng hay bể lọc tiếp xúc cần tính với tốc độ nước chảy trong ống từ 0,8-lm/s và thời gian nước lưu lại trong ống không quá 2 phút.

Bạn phải đăng nhập hoặc đăng ký Thành Viên TVPL Pro để sử dụng được đầy đủ các tiện ích gia tăng liên quan đến nội dung TCVN.

Mọi chi tiết xin liên hệ: ĐT: (028) 3930 3279 DĐ: 0906 22 99 66

6.60. Ngăn tách khí cần được thiết kế khi sử dụng bể lắng có ngăn phản ứng đặt bên trong, bể lắng trong có lớp cặn lơ lửng và bể lọc tiếp xúc.

Diện tích ngăn tách khí phải xác định bằng tính toán với tốc độ nước đi xuống không lớn hơn 0,05m/s và thời gian nước lưu không ít hơn l phút.

Ngăn tách khí có thể thiết kế chung cho tất cả các công trình hoặc thiết kế riêng cho từng công trình.

Trong những trường hợp kết cấu bể trộn đảm bảo tách được bọt khí ra trên đường nước đi từ bể trộn đến những công trình khác tránh được không khí lọt vào nước thì không phải thiết kế ngăn tách khí.

Bể lắng có ngăn kết bông và bể lắng trong có lớp cặn lơ lửng

6.61. Bể lắng và bề lắng trong có cặn lơ lửng được sử dụng để lắng cặn trước khi đưa nước vào bể lọc hoặc đưa thẳng đến nơi dùng nước cho nhu cầu sản xuất.

Hàm lượng cặn trong nước sau bể lắng và bề lắng trong không vượt quá 10 – 12mg/l. Trường hợp cá biệt có thể đến 20mg/l.

6.62. Khi làm trong nước trong các bể lắng, trong thành phần các công trình làm sạch phải có ngăn kết bông đặt sát hay đặt bên trong bể lắng.

Các thông số tính toán của ngăn kết bông lấy theo chỉ dẫn ở các điều 6.80- 6.83.

Bạn phải đăng nhập hoặc đăng ký Thành Viên TVPL Pro để sử dụng được đầy đủ các tiện ích gia tăng liên quan đến nội dung TCVN.

Mọi chi tiết xin liên hệ: ĐT: (028) 3930 3279 DĐ: 0906 22 99 66

1- Khi sử dụng bể lắng trong có lớp cặn lơ lửng cũng như khi sử dụng bể lọc tiếp xúc thì

không cần có ngăn kết bông.

2- Khi sử dụng ngăn kết bông đặt sát bên cạnh hay đặt riêng rẽ, tốc độ nước trong ống hay máng đưa nước ra không được lớn hơn 0,1m/s đối với nước đục và 0,05m/s đối với nước có mầu.

6.63. Khi số lượng bể lắng hoặc bể lắng trong ít hơn 6 thì cần có l bể dự phòng.

Bể lắng đứng

6.64. Bể lắng đứng được sử dụng cho những trạm xử lí có công suất đến 3000m3/ng.đ.

6.65. Trong bể lắng đứng phải có vùng lắng, vùng chứa và áp cặn, đồng thời phải có ngăn phản ứng kiểu xoáy đặt ở giữa bể. Nước đi vào ngăn phản ứng qua ống phun theo hướng tiếp tuyến. ở phần dưới ngăn phản ứng phải có khung chắn kích thước 0,5 x0,5m, cao 0,8m để loại bỏ chuyển động xoáy của nước.

Tổn thất áp lực trong ống phun xác định theo công thức:

       (6- 6)

Bạn phải đăng nhập hoặc đăng ký Thành Viên TVPL Pro để sử dụng được đầy đủ các tiện ích gia tăng liên quan đến nội dung TCVN.

Mọi chi tiết xin liên hệ: ĐT: (028) 3930 3279 DĐ: 0906 22 99 66

h – Tổn thất áp lực trong ống phun tính bằng mét

Vtt – Tốc độ nước phun ra ở đầu miệng phun lắy bằng 2-3m/s. Miệng phun phải đặt cách thành buồng phản ứng xoáy 0,2d. (d là đường kính buồng) và ngập sâu dưới mặt nước 0,5m.

6.66. Diện tích tiết diện ngang của vùng lắng của bể lắng đứng được xác định theo công thức:

Trong đó:

q – Lưu lượng nước tính toán (m3/h)

Vtt– Tốc độ tính toán của dòng nước đi lên bằng mm/s. Tốc độ này không được lớn hơn tốc độ lắng của cặn ghi trong bảng 6 – 9 điều 6.71.

N: Số bể lắng.

β: Hệ số kể đến việc sử dụng dung tích bể lấy trong giới hạn 1,3- 1,5 ( giới hạn dưới khi tỉ số giữa đường kính và chiều cao bằng 1, giới hạn trên khi tỉ số này là 1,5).

Bạn phải đăng nhập hoặc đăng ký Thành Viên TVPL Pro để sử dụng được đầy đủ các tiện ích gia tăng liên quan đến nội dung TCVN.

Mọi chi tiết xin liên hệ: ĐT: (028) 3930 3279 DĐ: 0906 22 99 66

Trong đó:

t: Thời gian nước lưu lại trong ngăn phản ứng lấy bằng 15-20 phút.

H: Chiều cao ngăn phản ứng lấy bằng 0,9 chiều cao vùng lắng.

Chiều cao vùng lắng tùy thuộc vào cao trình của dây chuyền công nghệ, có thể lấy từ 2,6 – 5m. Tỉ số giữa đường kính bể lắng và chiều cao của vùng lắng lấy không quá 1,5.

6.67. Phần chứa và ép cặn của bể lắng đứng phải xây thành hình nón hay hình chóp với góc tạo thành giữa các tường nghiêng nghiêng 70- 80o.

6.68. Phải dự kiến việc xả cặn không phải cho bể ngừng làm việc. Thời gian làm việc giữa 2 lần xả cặn T tính bằng giờ (h) xác định theo công thức:

Trong đó:

Bạn phải đăng nhập hoặc đăng ký Thành Viên TVPL Pro để sử dụng được đầy đủ các tiện ích gia tăng liên quan đến nội dung TCVN.

Mọi chi tiết xin liên hệ: ĐT: (028) 3930 3279 DĐ: 0906 22 99 66

N: Số lượng bể lắng

q: Lưu lượng tính toán (m3/h)

δ: Nồng độ trung bình của cặn đã nén chặt, tính bằng g/m3 tuỳ theo hàm lượng cặn trong nước lấy theo bảng 6.8.

C: Nồng độ cặn trong nước đưa vào bể lắng tính bằng g/m3 xác định theo công thức:

C = Cn + Kp + 0,25M +V (mg/l) (6 – 10)

Trong đó:

Cn: Hàm lượng cặn nước nguồn ( mg/l)

P: Liều lượng phèn tính theo sản phẩm không chứa nước (g/m3)

K: Hệ số với phèn sạch lấy = 0,55

Bạn phải đăng nhập hoặc đăng ký Thành Viên TVPL Pro để sử dụng được đầy đủ các tiện ích gia tăng liên quan đến nội dung TCVN.

Mọi chi tiết xin liên hệ: ĐT: (028) 3930 3279 DĐ: 0906 22 99 66

Với sắt clorua = 0,8

M: Độ mầu nước nguồn tính bằng độ (thang màu Platin- coban)

V: Liều lượng vôi (nếu có) cho vào nước(mg/l)

m: Hàm lượng cặn sau khi lắng, 10- 12mg/l.

Thời gian làm việc giữa 2 lần xả cặn không được nhỏ hơn 6 giờ. Khi hàm lượng cặn trên 1000mg/l không được quá 24 giờ.

Lượng nước dùng cho việc xả cặn bể lắng tính bằng phần trăm lưu lượng nước xử lí xác định theo công thức.

Trong đó: Kp– Hệ số pha loãng cặn, bằng 1,2- 1,15.

Bảng 6-8

Bạn phải đăng nhập hoặc đăng ký Thành Viên TVPL Pro để sử dụng được đầy đủ các tiện ích gia tăng liên quan đến nội dung TCVN.

Mọi chi tiết xin liên hệ: ĐT: (028) 3930 3279 DĐ: 0906 22 99 66

Nồng độ trung bình của cặn đã nén, tính bằng g/m3 sau thời gian

6h

8h

12h

24h

1

2

3

4

Bạn phải đăng nhập hoặc đăng ký Thành Viên TVPL Pro để sử dụng được đầy đủ các tiện ích gia tăng liên quan đến nội dung TCVN.

Mọi chi tiết xin liên hệ: ĐT: (028) 3930 3279 DĐ: 0906 22 99 66

Đến 50

Trên 50 đến 100

Trên 100 đến 400

Trên 400 đến 1000

Trên 1000 đến 2500

(Khi xử lí không dùng phèn)

Khi làm mềm nước có độ cứng Magiê nhỏ hơn 25% độ cứng toàn phần bằng vôi hoặc vôi với xô đa

– Như trên, nước có độ cứng

Magiê lớn hơn 75% độ cứng toàn phần.

Bạn phải đăng nhập hoặc đăng ký Thành Viên TVPL Pro để sử dụng được đầy đủ các tiện ích gia tăng liên quan đến nội dung TCVN.

Mọi chi tiết xin liên hệ: ĐT: (028) 3930 3279 DĐ: 0906 22 99 66

8000

24000

27000

34000

 

 

 

28000

Bạn phải đăng nhập hoặc đăng ký Thành Viên TVPL Pro để sử dụng được đầy đủ các tiện ích gia tăng liên quan đến nội dung TCVN.

Mọi chi tiết xin liên hệ: ĐT: (028) 3930 3279 DĐ: 0906 22 99 66

8500

25000

29000

36000

 

 

 

30000

Bạn phải đăng nhập hoặc đăng ký Thành Viên TVPL Pro để sử dụng được đầy đủ các tiện ích gia tăng liên quan đến nội dung TCVN.

Mọi chi tiết xin liên hệ: ĐT: (028) 3930 3279 DĐ: 0906 22 99 66

9300

27000

31000

38000

 

 

 

32000

Bạn phải đăng nhập hoặc đăng ký Thành Viên TVPL Pro để sử dụng được đầy đủ các tiện ích gia tăng liên quan đến nội dung TCVN.

Mọi chi tiết xin liên hệ: ĐT: (028) 3930 3279 DĐ: 0906 22 99 66

10000

30000

35000

41000

150000

 

 

 

35000

Bạn phải đăng nhập hoặc đăng ký Thành Viên TVPL Pro để sử dụng được đầy đủ các tiện ích gia tăng liên quan đến nội dung TCVN.

Mọi chi tiết xin liên hệ: ĐT: (028) 3930 3279 DĐ: 0906 22 99 66

– Khi diện tích bể lắng đến 12m2 thì làm l máng vòng xung quanh thành bể.

– Khi diện tích lớn hơn thì làm thêm các ống hoặc máng có đục lỗ hình nan quạt tập trung vào máng chính. Diện tích đến 30m2 làm 4 nhánh, lớn hơn làm 6- 8 nhánh. Nước chảy trong ống hoặc máng với tốc độ 0,6- 0,7m/s. Khi các bể lọc làm việc với tốc độ lọc không đổi thì thu nước bằng các máng có lỗ ngập. Đường kính các lỗ lấy bằng 20- 30mm, tốc độ nước chảy qua lỗ lấy bằng lm/s.

Đường kính ống xả của bể lắng lấy từ 150 -200mm.

Bể lắng ngang

6.70. Khi thiết kế bể lắng ngang phải dự kiến việc xả cặn cơ giới hoặc xả cặn thuỷ lực (bể lắng không ngừng làm việc); việc rửa thuỷ lực tường và đáy bể và sử dụng lại nước trong vùng lắng khi xả kiệt.

Nói chung thường dùng bể lắng ngang l tầng. Khi cần thiết có thể làm bể lắng ngang nhiều tầng.

Bể lắng ngang thu nước ở cuối bể

6.71. Tổng diện tích mặt bằng của bể lắng ngang thu nước ở cuối bể cần xác định theo công thức.

Bạn phải đăng nhập hoặc đăng ký Thành Viên TVPL Pro để sử dụng được đầy đủ các tiện ích gia tăng liên quan đến nội dung TCVN.

Mọi chi tiết xin liên hệ: ĐT: (028) 3930 3279 DĐ: 0906 22 99 66

q: Lưu lượng nước đưa vào bể lắng (m3/h)

α: Hệ số xét đến ảnh hưởng do thành phần thẳng đứng của vận tốc dâng nước, xác định theo công thức:

Vtb: Là tốc độ ngang trung bình của nước chảy trong bể lắng (mm/s) xác định theo công thức:

Vtb = K.Uo (mm/s)

K: Hệ số kể đến tỉ lệ giữa chiều dài L và chiều sâu trung bình của vùng lắng N lấy theo bảng 6-10.

Uo: Tốc độ rơi của cặn ở trong bể lắng (mm/s)

Uo – Được xác định theo tài liệu thí nghiệm hay theo kinh nghiệm quản lí các công trình đã có trong điều kiện tương tự lấy vào mùa không thuận lợi nhất trong năm, với yêu cầu hàm lượng cặn của nước đã lắng không lớn hơn 12 mg/l. Để tính toán sơ bộ có thể lấy vận tốc theo bảng 6-9.

Bảng 6-9

Bạn phải đăng nhập hoặc đăng ký Thành Viên TVPL Pro để sử dụng được đầy đủ các tiện ích gia tăng liên quan đến nội dung TCVN.

Mọi chi tiết xin liên hệ: ĐT: (028) 3930 3279 DĐ: 0906 22 99 66

Tốc độ rơi của cặn Uo (m/s)

– Nước ít đục, có mầu xử lí bằng phèn

– Nước đục vừa xử lí bằng phèn

– Nước đục xử lí bằng phèn

– Nước đục, không xử lí bằng phèn

0,35 – 0,45

0,45 – 0,5

0,5 – 0,6

0,12 – 0,15

Bạn phải đăng nhập hoặc đăng ký Thành Viên TVPL Pro để sử dụng được đầy đủ các tiện ích gia tăng liên quan đến nội dung TCVN.

Mọi chi tiết xin liên hệ: ĐT: (028) 3930 3279 DĐ: 0906 22 99 66

Bảng 6-10: Trị số K tính cho bể lắng ngang

L/H

10

15

20

25

K

7,5

10

Bạn phải đăng nhập hoặc đăng ký Thành Viên TVPL Pro để sử dụng được đầy đủ các tiện ích gia tăng liên quan đến nội dung TCVN.

Mọi chi tiết xin liên hệ: ĐT: (028) 3930 3279 DĐ: 0906 22 99 66

13,5

6.72. Chiều rộng bể lắng B (m) xác định theo công thức:

Trong đó:

+ q: Lưu lượng nước tính toán (m3/h)

+ Vtb: Tốc độ trung bình của dòng chảy trong bể lắng (mm/s).

+ H: Chiều cao trung bình của vùng lắng (m) lấy trong giới hạn từ 2,5- 3,5m tuỳ theo

sơ đồ chiều cao của trạm có kể đến chỉ dẫn ở mục 6.109.

+ N: Số bể tính toán, tổng số bể lắng phải lấy theo yêu cầu ở mục 6.63.

Bạn phải đăng nhập hoặc đăng ký Thành Viên TVPL Pro để sử dụng được đầy đủ các tiện ích gia tăng liên quan đến nội dung TCVN.

Mọi chi tiết xin liên hệ: ĐT: (028) 3930 3279 DĐ: 0906 22 99 66

6.73. Đối với bề lắng xả cặn bằng cơ giới, dung tích vùng chứa và nén cặn phải xác định theo kích thước của thiết bị xả cặn- Đối với bể lắng xả cặn bằng thuỷ lực, dung tích vùng chứa và nén cặn Wo được xác định theo công thức (6- 9) với thời gian làm việc giữa 2 lần xả không nhỏ hơn 12h, khi xả cặn bằng cách tháo cặn bể không nhỏ hơn 24h.

Nồng độ trung bình của cặn đã nêu có đánh phèn cần lấy theo bảng 6-8 điều 6.68.

6.74. Đối với bể lắng xả cặn bằng phương pháp thuỷ lực phải thiết kế hệ thống thu cặn bằng ống hoặc máng đảm bảo xả 30- 60% lượng cặn trong thời gian 20 – 40 phút.

Đáy bể lắng giữa các ống hoặc máng thu cặn phải cấu tạo hình lăng trụ với góc nghiêng giữa các cạnh là 45o.

Khoảng cách giữa trục máng hoặc ống không lớn hơn 3m.

Vận tốc của cặn ở cuối ống hoặc máng cần lấy không nhỏ hơn lm/s, vận tốc qua lỗ – 1,5m/s, đường kính lỗ không nhỏ hơn 25mm, khoảng cách giữa các tâm lỗ 300-500mm.

Tỉ số giữa tổng diện tích các lỗ và diện tích tiết diện của máng hoặc ống (hệ số đục lỗ) phải lấy bằng 0,7 với mức xả cặn 50% và lấy bằng 0,5 với mức xả cặn 60% .

6.75. Chiều cao bể lắng phải lấy bằng tổng chiều cao vùng lắng, vùng chứa và nén cặn có chú ý đến yêu cầu ở mục 6.109. Chiều cao xây dựng phải cao hơn mực nước tính toán ít nhất là 0,3m.

6.76. Lượng nước xả khi cọ rửa và xả cặn ra khỏi hố phải tính theo thời gian làm việc của bể giữa 2 lần xả cặn có kể đến hệ số pha loãng cặn. Hệ số này lấy bằng 1,3 khi xả cặn bằng cách tháo cạn bể và sử dụng lại nước của vùng lắng, nếu không sử dụng lại thì lấy bằng tỉ số giữa dung tích bể lắng và dung tích vùng chứa nén cặn, khi xả cặn thuỷ lực thì lấy hệ số bằng 1,5.

Bạn phải đăng nhập hoặc đăng ký Thành Viên TVPL Pro để sử dụng được đầy đủ các tiện ích gia tăng liên quan đến nội dung TCVN.

Mọi chi tiết xin liên hệ: ĐT: (028) 3930 3279 DĐ: 0906 22 99 66

Đoạn dưới của vách ngăn trong phạm vi chiều cao 0,3-0,5m kể từ mặt trên của vùng chứa nén cặn không cần phải khoan lỗ.

6.78. Đáy bể lắng ngang khi rửa cặn bằng ống mềm phải có độ dốc dọc không dưới 0,02 theo hướng ngược với chiều nước chảy và độ dốc ngang trong mỗi ngăn không thể hơn 0,05, khi xả cặn bằng thủy lực cần lấy độ dốc dọc của đáy bể không nhỏ hơn 0,005.

Thời gian xả kiệt bể lắng không quá 6h.

6.79. Khi dùng bể lắng ngang phải dự tính việc thiết kế bể kết bông kiểu vách ngăn hoặc kiểu thẳng đứng có hay không có lớp cặn lơ lửng.

6.80. Bể kết bông vách ngăn phải thiết kế cho nước chảy ngang hay chảy thẳng đứng: Tốc độ nước chảy trong các hành lang Vh lấy bằng 0,2- 0,3m/s ở đầu bé và bằng 0,05-0,1m/s ở cuối bể do bề rộng hành lang tăng lên.

Thời gian nước lưu lại trong bể kết bông lấy bằng 20- 30 phút (giới hạn trên cho nước có mầu, giới hạn dưới cho nước đục).

Chiều rộng hành lang không được nhỏ hơn 0,7m. Nếu có lí do đặc biệt cho phép dùng bể kết bông 2 tầng.

6.81. Tổn thất áp lực trong bể kết bông vách ngăn hk cần xác định theo công thức:

Bạn phải đăng nhập hoặc đăng ký Thành Viên TVPL Pro để sử dụng được đầy đủ các tiện ích gia tăng liên quan đến nội dung TCVN.

Mọi chi tiết xin liên hệ: ĐT: (028) 3930 3279 DĐ: 0906 22 99 66

Vh – Vận tốc nước chảy trong các hành lang m/s.

S – Số chỗ ngoặt của dòng nước trong bể lấy bằng 8- 10.

6.82. Bể kết bông thẳng đứng không có lớp cặn lơ lửng phải thiết kế với tường thẳng đứng hoặc tường nghiêng (góc nghiêng giữa 2 tường cần lấy trong khoảng từ 50 – 700 tuỳ theo chiều cao của bể. Thời gian nước lưu trong bể cần lấy bằng 6- 10 phút (giới hạn dưới cho nước đục, giới hạn trên cho nước có mầu) .

Tốc độ nước vào bể lấy bằng 0,7- 1,2m/s. Tốc độ nước đi lên tại chỗ ra khỏi bể lấy bằng 4- 5m/s.

Bộ phận dẫn nước từ bể kết bông sang bể lắng phải tính với tốc độ nước chảy trong máng, trong ống và qua lỗ không quá 0,1m/s đối với nước đục và 0,05m/s đối với nước mầu.

6.83. Đối với bể kết bông có lớp cặn lơ lửng đặt trong bể lắng ngang cần lấy tốc độ trung bình của dòng nước đi lên tại tiết diện phía trên như sau: Khi lắng nước ít đục có hàm lượng cặn dưới 20mg/l bằng 0,9mm/s, khi hàm lượng cặn trên 20 đến 50 mg/l bằng 1,2mm/s, khi lắng nước đục vừa 1,6m/s, còn khi lắng nước đục lấy bằng 2,2m/s.

Lớp cặn lơ lửng không được nhỏ hơn 3mm. Thời gian nước lưu trong bể không bé hơn 20 phút.

Việc phân phối nước vào bể kết bông phải thực hiện bằng máng có lỗ hoặc ống có lỗ, lỗ của máng hướng ngang, lỗ của ống hướng xuống dưới một góc 450. Khoảng cách giữa các máng hoặc ống phải lấy theo mục 6.74 với góc nghiêng của cạnh lăng trụ bằng 450.

Tổn thất áp lực trong máng hoặc ống phân phối khoan lỗ được xác định theo chỉ dẫn ở điều 6.97.

Bạn phải đăng nhập hoặc đăng ký Thành Viên TVPL Pro để sử dụng được đầy đủ các tiện ích gia tăng liên quan đến nội dung TCVN.

Mọi chi tiết xin liên hệ: ĐT: (028) 3930 3279 DĐ: 0906 22 99 66

Khi dùng bể kết bông có lớp cặn lơ lửng đặt trong bể lắng thì tốc độ lắng cặn tính toán trong bể khi xử lí nước đục phải lấy tăng 30%, khi nước đục vừa lấy tăng 25%. Khi nước đục ít lấy tăng 20% so với số liệu cho trong bảng 6- 9. mục 6.71. Bể kết bông phải có ống để xả kiệt.

Ghi chú: Cho phép dùng bể kết bông có bộ phận khuấy trộn bằng cơ giới.

Bể lắng ngang thu nước đều trên bề mặt.

6.84. Bể lắng ngang thu nước đều trên bề mặt phải kết hợp với bể kết bông có lớp cặn lơ lửng đặt trong bể lắng.

6.85. Diện tích mặt bằng bể lắng (không kể diện tích bể kết bông) cần phải xác định theo công thức 6- 12 với hệ số D = 1 và tốc độ rơi của cặn Uo tính bằng mm/s lấy như sau:

– Đối với nước ít đục = 0,5mm/s;

– Đối với nước đục vừa = 0,6mm/s;

– Đối với nước đục =0,7- 0,8mm/s.

Đồng thời phải theo chỉ dẫn ở phần ghi chú bảng 6- 9 điều 6.71. Tốc độ tính toán của nước chảy ngang ở đầu bể lắng.

Bạn phải đăng nhập hoặc đăng ký Thành Viên TVPL Pro để sử dụng được đầy đủ các tiện ích gia tăng liên quan đến nội dung TCVN.

Mọi chi tiết xin liên hệ: ĐT: (028) 3930 3279 DĐ: 0906 22 99 66

Chiều rộng, chiều cao vùng lắng, chiều cao bể lắng và kích thước hệ thống xả cặn thuỷ lực phải tính toán theo chỉ dẫn ở các điều 6.72, 6.74, 6.75, 6.76.

6.86. Để thu nước đều trên mặt bể lắng phải thiết kế các máng treo nằm ngang hoặc ống có lỗ ngập, đường kính lỗ không nhỏ hơn 25mm, tốc độ nước chảy qua lỗ lấy bằng lm/s, tốc độ nước chảy ở cuối máng hoặc ống lấy bằng 0,6- 0,8m/s.

Mép trên của máng phải cao hơn mực nước cao nhất trong bể 0,1m, ống đặt ngập dưới mực nước, độ ngập ống phải xác định bằng tính toán thuỷ lực.

Máng và ống phải đặt trên 2/3 chiều dài bể lắng tính từ tường hồi.

Lỗ của máng để cao hơn đáy máng 5- 8cm, lỗ của ống hướng nằm ngang. Nước từ máng hoặc ống phải chảy tự do vào máng thu chính.

Khoảng cách giữa các trục máng hoặc ống không được vượt quá 3m. Khoảng cách tới tường bể không nhỏ hơn 0,5m và không vượt quá 1,5m.

6.87. ống dẫn nước vào bể, ống phân phối và ống dẫn nước ra khỏi bể lắng phải tính toán với khả năng dẫn được lưu lượng nước lớn hơn lưu lượng tính toán từ 20 – 30% .

Bể lắng trong có lớp cặn lơ lửng

6.88. Bể lắng trong có lớp cặn lơ lửng chỉ sử dụng trong trường hợp nước đưa vào trạm xử lí có lưu lượng và nhiệt độ ổn định (theo ghi chú ở điều 6.9 của bản tiêu chuẩn quy phạm này) và phải được tính toán với sự thay đổi hằng năm của chất lượng nước sẽ xử lí .

Bạn phải đăng nhập hoặc đăng ký Thành Viên TVPL Pro để sử dụng được đầy đủ các tiện ích gia tăng liên quan đến nội dung TCVN.

Mọi chi tiết xin liên hệ: ĐT: (028) 3930 3279 DĐ: 0906 22 99 66

Bảng 6-11

Hàm lượng chất lơ lửng trong nước chảy vào bể lắng (mg/l)

Tốc độ nước đi lên trong vùng lắng, phía trên lớp cặn lơ lửng – Vmm/s

Hệ số phân chia lưu lượng Kpp

Mùa hè

Mùa đông

Đến 20

20 – 100

100 – 400

Bạn phải đăng nhập hoặc đăng ký Thành Viên TVPL Pro để sử dụng được đầy đủ các tiện ích gia tăng liên quan đến nội dung TCVN.

Mọi chi tiết xin liên hệ: ĐT: (028) 3930 3279 DĐ: 0906 22 99 66

1000 – 2500

0,4 – 0,5

0,5 – 0,6

0,6 – 0,8

0,8 – 1,0

1,0 – 1,2

0,6 – 0,7

0,7 – 0,8

0,8 – 1

Bạn phải đăng nhập hoặc đăng ký Thành Viên TVPL Pro để sử dụng được đầy đủ các tiện ích gia tăng liên quan đến nội dung TCVN.

Mọi chi tiết xin liên hệ: ĐT: (028) 3930 3279 DĐ: 0906 22 99 66

1,1 – 1,2

0,65 – 0,6

0,8 – 0,75

0,75 – 0,7

0,7 – 0,65

0,65 – 0,6

6.89. Diện tích vùng lắng trong và vùng chứa nén cặn phải lấy theo giá trị lớn nhất sau khi đã tính toán theo 2 phương án:

– Đối với thời kì độ đục nhỏ nhất và với lưu lượng nhỏ nhất (mùa cạn).

– Đối với thời kì lưu lượng lớn nhất mùa lũ và với độ đục lớn nhất ứng với thời kì này. Diện tích vùng lắng trong Flt (bằng m2) tính theo công thức:

Bạn phải đăng nhập hoặc đăng ký Thành Viên TVPL Pro để sử dụng được đầy đủ các tiện ích gia tăng liên quan đến nội dung TCVN.

Mọi chi tiết xin liên hệ: ĐT: (028) 3930 3279 DĐ: 0906 22 99 66

Trong đó:

+ Kpp– Hệ số phân chia lưu lượng nước giữa vùng lắng trong và vùng chứa nén cặn lấy theo bảng 6 – 11 mục 6.88.

+V: Tốc độ nước dâng lên trong vùng lắng bằng mm/s lấy theo bảng 6-11 điều 6.88. Diện tích vùng chứa nén cặn Ftc (bằng m2) tính theo công thức:

Trong đó: D: Hệ số giảm tốc độ nước dâng lên ở ngăn chứa nén cặn so với tốc độ trong ngăn lắng, lấy bằng 0,9.

6.90. Chiều cao lớp cặn lơ lửng (là khoảng cách từ mép dưới cửa thu cặn hoặc mép trên ống thoát cặn đến mặt dưới vùng cặn lơ lửng) phải lấy từ 2m đến 2,3m. Mép dưới cửa thu cặn hoặc mép trên của ống thoát cặn phải đặt cao hơn cạnh chuyển từ tường nghiêng sang tường đứng của vùng cặn lơ lửng từ l- 1,5m.

Góc giữa các tường nghiêng phần đứng của vùng cặn lơ lửng phải lấy trong giới hạn 500 – 700.

Chiều cao vùng lắng trong (từ lớp cặn lơ lửng đến mặt nước) lấy bằng 1,5-2,0m trị số lớn cho nước có mầu, trị số nhỏ cho nước đục).

Khoảng cách giữa các máng hoặc ống thu trong vùng lắng lấy không quá 3,0m.

Bạn phải đăng nhập hoặc đăng ký Thành Viên TVPL Pro để sử dụng được đầy đủ các tiện ích gia tăng liên quan đến nội dung TCVN.

Mọi chi tiết xin liên hệ: ĐT: (028) 3930 3279 DĐ: 0906 22 99 66

6.91. Dung tích vùng chứa và ép cặn cần tính theo công thức (6- 9). Thời gian nén cặn phải lấy bằng 3- 12h ( trị số nhỏ hơn cho nước có hàm lượng cặn trên 400mg/1, trị số lớn hơn cho nước có mầu và nước đục ít).

6.92. Xả cặn ra khỏi ngăn nén cặn cần tiến hành định kì hay liên tục mà bể không được ngừng làm việc.

Lượng nước xả theo cặn xác định theo số liệu ở bảng 6- 8 điều 6.68 và có xét đến hệ số pha loãng cặn, lấy bằng 1,2- 1,5.

6.93. Phân phối nước trên diện tích bể lắng trong cần thực hiện bằng ống có đục lỗ đặt cách nhau không quá 3m.

Tốc độ nước chảy ở đầu hệ thống phân phối lấy 0,5- 0,6m/s, tốc độ nước ra khỏi lỗ của ống phân phối đường kính lỗ 20- 25mm, khoảng cách giữa các lỗ không được lớn hơn 0,5m: lỗ phải hướng xuống dưới với góc 450.

Tốc độ nước chảy trong ống xuống và trong khe giữa mép dưới của ống xuống và tường nghiêng của bể lắng cần lấy bằng 0,6- 0,7m/s.

6.94. Khi tính cửa sổ thu cặn, cần lấy tốc độ nước cùng với cặn chảy qua cửa sổ từ 10-15mm/s, tốc độ nước cùng với cặn trong ống xả cặn từ 40- 50mm/s (trị số lớn dùng cho nước chứa cặn vô cơ chủ yếu )

6.95. Để thu nước trong ở vùng lắng phải dùng các máng răng cưa hoặc máng có lỗ ngập. Tốc độ tính toán nước chảy trong máng, cấu tạo lỗ ngập, cách bố trí và số lượng máng đối với bể lắng trong cần theo chỉ dẫn ở điều 6.69 và 6.159.

6.96. Để thu nước trong ở ngăn chứa nén cặn cần dùng ống có lỗ ngập. Đối với ngăn nén cặn thẳng đứng mép trên ống thu khoan lỗ phải đặt thấp hơn mực nước trong bể lắng ít nhất là 300mm vào cao hơn mép trên cửa sổ thu cặn ít nhất là 1,5m.

Bạn phải đăng nhập hoặc đăng ký Thành Viên TVPL Pro để sử dụng được đầy đủ các tiện ích gia tăng liên quan đến nội dung TCVN.

Mọi chi tiết xin liên hệ: ĐT: (028) 3930 3279 DĐ: 0906 22 99 66

Trên ống thu, ở chỗ nối với máng thu nước trong phải đặt van.

Độ chênh cốt giữa mép dưới ống thu và mức nước trong máng thu chung của bể lắng trong cần lấy không ít hơn 0,4m.

6.97. Tổn thất áp lực trong ống phân phối có lỗ hoặc khe hở, trong ống và máng thu, cũng như trong các lỗ chảy ngập của máng thu cần xác định theo công thức:

 và lấy hệ số sức cản như sau:

– Đối với ống phân phối có lỗ hoặc móng và đối với ống có khe hở nghiêng, một góc 450 so với trục ống.

– Đối với ống hoặc máng thu có lỗ làm việc đầy ống.

Trong đó:

W- Tỉ số giữa tổng diện tích các lỗ trên ống (hoặc máng) và diện tích tiết diện ngang của ống (hoặc máng).

V- Tốc độ nước chảy ở đoạn đầu ống phân phối có lỗ hoặc ở cuối ống hoặc máng thu và qua lỗ tính bằng m/s.

Bạn phải đăng nhập hoặc đăng ký Thành Viên TVPL Pro để sử dụng được đầy đủ các tiện ích gia tăng liên quan đến nội dung TCVN.

Mọi chi tiết xin liên hệ: ĐT: (028) 3930 3279 DĐ: 0906 22 99 66

Tổn thất áp lực trong lớp cận lơ lửng lấy bằng l-2 cm cho một mét chiều dày lớp cặn lơ lửng.

6.98. ống xả cặn ở ngăn chứa nén cặn phải tính với điều kiện xả hết cặn trong 10 – 15 phút. Đường kính ống xả không nhỏ hơn 150mm. Khoảng cách giữa thành 2 ống hoặc máng kề nhau không được lớn hơn 3m .

Tốc độ trung bình của cặn chảy qua lỗ của ống hay máng phải lấy không nhỏ hơn 3m/s, tốc độ ở cuối ống hay máng có lỗ không được nhỏ hơn lm/s. Đường kính lỗ không nhỏ hơn 20mm. Khoảng cách giữa 2 lỗ không lớn hơn 0,5m.

Góc giữa các tường nghiêng của ngăn chứa nén cặn phải lấy bằng 700.

Khi dùng bể lắng trong có ngăn chứa nén cặn đặt dưới ngăn lắng, cửa thông giữa vùng cặn lơ lửng với ngăn chứa nén cặn phải có nắp mở tự động, nó sẽ tự động mở khi mực nước trong bể lắng hạ xuống quá mép trên của ống thoát cặn .

Công trình lắng sơ bộ

6.99. Công trình lắng sơ bộ dùng trong trường hợp nước có nhiều cặn (từ 2500mg/l trở lên) để lắng bớt những cặn nặng làm khó khăn cho việc xả cặn, giảm bớt dung tích vùng chứa cặn của bể lắng và giảm liều lượng chất phản ứng.

Có thể dùng bể lắng ngang, hồ lắng tự nhiên hay kết hợp mương dẫn nước từ sông vào trạm bơm I để làm công trình lắng sơ bộ.

6.100. Tính toán công trình lắng sơ bộ cần có những số liệu thí nghiệm lắng nước và kinh nghiệm quản lí các công trình đã có. Sơ bộ có thể theo những quy định sau:

Bạn phải đăng nhập hoặc đăng ký Thành Viên TVPL Pro để sử dụng được đầy đủ các tiện ích gia tăng liên quan đến nội dung TCVN.

Mọi chi tiết xin liên hệ: ĐT: (028) 3930 3279 DĐ: 0906 22 99 66

Phải dự kiến các biện pháp và thiết bị để tháo rửa hồ như: chia hồ thành 2 ngăn xả riêng biệt, bơm hút bùn, đường ống hút trực tiếp từ sông, tăng liều lượng chất phản ứng, giảm tốc độ lọc v.v… Bờ hồ phải cao hơn mặt đất bên ngoài 0,5m, miệng hút nước phải đặt cao hơn mặt bùn dự kiến cao nhất 0,5m.

Khi dùng bể lắng ngang để sơ lắng thì lấy tốc độ rơi của cặn từ 0,5- 0,6m/s. Các chi tiết tính toán và thiết bị giống như bể lắng ngang thu nước ở cuối bể .

Nồng độ trung bình của cặn đã nêu cần lấy theo bảng 6-8 điều 6.68. Các thông số tính toán khác lấy theo chỉ dẫn ở các điều 6.71- 6.76.

6.101. Kết cấu bể lắng ngang để lắng sơ bộ có thể làm bằng bê tông cốt thép, gạch, hay đất đắp nổi, nửa chìm, nửa nổi hay đào sâu dưới mặt đất. Khi làm bằng đất cần có biện pháp gia cố thành, và trong trường hợp cần thiết phải có biện pháp chống thấm.

Kết cấu hồ lắng tự nhiên bằng đất đắp nổi, nửa chìm nửa nổi, hay đào sâu dưới mặt đất, chọn kiểu nào phải căn cứ vào tài liệu thăm dò địa chất công trình cũng như điều kiện địa phương và thông qua so sánh về kinh tế, kĩ thuật mà quyết định.

6.102. Khi thiết kế công trình lắng sơ bộ bằng đất cần chú ý đảm bảo điều kiện thau rửa thuận tiện, chống xói lở và bảo vệ vệ sinh cho công trình.

Bể lọc nhanh

6.103. Bể lọc phải được tính toán theo 2 chế độ làm việc, chể độ bình thường và chế độ tăng cường.

Trong các trạm xử lí có số bể lọc đến 20 cần dự tính ngừng một bể lọc để sửa chữa, khi số bể lớn hơn 20 cần dự tính ngừng 2 bể để sửa chữa đồng thời.

Bạn phải đăng nhập hoặc đăng ký Thành Viên TVPL Pro để sử dụng được đầy đủ các tiện ích gia tăng liên quan đến nội dung TCVN.

Mọi chi tiết xin liên hệ: ĐT: (028) 3930 3279 DĐ: 0906 22 99 66

Ttc ≥ [ N – (N1 + a)] . t2                 (6- 19)

Trong đó:

N: Tổng số bể lọc của trạm xử lí;

N1: Số bể lọc ngừng lại để sửa chữa;

a: Số bể lọc rửa đồng thời;

t2: Thời gian ngừng bể lọc để rửa , lấy bằng 0,35h.

Ghi chú: Để đạt được chế độ làm việc tối ưu của bể lọc cần bảo đảm tỉ số

tbv = 1,2 + 1,3 tgh ở đây:

tbv – Thời gian tác dụng bảo vệ của vật liệu lọc, trong khoảng thời gian đó chất lượng nước lọc đã quy định được đảm bảo .

Bạn phải đăng nhập hoặc đăng ký Thành Viên TVPL Pro để sử dụng được đầy đủ các tiện ích gia tăng liên quan đến nội dung TCVN.

Mọi chi tiết xin liên hệ: ĐT: (028) 3930 3279 DĐ: 0906 22 99 66

6.105. Diện tích các bể lọc của trạm xử lí được xác định theo công thức:

Trong đó:

Q – Công suất hữu ích của trạm (m3/ng.đ);

T- Thời gian làm việc của trạm trong một ngày đêm (h);

Vbt– Tốc độ lọc tính toán ở chế độ làm việc bình thường lấy theo bảng 6- 12.

a- Số lần rửa mỗi một bể lọc trong l ngày đêm ở chế độ làm việc bình thường (xem điều 6.104);

W- Cường độ nước rửa (1/s…m2) , xem điều 6.l17 và 6.127;

t1 – Thời gian rửa (h) xem điều 6.l17 và 6.127;

Bạn phải đăng nhập hoặc đăng ký Thành Viên TVPL Pro để sử dụng được đầy đủ các tiện ích gia tăng liên quan đến nội dung TCVN.

Mọi chi tiết xin liên hệ: ĐT: (028) 3930 3279 DĐ: 0906 22 99 66

Bảng 6- 12

Kiểu bể lọc

Đăc trưng của lớp vật liệu lọc

Tốc độ lọc ở chế độ làm việc bình thường Vbt(m/h)

Tốc độ lọc cho phép ở chế độ làm việc tăng cường Vtc (m/h)

Đường kính nhỏ nhất (mm)

Đường kính lớn nhất (mm)

Đường kính tương đương dtd (mm)

Hệ số không đồng nhất K

Bạn phải đăng nhập hoặc đăng ký Thành Viên TVPL Pro để sử dụng được đầy đủ các tiện ích gia tăng liên quan đến nội dung TCVN.

Mọi chi tiết xin liên hệ: ĐT: (028) 3930 3279 DĐ: 0906 22 99 66

Bể lọc nhanh

 

Một lớp vật liệu

Lọc với cỡ hạt khác nhau

0,5

 

0,7

0,8

1,25

Bạn phải đăng nhập hoặc đăng ký Thành Viên TVPL Pro để sử dụng được đầy đủ các tiện ích gia tăng liên quan đến nội dung TCVN.

Mọi chi tiết xin liên hệ: ĐT: (028) 3930 3279 DĐ: 0906 22 99 66

1,60

2,0

0,7-0,8

 

0,8-1,0

1-1,2

2-2,2

 

1,8-2,0

Bạn phải đăng nhập hoặc đăng ký Thành Viên TVPL Pro để sử dụng được đầy đủ các tiện ích gia tăng liên quan đến nội dung TCVN.

Mọi chi tiết xin liên hệ: ĐT: (028) 3930 3279 DĐ: 0906 22 99 66

Cát thạch anh

700-800

1200-1300

1800-2000

5,5-6

 

7,0-8

8-10

6-7,5

Bạn phải đăng nhập hoặc đăng ký Thành Viên TVPL Pro để sử dụng được đầy đủ các tiện ích gia tăng liên quan đến nội dung TCVN.

Mọi chi tiết xin liên hệ: ĐT: (028) 3930 3279 DĐ: 0906 22 99 66

8-10

10-12

Bể lọc nhanh có 2 lớp vật liệu lọc

 

0,5

0,8

 

1,25

1,8

Bạn phải đăng nhập hoặc đăng ký Thành Viên TVPL Pro để sử dụng được đầy đủ các tiện ích gia tăng liên quan đến nội dung TCVN.

Mọi chi tiết xin liên hệ: ĐT: (028) 3930 3279 DĐ: 0906 22 99 66

0,7-0,8

1-1,2

 

2-2,2

2-2,2

Cát thạch anh

700-800

ăngtraxít

400-500

Bạn phải đăng nhập hoặc đăng ký Thành Viên TVPL Pro để sử dụng được đầy đủ các tiện ích gia tăng liên quan đến nội dung TCVN.

Mọi chi tiết xin liên hệ: ĐT: (028) 3930 3279 DĐ: 0906 22 99 66

 

8-10

 

 

10-12

Ghi chú:

1- Tốc độ lọc tính toán trong giới hạn cho trong bảng phải lấy theo chất lượng nước nguồn, công nghệ xử lí nước trước bể lọc và các điều kiện cụ thể tại địa phương.

2- Để lọc nước dùng cho nhu cầu sản xuất cần lấy tốc độ lọc lớn hơn.

3- Khi dùng vật liệu lọc khác cần phải chỉnh lí các thông số dựa trên các số liệu thực nghiệm .

Bạn phải đăng nhập hoặc đăng ký Thành Viên TVPL Pro để sử dụng được đầy đủ các tiện ích gia tăng liên quan đến nội dung TCVN.

Mọi chi tiết xin liên hệ: ĐT: (028) 3930 3279 DĐ: 0906 22 99 66

Pi – Là % lượng cát theo trọng lượng lọt qua mắt sàng có đường kính di.

5- Hệ số không đồng nhất K = d80/d10; d80; d10 là đường kính mắt sàng có 80% và 10% cát lọt qua .

6.106. Xác định số lượng và diện tích một bể lọc phải căn cứ vào quy mô sản xuất, điều kiện cung cấp thiết bị, điều kiện xây dựng và quản lí … và phải thông qua việc so sánh kinh tế kĩ thuật. Số lượng bể lọc không được nhỏ hơn 2. Diện tích một bể lọc không quá 100m2 .

6.107. Tốc độ lọc tính toán ở chế độ làm việc tăng cường Vtc (m/h) cần xác định theo công thức:

Trong đó: Vbt – Lấy theo bảng 6 – 12 điều 6.105.

Chú thích: Trị số Vtc tính theo công thức trên phải nhỏ hơn trị số cho phép ghi trong bảng 6-12, nếu vượt quá chỉ số cho phép thì phải giảm Vbt cho thích hợp.

6.108. Tổn thất áp lực trong bể lọc hở lấy bằng 3- 3,5m, trong bể lọc áp lực lấy bằng 6- 8m.

Bạn phải đăng nhập hoặc đăng ký Thành Viên TVPL Pro để sử dụng được đầy đủ các tiện ích gia tăng liên quan đến nội dung TCVN.

Mọi chi tiết xin liên hệ: ĐT: (028) 3930 3279 DĐ: 0906 22 99 66

6.109. Khi ngừng 1 hoặc 2 bể lọc để rửa, tốc độ lọc trong các bể còn lại có thể lấy cố định hoặc thay đổi, tốc độ lọc được phép tăng đến 20% . Khi số bể lọc trong trạm ít hơn 6 thì cần cho bể lọc làm việc với tốc độ lọc cố định. Khi đó cần dự kiến một chiều cao phụ Hph(m) phía trên mực nước bình thường trong các công trình (bể lọc, bể lắng, bể lắng trong…) để có thể chứa được lượng nước dư khi dùng l hoặc 2 bể lọc để rửa chiều cao lớp nước này tính theo công thức:

Trong đó:

W: Là khối lượng nước (m3) tích luỹ trong thời gian một lần rửa bể lọc.

F: Diện tích tổng cộng của những công trình tích luỹ nước (m2)

6.110. Để làm vật liệu lọc phải dùng cát thạch anh, Angtraxit nghiền nhỏ hoặc vật liệu khác có độ bền cơ học và độ bền hoá học cần thiết (độ vỡ vụn không quá 4%, độ mài mòn không quá 0,5%).

Angtraxit nghiền nhỏ phải có hạt hình lập phương hay gần tròn, độ tro không quá 10% hàm lượng lưu huỳnh không quá 3%.

Không được phép dùng Angtraxit có cấu tạo lớp để làm vật liệu lọc.

6.111. Hệ thống phân phối trở lực lớn phải thiết kế sao cho nước rửa phun trực tiếp vào bề dày lớp đỡ, đồng thời phải dự kiến khả năng kiểm tra, sục rửa và sửa chữa hệ thống phân phối.

Bạn phải đăng nhập hoặc đăng ký Thành Viên TVPL Pro để sử dụng được đầy đủ các tiện ích gia tăng liên quan đến nội dung TCVN.

Mọi chi tiết xin liên hệ: ĐT: (028) 3930 3279 DĐ: 0906 22 99 66

Bảng 6-13

Cỡ hạt của lớp đỡ (mm)

Chiều dày các lớp đỡ (mm)

40-20

 

20-10

10-5

5-2

Mặt trên của lớp này cao bằng mặt trên của ống phân phối nhưng phải cao hơn lỗ phân phối ít nhất 100mm.

Bạn phải đăng nhập hoặc đăng ký Thành Viên TVPL Pro để sử dụng được đầy đủ các tiện ích gia tăng liên quan đến nội dung TCVN.

Mọi chi tiết xin liên hệ: ĐT: (028) 3930 3279 DĐ: 0906 22 99 66

100-150

50-100

Ghi chú:

1- Khoảng cách từ đáy ống phân phối đến đáy bể lọc phải lấy bằng 80-100mm.

2- Khi rửa bằng nước và không khí phối hợp thì cần lấy chiều dày lớp đỡ cỡ hạt 10-5mm và 5-2mm bằng 150-200mm mỗi lớp.

3- Để làm vật liệu đỡ có thể dùng sỏi, đá dăm hoặc các vật liệu khác thỏa mãn điều 6.110.

6.113. Diện tích tiết diện ngang của ống chính, máng hoặc ống dẫn của hệ thống ống phân phối trở lực lớn phải lấy cố định cho cả chiều dài. Tốc độ nước chảy trong ống hoặc máng dẫn nước rửa đến bể lọc cần lấy không quá 2m/s, ở đầu ống phân phối chính 1-1,2m/s, ở đầu ống nhánh 1,8-2m/s.

Khi có lớp đỡ thì trên dàn ống phân phối phải khoan lỗ có đường kính 10-12mm. Khi không có lớp đỡ thì dàn ống phân phối phải có khe hở, chiều rộng của khe hở phải nhỏ hơn cỡ hạt nhỏ nhất của vật liệu lọc 0,1mm. Tổng diện tích của các lỗ cần lầy bằng 30 đến 35% và của khe bằng 20-25% diện tích tiết diện ngang của ống chính.

Lỗ hoặc khe hở phải bố trí thành 2 hào so le ở phần dưới ống và nghiêng 450 so với trục thẳng đứng của ống.

Bạn phải đăng nhập hoặc đăng ký Thành Viên TVPL Pro để sử dụng được đầy đủ các tiện ích gia tăng liên quan đến nội dung TCVN.

Mọi chi tiết xin liên hệ: ĐT: (028) 3930 3279 DĐ: 0906 22 99 66

Tổn thất áp lực h(m) trong hệ thống phân phối bằng ống khoan lỗ của bể lọc cần xác định theo công thức:

ở đây:

Vc – Tốc độ ở đầu ống chính m/s

Vn -Tốc độ ở đầu ống nhánh m/s.

  – Hệ số sức cản, chọn tương ứng với sự chỉ dẫn ở điều 6.97

Tổn thất áp lực trong hệ thống phân phối trở lực lớn khi rửa bể cần lấy bằng 3-5m cột nước.

6.114. Hệ thống phân phối bằng chụp lọc được thiết kế khi áp dụng biện pháp rửa bằng nước và nước kết hợp với không khí, số lượng chụp lọc lấy không dưới 50 cái cho 1 m2 diện tích công tác bể.

Tổng diện tích khe hở hoặc lỗ của tất cả các chụp lọc lấy như sau: đối với loại chụp lọc có khe hở 0,81-1%; đối với loại chụp lọc có lỗ (chụp lọc sứ): 0,6- 0,8% diện tích công tác của bể lọc.

Bạn phải đăng nhập hoặc đăng ký Thành Viên TVPL Pro để sử dụng được đầy đủ các tiện ích gia tăng liên quan đến nội dung TCVN.

Mọi chi tiết xin liên hệ: ĐT: (028) 3930 3279 DĐ: 0906 22 99 66

              (6-24)

Trong đó:

V -Tốc độ chuyển động của nước hoặc hỗn hợp nước và không khí qua lỗ hoặc khe hở của chụp lọc lấy không nhỏ hơn 1,5m/s.

µ – Hệ số lưu lượng của chụp lọc lấy bằng:

Đối với chụp lọc có khe hở P =0,50

Đối với chụp lọc có lỗ P = 0,62

Chú thích: Khi dùng chụp lọc sứ có lỗ  4 phải có lớp đỡ vật liệu lọc với cỡ hạt từ 2-5mm dày 150-200mm. Khoảng cách từ mép dưới tán chụp lọc đến mặt sàn đỡ phải lấy bằng 2-4mm.

6.115. Để thoát không khí trong ống dẫn nước rửa bể lọc ở các điểm cao phải đặt ống đứng thoát khí đường kính 75- 150mm có van tự động để xả không khí, trên đường ống chính của bể lọc phải đặt ống đứng thoát khí đường kính 32mm, khi diện tích bể đến 50m2 đặt l ống, khi diện tích bể lớn hơn đặt 2 ống (ở đầu và cuối ống chính).

ống thoát khí phải cao hơn mặt bể lọc không ít hơn 0,3m.

Bạn phải đăng nhập hoặc đăng ký Thành Viên TVPL Pro để sử dụng được đầy đủ các tiện ích gia tăng liên quan đến nội dung TCVN.

Mọi chi tiết xin liên hệ: ĐT: (028) 3930 3279 DĐ: 0906 22 99 66

6.116. Để phục hồi khả năng lọc nước của vật liệu lọc có thể rửa bằng dòng nước đi từ dưới lên hoặc sử dụng đồng thời cả nước và không khí.

Cho phép sử dụng phương pháp rửa trên bằng hệ thống phân phối đặt bên trên bề mặt lớp vật liệu lọc.

6.117. Cường độ rửa nước cần lấy phụ thuộc vào độ nở tương đối cần thiết của vật liệu theo số liệu trong bảng 6-14 tương ứng với các loại vật liệu lọc ghi trong bảng 6- 12 điều 6-105.

Bảng 6-14

Loại vật liệu lọc và bể lọc

Độ nở tương đối của vật liệu lọc (%)

Cường độ rửa bể lọc (1/s-m2 )

Thời gian rửa bể lọc (phút)

Bể lọc nhanh 1 lớp vật liệu lọc:

Bạn phải đăng nhập hoặc đăng ký Thành Viên TVPL Pro để sử dụng được đầy đủ các tiện ích gia tăng liên quan đến nội dung TCVN.

Mọi chi tiết xin liên hệ: ĐT: (028) 3930 3279 DĐ: 0906 22 99 66

dtd = 0,8-1

dtd = 1-1,2

Bể lọc nhanh hai lớp vật liệu lọc

 

45

30

25

50

 

Bạn phải đăng nhập hoặc đăng ký Thành Viên TVPL Pro để sử dụng được đầy đủ các tiện ích gia tăng liên quan đến nội dung TCVN.

Mọi chi tiết xin liên hệ: ĐT: (028) 3930 3279 DĐ: 0906 22 99 66

14-16

16-18

13-15

 

6-5

 

 

7-6

Chú thích:

Bạn phải đăng nhập hoặc đăng ký Thành Viên TVPL Pro để sử dụng được đầy đủ các tiện ích gia tăng liên quan đến nội dung TCVN.

Mọi chi tiết xin liên hệ: ĐT: (028) 3930 3279 DĐ: 0906 22 99 66

2- Khi sử dụng thiết bị để rửa trên cần lấy cường độ rửa bằng 3-4 1/sm2, áp lực 30-40m cột nước, ống phân phối đặt cách mặt cát 60-80mm. Khoảng cách giữa các lỗ của ống phân phối hoặc giữa các vòi phun phải lấy bằng 80-100mm. Khi dùng thiết bị quay cường độ rửa cần lấy bằng 0,5-0,751/sm2, áp lực bằng 40-50m cột nước.

6.118. Dung tích đài chứa nước rửa phải tính cho 2 lần rửa nếu rửa một bể, cho 3 lần rửa nếu rửa 3 bể đồng thời.

Máy bơm đưa nước lên đài phải đảm bảo bơm đầy đài trong thời gian không lớn hơn khoảng thời gian giữa 2 lần rửa ở chế độ làm việc tăng cường.

Nước do máy bơm đưa lên đài phải lấy từ đường ống dẫn nước lọc hoặc từ bể chứa nước sạch.

Đường ống dẫn nước từ đài xuống bể lọc phải được bảo vệ chống hút không khí vào. Công suất của máy bơm nước rửa bể lọc vần phải tính toán cho việc rửa một bể.

Nước phải lấy từ bể chứa nước sạch, trong đó phải dự trữ đủ nước cho 2 lần rửa.

Để rửa bể lọc phải đặt 1 hoặc 2 máy bơm dự phòng.

6.119. Để thu và dẫn nước rửa phải thiết kế các máng có tiết diện nửa tròn hay năm cạnh và các thiết bị khác. Khoảng cách giữa các tim máng kề nhau không được lớn hơn 2,2m.

Chiều rộng máng B (m) xác định theo công thức:

Bạn phải đăng nhập hoặc đăng ký Thành Viên TVPL Pro để sử dụng được đầy đủ các tiện ích gia tăng liên quan đến nội dung TCVN.

Mọi chi tiết xin liên hệ: ĐT: (028) 3930 3279 DĐ: 0906 22 99 66

Trong đó:

qm: Lưu lượng nước rửa tháo theo máng (m3/s)

a: Tỉ số giữa chiều cao của phần chữ nhật với nửa chiều rộng của máng, lấy bằng 1-1,5.

K: Hệ số lấy bằng 2 đối với máng có tiết diện nửa tròn, bằng 2,1 đối với máng có tiết diện 5 cạnh.

Mép trên của tất cả các máng phải ở cùng một độ cao và phải tuyệt đối nằm ngang.

Đáy máng thu phải có độ dốc 0,01 về phía máng tập trung.

6.120. Trong bể lọc có máng tập trung, khoảng cách từ đáy máng thu đến đáy máng tập trung H tính bằng (m) phải xác định theo công thức:

Trong đó:

Bạn phải đăng nhập hoặc đăng ký Thành Viên TVPL Pro để sử dụng được đầy đủ các tiện ích gia tăng liên quan đến nội dung TCVN.

Mọi chi tiết xin liên hệ: ĐT: (028) 3930 3279 DĐ: 0906 22 99 66

A – Chiều rộng máng tập trung lấy không nhỏ hơn 0,6m-9,81 m/m2.

6.121. Khoảng cách từ bề mặt lớp lọc đến mép máng thu nước tính bằng m xác định theo công thức:

          (6-27)

Trong đó:

H: Chiều cao lớp vật liệu lọc (m).

e: Độ nở tương đối của lớp vật liệu lọc lấy theo bảng 6-14 điều 6.117.

6.122. Kích thước ống dẫn hoặc máng của bể lọc phải tính theo chế độ làm việc tăng cường với tốc độ nước chảy trong đó như sau:

– Trong ống dẫn nước vào bể lọc:    0,8- 1,2 m/s

– Trong ống dẫn nước lọc                1- 1,5 m/s.

Bạn phải đăng nhập hoặc đăng ký Thành Viên TVPL Pro để sử dụng được đầy đủ các tiện ích gia tăng liên quan đến nội dung TCVN.

Mọi chi tiết xin liên hệ: ĐT: (028) 3930 3279 DĐ: 0906 22 99 66

6.123. Việc xả kiệt bể lọc cần thực hiện qua hệ thống phân phối hoặc qua ống xả có đường kính từ 100- 200mm (tuỳ theo diện tích bể lọc) và có lắp khoá. Đầu đường ống xả chỗ nối với đáy bể lọc phải được bảo vệ bằng lưới hoặc tấm chắn đặc biệt, trừ trường hợp bể lọc có đáy trung gian. Đáy bể lọc phải có độ dốc 0,005 về phía ống xả này.

6.124. Khi rửa bằng nước kết hợp với không khí, không khí được chuyền qua hệ thống phân phối có chụp lọc chuyên dùng hoặc theo hệ thống ống phân phối riêng biệt cho nước và không khí.

Diện tích tiết diện ngang của ống chỉnh, máng và ống dẫn trong hệ thống phân phối không khí phải lấy cố định trên toàn bộ chiều dài.

Hệ thống phân phối không khí đặt trực tiếp trên đáy bể lọc, trong đó ống chính dẫn không khí cần nằm cao hơn hệ thống phân phối nước.

Tổng diện tích các lỗ phải bằng 0,35 – 0,4 diện tích tiết diện ngang của ống chính. Tốc độ không khí trong ống chính và ống nhánh cần lấy bằng 15-20m/s.

Khi có lớp đỡ, lỗ phân phối phải có đường kính 2- 5mm, nếu không có lớp sỏi đỡ thì lấy khe hở dài 15- 20mm, chiều rộng khe hở cần lấy kém kích thước của hạt vật liệu lọc nhỏ nhất 0,1mm. Lỗ hoặc khe hở phải đặt ở phần dưới ống thành 2 hàng so le nhau và nghiêng một góc 450 so với trục thẳng đứng của ống.

Khoảng cách giữa các lỗ hoặc khe hở phải lấy trong giới hạn 150- 250mm. Khoảng cách giữa các ống nhánh lấy bằng 250- 300mm.

áp lực không khí ra khỏi lỗ hoặc khe hở phải lấy bằng hai lần chiều cao cột nước trong bể lọc khi rửa tính từ đáy bể .

Tổn thất áp lực trong hệ thống ống phân phối không khí phải lấy bằng 1m.

Bạn phải đăng nhập hoặc đăng ký Thành Viên TVPL Pro để sử dụng được đầy đủ các tiện ích gia tăng liên quan đến nội dung TCVN.

Mọi chi tiết xin liên hệ: ĐT: (028) 3930 3279 DĐ: 0906 22 99 66

6.125. Chế độ rửa nước và không khí lấy như sau: bơm không khí với cường độ 15-20 1/s- m2 trong 1-2 phút sau đó rửa kết hợp nước + không khí với cường độ không khí 15-20 1/s- m2 và nước 2,5- 3 1/s-m2, sao cho cát không bị trôi vào máng thu nước rửa trong thời gian 4- 5 phút cuối cùng ngừng bơm không khí và tiếp tục rửa nước thuần túy với cường độ 5- 8 1/s-m2 trong khoảng thời gian 4- 5 phút.

Ghi chú: Cường độ nước và không khí lớn hơn lấy ứng với vật liệu lọc có cỡ hạt lớn hơn.

6.126. Khi dùng phương pháp rửa kết hợp bằng nước và không khí, cần phải dự tính hệ thống thoát nước rửa theo chiều ngang có máng giữ cát được tạo thành bởi hai vách nghiêng trong đó một dùng làm vách tràn và một dùng làm vách chắn cát.

Vách tràn cần đặt dọc theo thành máng thu và nghiêng 450 về phía máng thu.

Vách chắn cát đặt vuông góc với vách tràn, nghiêng 450 về phía trong bể lọc đồng thời mép trên của vách chắn cát phải thấp hơn mép trên của vách tràn. Bề mặt của các mép phải phẳng và tuyệt đối nằm ngang.

Mép dưới của vách chắn cát không được chạm tới vách tràn để tạo nên ở phần dưới của máng giữ cát một khe hở rộng 15-20mm. Mép dưới của vách tràn phải xuống quá mép dưới của vách chắn cát 30- 40mm.

Kích thước cơ bản của các bộ phận cấu tạo máng giữ cát cần lấy theo bảng 6-15 tuỳ theo lưu lượng nước rửa trên lm vách tràn W1. Trong đó: W (1/s- m2) là cường độ nước khi rửa bằng nước và không khí kết hợp, l là khoảng cách từ tường đối diện tới vách tràn.

Mép dưới vách tràn phải đặt cao hơn mặt lớp vật liệu lọc 50- 100mm.

Để thoát cặn bể đã bong ra trên mặt lớp lọc, ở đầu dòng chảy ngang phải tạo được tốc độ không kém 3mm/s nhờ một bộ phận hướng dòng hoặc ống đục lỗ để bổ sung thêm lưu lượng nước cần thiết.

Bạn phải đăng nhập hoặc đăng ký Thành Viên TVPL Pro để sử dụng được đầy đủ các tiện ích gia tăng liên quan đến nội dung TCVN.

Mọi chi tiết xin liên hệ: ĐT: (028) 3930 3279 DĐ: 0906 22 99 66

Bảng 6-15

Trị số W1 (1/s-m)

25

20

15

10

Kích thước máng giữ cát

– Hiệu số cao độ giữa mép trên và mép dưới vách tràn (mm)

– Hiệu số cao độ giữa mép trên vách tràn và mép trên vách chắn cát (mm)

Bạn phải đăng nhập hoặc đăng ký Thành Viên TVPL Pro để sử dụng được đầy đủ các tiện ích gia tăng liên quan đến nội dung TCVN.

Mọi chi tiết xin liên hệ: ĐT: (028) 3930 3279 DĐ: 0906 22 99 66

320

 

25

 

260

 

20

 

210

Bạn phải đăng nhập hoặc đăng ký Thành Viên TVPL Pro để sử dụng được đầy đủ các tiện ích gia tăng liên quan đến nội dung TCVN.

Mọi chi tiết xin liên hệ: ĐT: (028) 3930 3279 DĐ: 0906 22 99 66

20

 

170

 

20

Tốc độ nước chảy ở đầu ống đục lỗ cần lấy không quá 1,2m/s, đường kính lỗ lấy bằng 10- 12mm, lỗ đặt thành một hàng và phải hướng về phía dòng chảy. Diện tích tổng cộng của lỗ cần lấy bằng 0,35- 0,5 diện tích tiết diện ngang của ống. Lưu lượng nước đưa vào cần lấy bằng 1- 1,51/s cho 1m chiều rộng bể.

Đáy ống phải đặt cao hơn mặt lớp lọc 100mm. Nước đưa vào ống này phải lấy từ đường ống dẫn nước đã lắng sang bể lọc.

Bể lọc chậm

6.127. Tốc độ lọc tính toán trong bể lọc chậm cần lấy trong giới hạn từ 0,1- 0,3m/h tuỳ theo hàm lượng cặn trong nước sẽ lọc.

Bạn phải đăng nhập hoặc đăng ký Thành Viên TVPL Pro để sử dụng được đầy đủ các tiện ích gia tăng liên quan đến nội dung TCVN.

Mọi chi tiết xin liên hệ: ĐT: (028) 3930 3279 DĐ: 0906 22 99 66

6.129. Kích thước hạt và chiều dày lớp vật liệu lọc trong bể lọc chậm cần lấy theo bảng 6- 16.

Bảng 6-16

Số TT

Tên lớp vật liệu lọc và lớp dỡ

Cỡ hạt của vật liệu lọc (mm)

Chiều dày lớp vật liệu lọc (mm)

1

2

3

Bạn phải đăng nhập hoặc đăng ký Thành Viên TVPL Pro để sử dụng được đầy đủ các tiện ích gia tăng liên quan đến nội dung TCVN.

Mọi chi tiết xin liên hệ: ĐT: (028) 3930 3279 DĐ: 0906 22 99 66

5

6

Cát

Cũng như trên

Sỏi hoặc đá răm

– nt –

– nt –

– nt –

0,3-1

Bạn phải đăng nhập hoặc đăng ký Thành Viên TVPL Pro để sử dụng được đầy đủ các tiện ích gia tăng liên quan đến nội dung TCVN.

Mọi chi tiết xin liên hệ: ĐT: (028) 3930 3279 DĐ: 0906 22 99 66

2-5

5-10

10-20

20-40

Tổng cộng:

800

50

100

100

Bạn phải đăng nhập hoặc đăng ký Thành Viên TVPL Pro để sử dụng được đầy đủ các tiện ích gia tăng liên quan đến nội dung TCVN.

Mọi chi tiết xin liên hệ: ĐT: (028) 3930 3279 DĐ: 0906 22 99 66

150

1300

6.130. Lưu lượng nước Wr(m3) Cho một lần rửa một ngăn lọc cần tính theo công thức:

Wr = qo.btr        (6-28)

Trong đó:

qo– Lưu lượng nước đơn vị để rửa một dải mặt cắt rộng 2m lấy bằng 0,009m3/s.

tr- Thời gian rửa một dải tính bằng giây lấy trong giới hạn 10- 20 phút.

b – Chiều rộng ngăn lọc (m)

6.131. Nước rửa bể lọc chậm phải do một máy bơm riêng hoặc một đài riêng cấp. Được phép rửa bể lọc bằng cách tăng cường công suất của những máy bơm đang bơm nước vào trạm xử lí hoặc dùng một phần nước của những ngăn bể đang luân phiên làm việc.

Bạn phải đăng nhập hoặc đăng ký Thành Viên TVPL Pro để sử dụng được đầy đủ các tiện ích gia tăng liên quan đến nội dung TCVN.

Mọi chi tiết xin liên hệ: ĐT: (028) 3930 3279 DĐ: 0906 22 99 66

6.133. Trong các bể lọc chậm có diện tích 10- 15m2 phải thu nước trong bằng máng đặt chìm dưới đáy bể. Trong bể lọc có diện tích lớn hơn phải có hệ thống thu bằng ống đục lỗ bằng gạch hoặc ống bê tông có khe hở, ống bê tông rỗng v.v…

Bể lọc hạt lớn

6.134. Bể lọc hạt lớn được dùng để làm trong một phần nước cung cấp cho sản xuất có sử dụng hoặc không sử dụng chất phản ứng.

Lượng cặn được giữ lại trong bể lọc lấy bằng khi không pha phèn- 50- 70% hàm lượng cặn trong nước nguồn. Khi có pha phèn hàm lượng cặn còn lại 3- 5mg/l.

6.135. Bể lọc hạt lớn áp lực phải tính toán với tổn thất áp lực giới hạn trong lớp vật liệu lọc và trong hệ thống thu nước đến 15m cột nước. Trong bể lọc hở để duy trì tốc độ lọc tính toán cần lấy chiều cao lớp nước trên mặt cát lọc bằng 1- 1,5m.

6.136. Bể lọc hạt lớn cần phải rửa kết hợp bằng nước và không khí. Các hệ thống phân phối nước và không khí hoặc hệ thống phân phối nước và không khí kết hợp phải tính theo chỉ dẫn ở những điều 6.113, 6.115, 6.117, 6.120.

Cường độ nước và không khí cho ở bảng 6 – 17.

Bảng 6-17

Vật liệu lọc

Bạn phải đăng nhập hoặc đăng ký Thành Viên TVPL Pro để sử dụng được đầy đủ các tiện ích gia tăng liên quan đến nội dung TCVN.

Mọi chi tiết xin liên hệ: ĐT: (028) 3930 3279 DĐ: 0906 22 99 66

Hệ số không đồng nhất

Chiều cao lớp vật liệu lọc (m)

Tốc độ

Cường độ rửa (1/s-m2)

Nước

Không khí

Cát thạch anh

1-2

1,6-2,5

Bạn phải đăng nhập hoặc đăng ký Thành Viên TVPL Pro để sử dụng được đầy đủ các tiện ích gia tăng liên quan đến nội dung TCVN.

Mọi chi tiết xin liên hệ: ĐT: (028) 3930 3279 DĐ: 0906 22 99 66

2

1,5-2

2,5-3

10-12

13-15

6-8

6-8

15-20

18-25

Bạn phải đăng nhập hoặc đăng ký Thành Viên TVPL Pro để sử dụng được đầy đủ các tiện ích gia tăng liên quan đến nội dung TCVN.

Mọi chi tiết xin liên hệ: ĐT: (028) 3930 3279 DĐ: 0906 22 99 66

6.138. Việc thiết kế các bộ phận thoát nước rửa bể lọc phải theo chỉ dẫn ở điều 6.126.

6.139. Khi tính toán bể lọc hạt lớn phải lấy chế độ rửa như sau:

Rửa vật liệu lọc bằng nước với cường độ 6- 8 1/s-m2 trong một phút; rửa bằng nước và không khí kết hợp với cường độ nước 3- 4 1/s- m2, cường độ không khí 15-25 1/s- m2 trong 5 phút, rửa nước với cường độ 6- 8 1/s-m2 trong 2 phút.

6.140. Diện tích bể lọc hạt lớn F (m2) cần xác định theo công thức:

Trong đó:

Q- Công suất có ích của các bể lọc m3/ng.đ;

T- Thời gian làm việc của trạm trong một ngày (h);

Vt – Tốc độ lọc tính toán (m/h);

Bạn phải đăng nhập hoặc đăng ký Thành Viên TVPL Pro để sử dụng được đầy đủ các tiện ích gia tăng liên quan đến nội dung TCVN.

Mọi chi tiết xin liên hệ: ĐT: (028) 3930 3279 DĐ: 0906 22 99 66

W1t1– Cường độ (1/s- m2) và thời gian (h) sục vật liệu lọc giai đoạn đầu;

W2t2 – Cường độ nước (1/s- m2) và thời gian ra phối hợp nước- không khí (h); W3t3– Cường độ (1/s- m2) và thời gian rửa (h) ở giai đoạn cuối cùng;

t4– Thời gian ngừng bể lọc để rửa (h);

6.141. Khi số bể lọc đến 10 thì được phép ngừng một bể lọc để sửa chữa. Khi số bể lọc lớn hơn được phép ngừng hai bể sửa chữa. Khi rửa tốc độ lọc trong các bể lọc làm việc còn lại không được vượt quá những giá trị lớn nhất cho trong bảng 6- 17 điều 6.137.

Bể lọc sơ bộ

6.142. Bể lọc sơ bộ được sử dụng để làm sạch nước sơ bộ trước khi làm sạch triệt để trong bể lọc chậm.

Tốc độ lọc tính toán qua bể lọc sơ bộ cần lấy trong khoảng 3- 5m/h tùy theo độ đục của nước sẽ lọc.

6.143. Số bể lọc sơ bộ trong một trạm không được nhỏ hơn 2. Cỡ hạt của cát và sỏi và chiều cao các lớp vật liệu lấy theo bảng 6- 18

Bảng 6-18

Bạn phải đăng nhập hoặc đăng ký Thành Viên TVPL Pro để sử dụng được đầy đủ các tiện ích gia tăng liên quan đến nội dung TCVN.

Mọi chi tiết xin liên hệ: ĐT: (028) 3930 3279 DĐ: 0906 22 99 66

Chiều cao mỗi lớp (mm)

1-2

2-5

5-10

10-20

20-40

700

100

100

Bạn phải đăng nhập hoặc đăng ký Thành Viên TVPL Pro để sử dụng được đầy đủ các tiện ích gia tăng liên quan đến nội dung TCVN.

Mọi chi tiết xin liên hệ: ĐT: (028) 3930 3279 DĐ: 0906 22 99 66

150

Chiều cao lớp nước trên bề mặt lớp vật liệu lọc cần lấy bằng 1,5m.

6.144. Hệ thống phân phối nước rửa trong bể lọc sơ bộ phải là hệ thống trở lực lớn và cần phải tính toán theo chỉ dẫn cho trong các điều 6.111, 6.127.

Chế độ rửa phải lấy như sau: Cường độ nước 12- 14 1/s- m2, thời gian rửa 6- 7 phút.

Để rửa bể lọc phải sử dụng nước sạch.

Bể lọc tiếp xúc

6.145. Bể lọc tiếp xúc được sử dụng để làm sạch nước theo sơ đồ một bậc trong bể lọc tiếp xúc quá trình lọc xay ra từ dưới lên trên.

Nếu không có số liệu khảo sát công nghệ thì cần lấy tốc độ lọc tính toán theo bảng 6- 19. Thời gian của một chu kì lọc với tốc độ lọc tính toán không được nhỏ hơn 8h.

Bảng 6-19

Bạn phải đăng nhập hoặc đăng ký Thành Viên TVPL Pro để sử dụng được đầy đủ các tiện ích gia tăng liên quan đến nội dung TCVN.

Mọi chi tiết xin liên hệ: ĐT: (028) 3930 3279 DĐ: 0906 22 99 66

3

4

5

6 và lớn hơn

Tốc độ lọc tính toán m/h

4

4,5

4,8

5

Bạn phải đăng nhập hoặc đăng ký Thành Viên TVPL Pro để sử dụng được đầy đủ các tiện ích gia tăng liên quan đến nội dung TCVN.

Mọi chi tiết xin liên hệ: ĐT: (028) 3930 3279 DĐ: 0906 22 99 66

Khi số lượng bể lọc tiếp xúc lớn hơn 20 thì thời gian của chu kì làm việc giữa hai lần rửa ở chế độ tăng cường phải xác định theo điều 6.105.

Thời gian ngừng bể lọc để rửa phải lấy bằng 0,33h.

6.147. Diện tích bể lọc tiếp xúc phải xác định theo công thức 6- 20 có kể đến thời gian xả nước lọc đều lấy như sau: Khi rửa thuần tuý bằng nước sạch 5- 10 phút, bằng nước không sạch 10- 15 phút, khi rửa bằng không khí và nước phối hợp lấy tương ứng bằng 5-7 phút và 7- 10 phút có kể đến yêu cầu ghi trong các điều 6.104, 6.146 (bảng 6- 19), 6.154, 6.155 và 6.158.

6.148. Bể lọc tiếp xúc có thể làm việc với tốc độ lọc không đổi trong suốt một chu kì làm việc hoặc với tốc độ lọc thay đổi giảm dần đến cuối chu kì sao cho tốc độ lọc trung bình bằng tốc độ lọc tính toán.

6.149. Số bể lọc tiếp xúc trong một trạm phải lấy theo chỉ dẫn ở điều 6.106.

6.150. Vật liệu lọc dùng cho bể lọc tiếp xúc phải là cát thạch anh và sỏi hoặc các loại vật liệu lọc khác đáp ứng yêu cầu ghi ở điều l.10 và 6.110 và không bị lơ lửng trong quá trình lọc.

6.151. Nếu không có số liệu khảo sát công nghệ cần lấy chiều dày lớp cát lọc tuỳ theo loại bể lọc tiếp xúc và hệ thống phân phối bằng 2- 2,3m, với đường kính tương đương của hạt bằng 0,9- 1,4mm và hệ số không đồng nhất đến 2,5, cỡ hạt vật liệu lọc của bể lọc tiếp xúc phải lấy bằng 0,7- 2mm.

6.152. Việc rửa vật liệu lọc của bể lọc tiếp xúc phải thực hiện bằng dòng nước đi lên hoặc rửa phối hợp bằng nước và thông khí.

Để phân phối nước rửa đồng đều trên toàn diện tích bể phải dùng hệ thống phân phối trở lực lớn có hoặc không có lớp sỏi đỡ…

Bạn phải đăng nhập hoặc đăng ký Thành Viên TVPL Pro để sử dụng được đầy đủ các tiện ích gia tăng liên quan đến nội dung TCVN.

Mọi chi tiết xin liên hệ: ĐT: (028) 3930 3279 DĐ: 0906 22 99 66

Rửa bằng nước chưa sạch cho phép trong điều kiện; có xử lí sơ bộ bằng lưới quay hay micrôphin theo chỉ dẫn ở ghi chú 5 của bảng 6-2 điều 6.9, độ đục không quá 10mg/1, chỉ số côli không quá 1000 con/lít và có khử trùng.

Thiết bị để cấp nước rửa phải lấy theo chỉ dẫn trong điều 6.l17 và 6.118.

6.154. Cường độ rửa nước phải lấy bằng 13- 15 1/s- m2, với thời gian rửa 7- 8 phút.

6.155. Khi dùng hệ thống phân phối trở lực lớn tỉ số giữa diện tích lỗ của hệ thống phân phối và diện tích bể lọc phải lấy bằng 0,2% khi có lớp sỏi đỡ, 0,25 – 0,27% khi không có lớp sỏi đỡ nhưng có mái che bên sườn.

6.156. Tính toán và cấu tạo hệ thống phân phối trở lực lớn có lớp sỏi đỡ và máng thu của bể lọc tiếp xúc phải theo chỉ dẫn ở điều 6.l13, 6.l19, 6.122, 6.127.

Chiều dày và cỡ hạt của lớp sỏi phải lấy theo bảng 6- 13 điều 6.122. Khi rửa phối hợp bằng không khí và nước vào bể lọc có lớp sỏi đỡ thì chiều cao lớp sỏi cỡ 5- 10mm phải lấy bằng 150-200mm, lớp sỏi 2-5mm phải lấy bằng 300- 400mm.

Khi sử dụng hệ thống phân phối không có lớp sỏi đỡ phải hàn dọc ống phân phối những tấm che bên sườn, giữa chúng lại hàn những vách ngăn chia khoảng không gian dưới ống thành những ô chữ nhật mỗi ô bao 2 lỗ trên ống. Chiều cao tấm che, khoảng cách từ đáy tấm cho đến đáy bể và khoảng cách giữa các trục ống và lỗ phải lấy theo bảng 6-20. Để xả kiệt bể lọc tiếp xúc cần đặt ống xả có thiết bị lưới bảo vệ để đề phòng vật liệu lọc lọt ra ngoài.

6.157. Khi rửa vật liệu lọc bằng không khí và nước kết hợp phải dự kiến hệ thống thoát nước rửa theo chiều ngang theo chỉ dẫn ở điều 6.127 với khoảng cách từ mép dưới tường tràn đến mặt cắt là 20- 30mm. Không khí phải cho vào hệ thống ống phân phối riêng với cường độ 18- 20 1/s- m2. Không được phép dùng hệ thống ống cung cấp nước bổ sung để đẩy cặn bẩn khi rửa.

Chế độ rửa phải lấy như sau:

Bạn phải đăng nhập hoặc đăng ký Thành Viên TVPL Pro để sử dụng được đầy đủ các tiện ích gia tăng liên quan đến nội dung TCVN.

Mọi chi tiết xin liên hệ: ĐT: (028) 3930 3279 DĐ: 0906 22 99 66

6.158. Để đảm bảo thu nước trong đồng đều trên toàn diện tích bể, mép máng thu phải có khe tràn tam giác cao 40- 60mm.

Khoảng cách giữa các tim khe tràn không được lớn hơn 100- 150mm.

Bảng 6-20

Kích thước hệ thống phân phối của bể lọc tiếp xúc

Đường kính ống nhánh (mm)

Chiều cao từ mép dưới tấm che đến đáy bể (mm)

Chiều cao của tấm che từ mép dưới đến tim ống nhánh (mm)

Khoảng cách giữa tim các ống nhánh (mm)

Khoảng cách giữa các tim lỗ (mm)

Bạn phải đăng nhập hoặc đăng ký Thành Viên TVPL Pro để sử dụng được đầy đủ các tiện ích gia tăng liên quan đến nội dung TCVN.

Mọi chi tiết xin liên hệ: ĐT: (028) 3930 3279 DĐ: 0906 22 99 66

100

125

90-100

100-110

100-120

140

160

180

240-260

Bạn phải đăng nhập hoặc đăng ký Thành Viên TVPL Pro để sử dụng được đầy đủ các tiện ích gia tăng liên quan đến nội dung TCVN.

Mọi chi tiết xin liên hệ: ĐT: (028) 3930 3279 DĐ: 0906 22 99 66

320-340

130-140

140-160

160-180

6.159. Các đường ống của bể lọc tiếp xúc phải tính theo điều 6.123, đồng thời mép dưới của ống dẫn nước ra khỏi bể phải cao hơn mực nước trong máng tập trung khi ra không kém 0,3m.

6.160. Khi làm sạch nước cho nhu cầu sinh hoạt, mặt thoáng lọc tiếp xúc phải bịt kín và phải có ống thông hơi, cửa lên xuống.

6.161. áp lực cần thiết trước bể lọc tiếp xúc tính từ cao độ của mép máng tràn phải lấy bằng tổng tổn thất áp lực trong lớp vật liệu lọc trong lớp đỡ (đối với cát lấy bằng chiều dày lớp cát) và trong các ống dẫn kể cả mọi tổn thất cục bộ, trong đó có tổn thất qua thiết bị đo để xác định tốc độ lọc.

Khử trùng nước

6.162. Chọn phương pháp khử trùng nước cần phải chú ý đến yêu cầu chất lượng nước, hiệu quả xử lí nước, độ tin cậy của biện pháp khử trùng, cơ sở kinh tế kĩ thuật, cơ giới hoá việc lao động và điều kiện bảo quản hoá chất.

Bạn phải đăng nhập hoặc đăng ký Thành Viên TVPL Pro để sử dụng được đầy đủ các tiện ích gia tăng liên quan đến nội dung TCVN.

Mọi chi tiết xin liên hệ: ĐT: (028) 3930 3279 DĐ: 0906 22 99 66

Ghi chú: Trong trường hợp cần phải dùng amôniắc thì cho amôniăc vào đường ống dẫn nước đã lọc. Nếu trong nước có phênol thì phải cho amôniắc vào nước trước khi cho Clo từ 2-3 phút.

6.164. Khi không có các số liệu điều tra công nghệ, để tính toán sơ bộ thiết bị Clo cần lấy liều lượng Clo để khử trùng nước như sau: Đối với nước mặt 2-3 mg/l tính theo Clo hoạt tính, đối với nước ngầm 0,7- 1mg/l.

Nồng độ Clo tự do còn lại trong nước tại bể chứa nước sạch không được nhỏ hơn 0,3 mg/l và không lớn hơn 0,5mg/l hoặc nồng độ Clo liên kết không nhỏ hơn 0,8mg/l và không lớn hơn 1,2mg/l.

Ghi chú:

+ Khi dự trữ nước sinh hoạt ở các bể chứa thì trong thời gian cho 1 bể ngừng làm việc để rửa hoặc sửa chữa cần phải lấy tăng liều lượng Clo cho vào các bể chứa còn lại lên gấp đôi so với lúc bình thường.

+ Khi xác định liều lượng Clo tính toán cần phải tính đến lượng Clo bị thủy phân và tuỳ theo độ pH của nước cần lấy liều lượng Clo cơ bản tính theo Clo tăng lên từ 1,3-1,4 lần so với lượng Clo hoạt tính cần thiết.

6.165. Để Clo hoá nước cần phải có kho chứa Clo tiêu thụ hàng ngày, thiết bị để Clo nước hoá thành hơi (trong trường hợp cần thiết) và buồng đặt Cloratơ (thiết bị định liều lượng Clo) .

Cần phải đảm bảo khả năng Clo hoá nước sơ bộ trước công trình xử lí và khả năng

Clo hoá nước sau công trình xử lí để khử trùng.

Bạn phải đăng nhập hoặc đăng ký Thành Viên TVPL Pro để sử dụng được đầy đủ các tiện ích gia tăng liên quan đến nội dung TCVN.

Mọi chi tiết xin liên hệ: ĐT: (028) 3930 3279 DĐ: 0906 22 99 66

6.166. Sự hoá hơi của Clo cần tiến hành trong các bình thùng hoặc trong những thiết bị bay hơi riêng. Năng suất bốc hơi của Clo khi không đốt nóng thành bình ở nhiệt độ không khí bình thường trong phòng lấy như sau:

– Đối với bình đựng Clo từ 0,7- 1,0 kg/h

– Đối với các thùng lớn: 3- 4 kg/h.

Cho 1m2 bề mặt thành bình hay thùng.

6.167. Cần phải có thiết bị để xả định kì và khử khí độc Nitơri Clorua (NCl3) ra khỏi thiết bị bay hơi và các đường ống không khí nén…

6.168. Buồng đặt thiết bị định liều lượng Clo nếu dùng riêng phải có 2 cửa, l cửa qua buồng đệm và l cửa thông ra ngoài. Tất cả các cửa phải mở cánh ra phía ngoài. Cho phép Tiêu chuẩn xây dựng Tcxd 33: 1985 bố trí kho chứa Clo tiêu thụ sát với buồng định liều lượng Clo, khi đó phải ngăn cách với nhau bằng tường chống cháy kín không có cửa sổ: Kho chứa Clo cần phải thiết kế theo tiêu chuẩn đối với kho chứa các chất độc hại mạnh.

6.169. Buồng định liều lượng Clo nếu được thiết kế hợp khối với công trình xử lí thì cần được cách li với các buồng khác và phải có 2 cửa, trong đó có l cửa qua buồng đệm; cả 2 cửa phải mở cánh ra phía ngoài.

6.170. Trong buồng định liều lượng Clo hợp khối với công trình xử lí cho phép bảo quản Clo lỏng với số lượng không quá 50kg, nhưng cần phải có bình dự phòng.

6.171. Cần phải đảm bảo cung cấp nước có chất lượng nước sinh hoạt với áp suất không nhỏ hơn 3kg/cm2 cho buồng định lượng Clo khi sử dụng Cloratơ kiểu chân không.

Bạn phải đăng nhập hoặc đăng ký Thành Viên TVPL Pro để sử dụng được đầy đủ các tiện ích gia tăng liên quan đến nội dung TCVN.

Mọi chi tiết xin liên hệ: ĐT: (028) 3930 3279 DĐ: 0906 22 99 66

Nước Clo xả ra trong trường hợp buồng định lượng Clo có sự cố phải cho qua bể có chứa các chất khử khí.

áp lực nước Clo sau Cloratơ và Ejectơ lấy từ 5- 7m cột nước.

6.172. Việc định liều lượng khí Clo cần thực hiện bằng máy Cloratơ chân không tự động hoặc bằng phương pháp cân. Cho phép dùng phương pháp kết hợp: cần kết hợp với Cloratơ điều chỉnh bằng tay, cần phải có máy đo tự động lượng Clo dư trong bể chứa nước sạch.

Trước khi đưa vào máy định liều lượng, khí Clo cần được làm sạch sơ bộ qua bình trung gian và thiết bị lọc khí.

6.173. Số lượng các thiết bị công nghệ dự phòng trong buồng định lượng Clo cần lấy:

– Khi có 2 Cloratơ làm việc – l cloratơ dự phòng

– Trên 2 cloratơ làm việc – 2 cloratơ dự phòng

– Máy phân tích Clo dư trong nước – l máy dự phòng không phụ thuộc vào số lượng máy phân tích làm việc.

– Ejectơ – phụ thuộc vào 1 dự phòng, không phụ thuộc vào số lượng máy làm việc.

Bạn phải đăng nhập hoặc đăng ký Thành Viên TVPL Pro để sử dụng được đầy đủ các tiện ích gia tăng liên quan đến nội dung TCVN.

Mọi chi tiết xin liên hệ: ĐT: (028) 3930 3279 DĐ: 0906 22 99 66

độ kín và chịu được áp lực cần thiết. Khi vận chuyển khí Clo từ kho đến máy định liều lượng cần lấy số ống dẫn Clo không ít hơn 2, trong đó có l ống dự phòng.

ống dẫn Clo và các phụ tùng được tính đối với áp lực công tác 16kg/cm2 và áp lực thử nghiệm 23kg/cm2.

Các đoạn ống dẫn Clo nằm hở ra ngoài không khí cần có lớp bảo vệ để chống tác dụng của ánh sáng mặt trời.

ống dẫn Clo đặt bên trong phòng phải có giá đỡ gắn vào tường, nếu đặt ngoài nhà phải có trụ đỡ.

Nếu nối ống bằng măng sông thì phải hàn 2 đầu măng sông, còn nối bằng mặt bích thì phải dùng vòng đệm chịu Clo và bu lông bằng thép không gỉ.

ống dẫn Clo cần có độ dốc chung 0,01 về phía thùng đựng Clo lỏng và không được phép có các mối nối có thể tạo thành vật chắn thuỷ lực hoặc nút khí.

Đường kính ống dẫn Clo dcl (m) có chiều dài đến 500m cần được tính theo công thức:

            (6- 30)

Trong đó:

Bạn phải đăng nhập hoặc đăng ký Thành Viên TVPL Pro để sử dụng được đầy đủ các tiện ích gia tăng liên quan đến nội dung TCVN.

Mọi chi tiết xin liên hệ: ĐT: (028) 3930 3279 DĐ: 0906 22 99 66

V – Tốc độ trong đường ống, lấy bằng 2,5- 3,5m/s đối với Clo khí và 0,8 m/s đối với clo lỏng.

6.175. ống dẫn nước Clo phải dùng loại vật liệu chịu được nước Clo (cao su, polyêtylen, chất dẻo v.v…)

Sau Cloratơ và Ejêctơ đứng riêng, các ống dẫn nước Clo chỉ được phép nối hợp nhất lại với nhau qua thùng chứa với dòng chảy đứt gãy.

ống dẫn nước Clo ở bên trong nhà cần đặt trong rãnh dưới nền nhà hoặc gắn vào tường bằng móc đỡ ống, ở ngoài nhà cần đặt trong rãnh ngầm hoặc trong ống lồng.

6.176. Khi đặt kho tiêu thụ Clo xả trên 100m và lượng chi phí Clo lỏng trong l ngày không lớn hơn 3 bình, thì cho phép bố trí l gian trong buồng định lượng Clo để bảo quản lượng Clo dự trữ trong 3 ngày, nhưng cần có cửa riêng thông ra ngoài. Gian phòng này cũng phải đáp ứng các yêu cầu như đối với kho tiêu thụ.

6.177. Khi dùng các hoá chất chứa Clo phải có kho tiêu thụ.

6.178. Mặt nạ phòng độc và quần áo bảo hộ lao động cho công nhân cần được bảo quản ở tủ riêng đặt trong phòng đệm của buồng định liều lượng Clo. Bảng điều khiển đèn chiếu sáng trong buồng định liều lượng Clo cần đặt ở phòng đệm.

6.179. Để pha và bảo quản dung dịch hypoclont phải dùng bể (số bể không nhỏ hơn 2), dung tích của các bể cần tính theo điều kiện nồng độ dung dịch từ 0,5-1% và pha l-2 lần trong l ngày. Bể cần làm bằng các loại vật liệu chống ăn mòn hoặc được phủ lớp chống ăn mòn và nhất thiết phải có máy khuấy.

6.180. Việc định lượng hypoclorit phải thực hiện với dung dịch đã được lắng trong bằng thiết bị định liều lượng. Phải có biện pháp xả cặn ra khỏi thùng và thiết bị định lượng.

Bạn phải đăng nhập hoặc đăng ký Thành Viên TVPL Pro để sử dụng được đầy đủ các tiện ích gia tăng liên quan đến nội dung TCVN.

Mọi chi tiết xin liên hệ: ĐT: (028) 3930 3279 DĐ: 0906 22 99 66

Ghi chú: Khi cần thiết đặt nhiều bình điện phân cùng làm việc thì cho phép xây dựng bể dung dịch và bể tiêu thụ cũng như bể chứa chung. Số lượng bể mỗi nhóm không ít hơn 2.

6.182. Các bình điện phân phải được đặt ở buồng riêng. Đèn điện chiếu sáng phải được bọc kín bằng kính để bảo vệ khí Clo. Trước cửa vào buồng điện phân phải có buồng đệm.

6.183. Để pha dung dịch bão hoà muối ăn cần đặt trong khu vực công trình xử lí hoặc tại kho.

Dung tích bể hoà trộn cần bảo đảm chứa được dự trữ chất điện phân đủ cho bình điện phân làm việc liên tục từ 24h trở lên. Việc bảo quản muối cần tuân theo chỉ dẫn ghi ở điểm 6.330.

6.184. Các bể làm việc dùng để pha dung dịch đến nồng độ quy định (không phụ thuộc vào loại bình điện phân) cần lấy theo số liệu ghi trong lí lịch máy và cần được trang bị bộ phận định liều lượng riêng cho từng bình điện phân. Khi có một số bình điện phân thì việc định liều lượng cần thực hiện bằng dòng chảy đứt gẫy. Các bể làm việc cần bố trí sao cho dung dịch chất điện phân có thể tự chảy vào bình điện phân, còn dung tích các bể phải bảo đảm cho các bình điện phân làm việc liên tục trong 12h.

6.185. Bể chứa Hypoclorit cần đặt bên ngoài buồng điện phân trong một phòng có hệ thống thông gió Hypoclorit cho vào bể chứa phải bằng tự chảy. Dung tích của bể chứa phải đảm bảo sự làm việc liên tục của bình điện phân từ 8- 16h.

6.186. Đối với các bể hoà trộn, bể tiêu thụ và bể chứa cần phải có ống cấp nước và ống bể, xả cặn và rửa bể.

6.187. Tất cả các bộ phận của thiết bị tiếp xúc với dung dịch muối và Hypoclorit cần phải làm bằng vật liệu chống ăn mòn.

6.188. Thiết bị cung cấp điện cho các bình điện phân phải đặt ở phòng riêng khô ráo và được thông gió.

Bạn phải đăng nhập hoặc đăng ký Thành Viên TVPL Pro để sử dụng được đầy đủ các tiện ích gia tăng liên quan đến nội dung TCVN.

Mọi chi tiết xin liên hệ: ĐT: (028) 3930 3279 DĐ: 0906 22 99 66

Amôniắc phải được bảo quản trong bình hoặc thùng đặt tại kho tiêu thụ. Liều lượng khí amôniắc phải được kiểm tra bằng lưu lượng kế, kiểm tra bổ sung bằng cân bàn, nơi cân vừa là chỗ đặt bình hoặc thùng đựng amôniắc để cho vào nước.

Thiết bị amôniắc hoá được bố trí trong buồng riêng, cách ly với buồng định liều lượng clo và phải được trang bị cơ giới hoá để di chuyển các bình và thùng.

Buồng định liều lượng amôniắc phải được thiết kế theo chỉ dẫn cho ở điều 6.169 và 6.170.

Tất cả các thiết bị của hệ thống amôniắc hóa đều phải sử dụng loại chống nổ.

6.190. Thời gian tiếp xúc của Clo và Hypoclorit với nước từ khi pha trộn đến khi sử dụng không được nhỏ hơn 1 giờ.

Sự tiếp xúc của các hợp chất chứa Clo với nước cần được thực hiện trong bể chứa nước sạch hoặc trong bể tiếp xúc riêng. Khi không phải cấp nước dọc tuyến ống dẫn, cho phép tính thời gian tiếp xúc ở trong đường ống.

6.191. Khi điều kiện cơ sở vật chất kĩ thuật cho phép thì có thể dùng biện pháp khử trùng bằng ôzôn. Liều lượng ôzôn cần thiết để khử trùng nước ngầm lấy bằng 0,75 – 1mg/l, đối với nước mặt – 1- 3mg/l.

6.192. Lượng không khí tính toán trung bình để điều chế 1 kg ôzôn ở điều kiện áp suất bình thường và nhiệt độ 20oC bằng 70- 80m3.

Không khí cần lấy ở vùng không bị nhiễm bẩn và cần đặt thiết bị hút không khí cao hơn mái nhà 4m.

Bạn phải đăng nhập hoặc đăng ký Thành Viên TVPL Pro để sử dụng được đầy đủ các tiện ích gia tăng liên quan đến nội dung TCVN.

Mọi chi tiết xin liên hệ: ĐT: (028) 3930 3279 DĐ: 0906 22 99 66

Để điều chế ôzôn cần có hệ thống vận chuyển không khí, nguồn điện và máy tạo ôzôn.

Trong hệ thống xử lí không khí phải có thiết bị lọc bụi, thiết bị hấp thụ bằng silicazen hoặc keo nhôm để sấy khô không khí và các thiết bị khác để tái sinh các chất hấp phụ. Hệ thống xử lí không khí cần phải vận hành tự động.

6.194. Độ ẩm của không khí sau khi đi qua thiết bị hấp phụ không được lớn hơn 0,05g/m3, tương ứng với điểm nóng 45oC.

Đối với trạm ôzôn có công suất lớn hơn 6kg/h ôzôn thì không khí phải được sấy khô 2 bậc (bậc I làm lạnh nhân tạo không khí bằng thiết bị làm lạnh đến nhiệt độ 7oC và bậc II sấy khô không khí trong thiết bị hấp phụ đến độ ẩm dư 0,05g/m3).

6.195. Khi thiết kế thiết bị cung cấp không khí và hỗn hợp ôzôn- không khí cần phải tính đến tổn thất áp lực trong thiết bị, trong đường ống, trong bể trộn và hệ thống phân phối.

6.196. Lượng điện năng cung cấp cho trạm điều chế ôzôn lấy bằng 30- 40KW/h cho 1kg ôzôn.

6.197. Thiết bị điều chế ôzôn cần đặt trong phòng riêng hoặc trong khối công trình xử lí. Việc điều chế ôzôn phải thực hiện cách xa những chỗ có độ ẩm không khí cao, (tháp làm lạnh, giếng phun và các bể chứa nước hở) trên 200m.

6.198. Máy ôzôn cần bố trí ở buồng riêng được thông với các buồng khác bằng cửa kín. Thiết bị điều chế ôzôn để ôzôn hoá lần thứ nhất và lần thứ 2 (theo yêu cầu) cần được bố trí trong 1 buồng.

6.199. Khi bố trí bể chứa nước ôzôn dưới buồng điều chế ôzôn thì trần và sàn phải được chống thấm khí ẩm.

Bạn phải đăng nhập hoặc đăng ký Thành Viên TVPL Pro để sử dụng được đầy đủ các tiện ích gia tăng liên quan đến nội dung TCVN.

Mọi chi tiết xin liên hệ: ĐT: (028) 3930 3279 DĐ: 0906 22 99 66

6.201. Sự hoà tan hỗn hợp ôzôn không khí với nước phải thực hiện bằng máy khuấy trong cột ống, hoặc bằng cách làm sủi bọt trong bể chứa và trong bể trộn ejectơ.

Khi khử trùng nước bằng ôzôn, nồng độ ôzôn dư trong nước sau ngăn trộn cần phải bằng 0,1- 0,3mg/l.

Xử lí ổn định nước

6.202. Những chỉ dẫn ở mục này áp dụng để xử lí nước cho cấp nước sinh hoạt và sản xuất, không áp dụng đối với nước làm lạnh các thiết bị công nghệ.

Ghi chú:

1- Trong mục này không nghiên cứu phương pháp xử lí ổn định nước cho hệ thống cấp nước nóng và cấp nhiệt.

2- Xử lí nước tuần hoàn để làm lạnh phải thực hiện theo chỉ dẫn ở chương 10.

6.203. Độ ổn định của nước phải đánh giá theo kết quả thu được từ “Phương pháp phân tích công nghệ – xác định độ ổn định của nước”…(phụ lục 9).

6.204. Nếu không có số liệu phân tích công nghệ, có thể xác định độ ổn định để đánh giá chất lượng nước theo chỉ số bão hoà J.

Bạn phải đăng nhập hoặc đăng ký Thành Viên TVPL Pro để sử dụng được đầy đủ các tiện ích gia tăng liên quan đến nội dung TCVN.

Mọi chi tiết xin liên hệ: ĐT: (028) 3930 3279 DĐ: 0906 22 99 66

Trong đó:

pH0 – Độ pH của nước, xác định bằng máy đo pH.

pHs – Độ pH của nước sau khi đã bão hoà cacbonnat đến trạng thái cân bằng tính theo công thức:

pHs = f1(t) – f2(Ca2+) – f3(K) + f4(P) (6-32)

Trong đó: f1(t), f2(Ca2+), f3(K), f4(P) là những trị số phụ thuộc vào nhiệt độ, nồng độ can xi, độ kiềm, tổng hàm lượng muối trong nước, xác định theo đồ thị trên hình 6- 1 sau:

Hình 6-1 Đồ thị để xác định độ pH của nước đã bão hoà can xi cacbonát đến trạng thái cân bằng.

Ghi chú: Để đánh giá tác dụng ăn mòn của nước đối với kết cấu bê tông cốt thép, phải theo tiêu chuẩn về thiết kế bảo vệ chống ăn mòn cho kết cấu xây dựng nhà và công trình.

6.205. Phải xử lí ổn định nước khi chỉ số bão hoà lớn hơn + 0,5 trong 8- 10 tháng trong năm, hoặc khi chỉ số bão hoà âm hơn 8 tháng một năm.

Bạn phải đăng nhập hoặc đăng ký Thành Viên TVPL Pro để sử dụng được đầy đủ các tiện ích gia tăng liên quan đến nội dung TCVN.

Mọi chi tiết xin liên hệ: ĐT: (028) 3930 3279 DĐ: 0906 22 99 66

Độ kiềm của nước sau khi pha phèn K1 (mgdl/l) phải tính theo công thức:

                 (6- 33)

 

Trong đó:

Ko – Độ kiềm của nước nguồn trước khi pha phèn (tính bằng mgdl/l).

Dp – Liều lượng phèn tính theo sản phẩm không ngậm nước (mg/l).

e – Đương lượng của phèn không ngậm nước, lấy theo điều 6.15 (mg/mgđl). Lượng axít cacbonát tự do trong nước sau khi pha phèn tính theo công thức:

                    (6- 34)

Trong đó: (CO2)0– Nồng độ axít cacbonic trong nước nguồn trước khi pha phèn (mg/l).

Bạn phải đăng nhập hoặc đăng ký Thành Viên TVPL Pro để sử dụng được đầy đủ các tiện ích gia tăng liên quan đến nội dung TCVN.

Mọi chi tiết xin liên hệ: ĐT: (028) 3930 3279 DĐ: 0906 22 99 66

6.207. Nếu chỉ số bão hoà dương, để đề phòng lắng cặn canxi cacbonát trong đường ống phải xử lí nước bằng axít sunfuaríc hoặc axít clohydric hay Hexametaphotphat hoặc tripolyphosphát natri. Khi xử lí ổn định bằng phosphat cho nước dùng để ăn uống, lượng hoá chất thừa còn lại không được vượt quá 2,5mg/l. Khi xử lí nước chỉ dùng cho nhu cầu sản xuất, lượng hexameta-phosphat hoặc natri tripolyphosphat, lấy bằng 2-4mg/l.

Lượng axít Dax(mg/l), tính theo sản phẩm thị trường phải tính theo công thức:

Trong đó:

α – Hệ số xác định theo đồ thị ở hình 6- 3;

K- Độ kiềm của nước trước khi xử lý ổn định (mgdl/l);

e1– Đương lượng của axit (mg/mgdl). Đối với axít sunfuric e1 = 49;

(đối với axít clohyđríc el = 36,5);

Dax – Hàm lượng hoạt chất trong axít thị trường (% );

Bạn phải đăng nhập hoặc đăng ký Thành Viên TVPL Pro để sử dụng được đầy đủ các tiện ích gia tăng liên quan đến nội dung TCVN.

Mọi chi tiết xin liên hệ: ĐT: (028) 3930 3279 DĐ: 0906 22 99 66

Lượng kiềm pha thêm vào để đưa nước về trạng thái ổn định (j =0) phải xác định theo một trong những công thức ở bảng 6-21.

Trong đó:

K – Độ kiềm của nước trước khi xử lí ổn định (mgdl/l) .

pHs– Độ pH của nước trước khi xử lí ổn định.

Dk – Liều lượng chất kiềm (mgdlg/l)

Để tính chuyển Dk thành đơn vị trọng lượng sản phẩm kĩ thuật Dk tính bằng (mg/l) phải dùng công thức:

            (6-36)

Trong đó:

Bạn phải đăng nhập hoặc đăng ký Thành Viên TVPL Pro để sử dụng được đầy đủ các tiện ích gia tăng liên quan đến nội dung TCVN.

Mọi chi tiết xin liên hệ: ĐT: (028) 3930 3279 DĐ: 0906 22 99 66

Ck – Hàm lượng hoạt chất trong sản phẩm kĩ thuật (%). Liều lượng sô đa tính theo Na2CO3 (mg/l) phải lấy bằng 3- 3,5 lần lớn hơn liều lượng vôi tính theo CaO (mg/l).

Bảng 6-21

Đặc điểm nước

Công thức để xác định liều lượng kiềm

J < 0 , pH0 < pHs < 8,4

J < 0; pH0 < 8,4 < pHs

DK=β.K ở đây β- theo đồ thị hình 6-4

DK=(X++X. )K

ở đây X và  – theo đồ thị hình 6-5.

Bạn phải đăng nhập hoặc đăng ký Thành Viên TVPL Pro để sử dụng được đầy đủ các tiện ích gia tăng liên quan đến nội dung TCVN.

Mọi chi tiết xin liên hệ: ĐT: (028) 3930 3279 DĐ: 0906 22 99 66

Ghi chú: Được phép cho kiềm vào trước bể trộn và trước bể lọc trong những trường hợp không làm xấu hiệu quả làm sạch nước (nói riêng và giảm độ mầu).

6.210. Để xử lí ổn định nước, phải dùng vôi và sôđa.

Nếu liều lượng DK tính theo công thức của bảng 6-21 lớn hơn DK(mgdl/l) tính theo công thức:

                     (6-37)

thì ngoài vôi với hàm lượng dK ,(mgdl/l), phải cho thêm sôđa một lượng Dx tính theo công thức:

Dx = (DK– dK).100.(mg/l) (6- 38)

6.211. Việc khử axít cacbonic để ổn định nước phải thực hiện trên dàn khử khí xếp gỗ hoặc vòng Rasiga. Độ pH của nước trên dàn khử phải xác định theo đồ thị hình 6-2. Đồng thời độ kiềm của nước phải lấy bằng độ kiềm của nước nguồn có chứa CO2 bằng 8- 10mg/l.

Cường độ tưới trên dàn khử khí xếp gỗ phải lấy bằng 40m3/m2 giờ. Lưu lượng không khí 20m3 Cho 1m3 nước. Khi nước có chứa trên lmg/l cát thì không được dùng vòng Rasiga.

Bạn phải đăng nhập hoặc đăng ký Thành Viên TVPL Pro để sử dụng được đầy đủ các tiện ích gia tăng liên quan đến nội dung TCVN.

Mọi chi tiết xin liên hệ: ĐT: (028) 3930 3279 DĐ: 0906 22 99 66

Flo hoá nước

6.213. Cần phải pha thêm Flo vào nước cấp cho nhu cầu sinh hoạt và ăn uống trong trường hợp khi hàm lượng Flo trong nước cấp thấp hơn 0,5mg/l. Cho hoá chất chứa Flo nước trước bể lọc, bể lọc tiếp xúc hay là cho vào sau các công trình xử lí chung trước khi sát trùng. Sự cần thiết phải cho thêm Flo vào nước trong mỗi trường hợp cụ thể do cơ quan vệ sinh phòng bệnh quyết định.

6.214. Để Flo hoá nước có thể dùng các hoá chất sau: Silic Florua Natri, Florua Natri, Silic Florua amôni.

6.215. Liều lượng hoá chất Df (g/m3) xác định theo công thức:

                     (6-39)

Trong đó:

m: Là hệ số phụ thuộc vào chỗ đưa Flo vào nước xử lí. Khi đưa Flo vào sau các công trình làm sạch m = 1 khi cho Flo vào trước bể lọc hay bể lọc tiếp xúc m = 1,1.

a: Hàm lượng cần thiết của Flo trong nước xử lí g/m3 phụ thuộc vào điều kiện khí hậu và thay đổi theo mùa lấy từ 0,7- 1,2g/m3 (Giá trị nhỏ lấy cho mùa hè và vùng khí hậu nóng)

K- Hàm lượng Flo trong hoá chất tinh khiết tính bằng % đối với Silic florua natri

Bạn phải đăng nhập hoặc đăng ký Thành Viên TVPL Pro để sử dụng được đầy đủ các tiện ích gia tăng liên quan đến nội dung TCVN.

Mọi chi tiết xin liên hệ: ĐT: (028) 3930 3279 DĐ: 0906 22 99 66

F : Hàm lượng flo trong nước nguồn g/m3

Cr: Hàm lượng hoá chất tinh khiết trong sản phẩm kĩ thuật %.

6.216. Khi dùng Silic Florua Natri cần áp dụng sơ đồ công nghệ pha dung dịch không bão hoà của hoá chất trong các thùng tiêu thụ hay dung dịch hoá chất bão hoà… trong các thiết bị hoà tan bão hoà.

Khi dùng Florua Natri hay Silic florua amôni cần áp dụng sơ đồ công nghệ pha dung dịch bão hoà trong các thùng tiêu thụ.

Ghi chú: Cho phép dùng sơ đồ công nghệ định lượng hoá chất khô.

6.217. Công suất của thiết bị hoà tan bão hoà qc tính bằng 1/h (theo dung dịch bão hoà của hoá chất) xác định theo công thức:

Trong đó:

Q- Lưu lượng nước xử lí m3/h n- Số thiết bị hoà tan bão hoà

Bạn phải đăng nhập hoặc đăng ký Thành Viên TVPL Pro để sử dụng được đầy đủ các tiện ích gia tăng liên quan đến nội dung TCVN.

Mọi chi tiết xin liên hệ: ĐT: (028) 3930 3279 DĐ: 0906 22 99 66

6.218. Nồng độ dung dịch hoá chất khi pha thành dung dịch bão hoà trong thùng tiêu thụ lấy:

– Đối với Silic florua natri 2,5%

– Đối với Silic rlorua amôni 7%

Dùng khuấy cơ khí hay không khí nén để khuấy trộn dung dịch. Cường độ không khí nén lấy bằng 8- 10 1/s-m2.

Tính toán thùng tiêu thụ theo chỉ dẫn của các điều 6.21 và 6.24.

6.219. Dung dịch hoá chất chứa Flo phải để lắng 2 giờ trước khi đem dùng.

6.220. Khi dùng Silic florua natri và Silic florua amôni cần có biện pháp chống gỉ cho thùng, đường ống dẫn và thiết bị định lượng.

6.221. Phải bảo quản hoá chất chứa Flo trong các xitéc chế tạo tại nhà máy và đặt các xitéc vào kho. Tính toán kho và số lượng xitéc phải theo chỉ dẫn ở điều 6.340.

6.222. Nhà đặt thiết bị định lượng Flo và kho để hoá chất chứa Flo phải được cách ly với các nhà sản xuất khác. Những chỗ có khả năng gây bụi phải đặt các bơm hút không khí cục bộ.

Bạn phải đăng nhập hoặc đăng ký Thành Viên TVPL Pro để sử dụng được đầy đủ các tiện ích gia tăng liên quan đến nội dung TCVN.

Mọi chi tiết xin liên hệ: ĐT: (028) 3930 3279 DĐ: 0906 22 99 66

Khử Flo của nước

6.224. Khi dùng phương pháp lọc nước qua ôxít nhôm hoạt tính để khử Flo thì hàm lượng cặn của nước trước khi đi vào bể lọc không được quá 8mg/l và tổng hàm lượng muối không được lớn hơn 1000mg/l.

6.225. Chọn vật liệu hấp phụ là các hạt có đường kính 2- 3mm, trọng lượng thể tích 0,5 tấn/m3.

6.226. Chiều cao lớp vật liệu hấp phụ trong bể lọc áp lực lấy như sau: Khi hàm lượng Flo trong nước đến 5mg/l lấy 2m, từ 8- 10mg/l lấy 3m. Trong bể lọc hở lấy 2m khi hàm lượng Flo trong nước đến 5mg/l và 2,5m khi hàm lượng Flo trong nước 8- 10mg/l.

6.227. Chiều cao bể lọc áp lực được xác định bằng cách cộng chiều cao lớp vật liệu hấp phụ với khoảng không gian tự do trên bề mặt lớp này. Chiều cao khoảng không gian tự do lấy không nhỏ hơn 60% chiều dày lớp hấp phụ.

6.228. Trong các bể lọc, dùng hệ thống phân phối nước rửa và thu nước lọc bằng dàn ống làm từ vật liệu không gỉ hoặc dùng các chụp lọc có khe. Khi dùng hệ thống phân phối có khe (ống hay chụp lọc) phải để dưới lớp hấp phụ một lớp cát thạch anh chiều dày 150mm đường kính hạt 2- 4mm.

6.229. Tốc độ lọc bình thường lấy không lớn hơn 6m/h tốc độ lọc khí làm việc tăng cường không lớn hơn 8m/h.

6.230. Bể lọc làm việc trong thời gian đầu cho nước lọc có hàm lượng Flo từ 0,1- 0,3mg/l sau đó hàm lượng Flo trong nước lọc nâng cao dần.

6.231. Phải ngừng bể lọc để hoàn nguyên khi hàm lượng Flo trong nước đã lọc qua bể là lớn nhất làm cho hàm lượng Flo trong ống góp chung dẫn đi cho người tiêu thụ lên đến 1mg/l.

Bạn phải đăng nhập hoặc đăng ký Thành Viên TVPL Pro để sử dụng được đầy đủ các tiện ích gia tăng liên quan đến nội dung TCVN.

Mọi chi tiết xin liên hệ: ĐT: (028) 3930 3279 DĐ: 0906 22 99 66

Trong đó:

F- Diện tích bể lọc m2

H- Chiều cao lớp hấp phụ m

K- Dung tích hấp phụ của vật liệu hấp phụ tính theo Flo lấy bằng 900- 1000 g/m3.

Co – Hàm lượng Flo trong nước nguồn g/m3.

Ck – Hàm lượng Flo trong nước đã lọc ở cuối chu kì lọc lấy bằng 1,5g/m3.

6.232. Trước khi hoàn nguyên phải xối lớp vật liệu hấp phụ bằng nước với cường độ 4- 6 1/s m2 thời gian xối 15-20 phút

6.233. Hoàn nguyên vật liệu hấp phụ bằng dung dịch sunfát ôxít nhôm nồng độ – 1- 1,5%

Bạn phải đăng nhập hoặc đăng ký Thành Viên TVPL Pro để sử dụng được đầy đủ các tiện ích gia tăng liên quan đến nội dung TCVN.

Mọi chi tiết xin liên hệ: ĐT: (028) 3930 3279 DĐ: 0906 22 99 66

Ghi chú: 70-80% thể tích đầu tiên của dung dịch hoàn nguyên xả bỏ đi, phần thể tích cuối (gần 25% thể tích dung dịch hoàn nguyên) được sử dụng lại để hoàn nguyên vật liệu hấp phụ: Trong trường hợp này bắt đầu hoàn nguyên bằng dung dịch thu hồi lại.

6.234. Lượng tiêu thụ sunfát ôxít nhôm tính theo Al2(SO4)3 lấy 40- 50 gam cho 1 gam Flo được khử ra khỏi nước.

6.235. Sau khi hoàn nguyên phải rửa lớp vật liệu hấp phụ bằng dòng nước đi từ dưới lên trên với cường độ 4- 51/s.m2. Lượng nước tiêu thụ rửa lớp vật liệu hấp phụ 10m3 cho 1m3 vật liệu hấp phụ.

Khử sắt và Mn

6.236. Phải khử sắt trong nước cấp cho nhu cầu sinh hoạt và ăn uống khi hàm lượng sắt trong nước nguồn lớn hơn 0,3mg/l và khử Mn khi hàm lượng lớn hơn 0,2mg/l

Ghi chú:

1- Trong trường hợp đặc biệt có sự thoả thuận với cơ quan vệ sinh phòng dịch khi hàm lượng sắt trong nguồn nước ngầm đến 1mg/l có thể không cần khử sắt.

Mức độ cần thiết phải khử sắt trong nước cấp cho các nhu cầu kĩ thuật phải do yêu cầu về chất lượng nước của từng loại của sản xuất quy định.

2- Phương pháp khử Mn xem phụ lục.

Bạn phải đăng nhập hoặc đăng ký Thành Viên TVPL Pro để sử dụng được đầy đủ các tiện ích gia tăng liên quan đến nội dung TCVN.

Mọi chi tiết xin liên hệ: ĐT: (028) 3930 3279 DĐ: 0906 22 99 66

6.238. Việc chọn các phương pháp khử sắt nước ngầm, chọn các thông số tính toán và liều lượng các hoá chất phải được tiến hành trên cơ sở kết quả nghiên cứu công nghệ thực hiện trực tiếp tại nguồn cấp nước.

6.239. Có thể khử sắt trong nước ngầm bằng cách lọc nước qua bể lọc cationit, trong trường hợp này phải đảm bảo không để lọt ôxi và các chất ôxi hoá khác vào trong nước trước khi đưa nó vào bể lọc cationit. Bể lọc cationit giảm hàm lượng sắt trong nước đến 0,5mg/l với điều kiện nếu như tất cả sắt có trong nước đều tồn tại ở dạng ion hoá trị 2 và phải chú ý rằng bể lọc cationít không khử được sắt tồn tại dưới dạng keo hyđrôxit sắt và hợp chất sắt hữu cơ.

6.240. Có thể áp dụng một trong các phương pháp sau đây để khử sắt:

a) Làm thoáng đơn giản rồi lọc trong (chỉ cần lấy ôxi của không khí vào nước để ôxi hoá sắt, không cần khử CO2 để nâng pH của nước ).

b) Làm thoáng lấy ôxi và khử CO2 để nâng pH của nước lắng hoặc lọc tiếp xúc, lọc trong.

c) Làm thoáng để lấy ôxi và khử CO2 sau đó lọc qua bể lọc tiếp xúc có lớp vật liệu lọc là cát đen (cát có phủ màng điôxít mangan) hay hạt piroluzit rồi lọc trong.

d) Kiềm hoá nước bằng vôi kết hợp với làm thoáng, lắng rồi lọc trong.

e) Keo tụ bằng phèn (có Clo hoá trước để phá vỡ các hợp chất sắt hữu cơ hoặc không) lắng trong rồi lọc.

f) Lọc qua bể lọc cationit. Dùng phương pháp kiềm hoá bằng vôi và phương pháp lọc qua bể lọc cationit có lợi khi để đồng thời với việc khử sắt phải làm mềm nước.

Bạn phải đăng nhập hoặc đăng ký Thành Viên TVPL Pro để sử dụng được đầy đủ các tiện ích gia tăng liên quan đến nội dung TCVN.

Mọi chi tiết xin liên hệ: ĐT: (028) 3930 3279 DĐ: 0906 22 99 66

a) Công suất hữu ích của trạm m3/ngày đêm

b) Yêu cầu đối với chất lượng nước sau khi khử sắt.

c) Bảng phân tích hoá học nước cần xử lí phải có đủ các chỉ tiêu sau: l- độ đục, 2 -độ mầu, 3 – độ cứng toàn phần và độ cứng cacbonat, 4 – độ kiềm, 5 – pH, 6 – độ ôxi hoá, 7 – tổng hàm lượng sắt và hàm lượng ion sắt hoá trị hai, sắt hoá trị ba, 8 – hàm lượng ion Clorua và sunphát.

d) Kết quả khử sắt tại chỗ bằng các phương pháp ghi ở điều 6.249.

6.242. Nếu khi thí nghiệm khử sắt theo các điểm a, b, c ghi trong mục 6.249 mà không đạt thì việc chọn phương pháp khử sắt phải được tiến hành bằng cách so sánh giá thành giữa các phương pháp khử sắt với nhau ( kiềm hoá, keo tụ, Clo hoá cationit) để chọn phương pháp kinh tế nhất.

6.243. Khi thiếu tài liệu về kết quả thí nghiệm khử sắt tại chỗ để chọn phương pháp khử sắt cho giai đoạn lập luận chứng kinh tế kĩ thuật có thể dựa vào các chỉ tiêu sau:

– Nước ngầm có hàm lượng sắt hoá trị hai không lớn hơn 15mg/l nếu độ mầu của nước đo trực tiếp khi bơm nước ra khỏi giếng không vượt quá 150, độ ôxi hoá không vượt quá [0,15(Fe2+)5] mg/l O2 (Fe2+ hàm lượng sắt hoá trị hai trong nước tính bằng mg/l) lượng NH4< 1mg/l.

N0S ≤ 0,5mg/1, tổng hàm lượng sắt không vượt quá hàm lượng của ion sắt hoá trị 2 và sắt hoá trị 3 đến 0,3mg/l. pH của nước sau khử sắt ≥ 6,8. Độ kiềm nước lớn hơn (1 +) mgdl/l thì dùng phương pháp làm thoáng đơn giản.

6.244. Nếu độ kiềm trong nguồn nước ngầm lớn hơn trị số giới hạn  +1mgdl/l còn pH của nước sau khi thuỷ phân sắt có trị số < 6,8 thì áp dụng phương pháp làm thoáng khử khí CO2 đó tăng pH của nước ngầm.

Bạn phải đăng nhập hoặc đăng ký Thành Viên TVPL Pro để sử dụng được đầy đủ các tiện ích gia tăng liên quan đến nội dung TCVN.

Mọi chi tiết xin liên hệ: ĐT: (028) 3930 3279 DĐ: 0906 22 99 66

– Khi làm thoáng trên các dàn tiếp xúc tự nhiên có thể khử được 75- 80% lượng CO2 có trong nước, nhưng lượng CO2 còn lại trong nước sau dàn tiếp xúc không thấp hơn 5- 6mg/l.

– Khi làm thoáng bằng cách phun trực tiếp trên mặt nước (chiều cao phun không thấp hơn lm cường độ tưới không lớn hơn 10m3/m2h. Có thể khử được 30- 35% lượng CO2 có trong nước.

6.245. Tính toán trị số pH của nước sau khi làm thoáng và thuỷ phân sắt tiến hành như sau: Theo trị số độ kiềm và pH đã biết của nước ( ghi trong bảng phân tích ) tra biểu đồ hình (6- 6) để tìm hàm lượng CO2 tự do trong nước nguồn trước khi làm thoáng. Sau đó cộng thêm vào lượng CO2 tự do này một lượng CO2 bổ sung do thuỷ phân sắt tạo ra, cứ lmg/l sắt bị thuỷ phân tạo ra 1,6mg/l CO2 và làm giảm độ kiềm của nước xuống một lượng bằng: 0,036 mgdl/l.

Khi tính được hàm lượng mới của CO2 và độ kiềm của nước, theo biểu đồ tìm trị số pH của nước sau khi thuỷ phân sắt. Nếu pH của nước sau thuỷ phân t 6,8 và độ kiềm còn lại t lmgdl/l thì áp dụng phương pháp làm thoáng đơn giản

– Nếu làm thoáng đơn giản không được mà sau khi trừ đi 80% lượng CO2 tìm được trị số pH sau làm thoáng > 6,8 độ kiềm mgdl/l thì áp dụng biện pháp làm thoáng trên các dàn tiếp xúc tự nhiên để khử CO2.

– Nếu làm thoáng trên các dàn tiếp xúc tự nhiên không đạt mà sau khi trừ đi 90% lượng CO2 thì pH ≥ 6,8 độ kiềm 1 mgdl/l thì áp dụng biện pháp làm thoáng cưỡng bức dùng quạt gió. Diện tích tiếp xúc cần thiết trong các dàn làm thoáng xác định bằng tính toán theo nguyên tắc khử khí CO2 trong nước.

6.246. Nếu các chỉ tiêu chất lượng nước nguồn ghi ở điều 6.252 đảm bảo nhưng pH của nước sau khi làm thoáng khử CO2 có trị số vẫn < 6,8 độ kiềm giảm xuống còn < 1mgdl/l thì trước bể lọc trong phải dự kiến cho nước qua bể lọc tiếp xúc bên trong có chất lớp vật liệu lọc là chất xúc tác khử sắt: cát đen (cát phủ một lớp ôxit mangan) hay các hạt quặng Piroluzit tự nhiên, sau đó qua bể lọc trong.

6.247. Khi các biện pháp làm thoáng không đạt kết quả phải áp dụng biện pháp dùng hoá chất để khử sắt.

a) Dùng các chất ôxy hoá mạnh: Clo để khử 1 mg/l sắt tiêu thụ 0,70 mg Clo và độ kiềm giảm 0,018 mgdl/l hoặc dùng KMnO4 lmg/l sắt cần khử tiêu thụ lmg/lKMnO4

Bạn phải đăng nhập hoặc đăng ký Thành Viên TVPL Pro để sử dụng được đầy đủ các tiện ích gia tăng liên quan đến nội dung TCVN.

Mọi chi tiết xin liên hệ: ĐT: (028) 3930 3279 DĐ: 0906 22 99 66

Trong đó: Fe2+ lượng sắt hoá trị hai trong nước ngầm mg/l- CO2 hàm lượng CO2 tự do trong nước nguồn mg/l.

6.248. Thành phần các công trình khử sắt bằng phương pháp làm thoáng bao gồm:

1- Công trình làm thoáng (làm thoáng đơn giản, làm thoáng tự nhiên trên các dàn tiếp xúc, làm thoáng cưỡng bức trên các thùng có quạt gió)

2- Bể lắng hay bể lọc tiếp xúc.

3- Bể lọc trong.

Các thống số tính toán công trình làm thoáng như sau:

a) Làm thoáng đơn giản: Có thể phun nước trực tiếp trên mặt bể lọc, cường độ tưới không lớn hơn 10m3/m2h. Chiều cao tính từ mực nước đến lỗ dàn ống phun không ít hơn 0,6m hoặc có thể cho nước tràn qua máng dẫn vào bể lọc. Chiều cao tràn từ mực nước hạ lưu đến đỉnh tràn không ít hơn 0,5-0,6m.

Cường độ tràn 10m3 /lm dài của mép mương. Khi dùng bể lọc áp lực phải đưa không khí vào trước bể lọc tiếp xúc hay trước bể lọc bằng bơm nén khí hay Ejectơ. Lượng không khí cần đưa vào nước lấy 2 lít cho 1 gam sắt cần khử sau chỗ đưa không khí vào phải đặt bể trộn để trộn đều không khí với nước, bể trộn làm hình trụ hay hình cầu, trong đặt các vách ngăn để thay đổi hướng chuyển động của hỗn hợp nước – khí. Bể trộn có thể tích để nước lưu lại trong đó không dưới 01 phút.

Bạn phải đăng nhập hoặc đăng ký Thành Viên TVPL Pro để sử dụng được đầy đủ các tiện ích gia tăng liên quan đến nội dung TCVN.

Mọi chi tiết xin liên hệ: ĐT: (028) 3930 3279 DĐ: 0906 22 99 66

Vật liệu tiếp xúc đổ thành lớp có chiều cao 30-40cm. Lớp nọ cách lớp kia 0,8m.

Số lớp vật liệu tiếp xúc do đó là chiều cao dàn mưa lấy theo tính toán từ yêu cầu khử khí CO2 trong nước cường độ mưa 10- 15m3/m2h.

Dàn mưa gồm: máng phân phối: là các máng răng cưa, khoảng cách trục các máng nhánh 30cm, khoảng cách trục các răng cưa 35mm, chiều sâu răng cưa 25mm. Nếu dùng sàn phân phối bằng tôn thì lỗ khoan có đường kính 5mm, số lỗ theo tính toán để lớp nước trên sàn dầy từ 5- 7cm, đảm bảo phân phối đều toàn diện tích. Nếu dùng dàn ống, thì lỗ khoan trên ống thường từ 5- 10mm. Tính toán dàn ống như tính bệ ống phân phối nước rửa trong bể lọc; sào tung nước đặt dưới máng phân phối 0,6m làm bằng ván gỗ rộng 20cm đặt cách nhau 10cm hay bằng nửa cây tre xếp cách mép nhau 5cm; Dưới sàn tung nước là các sàn đổ lớp tiếp xúc khử khí, cuối cùng là sàn thu nước bằng bê tông. Thiết bị dàn mưa gồm ống dẫn nước lên máng phân phối, vận tốc 0,8- 1,2m/s ống đưa nước từ sàn tung nước xuống bể lắng tiếp xúc với vận tốc l = 1,5m/s, ống dẫn nước sạch để cọ rửa D=50mm, ống xả cặn D = 100- 200mm.

c) Thùng quạt gió: Vật liệu tiếp xúc bên trong hoặc dùng ván gỗ rộng 200mm dày10mm đặt cách nhau 50mm thành một lớp, lớp nọ xếp vuông góc với lớp kia và cách nhau bằng các sườn đỡ là thanh gỗ tiết diện 50 x 50mm, hoặc dùng nửa cây tre, xếp lớp nọ vuông góc với lớp kia và mép các thân tre cách nhau 50mm.

Khối lượng vật liệu tiếp xúc xác định theo tính toán và yêu cầu khử khí CO2.

– Chiều cao thùng quạt gió sơ bộ có thể lấy theo một độ kiềm như sau: độ kiềm trong nước nguồn 2mgdl/l          H= 1,5m

2-4 –  H=2,0m

4-6 –                  H=2,5m

6-8 –                  H=3,0m

Bạn phải đăng nhập hoặc đăng ký Thành Viên TVPL Pro để sử dụng được đầy đủ các tiện ích gia tăng liên quan đến nội dung TCVN.

Mọi chi tiết xin liên hệ: ĐT: (028) 3930 3279 DĐ: 0906 22 99 66

Lượng không khí thổi vào lấy 10m3 cho lm3 nước, áp lực máy gió sơ bộ lấy từ 100- 150mm cột nước.

Trang bị cho thùng quạt gió gồm ống dẫn nước lên dàn ống phân phối, ống dẫn nước xuống bể lắng tiếp xúc, ống gió, ống xả cặn khi cọ rửa lớp vật liệu tiếp xúc.

– Dàn ống phân phối dùng hệ phân phối trở lực lớn.

– Chiều cao tính từ đỉnh lớp vật liệu đến tia lỗ hệ ống phân phối lấy không ít hơn 0,8m, dưới sàn đổ lớp vật liệu tiếp xúc là ngăn tập trung nước để dẫn xuống bể lắng tiếp xúc trong ngăn này đặt miệng ống cấp gió, ống đưa nước xuống bể lắng và ống xả cặn, chiều cao ngăn này lấy phụ thuộc vào đường kính ống gió, nhưng không bé hơn 0,5m.

6.249. Thể tích bể lắng tiếp xúc để hoàn thành quá trình ôxy hoá và thuỷ phân sắt trong nước sau khi đã qua dàn làm thoáng phụ thuộc vào pH của nước sau làm thoáng, lấy theo bảng 6 – 22.

Bảng 6-22

pH

6,5

6,6

Bạn phải đăng nhập hoặc đăng ký Thành Viên TVPL Pro để sử dụng được đầy đủ các tiện ích gia tăng liên quan đến nội dung TCVN.

Mọi chi tiết xin liên hệ: ĐT: (028) 3930 3279 DĐ: 0906 22 99 66

6,8

6,9

7,0

7,5

8

Thời gian tiếp xúc cần thiết (phút)

60

45

30

Bạn phải đăng nhập hoặc đăng ký Thành Viên TVPL Pro để sử dụng được đầy đủ các tiện ích gia tăng liên quan đến nội dung TCVN.

Mọi chi tiết xin liên hệ: ĐT: (028) 3930 3279 DĐ: 0906 22 99 66

20

15

10

5

Trong bể lắng tiếp xúc cần cấu tạo các vách ngăn hướng dòng để đảm bảo sử dụng được toàn bộ thể tích không tạo thành vùng nước chết trong bể.

6.250. Thay cho bể lắng tiếp xúc trong sơ đồ dùng máy nén khí ejectơ thu khí và bể lọc áp lực có thể đặt bể lọc tiếp xúc.

Diện tích lọc tiếp xúc xác định theo công thức:

                           (6- 43)

Trong đó:

Bạn phải đăng nhập hoặc đăng ký Thành Viên TVPL Pro để sử dụng được đầy đủ các tiện ích gia tăng liên quan đến nội dung TCVN.

Mọi chi tiết xin liên hệ: ĐT: (028) 3930 3279 DĐ: 0906 22 99 66

20 – Tốc độ lọc tiếp xúc 20m/h.

6.251. Trong trường hợp nước sau khi làm thoáng có trị số pH < 6,8 độ kiềm < 1 mgdl/l mà kiềm hoá nước bằng vôi khó khăn và không kinh tế, thì trước khi vào bể lọc trong phải cho nước qua bể lọc tiếp xúc có chất cát đen cỡ hạt 1- 3mm.

Quá trình cấy lớp bọc ôxít mangan lên bề mặt cát xem phụ lục II.

6.252. Bể lọc tiếp xúc (hở hay áp lực) chất cát thạch anh hay cát đen, cỡ hạt 1,5 – 2mm. Chiều dày lớp vật liệu lọc 2,5m. Dùng hệ thống phân phối trở lực bể có lớp sỏi đệm. Rửa bể lọc tiếp xúc bằng dòng nước đi từ dưới lên cường độ 201/s- m2 trước đó sục không khí nén cường độ 25/1s- m2. Khi tính toán chu kì rửa bể lọc tiếp xúc lấy độ chứa bẩn của lớp vật liệu là 5kg Fe(OH)3 cho 1m3 Cát.

6.253. Kết cấu bể lọc để khử sắt tương tự như bể lọc để làm trong và khử mầu nước. Đặc tính lớp vật liệu lọc và tốc độ lọc khi làm thoáng để khử CO2 và khi khử sắt bằng hoá chất chọn theo bảng 6- 12 điều 6.105. Khi làm thoáng đơn giản thì tốc độ lọc và đặc tính lớp vật liệu lọc chọn theo bảng 6 – 23.

Bảng 6-23

Đặc tính lớp vật liệu lọc khi dùng phương pháp làm thoáng đơn giản

Tốc độ lọc tính toán m/h

Đường kính tối thiểu (mm)

Bạn phải đăng nhập hoặc đăng ký Thành Viên TVPL Pro để sử dụng được đầy đủ các tiện ích gia tăng liên quan đến nội dung TCVN.

Mọi chi tiết xin liên hệ: ĐT: (028) 3930 3279 DĐ: 0906 22 99 66

Đường kính tương đương (mm)

Hệ số không đều

Chiều cao lớp cát lọc (mm)

Khi hoạt động bình thường

Khi làm việc tăng cường

0,8

1,0

1,8

2

Bạn phải đăng nhập hoặc đăng ký Thành Viên TVPL Pro để sử dụng được đầy đủ các tiện ích gia tăng liên quan đến nội dung TCVN.

Mọi chi tiết xin liên hệ: ĐT: (028) 3930 3279 DĐ: 0906 22 99 66

1,2 – 1,3

1,5 – 2

1,5 – 2

1000

1200

7

10

10

12

Bạn phải đăng nhập hoặc đăng ký Thành Viên TVPL Pro để sử dụng được đầy đủ các tiện ích gia tăng liên quan đến nội dung TCVN.

Mọi chi tiết xin liên hệ: ĐT: (028) 3930 3279 DĐ: 0906 22 99 66

6.255. Thành phần công trình của trạm khử sắt dùng hoá chất như sau:

1- Thiết bị để pha dung dịch lượng hoá chất .

2- Công trình làm thoáng và trộn hóa chất với nước.

3- Bể lắng.

4- Bể lọc.

6.256. Chọn hoá chất và liều lượng của chúng để khử sắt phải dựa trên kết quả thí nghiệm khử sắt tại chỗ. Bộ phận hoà tan và định lượng hoá chất được thiết kế như đối với các trạm làm trong và khử mầu.

6.257. Nếu cần khử sắt trong các nguồn nước mặt (sông, hồ v.v…) thì áp dụng quy trình dùng hoá chất. Khi thiết kế nhà hoá chất phải dự kiến khả năng cho vào nước những hóa chất sau:

1) Phèn nhôm liều lượng tính theo Al2(SO4)3 lấy phù hợp với các chỉ dẫn ở điều 6.11 tuỳ thuộc vào độ mầu và độ đục của nước nguồn .

2) Vôi (CaO) liều lượng vôi Dv mg/l tính theo CaO xác định bằng công thức:

Bạn phải đăng nhập hoặc đăng ký Thành Viên TVPL Pro để sử dụng được đầy đủ các tiện ích gia tăng liên quan đến nội dung TCVN.

Mọi chi tiết xin liên hệ: ĐT: (028) 3930 3279 DĐ: 0906 22 99 66

Trong đó:

CO2: Hàm lượng CO2 tự do trong nước nguồn mg/l

Fe2+ – hàm lượng lớn Fe hoá trị hai trong nước nguồn mg/l.

Dp: Liều lượng phèn mg/l (tính theo sản phẩm khô)

e1: Trọng lượng tương đương của phèn (không ngậm nước) mg/l.

3) Clo hay Clorua vôi (CaCl2)

Liều lượng Clo hay Clorua vôi (tính theo Clo hoạt tính) xác định theo công thức:

Ccl = 2,25 [O2]                       (6-45)

[O2] Độ ôxy hoá của nước nguồn mg/l

Bạn phải đăng nhập hoặc đăng ký Thành Viên TVPL Pro để sử dụng được đầy đủ các tiện ích gia tăng liên quan đến nội dung TCVN.

Mọi chi tiết xin liên hệ: ĐT: (028) 3930 3279 DĐ: 0906 22 99 66

6.258. Trạm để khử sắt bằng Cationit gồm bể lọc Cationit có vật liệu lọc là Sunfuacacbon.

Để tránh làm tăng hàm lượng sắt trong nước sau bể lắng và bể lọc phải được phủ một lớp chống gỉ. Hệ thống thu và phân phối làm bằng chất dẻo.

6.259. Tốc độ lọc trong bể cationit lấy bằng 25m/h, chiều dày lớp sunfua cacbon 2,5m. Tần số hoàn nguyên bể lọc xác định bằng độ cứng của nước cần làm mềm và khử sắt.

6.260. Hoàn nguyên bể lọc Cationit bằng dung dịch NaCI nồng độ 5%. Cần phải dự tính từng thời kì (sau 15-20 lần hoàn nguyên) rửa bể lọc Cationit bằng dung dịch axít trước khi hoàn nguyên bằng muối ăn.

Làm mềm nước

6.261. Để làm mềm nước cần dùng các phương pháp sau:

Để khử độ cứng cachonát-dùng vôi

Để khử độ Cứng Cacbonát và không cacbonát dùng phương pháp làm mềm bằng vôi xôđa. Làm mềm bằng Natri cationit hay Hyđrô Natri cationit.

Ghi chú: Trong chương này không nghiên cứu việc xử lí nước cấp cho nồi hơi .

Bạn phải đăng nhập hoặc đăng ký Thành Viên TVPL Pro để sử dụng được đầy đủ các tiện ích gia tăng liên quan đến nội dung TCVN.

Mọi chi tiết xin liên hệ: ĐT: (028) 3930 3279 DĐ: 0906 22 99 66

6.263. Để cấp cho nhu cầu sinh hoạt ăn uống, lượng nước cần làm mềm qm tính bằng phần trăm so với tổng lượng nước xác định theo công thức:

Trong đó:

Ctn – Độ cứng toàn phần của nước nguồn (mgdl/l )

Ctl – Độ cứng toàn phần của nước đưa vào mạng lưới ( mgdl/l).

Cm – Độ cứng của phần nước đã được làm mềm (mgdl/l)

Khử độ cứng cácbonát và làm mềm nước bằng vôi xôđa

6.264. Trong thành phần công trình để thử độ cứng cacbonat và mềm bằng vôi xôđa phải bao gồm: nhà hoá chất, bể trộn, bể lắng, bể lọc và các thiết bị để xử lí ổn định nước.

6.265. Khi khử độ cứng cacbonát, độ cứng còn lại của nước có thể lớn hơn độ cứng không cacbonát là 0,4- 0,8mgdl/l còn độ kiềm từ 0,8- 1,2mgdl/l. Khi làm mềm bằng vôi xôđa độ cứng còn lại dưới 0,5 lmgdl/l và độ kiềm 0,8- 1,2 mgdl/l.

Bạn phải đăng nhập hoặc đăng ký Thành Viên TVPL Pro để sử dụng được đầy đủ các tiện ích gia tăng liên quan đến nội dung TCVN.

Mọi chi tiết xin liên hệ: ĐT: (028) 3930 3279 DĐ: 0906 22 99 66

6.267. Để khử độ cứng cacbonát liều lượng vôi Dv tính theo CaO cần xác định theo công thức:

a) Khi tỉ số giữa nồng độ canxi và độ cứng cacbonát trong nước > Cc

             (6- 47)

b) Khi tỉ số giữa nồng độ canxi và độ cứng cacbonát trong nước < Cc

Trong đó:

(CO2) – Là nồng độ axit cacbonic tự do trong nước tính bằng mg/l.

(Ca2+) – Hàm lượng của Canxi trong nước mg/l

Cc – Độ cứng cacbonát của nước mgdl/l

Bạn phải đăng nhập hoặc đăng ký Thành Viên TVPL Pro để sử dụng được đầy đủ các tiện ích gia tăng liên quan đến nội dung TCVN.

Mọi chi tiết xin liên hệ: ĐT: (028) 3930 3279 DĐ: 0906 22 99 66

ek – Đương lượng của hoạt chất trong các chất keo từ đối với FeCl3 – 54 , FeSO4– 76.

6.268. Liều lượng vôi và xôđa khi làm mềm bằng vôi xôđa cần xác định theo công thức: Liều lượng vôi tính bằng mg/l ( Tính theo CaO)

Liều lượng xôđa tính bằng mg/l ( theo Na2CO3)

Trong đó:

(Mg2+) – Hàm lượng Magiê chứa trong nước (mg/l)

Ckc– Độ cứng không cacbonát của nước (mgdl/l)

Các kí hiệu còn lại xem ở điều 6.268.

Bạn phải đăng nhập hoặc đăng ký Thành Viên TVPL Pro để sử dụng được đầy đủ các tiện ích gia tăng liên quan đến nội dung TCVN.

Mọi chi tiết xin liên hệ: ĐT: (028) 3930 3279 DĐ: 0906 22 99 66

Liều lượng chất keo từ (mg/l) Dk tính theo sản phẩm khô FeCl3 và FeSO4 cần xác định theo công thức:

        (6-51)

Trong đó:

C- Lượng cặn tạo thành khi làm mềm, tính theo chất khô (mg/l)

Giá trị của C (mg/l) cần xác định theo công thức:

a) Khi làm mềm bằng vôi xô đa

 (6-52)

b) Khi khử độ cứng cacbon ( pha vôi )

Bạn phải đăng nhập hoặc đăng ký Thành Viên TVPL Pro để sử dụng được đầy đủ các tiện ích gia tăng liên quan đến nội dung TCVN.

Mọi chi tiết xin liên hệ: ĐT: (028) 3930 3279 DĐ: 0906 22 99 66

Trong đó:

Mng – Hàm lượng chất lơ lửng trong nước nguồn tính bằng mg/l

Ctp– Độ cứng toàn phần của nước (mgdl/l)

Dv – Liều lượng vôi tính theo CaO (mg/l)

m – Lượng CaO (% ) trong vôi thị trường.

Những kí hiệu còn lại xem ở điều 6.268 và 6.269

6.270. Khi khử độ cứng cacbonát hoặc làm mềm nước không chứa cặn lơ lửng bằng vôi (nước ngầm hay nước mặt) đã lắng sơ bộ để tách cặn canxi cacbonat tạo thành cần dùng bể phản ứng xoay trong trường hợp:

Khi khử độ cứng cacbonát, nếu  Cc và khi làm mềm nước bằng vôi xôđa nếu hàm lượng Magiê trong nước đã làm mềm không quá 15mg/l. Cuối cùng để cho nước thật trong phải cho nước qua bể lọc .

6.271. Khi tính toán bể phản ứng xoay phải lấy tốc độ nước vào bể phản ứng là 0,8-1m/s; góc nghiêng của chóp đáy là15- 200; Tốc độ nước đi lên tính tại mặt cắt ngang với bộ phận thu là 4- 6mm/giây. Vật liệu tiếp xúc của bể phản ứng xoay phải dùng cát thạch anh hay bột có kích thước hạt 0,2- 0,3mm, tính cho 10kg trên 1m3 dung tích bể.

Bạn phải đăng nhập hoặc đăng ký Thành Viên TVPL Pro để sử dụng được đầy đủ các tiện ích gia tăng liên quan đến nội dung TCVN.

Mọi chi tiết xin liên hệ: ĐT: (028) 3930 3279 DĐ: 0906 22 99 66

Ghi chú: Khi < Cc Khử độ cứng cacbonát phải được tiến hành trong bể lắng hoặc trong và bể lọc.

6.272. Trong trường hợp không thể dùng bể phản ứng xoay do có nhiều Magiê và nước bị nhiễm bẩn cặn lơ lửng, phải dùng bể lắng trong có lớp cặn lơ lửng để tách cặn tạo ra khi làm mềm nước.

Tính toán và kết cấu bể lắng trong cần theo chỉ dẫn ở các điều 6.88, 6.98 và theo các quy định sau:

Hệ số phân phối Kpp trong công thức 6- 13 và 6- 14 là 0,7- 0,8.

Tốc độ nước đi lên vùng lắng trong Vlt là 0,1mm/s khi độ cứng Magiê nhỏ hơn 25% và 0,8mm/s khi độ cứng Magiê lớn hơn 25% độ cứng toàn phần.

Chiều cao vùng lắng trong là 2 – 2,5m

6.273. Việc phân phối nước trên diện tích bể lắng trong phải dùng các ống dẫn cho nước đi từ trên xuống đảm bảo cọ rửa dễ dàng cặn cacbonát canxi đọng lại trong ống. Diện tích do mỗi ống phục vụ không được vượt quá 20m2.

Tốc độ nước chảy trong ống xuống không được quá 0,7m/s.

Tốc độ nước chảy qua khe tạo nên giữa mép dưới của ống xuống và tường nghiêng của bể lắng trong phải lấy bằng 0,6- 0,7m/s.

Bạn phải đăng nhập hoặc đăng ký Thành Viên TVPL Pro để sử dụng được đầy đủ các tiện ích gia tăng liên quan đến nội dung TCVN.

Mọi chi tiết xin liên hệ: ĐT: (028) 3930 3279 DĐ: 0906 22 99 66

6.275. Nồng độ tối đa của cặn lơ lửng trong nước đi vào bể lắng (Cmg/l) cần xác định theo công thức 6- 52; 6- 53 có tính thêm lượng cặn M do các chất keo từ tạo nên;

– Khi làm mềm bằng vôi xô đa M = 1,6 Dk, khi khử độ cứng cacbonát M = 0,7Dk

(Xem chỉ dẫn kí hiệu ở điều 6.279)

Thời gian nén cặn T, khi nước có độ cứng Magiê nhỏ hơn 25% độ cứng toàn phần lấy bằng 3- 4 giờ. Khi nước có độ cứng Magiê lớn hơn thì lấy bằng T= 5-6 giờ .

Nồng độ trung bình của các chất lơ lửng trong lớp cặn của ngăn lắng cặn (Stb) lấy theo bảng 6- 8 điều 6.69.

6.276. Tổn thất áp lực trong nước cặn lơ lửng lấy trong phạm vi 5- 10cm cho mỗi lớp cặn tùy theo lượng cặn chứa trong nước và cặn tạo thành khi làm mềm (Lấy giới hạn trên khi lượng cặn lớn và cặn Canxicacbonát là chủ yếu).

6.277. Bể lọc để làm trong nước sau khi qua hệ phản ứng xoay hoặc bể lắng trong phải là bể lọc một chiều, vật liệu lọc là cát có độ lớn 0,5- 1,2mm hoặc bể lọc 2 lớp. Bể lọc phải lắp đặt thiết bị rửa trên bề mặt. Thiết kế bể lọc phải tuân theo điều 6.103- 6.127.

Phương pháp làm mềm bằng Natricationit

6.278. Để làm mềm nước ngầm và nước mặt có hàm lượng chất lơ lửng không vượt quá 8mg/l và độ mầu không quá 300 cần dùng phương pháp Natri- Cationit, khi dùng phương pháp Natri- Cationit độ kiềm của nước không thay đổi .

Bạn phải đăng nhập hoặc đăng ký Thành Viên TVPL Pro để sử dụng được đầy đủ các tiện ích gia tăng liên quan đến nội dung TCVN.

Mọi chi tiết xin liên hệ: ĐT: (028) 3930 3279 DĐ: 0906 22 99 66

6.280. Khối lượng cationit Wct (m3) cho vào bể lọc một bậc cần xác định theo công thức:

Trong đó:

+q- Lưu lượng nước được làm mềm m3 giờ;

+ Ctp– Độ cứng toàn phần của nước nguồn (gdl/l);

+ – Khả năng trao đổi thể tích làm việc của Cationit khi làm mềm bằng Natri- Cationit (gdl/m3).

+ n – Số lần hoàn nguyên của mỗi bể lọc trong 1 ngày, lấy từ l-3.

6.281. Khả năng trao đổi thể tích làm việc của Cationit khi làm mềm bằng Natri-Cationit

 tính bằng gdl/m3 cần xác định theo công thức:

Bạn phải đăng nhập hoặc đăng ký Thành Viên TVPL Pro để sử dụng được đầy đủ các tiện ích gia tăng liên quan đến nội dung TCVN.

Mọi chi tiết xin liên hệ: ĐT: (028) 3930 3279 DĐ: 0906 22 99 66

Trong đó:

e – Hệ số hiệu suất hoàn nguyên có kể đến sự hoàn nguyên không hoàn toàn lấy theo bảng 6 -24.

Na – Hệ số kể đến độ giảm khả năng trao đổi Cationit đối với Ca2+ và Mg2+ do Na+ bị giữ lại một phần, lấy theo bảng 6-25.

 

Trong đó:

CNa – Nồng độ Na trong nước nguồn gdl/m3

+Eht – Khả năng trao đổi toàn phần theo thể tích gdl/m3 xác định theo số liệu xuất xưởng. Khi không có số liệu này thì có thể tính: Đối với Sunfua cácbon cỡ hạt 0,3 -0,5 mm là 550 gdl/m3, đối với sunfua cácbon 0,5- 1,1mm – 500gdl/m3; đối với Cationit KY – 2 là 1500- 1700 gdl/m3; đối với Cationit KY- 1 là 600-650gdl/m3.

+ qy – Lưu lượng đơn vị nước để rửa Cationit tính bằng m3 Cho 1m3 cationit, lấy bằng 4

+ Ctp – Độ cứng toàn phần của nước nguồn tính bằng gdl/m3.

Bạn phải đăng nhập hoặc đăng ký Thành Viên TVPL Pro để sử dụng được đầy đủ các tiện ích gia tăng liên quan đến nội dung TCVN.

Mọi chi tiết xin liên hệ: ĐT: (028) 3930 3279 DĐ: 0906 22 99 66

Lượng muối ăn dùng để hoàn nguyên Cationit tính bằng g cho 1gdl khả năng trao đổi thêm chi tiết khi làm việc

100

150

200

250

300

Hệ số hiệu suất hoàn nguyên Cationit De

0,62

0,74

Bạn phải đăng nhập hoặc đăng ký Thành Viên TVPL Pro để sử dụng được đầy đủ các tiện ích gia tăng liên quan đến nội dung TCVN.

Mọi chi tiết xin liên hệ: ĐT: (028) 3930 3279 DĐ: 0906 22 99 66

0,86

0,9

 

Bảng 6-25

CNa

Co

0,01

0,05

0,1

Bạn phải đăng nhập hoặc đăng ký Thành Viên TVPL Pro để sử dụng được đầy đủ các tiện ích gia tăng liên quan đến nội dung TCVN.

Mọi chi tiết xin liên hệ: ĐT: (028) 3930 3279 DĐ: 0906 22 99 66

1

5

10

βNa

0,93

0,88

0,83

0,7

0,65

Bạn phải đăng nhập hoặc đăng ký Thành Viên TVPL Pro để sử dụng được đầy đủ các tiện ích gia tăng liên quan đến nội dung TCVN.

Mọi chi tiết xin liên hệ: ĐT: (028) 3930 3279 DĐ: 0906 22 99 66

0,5

6.282. Diện tích bể lọc Cationit bậc một Fct(m2) cần xác định theo công thức:

Trong đó:

                      (6-56)

Wct – Xác định theo công thức 6- 49.

H- Chiều cao lớp Cationit trong bể lọc, lấy 2-3m (trị số lớn dùng cho nước có độ cứng lớn hơn 10mgdl/l).

6.283. Tốc độ lọc qua Cationit đối với bể lọc áp lực bậc một ở điều kiện làm việc bình thường không được vượt quá giới hạn sau:

– Khi độ cứng toàn phần của nước đến 5mgdl/l -25m/h

– Khi độ cứng toàn phần của nước từ 5 đến 10 mgdl/l – 15m/h.

Bạn phải đăng nhập hoặc đăng ký Thành Viên TVPL Pro để sử dụng được đầy đủ các tiện ích gia tăng liên quan đến nội dung TCVN.

Mọi chi tiết xin liên hệ: ĐT: (028) 3930 3279 DĐ: 0906 22 99 66

Ghi chú: Cho phép tăng tốc độ lọc thêm 10m/giờ so với tiêu chuẩn nói trên khi ngừng bể lọc để hoàn nguyên hoặc sửa chữa trong thời gian ngắn .

6.284. Số bể lọc Cationit bậc làm việc phải lấy không nhỏ hơn 2, số bể dự trữ – l.

6.285. Tổn thất áp lực trong bể lọc Cationit phải xác định bằng tổng tổn thất trong đường ống của bể lọc, trong hệ phân phối và trong Cationit.

Tổng tổn thất áp lực lấy theo bảng 6 – 26.

Bảng 6-26

Tốc độ lọc m/giờ

Tổng tổn thất áp lực trong bể lọc Cationit (m)

Độ lớn của hạt Cationit (mm)

0,3 – 0,8

Bạn phải đăng nhập hoặc đăng ký Thành Viên TVPL Pro để sử dụng được đầy đủ các tiện ích gia tăng liên quan đến nội dung TCVN.

Mọi chi tiết xin liên hệ: ĐT: (028) 3930 3279 DĐ: 0906 22 99 66

Chiều cao lớp Cationit (m)

2

2,5

2

2,5

5

10

15

20

Bạn phải đăng nhập hoặc đăng ký Thành Viên TVPL Pro để sử dụng được đầy đủ các tiện ích gia tăng liên quan đến nội dung TCVN.

Mọi chi tiết xin liên hệ: ĐT: (028) 3930 3279 DĐ: 0906 22 99 66

5

5,5

6

6,5

9

5,5

6

6,5

7

Bạn phải đăng nhập hoặc đăng ký Thành Viên TVPL Pro để sử dụng được đầy đủ các tiện ích gia tăng liên quan đến nội dung TCVN.

Mọi chi tiết xin liên hệ: ĐT: (028) 3930 3279 DĐ: 0906 22 99 66

4

5

5,5

6

7

4,5

5,5

6

6,5

Bạn phải đăng nhập hoặc đăng ký Thành Viên TVPL Pro để sử dụng được đầy đủ các tiện ích gia tăng liên quan đến nội dung TCVN.

Mọi chi tiết xin liên hệ: ĐT: (028) 3930 3279 DĐ: 0906 22 99 66

6.286. Trong bể lọc Cationit hở, lớp nước phía trên mặt Cationit phải lấy 2,5- 3m, tốc độ lọc không được lớn hơn 15m/giờ.

6.287. Cường độ nước để xói Cationit cần lấy bằng 3 lít/s-m2 khi cỡ hạt Cationit là 0,3-0,8mm và 4 lít/s-m2 khi cỡ hạt Cationit là 0,5- 1,lmm. Thời gian xói lấy 15 phút. Nước cấp để xói Cationit tính toán theo điều 6.118 và 6.119.

6.288. Hoàn nguyên bể lọc Cationit bằng muối ăn. Lượng muối ăn P kg dùng cho l lần hoàn nguyên bể lọc Natri- Cationit bậc 1 cần xác định theo công thức:

           (6- 57)

Trong đó:

f: Diện tích của l bể lọc (m2)

H: chiều cao lớp lọc Cationit trong bể lọc (m)

 : Khả năng trao đổi làm việc theo thể tích của Cationit gdl/m3 lấy theo điều 6.291.

+a: lượng muối dùng cho lgdl của thể tích trao đổi làm việc lấy bằng 120- 150 g/gdl đối với bể lọc bậc I trong sơ đồ làm việc 2 bậc và 150-200g/gdl trong sơ đồ làm việc l bậc. Độ cứng của nước đã làm mềm với các liều lượng dùng khác nhau biểu diễn trên hình 6- 6.

Bạn phải đăng nhập hoặc đăng ký Thành Viên TVPL Pro để sử dụng được đầy đủ các tiện ích gia tăng liên quan đến nội dung TCVN.

Mọi chi tiết xin liên hệ: ĐT: (028) 3930 3279 DĐ: 0906 22 99 66

Khi độ cứng của nước đã làm mềm nhỏ hơn 0,05 mgdl/l phải hoàn nguyên từng đợt. Ban đầu dung dịch 2% khoảng 1,2m3 dung dịch cho lm3 Cationit.

Sau đó lượng muối còn lại pha chế thành dung dịch 7% – 10% . Tốc độ lọc của dung dịch muối qua Cationit lấy 3- 5m/giờ.

6.289. Sau khi hoàn nguyên, cần phải rửa Cationit bằng nước chưa làm mềm, cho đến khi lượng Clorua trong nước lọc gần bằng lượng Clorua trong nước rửa.

Tốc độ lọc khi rửa lấy bằng 8- 10m/giờ. Một nửa của toàn bộ nước rửa này xả vào cống thoát nước mưa, phần nước còn lại cho chảy vào bể và dùng vôi để điều chế dung dịch hoàn nguyên.

Lưu lượng đơn vị nước rửa lấy 4- 5m3 cho lm3 boxit Cationit.

6.290. Bể lọc Natri Cationit bậc 2 phải tính theo chỉ dẫn ở điều 6.289- 6.290 với chiều cao lớp Cationit bằng 1,5m. Tốc độ lọc không quá 60m/giờ, lượng muối đơn vị dùng để hoàn nguyên Cationit là 300- 400 g/ cho 1 gdl của độ cứng phải khử, tổn thất áp lực trong bể 13- 15m. Rửa bể lọc bậc 2 bằng nước đã lọc của bể bậc1.

Khi tính toán bể lọc bậc 2, độ cứng của nước đi vào bể lấy bằng 0,1mgdl/l. Khả năng trao đổi làm việc của Sunfat cacbon lấy bằng 250- 300gdl/m3.

Phương pháp làm mềm nước bằng Hydrô Natri-Cationit

6.291. Phương pháp Hydrô Natri Cationit dùng để khử các Cationit (Mg và Ca) có trong nước, đồng thời làm giảm độ kiềm của nước. Dùng phương pháp này để xử lí nước ngầm và nước mặt có hàm lượng các chất lở lửng không quá 5- 8mg/l.

Bạn phải đăng nhập hoặc đăng ký Thành Viên TVPL Pro để sử dụng được đầy đủ các tiện ích gia tăng liên quan đến nội dung TCVN.

Mọi chi tiết xin liên hệ: ĐT: (028) 3930 3279 DĐ: 0906 22 99 66

Bố trí các bể lọc Hydrô Natri Cationit làm việc song song cho phép thu được nước làm mềm triệt để (độ cứng d 0,01 mgdl/l) với độ kiềm còn lại không quá 0,4 mgd1/1, trong trường hợp này tổng hàm lượng sunfát và Clorua trong nước nguồn không được lớn hơn 3- 5mgdl/l và Natri không được lớn hơn 1-2 mgdl/l.

Bố trí các bể lọc Hydrô Natri Cationit làm việc nối tiếp khi hoàn nguyên không triệt để cho phép thu được nước làm mềm triệt để và có độ kiềm dư d 0,7 mgdl/l khi không có axít sau khi hoàn nguyên. Tuỳ thuộc và mức độ làm mềm nước mà đặt bể lọc Hydrô Natri Cationit một hoặc hai bậc.

Ghi chú: Cho phép không đặt bể lọc Natri Cationit bậc 2 nếu như không cần làm mềm triệt để hoặc duy trì pH của nước trong một giới hạn nhất định.

6.292. Tỉ số lưu lượng nước đưa vào bể lọc Hydrô Cationit và Natri Cationit khi làm mềm theo sơ đồ song song Hydrô Natri Cationit cần xác định theo công thức:

Lưu lượng nước đưa vào bể lọc Hydrô- Cationit.

Lưu lượng nước đưa vào bể lọc Natri Cationit

Trong đó:

Bạn phải đăng nhập hoặc đăng ký Thành Viên TVPL Pro để sử dụng được đầy đủ các tiện ích gia tăng liên quan đến nội dung TCVN.

Mọi chi tiết xin liên hệ: ĐT: (028) 3930 3279 DĐ: 0906 22 99 66

 và  – Công suất hữu ích của bể lọc Natri Cationit và Hydrô Cationit m3/h;

+ K: Độ kiềm của nước nguồn mgdl/l;

+ a: Độ kiềm cấn thiết của nước sau khi làm mềm mgdl/l;

+A: Tổng hàm lượng anion của axit mạnh có trong nước làm mềm (Sunfat , Clorua, Nitrat…) mgdl/l;

Ghi chú:

1- Bể lọc Hydrô Cationit có thể dùng được như bể lọc Natri Cationit do đó cần phải dự kiến khả năng hoàn nguyên hai, ba bể Hydrô Cationit bằng dung dịch muối ăn.

2- Tính toán bể lọc và đường ống phải theo 2 phương án:

+ Phương án thứ nhất: Tính với tải trọng lớn nhất của bể lọc Hydro Cationit, độ kiềm K lớn nhất của nước và hàm lượng nhỏ nhất của anion axit mạnh (A).

+ Phương án thứ hai: Tính với tải trọng lớn nhất của bể lọc Natri Cationit, độ kiềm nhỏ nhất của nước và hàm lượng lớn nhất của các anion axit mạnh.

Bạn phải đăng nhập hoặc đăng ký Thành Viên TVPL Pro để sử dụng được đầy đủ các tiện ích gia tăng liên quan đến nội dung TCVN.

Mọi chi tiết xin liên hệ: ĐT: (028) 3930 3279 DĐ: 0906 22 99 66

Thể tích Cationit WNa(m3) trong bể lọc Natri Cationit cần xác định theo công thức:

Trong đó:

Co: Độ cứng toàn phần của nước nguồn gdl/m3

n: số lần hoàn nguyên mỗi bể lọc trong l ngày lấy theo chỉ dẫn ở điều 6.281.

 : Khả năng trao đổi khi làm việc theo thể tích của Hydrô – Cationit gdl/m3.

 : Khả năng trao đổi khi làm việc theo thể tích của Natri – Cationit gdl/m3.

CNa: Nồng độ Natri trong nước gdl/m3 được xác định theo chỉ dẫn ở điều 6.291.

Bạn phải đăng nhập hoặc đăng ký Thành Viên TVPL Pro để sử dụng được đầy đủ các tiện ích gia tăng liên quan đến nội dung TCVN.

Mọi chi tiết xin liên hệ: ĐT: (028) 3930 3279 DĐ: 0906 22 99 66

Trong đó:

αH – Hệ số hiệu suất hoàn nguyên của Hydrô Cationit, phụ thuộc vào lưu lượng đơn vị của axít tiêu tốn và lấy theo bảng 6- 27.

Ck – Tổng hàm lượng các cationit Canxi, Magiê, Natri và Kali có trong nước (gdl/m3).

qLv– Lưu lượng đơn vị nước rửa cationit sau khi hoàn nguyên lấy bằng 4- 5m3 cho 1m3 cationit trong bể lọc .

Etp – Khả năng trao đổi toàn phần theo thể tích của cationit theo số liệu xuất xưởng trong môi trường trung tính gdl/m3. Để tính toán Etp khi không có số liệu xuất xưởng phải lấy theo chỉ dẫn ở điều 6.282.

Xác định khả năng trao đổi theo thể tích của Natri Cationit phải lấy theo chỉ dẫn ở điều 6.282.

Bảng 6-27

Lưu lượng đơn vị của Axitsunfuarich để hoàn nguyên cationit (g/g-đl)

Bạn phải đăng nhập hoặc đăng ký Thành Viên TVPL Pro để sử dụng được đầy đủ các tiện ích gia tăng liên quan đến nội dung TCVN.

Mọi chi tiết xin liên hệ: ĐT: (028) 3930 3279 DĐ: 0906 22 99 66

100

150

200

Hệ số hiệu suất hoàn nguyên Hydrô cationit

0,68

0,85

0,91

0,92

6.295. Diện tích của bể lọc Hydrô Cationit và Natri Cationit FH (m2) và FNa (m2) cần xác định theo công thức:

Bạn phải đăng nhập hoặc đăng ký Thành Viên TVPL Pro để sử dụng được đầy đủ các tiện ích gia tăng liên quan đến nội dung TCVN.

Mọi chi tiết xin liên hệ: ĐT: (028) 3930 3279 DĐ: 0906 22 99 66

Trong đó: H- Chiều cao lớp cationit trong bể lọc lấy theo chỉ dẫn ở điều 6.283.

6.296. Tính toán và kết cấu hệ phân phối trong bể lọc phải lấy theo điều 6.111 và 6.115.

6.297. Tổn thất áp lực trong bể lọc Hydrô Cationit, cường độ xói và tốc độ lọc cần lấy theo các điều 6.284, 6.286 và 6.288.

6.298. Số lượng bể lọc Hyđrô Cationit và Natri Cationit cho một trạm không được ít hơn 2 nếu trạm làm việc suốt ngày đêm. Lấy l bể lọc Hydrô cationit dự phòng nếu số bể lọc trong trạm ít hơn 6, số bể lọc trong trạm lớn hơn 6, thì các bể lọc Natri Cationit không cần bể dự phòng nhưng phải dự kiến khả năng dùng bể lọc Hydrô Cationit dự phòng để làm bể Natri Cationit theo ghi chú ở điều 6.293.

6.299. Hoàn nguyên bể lọc Hydrô cationit bằng dung dịch Axitsunfuaric l- 1,5%. Cho phép pha loãng Axitsunfuaric đến nồng độ nói trên bằng nước lấy trực tiếp trước bể lọc. Tốc độ chảy của dung dịch Axitsunfuaric để hoàn nguyên qua lớp Cationit không được nhỏ hơn 10m/h sau đó rửa Cationit bằng nước chưa làm mềm từ trên xuống với tốc độ 10m/h.

Quá trình rửa được kết thúc khi độ axit của nước lọc bằng tổng nồng độ sunfat và Clorua của nước rửa. Nửa đầu của lượng nước rửa cho xả ra cống nước mưa, phần còn lại cho vào bể để xói cationit.

Ghi chú: Cho phép dùng axit Clohyđric để hoàn nguyên bể lọc Hydrô cationit .

6.300. Lượng axít (kg) tính với nồng độ 100% dùng cho một lần hoàn nguyên bể lọc Hydrô Cationit phải tính theo công thức:

Bạn phải đăng nhập hoặc đăng ký Thành Viên TVPL Pro để sử dụng được đầy đủ các tiện ích gia tăng liên quan đến nội dung TCVN.

Mọi chi tiết xin liên hệ: ĐT: (028) 3930 3279 DĐ: 0906 22 99 66

f – Diện tích l bể lọc Hydrô Cationit (m2)

b- Lưu lượng đơn vị axit để hoàn nguyên cationit (g/gdl) được xác định theo đồ thị hình 6- 7.

6.301. Dung tích bình để axit đậm đặc và thùng chứa dung dịch axít loãng (nếu không pha loãng trực tiếp trước bể lọc) phải xác định từ điều kiện hoàn nguyên l bể lọc khi số bể lọc Hydrô Cationit của trạm đến 4 và để hoàn nguyên 2 bể khi số bể trong trạm trên 4.

6.302. Thiết bị và đường ống để định lượng và dẫn chuyền axít phải thiết kế theo quy phạman toàn lao động khi làm việc với axit.

Khi dùng Axitsunfuaric đậm đặc (nồng độ > 80%) thiết bị và ống dẫn phải dùng loại chịu axít. Khi dùng axít có nồng độ dưới 80% phải dùng loại vật liệu thường.

6.303. Khử khí CO2 trong nước đã làm mềm bằng phương pháp Hydrô cationit hoặc bằng phương pháp hỗn hợp Hydrô Natricationit phải thực hiện trong các bể khử khí.

6.304. Diện tích tiết diện ngang của bể khử khí phải xác định theo mật độ tưới với bể chất vòng sành kích thước 25 x 25 x 3mm là 60m3/giờ và đối với bể có sàn gỗ xếp là 40m3/h trên 1m2 diện tích bể.

6.305. Quạt gió của bể khử khí phải bảo đảm cung cấp 20m3 không khí cho 1m3 nước đưa vào khử khí. Xác định áp lực quạt gió phải căn cứ vào sức cản của vòng sành lấy bằng 31mm cột nước cho lm chiều cao lớn vòng sành đối với sàn gỗ, sức kháng lấy bằng 10mm cột nước cho lm chiều cao của sàn gỗ. Các sức cản khác lấy bằng 30-40mm cột nước.

6.306. Chiều cao lớp vật liệu cần thiết để giảm hàm lượng CO2 trong nước đã lọc qua Cationit cần xác định theo bảng 6 – 28 tuỳ thuộc vào lượng (CO2) (mg/l) của nước đưa vào khử khí và được xác định theo công thức:

Bạn phải đăng nhập hoặc đăng ký Thành Viên TVPL Pro để sử dụng được đầy đủ các tiện ích gia tăng liên quan đến nội dung TCVN.

Mọi chi tiết xin liên hệ: ĐT: (028) 3930 3279 DĐ: 0906 22 99 66

Trong đó:

(CO2) ng: Lượng CO2 tự do của nước nguồn đưa vào khử khí (mg/l)

K: Độ kiềm của nước nguồn (mgdl/l) .

Bảng 6-28

Hàm lượng CO2 trong nước đưa vào khử khí mg/l

Chiều cao lớp vật liệu trong bể khử khí

Vòng sành 25 x 25 x 3mm

Thanh gỗ

50

Bạn phải đăng nhập hoặc đăng ký Thành Viên TVPL Pro để sử dụng được đầy đủ các tiện ích gia tăng liên quan đến nội dung TCVN.

Mọi chi tiết xin liên hệ: ĐT: (028) 3930 3279 DĐ: 0906 22 99 66

150

200

250

300

3

4

4,7

5,1

5,5

Bạn phải đăng nhập hoặc đăng ký Thành Viên TVPL Pro để sử dụng được đầy đủ các tiện ích gia tăng liên quan đến nội dung TCVN.

Mọi chi tiết xin liên hệ: ĐT: (028) 3930 3279 DĐ: 0906 22 99 66

4

5,2

6

6,5

6,8

7

6.307. Khi thiết kế công trình làm mềm nước bằng bể lọc Hydrô Natricationit đặt nối tiếp và hoàn nguyên không triệt để các bể lọc Hydrô cationit thì lấy các chỉ tiêu như sau:

a. Độ cứng của nước lọc:  mgl/l qua bể Hydrô cationit xác định theo công thức:

        (6-66)

Bạn phải đăng nhập hoặc đăng ký Thành Viên TVPL Pro để sử dụng được đầy đủ các tiện ích gia tăng liên quan đến nội dung TCVN.

Mọi chi tiết xin liên hệ: ĐT: (028) 3930 3279 DĐ: 0906 22 99 66

+ Cl – hàm lượng Clorua và sunfát trong nước đã làm mềm (mgdl/l).

+ Kd: Độ kiềm còn lại của nước lọc sau bể Hydrô Cationit bằng 0,7- lmgdl/l.

+ (Na+) – hàm lượng Na trong nước đã làm mềm (mgdl/l).

b. Lượng axít dùng để hoàn nguyên không triệt để của bể lọc Hydrô Cationit là 50g để tách lgdl độ cứng Cachonát.

c. Khả năng trao đổi theo thể tích của Sunfát cacbon trong bể lọc Hydrô cationit thì hoàn nguyên không triệt để là:

– Khi độ kiềm của nước nguồn đến 1,5 mgdl/l – 200gdl/m3

– Khi độ kiềm của nước nguồn từ 1,5 đến 3 mgdl/l – 250gdl/m3

– Khi độ kiềm của nước nguồn từ 3 – 4 mgdl/l- 300gdl/m3

6.308. Nước sau khi qua bể lọc Hydrô Cationit (khi hoàn nguyên không triệt để) phải qua dàn khử khí, sau đó qua bể lọc Natricationit được thiết kế theo chỉ dẫn ở điều 6.288-6.299.

Bạn phải đăng nhập hoặc đăng ký Thành Viên TVPL Pro để sử dụng được đầy đủ các tiện ích gia tăng liên quan đến nội dung TCVN.

Mọi chi tiết xin liên hệ: ĐT: (028) 3930 3279 DĐ: 0906 22 99 66

6.309. Để ngăn ngừa axít rơi vào bể lọc Natricationit trong những trạm đặt bể lọc Hydrô Natricationit làm việc nối tiếp khi hoàn nguyên bể lọc Hydrô Cationit với liều lượng dư của axít, cần đưa thêm nước trong chưa làm mềm vào nước đã lọc của bể Hyđrô cationit ngay trước bể khử khí.

6.310. Thiết bị đường ống và phụ tùng của các công trình làm mềm nước có tiếp xúc với nước axít hoặc nước lọc có sắt, kể cả khi hàm lượng sắt nằm trong tiêu chuẩn phải được bảo vệ chống ăn mòn hoặc làm bằng các vật liệu chống ăn mòn.

Khử mặn và khử muối trong nước

6.311. Khử mặn nước có hàm lượng muối dưới 2- 3g/l phải dùng phương pháp trao đổi ion. Nước có hàm lượng muối 2,5- 15 g/l phải dùng phương pháp điện phân hay lọc qua màng bán thấm. Nước có hàm lượng muối lớn hơn 10g/l phải dùng phương pháp chưng cất, đông lạnh hay lọc qua màng bán thấm.

Ghi chú: Khử mặn là giảm hàm lượng muối trong nước đến trị số thoả mãn yêu cầu đối với nước dùng cho ăn uống. Khử muối là giảm triệt để lượng muối hoà tan trong nước đến trị số thoả mãn yêu cầu công nghệ sản xuất quy định.

Khử mặn và khử muối trong nước bằng phương pháp trao đổi ion

6.312. Dùng phương pháp trao đổi ion để khử mặn và khử muối khi hàm lượng muối trong nước nguồn dưới 3000mg/1, hàm lượng cặn không lớn hơn 8mg/1, độ mầu của nước không lớn hơn 300 và độ ôxi hoá KMnO4 không lớn hơn 7mg/l.O2. Khi độ ôxi hoá lớn hơn phải lọc nước qua bể lọc than hoạt tính.

6.313. Khử mặn nước bằng phương pháp trao đổi ion cần thực hiện theo sơ đồ một bậc. Lọc nối tiếp của bể lọc Hydrô cationit có dung tích chứa ion cao và bể lọc anionit kiềm yếu. Dùng sơ đồ này cần phải khử khí cacbonic ra khỏi nước đã lọc qua bể cationit.

Hàm lượng muối còn lại trong nước sau khi để lọc qua các bể lọc ionit cần lấy như sau:

Bạn phải đăng nhập hoặc đăng ký Thành Viên TVPL Pro để sử dụng được đầy đủ các tiện ích gia tăng liên quan đến nội dung TCVN.

Mọi chi tiết xin liên hệ: ĐT: (028) 3930 3279 DĐ: 0906 22 99 66

– Khi hàm lượng muối trong nước nguồn 2.000mg/l – không lớn hơn 25mg/l.

– Khi hàm lượng muối trong nước nguồn l.500mg/l – không lớn hơn 15mg/l.

– Hàm lượng muối yêu cầu đối với nước cấp cho nhu cầu sinh hoạt và ăn uống là

500- 1000mg/l trong đó hàm lượng Clorua không lớn hơn 350mg/l và Sunfát không lớn hơn 500mg/1, thu được bằng cách trộn lẫn một phần nước lọc qua các bể lọc ionit với hàm lượng nước nguồn còn lại.

6.314. Khử muối trong nước đồng thời với khử axít silic phải thực hiện theo sơ đồ hai hay ba bậc. Trong thành phần của trạm khử muối theo sơ đồ hai bậc cần dự kiến các công trình sau:

– Bể lọc Hydrô cationit bậc một, bể lọc có than hoạt tính để khử chất hữu cơ (nếu độ mầu của nước lớn hơn 30o và độ ôxy hoá lớn hơn 7mg/lO2) dàn khử khí để khử Cacboníc; bể lọc Anionit bậc một có vật liệu lọc bằng Anionit kiềm yếu.

– Hydrô cationit bậc hai: Các bể lọc Anionit bậc 2 có vật liệu lọc bằng anionit kiềm mạnh để khử axit silic và cuối cùng qua các bể lọc Hydrô Natricationit.

6.315. Nước sau khi xử lí theo sơ đồ 2 bậc không được chứa lượng muối lớn hơn 1mg/l và hàm lượng axít silic không được lớn hơn 0,2mg/l.

6.316. Sơ đồ khử muối ba bậc được sử dụng khi có tổng hàm lượng muối trong nước sau khi xử lí dưới 0,1 mg/l và hàm lượng axít silic dưới 0,05 mg/l. Khi đó thay bể lọc Hydrô-Natricationit trong sơ đồ 2 bậc bằng bể lọc có vật liệu lọc hỗn hợp cationit và anionit hay bằng bể lọc Hydrô cationit bậc ba và sau bể lọc này là bể lọc anionit bậc ba có chất anionit kiềm mạnh.

Bạn phải đăng nhập hoặc đăng ký Thành Viên TVPL Pro để sử dụng được đầy đủ các tiện ích gia tăng liên quan đến nội dung TCVN.

Mọi chi tiết xin liên hệ: ĐT: (028) 3930 3279 DĐ: 0906 22 99 66

6.318. Khi chọn vật liệu hấp phụ để khử chất hữu cơ đối với mỗi nguồn nước cụ thể phải được tiến hành đưa vào kết quả nghiên cứu công nghệ các chất hấp phụ.

6.319. Đối với các bể lọc Hydrô cationit bậc hai và bậc ba cần lấy các thông số tính toán như sau: Tốc độ lọc 50- 60 m/h. Chiều cao lớp vật liệu lọc = 1,5m. Lượng tiêu thụ đơn vị đối với Axitsunfuaríc nồng độ 100% – 100 gam cho lgdl cation được hấp thụ.

Dung tích hấp phụ của sunfua cácbon và cationit KY – l – 200 gdl/m3. KY- 2- 700 – 800 gdl/m3 tiêu thụ nước để rửa cationit 10m3 cho 1m3 Cationit.

6.320. Diện tích lọc F của bể lọc anionit (m2) phải xác định theo công thức:

       (6-67)

Trong đó:

Q – Công suất của các bể lọc anionit bậc một m3/ngày

n – Số lần hoàn nguyên bể lọc anionit trong ngày lấy bằng 2- 3 lần .

T- Thời gian làm việc của mỗi bể lọc, giữa hai lần hoàn nguyên tính theo công thức:

Bạn phải đăng nhập hoặc đăng ký Thành Viên TVPL Pro để sử dụng được đầy đủ các tiện ích gia tăng liên quan đến nội dung TCVN.

Mọi chi tiết xin liên hệ: ĐT: (028) 3930 3279 DĐ: 0906 22 99 66

t1– Thời gian xói anionit = 0,25h.

t2– Thời gian bơm qua anionit dung dịch kiềm để hoàn nguyên 1,5h.

t3: Thời gian rửa anionit sau khi hoàn nguyên 3h.

Vt: Tốc độ lọc tính toán m/h, lấy không nhỏ hơn 4 và không lớn hơn 30. Thể tích anionit trong bể lọc bậc một W1m3 xác định theo công thức:

      (6-69)

Trong đó:

Co-ion hàm lượng các ionsunphat và clorua trong nước nguồn mgdl/l.

Nt– Khả năng trao đổi khi làm việc theo thể tích của anionít gdl/l lấy theo tài liệu xuất xưởng. Đối với anionit AH 20, ЭДЭ-10П và AB- 17 cho phép lấy dung tích trao đổi bằng 700- 900gdl/m3 .

6.321. Để hoàn nguyên bể lọc anionit bậc một dùng dung dịch sôđa đã nung nồng độ 4%. Lượng tiêu thụ đơn vị của sôđa: 100% Na2CO3 cho 1gdl anion được hấp thụ. ở những trạm khử muối đồng thời khử axít silic, trong các bể lọc bậc hai có các anionít kiềm mạnh cho phép hoàn nguyên các bể lọc anionit bậc một bằng dung dịch xút thử lại sau khi hoàn nguyên các bể lọc anionit bậc hai.

Bạn phải đăng nhập hoặc đăng ký Thành Viên TVPL Pro để sử dụng được đầy đủ các tiện ích gia tăng liên quan đến nội dung TCVN.

Mọi chi tiết xin liên hệ: ĐT: (028) 3930 3279 DĐ: 0906 22 99 66

6.322. Vật liệu lọc của bể lọc anionit bậc hai cần dùng loại anionit kiềm mạnh với chiều dày lớp lọc là 1,5m. Khi tính toán bể lọc anionit tốc độ lọc cần lấy bằng 10- 15m/h.

6.323. Dung tích chứa axít silic của anionit lấy theo tài liệu xuất xưởng hay có thể lấy theo bảng 6-29.

Bảng 6-29

Kí hiệu anonit của Liên Xô

Dung tích chứa axít silic gdl/m3 tính đến khi anionit để cho lọt ion SiO vào nước đã lọc

Hàm lượng tối thiểu của ion SiO còn lại trong nước đã lọc mg/l

0,1 mg/l

0,5 mg/l

1 mg/l

Bạn phải đăng nhập hoặc đăng ký Thành Viên TVPL Pro để sử dụng được đầy đủ các tiện ích gia tăng liên quan đến nội dung TCVN.

Mọi chi tiết xin liên hệ: ĐT: (028) 3930 3279 DĐ: 0906 22 99 66

AB – 17

30

420

60

530

80

560

0,04

0,05

Bạn phải đăng nhập hoặc đăng ký Thành Viên TVPL Pro để sử dụng được đầy đủ các tiện ích gia tăng liên quan đến nội dung TCVN.

Mọi chi tiết xin liên hệ: ĐT: (028) 3930 3279 DĐ: 0906 22 99 66

6.324. Lưu lượng tiêu thụ đơn vị của xút (NaOH) để hoàn nguyên anionit cần lấy theo bảng 6- 30

Bảng 6-30

Kí hiệu anionit của Liên Xô (cũ)

Lượng tiêu thụ đơn vị của NaOH tính bằng g/gdl ion SiO được hấp thụ đến khi anionit để lọt qua ion SiO vào nước đã lọc

0,1 mg/l

0,5 mg/l

1 mg/l

ЭДЭ-10П

AB – 17

Bạn phải đăng nhập hoặc đăng ký Thành Viên TVPL Pro để sử dụng được đầy đủ các tiện ích gia tăng liên quan đến nội dung TCVN.

Mọi chi tiết xin liên hệ: ĐT: (028) 3930 3279 DĐ: 0906 22 99 66

500

405

397

389

374

6.325. Các thiết bị, đường ống dẫn và các phụ tùng của trạm khử mặn phải thiết kế phù hợp với các chỉ dẫn ở điều 6.311.

Khử mặn bằng phương pháp điện phân

6.326. Khử mặn nước bằng phương pháp điện phân phải thiết kế phù hợp với các chỉ dẫn trong phụ lục.

Phương pháp xử lí nước đặc biệt.

Bạn phải đăng nhập hoặc đăng ký Thành Viên TVPL Pro để sử dụng được đầy đủ các tiện ích gia tăng liên quan đến nội dung TCVN.

Mọi chi tiết xin liên hệ: ĐT: (028) 3930 3279 DĐ: 0906 22 99 66

Clo hoá, làm thoáng rồi Clo hoá, axít hoá, làm thoáng, keo tụ và lọc. Tính toán các thiết bị phải tiến hành theo phụ lục 14.

– Để loại các hợp chất của Axit silic trong nước cần dùng các biện pháp sau: Keo tụ xử lí nước bằng Magiê axít kiềm lọc nước qua chất hấp phụ ôxýt Magiê. Tính toán các thiết bị theo chỉ dẫn ở phụ lục 15.

– Để khử ôxi hoà tan trong nước cần dùng các phương pháp sau: phun nước trong chân không, liên kết giữa ôxi và chất khử. Tính toán các thiết bị chỉ dẫn trong phụ lục 16.

Kho hoá chất và vật liệu lọc

6.328. Kho hoá chất phải tính toán để chứa lượng hoá chất dự trữ cho 30 ngày theo thời kì dùng nhiều hoá chất nhất.

Ghi chú:

1- Khi có lí do thích đáng thì được phép giảm khối tích kho nhưng không được dưới 15 ngày.

2- Khi có kho trung tâm (kho chính) thì khối tích kho của trạm làm sạch được phép tính tối thiểu 7 ngày .

6.329. Tuỳ theo loại hoá chất, kho phải được thiết kế để dự trữ khô hay ướt dưới dạng dung dịch đậm đặc hoặc sản phẩm pha nước.

Bạn phải đăng nhập hoặc đăng ký Thành Viên TVPL Pro để sử dụng được đầy đủ các tiện ích gia tăng liên quan đến nội dung TCVN.

Mọi chi tiết xin liên hệ: ĐT: (028) 3930 3279 DĐ: 0906 22 99 66

Khi xác định diện tích kho để chứa phèn, với chiều cao lớp phèn lấy bằng 2m, lớp vôi lấy bằng 1,5m. Nếu cơ giới hoá chiều cao này có thể tăng lên đến 3,5m cho phèn,đến 2,5m cho vôi.

Poliaerilamit phải chứa trong thùng, thời gian không quá 6 tháng đồng thời không được phép để đông kết.

Thuỷ tinh lỏng (Silicát Natri) phải chứa trong thùng kín bằng gỗ hoặc bằng sắt. Hoá chất chứa Clo phải để trong thùng kín.

6.331. Khi dự trữ phèn ướt trong bể nồng độ dung dịch lấy 15- 20% tính theo sản phẩm khô không cần khuấy trộn dung dịch trong bể. Bể chứa phèn phải đặt trong nhà, khi có lí do thích đáng được phép đặt ngoài nhà. Trong mỗi trường hợp phải đảm bảo trông nom và có lối đi xung quanh tường bể và phải dự kiến biện pháp chống khả năng dung dịch thấm xuống đất.

Số bể không được dưới 4, khi số bể đến 10 phải có 1 bể dự phòng.

6.332. Khi có khả năng cung cấp tập trung vôi tôi hoặc vôi sữa phải dự kiến dự trữ ướt bao gồm: Bể chứa, thiết bị để lấy và vận chuyển vôi.

Nếu cung cấp vôi cục thì có thể dự trữ ở dạng khô hay ướt. Nếu dự trữ khô thì phải thiết kế kho sản phẩm khô có máy nghiền và dụng cụ tôi vôi; Nếu dự trữ ở dạng ướt thì phải có bể chứa, thiết bị để lấy, vận chuyển và khuấy trộn để có vôi sữa.

Khi khuấy trộn bằng thuỷ lực thì công suất máy bơm được xác định trên cơ sở tuần hoàn toàn bộ khối lượng sữa vôi không dưới 8 lần trong l giờ, tốc độ đi lên của sữa vôi trong bể không dưới 18m/h.

Hệ thống cấp khí nén phải tính toán theo điều 6.21.

Bạn phải đăng nhập hoặc đăng ký Thành Viên TVPL Pro để sử dụng được đầy đủ các tiện ích gia tăng liên quan đến nội dung TCVN.

Mọi chi tiết xin liên hệ: ĐT: (028) 3930 3279 DĐ: 0906 22 99 66

6.333. Đối với buồng chứa than hoạt tính không có yêu cầu chống nổ, về độ chống cháy, buồng này xếp vào hạng 3.

6.334. Kho để chứa cationit và anionit phải tính với khối lượng đủ chứa cho 2 bể lọc cationit, cho một bể lọc có anionit kiềm yếu cho l bể lọc có anionit kiềm mạnh.

6.335. Kho để dự trữ hoá chất (trừ Clo và amôniắc) phải đặt gần buồng pha dung dịch.

6.336. Kho để dự trữ axít, kho tiêu thụ Clo và amôniắc phải thiết kế theo các quy định riêng.

6.337. Nếu kho tiêu thụ Clo đặt trong phạm vi nhà máy nước thì Clo phải chứa trong chai hoặc bình. Khi lượng Clo dùng hàng ngày trên l tấn được phép dùng thùng lớn của nhà máy chế tạo với dung tích đến 50 T, đồng thời cấm rót Clo sang chai hay bình.

6.338. ống dẫn Clo phải tính với điều kiện độ giảm áp xuống vượt quá 1,5- 2kg/cm2. Vận chuyển Clo hơi từ kho đến nơi sử dụng bằng ống dẫn có chiều dài không quá lkm.

6.339. Clorua vôi phải chứa trong thùng gỗ đặt ở một kho riêng.

6.340. Đối với muối ăn phải có kho dự trữ ướt. Nếu lượng muối dùng hàng ngày dưới 0,5 tấn được phép dùng kho dự trữ khô với lớp muối cao không quá 2m.

Dung tích bể để dự trữ ướt phải tính với điều kiện 1,5m3 cho 1 tấn muối. Bể chứa không được sâu quá 2m.

Bạn phải đăng nhập hoặc đăng ký Thành Viên TVPL Pro để sử dụng được đầy đủ các tiện ích gia tăng liên quan đến nội dung TCVN.

Mọi chi tiết xin liên hệ: ĐT: (028) 3930 3279 DĐ: 0906 22 99 66

6.342. Tính toán kho chứa vật liệu lọc và chọn thiết bị phải căn cứ từ yêu cầu hàng năm bổ sung 10% khối lượng vật liệu lọc và một lượng dự trữ thêm đề phòng sự cố để thay thế cho l bể lọc khi số bể lọc trong trạm đến 20 và cho 2- 3 bể lọc khi số bể lọc trong trạm lớn hơn .

6.343. Khi vận chuyển vật liệu lọc bằng phương pháp thuỷ lực (bơm tia hoặc bơm cắt) thì lưu lượng nước lấy bằng 10m3 cho 1m3 vật liệu lọc .

Đường kính ống dẫn để vận chuyển vật liệu lọc phải xác định theo điều kiện tốc độ chuyển động 1,5- 2m/s nhưng không nhỏ hơn 50mm, những chỗ ngoặt của ống phải uốn lượn đều với bán kính cong không nhỏ hơn 8- 10 lần đường kính ống.

Sử dụng lại nước rửa

6.344. Để giảm lượng nước dùng cho nhu cầu sử dụng trong trạm xử lí cần sử dụng lại nước rửa bể lọc, bể lọc tiếp xúc và cả khối nước ở phía trên còn trong các bể lắng khi xả kiệt bể lắng.

6.345. ở những trạm xử lí nước áp dụng sơ đồ lắng rồi lọc phải thu nước rửa bể lọc vào một bể chứa điều hòa rồi bơm đều vào điểm đầu mối của các công trình làm sạch. Trong trường hợp này không xây bể lắng nước rửa.

6.346. Trong các trạm xử lí nước chỉ dùng có bể lọc thì phải làm sạch nước rửa bằng các bể lắng hoạt động theo chu kì. Thời gian lắng lấy 1h, liều lượng chất phụ trợ keo tụ (axít silic hoạt hoá hay Poliacrilamit) lấy bé hơn liều lượng khi xử lí nước có mầu và lớn hơn khi xử lí nước đục.

6.347. Dung tích bể chứa điều hoà và số ngăn lắng phải xác định theo biểu đồ tập trung nước rửa vào bể và bơm nước rửa trở lại công trình. Số ngăn lắng lấy không ít hơn. Nếu nhà máy không dùng Clo hoá trước thì phải sát trùng nước rửa khi sử dụng lại chúng. Thể tích vùng nén cần lấy theo bảng 6- 8 mục 6.69.

6.348. Trong các trạm khử sắt, nước rửa lọc cần tập trung vào bể chứa, bể này đồng thời làm nhiệm vụ lắng, thời gian lắng lấy không ít hơn 3h. Số ngăn lắng xác định phụ thuộc vào số bể lọc và chu kì rửa các bể lọc. Thể tích mỗi ngăn xác định từ điều kiện thu nước của một lần rửa, sau khi lắng phải sử dụng lại nước trong bằng cách bơm đều vào điểm đầu của công trình làm sạch.

Bạn phải đăng nhập hoặc đăng ký Thành Viên TVPL Pro để sử dụng được đầy đủ các tiện ích gia tăng liên quan đến nội dung TCVN.

Mọi chi tiết xin liên hệ: ĐT: (028) 3930 3279 DĐ: 0906 22 99 66

6.349. Để thu lại cát bị trôi ra khỏi bể lọc hay bể lọc tiếp xúc khi rửa trên hệ thống thu nước rửa phải đặt bể lắng cát, tính toán bể lắng lấy theo chỉ dẫn trong tiêu chuẩn thiết kể thoát nước.

6.350. Cặn từ bể lắng hay bể lắng trong có lớp cặn lơ lửng, cặn từ hệ thống sử dụng lại nước rửa phải được chuyển vào công trình để tích và làm ráo nước, phải dùng máy bơm thoát nước để bơm cặn, độ chuyển động của cặn trong đường ống không được bé hơn 0,9m/s.

Các công trình phụ trợ trong trạm xử lí nước

6.351. Trong trạm xử lí nước cần có phòng thí nghiệm, xưởng sửa chữa và các công trình phục vụ khác. Tiêu chuẩn diện tích cho từng công trình lấy theo công suất và điều kiện địa phương, có thể chọn theo bảng 6- 31.

Bảng 6-31

Tên công trình

Diện tích phòng thí nghiệm và các công trình phụ khác

đối với các trạm xử lí nước công suất bằng m3/ngày

Dưới

Bạn phải đăng nhập hoặc đăng ký Thành Viên TVPL Pro để sử dụng được đầy đủ các tiện ích gia tăng liên quan đến nội dung TCVN.

Mọi chi tiết xin liên hệ: ĐT: (028) 3930 3279 DĐ: 0906 22 99 66

3000

10000

10000

50000

50000

100000

100000

300000

Phòng TN hóa học

Bạn phải đăng nhập hoặc đăng ký Thành Viên TVPL Pro để sử dụng được đầy đủ các tiện ích gia tăng liên quan đến nội dung TCVN.

Mọi chi tiết xin liên hệ: ĐT: (028) 3930 3279 DĐ: 0906 22 99 66

Phòng đặt cân

Phòng kiểm nghiệm vi trùng

 

 

Phòng nuôi cấy môi trường và nghiên cứu thủy, sinh vật

Phòng để làm kho chứa dụng cụ chai lọ và hóa chất thí nghiệm

30

 

Bạn phải đăng nhập hoặc đăng ký Thành Viên TVPL Pro để sử dụng được đầy đủ các tiện ích gia tăng liên quan đến nội dung TCVN.

Mọi chi tiết xin liên hệ: ĐT: (028) 3930 3279 DĐ: 0906 22 99 66

 

 

10

 

10

30

 

20

Bạn phải đăng nhập hoặc đăng ký Thành Viên TVPL Pro để sử dụng được đầy đủ các tiện ích gia tăng liên quan đến nội dung TCVN.

Mọi chi tiết xin liên hệ: ĐT: (028) 3930 3279 DĐ: 0906 22 99 66

 

10

 

10

40

 

6

20

 

Bạn phải đăng nhập hoặc đăng ký Thành Viên TVPL Pro để sử dụng được đầy đủ các tiện ích gia tăng liên quan đến nội dung TCVN.

Mọi chi tiết xin liên hệ: ĐT: (028) 3930 3279 DĐ: 0906 22 99 66

10

 

10

40

 

6

30

 

 

Bạn phải đăng nhập hoặc đăng ký Thành Viên TVPL Pro để sử dụng được đầy đủ các tiện ích gia tăng liên quan đến nội dung TCVN.

Mọi chi tiết xin liên hệ: ĐT: (028) 3930 3279 DĐ: 0906 22 99 66

 

15

2 phòng 40 và

20

8

2 phòng 20 và

20

15

 

Bạn phải đăng nhập hoặc đăng ký Thành Viên TVPL Pro để sử dụng được đầy đủ các tiện ích gia tăng liên quan đến nội dung TCVN.

Mọi chi tiết xin liên hệ: ĐT: (028) 3930 3279 DĐ: 0906 22 99 66

20

Phòng điều khiển trung tâm

Quy định theo thiết kế điều khiển tập trung và tự động hóa

Phòng công nhân trực ca

8

10

15

20

25

Bạn phải đăng nhập hoặc đăng ký Thành Viên TVPL Pro để sử dụng được đầy đủ các tiện ích gia tăng liên quan đến nội dung TCVN.

Mọi chi tiết xin liên hệ: ĐT: (028) 3930 3279 DĐ: 0906 22 99 66

Xưởng sửa chữa hàng ngày

Xưởng cơ khí và đường ống

Phòng bảo vệ cổng tường rào

6

10

20

8

6

10

Bạn phải đăng nhập hoặc đăng ký Thành Viên TVPL Pro để sử dụng được đầy đủ các tiện ích gia tăng liên quan đến nội dung TCVN.

Mọi chi tiết xin liên hệ: ĐT: (028) 3930 3279 DĐ: 0906 22 99 66

10

15

15

30-40

10

15

20

40

15

Bạn phải đăng nhập hoặc đăng ký Thành Viên TVPL Pro để sử dụng được đầy đủ các tiện ích gia tăng liên quan đến nội dung TCVN.

Mọi chi tiết xin liên hệ: ĐT: (028) 3930 3279 DĐ: 0906 22 99 66

25

40-50

20

Ghi chú:

1) Các nhà sinh hoạt và công cộng khác như: hành chính, tài vụ, kế hoạch, kĩ thuật, câu lạc bộ, nhà tạm, nhà ăn, nhà trẻ, nhà vệ sinh vv… Tuỳ theo số người quản lí mà lấy theo các tiêu chuẩn thiết kế công trình kiến trúc dân dụng hiện hành.

2) Trong thành phố có nhiều trạm xử lí nước thì các phòng thí nghiệm, kiểm nghiệm xây dựng ở một trạm thuận tiện nhất, nhưng trong từng trạm phải có phòng kiểm nghiệm tại chỗ với diện tích không nhỏ hơn 6m2.

3) Nếu trong thành phố có nhiều trạm xử lí nước thì chỉ cần xây dựng một xưởng cơ khí và đường ống chung, trong trạm có xưởng cơ khí và đường ống chung thì hhông cần xây dựng xưởng sửa chữa hàng ngày.

4) Trong trường hợp các trạm xử lí có công suất bé hơn 3000m3/ngày xây dựng gần cơ quan y tế địa phương, nếu cơ quan y tế đảm nhận được việc kiểm nghiệm nước thì trạm hhông cần xây dựng phòng kiểm nghiệm nhưng phải có phòng kiểm nghiệm tại chỗ diện tích không nhỏ hơn 6m2.

6.352. Các phòng hành chính sự nghiệp, các phòng sinh hoạt khác nên bố trí ở ngoài trạm xử lí. Trong trường hợp không bố trí ở ngoài được thì nên bố trí trong một nhà đặt gần cổng ra vào trạm và cách xa khu vực sản xuất.

Bạn phải đăng nhập hoặc đăng ký Thành Viên TVPL Pro để sử dụng được đầy đủ các tiện ích gia tăng liên quan đến nội dung TCVN.

Mọi chi tiết xin liên hệ: ĐT: (028) 3930 3279 DĐ: 0906 22 99 66

6.353. Các công trình phải đặt theo độ dốc tự nhiên của địa hình có tính toán tổn thất áp lực trong các công trình, trong các ống nối và qua các thiết bị đo.

6.354. Trị số độ chênh mực nước trong các công trình và trong các ống nối phải xác định theo tính toán cụ thể, để sơ bộ bố trí cao độ các công trình, tổn thát áp lực có thể lấy như sau:

Trong các công trình:

Trong bể trộn:                                                   0,4- 0,9m

Dưới tang trống và Micophin                             0,5- 0,7m

Trong bể tạo bông                                            0,4- 0,5m

Trong bể lắng                                                    0,6- 0,7m

Trong bể lắng trong có lớp cặn lơ lửng              0,7-0,8m

Trong bể lọc                                                     3 – 3,5m

Bạn phải đăng nhập hoặc đăng ký Thành Viên TVPL Pro để sử dụng được đầy đủ các tiện ích gia tăng liên quan đến nội dung TCVN.

Mọi chi tiết xin liên hệ: ĐT: (028) 3930 3279 DĐ: 0906 22 99 66

Trong bể lọc chậm                                            1,5-2m

Trong các đường ống nối:

Từ bể trộn đến bể lắng                                      0,3-0,5m

Từ bể trộn đến bể lắng trong                             0,5m

Từ bể trộn hay ngăn vào đến bể lọc tiếp xúc      0,5- 0,7m

Từ các bể lắng đển bể lọc                                 0,5- 1m

Từ bể lọc hay bể lọc tiếp xúc đến bể chứa nước sạch – 1m tổn thất áp lực trong các thiết bị đo ở điểm nước vào và điểm nước ra khỏi trạm, lấy 0,5m, trong các thiết bị đo chỉ lưu lượng ở bể lắng, bể lắng trong có lớp cặn lơ lửng bể lọc và bể lọc tiếp xúc lấy từ 0,2- 0,3m.

6.355. Trong các trạm xử lí nước phải thiết kế các đường ống vòng qua các công trình xử lí, phòng khi trạm hỏng có thể chuyển được nước thô cho nguồn tiêu thụ, hoặc khi có một công trình nào đó trong dây chuyền xử lí bị hỏng có thể dẫn nước vòng qua nó sang công trình tiếp theo. Đối với trạm công suất dưới 10.000m3/ ngày phải dự kiến khả năng ngừng không lớn hơn 30% số công trình. Đối với trạm có công suất 10.000

-100.000 không lớn hơn 20%. Đối với trạm công suất lớn hơn 100.000 m3/ng có thể không cần đặt các ống vòng, khi đo công suất của một đơn vị công trình trong dây chuyền của nó không được nhỏ hơn 20%.

Bạn phải đăng nhập hoặc đăng ký Thành Viên TVPL Pro để sử dụng được đầy đủ các tiện ích gia tăng liên quan đến nội dung TCVN.

Mọi chi tiết xin liên hệ: ĐT: (028) 3930 3279 DĐ: 0906 22 99 66

6.357. Nước xả có axit trong các trạm Cationit hay khử muối trước khi xả vào hồ chứa phải được trung hòa.

6.358. Nước thải của phòng thí nghiệm nhà tạm, nhà vệ sinh v.v… xả vào hệ thống thoát nước thải sinh hoạt.

7. Trạm bơm

7.1. Trong gian máy của trạm bơm có thể đặt những nhóm máy có mục đích khác nhau.

Ghi chú: Trong các trạm bơm nước sinh hoạt không cho phép đặt máy để bơm dung dịch độc hại và có mùi hôi.

7.2. Tuỳ theo mức độ an toàn có thể chia trạm bơm ra làm 3 loại theo bảng 7- l.

Bảng 7- 11

Bậc tin cậy của trạm bơm

Đặc điểm hộ dùng nước

Bạn phải đăng nhập hoặc đăng ký Thành Viên TVPL Pro để sử dụng được đầy đủ các tiện ích gia tăng liên quan đến nội dung TCVN.

Mọi chi tiết xin liên hệ: ĐT: (028) 3930 3279 DĐ: 0906 22 99 66

 

Loại 2

 

 

 

 

Loại 3

– Không được ngừng cung cấp nước; hệ thống chữa cháy riêng và hệ thống chữa cháy kết hợp.

– Được phép ngừng cung cấp nước trong thời gian ngắn để người điều khiển mở máy dự phòng.

Bạn phải đăng nhập hoặc đăng ký Thành Viên TVPL Pro để sử dụng được đầy đủ các tiện ích gia tăng liên quan đến nội dung TCVN.

Mọi chi tiết xin liên hệ: ĐT: (028) 3930 3279 DĐ: 0906 22 99 66

– Đối với trạm bơm cung cấp nước cho khu dân cư với quy mô trên 5000 người.

– Được phép ngừng cung cấp nước để khắc phục sự cố, nhưng không quá l ngày.

– Đối với hệ thống chữa cháy riêng và hệ thống kết hợp có nhu cầu nước chữa cháy tới 201/s trong khu dân cư tới 5000 người.

– Hệ thống cung cấp nước sinh hoạt cho khu dân cư tới 5000 người.

– Cung cấp nước tưới cây rửa đường.

– Cung cấp nước cho các công trình phụ của nhà máy.

– Khi tải nước bằng một đường ống duy nhất.

Ghi chú:

1- Phân loại mức độ an toàn của trạm bơm phải lấy trùng hợp với mức độ an toàn của nguồn cung cấp điện, theo điều 12.1.

Bạn phải đăng nhập hoặc đăng ký Thành Viên TVPL Pro để sử dụng được đầy đủ các tiện ích gia tăng liên quan đến nội dung TCVN.

Mọi chi tiết xin liên hệ: ĐT: (028) 3930 3279 DĐ: 0906 22 99 66

3- Các trạm bơm cấp nước phục vụ cho công nghiệp thì thiết kế theo yêu cầu riêng của sản xuất.

7.3. Việc chọn kiểu bơm và số lượng tổ máy hoạt động phải dựa trên cơ sở tính toán làm việc đồng thời của máy bơm, ống dẫn mạng lưới và dung tích điều hoà phải căn cứ vào biểu đồ tiêu thụ nước hàng ngày và hàng năm, điều kiện chữa máy, chế độ làm việc tối ưu của máy bơm và giai đoạn hoạt động của công trình cấp nước.

Ghi chú: Khi chọn kiểu máy bơm cần triệt để sử dụng máy bơm trục ngang .

7.4. Việc kết hợp giữa trạm bơm đợt I và các công trình thu nước cần tuân theo các quy định ở phần công trình thu, khi xét thấy có lợi về kinh tế kĩ thuật thì có thể thiết kế kết hợp trạm bơm đợt 1 và trạm bơm đợt 2. Nói chung các bơm chữa cháy, các bơm gió và bơm nước rửa lọc nên bố trí kết hợp trong trạm bơm đợt 2. Quạt gió để khử sắt thường đặt gần thùng khử sắt cưỡng bức.

7.5. Khi thiết kế các trạm cần phải dự kiến khả năng tăng công suất của trạm bằng cách thay thế các máy bơm có công suất lớn hơn hoặc trang bị thêm các máy bơm bổ sung.

7.6. Số lượng máy bơm dự phòng trong các trạm bơm cấp nước cho một mạng lưới hoặc ống dẫn được chọn theo bảng 7-2.

Bảng 7-2

Số lượng tổ máy hoạt động của một nhóm máy

Số lượng tổ máy dự phòng đặt trong trạm bơm

Bạn phải đăng nhập hoặc đăng ký Thành Viên TVPL Pro để sử dụng được đầy đủ các tiện ích gia tăng liên quan đến nội dung TCVN.

Mọi chi tiết xin liên hệ: ĐT: (028) 3930 3279 DĐ: 0906 22 99 66

Bậc tin cậy II

Bậc tin cậy III

1

Từ 2 đến 3

Từ 4 đến 6

Từ 7 đến 9

Từ 10 và trên 10

2

1-2

Bạn phải đăng nhập hoặc đăng ký Thành Viên TVPL Pro để sử dụng được đầy đủ các tiện ích gia tăng liên quan đến nội dung TCVN.

Mọi chi tiết xin liên hệ: ĐT: (028) 3930 3279 DĐ: 0906 22 99 66

2-3

3-4

1

1

2

2

3

1

1

Bạn phải đăng nhập hoặc đăng ký Thành Viên TVPL Pro để sử dụng được đầy đủ các tiện ích gia tăng liên quan đến nội dung TCVN.

Mọi chi tiết xin liên hệ: ĐT: (028) 3930 3279 DĐ: 0906 22 99 66

2

2

Ghi chú:

1. Trong số tổ máy hoạt động có tính cả máy bơm, chữa cháy.

2. Khi trong một nhóm máy có đặc tính khác nhau thì số lượng tổ máy dự phòng lấy theo các máy có công suất lớn như bảng 7-2; đối với máy có công suất nhỏ thì lấy ít đi 1 máy so với bảng 7-2.

3. Khi trạm bơm chỉ làm nhiệm vụ chữa cháy hay trong trạm bơm sinh hoạt có hệ thống chữa cháy kết hợp áp lực cao, thì đặt thêm 1 tổ máy dự phòng chữa cháy.

4. Cho phép không đặt máy bơm chữa cháy dự phòng đối với khu dân cư có nhu cầu chữa cháy d 20 1/s và đối với xí nghiệp công nghiệp có mức độ nguy hiểm chịu lửa loại D và Z, đối với nhà công nghiệp xếp loại I và II về chịu lửa, có mái, tường và tường ngăn không cháy.

5. Trong trạm bơm đợt 1 xây kết hợp với công trình thu có bậc tin cậy II và III, với số tổ máy hoạt động từ 4 trở lên thì số lượng tổ máy dự phòng lấy ít đi1.

6. Trong trạm bơm bậc tin cậy III có số tổ máy hoạt động từ 7 trở lên thì cho phép để 1 trong số tổ máy dự phòng trong kho.

Bạn phải đăng nhập hoặc đăng ký Thành Viên TVPL Pro để sử dụng được đầy đủ các tiện ích gia tăng liên quan đến nội dung TCVN.

Mọi chi tiết xin liên hệ: ĐT: (028) 3930 3279 DĐ: 0906 22 99 66

8. Đối với trạm bơm giếng khoan đứng máy bơm trục đứng. Khi có giếng (cả bơm) dự trữ thì không cần máy bơm dự trữ.

9. Nếu trạm bơm cần cung cấp nước liên tục thì đối với bơm nước rửa lọc phải đặt 2 bơm rửa: 1 hoạt động và 1 dự phòng.

7.7. Chiều rộng nhỏ nhất của lối đi giữa các phần nhô ra của máy bơm, đường ống và động cơ không được nhỏ hơn:

– Giữa các tổ máy mà động cơ có điện thế nhỏ hơn 1000 vôn – 1m có điện thế trên 1000 vôn – 1,2m.

– Giữa tổ máy và tường của trạm bơm chìm – 0,7m.

– Các trạm bơm khác lm.

– Giữa các máy nén khí – 1,5m.

– Giữa tổ máy và bảng phân phối – 2m .

– Giữa các phần chuyển động của động cơ nhiệt – 1,2m .

Bạn phải đăng nhập hoặc đăng ký Thành Viên TVPL Pro để sử dụng được đầy đủ các tiện ích gia tăng liên quan đến nội dung TCVN.

Mọi chi tiết xin liên hệ: ĐT: (028) 3930 3279 DĐ: 0906 22 99 66

– Đặt tổ máy sát tường, không có khoảng trống giữa tổ máy và tường, đặt 2 tổ máy trên l bệ nhưng phải có lối đi xung quanh máy, với chiều rộng nhỏ nhất 0,7m. Khi xác định kích thước gian máy cần tính đến diện tích để tháo lắp máy bơm .

– Để giảm kích thước trạm bơm trên mặt bằng, cho phép bố trí máy với trục quay phải và quay trái nhưng bánh xe công tác chỉ được chuyển động về một phía.

7.8. Kết cấu bao che trạm bơm nên làm vững chắc bằng gạch, bê tông đối với phần nổi trên mặt đất; phần chìm dưới mặt đất có thể làm bằng gạch hay bê tông, tuỳ theo tình hình địa chất, địa chất thuỷ văn và quy mô công trình mà thiết kế. Khi thiết kế trạm bơm nằm dưới mực nước ngầm hoặc mực nước cao nhất của sông hồ thì phải có biện pháp chống thấm cho đáy và thành trạm bơm. Lớp vật liệu chống thấm phải cao hơn các mực nước trên là 0,5m. Các trạm bơm đều phải có biện pháp thoát nước bên trong trạm bằng thủ công hay bằng cơ giới. Mặt bệ máy bơm phải cao hơn mặt nền trạm bơm tối thiểu 0,2 – 0,3m.

7.9. Trục các máy bơm nên đặt thấp hơn mực nước thấp nhất trong bể chứa hay sông, hồ để dễ dàng tự động hoá và đảm bảo an toàn trong khi làm việc. Trường hợp không thể đặt trục các máy bơm thấp hơn mực nước nói trên thì cần phải đặt Cơrêpin ở đầu ống hút và phải có biện pháp mồi nước cho máy bơm.

Các biện pháp mồi nước có thể là:

1- Lấy trực tiếp từ ống dây chung của một nhóm máy bơm.

2- Lấy nước trực tiếp từ bể lọc lắng.

3- Dùng thùng nước mồi đặt trong trạm bơm hay dùng đài nước.

4- Dùng bơm chân không.

Bạn phải đăng nhập hoặc đăng ký Thành Viên TVPL Pro để sử dụng được đầy đủ các tiện ích gia tăng liên quan đến nội dung TCVN.

Mọi chi tiết xin liên hệ: ĐT: (028) 3930 3279 DĐ: 0906 22 99 66

7.10. Chiều cao của gian đặt máy bơm mà không có thiết bị nâng thì lấy tối thiểu là 3m. Nếu có thiết bị nâng thì xác định theo tính toán bảo đảm khoảng cách từ đáy vật được nâng đến đỉnh các thiết bị đặt ở dưới không được nhỏ hơn 0,5m.

7.11. Kích thước cửa ra vào của trạm bơm phải đủ rộng để vận chuyển các thiết bị máy móc ra vào được dễ dàng. Trạm bơm cần được bố trí nhiều cửa sổ để lấy ánh sáng tự nhiên và thông hơi thoáng gió tốt. Khi cần thiết có thể bố trí hệ thống thông hơi nhân tạo để đảm bảo cho nhiệt độ trong trạm bơm không lớn hơn 370 – 400C.

7.12. Căn cứ vào trọng lượng nặng nhất của các bộ phận máy bơm hoặc động cơ điện mà trạm bơm cần được trang bị các thiết bị nâng sau đây:

– Khi trọng lượng từ 0,2- 0,5T: dùng giá 3 chân di động.

– Khi trọng lượng từ 0,5 – 2 T: dùng palăng ray kéo tay.

– Khi trọng lượng từ 2- 5T: Dùng cầu chạy kiểu treo

– Khi trọng lượng lớn hơn 5T: Dùng cầu chạy điện.

7.13. Khi số máy bơm đặt trong trạm bơm lớn hơn 3 (Kể cả máy bơm công tác và dự phòng) nếu dùng ống hút chung thì số ống hút không được nhỏ hơn 2 và nên đặt 2 đường ống dây chung. Ngoài ra phải đảm bảo điều kiện:

Khi l ống hút bị hỏng thì các đường ống hút còn lại vẫn đảm bảo được lượng nước tính toán của trạm, ống hút của máy bơm cần có độ dốc tối thiểu i = 0,005 cao về phía máy bơm. Đối với loại bơm gió rửa lọc gây tiếng ồn lớn thì ống hút của máy bơm gió cần phải đưa ra ngoài trạm và có hố tiêu âm.

Bạn phải đăng nhập hoặc đăng ký Thành Viên TVPL Pro để sử dụng được đầy đủ các tiện ích gia tăng liên quan đến nội dung TCVN.

Mọi chi tiết xin liên hệ: ĐT: (028) 3930 3279 DĐ: 0906 22 99 66

Bảng 7-3

Đường kính ống (mm)

Vận tốc nước chảy trong ống đặt trong trạm bơm (m/g)

ống hút

ống đẩy

Dưới 250

Từ 300-800

Lớn hơn 800

0,7 – 1,0

Bạn phải đăng nhập hoặc đăng ký Thành Viên TVPL Pro để sử dụng được đầy đủ các tiện ích gia tăng liên quan đến nội dung TCVN.

Mọi chi tiết xin liên hệ: ĐT: (028) 3930 3279 DĐ: 0906 22 99 66

1,3 – 2,0

1,0 – 1,5

1,2 – 1,8

1,8 – 3,0

Ghi chú: Cho phép thay đổi vận tốc không quá 20% để máy bơm làm việc phù hợp với yêu cầu.

7.15. Trên đường ống đẩy của máy bơm phải đặt van, chắn và van l chiều. Vị trí van l chiều đặt giữa máy bơm và van chắn.

– Trên đường ống hút thì van chắn cần đặt trong trường hợp máy bơm tự mồi hoặc các máy bơm nối với ống hút chung.

7.16. Bố trí phụ từng trên ống đẩy và ống hút phải bảo đảm khả năng thay thế hay sửa chữa bất kì các máy bơm, van l chiều, cũng như các phụ tùng khác mà vẫn phát được 70% lưu lượng nước cho nhu cầu sinh hoạt đối với trạm bơm bậc tin cậy I và II, và 50% lưu lượng đối với trạm bơm bậc tin cậy III.

7.17. Các đường ống bên trong trạm bơm nên làm bằng ống thép nối mặt bích và phải đặt trên gối tựa; nếu trạm bơm có công suất nhỏ cho phép dùng ống gang. Phải quét sơn để bảo vệ các ống và phụ tùng trong phạm vi bơm trước khi đưa vào sử dụng. Các đường ống hút và ống đẩy của máy bợm có thể đặt nổi trên sàn nhà hay đặt trong mương có nắp tháo dễ dàng. Không cho phép đặt ống đi ngầm qua bệ máy bơm. Khi đặt ống trong mương thì phải có độ dốc hướng về hố thu nước. Kích thước mương phải đủ rộng để tháo lắp đường ống được dễ dàng, thường lấy như sau:

Bạn phải đăng nhập hoặc đăng ký Thành Viên TVPL Pro để sử dụng được đầy đủ các tiện ích gia tăng liên quan đến nội dung TCVN.

Mọi chi tiết xin liên hệ: ĐT: (028) 3930 3279 DĐ: 0906 22 99 66

                                                Chiều cao mương              H = đ + 400mm

– Đối với ống có đường kính từ 500mm trở lên thì               B = d + 800mm.

                                                và                                     H = d + 600mm.

– Tại vị trí đặt các mối nối thì chiều rộng của mương lấy theo điều 8.47. Trong đó: d là đường kính của ống đặt trong mương tính bằng mm.

Khi ống chui qua tường nếu ở trong đất khô thì dùng đất sét nhão và vữa xi măng để nhét đầy lỗ; nếu trong đất ướt phải có biện pháp ngăn nước, tuyệt đối không cho nước thấm qua lỗ chui của ống để vào trạm bơm.

7.18. Các máy bơm phải được trang bị: Đồng hồ đo áp lực, van xả không khí… các máy bơm lớn phải được trang bị đồng hồ chân không. Trong trạm bơm cần bố trí các thiết bị đo lưu lượng nước, áp lực nước, các tín hiệu mực nước trong các công trình liên quan, các tủ điện hoặc hộp cầu dao điện vv…

7.19. Phải đặt máy bơm sao cho chiều cao hút chân không không được vượt quá chiều cao hút cho phép của máy bơm đã chọn, có tính đến tổn thất áp lực trong ống hút, điều kiện nhiệt độ, áp suất riêng phần của hơi nước và không để sinh ra hiện tượng ăn mòn cánh quạt. Đối với bơm hướng trục cần có trụ đỡ phía mặt hút, phải tuân theo chỉ dẫn của nhà máy sản xuất khi máy bơm làm việc.

7.20. Đường vào trạm bơm phải rải đá cấp phối hay làm đường nhựa.

7.21. Chiều sâu gian đặt máy (từ mặt đất đến nền) xác định theo các thông số kĩ thuật.

Bạn phải đăng nhập hoặc đăng ký Thành Viên TVPL Pro để sử dụng được đầy đủ các tiện ích gia tăng liên quan đến nội dung TCVN.

Mọi chi tiết xin liên hệ: ĐT: (028) 3930 3279 DĐ: 0906 22 99 66

7.22. Cho phép trạm bơm với các công trình khác của hệ thống cấp nước nhưng phải cách li bằng cấu kiện không cháy và có cửa trực tiếp ra ngoài.

7.23. Không cho phép xây tường chịu lực của trạm bơm đợt II- III và trạm bơm tuần hoàn lên thành bể chứa và hố thu.

7.24. Khi trạm bơm ở xa khu quảm lí chung thì trong trạm bơm phải có buồng giao ca, có tủ đựng quần áo, không phụ thuộc vao thời gian làm việc của trạm.

7.25. Việc vận hành các máy bơm phải tuân theo quy trình quản lí kĩ thuật. Nếu cho máy bơm làm việc mà van trên đường ống dẫn đã mở sẵn phải dựa trên cơ sở tính toán, có kể đến đặc tính của máy bơm và động cơ, và khả năng nước va trên đường ống.

7.26. Trong trạm bơm phải có hệ thống chữa cháy.

Đối với trạm bơm có động cơ điện hạ thế phải có 2 bình khí chữa cháy cầm tay. Với trạm bơm có động cơ đốt trong công suất dưới 500 mã lực – cần 4 bình.

Trong trạm bơm có thiết bị điện cao thế hoặc động cơ đốt trong công suất trên 500 mã lực phải đặt thêm 2 bình khí CO2 chữa cháy, bể chứa nước 200 lít, 2 tấm amiăng có kích thước 2 x 2m.

7.27. Trong trạm bơm có đặt động cơ đốt trong cho phép đặt bể chứa nhiên liệu với số lượng như sau:

Xăng 250 lít, ma dút 500 lít.

Bạn phải đăng nhập hoặc đăng ký Thành Viên TVPL Pro để sử dụng được đầy đủ các tiện ích gia tăng liên quan đến nội dung TCVN.

Mọi chi tiết xin liên hệ: ĐT: (028) 3930 3279 DĐ: 0906 22 99 66

Thiết bị thủy khí nén

7.28. Thiết bị thuỷ khí nén được áp dụng trong trường hợp; khi áp lực không ổn định, cần điều hoà áp lực thay cho két nước lớn .

– Khi áp lực ổn định mà đặt thiết bị thủy khí nén phải có đầy đủ cơ sở tính toán.

7.29. Trị số áp lực tối thiểu trong bình chứa của thiết bị thuỷ khí nén có áp lực thay đổi phải đảm bảo áp lực tính toán trong mạng lưới khi mực nước trong bình chứa thấp nhất.

7.30. Trong thiết bị thủy khí nén với áp lực thay đổi cho phép đặt l máy nén khí với 1 nguồn cung cấp điện hoặc dùng chung với hệ thống khí nén của nhà máy với điều kiện không được ngừng cấp khí nén.

7.31. áp suất tối thiểu và tối đa P (at) cũng như tổng dung tích bình chứa V(m3) trường hợp áp lực thay đổi xác định theo công thức:

Trong đó:

P1- áp suất tối thiểu trong bình chứa của thiết bị thủy khí nén với áp lực do máy bơm bắt đầu làm việc (at).

Bạn phải đăng nhập hoặc đăng ký Thành Viên TVPL Pro để sử dụng được đầy đủ các tiện ích gia tăng liên quan đến nội dung TCVN.

Mọi chi tiết xin liên hệ: ĐT: (028) 3930 3279 DĐ: 0906 22 99 66

V – Tổng dung tích bình chứa (m3)

W – Dung tích điều hoà nước của bình chứa (m3) xác định theo chỉ dẫn ở điều 9.5.

Lấy α = 0,6 khi áp lực máy bơm < 75m

α = 0,75 khi áp lực máy bơm > 75m

β Hệ số dự phòng dung tích bể chứa lấy

β = 1,1- 1,3

7.32. Độ đảm bảo áp suất không đổi trong bình chứa nước phải đặt van điều chỉnh trên đường ống dẫn khí nối bình chứa nước và bình chứa khí nén.

7.33. Số lượng máy nén khí trong thiết bị thuỷ khí nén, trường hợp áp lực ổn định không được nhỏ hơn 2; trong đó l máy dự phòng. Số lượng nguồn cung cấp điện xác định theo bậc tin cậy của công trình.

Bạn phải đăng nhập hoặc đăng ký Thành Viên TVPL Pro để sử dụng được đầy đủ các tiện ích gia tăng liên quan đến nội dung TCVN.

Mọi chi tiết xin liên hệ: ĐT: (028) 3930 3279 DĐ: 0906 22 99 66

7.35. Cần phải tự động hoá quá trình làm việc của thiết bị thuỷ khí nén.

7.36. Thiết bị thuỷ khí nén đặt trong nhà phải cách li với các phòng khác bằng tường ngăn chịu lửa và có cửa thông trực tiếp ra ngoài.

7.37. Khoảng cách từ mặt trên của bình chứa đến trần không được nhỏ hơn lm. Khoảng cách giữa các bình chứa và từ bình chứa đến tường nhà không được nhỏ hơn 0,5m.

7.38. Bình chứa của thiết bị thuỷ khí nén được tính toán theo tiêu chuẩn kĩ thuật của các bình làm việc có áp lực.

8. ống dẫn, mạng lưới đường ống và các công trình trên mạng

8.1. Số lượng các đường ống dẫn nước thường không được nhỏ hơn 2. Đường kính ống dẫn và số lượng các ống nối phải thiết kế sao cho khi có sự cố trên một đoạn ống nào đó của đường ống dẫn thì lưu lượng nước chảy qua vẫn bảo đảm tối thiểu 70% lượng nước sinh hoạt và một phần nước công nghiệp cần thiết, khi đó cần xét đến khả năng tận dụng các bể chứa và các máy bơm dự trữ. Trong trường hợp chỉ có đường ống dẫn cần thiết phải dự trữ nước với dung tích đầy đủ để bảo đảm 70% lượng nước sinh hoạt tính toán, một phần nước công nghiệp cần thiết khi có sự cố; ngoài ra cần có dự trữ nước chữa cháy và dự kiến về biện pháp chữa cháy thích hợp.

8.2. Thời gian cần thiết để khắc phục sự cố đường ống lấy theo chỉ dẫn ở bảng 8- l.

Bảng 8-1

Đường kính ống

Bạn phải đăng nhập hoặc đăng ký Thành Viên TVPL Pro để sử dụng được đầy đủ các tiện ích gia tăng liên quan đến nội dung TCVN.

Mọi chi tiết xin liên hệ: ĐT: (028) 3930 3279 DĐ: 0906 22 99 66

Đến 1,5m

Trên 1,5m

< 400

Từ 400-600

>500

8

12

18

12

Bạn phải đăng nhập hoặc đăng ký Thành Viên TVPL Pro để sử dụng được đầy đủ các tiện ích gia tăng liên quan đến nội dung TCVN.

Mọi chi tiết xin liên hệ: ĐT: (028) 3930 3279 DĐ: 0906 22 99 66

24

8.3. Mạng lưới đường ống cấp nước phải là mạng võng. Mạng lưới cụt chỉ được phép áp dụng trong các trường hợp:

– Cấp nước sản xuất khi được phép ngừng để sửa chữa.

– Cấp nước sinh hoạt khi đường kính không lớn hơn 100mm.

– Cấp nước chữa cháy khi chiều dài không quá 300m.

Ghi chú:

1- ở điểm dân cư khi số dân dưới 3000 người với tiêu chuẩn cấp nước chữa cháy 101/s được phép đặt mạng lưới cụt nếu chiều dài không quá 300m. Nhưng phải được phép của cơ quan phòng và chống cháy, đồng thời phải có dung tích trữ nước phòng chữa cháy.

2- Được phép đặt mạng lưới cụt theo phân đợt xây dựng trước khi đặt hoàn chỉnh mạng lưới võng theo quy hoạch.

8.4. Đường kính ống dẫn xác định theo chỉ dẫn ở điều 8.33, 8.34 và 8.36… Đường kính tối thiểu của mạng lưới cấp nước sinh hoạt kết hợp với chữa cháy trong các khu dân cư và các xí nghiệp công nghiệp không nhỏ hơn 100mm.

Bạn phải đăng nhập hoặc đăng ký Thành Viên TVPL Pro để sử dụng được đầy đủ các tiện ích gia tăng liên quan đến nội dung TCVN.

Mọi chi tiết xin liên hệ: ĐT: (028) 3930 3279 DĐ: 0906 22 99 66

Khi tính mạng lưới trong trường hợp có cháy thì không kể trường hợp mạng lưới gặp sự cố.

8.6. Đặt đường ống phân phối đi kèm đường ống chính chuyển tải có đường kính t 600mm thì lưu lượng đường ống phân phối d 20% lưu lượng tổng cộng .

Nếu đường ống chính < 600mm việc đặt thêm đường ống phân phối đi kèm phải có lí do chính đáng. Khi ống qua đường có mặt đường rộng t 20m cho phép đặt tách thành 2 ống đi song song .

8.7. Không được nối trực tiếp mạng lưới cấp nước sinh hoạt ăn uống với mạng lưới đường ống cấp nước có chất lượng khác nước sinh hoạt. Trường hợp cần thiết phải nối thì phải có biện pháp ngăn ngừa nhiễm bẩn nước (như làm 2 khoá nước, giữa có van xả ) và phải được sự đồng ý của cơ quan y tế.

8.8. Trên các đường ống dẫn và mạng lưới ống phân phối, khi cần thiết phải đặt các thiết bị sau đây:

a) Khoá để chia đoạn sửa chữa b) Van thử khí

c) Van xả khí

d) Van và miệng xả nước

e) Nắp để vào đường ống khi đường kính ống lớn hơn 600mm g) Thiết bị giảm áp khi có hiện tượng nước va.

Bạn phải đăng nhập hoặc đăng ký Thành Viên TVPL Pro để sử dụng được đầy đủ các tiện ích gia tăng liên quan đến nội dung TCVN.

Mọi chi tiết xin liên hệ: ĐT: (028) 3930 3279 DĐ: 0906 22 99 66

i) Trên đường ống tự chảy có áp phải đặt các giếng tiêu năng hay thiết bị bảo vệ khác để đường ống làm việc trong giới hạn áp lực cho phép.

8.9. Chiều dài đoạn đường ống để sửa chữa quy định như sau:

– Khi có 2 hoặc nhiều đường ống đặt song song và không có sự liên hệ giữa các ống lấy không quá 5km.

– Khi có sự liên hệ giữa các ống thì lấy bằng chiều dài đoạn ống giữa các điểm nối.

– Khi chỉ có một đường ống dẫn thì chiều dài không quá 3km

Đối với mạng lưới ống phân phối phải bảo đảm:

– Không được cắt qua 5 họng chữa cháy

– Không làm ngừng việc cấp nước tới các nơi dùng nước mà ở đó không cho phép gián đoạn cấp nước .

8.10. Van thử khí có thể dùng 2 loại: Tự động và điều khiển bằng tay. Van thử khí tự động đặt ở những điểm cao và ở phần trên của đoạn ống sửa chữa để loại trừ khả năng tạo nên thành chân không trong ống với trị số cao hơn trị số tính toán cho loại ống đã chọn. Nếu trị số chân không, không vượt quá trị số đã chọn thì cho phép dùng van thử khí điều khiển bằng tay đặt ở phần trên của mỗi đoạn ống sửa chữa và bố trí trong các giếng đặt van khoá chia đoạn sửa chữa.

Bạn phải đăng nhập hoặc đăng ký Thành Viên TVPL Pro để sử dụng được đầy đủ các tiện ích gia tăng liên quan đến nội dung TCVN.

Mọi chi tiết xin liên hệ: ĐT: (028) 3930 3279 DĐ: 0906 22 99 66

Đường kính của van xả khí cần xác định theo tính toán sơ bộ có thể lấy bằng:

d = 25mm đối với ống có đường kính d 500mm, d=50mm đối với ống có đường kính > 500mm.

8.12. Đường ống dẫn và mạng lưới phải đặt dốc về phía xả cặn với độ dốc không nhỏ hơn 0,001. Khi địa hình bằng phẳng thì độ dốc đặt ống cho phép giảm đến 0,0005.

8.13. Phải đặt van xả nước ở những điểm thấp nhất của mỗi đoạn ống sửa chữa. Riêng xả nước đặt ở những chỗ do thiết kế quy định để tẩy rửa đường ống trước khi đưa vào sử dụng và trong quá trình quản lí. Đường kính ống nước và van thu khí phải đảm bảo tháo sạch nước trong đoạn ống mà nó phục vụ với thời gian không lớn hơn 2 giờ.

Đường kính ống xả và miệng xả nước phải đảm bảo sao cho tốc độ nước chảy trong ống khi tẩy rửa không nhỏ hơn 1,1 lần tốc độ tính toán lớn nhất của đường ống.

Ghi chú:

1- Khi rửa bằng máy ép khí – nước thì tốc độ chuyển động của hỗn hợp khí- nước phải không nhỏ hơn 1,2 lần tốc độ tính toán lớn nhất của đường ống.

2- Khi tẩy rửa bằng máy ép khí – nước thì lưu lượng nước lấy bằng 10-25% tổng lưu lượng hỗn hợp.

8.14. Nước rửa có thể xả vào cống thoát nước mưa, mương, máng dẫn. Nếu không xả bằng tự chảy thì cho xả vào hố thu rồi dùng bơm hút đi.

Bạn phải đăng nhập hoặc đăng ký Thành Viên TVPL Pro để sử dụng được đầy đủ các tiện ích gia tăng liên quan đến nội dung TCVN.

Mọi chi tiết xin liên hệ: ĐT: (028) 3930 3279 DĐ: 0906 22 99 66

Khoảng cách giữa các họng chữa cháy xác định theo tính toán lưu lượng chữa cháy và đặc tính của họng chữa cháy. Khoảng cách này phải phù hợp với yêu cầu nêu trong tiêu chuẩn chữa cháy nhưng không quá 300m.

8.16. Khi thiết kế đường ống dẫn tự chảy không áp phải xây các giếng thăm, nếu địa hình quá dốc phải xây các giếng chuyển bậc để giảm tốc độ đọng nước và khống chế mức nước trong ống. Khoảng cách giữa các giếng thăm lấy như sau:

– Đường kính ống < 700mm thì khoảng cách không nhỏ hơn 200m.

– Đường kính ống từ 700- 1400mm khoảng cách không nhỏ hơn 400m.

8.17. Cần đặt mối co dãn trong các trường hợp:

Các mối nối trên đường ống không co dãn được theo trục ống khi thay đổi nhiệt độ nước, không khí và đất.

Trên đường ống bằng thép đặt trong hầm hay trên cầu cạn khoảng cách giữa các mối co dãn và các trục bất đông xác định theo tính toán, có xét tới cấu tạo của mối nối.

– Trên đường ống đặt trên nền đất lún đối với ống bằng thép hàn; đặt dưới đất ở những chỗ có phụ tùng bằng gang.

Nói chung, nếu cần phụ tùng bằng gang được bảo vệ chống lực kéo trung tâm bằng cách nối cứng ống với thành giếng, xây trụ đỡ hay phủ trên ống bằng lớp đất nén chặt thì không cần đặt mối co dãn.

Bạn phải đăng nhập hoặc đăng ký Thành Viên TVPL Pro để sử dụng được đầy đủ các tiện ích gia tăng liên quan đến nội dung TCVN.

Mọi chi tiết xin liên hệ: ĐT: (028) 3930 3279 DĐ: 0906 22 99 66

Mối nối động và mối co dãn của đường ống đặt dưới đất phải để trong giếng kiểm tra.

8.18. Vòi nước công cộng phải bố trí với bán kính phục vụ khoảng 100m; khi có lí do thích đáng bán kính phục vụ có thể tăng lên. Xung quanh chỗ đặt vòi nước công cộng cần xây gờ chắn và bảo đảm thoát nước được dễ dàng. Nên thiết kế kết hợp vòi nước công cộng và họng chữa cháy ở cùng một chỗ.

8.19. Chọn vật liệu và độ bền của ống dựa trên cơ sở tính toán kết hợp với điều kiện vệ sinh độ ăn mòn của đất, nước, điều kiện làm việc của ống và yêu cầu về chất lượng nước.

Đối với ống làm việc có áp, có thể dùng các loại ống: gang thép, fibrôximăng bê tông cốt thép, chất dẻo. Nói chung nên dùng ống bê tông cốt thép.

– ống gang chỉ nên dùng khi không có ống phi kim loại.

– ống thép chỉ nên dùng khi áp lực công tác cao (trên 8kg/cm2) hoặc ở những chỗ:

+ Khi ống qua đường ôtô, xe lửa, qua chướng ngại, đầm, hồ, hoặc vượt sông…

+ ống đặt trên cầu cạn, trong đường hầm

+ Khi đặt ống ở địa điểm khó xây dựng, đất lún, đất khai thác mỏ, vùng có hiện tượng Kastơ.

Bạn phải đăng nhập hoặc đăng ký Thành Viên TVPL Pro để sử dụng được đầy đủ các tiện ích gia tăng liên quan đến nội dung TCVN.

Mọi chi tiết xin liên hệ: ĐT: (028) 3930 3279 DĐ: 0906 22 99 66

+ Vật liệu làm ống trong hệ thống cấp nước sinh hoạt phải đảm bảo các yêu cầu nêu trong điều l.10.

8.20. Cần có biện pháp đề phòng hiện tượng nước va thuỷ lực trong các trường hợp:

– Máy bơm ngừng đột ngột

– Mở van trên đường ống bằng cơ giới hoá

– Đột ngột đóng hoặc mở các thiết bị thu nước.

Để đảm bảo cho đường ống làm việc an toàn cần tính toán độ tăng áp lực do hiện tượng nước va thuỷ lực và chọn biện pháp bảo vệ.

8.21. Các biện pháp đề phòng hiện tượng nước va thuỷ lực khi đóng máy bơm đột ngột.

– Đặt van thu khí trên đường ống.

– Đặt van 1 chiều trên từng đoạn ống khi áp lực thuỷ tĩnh trong mỗi đoạn không lớn.

Bạn phải đăng nhập hoặc đăng ký Thành Viên TVPL Pro để sử dụng được đầy đủ các tiện ích gia tăng liên quan đến nội dung TCVN.

Mọi chi tiết xin liên hệ: ĐT: (028) 3930 3279 DĐ: 0906 22 99 66

8.23. Thông thường đường ống dẫn nước phải đặt dưới đất. Nếu có lí do được phép đặt ống nổi, trên không, trong đường hầm hoặc đặt chung với các công trình kĩ thuật khác trong một tuyến hầm.

8.24. Đường ống đặt trên nền đất, phải căn cứ theo địa chất cụ thể và loại ống để gia cố nền.

– Khi đặt trực tiếp trên nền đất tự nhiên thì phải giữ nguồn cấu tạo của đất (trụ đá, cát chảy, bùn).

– Nếu là đá sỏi thì phải san phẳng và có lớp đệm bằng cát pha dày trên 10cm. Có thể dùng đất nhưng phải đầm kĩ để đạt tỉ trọng 1,5T/m3.

– Khi nền đất yếu phải đặt ống trên nền nhân tạo.

8.25. Chọn phương pháp bảo vệ ống thép không bị han rỉ cả bên trong và ngoài, cần phải có cơ sở số liệu về tính chất ăn mòn của đất, của nước trong ống, cũng như khả năng chịu ăn mòn của ống dẫn dòng điện lan trong đất. Tính theo chỉ dẫn ở điều 1.10.

8.26. Xác định độ sâu chôn ống dưới đất phải dựa vào tải trọng bên ngoài, độ bền của ống, ảnh hưởng của nhiệt độ bên ngoài và các điều kiện khác; trong trường hợp thông thường có thể lấy như sau:

– Với đường kính ống đến 300mm chôn sâu không nhỏ hơn 0,5m tính từ mặt đất đến đỉnh ống.

– Với đường kính ống lớn hơn 300mm chôn sâu không nhỏ hơn lm tính từ mặt đất đến đỉnh ống.

Bạn phải đăng nhập hoặc đăng ký Thành Viên TVPL Pro để sử dụng được đầy đủ các tiện ích gia tăng liên quan đến nội dung TCVN.

Mọi chi tiết xin liên hệ: ĐT: (028) 3930 3279 DĐ: 0906 22 99 66

1- Khi đặt ống trên vỉa hè thì có thể giảm trị số ở trên nhưng không nhỏ hơn 0,3m.

2- Khi xác định độ sâu đặt ống cần xét đến cốt mặt đất theo thiết kế quy hoạch san nền của đô thị và hhả năng sử dụng của đường ống trước khi hoàn thành công tác san nền.

8.27. Xác định đường kính ống dẫn và mạng lưới trên cơ sở tính toán kinh tế kĩ thuật.

Đồng thời cần dự kiến khả năng phải ngừng một số đoạn khi cần thiết.

8.28. Tính tổn thất áp lực cho các loại ống gang, thép, bê tông cốt thép, chất dẻo,… nhập ngoại thì sử dụng bảng tính thuỷ lực hiện hành của Liên Xô. Đối với các loại ống sản xuất trong nước thì căn cứ theo kết quả nghiên cứu khoa học. Nói chung tổn thất áp lực đơn vị phải tăng lên l- 5% tuỳ theo tình hình cụ thể của mỗi loại ống.

8.29. Khi cải tạo đường ống dẫn và mạng lưới phải áp dụng các biện pháp: (Thay đổi, đặt kèm ống mới và ống cũ, tẩy rửa ống cũ…) để khôi phục lại khả năng dẫn nước của đường ống. Trong trường hợp đặc biệt được phép lấy tổn thất áp lực trong các đoạn ống đang hoạt động và cải tạo bằng tổn thất áp lực thực tế đo.

8.30. Khi tính toán kinh tế kĩ thuật và thuỷ lực của hệ thống phân phối nước căn cứ theo đặc điểm của hệ thống nhưng phải đủ cơ sở để chọn phương án tối ưu.

Lựa chọn các trường hợp tính toán chế độ làm việc phối hợp của trạm bơm, đường ống dẫn, mạng lưới phân phối dung tích điều hoà của đài và bể chứa căn cứ theo mức độ phức tạp và yêu cầu cụ thể của hệ thống cấp nước trong mỗi thời kì:

– Lưu lượng giờ lớn nhất trong ngày dùng nước nhiều nhất.

Bạn phải đăng nhập hoặc đăng ký Thành Viên TVPL Pro để sử dụng được đầy đủ các tiện ích gia tăng liên quan đến nội dung TCVN.

Mọi chi tiết xin liên hệ: ĐT: (028) 3930 3279 DĐ: 0906 22 99 66

– Lưu lượng giờ lớn nhất có xét tới lưu lượng chữa cháy. Ngoài ra còn tính mạng lưới cho các trường hợp:

– Lưu lượng giờ trung bình trong ngày dùng nước trung bình.

– Lưu lượng giờ nhỏ nhất trong ngày dùng nước ít nhất.

Trường hợp có sự cố trên một số đoạn ống nhưng vẫn bảo đảm yêu cầu nêu ở điểm 8.1 và 8.5.

8.31. Đường ống cấp nước thường phải đặt song song với đường phố và có thể đặt ở mép đường hay tốt nhất là ở vỉa hè. Khoảng cách nhỏ nhất theo mặt bằng từ mặt ngoài ống đến các công trình và các đường ống khác xung quanh, phải xác định tuỳ theo đường kính ống, tình hình địa chất, đặc điểm công trình và thường không nhỏ hơn các quy định sau đây:

– Đến móng nhà và công trình 3m;

– Đến chân dốc đường sắt 5m;

– Đến mép mương hay chân mái dốc đường ôtô 1,5- 2,0m;

– Đến mép đường ray xe điện 1,5-2,0m;

Bạn phải đăng nhập hoặc đăng ký Thành Viên TVPL Pro để sử dụng được đầy đủ các tiện ích gia tăng liên quan đến nội dung TCVN.

Mọi chi tiết xin liên hệ: ĐT: (028) 3930 3279 DĐ: 0906 22 99 66

– Đến đường dây điện cao thế tới 35KV 1,0m;

– Đến mặt ngoài ống thoát nước mưa, ống cấp nhiệt và ống dẫn sản phẩm 1,5m;

– Đến cột điện đèn ngoài đường 1,5m;

– Đến mép cột điện cao thế 3,0m;

– Đến hàng rào 1,5m;

– Đến trung tâm hàng cây 1,5- 2,0m;

Ghi chú:

1- Trong điều kiện chật chội, bố trí khó khăn, nhưng đường kính ống nhỏ và nằm cao hơn móng của công trình có thể hạ thấp các quy định trên.

8.32. Khi cấp nước sinh hoạt ăn uống đặt song song với ống thoát nước bẩn và ở cùng một độ sâu thì khoảng cách theo mặt bằng giữa hai thành ống không được nhỏ hơn 1,5m với đường kính ống tới 200mm và không được nhỏ hơn 3m với đường kính ống tới 200mm và không được nhỏ hơn 3m với đường kính ống lớn hơn 200mm. Cùng với điều kiện trên nhưng ống cấp nước nằm dưới ống thoát nước bẩn thì khoảng cách này cần phải tăng lên tuỳ theo sự khác nhau về độ sâu đặt ống mà quyết định.

Bạn phải đăng nhập hoặc đăng ký Thành Viên TVPL Pro để sử dụng được đầy đủ các tiện ích gia tăng liên quan đến nội dung TCVN.

Mọi chi tiết xin liên hệ: ĐT: (028) 3930 3279 DĐ: 0906 22 99 66

Nếu ống cấp nước giao nhau với đường dây cáp điện, dây điện thoại thì khoảng cách tối thiểu giữa chúng theo phương đứng không được nhỏ hơn 0,5m.

8.34. Khi đường ống đi qua sông, khe suối.. thì có thể đặt trên cầu hoặc đặt dưới đáy sông, khe, suối và nên dùng ống bằng thép. ống đi qua cầu có thể đặt trong các hộp gỗ, bê tông hoặc gắn vào cầu dưới dạng kết cấu treo và có thể tính toán với tốc độ nước chảy lên tới 2,3- 3,0m/s để giảm tải trọng cho cầu. Nếu chôn ống dưới đáy sông thì số lượng ống không nhỏ hơn 2. Độ sâu từ đáy sông đến đỉnh ống phải xác định theo điều kiện xói lở của lòng sông, nói chung không được nhỏ hơn 0,5m; khi ống nằm trong vùng tàu bè đi lại nhiều thì không được nhỏ hơn lm và phải có biện pháp phòng ngừa lòng sông bị xói mòn. Hai bên bờ sông phải có giếng kiểm tra và cột báo hiệu cho thuyền bè qua lại. Phải dự kiến các biện pháp thau rửa đường ống khi cần thiết.

8.35. Phải hết sức tránh không cho đường ống cấp nước đi qua các bãi rác bẩn, nghĩa trang. Khi ống đi cạnh những nơi này thì phải có một khoảng cách tối thiểu từ 10-20m (khi ống ở trên mức nước ngầm dùng trị số nhỏ, khi ống nằm dưới mực nước ngầm lấy trị số lớn). Trường hợp phải bắt buộc đi qua những nơi đó thì phải tiến hành di chuyển mồ mả, rác rưởi đồng thời khử độc hại tại chỗ và dùng đất mới đắp vào hoặc phải đặt nổi ống trên mặt đất.

8.36. Giếng thăm trong đó bố trí van khoá, phụ tùng… có thể xây dựng bằng gạch hoặc bằng bê tông. Khi xây dựng trong vùng nước ngầm cao hơn phải có biện pháp ngăn nước cho đáy và thành glếng cao hơn mức nước ngầm cao nhất là 0,5m, nắp giếng thăm có thể làm bằng bê tông cốt thép. Nếu giếng thăm xây đúng ở chỗ xe chạy qua lại nhiều, có tải trọng lớn thì nắp phải có cấu tạo vững chắc để tránh bể vỡ hoặc thay bằng nắp gang. Cần có biện pháp thoát nước mưa và nước rò rỉ ở giếng thăm vào hệ thống thoát nước mưa hoặc mương rãnh cạnh đó. Nếu các thiết bị của phụ tùng đặt trong giếng quá nặng thì phải bố trí các trụ đỡ. Cần phải thiết kế các trụ đỡ, chống ở cuối ống cút và ở các tê chữ thập bịt kín để dự kiến phát triển cấp nước.

8.37. Khi đặt nhiều đường ống song song với nhau thì khoảng cách giữa mép ngoài của ống phải đảm bảo các điều kiện:

– Tiết kiệm khối lượng đào đắp.

– Lắp đặt và sửa chữa thuận lợi tuỳ theo loại ống.

– Phù hợp với điều kiện địa chất và địa hình

D < 250 mm               L ≥ 0,6m

Bạn phải đăng nhập hoặc đăng ký Thành Viên TVPL Pro để sử dụng được đầy đủ các tiện ích gia tăng liên quan đến nội dung TCVN.

Mọi chi tiết xin liên hệ: ĐT: (028) 3930 3279 DĐ: 0906 22 99 66

D > 600mm                L ≥ 1m

8.38. Khi đặt ống trong đường hầm thì khoảng cách giữa mép ngoài của ống đến tường hầm không được nhỏ hơn 0,2m.

Nếu có phụ tùng trên đường ống thì khoảng cách lấy theo chỉ dẫn ở điều 8- 47.

8.39. Đường ống qua đường xe lửa, tầu điện, đường ô tô nói chung phải đặt trong ống cống. Khi cần thiết có thể đặt trong đường hầm. Trường hợp đặc biệt được phép đặt trực tiếp nhưng trên cơ sở tính toán bảo đảm an toàn và tính chất của con đường (đường giao thông địa phương…).

Ghi chú:

1- Khi gần tuyến ống có đường hầm hoặc cầu vượt phải xét khả năng sử dụng công trình đó để đặt ống.

2- Đường ống trong khu công nghiệp khi qua đường cho phép không dùng ống bọc nhưng phải dùng ống thép.

8.40. Trong trường hợp đặc biệt ở cả 2 đầu đoạn ống qua đường phải có giếng kiểm tra và van chặn.

8.41. Khoảng cách từ tà vẹt đường ray hoặc mặt đường đến đỉnh ống, ống bọc hay hầm quy định như sau:

Bạn phải đăng nhập hoặc đăng ký Thành Viên TVPL Pro để sử dụng được đầy đủ các tiện ích gia tăng liên quan đến nội dung TCVN.

Mọi chi tiết xin liên hệ: ĐT: (028) 3930 3279 DĐ: 0906 22 99 66

– Khi thi công bằng biện pháp kín như kích, khoan ngang – không nhỏ hơn 1,5m.

8.42. Khoảng cách trên mặt bằng từ mặt ngoài của tường giếng thăm (ở 2 đầu đoạn qua đường) đến trục đường ray ngoài cùng hoặc đến bờ vỉa đường không nhỏ hơn 5m, đến chân taluy không nhỏ hơn 3m.

8.43. Đường kính trong của ống bọc hoặc kích thước bên trong của đường hầm quy định như sau:

– Khi thi công hở, lấy lớn hơn đường kính ngoài của ống dẫn 200mm.

– Khi thi công bằng phương pháp kín thì tuỳ thuộc vào đường kính và chiều dài của đoạn ống và điều kiện an toàn trong thi công mà xác định.

– Khi đặt ống trong đường hầm thì kích thước bên trong của đường hầm phải xác định theo điều kiện thi công và sửa chữa.

Ghi chú: Cho phép đặt nhiều ống hoặc nhiều loại công trình kĩ thuật trong 1 ống bọc hoặc 1 đường hầm, nhưng phải tuân theo những quy định về khoảng cách.

8.44. Đặt ống qua đường xe lửa chạy điện, xe điện phải có biện pháp bảo vệ ống chống ăn mòn do dòng điện lọc.

8.45. Thiết kế đặt ống qua đường sắt phải thông qua cơ quan quản lí đường sắt.

Bạn phải đăng nhập hoặc đăng ký Thành Viên TVPL Pro để sử dụng được đầy đủ các tiện ích gia tăng liên quan đến nội dung TCVN.

Mọi chi tiết xin liên hệ: ĐT: (028) 3930 3279 DĐ: 0906 22 99 66

Ghi chú: ống gang và ống bê tông cốt thép khi áp lực công tác dưới 10kg/cm2 và góc ngoặc dưới 100 cho phép không xây gối đỡ.

8.47. Khi xác định kích thước giếng thăm phải đảm bảo quy định khoảng cách từ tường giếng đến các phụ tùng như sau:

– Đường ống d đến 300               – a = 0,2m

                     d từ 300- 600          a =0,3- 0,5m

                     d trên 600               -a = 0,5 – 0,7m

– Mặt bích      d đến 400               a =0,2m

                     d trên 400               a = 0,4m

– Miệng bát    d đến 300               a =0,4m

                     d trên 300               a = 0,5m

Bạn phải đăng nhập hoặc đăng ký Thành Viên TVPL Pro để sử dụng được đầy đủ các tiện ích gia tăng liên quan đến nội dung TCVN.

Mọi chi tiết xin liên hệ: ĐT: (028) 3930 3279 DĐ: 0906 22 99 66

d đến 400      a = 0,15m d trên 400         a = 0,25m

Khi có van trong giếng thăm tuỳ theo loại van khoảng cách từ tay quay của van đến tường giếng phải đảm bảo thao tác thuận lợi.

Ghi chú: Trường hơp thật cần thiết khoảng cách từ miệng bát đến thành giếng cho phép nhỏ hơn quy định.

8.48. Trong giếng phải có thang lên xuống

8.49. Nếu giếng thăm đặt trong khu vực không có áo đường hay trong thảm cỏ thì xung quanh nắp giếng thăm phải được rải sỏi hoặc đá dăm với chiều rộng lm dốc ra phía ngoài, cao hơn nền đất 0,05m. Nếu giếng thăm đặt trong khu đất không xây dựng thì nắp giếng thăm phải cao hơn mặt đất 0,2m.

9. Dung tích dự trữ và điều hòa

9.1. Khi xác định dung tích các bể chứa và đài nước phải dựa trên biểu đồ dùng nước và bơm nước trong ngày dùng nước lớn nhất, đồng thời phải xét đến lượng nước dự trữ cho chữa cháy, dự trữ khi hư hỏng và dùng cho bản thân nhà máy nước, ngoài ra khi xử lí nước cho nhu cầu sinh hoạt phải dự kiến thể tích cần thiết theo thời gian tiếp xúc với Clo.

9.2. Thể tích nước điều hoà ở các xí nghiệp công nghiệp nối liền với hệ thống cấp nước trung tâm, phải xác định trên cơ sở biểu đồ dùng nước của từng xí nghiệp và biểu đồ bơm nước tương ứng với chế độ làm việc của cả hệ thống.

9.3. Thể tích nước điều hoà trong thùng của thiết bị thuỷ khí nén W (m3) được xác định theo công thức:

Bạn phải đăng nhập hoặc đăng ký Thành Viên TVPL Pro để sử dụng được đầy đủ các tiện ích gia tăng liên quan đến nội dung TCVN.

Mọi chi tiết xin liên hệ: ĐT: (028) 3930 3279 DĐ: 0906 22 99 66

Trong đó:

Q- Công suất định mức của một máy bơm hoặc công suất của máy bơm lớn nhất trong nhóm máy (m3/h).

n- Số lần mở máy bơm lớn nhất trong 1 giờ.

9.4. Xác định thể tích nước chữa cháy dự trữ trong các bể chứa, đài, thùng thủy khí nén ở các điểm dân cư và khu công nghiệp phải tuân theo tiêu chuẩn phòng cháy và chữa cháy khi thiết kế các công trình xây dựng (Xem phụ lục 2)

9.5. Khi lưu lượng nước nguồn không đủ để bổ sung thể tích nước chữa cháy theo thời hạn quy định (trong phụ lục 4) thì được phép kéo dài thời gian choán đầy bể với điều kiện tạo thêm dung tích nước bổ sung  Q (m3) xác định theo công thức:

Trong đó:

Q: Thể tích nước dự trữ chữa cháy

K: Tỉ số thời gian bổ sung lượng nước chữa cháy với thời gian yêu cầu theo chỉ dẫn ở điểm 14 phụ lục 2.

Bạn phải đăng nhập hoặc đăng ký Thành Viên TVPL Pro để sử dụng được đầy đủ các tiện ích gia tăng liên quan đến nội dung TCVN.

Mọi chi tiết xin liên hệ: ĐT: (028) 3930 3279 DĐ: 0906 22 99 66

– Nhu cầu sản xuất trong thời gian có sự cố.

– Nhu cầu sinh hoạt đạt 70% lượng nước tính toán

– Chữa cháy trong khoảng 2- 3 giờ khi lưu lượng chữa cháy đến 25 1/s, phụ thuộc vào mức độ chịu lửa của ngôi nhà.

Chú thích:

1- Thời gian sửa chữa đường ống phải lấy tương ứng với chỉ dẫn trong điều 8.2.

2- Việc phục hồi lượng nước dự phòng cho sự cố được thực hiện bằng cách giảm tiêu chuẩn dùng nước hoặc sử dụng máy bơm dự phòng.

3- Thời gian phục hồi lượng nước dự phòng sự cố lấy bằng 36-48 giờ.

9.7. Chiều cao đài nước hoặc bể chứa có áp phải xác định trên cơ sở tính toán thuỷ lực bảo đảm cung cấp nước trong những trường hợp bất lợi nhất.

– Với mực nước thấp nhất trong đài, bảo đảm áp lực chữa cháy trên mạng.

Bạn phải đăng nhập hoặc đăng ký Thành Viên TVPL Pro để sử dụng được đầy đủ các tiện ích gia tăng liên quan đến nội dung TCVN.

Mọi chi tiết xin liên hệ: ĐT: (028) 3930 3279 DĐ: 0906 22 99 66

9.8. Số bể chứa trong một trạm cấp nước không được nhỏ hơn 2. Trong trường hợp công suất nhà máy nhỏ, có biện pháp để cấp nước liên tục không phải dự trữ nước chữa cháy hoặc chỉ cần tiếp xúc với chất khử trùng thì cho phép thiết kế l bể.

9.9. Bể chứa có thể xây dựng bằng bêtông cốt thép hay gạch đá. Dùng loại vật liệu nào phải tùy theo tính chất của bể, điều kiện địa chất, thi công, tình hình nguyên vật liệu ở địa phương và thông qua so sánh kinh tế kĩ thuật mà quyết định. Nếu đắp đất trên nóc bể chứa thì chiều dày nên lấy khoảng 200- 300mm. Đài nước có thể xây dựng bằng bê tông cốt thép, gạch, kim loại. Đài gạch áp dụng khi dung tích và chiều cao thấp cần lợi dụng thân đài để bố trí các công trình phụ của nhà máy như kho, xưởng, văn phòng… trong các công trình phụ này không được tạo ra khói, bụi và hơi độc.

9.10. Bể chứa nước ăn uống, sinh hoạt, phải đảm bảo nước lưu thông trong thời gian không quá 48 giờ và không nhỏ hơn 1 giờ.

9.11. Bể chứa và thân đài phải đặt các ống đưa nước vào, ống dẫn nước ra, ống tràn, ống xả cặn, thang lên xuống, cửa thăm, lỗ thông hơi và thiết bị đo mực nước.

Đường kính ống tràn phải bảo đảm tháo hết lượng nước lớn nhất đi vào đài hoặc bể. ống xả cặn của đài có thể nối với ống tràn và cho chảy vào hệ thống thoát nước mưa. Phải có biện pháp đề phòng côn trùng chui qua ống tràn để vào bể chứa và bầu đài.

9.12. Việc bố trí các đường ống trong bể chứa và bầu đài cũng như bố trí các van chặn trên đường ống phải đảm bảo khả năng hoạt động độc lập của từng bể.

9.13. Đầu các đường ống trong bể và bầu đài phải làm loe miệng phễu. Khi đặt ống qua thành bể và bầu đài phải đặt lá chắn thép để tránh nước thấm qua tường.

9.14. Khi không có khả năng xả cạn bể chứa bằng tự chảy, thì được phép hút nước ra bằng máy bơm di động.

9.15. Cấu tạo hố van của bể chứa không được liên kết cứng với bể.

Bạn phải đăng nhập hoặc đăng ký Thành Viên TVPL Pro để sử dụng được đầy đủ các tiện ích gia tăng liên quan đến nội dung TCVN.

Mọi chi tiết xin liên hệ: ĐT: (028) 3930 3279 DĐ: 0906 22 99 66

9.17. Để bảo đảm cho nước lưu thông tốt trong bầu đài, dầu đường ống dẫn nước vào và ra phải đặt ở độ cao khác nhau.

9.18. Khi ngàm cung ống vào đáy bầu đài trên đường ống đứng phải đặt mối nối co dãn.

9.19. Vật liệu chống ăn mòn trong các bể chứa, bầu đài, thùng thuỷ khí nén và đường ống dẫn nước sinh hoạt phải đáp ứng yêu cầu ghi ở điều 1- 10.

9.20. Phải có thu lôi chống sét và đèn tín hiệu cho đài nước.

10. Cấp nước tuần hoàn

Chỉ dẫn chung

10.1. Khi nghiên cứu sơ đồ cấp nước phải xét đến việc tuần hoàn nước chung cho cả xí nghiệp công nghiệp hoặc dưới dạng chu trình kín cho một công đoạn, một phân xưởng hay một thiết bị riêng. Tuỳ theo mục đích dùng nước phải xét đến mức độ làm sạch cần thiết, làm tạnh, xử lí nước thải ra và dùng lại nước đó.

10.2. Số lượng hệ thống cấp nước tuần hoàn phải xác định theo yêu cầu công nghệ sản xuất, mục đích dùng nước, yêu cầu về chất lượng nước, nhiệt độ, áp lực nước và cách bố trí những điểm dùng nước trên tổng mặt bằng các đợt xây dựng.

10.3. Để giảm bớt đường kính và chiều dài của mạng lưới đường ống, trong xí nghiệp công nghiệp cần áp dụng những hệ thống cấp nước tuần hoàn riêng biệt cho các công đoạn, phân xưởng thiết bị riêng và cố gắng đặt gần nơi dùng nước.

Bạn phải đăng nhập hoặc đăng ký Thành Viên TVPL Pro để sử dụng được đầy đủ các tiện ích gia tăng liên quan đến nội dung TCVN.

Mọi chi tiết xin liên hệ: ĐT: (028) 3930 3279 DĐ: 0906 22 99 66

10.5. Việc lựa chọn thành phần, kích thước công trình và thiết bị để làm sạch, xử lí và làm lạnh nước phải xuất phát từ tải trọng lớn nhất lên những công trình đó.

Cân bằng nước trong hệ thống

10.6. Đối với hệ thống cấp nước tuần hoàn phải lập cân bằng nước bao gồm lượng nước, lượng hao hụt nước cần phải bỏ và lượng nước phải bổ sung thêm vào để bù lại lượng hao hụt.

10.7. Khi lập bảng cân bằng nước, phần nước hao hụt bao gồm:

– Nước dùng không được hoàn lại (nước lấy cho yêu cầu công nghệ) và nước mất trong sản xuất, phần nước hao hụt này lấy theo tính toán công nghệ.

– Nước hao hụt do bốc hơi khi làm lạnh, Qbhm3/h tính theo công thức:

Qbh = K. t. Q11 (10-1)

Trong đó:

t = t1-t2 mức giảm nhiệt độ nước trước và sau khi làm lạnh (làm lạnh trong hố, dàn phun hay dàn mưa).

Bạn phải đăng nhập hoặc đăng ký Thành Viên TVPL Pro để sử dụng được đầy đủ các tiện ích gia tăng liên quan đến nội dung TCVN.

Mọi chi tiết xin liên hệ: ĐT: (028) 3930 3279 DĐ: 0906 22 99 66

+ K: Hệ số kể đến phần tổn thất khi toả nhiệt do bốc hơi.

+ Đối với dàn phun và dàn mưa, K phụ thuộc vào nhiệt độ không khí (theo nhiệt kế khô) lấy theo bảng 10- 1.

+ Đối với hố làm lạnh và hố lắng nước tuần hoàn K phụ thuộc vào nhiệt độ nước trong hố, lấy theo bảng 10-2.

– Khi làm nguội sản phẩm trong thiết bị trao đổi nhiệt kiểu tưới, lượng nước hao hụt do bốc hơi tính theo công thức 10- 1 phải tăng lên 2 lần.

– Trong dàn phun, dàn mưa, trong thiết bị trao đổi nhiệt kiểu tưới, lượng nước hao hụt do gió P2 phải lấy theo bảng 10- 3.

Nước hao hụt trong công trình làm sạch phải xác định theo tính toán chỉ dẫn ở chương 6.

– Nước hao hụt do thấm ra khỏi hố lắng và hố làm lạnh được phép bỏ qua nếu hố có đáy không thấm nước và có bờ bao quanh. Nếu chỉ có đáy hố không thấm nước còn bờ bao thấm nước thì phải tính theo số liệu khảo sát địa chất thuỷ văn.

Đối với bể phun và bể làm lạnh thì không tính lượng nước thấm qua;

– Nước xả ra khỏi hệ thống (nước thải rửa) phải xác định tuỳ theo chất lượng nước tuần hoàn và nước bổ sung tuỳ theo phương pháp xử lí hoá học. Trong trường hợp này lượng nước thải rửa phải bao gồm lượng nước không hoàn lại được và lượng nước hao hụt do yêu cầu sản xuất.

Bạn phải đăng nhập hoặc đăng ký Thành Viên TVPL Pro để sử dụng được đầy đủ các tiện ích gia tăng liên quan đến nội dung TCVN.

Mọi chi tiết xin liên hệ: ĐT: (028) 3930 3279 DĐ: 0906 22 99 66

Nhiệt độ không khí 0C

0

10

20

30

40

K

0,001

0,0012

Bạn phải đăng nhập hoặc đăng ký Thành Viên TVPL Pro để sử dụng được đầy đủ các tiện ích gia tăng liên quan đến nội dung TCVN.

Mọi chi tiết xin liên hệ: ĐT: (028) 3930 3279 DĐ: 0906 22 99 66

0,0015

0,0016

 

Bảng 10-2

Nhiệt độ nước trong lòng kênh chảy vào hồ 0C

0

10

20

30

Bạn phải đăng nhập hoặc đăng ký Thành Viên TVPL Pro để sử dụng được đầy đủ các tiện ích gia tăng liên quan đến nội dung TCVN.

Mọi chi tiết xin liên hệ: ĐT: (028) 3930 3279 DĐ: 0906 22 99 66

K

0,0007

0,0009

0,0011

0,0013

0,0015

Ghi chú:

1- Đối với những nhiệt độ trung gian, K xác định bằng phương pháp nội suy .

2- Nước hao hụt do bốc hơi tự nhiên trong hồ làm lạnh phải lấy theo tiêu chuẩn tính toán hồ chứa nước.

Bạn phải đăng nhập hoặc đăng ký Thành Viên TVPL Pro để sử dụng được đầy đủ các tiện ích gia tăng liên quan đến nội dung TCVN.

Mọi chi tiết xin liên hệ: ĐT: (028) 3930 3279 DĐ: 0906 22 99 66

Loại công trình làm lạnh

 

– Hố phun công suất đến 500m3/h

– Hố phun công suất trên 500m3/h

– Dàn phun hố có lá chớp

– Dàn mưa hố và dàn phun có sóng và lá chớp, tháp làm lạnh và thiết bị trao đổi nhiệt kiểu tưới

– Dàn làm nguội có quạt gió

Nước hao hụt do gió F2 tính theo % lượng nước làm lạnh

2 – 3

Bạn phải đăng nhập hoặc đăng ký Thành Viên TVPL Pro để sử dụng được đầy đủ các tiện ích gia tăng liên quan đến nội dung TCVN.

Mọi chi tiết xin liên hệ: ĐT: (028) 3930 3279 DĐ: 0906 22 99 66

1 – 1,5

0,5 – 1,0

 

0,2 – 0,5

 

Ghi chú: Hệ số nhỏ dùng cho công trình có công suất lớn hoặc dùng để tính toán xử lí nước làm lạnh đề phòng lắng cặn cacbonat.

Yêu cầu về chất lượng nước

10.8. Yêu cầu về chất lượng nước cấp cho sản xuất phải xác định theo mục đích dùng nước và thiết bị công nghệ.

10.9. Số lượng cho phép và độ lớn của các hạt lơ lửng trong nước tuần hoàn phải xác định riêng cho từng công đoạn, đồng thời phải đảm bảo không lắng cặn trong đường ống và thiết bị trao đổi nhiệt.

Bạn phải đăng nhập hoặc đăng ký Thành Viên TVPL Pro để sử dụng được đầy đủ các tiện ích gia tăng liên quan đến nội dung TCVN.

Mọi chi tiết xin liên hệ: ĐT: (028) 3930 3279 DĐ: 0906 22 99 66

10.10. Khi cần thiết phải loại bỏ các tạp chất cơ học trong nước tuần hoàn và nước bổ sung. Việc tính toán và chọn kiểu công trình làm sạch nước phải theo chỉ dẫn ở chương 6 và tiêu chuẩn thiết kế thoát nước.

Mạng lưới bên ngoài và công trình.

10.11. Trang thiết bị trao đổi nhiệt kiểu kín, khi cần thiết phải bố trí các bộ phận để định kì súc rửa, khử những cặn bẩn cơ học và sinh vật. Lúc rửa bằng nước và không khí ép với tỉ lệ nước không khí từ l: l đến 1: 2.

Nước súc rửa bị nhiễm bẩn bởi các tạp chất cơ học phải xả vào hệ thống thoát nước sinh hoạt hay sản xuất.

Chống nước nhiễm mầu và lắng cặn sinh vật

10.12. Trong hồ chứa và trong hồ làm lạnh phải dùng sunphát đồng để chống nước nhiễm màu (bảng 10-4).

 Xử lí nước trong hồ chứa bằng cách phun tinh khô sunfát đồng có cỡ hạt từ 0,5 -1mm trên mặt nước. Trong hồ làm lạnh thì cho sunfat đồng vào miệng xả nước vào hồ.

Việc sử dụng sunfat đồng trong mỗi trường hợp đều phải được cơ quan vệ sinh dịch tễ và cơ quan bảo vệ cá cho phép.

10.13. Để chống các sinh vật phát triển trong công trình thử nước, và trong đường ống phải dùng Clo hay dung dịch sunfát đồng theo bảng 10-4 hoặc định kì xả kiệt nước trong đường ống rồi xúc rửa bằng nước nóng 45-500C và làm sạch cơ học. Có thể quét sơn màu hoặc lấy chất dẻo để ngăn ngừa sự phát triển của sinh vật.

Bạn phải đăng nhập hoặc đăng ký Thành Viên TVPL Pro để sử dụng được đầy đủ các tiện ích gia tăng liên quan đến nội dung TCVN.

Mọi chi tiết xin liên hệ: ĐT: (028) 3930 3279 DĐ: 0906 22 99 66

Tác dụng của Clo hoặc sunfát đồng

Xử lí nước làm lạnh

Clo

Sunfát đồng (theo ion đồng)

Ghi chú

Liều lượng (mg/l)

Thời gian Clo hoá cho mỗi lần

Số lần hoặc thời kì

Liều lượng (mg/l)

Bạn phải đăng nhập hoặc đăng ký Thành Viên TVPL Pro để sử dụng được đầy đủ các tiện ích gia tăng liên quan đến nội dung TCVN.

Mọi chi tiết xin liên hệ: ĐT: (028) 3930 3279 DĐ: 0906 22 99 66

Số lần

1

2

3

4

5

6

7

8

Bạn phải đăng nhập hoặc đăng ký Thành Viên TVPL Pro để sử dụng được đầy đủ các tiện ích gia tăng liên quan đến nội dung TCVN.

Mọi chi tiết xin liên hệ: ĐT: (028) 3930 3279 DĐ: 0906 22 99 66

 

0,1-0,5 theo thể tích nước ở lớp trên sâu từ 1- 1,5m

Theo số liệu thực nghiệm trong quá trình sử dụng

 

Để tính đổi ion đồng sang sản phẩm sử dụng CuSO43H2O liều lượng cần nhân với 4

Ngăn ngừa nước nhiễm mầu trong hồ làm lạnh điều 10.12

Bạn phải đăng nhập hoặc đăng ký Thành Viên TVPL Pro để sử dụng được đầy đủ các tiện ích gia tăng liên quan đến nội dung TCVN.

Mọi chi tiết xin liên hệ: ĐT: (028) 3930 3279 DĐ: 0906 22 99 66

0,1-0,5 tính cho cả thể tích hồ.

nt

 

 

Ngăn ngừa sinh vật phát  triển trong công trình thu và đường ống (điều 10.13)

Theo số liệu thực nghiệm

Khi độ hấp thụ Clo đến 3 mg/l

Bạn phải đăng nhập hoặc đăng ký Thành Viên TVPL Pro để sử dụng được đầy đủ các tiện ích gia tăng liên quan đến nội dung TCVN.

Mọi chi tiết xin liên hệ: ĐT: (028) 3930 3279 DĐ: 0906 22 99 66

1h

2 ngày 1 lần

 

 

 

7-10 ngày

Mùa xuân và mùa thu

 

 

Bạn phải đăng nhập hoặc đăng ký Thành Viên TVPL Pro để sử dụng được đầy đủ các tiện ích gia tăng liên quan đến nội dung TCVN.

Mọi chi tiết xin liên hệ: ĐT: (028) 3930 3279 DĐ: 0906 22 99 66

 

 

 

Khi hấp thụ Clo đến 3mg/l

 

 

 

 

 

Bạn phải đăng nhập hoặc đăng ký Thành Viên TVPL Pro để sử dụng được đầy đủ các tiện ích gia tăng liên quan đến nội dung TCVN.

Mọi chi tiết xin liên hệ: ĐT: (028) 3930 3279 DĐ: 0906 22 99 66

Vào những ngày nhiệt độ trung bình ngày của không khí trên +100C

Từ tháng 5 đến tháng 10

 

Ngăn ngừa vi trùngvà sinh vật phát triển trong thiết bị trao đổi nhiệt và đường ống điều 10.14

Theo kinh nghiệm quản lí hệ thống cấp nước trong điều kiện tương  tự hoặc theo công thức 10-2 nhưng không nhỏ hơn 5mg/l

40-60 phút

Bạn phải đăng nhập hoặc đăng ký Thành Viên TVPL Pro để sử dụng được đầy đủ các tiện ích gia tăng liên quan đến nội dung TCVN.

Mọi chi tiết xin liên hệ: ĐT: (028) 3930 3279 DĐ: 0906 22 99 66

Liều lượng Clo phải đảm bảo hàm lượng Clo hoạt tính còn lại trong nước đã sử dụng thiết bị trao đổi nhiệt xả chất khoảng 1mg/l trong thời gian 30-40 phút

Ngăn ngừa phát triển rong tảo trong dàn mưa, bể phun và các thiết bị trao đổi nhiệt kiểu tưới điều 10.17

1-2

1-2

Bạn phải đăng nhập hoặc đăng ký Thành Viên TVPL Pro để sử dụng được đầy đủ các tiện ích gia tăng liên quan đến nội dung TCVN.

Mọi chi tiết xin liên hệ: ĐT: (028) 3930 3279 DĐ: 0906 22 99 66

3-4 lần trong 1 tháng

 

Ngăn ngừa phát triển  sinh vật rong tảo trong dàn mưa  bể phun  và máy lạnh kiểu tưới điều 10.18

7-10

1h

3-4 lần trong 1 tháng

1-2

1h

3-4 lần trong  1 tháng

Bạn phải đăng nhập hoặc đăng ký Thành Viên TVPL Pro để sử dụng được đầy đủ các tiện ích gia tăng liên quan đến nội dung TCVN.

Mọi chi tiết xin liên hệ: ĐT: (028) 3930 3279 DĐ: 0906 22 99 66

10.14. Để đề phòng vi trùng và sinh vật phát triển trong thiết bị trao đổi nhiệt và trong đường ống phải pha Clo vào nước tuần hoàn theo bảng 10- 4. Liều lượng Clo (mg/l) tính theo công thức:

Trong đó:

a: Số hấp thụ Clo của nước đưa thêm vào hệ thống, mg/l

Kc: Hệ số cô đặc.

P1: Lượng nước hao hụt do bốc hơi (tính bằng % lưu lượng nước tuần hoàn theo điều 10.7).

P2: Lượng nước hao hụt dạng hạt thoát ra ngoài bể làm lạnh tính bằng % lượng nước tuần hoàn theo điều 10.7.

P3: Lưu lượng nước để thổi rửa và sử dụng cho yêu cầu công nghệ, tính bằng % lượng nước tuần hoàn.

Ghi chú:

Bạn phải đăng nhập hoặc đăng ký Thành Viên TVPL Pro để sử dụng được đầy đủ các tiện ích gia tăng liên quan đến nội dung TCVN.

Mọi chi tiết xin liên hệ: ĐT: (028) 3930 3279 DĐ: 0906 22 99 66

2- Xác định độ hấp thụ Clo của nước theo phương pháp phân tích công nghệ.

Thời gian Clo tiếp xúc với nước không được nhỏ hơn 10 phút và không quá 30 phút tính với tốc độ trung bình của nước từ điểm cho Clo vào đến thiết bị trao đổi nhiệt xa nhất.

10.15. Có thể dùng Clo hoặc Hypolorit Natri hay Kali để Clo hoá nước tuần hoàn. Thiết bị pha Clo để xử lí nước làm lạnh và kho tiêu thụ phải thiết kế theo chỉ dẫn của các điều 6.166- 6.178.

10.16. Nồng độ dung dịch Clo để xác định dung tích bể cần lấy bằng 0,15%.

Công suất thiết bị pha Clo q (kg/giờ) khi có bể dự trữ Clo cần tính theo công thức:

Trong đó:

Q1: Lưu lượng nước làm lạnh (m3/h)

T: Thời gian của chu kì pha Clo (h)

Bạn phải đăng nhập hoặc đăng ký Thành Viên TVPL Pro để sử dụng được đầy đủ các tiện ích gia tăng liên quan đến nội dung TCVN.

Mọi chi tiết xin liên hệ: ĐT: (028) 3930 3279 DĐ: 0906 22 99 66

LCl: Liều lượng Clo (g/m3)

n: số chu kì pha Clo trong l ngày

Số thiết bị pha Clo dự phòng phải lấy theo điều 6.174 luôn đảm bảo pha Clo dung dịch kĩ phải có bộ phận xả Clo tự động từ bể chứa Clo, lượng Clo dẫn phải điều hòa trong suốt thời gian xử lí nước.

Cho phép dẫn Clo trực tiếp vào hệ thống mà không dùng bể.

Trong xí nghiệp công nghiệp có nhiều hệ thống cấp nước tuần hoàn có thể đặt một nồi chứa Clo trung tâm có thiết bị bay hơi và dẫn Clo đến chu trình tuần hoàn Clo hai.

Đường ống dẫn Clo phải thiết kế theo điều 6.175. Đồng thời phải tính với áp lực đủ của Clo hơi trước Ejectơ là 0,5 kg/cm2.

10.17. Để đề phòng rong tảo phát triển trong dàn mưa, bể phun và các thiết bị trao đổi nhiệt kiểu tưới phải định kì xử lí nước làm lạnh bằng dung dịch sunfát đồng (bảng 10-4).

Dung tích bể để pha dung dịch sunfát đồng phải xác định với nồng độ dung dịch từ 2 đến 4 % theo Ion đồng.

10.18. Để đề phòng sinh vật phát triển trong dàn mưa, bể phun, và máy lạnh kiểu tưới (phát triển đồng thời với rong tảo) phải định kì pha thêm Clo trước khi dẫn nước đến công trình. Xử lí thêm bằng Clo phải tiến hành đồng thời hoặc sau khi xử lí bằng dung dịch sunfát đồng.

Bạn phải đăng nhập hoặc đăng ký Thành Viên TVPL Pro để sử dụng được đầy đủ các tiện ích gia tăng liên quan đến nội dung TCVN.

Mọi chi tiết xin liên hệ: ĐT: (028) 3930 3279 DĐ: 0906 22 99 66

Đề phòng ăn mòn

10.20. Những quy định trong phần này áp dụng để thiết kế hệ thống cấp nước tuần hoàn dùng nước ngọt ở các nguồn nước mặt và nước ngầm.

10.21. Khả năng ăn mòn đường ống và thiết bị trao đổi nhiệt được xác định trong quá trình quản lí hệ thống cấp nước trong khoảng thời gian từ 2 đến 6 tháng đầu.

10.22. Để bảo vệ chống ăn mòn cho đường ống và thiết bị trao đổi nhiệt, trên thành ống hoặc thiết bị phải tạo được lớp bảo vệ bằng Cacbonat, Metaphotphat hoặc Silicát.

Đối với thiết bị trao đổi nhiệt có thể dùng lớp bảo vệ catốt.

10.23. Lớp bảo vệ bằng Canxi Cacbonat (CaCO3) có chiều dày điều chỉnh được phải chọn theo đúng chế độ thổi rửa hệ thống cấp nước tuần hoàn hoặc kiềm hoá nước theo quy định ở điều 6.217.

10.24. Để tạo lớp bảo vệ Metaphotphat trên bề mặt kim loại phải lấy nồng độ Hecxametaphotphat hoặc Tripoliphotphat Natri trong nước tuần hoàn là 200mg/l trong 2- 3 ngày (tính theo sản phẩm kĩ thuật, sau đó giảm xuống đến 10- 30mg/l. Liều lượng hoá chất chứa phốt phát tinh với nước bổ sung phải được xác định bằng cách chia nồng độ phốt phát trong nước tuần hoàn cho hệ số cô đặc Ko tính theo công thức (10- 3).

10.25. Lớp bảo vệ bằng silicát trên thành ống của thiết bị trao đổi nhiệt và đường ống được tạo nên bằng cách thêm vào nước tuần hoàn dung dịch thuỷ tinh lỏng, hoặc xả một phần nước tuần hoàn qua lớp hạt silicat trong bể lọc định lượng. Nhiệt độ của nước chảy qua bể lọc phải không dưới 400C. Nồng độ dung dịch thuỷ tinh lỏng phải bằng 2- 3% tính theo SiO2.

Kích thước hạt silicát trong bể lọc định lượng lấy 2- 3mm, tỉ trọng lT/m3, chiều cao lớp hạt 2m, tốc độ lọc 100- 500 m/h.

Bạn phải đăng nhập hoặc đăng ký Thành Viên TVPL Pro để sử dụng được đầy đủ các tiện ích gia tăng liên quan đến nội dung TCVN.

Mọi chi tiết xin liên hệ: ĐT: (028) 3930 3279 DĐ: 0906 22 99 66

Bảng 10-5

Lượng Cl , SO mg/l

50

100

200

300

400

500

600

Bạn phải đăng nhập hoặc đăng ký Thành Viên TVPL Pro để sử dụng được đầy đủ các tiện ích gia tăng liên quan đến nội dung TCVN.

Mọi chi tiết xin liên hệ: ĐT: (028) 3930 3279 DĐ: 0906 22 99 66

Nồng độ Natri silicát trong nước tuần hoàn mg/l

10

12

18

25

30

35

38

40

Bạn phải đăng nhập hoặc đăng ký Thành Viên TVPL Pro để sử dụng được đầy đủ các tiện ích gia tăng liên quan đến nội dung TCVN.

Mọi chi tiết xin liên hệ: ĐT: (028) 3930 3279 DĐ: 0906 22 99 66

10-5 cho hệ số cô đặc.

Nồng độ Natrisilicat CSiO2 (tính theo SiO2) Sau bể lọc định lượng có vật liệu lọc là hạt silicat được quy định trong bảng 10- 6 .

Bảng 10-6

Nhiệt độ nước 0C

Nồng độ Natrisilicat CSiO2 sau bể lọc định lượng mg/1, khi tốc độ lọc m/h

100

200

300

400

Bạn phải đăng nhập hoặc đăng ký Thành Viên TVPL Pro để sử dụng được đầy đủ các tiện ích gia tăng liên quan đến nội dung TCVN.

Mọi chi tiết xin liên hệ: ĐT: (028) 3930 3279 DĐ: 0906 22 99 66

40

50

60

20

27

36

9

12

16

Bạn phải đăng nhập hoặc đăng ký Thành Viên TVPL Pro để sử dụng được đầy đủ các tiện ích gia tăng liên quan đến nội dung TCVN.

Mọi chi tiết xin liên hệ: ĐT: (028) 3930 3279 DĐ: 0906 22 99 66

8

11

5

7

9

4

6

8

Diện tích bể lọc định lượng F, m2, cần xác định theo công thức:

Bạn phải đăng nhập hoặc đăng ký Thành Viên TVPL Pro để sử dụng được đầy đủ các tiện ích gia tăng liên quan đến nội dung TCVN.

Mọi chi tiết xin liên hệ: ĐT: (028) 3930 3279 DĐ: 0906 22 99 66

Trong đó: Qbs lưu lượng nước bổ sung m3/h. Đường kính bể lọc định lượng lấy tối thiểu bằng 2000mm. Số bể lọc không nhỏ hơn 2.

10.26. Muốn tạo được lớp bảo vệ bằng silicát trên bề mặt ống thép trong thời gian vận hành ban đầu (1,5- 2 tháng) phải tăng nồng độ Natrisilicat trong nước tuần hoàn lên gấp đôi so với số liệu ở bảng 10- 5.

10.27. Để kiểm tra quá trình hình thành cặn cacbonát và mức độ ăn mòn trong hệ thống cấp nước tuần hoàn phải có cấu tạo để đặt mẫu thép trong dòng nước tuần hoàn.

11. Vùng bảo vệ vệ sinh

Quy định chung

11.1. Khi thiết kế mới hoặc thiết kế cải tạo hệ thống cấp nước phải thiết kế vùng bảo vệ vệ sinh.

11.2. Thiết kế vùng bảo vệ vệ sinh và các biện pháp bảo vệ vệ sinh trong vùng phải thông qua cơ quan vệ sinh phòng dịch.

11.3. Vùng bảo vệ vệ sinh của công trình cấp nước phải bao gồm: Vùng vệ sinh nguồn cấp nước kể cả mương dẫn nước; vùng bảo vệ vệ sinh đường ống dẫn nước và khu vực xây dựng công trình xử lí nước. Đối với nguồn cấp nước phải thiết kế khu vực I và khu vực II;

Đối với công trình thu và công trình xử lí phải thiết kế khu vực I;

Bạn phải đăng nhập hoặc đăng ký Thành Viên TVPL Pro để sử dụng được đầy đủ các tiện ích gia tăng liên quan đến nội dung TCVN.

Mọi chi tiết xin liên hệ: ĐT: (028) 3930 3279 DĐ: 0906 22 99 66

11.4. Vùng bảo vệ vệ sinh phải được thiết kế trên cơ sở điều tra các tài liệu sau:

– Đối với nguồn nước mặt: Tài liệu về vệ sinh và thuỷ văn;

– Đối với nguồn nước ngầm: Tài liệu về vệ sinh và địa chất thuỷ văn;

– Đối với công trình xử lí nước: Tài liệu về vệ sinh địa chất công trình và địa chất thuỷ văn.

11.5. Ranh giới khu vực I của vùng bảo vệ vệ sinh phải được xác định trên cơ sở khả năng mở rộng diện tích xây dựng công trình xử lí và đặt các ống dẫn trong tương lai.

11.6. Trong phạm vi khu vực I của vùng bảo vệ vệ sinh nếu: Xây dựng bất kì loại công trình nào cho người ở, kể cả công nhân quản lí; cấm xả nước thải, tắm giặt, bắt cá, chăn thả trâu bò; cấm sử dụng hoá chất độc, phân hữu cơ và các loại phân khoáng để bón cây.

11.7. Nhà xây dựng trong khu vực I của vùng bảo vệ vệ sinh phải có hệ thống thoát nước. Nếu không có hệ thống thoát nước thì ngăn thu của nhà vệ sinh phải được chống thấm và phải đặt ở vị trí không gây ô nhiễm khi lấy phân.

11.8. Khu vực I của vùng bảo vệ vệ sinh phải được san bằng và tổ chức thoát nước mặt ra ngoài phạm vi khu vực.

11.9. Các nhà ở, nhà máy hiện có ở gần phạm vi khu vực I của vùng bảo vệ vệ sinh phải có biện pháp chống ô nhiễm.

Bạn phải đăng nhập hoặc đăng ký Thành Viên TVPL Pro để sử dụng được đầy đủ các tiện ích gia tăng liên quan đến nội dung TCVN.

Mọi chi tiết xin liên hệ: ĐT: (028) 3930 3279 DĐ: 0906 22 99 66

Đường biên mặt nước của khu vực I phải có phao tiêu trên miệng thu đặt trong hố chứa nước có tầu bè qua lại phải đặt phao có đèn chiếu sáng.

Trên ranh giới vùng bảo vệ vệ sinh của mương dẫn nước ngoài khu dân cư phải có biển chỉ dẫn.

11.11. Khi thiết kế các công trình cấp nước trong khu vực I vùng bảo vệ vệ sinh phải có biện pháp chống nhiễm bẩn qua công trình thu, vách giếng, nắp đậy và ống tràn của bể chứa và thiết bị mồi máy bơm.

11.12. Trên khu vực I vùng bảo vệ vệ sinh của nguồn cấp nước và công trình xử lý phải tổ chức tuần tra bảo vệ thường xuyên hoặc đặt tín hiệu báo động cũng như các biện pháp bảo vệ khác theo quy định ở điều 13.6.

11.13. Khi thiết kế khu vực II vùng bảo vệ vệ sinh của nguồn cấp nước phải xét tới các yêu cầu sau đây:

– Các loại công trình được phép của cơ quan vệ sinh phòng dịch xây dựng trong khu vực này cần được thoả thuận về thời hạn thiết kế và thi công;

– Nhà máy, nhà ở, khu dân cư phải được xây dựng hoàn thiện (có hệ thống cấp nước, thoát nước bẩn và nước mưa…) để bảo vệ đất và nguồn nước khỏi bị ô nhiễm;

– Nước thải sản xuất và sinh hoạt trước khi xả vào nguồn nước trong phạm vi khu vực II vùng bảo vệ vệ sinh phải được làm sạch đảm bảo yêu cầu vệ sinh;

– Cấm đổ phân, rác, phế thải công nghiệp, hoá chất độc làm nhiễm bẩn nguồn nước và ô nhiễm môi trường;

Bạn phải đăng nhập hoặc đăng ký Thành Viên TVPL Pro để sử dụng được đầy đủ các tiện ích gia tăng liên quan đến nội dung TCVN.

Mọi chi tiết xin liên hệ: ĐT: (028) 3930 3279 DĐ: 0906 22 99 66

– Chỉ được phép dùng các chế phẩm đã được cơ quan vệ sinh phòng dịch quy định để thu rong tảo trong nước.

11.14. Cần tổ chức tuần tra bảo vệ trong khu vực II, vùng bảo vệ vệ sinh nguồn cấp nước và khu vực đặt ống dẫn và kênh dẫn nước.

Nguồn nước mặt

11.15. Tuỳ theo điều kiện vệ sinh, địa hình, thuỷ văn ở địa phương mà quy định giới hạn khu vực I vùng bảo vệ vệ sinh của sông và kênh dẫn nước. Nhưng trong mỗi trường hợp cần đảm bảo các quy định sau đây:

– Cách công trình thu về phía thượng lưu không nhỏ hơn 200m, về phía hạ lưu không nhỏ hơn 100m.

– Cách bờ sông phía có công trình thu tính từ mực nước cao nhất, không nhỏ hơn 100m.

– Cách bờ sông phía có công trình thu tính từ mực nước cao nhất, không nhỏ hơn 100m.

– Cách bờ sông về phía đối diện với công trình thu không nhỏ hơn 50m tính từ mức nước cao nhất khi chiều rộng qua song nhỏ hơn 100m và cách công trình thu không nhỏ hơn 100m khi chiều rộng của sông lớn hơn 100m.

11.16. Giới hạn khu vực I vùng bảo vệ vệ sinh của hồ chứa làm nguồn cấp nước cần quy

Bạn phải đăng nhập hoặc đăng ký Thành Viên TVPL Pro để sử dụng được đầy đủ các tiện ích gia tăng liên quan đến nội dung TCVN.

Mọi chi tiết xin liên hệ: ĐT: (028) 3930 3279 DĐ: 0906 22 99 66

Theo mặt nước, cách công trình thu về mỗi hướng không nhỏ hơn 100m;

Cánh bờ hồ về phía có công trình thu không nhỏ hơn 100m tính từ mực nước cao nhất.

Ghi chú: Đối với công trình thu kiểu vùng thì giới hạn khu vực I bao gồm toàn bộ diện tích mặt nước của vùng thu.

11.17. Khi quy định giới hạn khu vực II đối với sông và kênh làm nguồn cấp nước phải tính đến khả năng nguồn nước bị nhiễm bẩn bởi các chất bẩn hoá học và phải đảm bảo các yêu cầu sau:

– Phía thượng lưu, xác định theo thời gian nước chảy từ biên khu vực II đến công trình thu từ 3 đến 5 ngày, tuỳ theo điều kiện địa phương khi độ đảm bảo lưu lượng nước là 95%;

– Phía hạ lưu cách công trình thu không nhỏ hơn 280m;

– Hai bên bờ, tính đến đường phân thuỷ.

Khi sông có hiện tượng nước dâng hoặc dòng chảy ngược thì khoảng cách phía hạ lưu công trình cần xác định theo điều kiện thuỷ văn và khí hậu.

11.18. Giới hạn khu vực II của hồ làm nguồn cấp nước phải xác định theo thời gian chảy của nước tự do đến công trình thu với tốc độ lớn nhất có tính đến tác động của gió và dòng nước mưa chảy vào công trình thu trong thời gian không nhỏ hơn 5 ngày.

Bạn phải đăng nhập hoặc đăng ký Thành Viên TVPL Pro để sử dụng được đầy đủ các tiện ích gia tăng liên quan đến nội dung TCVN.

Mọi chi tiết xin liên hệ: ĐT: (028) 3930 3279 DĐ: 0906 22 99 66

– Đối với nguồn nước lưu thông – 1 km về phía thượng lưu.

– Đối với nguồn nước không lưu thông – 1 km về cả hai phía.

11.20. Khi thiết kế biện pháp bảo vệ nguồn nước mặt ở khu vực II phải xét tới điều kiện vệ sinh khu vực điều kiện địa hình, thuỷ văn và phải đảm bảo các yêu cầu sau đây:

Đối với hồ làm nguồn cấp nước trong phạm vi 300m tính từ mức nước cao nhất, cấm sử dụng hoá chất độc, phân hữu cơ và vô cơ để bón cây; cấm chăn thả súc vật trong phạm vi cách mực nước 100m, tính theo mực nước cao nhất của hồ;

Phải quy định chỗ cho người tắm, giặt quần áo và chỗ uống nước cho trâu bò; Khi có tầu thuyền qua lại phải có các biện pháp chống nhiễm bẩn nguồn nước (tàu phải có bể tập trung nước thải, rác rưởi, trên cảng phải có thùng chứa rác…).

Trong khoảng cách 500m tính từ mực nước cao nhất không được xây dựng trại chăn nuôi.

Nguồn nước ngầm

11.21. Giới hạn khu vực I vùng bảo vệ vệ sinh đối với nguồn nước ngầm cần quy định theo mức độ bảo vệ của tầng chứa nước, điều kiện thuỷ văn và phải cách công trình thu:

Không nhỏ hơn 30m đối với tầng chứa nước đã được bảo vệ tốt;

Bạn phải đăng nhập hoặc đăng ký Thành Viên TVPL Pro để sử dụng được đầy đủ các tiện ích gia tăng liên quan đến nội dung TCVN.

Mọi chi tiết xin liên hệ: ĐT: (028) 3930 3279 DĐ: 0906 22 99 66

Ghi chú: Đối với công trình thu nhỏ đặt ở vị trí không bị tác động ô nhiễm thì khoảng cách từ công trình thu đến giới hạn khu vực I được phép giảm xuống 15m.

11.22. Giới hạn khu vực II, phải xác định bằng tính toán trên cơ sở điều kiện vệ sinh và địa chất thuỷ văn. Đồng thời phải tính đến điều kiện bể cấp của tầng chứa nước do liên quan đến nước mặt hoặc các tầng chứa nước khác.

Nếu có sự liên quan thuỷ lực của tầng chứa nước với nước mặt (sông, hồ …) thì khu vực nguồn nước bể cấp cho tầng chứa nước khai thác phải nằm trong khu vực II vùng bảo vệ vệ sinh.

11.23. Khi thiết kế biện pháp bảo vệ nguồn nước ngầm trong khu vực II phải chú ý đến các điều kiện sau:

Loại trừ hoặc cải tạo các giếng khai thác không đúng quy cách và các giếng có khuyết tật;

Khi khoan giếng mới hay khoan thăm dò khoảng sâu có ảnh hưởng đến lớp bảo vệ trên tầng chứa nước phải được sự đồng ý của cơ quan vệ sinh phòng dịch.

11.24. Trong phạm vi khu vực II của vùng bảo vệ vệ sinh nghiêm cấm:

Xây dựng chuồng trại chăn nuôi cách ranh giới khu vực I dưới 300m; Xây bãi chăn thả súc vật cách ranh giới khu vực I dưới 100m.

Khu đất xây dựng công trình xử lí

Bạn phải đăng nhập hoặc đăng ký Thành Viên TVPL Pro để sử dụng được đầy đủ các tiện ích gia tăng liên quan đến nội dung TCVN.

Mọi chi tiết xin liên hệ: ĐT: (028) 3930 3279 DĐ: 0906 22 99 66

Cách tường bể chứa, bể lọc, bể lắng tiếp xúc và trạm bơm ít nhất 30m. Cách tường các công trình khác (bể lắng, nhà sinh hoạt, kho hoá chất, kho chứa Clo…) theo quy định riêng cách chân đài nước ít nhất 10m.

Ghi chú: Nêú công trình xử lí đặt trong khu vực xí nghiệp công nghiệp thì khoảng cách trên có thể giảm xuống nhưng không dưới 10m.

11.26. Vùng bảo vệ vệ sinh giữa trạm xử lí và xí nghiệp công nghiệp phải quy định theo loại độc hại sản xuất theo quy định riêng.

Khi trên trạm xử lí có kho tiêu thụ Clo, thì khoảng cách vệ sinh đến nhà ở và nhà công cộng phải không nhỏ hơn 300m.

Đường ống dẫn nước

11.27. Vùng bảo vệ vệ sinh đối với đường ống dẫn nước phải lấy dọc theo tuyến ống ở khu vực chưa xây dựng có chiều rộng cả hai phía đường ống như sau:

Nếu không có nước ngầm lấy:

7m khi đường kính ống đến 1000m

15m khi đường kính ống lớn hơn 1000mm;

Bạn phải đăng nhập hoặc đăng ký Thành Viên TVPL Pro để sử dụng được đầy đủ các tiện ích gia tăng liên quan đến nội dung TCVN.

Mọi chi tiết xin liên hệ: ĐT: (028) 3930 3279 DĐ: 0906 22 99 66

Đối với trường hợp đường ống dẫn nước đặt trong khu vực đã có xây dựng thì khoảng cách trên cho phép giảm bớt .

11.28. Nghiêm cấm đặt đường ống dẫn nước đi qua khu vực đất sụt lở, cánh đồng tưới, cánh đồng lúa, nghĩa trang, các xí nghiệp công nghiệp và trại chăn nuôi.

11.29. Nhà xí, hố chứa phân chuồng, hố để rác đặt cách đường ống dẫn nước trong phạm vi 20m phải chuyển đi nơi khác.

12. Cung cấp điện, thiết bị điện, tự động hoá kiểm trạ đo lường và điều độ hoá.

Cung cấp điện và thiết bị điện

12.1. Đối với trạm bơm bậc tin cậy cung cấp điện cần lấy tương ứng với điều 7.2 của bản tiêu chuẩn này.

Để xác định bậc tin cậy cung cấp điện cho các công trình cấp nước khác cần tuân theo “Quy phạm đặt thiết bị điện” TCVN.

12.2. Đối với những tổ máy bơm có chu kì làm việc kéo dài khi không cần điều chỉnh số vòng quay nên dùng động cơ đồng bộ; khi cần điều chỉnh với sơ đồ mạch phân tầng

– dùng động cơ không đồng bộ roto pha, còn với khớp nối cảm ứng – dùng động cơ đồng bộ Rôto ngắn mạch.

Bạn phải đăng nhập hoặc đăng ký Thành Viên TVPL Pro để sử dụng được đầy đủ các tiện ích gia tăng liên quan đến nội dung TCVN.

Mọi chi tiết xin liên hệ: ĐT: (028) 3930 3279 DĐ: 0906 22 99 66

12.4. Đối với công trình làm việc trong môi trường bình thường, thiết bị phân phối điện, trạm biến thế và tủ điều khiển cần đặt trong những buồng nằm trong gian máy hay kề bên gian máy cho phép đặt tủ điều khiển trong gian máy và trong nhà đặt bể lọc trên nền hay trên sàn lửng.

Tự động hoá và kiểm tra công nghệ trạm bơm

12.5. Trạm bơm cần được thiết kế nửa tự động hoặc tự động với sự điều khiển có người quản lí thường xuyên.

Có thể sử dụng các dạng điều khiển sau đây:

– Điều khiển nửa tự động và tự động, dựa vào các thông số công nghệ (mức nước trong bể chứa, áp lực hay lưu lượng nước trong mạng lưới).

– Điều khiển tại chỗ với việc chuyền tín hiệu cần thiết về trạm điều độ.

– Điều khiển từ xa theo lệnh trạm điều độ.

12.6. Khi tổ máy bơm đang làm việc bị cắt do sự cố thì cần mở tự động tổ máy bơm dự phòng.

12.7. Máy bơm chữa cháy có thể điều khiển từ xa, đồng thời với việc ra lệnh mở bơm chữa cháy, cần khống chế không cho dòng nước dự trữ chữa cháy và cắt máy bơm rửa.

Bạn phải đăng nhập hoặc đăng ký Thành Viên TVPL Pro để sử dụng được đầy đủ các tiện ích gia tăng liên quan đến nội dung TCVN.

Mọi chi tiết xin liên hệ: ĐT: (028) 3930 3279 DĐ: 0906 22 99 66

12.8. Bơm chân không đặt tại các trạm bơm giếng thu nước bằng xi phông cần làm việc tự động theo mức nước trong bình chứa không khí đặt trên ống xi phông.

12.9. Máy bơm giếng khoan có thể điều khiển tự động theo mức nước trong bể chứa hay điều khiển từ xa, từ trạm điều độ.

12.10. Tại các trạm bơm tự động hoá cụ thể cho làm việc tự động các quá trình phụ sau:

– Cửa lưới chắn rác (lưới quay) theo độ chênh lệch mực nước ở trước và sau lưới hay theo chu trình định trước);

– Bơm nước dò rỉ theo mực nước trong hố thu;

– Chạy quạt thông gió theo nhiệt độ không khí trong phòng.

12.11. Trong trạm bơm cần kiểm tra các thông số công nghệ sau đây:

– áp suất trong đường ống áp lực và ở từng tổ máy bơm;

– Độ chân không trong thùng chân không;

Bạn phải đăng nhập hoặc đăng ký Thành Viên TVPL Pro để sử dụng được đầy đủ các tiện ích gia tăng liên quan đến nội dung TCVN.

Mọi chi tiết xin liên hệ: ĐT: (028) 3930 3279 DĐ: 0906 22 99 66

– Mực nước trong bể chứa, trong hố thu nước rò rỉ, trong thùng chân không và giếng;

– Nhiệt độ ổ trục máy (nếu cần);

– Hàm lượng giới hạn của Clo và Ozon trong phòng;

– Độ đục và độ mầu của nước;

Trạm xử lí nước

12.12. Máy bơm dùng để bơm dung dịch hoá chất cần điều khiển tại chỗ, cắt tự động theo mức nước đầy hay cạn trong thùng chứa dung dịch.

12.13. Việc điều khiển quá trình pha dung dịch chất phản ứng có thể tự động hoá theo nồng độ dung dịch.

Việc định liều lượng chất phản ứng có thể tự động hoá theo chất lượng nước xử lí. Cho phép định liều lượng chất phản ứng theo tỉ số giữa lưu lượng nước xử lí và lưu lượng chất phản ứng có nồng độ không đổi.

12.14. Tốc độ lọc cần điều chỉnh theo lưu lượng trong đường ống dẫn nước đã lọc hoặc giữ mức nước trong bể lọc không đổi (khi số lượng bể lọc lớn hơn 10).

Bạn phải đăng nhập hoặc đăng ký Thành Viên TVPL Pro để sử dụng được đầy đủ các tiện ích gia tăng liên quan đến nội dung TCVN.

Mọi chi tiết xin liên hệ: ĐT: (028) 3930 3279 DĐ: 0906 22 99 66

12.16. Việc hoàn nguyên bể lọc Cationit cần lấy theo độ kiềm dư của nước, theo chương trình định trước hay theo số liệu phân tích thí nghiệm.

12.17. Tại trạm làm sạch và xử lý nước cần kiểm tra những thông số công nghệ sau đây:

– Lưu lượng nước nguồn, nước đã lọc, nước rửa, nước đã lọc trong từng bể lọc hay bể lọc tiếp xúc.

– Mực nước trong bể lọc, bể trộn, hố thu nước rò rỉ, thùng chứa chất phản ứng, mức cặn trong bể lắng và bể lắng trong;

– Tổn thất áp lực trong bể lọc;

– Hàm lượng Clo dư hay ôzôn;

– Trị số pH của nước nguồn và nước xử lý,

– Lưu lượng dung dịch chất phản ứng và không khí;

– Nồng độ dung dịch chất phản ứng.

Bạn phải đăng nhập hoặc đăng ký Thành Viên TVPL Pro để sử dụng được đầy đủ các tiện ích gia tăng liên quan đến nội dung TCVN.

Mọi chi tiết xin liên hệ: ĐT: (028) 3930 3279 DĐ: 0906 22 99 66

12.18. Trong hệ thống cấp nước tuần hoàn cần tự động hoá các tổ máy bơm, tháp làm nguội bằng quạt gió, thiết bị định liều lượng chất phản ứng.

12.19. Việc điều chỉnh tự động nước bổ sung vào hệ thống cấp nước tuần hoàn cần lấy theo mức nước trong bể chứa đã làm nguội.

12.20. Điều khiển quạt gió của tháp làm nguội cần tự động theo nhiệt độ nước làm nguội.

12.21. Khi xử lý ổn định nước, việc định liều lượng dung dịch phốt phát cần tự động hoá theo lưu lượng nước bổ sung, còn việc định liều lượng axit – theo trị số pH cho trước.

Việc định liều lượng Clo và sunfát cần tự động hoá theo chương trình đã định.

12.22. Trong hệ thống cấp nước tuần hoàn cần kiểm tra các thông số công nghệ sau đây:

– áp lực trên đường ống dẫn có áp và trong các tổ máy bơm;

– Lưu lượng nước trong đường ống dẫn và lưu lượng nước bổ sung;

– Mức nước trong bể chứa nước nóng và nước lạnh, trong bể thu nước rò rỉ;

Bạn phải đăng nhập hoặc đăng ký Thành Viên TVPL Pro để sử dụng được đầy đủ các tiện ích gia tăng liên quan đến nội dung TCVN.

Mọi chi tiết xin liên hệ: ĐT: (028) 3930 3279 DĐ: 0906 22 99 66

Điều độ hoá

12.23. Việc điều khiển điều độ hệ thống cấp nước cần đảm bảo yêu cầu cấp nước liên tục đến đơn vị tiêu thụ nước ở chỗ làm việc bất kỳ, kể cả trường hợp sự cố, cũng như duy trì chế độ làm việc hợp lý của mạng lưới, đường ống dẫn nước và các công trình khác.

12.24. Nếu đồng thời có một số hệ thống về cấp nước, cấp nhiệt, cấp hơi… thì có thể cùng một hệ thống điều độ thống nhất nếu hợp lí về kinh tế kĩ thuật.

12.25. Việc điều khiển điều độ cần thực hiện theo chế độ một cấp với một trạm điều độ độc nhất. Đối với hệ thống cấp nước lớn có một số công trình thu nước hoặc các nhóm công trình chính cách xa nhau thì cho phép dùng trạm điều độ 2 cấp gồm trạm điều độ trung tâm và trạm điều độ tại chỗ.

12.26. Giữa trạm điều độ cấp nước, trạm đặt công trình kiểm tra và các bộ phận phục vụ khác cần đảm bảo sự liên lạc trực tiếp.

12.27. Khối lượng điều khiển từ xa cho từng công trình cần hạn chế đến mức tối thiểu. Trong các hệ thống cấp nước điều khiển từ xa cần chuyển những thông số công nghệ sau:

– áp lực trong đường ống dẫn nước có áp và tại những điểm đặc trưng của mạng lưới.

– Lưu lượng trong đường ống dẫn có áp.

– Mức nước trong bể chứa.

Bạn phải đăng nhập hoặc đăng ký Thành Viên TVPL Pro để sử dụng được đầy đủ các tiện ích gia tăng liên quan đến nội dung TCVN.

Mọi chi tiết xin liên hệ: ĐT: (028) 3930 3279 DĐ: 0906 22 99 66

– Những tổ máy bơm không được tự động hoá mà không loại trừ sự cần thiết có sự can thiệp của điều độ viên;

– Các khoá khi cần phải chuyển đổi vận hành thường các tổ máy và mạng lưới;

– Tổ máy bơm chữa cháy;

– Tổ máy bơm tự động trong trạm bơm không được phép ngừng làm việc.

12.29. Trong hệ thống cấp nước điều khiển từ xa cần chuyển các tín hiệu sau đây:

– Vị trí tất cả những đối tượng điều khiển từ xa cũng như những đối tượng không điều khiển từ xa dùng biệt lập do yêu cầu sử dụng cần điều khiển tại chỗ;

– Các sự cố thiết bị ở trạm kiểm tra;

– Tín hiệu sự cố chung;

– Mực nước rò rỉ sự cố trong hố thu tại trạm bơm;

Bạn phải đăng nhập hoặc đăng ký Thành Viên TVPL Pro để sử dụng được đầy đủ các tiện ích gia tăng liên quan đến nội dung TCVN.

Mọi chi tiết xin liên hệ: ĐT: (028) 3930 3279 DĐ: 0906 22 99 66

– Trị số giới hạn của mức nước trong đài áp lực và bể chứa nước;

– Số sai lệch trị số áp suất cho trước tại những điểm đặc trưng của mạng lưới;

– Báo động – khi cửa mở tại những trạm không được bảo vệ;

– Các trị số giới hạn của những thông số công nghệ đặc trưng cho hoạt động của hệ thống cấp nước, đòi hỏi đến sự can thiệp của điều độ viên (đặt trữ lượng nước chữa cháy trong bể chứa, giảm áp lực, giảm mức nước trong bể chứa v.v…);

– Sự nguy hiểm về cháy (có trang bị bộ cảm biến nhiệt)v.v….

12.30. Trạm điều độ cấp nước cần được bố trí tại trạm bơm, trạm lọc hoặc tại phòng điều khiển. Trạm điều độ cần có những buồng sau đây:

– Buồng đặt các bảng điều khiển, bàn điều khiển và các phương tiện liên lạc có người trực nhật lui tới thường xuyên;

– Các buồng phụ (kho, xưởng, sửa chữa, nơi nghỉ ngơi, khu vệ sinh).

12.31. Trong những buồng sản xuất hành chính cần đặt máy điện thoại và truyền thanh những trạm bơm ở khá xa cần có liên lạc với trạm quản lý bằng điện thoại hữu tuyến hay vô tuyến.

Bạn phải đăng nhập hoặc đăng ký Thành Viên TVPL Pro để sử dụng được đầy đủ các tiện ích gia tăng liên quan đến nội dung TCVN.

Mọi chi tiết xin liên hệ: ĐT: (028) 3930 3279 DĐ: 0906 22 99 66

Tổng mặt bằng

13.1. Quy hoạch và xây dựng các công trình của hệ thống cấp nước phải phù hợp với những yêu cầu công nghệ chung, những chỉ dẫn trong tiêu chuẩn thiết kế quy hoạch các xí nghiệp công nghiệp và những yêu cầu chung ghi ở trong “Tiêu chuẩn thiết kế thoát nước đô thị”

Khi công trình xử lí đặt gần sông hồ thì cao độ mặt đất phải cao hơn đỉnh sóng của mức nước cao nhất ứng với tần suất tính toán trong sông hồ là 0,5m.

Riêng đối với các trạm bơm đợt 1, cao độ của sân công tác cao nhất phải cao hơn đỉnh sóng của mức nước lũ cao nhất ứng với tần suất tính toán là 0,5m.

13.2. Khi thiết kế tổng mặt bằng của khu xử lí phải có các tài liệu khảo sát công trình ngầm, tài liệu địa chất thuỷ văn và tài liệu khảo sát sơ bộ địa chất công trình trong mặt bằng của khu xử lí và vùng phụ cận nếu thấy cần thiết.

13.3. Việc bố trí các kho chứa hoá chất độc như Clo, amôniắc phải theo các quy định riêng.

Hoá chất động khi chứa trong thùng có áp lực phải bố trí cách hố chứa nước hoặc cách nhà và công trình sản xuất khác lớn hơn 30m, khi chứa trong thùng không có áp lực thì tuỳ theo yêu cầu về vệ sinh và chống cháy và phải đặt ở cuối hướng gió chính.

13.4. Trong mỗi trường hợp, các công trình cấp nước phải có hàng rào bao che. Kết cấu và vật liệu để làm hàng rào bao che tuỳ theo điều kiện địa phương.

13.5. Trong khu xử lí nước phải trồng cây xanh, phần đất không xây dựng phải trồng cỏ. Khoảng cách giữa cây xanh và công trình phải đảm bảo để lá cây không rụng vào công trình và rễ cây không phá hoại các công trình ngầm.

Bạn phải đăng nhập hoặc đăng ký Thành Viên TVPL Pro để sử dụng được đầy đủ các tiện ích gia tăng liên quan đến nội dung TCVN.

Mọi chi tiết xin liên hệ: ĐT: (028) 3930 3279 DĐ: 0906 22 99 66

– Có hàng rào bao che;

– Cách 50m phải có biển đề khu vực cấm;

– Đèn bảo vệ đặt dọc theo hàng rào cách nhau từ 10 đến 15 mét ( tuỳ theo công suất bóng);

– Hệ thống điện thoại.

Các giải pháp không gian, mặt bằng

13.7. Loại và bậc chịu lửa của nhà và công trình tuỳ theo bậc tin cậy cấp nước lấy theo bảng 13- 1.

13.8. Khi thiết kế trạm xử lí nước phải chú ý tới phương án hợp khối các công trình có giây chuyền công nghệ chung: Nhà hoá chất, bể lắng trong, bể lọc, trạm bơm, thiết bị điện, nhà sinh hoạt và nhà phụ trợ …

13.9. Cầu thang xuống phần chìm của trạm bơm phải có chiều rộng ít nhất 0,7m; độ dốc không lớn hơn 450. Nếu công trình có chiều dài tới 12m độ dốc cầu thang có thể lấy tới 600. chiều rộng cầu thang của ống và lên sàn điều khiển van lấy 0,6m dốc 600 trở lên. Khi phần chìm của trạm bơm từ 1,8m trở lên và chiều dài (hay đường kính) của trạm lớn hơn 18m phải có ít nhất 2 cửa ra vào. Bề rộng cửa ra vào ít nhất là 1,2m.

Bảng 13-1

Bạn phải đăng nhập hoặc đăng ký Thành Viên TVPL Pro để sử dụng được đầy đủ các tiện ích gia tăng liên quan đến nội dung TCVN.

Mọi chi tiết xin liên hệ: ĐT: (028) 3930 3279 DĐ: 0906 22 99 66

Tên công trình

Độ tin cậy cấp nước

Phân loại nhà và công trình

Mức độ chống cháy

1

2

3

4

5

Bạn phải đăng nhập hoặc đăng ký Thành Viên TVPL Pro để sử dụng được đầy đủ các tiện ích gia tăng liên quan đến nội dung TCVN.

Mọi chi tiết xin liên hệ: ĐT: (028) 3930 3279 DĐ: 0906 22 99 66

 

 

2

 

 

 

3

 

 

Bạn phải đăng nhập hoặc đăng ký Thành Viên TVPL Pro để sử dụng được đầy đủ các tiện ích gia tăng liên quan đến nội dung TCVN.

Mọi chi tiết xin liên hệ: ĐT: (028) 3930 3279 DĐ: 0906 22 99 66

5

 

 

6

7

8

 

9

Công trình thu

Bạn phải đăng nhập hoặc đăng ký Thành Viên TVPL Pro để sử dụng được đầy đủ các tiện ích gia tăng liên quan đến nội dung TCVN.

Mọi chi tiết xin liên hệ: ĐT: (028) 3930 3279 DĐ: 0906 22 99 66

 

Trạm bơm

Bậc tin cậy I

Bậc tin cậy II

Bậc tin cậy III

Trạm xử lí nước (lắng, lọc, làm mềm nước, làm nguội nước, khử sắt, khử muối)

Trạm pha Clo

Bể chứa và điều hòa

Số bể 2

Bạn phải đăng nhập hoặc đăng ký Thành Viên TVPL Pro để sử dụng được đầy đủ các tiện ích gia tăng liên quan đến nội dung TCVN.

Mọi chi tiết xin liên hệ: ĐT: (028) 3930 3279 DĐ: 0906 22 99 66

Giếng thăm tràn mạng lưới

Đặt nước

Bể làm nguội nước tuần hòan

Tháp quạt gió

Tháp làm lạnh

Bể phun

I

II

III

Bạn phải đăng nhập hoặc đăng ký Thành Viên TVPL Pro để sử dụng được đầy đủ các tiện ích gia tăng liên quan đến nội dung TCVN.

Mọi chi tiết xin liên hệ: ĐT: (028) 3930 3279 DĐ: 0906 22 99 66

II

III

 

 

 

II

I

 

I

Bạn phải đăng nhập hoặc đăng ký Thành Viên TVPL Pro để sử dụng được đầy đủ các tiện ích gia tăng liên quan đến nội dung TCVN.

Mọi chi tiết xin liên hệ: ĐT: (028) 3930 3279 DĐ: 0906 22 99 66

III

III

II

II

 II

I

II

III

I

Bạn phải đăng nhập hoặc đăng ký Thành Viên TVPL Pro để sử dụng được đầy đủ các tiện ích gia tăng liên quan đến nội dung TCVN.

Mọi chi tiết xin liên hệ: ĐT: (028) 3930 3279 DĐ: 0906 22 99 66

III

 

 

 

II

II

 

II

II

Bạn phải đăng nhập hoặc đăng ký Thành Viên TVPL Pro để sử dụng được đầy đủ các tiện ích gia tăng liên quan đến nội dung TCVN.

Mọi chi tiết xin liên hệ: ĐT: (028) 3930 3279 DĐ: 0906 22 99 66

II

II

 II

 II

II

III

IV

I

II

Bạn phải đăng nhập hoặc đăng ký Thành Viên TVPL Pro để sử dụng được đầy đủ các tiện ích gia tăng liên quan đến nội dung TCVN.

Mọi chi tiết xin liên hệ: ĐT: (028) 3930 3279 DĐ: 0906 22 99 66

 

 

 

II

II

Không quy định

-nt-

-nt-

II

Bạn phải đăng nhập hoặc đăng ký Thành Viên TVPL Pro để sử dụng được đầy đủ các tiện ích gia tăng liên quan đến nội dung TCVN.

Mọi chi tiết xin liên hệ: ĐT: (028) 3930 3279 DĐ: 0906 22 99 66

II-V

II-V

Không quy định

13.10. Trong các trạm bơm phải tạo dòng đối lưu không khí và đầy đủ ánh sáng tự nhiên.

Nếu không đảm bảo được thì phải bổ sung bằng cách tạo dòng đối lưu không khí nhân tạo và ánh sáng nhân tạo.

Cửa sổ của trạm bơm phải có chắn song bảo vệ. Cửa đi phải có khoá.

13.11. Bể chứa có phần chìm đặt trên nền đất yếu thì trên mặt đất phải có tường chắn phía xe cộ hay qua lại. Khoảng cách tường chắn đến thành bể phải lớn hơn độ chôn sâu của bể.

Bể chứa hở cao hơn mặt đất tới 0,6m phải có hàng rào bao quanh, không được đặt bể chứa hở gần đường có nhiều người và xe cộ qua lại.

Cấu tạo và vật liệu

Bạn phải đăng nhập hoặc đăng ký Thành Viên TVPL Pro để sử dụng được đầy đủ các tiện ích gia tăng liên quan đến nội dung TCVN.

Mọi chi tiết xin liên hệ: ĐT: (028) 3930 3279 DĐ: 0906 22 99 66

13.13. Trạm bơm chìm bằng bê tông cốt thép, có thể thiết kế theo phương pháp đào mở mặt hoặc đánh tụt tuỳ theo điều kiện địa hình địa chất công trình và địa chất thuỷ văn.

13.14. Mác bê tông của mối nối lắp ghép của mạch ngừng, của mạch chân khe lắp ghép phải cao hơn mác bê tông của cấu kiện lắp ghép hoặc mác bê tông đúc tại chỗ một cấp.

13.15. Phải có lớp trát láng phía trong công trình chứa nước để tăng cường khả năng chống thấm cho công trình.

Phần chìm trong đất của công trình chứa nước phải có lớp trát láng bên ngoài. Riêng đối với vùng đất có nước ngầm, ngoài việc trát láng nên có thêm lớp bi tum phủ ngoài cùng.

Lớp trát láng phía trong hoặc phía ngoài cần dùng vữa xi măng cát vàng mác cao hoặc xi măng nguyên chất.

13.16. Mác bê tông dùng cho bể chứa cần thiết kế theo số liệu ở bảng 13- 2.

13.17. Đối với các bể chứa nước sạch có dung tính từ 1000m3 trở lên, nên thiết kế bằng bê tông cốt thép. Đối với các bể chứa có dung tích đến 500m3 có thể thiết kế bằng các loại vật liệu khác như gạch đặc, đá hộc hoặc kết hợp giữa các loại gạch đặc, đá hộc với bê tông cốt thép.

Bảng 13-2

Thứ tự

Bạn phải đăng nhập hoặc đăng ký Thành Viên TVPL Pro để sử dụng được đầy đủ các tiện ích gia tăng liên quan đến nội dung TCVN.

Mọi chi tiết xin liên hệ: ĐT: (028) 3930 3279 DĐ: 0906 22 99 66

Mác bê tông

1

2

3

ở trạng thái bão hòa nước

Nước ngầm lên xuống bất thường

Nước ngầm có tác dụng ăn mòn hóa học

300

200

Bạn phải đăng nhập hoặc đăng ký Thành Viên TVPL Pro để sử dụng được đầy đủ các tiện ích gia tăng liên quan đến nội dung TCVN.

Mọi chi tiết xin liên hệ: ĐT: (028) 3930 3279 DĐ: 0906 22 99 66

 

Số thứ tự

Chế độ sử dụng bể chứa gạch đá

Mác vật liệu xây

Gạch đá

Vữa xi măng

1

2

3

Bạn phải đăng nhập hoặc đăng ký Thành Viên TVPL Pro để sử dụng được đầy đủ các tiện ích gia tăng liên quan đến nội dung TCVN.

Mọi chi tiết xin liên hệ: ĐT: (028) 3930 3279 DĐ: 0906 22 99 66

Nước ngầm lên xuống bất thường

Nước ngầm có tác dụng ăn mòn hóa học

75

75

Đá xây

50

50

75

13.18. Mái dốc của trạm bơm 1 và mái dốc của các hồ chứa phải kê bằng đá hoặc tấm bê tông.

Bạn phải đăng nhập hoặc đăng ký Thành Viên TVPL Pro để sử dụng được đầy đủ các tiện ích gia tăng liên quan đến nội dung TCVN.

Mọi chi tiết xin liên hệ: ĐT: (028) 3930 3279 DĐ: 0906 22 99 66

13.20. Giếng và hố van trên đường ống cần xây bằng gạch đá hộc hoặc bê tông cốt thép.

13.21. Các công trình đặt chìm dưới đất một phần hoặc toàn bộ phải có biện pháp chống lực đẩy nổi do mực nước ngầm hoặc nước lũ cao nhất gây ra. Nên có thiết bị hạ mức nước ngầm để thi công và sửa chữa bản đáy.

13.22. Cần có biện pháp chống nóng cho bể chứa: đắp đất, trống cỏ hoặc các biện pháp khác.

13.23. ống qua thành các công trình chứa phải được đặt trong ống lống hoặc là nối cứng với thành công trình.

Khe hở giữa ống qua thành các công trình và ống lống phải được xảm kín bằng vật liệu đàn hồi.

13.24. Công trình xử lí nước nếu thiết kế bằng bê tông thì phải dùng mác bê tông từ 200 trở lên, thép bố trí trong bê tông nên dùng loại thép có đường kính từ 8mm trở lên.

13.25. Chiều dày lớp bê tông bảo vệ cốt thép đối với các công trình chịu áp lực nước nên lấy x từ 20mn trở lên.

Tính toán công trình

13.26. Tải trọng và hệ số vượt tải để tính toán công trình phải theo quy định trong tiêu chuẩn thiết kế tải trọng và tác động và bảng 13-3.

Bạn phải đăng nhập hoặc đăng ký Thành Viên TVPL Pro để sử dụng được đầy đủ các tiện ích gia tăng liên quan đến nội dung TCVN.

Mọi chi tiết xin liên hệ: ĐT: (028) 3930 3279 DĐ: 0906 22 99 66

Tải trọng và tác động lên các công trình chứa

Hệ số vượt tải

1. Tải trọng và tác động tạm thời lâu dài

a) áp lực nước sử dụng

b) áp lực nước ngầm

c) Tác động nhiệt độ

2. Tải trọng và tác động ngắn tạm thời

a) Tải trọng của máy lắp ráp vận chuyển lên khối đất phá hoại

b) áp lực nước khi khử

Bạn phải đăng nhập hoặc đăng ký Thành Viên TVPL Pro để sử dụng được đầy đủ các tiện ích gia tăng liên quan đến nội dung TCVN.

Mọi chi tiết xin liên hệ: ĐT: (028) 3930 3279 DĐ: 0906 22 99 66

1,1

1,1

1,2

 

1,3 (0,8)

1

Ghi chú:

1) Tải trọng do áp lực lên tường và đáy của các công trình chứa lấy như sau:

– Tải trọng tiêu chuẩn: bằng áp lực thủy tĩnh của nước, độ ngang mức nước thiết kế.

Bạn phải đăng nhập hoặc đăng ký Thành Viên TVPL Pro để sử dụng được đầy đủ các tiện ích gia tăng liên quan đến nội dung TCVN.

Mọi chi tiết xin liên hệ: ĐT: (028) 3930 3279 DĐ: 0906 22 99 66

2) Nhiệt độ không khí lấy theo tiêu chuẩn số liệu khí hậu xây dựng.

3) Trên mái các công trình chứa cho phép tính tải trọng tạm thời của các loại máy móc thiết bị thi công nhẹ.

4) Hệ số ghi trong ngoặc đơn áp dụng trong trường hợp khi việc giảm tải trọng sẽ dẫn tới có ảnh hưởng xấu tới khả năng làm việc của kết cấu.

13.27. Tính toán công trình chứa phải thực hiện đầy đủ các trường hợp sau đây:

– Công trình không chứa nước chung quanh có đất đắp đều hoặc không đều, nước ngầm ở mức cao nhất có kể đến hoạt tải phân bố đều hoặc không đều trên mặt;

– Công trình có chứa nước, chung quanh không có đất đắp;

– Lực đẩy nổi do nước ngầm ở mức cao nhất;

– Công trình có nhiều ngăn thì phải kết hợp cả ngăn chứa và ngăn không chứa;

– Tải trọng phát sinh trong quá trình thi công;

Bạn phải đăng nhập hoặc đăng ký Thành Viên TVPL Pro để sử dụng được đầy đủ các tiện ích gia tăng liên quan đến nội dung TCVN.

Mọi chi tiết xin liên hệ: ĐT: (028) 3930 3279 DĐ: 0906 22 99 66

13.28. Khi công trình xây dựng ở vùng ngập lụt hoặc bị tác động trực tiếp của lũ lụt phải tính đến áp lực nước lũ lụt cao nhất tác động vào các bộ phận của công trình.

13.29. Nếu vết nứt trên công trình chỉ tới 0,2mm thì công trình có thể coi như không bị nứt.

Chống ăn mòn công trình

13.30. Khi thiết kế chống ăn mòn cho kết cấu xây dựng phải tuân theo tiêu chuẩn: Chống ăn mòn cho kết cấu xây dựng nhà và công trình về điều l.10.

13.31. Khi thiết kế công trình chịu tác dụng của dòng điện phải có biện pháp chống ăn mòn điện cho cấu kiện bê tông cốt thép.

13.32. Các bộ phận kết cấu phải có lớp bảo vệ chống ăn mòn. Trường hợp không thể thực hiện được điều đó, phải tăng chiều dày lớp bảo vệ cốt thép hoặc tăng chiều dày và tăng mác vữa trát bên ngoài.

13.33. Khi thiết kế các bể chứa chất lỏng có tính ăn mòn không cho phép:

– Gối tường nhà lên thành bể;

– Đặt các bể chống lên nhau;

Bạn phải đăng nhập hoặc đăng ký Thành Viên TVPL Pro để sử dụng được đầy đủ các tiện ích gia tăng liên quan đến nội dung TCVN.

Mọi chi tiết xin liên hệ: ĐT: (028) 3930 3279 DĐ: 0906 22 99 66

13.34. Khi gia cố móng và các bộ phận khác trong bể chứa không được làm hỏng lớp bảo vệ chống ăn mòn.

Thông gió

13.35. Trong trạm định lượng Clo, phải thiết kế hệ thống thông gió cơ khí hoạt động thường xuyên với số lần thay đổi không khí là 6 lần trong l giờ. Hệ thống này phải được điều khiển từ vị trí máy phân tích khí và từ nút bấm lắp ở cửa ra vào.

Không khí thải phải được xả qua ống đặt cao hơn đỉnh mái nhà, cao nhất là 2m trong khu vực bán kính 15m.

– Không khí phải được hút với khối lượng 50% từ vùng dưới và 20% từ vùng trên của gian sản xuất.

13.36. Hệ thống thông gió trong kho Clo tiêu thụ phải là hệ thống thông gió cơ khí với số lần trao đổi không khí 6 lần trong mỗi giờ. Ngoài ra cần phải có hệ thống thông gió sự cố với số lần trao đổi không khí bổ sung 6 lần một giờ. Hệ thống này phải được điều khiển từ máy phân tích khí. Đồng thời máy phân tích khí phải bật tín hiệu âm thanh và ánh sáng báo hiệu có nồng độ Clo nguy hiểm trong kho.

Không khí thải cần xả qua ống đặt cao cách mặt đất 15m. Việc khởi động hệ thống thông gió cần được thực hiện từ hộp nút bấm lắp ở cửa ra vào.

13.37. Việc thông gió nhà định lượng Amoniac phải được thực hiện qua hệ thống thông gió cơ khí với số lần trao đổi không khí 6 lần một giờ. Hệ thống thải gió phải có quạt dự phòng đặt song song với quạt đang hoạt động. Không khí thải được hút ra từ vùng trên, không khí sạch được đưa vào vùng làm việc.

13.38. Trong phòng đặt máy điều chế Ozôn cần thiết kế hệ thống thông gió cơ khí với số lần trao đổi không khí 6 lần một giờ. Ngoài ra cần có hệ thống thông gió sự cố với số lần trao đổi không khí bổ sung 6 lần một giờ. Hệ thống thải gió phải có quạt dự phòng đặt song song với quạt đang hoạt động. Trong phòng đặt máy cần có máy phân tích khí đảm bảo tự động đóng tín hiệu âm thanh và ánh sáng báo hiệu có nồng độ Ozôn nguy hiểm trong phòng.

Bạn phải đăng nhập hoặc đăng ký Thành Viên TVPL Pro để sử dụng được đầy đủ các tiện ích gia tăng liên quan đến nội dung TCVN.

Mọi chi tiết xin liên hệ: ĐT: (028) 3930 3279 DĐ: 0906 22 99 66

13.40. Trong phòng điều chế dung dịch Natriflorua cần thiết kế hệ thống thông gió chung với 3 lần trao đổi không khí trong một giờ. Ngoài ra cần thiết kế hệ thống thông gió cục bộ từ tủ đựng chai lọ chứa Natrinorua, và từ tủ làm vệ sinh bộ phận lọc của bơm chân không. Tốc độ hút gió ở lỗ thao tác phải không nhỏ hơn 0,5m/s.

14. Các yêu cầu bổ sung đối với hệ thống cấp nước trong những điều kiện khí hậu thiên nhiên đặc biệt

Vùng động đất

14.1. Khi thiết kế hệ thống cấp nước ở vùng động đất cấp 7,8,9 cần theo các quy định này.

14.2. Khi thiết kế các công trình cấp nước bậc tin cậy I, trong vùng động đất cấp 8 và 9 cần sử dụng hai nguồn cấp nước độc lập.

14.3. Khi sử dụng một nguồn cấp nước có miệng hút ở mỗi nơi, thì lượng nước chữa cháy phải gấp đôi, đồng thời phải thêm một lượng nước cần thiết để cấp nước ăn uống sinh hoạt cho khu dân cư có động đất cấp 9 trong thời gian ít nhất 12h và cho khu dân cư có động đất cấp 8 trong thời gian ít nhất 8h. Lượng nước cần thêm cho khu công nghiệp lấy theo biểu đồ sự cố.

14.4. Để đảm bảo cho hệ thống cấp nước hoạt động an toàn cần có các biện pháp sau đây:

– Phân tán các bể chứa, đặt các bể chứa tại các khu vực đối diện mạng lưới;

– Thay thế các tháp chứa nước bằng các bể chứa đặt trên các điểm cao của khu vực xây dựng;

Bạn phải đăng nhập hoặc đăng ký Thành Viên TVPL Pro để sử dụng được đầy đủ các tiện ích gia tăng liên quan đến nội dung TCVN.

Mọi chi tiết xin liên hệ: ĐT: (028) 3930 3279 DĐ: 0906 22 99 66

– Sử dụng hệ thống cấp nước áp lực thấp;

– Hợp nhất các mạng lưới cấp nước ăn uống – sinh hoạt, sản xuất, chữa cháy; cấp nước chưa làm sạch nhưng đã qua khử trùng vào mạng lưới cấp nước ăn uống – sinh hoạt sau khi đã thoả thuận với cơ quan vệ sinh phòng dịch.

14.5. Không cho phép hợp khối trạm bơm với các công trình khác trừ công trình thu.

14.6. Trạm bơm đặt sâu phải bố trí cách xa bể chứa và đường ống dẫn ít nhất 10m, ống đặt qua tường trạm bơm phải bọc ống lồng.

14.7. Các công trình chứa nước công nghệ trên trạm xử lý nước cần phân thành nhóm, ít nhất phải hai nhóm.

14.8. Trạm xử lí nước phải có đường ống vòng để cấp nước vào mạng lưới. Phải dùng thiết bị pha Clo đơn giản để cấp nước vào mạng lưới ăn uống sinh hoạt.

14.9. Phải thiết kế ít nhất hai bể chứa. Mỗi bể chứa cần nối với mạng lưới bằng đường ống riêng.

14.10. Không cho phép ngàm cứng đường ống trong tường và móng nhà. Kích thước lỗ cho đường ống đi qua phải đảm bảo có khe hở ít nhất 10cm. Trường hợp có đất lún sạt thì khe hở cao ít nhất 20cm; phải dùng vật liệu đàn hồi để bịt khe hở. ống đặt qua tường công trình chứa phải bao ống lồng.

14.11. Phải thiết kế mối nối mềm ở những nơi sau đây:

Bạn phải đăng nhập hoặc đăng ký Thành Viên TVPL Pro để sử dụng được đầy đủ các tiện ích gia tăng liên quan đến nội dung TCVN.

Mọi chi tiết xin liên hệ: ĐT: (028) 3930 3279 DĐ: 0906 22 99 66

– Chỗ đường đất nối với máy bơm, két nước, giếng Zetêdi;

– Chỗ ống đứng của đài nước nối với các đường ống ngang;

– Chỗ thay đổi hướng đặt đường ống.

Đường ống dẫn và mạng lưới cấp nước

14.12. Cần dùng các loại đường ống và ống dẫn sau đây:

– ống poliêtilen;

– ống bê tông cốt thép có áp với áp lực công tác tới 12 kg/cm2

– ống xi măng amiăng có áp lực công tác tới 6 kg/cm2 dùng cho vùng động đất tới cấp 8. Mác đường ống phải lấy cao hơn một cấp so với vùng không có động đất, cho phép sử dụng:

– ống gang với áp lực công tác tới 6kg/cm2;

Bạn phải đăng nhập hoặc đăng ký Thành Viên TVPL Pro để sử dụng được đầy đủ các tiện ích gia tăng liên quan đến nội dung TCVN.

Mọi chi tiết xin liên hệ: ĐT: (028) 3930 3279 DĐ: 0906 22 99 66

– ống xi măng amiăng có áp dụng làm ống dẫn với điều kiện ống dẫn thứ hai là ống kim loại hoặc ống bê tông cốt thép.

14.13. Cần phải dùng mối nối mềm để nối đường ống bê tông cốt thép, ống xi măng amiăng có áp kể cả ống gang.

14.14. Chiều sâu đặt ống tối thiểu, tính đến đỉnh ống phải theo các quy định sau:

ống gang và ống bê tông cốt thép không nhỏ hơn 1m.

ống xi măng amiăng cốt thép không nhỏ hơn 1,3m, ống thép – không quy định.

14.15. Phải thiết kế hai đường ống dẫn có các đường nối ngang để thay đổi nhau làm việc.

Số lượng các đường ống nối ngang phải quy định theo điều kiện xuất hiện hai chỗ bị phá hỏng trên đường ống dẫn. Đồng thời phải đảm bảo tải được 70% lượng nước chữa cháy và 70% lượng nước ăn uống – sinh hoạt và cả lượng nước cấp cho các xí nghiệp công nghiệp khi các xí nghiệp này làm việc theo biểu đồ sự cố. Mạng phân phối phải thiết kế kiểu mạng vòng.

14.16. Không nên đặt ống dẫn và các đường ống chính trong đất bão hoà nước (trừ các lớp đá cứng và đá khối lớn); trong các lớp đất đắp có độ ẩm bất kì, và cả trong các vùng đất có vết phá hoại kiến tạo. Trường hợp phải đặt các đường ống nói trên ở trong các lớp đất đó thì phải dùng ống thép.

Kết cấu

Bạn phải đăng nhập hoặc đăng ký Thành Viên TVPL Pro để sử dụng được đầy đủ các tiện ích gia tăng liên quan đến nội dung TCVN.

Mọi chi tiết xin liên hệ: ĐT: (028) 3930 3279 DĐ: 0906 22 99 66

Cấp động đất của nhà và công trình lấy theo bảng 14- 1

Bảng 14- 1

Loại nhà và công trình

Cấp động đất của nhà và công trình khi cấp động đất trên khu vực xây dựng

7

8

9

I

II

Bạn phải đăng nhập hoặc đăng ký Thành Viên TVPL Pro để sử dụng được đầy đủ các tiện ích gia tăng liên quan đến nội dung TCVN.

Mọi chi tiết xin liên hệ: ĐT: (028) 3930 3279 DĐ: 0906 22 99 66

7

7

8

7

9

8

Không tính tác động động đất

Ghi chú:

1- Loại nhà và công trình cấp nước lấy theo bảng 13-1.

Bạn phải đăng nhập hoặc đăng ký Thành Viên TVPL Pro để sử dụng được đầy đủ các tiện ích gia tăng liên quan đến nội dung TCVN.

Mọi chi tiết xin liên hệ: ĐT: (028) 3930 3279 DĐ: 0906 22 99 66

14.18. Công trình chứa phải tính với sự tác động đồng thời của tải trọng động đất, trọng lượng bản thân của kết cấu, trọng lượng nước chứa, và đất kể cả đất đắp.

14.19. Khi xác định tải trọng động đất đặt ngang của công trình nói chung giá trị tích số của hệ số động học và dạng dao động (E, ak) cần lấy 1,5 đối với công trình chứa xây chìm và 3 đối với công trình xây trên mặt đất.

Vùng đất lún sụt

14.20. Hệ thống cấp nước xây dựng ở vùng đất lún sụt, phải thiết kế theo tiêu chuẩn thiết kế nền nhà và công trình.

14.21. Nhà và công trình phải bố trí trên khu vực xây dựng đảm bảo thoát nước mưa tốt.

Ghi chú: Trường hợp khu vực xây dựng là sườn đồi, phải thiết kế kênh bao trên đồi để thoát nước mưa.

14.22. Không được xây dựng nhà và công trình trên bờ hố đào, trên bờ kênh, mương và ở những nơi đất dễ lún sụt.

14.23. Khoảng cách từ các công trình chứa đến các loại nhà được quy định như sau:

Trong vùng đất loại I (vùng đất loại I là vùng đất không có khả năng lún sụt do trọng lượng bản thân), không nhỏ hơn 1,5 lần chiều dày lớp đất lún sụt; trong vùng đất loại II (vùng đất loại II là vùng đất có khả năng lún sụt do trọng lượng bản thân) có lớp đất thấm nước không nhỏ hơn 1,5 lần chiều dày lớp đất lún sụt; còn khi có lớp đất không thấm nước- không nhỏ hơn 3 lần chiều dày lớp đất lún sụt, nhưng không quá 40m.

Bạn phải đăng nhập hoặc đăng ký Thành Viên TVPL Pro để sử dụng được đầy đủ các tiện ích gia tăng liên quan đến nội dung TCVN.

Mọi chi tiết xin liên hệ: ĐT: (028) 3930 3279 DĐ: 0906 22 99 66

14.24. Trong vùng đất loại l; khoảng cách từ nguồn gây lún thường xuyên đến chỗ xây dựng nhà và công trình cho phép không hạn chế với điều kiện có thể khắc phục triệt để được tình trạng đất lún.

14.25. Trong các đồ án thiết kế nhà và công trình xây dựng ở vùng đất lún sụt phải đảm bảo cho công trình chứa và mạng lưới kín khít; phải có biện pháp ngăn ngừa nước thấm vào đất; thu và thoát nước ở những chỗ rò rỉ.

14.26. Đường ống bên trong trạm bơm và trạm lọc nước… phải đặt trên mặt sàn, có thể đặt đường ống trong rãnh không thấm nước và thoát nước vào hố riêng, từ đó nước chảy vào giếng kiểm tra hoặc vào hệ thống thoát nước mưa.

14.27. Các vòi nước công cộng phải bố trí ở các chỗ thấp cách nhà và công trình một khoảng cách tối thiểu 10m.

Đường ống dẫn và mạng lưới cấp nước

14.28. Đối với vùng đất loại I, đường ống có áp và tự chảy khi thiết kế không tính tới độ lún của đất.

14.29. Đối với vùng đất loại II khi độ lún do khối lượng riêng của đất tới 40 cm, phải đầm kĩ lớp đất dày 0,2- 0,3m để đặt đường ống; Trường hợp độ lún vượt quá 40cm, ngoài việc phải đầm đất, dưới đường ống phải có lớp đáy không thấm nước với tầng thoát nước 0,1m để thoát nước sự cố vào giếng kiểm tra. Không được đào hố tập trung nước dưới các mối nối ống mà phải đào đất để lèn sâu.

14.30. Đối với vùng đất loại II mà độ lún do khối lượng riêng của đất đạt tới 40cm, đường ống dẫn và mạng lưới cấp nước phải sử dụng các loại ống theo quy định trong điều 8.2.

Cho phép sử dụng

Bạn phải đăng nhập hoặc đăng ký Thành Viên TVPL Pro để sử dụng được đầy đủ các tiện ích gia tăng liên quan đến nội dung TCVN.

Mọi chi tiết xin liên hệ: ĐT: (028) 3930 3279 DĐ: 0906 22 99 66

14.31. Để quan sát nước rò rỉ từ đường ống đặt dưới đất có lún lớn hơn 40cm. Cần thiết kế giếng kiểm tra. Giếng kiểm tra có thể dùng giếng kiểm tra trên mạng lưới cấp nước. Trên đường ống dẫn, giếng kiểm tra đặt cách nhau không quá 250m. Có thể đặt ống xả thay giếng kiểm tra để xả nước khi có sự cố vào chô trũng nhưng không để nước mưa làm ngập các đường ống dẫn.

Trên đường ống tự chảy giếng kiểm tra đặt cách nhau không quá 200m.

14.32. Khi đặt đường ống cấp nước trong hào ở vùng đất loại I, khoảng cách theo chiều ngang tính từ mặt ngoài ống tới mép móng nhà và công trình phải lấy không nhỏ hơn 5m; trong vùng đất loại II lấy theo bảng 14.2.

Bảng 14.2

Chiều dầy lớp đất lún sụt m

Khoảng cách tối thiểu m, tính từ mặt ngoài ống đến mép móng nhà và công trình trong vùng đất loại II, khi đường kính ống, mm.

Tới 100

Trên 100

Tới 300

Bạn phải đăng nhập hoặc đăng ký Thành Viên TVPL Pro để sử dụng được đầy đủ các tiện ích gia tăng liên quan đến nội dung TCVN.

Mọi chi tiết xin liên hệ: ĐT: (028) 3930 3279 DĐ: 0906 22 99 66

Tới 5

Từ 5 đến 12

Trên 12

Như đối với đất không lún

 

 

10

15

5

Bạn phải đăng nhập hoặc đăng ký Thành Viên TVPL Pro để sử dụng được đầy đủ các tiện ích gia tăng liên quan đến nội dung TCVN.

Mọi chi tiết xin liên hệ: ĐT: (028) 3930 3279 DĐ: 0906 22 99 66

7,5

10

Ghi chú:

1) Trường hợp có biện pháp gia cố đất lún thì không áp dụng quy định trong bảng trên.

2) Khi đường ống cấp nước có áp lực trên 6kg/cm2 khoảng cách trên cần lấy tăng 30%.

3) Trường hợp không thể theo đúng các quy định trong bảng trên; phải đặt đường ống trong rãnh không thấm nước, rãnh phải có ống xả nước sự cố vào giếng kiểm tra.

14.33. Trên đường ống dẫn nước và mạng lưới cấp nước trước phụ tùng nối mặt bích phải cấu tạo mối nối di động đặt trong giếng.

14.34. Trong vùng đất loại I, thiết kế giếng không cần tính tới độ lún; trong vùng đất loại II nền đất đặt giếng phải đầm sâu 1m, phần đáy và thành giếng dưới đường ống phải có cấu tạo không thấm nước. Vùng đất quanh giếng phải san dốc 0,03 tính từ miệng giếng trở ra.

14.35. Đường ống dẫn nước ra, vào nhà phải thiết kế theo tiêu chuẩn thiết kế cấp nước bên trong.

Bạn phải đăng nhập hoặc đăng ký Thành Viên TVPL Pro để sử dụng được đầy đủ các tiện ích gia tăng liên quan đến nội dung TCVN.

Mọi chi tiết xin liên hệ: ĐT: (028) 3930 3279 DĐ: 0906 22 99 66

14.37. Trong vùng đất loại II, dưới đáy công trình đặt trên đất đầm phải có bệ chống thấm và cấu tạo thoát nước vào giếng kiểm tra.

14.38. Công trình chứa có đáy hình nón lộn ngược phải có cột đỡ tì lên bệ bê tông cốt thép không thấm nước và có cấu tạo thoát nước vào giếng kiểm tra.

Ghi chú: Đối với các công trình cấp nước có bậc tin cậy III, khi đường kính (hoặc cánh lớn) nhỏ hơn 10m không cần phải có cấu tạo thoát nước sự cố.

14.39. Đối với công trình chứa thuộc bậc tin cậy cấp I và II, xây trên vùng đất loại II, phải theo dõi độ lún sụt và rò rỉ nước của công trình.

14.40. Trong vùng đất loại I; dưới móng tường và cột nhà đặt công trình chứa, dưới sàn trạm bơm và các nhà có sử dụng nước, dưới các bể chứa phải đầm đất sâu 1,5-2m sàn nhà có nước phải làm bằng vật liệu không thấm nước và có độ dốc tối thiểu 0,01 để thoát nước vào hố thu.

Trong vùng đất loại II, ngoài việc đầm đất còn phải làm bệ chống thấm đặt dưới công trình chứa, có cấu tạo thoát nước vào giếng kiểm tra.

14.41. Xung quanh các công trình làm nguội nước nền xây dựng vỉa hè không thấm nước và có độ dốc 0,03 về phía bể thu, chiều rộng vỉa hè ít nhất 5m, về phía gió thổi phun nước mạnh nhất với chiều rộng ít nhất 10m. Dưới vỉa hè cần đầm đất kĩ ở độ sâu tối thiểu 0,3m.

14.42. Dưới đài nước phải đầm đất kĩ theo quy định ở điều 14.36 Trong vùng đất loại II, móng đài nước phải làm bằng bệ bê tông cốt thép liền khối có cấu tạo thoát nước sự cố vào giếng kiểm tra.

14.43. Xung quanh móng đài nước, cần có vỉa hè lát bằng vật liệu không thấm nước, có độ dốc 0,03 tính từ đài nước, chiều rộng vỉa hè phải lớn hơn chân hố móng 0,3m nhưng không quá 3m.

Bạn phải đăng nhập hoặc đăng ký Thành Viên TVPL Pro để sử dụng được đầy đủ các tiện ích gia tăng liên quan đến nội dung TCVN.

Mọi chi tiết xin liên hệ: ĐT: (028) 3930 3279 DĐ: 0906 22 99 66

Quy định chung

14.44. Khi thiết kế nhà và công trình, đường ống dẫn nước và mạng lưới cấp nước phải có biện pháp bảo vệ chống ảnh hưởng của việc khai thác mỏ.

14.45. Việc xác định kiểu loại công trình chứa nước xây dựng ở vùng đất khai thác cần dựa trên cơ sở phân tích kinh tế – kĩ thuật và so sánh của phương án. Ngoài ra phải chú ý tới kích thước và hình dáng các công trình chứa, đặc điểm công nghệ vận hành, khả năng sửa chữa, khôi phục công trình và các yếu tố khác.

14.46. Không được xây dựng các bể chứa kín có dung tích lớn hơn 6000m3 trên vùng đất khai thác. Trường hợp nhất thiết phải có bể chứa dung tích lớn, thì cần xây một số bể có dung tích nhỏ hơn.

Ghi chú: Các bể chứa để cấp nước sản xuất không quy định dung tích bể.

14.47. Các hố van phải ngăn cách khỏi bể chứa bằng các khe biến dạng.

14.48. Trên vùng đất khai thác phải thiết kế các công trình chứa bằng bê tông cốt thép hình trụ tròn. Trường hợp có lí do xác đáng mới cho phép thiết kế công trình chứa hình chữ nhật.

14.49. Phải đảm bảo có lối đi lại dễ dàng tới các bộ phận chính của công trình chứa để tiến hành kiểm tra và sửa chữa công trình.

14.50. Trong các công trình làm sạch và xử lí nước (bể lắng trong, bể lắng, bể lọc…) phải có biện pháp làm bằng mép máng, rãnh sau khi công trình bị biến dạng. Các máng rãnh, có lỗ ngập không yêu cầu phải làm bằng.

Bạn phải đăng nhập hoặc đăng ký Thành Viên TVPL Pro để sử dụng được đầy đủ các tiện ích gia tăng liên quan đến nội dung TCVN.

Mọi chi tiết xin liên hệ: ĐT: (028) 3930 3279 DĐ: 0906 22 99 66

14.52. Để đảm bảo cho trạm làm sạch và xử lí nước hoạt động an toàn; mỗi công trình cần ngăn thành blốc hoặc đơn nguyên.

14.53. Chỉ cho phép thiết kế bể lắng ngang trong trường hợp đã có các biện pháp chống ảnh hưởng khai thác. (Làm khe biến dạng, gia cường kết cấu…).

14.54. Các đường ống, máng, rãnh giữa các công trình trong trạm làm sạch và xử lí nước phải đảm bảo xê dịch chuyển vị được.

14.55. Để đảm bảo khả năng biến dạng của đường ống trong trạm bơm, trạm thổi khí, trạm làm sạch và xử lí nước cần dùng các gối tựa khớp, gối con lăn, gối trượt.

14.56. Việc định cốt đáy và cốt mức nước trong công trình chứa phải đảm bảo điều kiện nước tự chảy sau khi nền bị biến dạng.

14.57. Các thiết bị nặng trong trạm bơm, trạm làm sạch và xử lí nước phải đặt trên các móng riêng không liên kết với kết cấu nhà. Trên hệ thống đường ống trong trạm cần đặt ống điều hoà, co dãn.

14.58. Đường ống, phụ tùng, đặt trong trạm bơm, trạm thổi khí, trạm làm sạch và xử lí nước trong hố van của công trình chứa phải dùng ống và phụ tùng bằng thép.

Ghi chú: Cho phép dùng phụ tùng gang đối với công trình cấp có bậc tin cậy II, III nhưng gồm phụ tùng phải lắp ống điều hoà co dãn.

14.59. Đường ống đặt qua thành công trình chứa phải bao ống lồng và trước ống lồng phải lắp ống điều hòa co dãn hoặc chèn bằng các vật liệu đàn hồi.

Bạn phải đăng nhập hoặc đăng ký Thành Viên TVPL Pro để sử dụng được đầy đủ các tiện ích gia tăng liên quan đến nội dung TCVN.

Mọi chi tiết xin liên hệ: ĐT: (028) 3930 3279 DĐ: 0906 22 99 66

Ghi chú: Khi đặt ống dưới móng nhà và công trình phải dùng ống bọc bằng thép. Khoảng cách giữa ống bọc và đáy móng không nhỏ hơn 10cm.

Đường ống dẫn và mạng lưới cấp nước

14.61. Trên đất khai thác được sử dụng tất cả các loại ống nhưng phải tính tới các yếu tố về độ bền về tình trạng sử dụng khả năng biến dạng của các mối nối cứng cũng như trên cơ sở tính toán kinh tế – kĩ thuật.

14.62. Các mối nối ống phải sử dụng vật liệu đàn hồi, vòng đệm cao su, matitatphan, cột xi măng amiăng… các mối nối hàn ống thép phải có độ bền cao hơn độ bền kim loại ống.

14.63. Trên đường ống thép đặt ngầm phải dùng phụ tùng bằng thép. Chỉ cho phép dùng phụ tùng gang trong trường hợp có cấu tạo mối nối co dãn.

14.64. Chỗ đặt van xả khí, xả nước trên đường ống dẫn phải tính tới độ lún của đất do khai thác.

14.65. Phải thiết kế hai đường ống dẫn nước tới hộ tiêu thụ; đặt tâm các khu vực có thời hạn khai thác khác nhau. Cho phép cấp nước theo một đường ống dẫn nhưng phải xây bể chứa bảo đảm chứa đủ lượng nước dự trữ để cấp trong thời gian khắc phục sự cố.

14.66. Cho phép đặt các đường ống trong cùng tuy nen hay rãnh nhưng phải tính tới tác động biến dạng mặt đất do khai thác.

14.67. ống đặt qua sông, kênh, rạch, đường sắt cần đặt cách mặt đất.

Bạn phải đăng nhập hoặc đăng ký Thành Viên TVPL Pro để sử dụng được đầy đủ các tiện ích gia tăng liên quan đến nội dung TCVN.

Mọi chi tiết xin liên hệ: ĐT: (028) 3930 3279 DĐ: 0906 22 99 66

Đặt mối co dãn để tăng khả năng di động của ống;

Dùng vật liệu ít bám chặt để bao ống một lớp dày 20cm;

Nâng cao độ chịu lực của ống bằng cách dùng ống thành dày.

14.69. Lớp bảo vệ đường ống phải quy định trên cơ sở các kết quả tính toán đường ống theo trạng thái giới hạn.

14.70. Đối với ống thép, trạng thái giới hạn được xác định bằng khả năng chịu lực của đường ống thép phương dọc đảm bảo điều kiện:

Trong đó:

Rk– Lực kháng kéo tính toán của đường ống;

ma – Hệ số điều kiện làm việc bằng 0,9;

Bạn phải đăng nhập hoặc đăng ký Thành Viên TVPL Pro để sử dụng được đầy đủ các tiện ích gia tăng liên quan đến nội dung TCVN.

Mọi chi tiết xin liên hệ: ĐT: (028) 3930 3279 DĐ: 0906 22 99 66

Lực tác dụng của đất bị biến dạng lên đường ống được xác định theo công thức:

Trong đó:

δ – Chiều dài thành ống, cm;

1- Chiều dài vùng bị kéo trong Munda, cm;

Qo – Cường độ tác dụng lực của đất biến dạng, KG/cm2;

lk – chiều dài vùng đất sụt đối với ống trong phần kéo Munda, cm.

14.71. Đối với ống xi măng amiăng, ống gang, ống bê tông cốt thép nối miệng bát hay nối lồng, trạng thái giới hạn được xác định bằng độ mở tối đa của mối nối mà vẫn giữ nguyên được độ kín với điều kiện:

Bạn phải đăng nhập hoặc đăng ký Thành Viên TVPL Pro để sử dụng được đầy đủ các tiện ích gia tăng liên quan đến nội dung TCVN.

Mọi chi tiết xin liên hệ: ĐT: (028) 3930 3279 DĐ: 0906 22 99 66

 – Độ mở tới hạn của mối nối;

ε – Biến dạng ngang của mặt đất trong khu vực tính toán.

Du – Đường kính ngoài của ống;

Rmin – Bán kính cong tối thiểu của mặt đất;

1m – Khoảng cách giữa các mối nối (chiều dài ống).

14.72. Để bảo vệ đường ống không áp và mạng dẫn có thể tăng độ dốc xây dựng ở những đoạn đường ống do mặt đất biến dạng mà tạo ra độ dốc nhỏ hơn độ dốc cho phép.

14.73. Khoảng cách giữa các mối co dãn lo của ống thép đặt ngầm được xác định theo công thức:

Trong đó:

Bạn phải đăng nhập hoặc đăng ký Thành Viên TVPL Pro để sử dụng được đầy đủ các tiện ích gia tăng liên quan đến nội dung TCVN.

Mọi chi tiết xin liên hệ: ĐT: (028) 3930 3279 DĐ: 0906 22 99 66

Kết cấu

14.74. Các công trình chứa cần thiết kế theo sơ đồ kết cấu biến dạng đặc biệt, sơ đồ kết cấu cứng hoặc sơ đồ kết cấu hỗn hợp.

14.75. Việc sử dụng thiết kế điển hình chỉ cho phép khi dung tích chứa không quá 500m3 và độ biến dạng tính toán của mặt đất phải theo điều kiện biến dạng ngang tương đối của H (1mm/m; và bán kính cong tối thiểu R = 30km).

14.76. Để tạo khả năng biến dạng của công trình chứa và các bộ phận của nó phải thiết kế các khe biến dạng không thấm nước hoặc sử dụng các kết cấu mềm dẻo.

14.77. Không cho phép đáy công trình chứa bằng bê tông cốt thép có kết cấu biến dạng đặt thấp hơn mức nước ngầm.

14.78. Đối với bể chứa tính theo sơ đồ biến dạng ở đất sét ít thấm cần có hệ thống thoát nước.

14.79. Trong nền đất công trình chứa theo sơ đồ kết cấu cứng, cần có lớp đệm dày 0,3 -0,5m, bằng sỏi hay đá dăm. Trong nền đất công trình chứa theo sơ đồ kết cấu biến dạng cần có lớp đệm bằng cát dày 0,15-0,2m.

14.80. Trường hợp cần thiết, cần thiết kế các rãnh điều hoà co dãn chung quanh công trình chứa hoặc các biện pháp khác để giảm hoặc loại trừ áp lực bị động của đất trượt trong thời gian khai thác.

14.81. Các bộ phận của công trình chứa phải tính theo tiêu chuẩn thiết kế kết cấu bê tông và bê tông cốt thép.

Bạn phải đăng nhập hoặc đăng ký Thành Viên TVPL Pro để sử dụng được đầy đủ các tiện ích gia tăng liên quan đến nội dung TCVN.

Mọi chi tiết xin liên hệ: ĐT: (028) 3930 3279 DĐ: 0906 22 99 66

14.83. Trong vùng đất khai thác, không được dùng đá hộc, gạch, blốc lớn để xây công trình chứa.

14.84. Đối với bể chứa đường kính lớn hơn 12m cần dùng mái múi dù có cột trung tâm chịu mọi tải trọng đứng.

14.85. Đối với công trình chứa tính theo sơ đồ cứng, mỏng phải làm bằng bê tông cốt thép đổ tại chỗ tính với tải trọng cơ bản và đặc biệt.

14.86. Trong hồ chứa hình trụ có mái, mặc dù thiết kế theo sơ đồ hỗn hợp cần cấu tạo các vùng biến dạng giữa thành bể và tấm đáy, giữa tấm đáy và móng cột bê tông trung tâm. Giữa mép mái và thành bể cần cấu tạo khe trượt có thể di chuyển ngang.

14.87. Các kiểu bể lắng trong, bể lắng đứng, bể trộn, bể phèn, bể lọc phải thiết kế theo sơ đồ cứng.

14.88. Bể lắng radian cần thiết kế theo sơ đồ cứng hoặc sơ đồ hỗn hợp đảm bảo có khe hở không đổi giữa đáy và thiết bị cào bùn.

Phụ lục 1

CÁC TÀI LIỆU CƠ SỞ ĐỂ NGHIÊN CỨU SƠ ĐỒ CẤP NƯỚC VÙNG (KHU VỰC)

1- Để sử dụng một cách hợp lí dự trữ nước trong các sơ đồ cấp nước vùng phải lập được:

Bạn phải đăng nhập hoặc đăng ký Thành Viên TVPL Pro để sử dụng được đầy đủ các tiện ích gia tăng liên quan đến nội dung TCVN.

Mọi chi tiết xin liên hệ: ĐT: (028) 3930 3279 DĐ: 0906 22 99 66

– Sơ đồ cấp nước các khu vực công nghiệp để xác định được kế hoạch xây dựng hệ thống cấp nước và các công trình thuỷ công một cách tổ hợp kinh tế và hợp lí nhất.

2- Luận chứng kinh tế kĩ thuật và các sơ đồ cấp nước của khu công nghiệp trong đó co sự sắp đặt và phát triển của công nghiệp, các công trình phúc lợi và quy hoạch các điểm dân cư phải dựa trên các số liệu quy hoạch vùng, sơ đồ bố trí và phát triển của công nghiệp, tổng mặt bằng và các tài liệu khác.

3- Luận chứng kinh tế kĩ thuật và các sơ đồ cấp nước phải kết hợp việc sử dụng một cách tổ hợp và hợp lí dự trữ nước với các sơ đồ phát triển tưới tiêu và cấp nước nông nghiệp, thuỷ năng và giao thông đường thuỷ, nghề cá, có sơ đồ tổng thể việc sử dụng tổ hợp và bảo quản các nguồn dự trữ nước của quốc gia mà các cơ quan chuyên ngành khác để lập ra.

4- Trong chương cấp nước của luận chứng kinh tế kĩ thuật phải có:

– Xác định lượng dự trữ nước mặt và nước ngầm hiện có kể cả các suối nước nóng và việc sử dụng chúng.

– Xác định được tình trạng hiện tại của việc cấp nước cho các điểm dân cư và các xí nghiệp công nghiệp.

– Vạch ra các giải pháp về việc chọn nguồn và sơ đồ cấp nước có tính đến các biện pháp cần thiết để bảo vệ nguồn cá và vệ sinh của hồ chứa.

– Thành lập được sự cân bằng nước trong thời hạn tính toán đối với các điểm dân cư có công nghiệp, đối với các bể nước và đối với các đường giao thông thủy quan trọng đồng thời phải nêu được dự đoán về chất lượng nước trong tương lai.

– Thực hiện việc so sánh kinh tế kĩ thuật các phương án chọn sơ đồ cấp nước cho các đối tượng riêng xây dựng trong tương lai.

Bạn phải đăng nhập hoặc đăng ký Thành Viên TVPL Pro để sử dụng được đầy đủ các tiện ích gia tăng liên quan đến nội dung TCVN.

Mọi chi tiết xin liên hệ: ĐT: (028) 3930 3279 DĐ: 0906 22 99 66

– Chỉ ra những biện pháp cần thiết để điều chỉnh lại việc sử dụng nước.

5- Trong các sơ đồ cấp nước cho các khu công nghiệp ở chương cấp nước cần phải: Làm chính xác các số liệu về lượng dự trữ nước ngầm và nước mặt, về tình trạng của các hệ thống cấp nước, về công việc xây dựng chủ yếu; về sự tiêu thụ nước nguồn đối với thời gian tính toán của công nghiệp và dân cư có sự phân tích các sơ đồ cân bằng cấp nước cho các xí nghiệp lớn có các hệ thống dùng nước phức tạp như tuần hoàn và sử dụng lại nước thải đã được làm sạch và nước thải không bị nhiễm bẩn.

Đối với các điểm dân cư và các xí nghiệp công nghiệp dự kiến các sơ đồ cấp nước có chỉ dẫn chỗ thu nước và tuyến ống dẫn chính; vạch sơ đồ kết cấu công trình thu, các công trình làm sạch và xử lí nước, các đập, hố chứa nước và các hồ tập trung nước vv…có tính đến sự phối hợp với các công trình cấp nước.

Thành lập, cân bằng sử dụng nước đối với thời hạn tính toán cho các công trình dùng nó làm nguồn cấp nước và các dự đoán về chất lượng nước của sông trong thời hạn khai thác.

Xác định các chỉ tiêu kinh tế kĩ thuật của hồ cấp nước; đầu tư cơ bản, giá thành 1m3 nước đưa đến nơi tiêu thụ tính từ nguồn cấp nước, đóng góp theo cổ phần của các hộ tiêu thụ nước trong xây dựng, trình tự và thời hạn xây dựng.

6- Trong phần tiêu thụ khi tính cân bằng nước cần phải đảm bảo: nhu cầu sinh hoạt và ăn uống của dân cư và những người sản suất; Nhu cầu sản xuất công nghiệp, tưới cây và đất ở vùng nông nghiệp trong nông trường, và hợp tác xã dẫn nước cho các bãi chăn nuôi vv…

Yêu cầu nước để nuôi cá.

Yêu cầu nước cho giao thông – xây các âu thuyền, xả nước để đảm bảo chiều sâu vận chuyển của tầu thuyền trên các bãi bồi xả nước để bảo vệ điều kiện sử dụng nước bình thường của khu dân cư và tình trạng vệ sinh của hồ chứa có tính đến nước thải đang và dự định đổ vào.

Xả ra khỏi hồ chứa để làm tốt chất lượng nước do nó bị tăng lượng muối khoáng hay là chất bẩn bãi nước thải của các xí nghệp công nghiệp. Lượng nước bốc hơi ra khỏi hồ chứa khi sử dụng nó làm hồ làm lạnh.

Bạn phải đăng nhập hoặc đăng ký Thành Viên TVPL Pro để sử dụng được đầy đủ các tiện ích gia tăng liên quan đến nội dung TCVN.

Mọi chi tiết xin liên hệ: ĐT: (028) 3930 3279 DĐ: 0906 22 99 66

7- Trong phần thiên nhiên khi tính cân bằng nước cần tính đối với các nguồn cấp nước: các nguồn nước mặt phải biết lưu lượng tối thiểu, lưu lượng trung bình tháng hay lưu lượng trung bình ngày đối với mùa hè và mùa đông, lưu lượng hữu ích của hồ chứa, lượng nước chảy vào sông ở đoạn dưới của hồ chứa, trị số hiệu dụng của lượng nước bổ sung được xác định có kể đến lượng xả của hồ chứa theo biểu đồ bù nước.

Nước ngầm dùng để cấp nước cho sinh hoạt hay công nghiệp tính theo chỉ dẫn ở mục 4.7.

Nguồn nước nóng dùng để cấp nước nóng và cấp cho nhu cầu kĩ thuật. Nước suối và nước có tính đến chất lượng độ nhiễm bẩn, thành phần muối, nhiệt độ vv… và khả năng thay đổi lưu lượng theo thời gian. Nước thải đã làm sạch và thải nước không bị nhiễm bẩn, nước xả từ các bể lắng, lượng nước dưới mực nước chết của hồ, từ các hố tuần hoàn đã được lọc trong và vv… có để ý đến chất lượng (độ nhiễm bẩn thành phần hóa học, nhiệt độ và hàm lượng cặn v.v…) và khả năng thay đổi lưu lượng theo thời gian.

Nước xả bị nhiễm bẩn sau khi làm sạch có thể sử dụng lại cho các xí nghiệp công nghiệp hay cho nhu cầu nông nghiệp.

Ghi chú: Dự trữ khai thác nước ngầm tính theo cấp A, B, C khi phân tích chi tiết điều kiện địa chất và địa chất thuỷ văn cho phép tính đủ dự trữ theo cấp C2.

Phụ lục 2

CẤP NƯỚC CHỮA CHÁY

(Trích trong cuốn yêu cầu thiết kế phòng cháy và chữa cháy cho nhà và công trình – TCVN 2622-78): (xem thêm TCVN 2622-1995 đã soát xét lần 2)

1- Trong các khu dân dụng, khu công nghiệp, kho tàng, công trình công nghiệp và dân dụng, phải thiết kế hệ thống đường ống cấp nước chữa cháy. Hệ thống đường ống cấp nước chữa cháy được thiết kế riêng biệt hay kết hợp với hệ thống đường ống cấp nước sinh hoạt hoặc sản xuất.

Bạn phải đăng nhập hoặc đăng ký Thành Viên TVPL Pro để sử dụng được đầy đủ các tiện ích gia tăng liên quan đến nội dung TCVN.

Mọi chi tiết xin liên hệ: ĐT: (028) 3930 3279 DĐ: 0906 22 99 66

1- Đối với các ngôi nhà sản xuất có bậc chịu lửa I và II, có khối tích không quá 1000m3, trong đó sản xuất thuộc hạng 2 hoặc đối với nhà ở 1 đến 2 tầng thì không thiết kế hệ thống đường ống cấp nước chữa cháy.

2- Đối với các ngôi nhà có bậc chịu lửa I và II, trong đó sản xuất BTCT không dùng cốp pha gỗ mà bố trí trong khu vực đã có hệ thống ống cấp nước chữa cháy riêng bên ngoài nếu đảm bảo điều kiện khoảng cách từ trụ nước chữa cháy ngoài đường đến ngôi nhà xa nhất không quá 150m.

3- Đối với các khu công nghiệp hoặc công trình công nghiệp, trong đó hạng sản xuất C, D, E mà diện tích không quá 70 ha, lưu lượng nước dùng để chữa cháy bên ngoài nhà không quá 20 lit/giây và đối với các khu dân cư không quá 8000 người thì không nên thiết kế hệ thống đường ống cấp nước thiên nhiên như sông, hồ hay bể chứa nước, hồ nhân tạo để chữa cháy với điều kiện:

a) Có đủ nước dự trữ chữa cháy trong các mùa.

b) Chiều sâu hút nước không quá 4m (từ mặt đất đến mặt nước và mực nước không cạn quá 0,5m)

c) Phải có chỗ đảm bảo để cho xe bơm hoặc máy bơm chữa cháy đến lấy nước.

4- Hệ thống đường ống cấp nước chữa cháy chỉ được thiết kế riêng biệt khi kết hợp với các đường ống khác không có lợi về kinh tế.

5- Trong các khu dân dụng, lưu lượng nước chữa cháy bên ngoài của hệ thống cấp nước chữa cháy và số đám cháy cùng một thời gian, được quy định trong bảng 1.

Bảng 1

Bạn phải đăng nhập hoặc đăng ký Thành Viên TVPL Pro để sử dụng được đầy đủ các tiện ích gia tăng liên quan đến nội dung TCVN.

Mọi chi tiết xin liên hệ: ĐT: (028) 3930 3279 DĐ: 0906 22 99 66

Số lượng đám cháy trong cùng một thời gian

Lưu lượng nước cho 1 đám cháy (lít/giây)

Nhà 1-2 tầng có bậc chịu lửa

Nhà xây hỗn hợp các loại tầng không phụ thuộc bậc chịu lửa

Nhà xây từ 3 tầng trở lên không phụ thuộc bậc chịu lửa

I, II và III

IV và V

Đến 5

Đến 10

Bạn phải đăng nhập hoặc đăng ký Thành Viên TVPL Pro để sử dụng được đầy đủ các tiện ích gia tăng liên quan đến nội dung TCVN.

Mọi chi tiết xin liên hệ: ĐT: (028) 3930 3279 DĐ: 0906 22 99 66

Đến 50

Đến 100

Đến 200

Đến 300

Đến 400

Đến 500

1

1

2

Bạn phải đăng nhập hoặc đăng ký Thành Viên TVPL Pro để sử dụng được đầy đủ các tiện ích gia tăng liên quan đến nội dung TCVN.

Mọi chi tiết xin liên hệ: ĐT: (028) 3930 3279 DĐ: 0906 22 99 66

2

3

3

3

3

5

10

10

15

Bạn phải đăng nhập hoặc đăng ký Thành Viên TVPL Pro để sử dụng được đầy đủ các tiện ích gia tăng liên quan đến nội dung TCVN.

Mọi chi tiết xin liên hệ: ĐT: (028) 3930 3279 DĐ: 0906 22 99 66

20

5

10

10

20

25

10

15

15

Bạn phải đăng nhập hoặc đăng ký Thành Viên TVPL Pro để sử dụng được đầy đủ các tiện ích gia tăng liên quan đến nội dung TCVN.

Mọi chi tiết xin liên hệ: ĐT: (028) 3930 3279 DĐ: 0906 22 99 66

30

30

40

50

60

10

15

15

25

Bạn phải đăng nhập hoặc đăng ký Thành Viên TVPL Pro để sử dụng được đầy đủ các tiện ích gia tăng liên quan đến nội dung TCVN.

Mọi chi tiết xin liên hệ: ĐT: (028) 3930 3279 DĐ: 0906 22 99 66

40

55

70

80

Chú thích:

Trong các khu nhà gồm cả nhà 1 đến 2 tầng và nhà nhiều tầng khác nhau, thì phải xác định riêng từng loại nhà theo bảng 1 có tính đến số dân ở trong đó.

Lượng nước tính cho toàn khu là tổng cộng lượng nước tính cho từng loại nhà trong khu đó.

2- Lượng nước và số đám cháy trong một thời gian đối với khu dân dụng trên 500 nghìn người, được xác định theo yêu cầu riêng.

3- Số đám cháy cùng một thời gian trong đô thị hay vùng, phải tính cả số đám cháy ở các công trình, công trường phải phù hợp với lượng nước chữa cháy cần thiết nhưng không

Bạn phải đăng nhập hoặc đăng ký Thành Viên TVPL Pro để sử dụng được đầy đủ các tiện ích gia tăng liên quan đến nội dung TCVN.

Mọi chi tiết xin liên hệ: ĐT: (028) 3930 3279 DĐ: 0906 22 99 66

4- Trong các khu công nghiệp, số đám cháy trong cùng thời gian được tính như sau:

a) Nếu diện tích khu dưới 150ha thì tính một đám cháy.

b) Nếu diện tích khu từ 150ha trở lên, thì tính với 2 đám cháy và lưu lượng nước chữa cháy tính cho 2 ngôi nhà cần lượng nước chữa cháy nhiều nhất.

5- Trong các khu công nghiệp, lưu lượng chữa cháy bên ngoài lấy từ trụ nước chữa cháy, tính với nhà cần lượng nước chữa cháy nhiều nhất và tính cho một đám cháy được quy định trong bảng 2.

Bảng 2

Bậc chịu lửa

Hạng sản xuất

Lưu lượng nước tính cho 1 đám cháy lít/giây với khối tích của công trình (nghìn m3)

Đến 3

Bạn phải đăng nhập hoặc đăng ký Thành Viên TVPL Pro để sử dụng được đầy đủ các tiện ích gia tăng liên quan đến nội dung TCVN.

Mọi chi tiết xin liên hệ: ĐT: (028) 3930 3279 DĐ: 0906 22 99 66

5

Từ 5 đến

20

Từ 20 đến

50

Trên 50

I và II

I và II

III

Bạn phải đăng nhập hoặc đăng ký Thành Viên TVPL Pro để sử dụng được đầy đủ các tiện ích gia tăng liên quan đến nội dung TCVN.

Mọi chi tiết xin liên hệ: ĐT: (028) 3930 3279 DĐ: 0906 22 99 66

IV và V

IV và V

D, E, Z

A, B, C

D, E

C

E, E

C

5

Bạn phải đăng nhập hoặc đăng ký Thành Viên TVPL Pro để sử dụng được đầy đủ các tiện ích gia tăng liên quan đến nội dung TCVN.

Mọi chi tiết xin liên hệ: ĐT: (028) 3930 3279 DĐ: 0906 22 99 66

5

10

10

15

5

10

10

15

15

Bạn phải đăng nhập hoặc đăng ký Thành Viên TVPL Pro để sử dụng được đầy đủ các tiện ích gia tăng liên quan đến nội dung TCVN.

Mọi chi tiết xin liên hệ: ĐT: (028) 3930 3279 DĐ: 0906 22 99 66

10

15

15

20

20

25

10

20

25

Bạn phải đăng nhập hoặc đăng ký Thành Viên TVPL Pro để sử dụng được đầy đủ các tiện ích gia tăng liên quan đến nội dung TCVN.

Mọi chi tiết xin liên hệ: ĐT: (028) 3930 3279 DĐ: 0906 22 99 66

30

15

30

35

40

Chú thích: Đối với ngôi nhà có tường ngăn cháy thì tính với phần ngôi nhà đòi hỏi lượng nước chữa cháy lớn nhất.

6- Lưu lượng nước dùng để chữa cháy bên ngoài trường học, bệnh viện, nhà văn hoá, cơ quan hành chính, nhà phụ trợ của công trình công nghiệp được tính theo quy định trong bảng 10 và coi như nhà thuộc hạng sản xuất c.

7- Số đám cháy trong cùng 1 thời gian, tính cho hệ thống đường ống cấp nước của công trình công nghiệp và khu công nhân bên cạnh phải tính như sau:

a) Nếu diện tích toàn công trình dưới 150 ha và khu công nhân dưới 10.000 người thì tính một đám cháy, với lưu lượng nước chữa cháy lớn nhất của khu sản xuất hay khu công nhân;

Bạn phải đăng nhập hoặc đăng ký Thành Viên TVPL Pro để sử dụng được đầy đủ các tiện ích gia tăng liên quan đến nội dung TCVN.

Mọi chi tiết xin liên hệ: ĐT: (028) 3930 3279 DĐ: 0906 22 99 66

c) Nếu diện tích toàn công trình trên 150 ha và khu công nhân dưới 25.000 người, thì tính 2 đám cháy với lưu lượng nước lớn nhất (tính 2 đám cháy cho khu sản xuất hay cho khu công nhân theo lưu lượng lớn nhất).

d) Nếu diện tích toàn công trình trên 150 ha và khu công nhân từ 25000 người trở lên, thì số đám cháy trong cùng một thời gian tính theo bảng 10. Đối với khu sản xuất áp dụng theo điều 6-4 của bản tiêu chuẩn này và lượng nước chữa cháy cần thiết, căn cứ vào lượng nước chữa cháy lớn nhất của khu sản xuất hay khu công nhân, cộng thêm với 50% lượng nước chữa cháy nhỏ nhất của các khu đó.

8- Hệ thống đường ống cấp nước chữa cháy bên ngoài phải thiết kế theo mạng lưới vòng. Khi đường ống cấp nước chữa cháy bên ngoài không quá 200m, cho phép thiết kế đường ống cụt nhưng phải có dự kiến thành mạng lưới vòng. Cho phép đặt các đường nhánh cụt dẫn nước chữa cháy đến từng ngôi nhà riêng lẻ nếu chiều dài đường ống cụt này không quá 200m. Khi đường ống cấp nước chữa cháy bên ngoài đấu đến từng ngôi nhà riêng lẻ không quá 200m thì có thể thiết kế đường ống cụt nhưng phải có bể chứa nước hoặc hồ chứa nước dự trữ chữa cháy và có dự kiến thành mạng lưới vòng.

Chú thích:

1- Trong giai đoạn đầu đặt đường ống dẫn nước, có thể đặt đường ống nhánh cụt dẫn nước chữa cháy mà không hạn chế chiều dài nếu được sự thoả thuận của cơ quan P.C.C.C có trách nhiệm.

2- Đường kính ống dẫn nước chữa cháy ngoài nhà ít nhất 100mm.

3- Trong khu dân dụng nếu số dân không quá 10.000 thì cho phép đặt đường ống nhánh cụt.

4- Trụ nước chữa cháy ngoài nhà phải bố trí dọc theo đường giao thông, khoảng cách các trụ không quá 150m. Trụ nước chữa cháy ngoài nhà phải đặt cách tường ít nhất 5m và nên bố trí ở ngã ba hay ngã tư đường. Nếu trụ bố trí ở hai bên đường xe chạy thì không nên đặt cách xa mép đường quá 2,5m, đường ống chữa cháy phải chia thành từng đoạn và tính toán để số trụ nước chữa cháy trên mỗi đoạn không nhiều quá 5 trụ.

Chú thích:

Bạn phải đăng nhập hoặc đăng ký Thành Viên TVPL Pro để sử dụng được đầy đủ các tiện ích gia tăng liên quan đến nội dung TCVN.

Mọi chi tiết xin liên hệ: ĐT: (028) 3930 3279 DĐ: 0906 22 99 66

2- Chiều dài tính toán của đường ống vòi rồng chữa cháy ngoài nhà bằng vải bạt không quá 125m nếu là hệ thống áp lực cao và không quá 150m nếu là hệ thống dẫn nước áp lực thấp.

9- Những van để khoá nước từ các đường ống nhánh cụt cũng như những van lớn khoá từ đường ống khép kín thì phải bố trí để đảm bảo mỗi đoạn ống chỉ khoá nhiều nhất là 5 họng chữa cháy trên cùng một tầng.

10- áp lực tự do cần thiết của cột nước trong đường ống cấp nước chữa cháy áp lực thấp (kể từ mặt đất) không được dưới 10m. Trong đường ống cấp nước chữa cháy, áp lực cao, thì áp lực tự do ở đầu miệng l ống của họng nước chữa cháy đặt ở vị trí gần nhất thuộc ngôi nhà cao nhất phải đảm bảo cột nước không dưới 10m.

11- Tính toán mạng lưới cấp nước phải căn cứ vào lượng nước chữa cháy cần thiết, số đám cháy cùng một lúc, thời gian dập tắt đám cháy.

12- Trường hợp không thể lấy nước trực tiếp từ nguồn cung cấp nước được hoặc lấy trực tiếp từ đường ống cấp nước nhưng không thường xuyên đảm bảo lưu lượng và áp suất thì phải có biện pháp dự trữ chữa cháy, phải tính toán căn cứ vào lượng nước chữa cháy lớn nhất trong 3 giờ.

Tính toán cung cấp nước cần thiết cho chữa chảy phải đồng thời bảo đảm cả lượng nước dùng cho sản xuất và sinh hoạt nhưng không tính nước dùng để tưới cây, tưới đường, nước để lau chùi sàn nhà; máy móc. Riêng nước dùng để tắm, rửa vệ sinh chỉ tính bằng 15% lượng nước tính toán.

Ghi chú: Trong trường hợp đường ống cấp nước chữa cháy có áp lực thấp thì cho phép lấy 1 phần nước (không quá 50%) dùng cho sản xuất để chữa cháy nếu điều đó không làm cản trở sản xuất.

13- Mạng lưới cấp nước sinh hoạt, sản xuất và chữa cháy phải tính các vòi bố trí ở chỗ xa nhất, cao nhất của đường ống dẫn vào.

14- Thời gian phục hồi nước dự trữ chữa cháy được quy định như sau:

Bạn phải đăng nhập hoặc đăng ký Thành Viên TVPL Pro để sử dụng được đầy đủ các tiện ích gia tăng liên quan đến nội dung TCVN.

Mọi chi tiết xin liên hệ: ĐT: (028) 3930 3279 DĐ: 0906 22 99 66

2- Các công trình công nghiệp thuộc hạng D, E, F không được quá 36 giờ.

Ghi chú: Các công trình công nghiệp mà lưu lượng được chữa cháy bên ngoài ít hơn 25 lít/giây, cho phép kéo dài thời hạn phục hồi nước.

– Đối với sản xuất hạng C là 36 giờ.

– Đối với sản xuất hạng E là 48 giờ

15- Máy bơm dùng để cấp nước sinh hoạt, sản suất và chữa cháy dù riêng biệt hay kết hợp,đều phải có máy bơm dự bị, có công suất tương đương với công suất của máy bơm chính.

Số lượng máy bơm dự bị được quy định như sau:

a) Khi số lượng máy bơm vận hành theo tính toán từ l đến 3 thì cần có 1 máy dự bị.

b) Khi số lượng máy bơm vận hành từ 4 máy trở lên thì cần 2 máy bơm dự bị.

Máy bơm chữa cháy chính phải được nối với 2 nguồn điện riêng biệt, hoặc nguồn điện dự bị ở trạm phát điện, hoặc động cơ dự bị ở trạm máy bơm.

Bạn phải đăng nhập hoặc đăng ký Thành Viên TVPL Pro để sử dụng được đầy đủ các tiện ích gia tăng liên quan đến nội dung TCVN.

Mọi chi tiết xin liên hệ: ĐT: (028) 3930 3279 DĐ: 0906 22 99 66

16- Trục các máy bơm nên đặt thấp hơn mực nước thấp nhất trong bể chứa hay cống, hố để dễ dàng bảo đảm an toàn trong khi làm việc. Trường hợp không đặt thấp hơn được thì phải đặt côrêpin ở đầu ống nước và phải có biện pháp mồi nước cho máy bơm.

Các biện pháp mồi nước có thể áp dụng:

a) Lấy trực tiếp từ ống đáy chung của 1 nhóm máy bơm

b) Lấy nước trực tiếp từ bể lọc sang

c) Dùng thùng nước mồi đặt trong trạm máy bơm hay dùng đài nước.

d) Dùng bơm chân không.

Thời gian mồi nước không quá 3 phút.

17- Nếu trạm bơm có từ 2 máy bơm trở lên thì ít nhất phải có 2 đường ống cấp nước. Mỗi đường ống phải đảm bảo hút được lượng nước chữa cháy cần thiết lớn nhất.

Chú thích:

Bạn phải đăng nhập hoặc đăng ký Thành Viên TVPL Pro để sử dụng được đầy đủ các tiện ích gia tăng liên quan đến nội dung TCVN.

Mọi chi tiết xin liên hệ: ĐT: (028) 3930 3279 DĐ: 0906 22 99 66

2. Nếu có 2 bể dự trữ nước trở lên, thì mỗi máy bơm chữa cháy của đường ống có áp lực cao, phải có một đường ống hút nước riêng. Phải đảm bảo để máy bơm hút được nước từ bất kì bể dự trữ nào.

18- Máy bơm cấp nước chữa cháy, có thể điều khiển bằng tay tại chỗ hoặc điều khiển tự động từ xa.

Chú thích: Khi lưu lượng nước chữa cháy bên ngoài từ 25 lít/giây trở lên, thì nhất thiết máy bơm chữa cháy phải có bộ phận điều khiền từ xa. Khi đó phải đồng thời bố trí bộ phận điều khiển bằng tay.

19- Hệ thống điều khiển tự động máy bơm phải:

a- Điều khiển máy bơm vận hành.

b- Điều khiển máy bơm dự bị nếu máy bơm vận hành không làm việc .

20- Xác định lượng nước dự trữ chữa cháy trong bể chứa và trên đài nước, phải căn cứ vào tiêu chuẩn lượng nước chữa cháy, số đám cháy trong cùng một lúc, thời gian dập tắt đám cháy và lượng nước được bổ sung trong thời gian chữa cháy.

Khi lượng nước dự trữ chữa cháy từ 1000m3 trở lên thì phải phân chia ra hai bể chứa.

Chú thích:

Bạn phải đăng nhập hoặc đăng ký Thành Viên TVPL Pro để sử dụng được đầy đủ các tiện ích gia tăng liên quan đến nội dung TCVN.

Mọi chi tiết xin liên hệ: ĐT: (028) 3930 3279 DĐ: 0906 22 99 66

2- Khi tính thể tích của bể nước dự trữ chữa cháy, cho phép tính lượng nước bổ sung liên tục vào bể, ngay cả trong khoảng thời gian dập tắt đám cháy là 1 giờ.

3- Trong trường hợp nước chữa cháy bên ngoài lấy từ các hồ chứa nước, mà bên trong nhà cần có hệ thống đường ống cấp nước sinh hoạt và chữa cháy, thì thể tích của bể chứa nước dự trữ phải đảm bảo lượng nước dùng trong 1giờ, cho 1 họng chữa cháy và các nhu cầu dùng nước khác.

21- Đài nước và bể nước do bơm áp lực phải đủ thể tích chứa nước, để bảo đảm sự tiêu thụ nước không điều hoà và nước chữa cháy.

Lượng nước dự trữ chữa cháy được tính như sau:

a) Đối với công trình công nghiệp, thì nước dự trữ chữa cháy phải tính theo lượng nước cần thiết cho họng chữa cháy trong nhà và thiết bị phun nước tự động trong thời gian

10 phút đầu khi xẩy ra cháy.

b) Đối với khu dân dụng thì nước dự trữ phải đảm bảo cung cấp chữa cháy cho một đám cháy bên trong và một đám cháy bên ngoài, trong thời gian 10 phút với lưu lượng nước cần thiết lớn nhất, đồng thời bảo đảm cả khối lượng nước dùng vào nhu cầu khác như quy định trong điều 6.18 của bản tiêu chuẩn này.

22- Đài nước sử dụng khí ép áp lực, thì ngoài máy ép vận hành phải có máy ép dự bị.

23- Hồ chứa nước có áp lực và đài nước để chữa cháy phải được trang bị thước đo mực nước, thiết bị tín hiệu mực nước cho trạm bơm hay liên lạc với trạm phân phối nước.

Bạn phải đăng nhập hoặc đăng ký Thành Viên TVPL Pro để sử dụng được đầy đủ các tiện ích gia tăng liên quan đến nội dung TCVN.

Mọi chi tiết xin liên hệ: ĐT: (028) 3930 3279 DĐ: 0906 22 99 66

Chú thích:

1- Nếu máy bơm chữa cháy tự động bơm khi mực nước trong đài bị hạ thấp, thì khối lượng nước dự trữ trong đài có thể lấy bằng 50% lượng nước quy định trong điều 21.

2- Khi có hệ thống đường ống cấp nước cho cả xí nghiệp nhà máy và khu công nhân, thì khối lượng nước dự trữ trên đài để chữa cháy, chỉ căn cứ vào sự hoạt động của các họng chữa cháy bên trong xí nghiệp nhà máy mà không tính đến khu công nhân.

3- áp lực không khí nén trong bể nước sử dụng hơi ép, phải luôn đảm bảo áp lực cần thiết ở tất cả những nơi dùng nước và đủ áp lực cho họng chữa cháy, trong suốt thời gian dùng hết nước dự trữ chữa cháy.

24- Vị trí bể nước dự trữ, được xác định tuỳ thuộc vào phương tiện chữa cháy và bán kính phục vụ của bể nước.

25- Vị trí và bán kính phục vụ của bể chứa nước dự trữ được xác định tuỳ thuộc vào phương tiện chữa cháy.

a) Nếu dùng xe bơm chữa cháy, thì bán kính phục vụ là 200m.

b) Nếu có máy bơm di động, thì tuỳ theo từng loại máy bơm mà bán kính phục vụ từ 100m đến 150m.

Khoảng cách từ hồ ao nước chữa cháy đến nhà có bậc chịu lửa III, IV, V hoặc đến kho lộ thiên làm bằng vật liệu dễ cháy, ít nhất là 20m, và đến ngôi nhà có bậc chịu lửa I, VI phải ít nhất là 10m.

Bạn phải đăng nhập hoặc đăng ký Thành Viên TVPL Pro để sử dụng được đầy đủ các tiện ích gia tăng liên quan đến nội dung TCVN.

Mọi chi tiết xin liên hệ: ĐT: (028) 3930 3279 DĐ: 0906 22 99 66

Phụ lục 3

ĐÁNH GIÁ VIỆC SỬ DỤNG NGUỒN DỰ TRỮ NƯỚC VÀ CHỌN VÙNG ĐỂ XÂY DỰNG HỒ CHỨA

1- Khi đánh giá việc sử dụng nguồn dự trữ nước cho mục đích cấp nước cần phải tính: chế độ tiêu thụ và cân bằng nước đối với nguồn nước với dự đoán cho 15 – 20 năm.

Yêu cầu đối với chất lượng nước do các hộ tiêu thụ đề ra.

Đặc tính chất lượng nước trong nguồn có nêu tính xâm thực của nước, dự đoán khả năng thay đổi chất lượng của nước;

Đặc tính về chất lượng và số lượng của phù sa, rác rưởi sự di chuyền bùn cát dày và độ ổn định của nó.

– Khả năng khô cạn của nguồn nước đối với các sông hồ miền núi.

– Nhiệt độ của nước theo các tháng trong năm ở các độ sâu khác nhau.

– Các tháng lũ lụt của sông ngòi

Bạn phải đăng nhập hoặc đăng ký Thành Viên TVPL Pro để sử dụng được đầy đủ các tiện ích gia tăng liên quan đến nội dung TCVN.

Mọi chi tiết xin liên hệ: ĐT: (028) 3930 3279 DĐ: 0906 22 99 66

– Chất lượng và nhiệt độ của nước ngầm

– Các yêu cầu vệ sinh, các yêu cầu của cơ quan sử dụng và bảo vệ nguồn dự trữ nước, bảo vệ cá v.v…

– Đánh giá về kinh tế và kĩ thuật các điều kiện sử dụng nước của các nguồn cấp nước khác nhau.

– Khả năng làm đập nhân tạo và tạo ra lượng dự trữ nước ngầm.

2- Khi đánh giá sự đầy đủ lượng dự trữ của nguồn nước mặt để cấp nước phải đảm bảo được lưu lượng nước cần phải có phía dưới chỗ thu nước để cấp thỏa mãn cho các hộ tiêu thụ nằm ở hạ lưu điểm thu nước như các khu dân cư, các xí nghiệp công nghiệp, nhu cầu nông nghiệp, nhu cầu nuôi cá. Yêu cầu vận chuyển của tàu thuyền và các dạng sử dụng nước khác đồng thời để đảm bảo các yêu cầu vệ sinh về bảo vệ các nguồn cấp nước.

3- Trong trường hợp lưu lượng nước của nguồn nước mặt còn lại ở phía dưới công trình thu không đủ, cần phải có dự kiến điều chỉnh dòng chảy tự nhiên trong giới hạn l năm thuỷ văn ( điều chỉnh theo mùa) hay tháo nước từ chỗ nguồn nước mặt khác có nhiều nước hơn chảy vào.

Ghi chú: Mức độ đảm bảo đối với các hộ tiêu thụ nước riêng biệt khi lượng nước hiện có trong các hồ chứa không đủ và việc tăng lượng nước gặp khó khăn hoặc giá thành cao được quyết định theo sự thoả thuận với các cơ quan sử dụng nước và vệ sinh phòng bệnh.

4- Việc đánh giá lượng dự trữ nước ngầm phải dựa trên các số liệu và tài liệu khảo sát điều tra và tìm hiểu về nghiên cứu địa chất thuỷ văn.

Ghi chú:

Bạn phải đăng nhập hoặc đăng ký Thành Viên TVPL Pro để sử dụng được đầy đủ các tiện ích gia tăng liên quan đến nội dung TCVN.

Mọi chi tiết xin liên hệ: ĐT: (028) 3930 3279 DĐ: 0906 22 99 66

2- Dự trữ nước ngầm trong các trường hợp cần thiết phù hợp với tình hình hiện tại phải được hội đồng trữ lượng quốc gia hoặc khu vực thông qua.

3- Khi thiết kế hồ chứa cần phải dự đoán và tính đến chỗ đặt hồ chứa là thuận lợi nhất cho các điều kiện chất lượng nước.

– Sự thay đổi chế độ của mực nước

– Kích thước, diện tích vùng nước ngập và vùng nằm dưới mực nước.

– Hiện tượng đất trọc và xử lý gia cố bờ.

– Thay đổi chế độ nước ngầm sau khi cho nước vào hồ

– Khả năng xuất hiện các vật nổi, các đám than bùn và các đặc tính số lượng và chất lượng của chúng.

– Chế độ nhiệt độ của nước ở các chiều sâu khác nhau

– Chiều cao sóng hhi gió to

Bạn phải đăng nhập hoặc đăng ký Thành Viên TVPL Pro để sử dụng được đầy đủ các tiện ích gia tăng liên quan đến nội dung TCVN.

Mọi chi tiết xin liên hệ: ĐT: (028) 3930 3279 DĐ: 0906 22 99 66

– Khả năng toả khí độc và bão hoà nước bằng các khí độc.

– Quá trình biến hoá và sự thay đổi độ đục của nước.

– Sự thay đổi chất lượng nước do ảnh hưởng của nước thải.

– Sự thay đổi tình trạng sinh vật của hồ chứa (xuất hiện phù sa, rong rêu và thảo mộc và sinh vật sống dưới nước).

– Sự thay đổi tình trạng vệ sinh

4- Khu đất hồ chứa, tuyến chính, kiểu đập, công trình xả và tháo nước phải được chọn theo tính toán với các điều kiện vệ sinh, xây dựng, địa chất thuỷ văn, địa hình thuỷ văn có lợi nhất. Và phải tính đến các yêu cầu thiết kế các công trình thuỷ công trên sông như:

Dự kiến dọn lòng hồ phù hợp với các yêu cầu của “quy tạo chuẩn bị lòng kênh để cho nước vào và để giữ vệ sinh. Các biện pháp công trình để bảo vệ lãnh thổ khỏi bị ngập, còn bờ thì tránh phải gia cố lại.

– Thời gian gây bùn và trong trường hợp cần thiết thì dự kiến rửa hồ qua lỗ xả ở thân đập, rãnh ở đáy hay dùng tàu nạo vét, xúc đất.

– Các biện pháp loại trừ hay làm giảm sự phát triển rong, thảo mộc và các nguyên nhân làm nước có mầu.

Bạn phải đăng nhập hoặc đăng ký Thành Viên TVPL Pro để sử dụng được đầy đủ các tiện ích gia tăng liên quan đến nội dung TCVN.

Mọi chi tiết xin liên hệ: ĐT: (028) 3930 3279 DĐ: 0906 22 99 66

THỬ VÀ THEO DÕI TÌNH TRẠNG CÁC CÔNG TRÌNH THU NƯỚC NGẦM

1- Để xác định lưu lượng của các công trình thu nước ngầm có phù hợp với lưu lượng thiết kế không thì khi xây dựng xong phải bơm thử.

2- Phải bơm với lưu lượng thiết kế không ít hơn 2 lần hạ mức nước trong giếng.

3- Tổng thời gian bơm phải đạt từ 1-2 ngày đêm mỗi lần hạ mức nước trong giếng sau khi mực nước động có vị trí ổn định và nước hoàn toàn trong.

4- Trong trường hợp nước ngầm có trạng thái không ổn định thời gian bơm phải đủ để xác định được quy luật giảm lưu lượng hay quy luật hạ mức nước.

Ghi chú: Khi cát nhỏ bị cuốn mạnh ra khỏi lớp chèn quanh ống lọc và tầng ngấm nước thì cần tăng thời gian bơm thử.

Bơm khai thác thử phải do cơ quan xây dựng bơm và phải theo đúng quy định của cơ quan thiết kế. Trong quy định của thiết kế phải ghi rõ trình tự và thời gian bơm khai thác, tần số quan sát lưu lượng do hạ và thời gian khôi phục mực nước, chất lượng nước.

5- Trong các khu vực thu nước ngầm ngày càng nhiều làm tăng dần độ lớn của phần hạ mức nước quanh giếng dẫn đến việc hạ có hệ thống mực nước động hay lưu lượng của giếng, cả trong các vùng đã bảo đảm về nước không đủ lại có các điều kiện địa chất thuỷ văn phức tạp (có khả năng nhiễm bẩn, có tầng ngấm nước chứa nước hòa tan nhiều khoáng chất v. v…) trên khu vực thiết kế của công trình thu phải có dự kiến đặt lưới giếng theo dõi trạng thái nước ngầm. Lưới giếng theo dõi gồm: giếng quan trắc, các trạm đo nước và các công trình khác và phải xây dựng chúng trước khi cho các công trình thu vào khai thác.

6- Phải thực hiện việc theo dõi trạng thái để:

Bạn phải đăng nhập hoặc đăng ký Thành Viên TVPL Pro để sử dụng được đầy đủ các tiện ích gia tăng liên quan đến nội dung TCVN.

Mọi chi tiết xin liên hệ: ĐT: (028) 3930 3279 DĐ: 0906 22 99 66

– Ngăn ngừa kịp thời khả năng làm xấu chất lượng nước ngầm ở khu vực công trình thu.

– Tích luỹ kinh nghiệm quản lí của công trình thu nước ngầm trong các điều kiện địa chất thuỷ văn khác nhau và giải quyết các vấn đề mở rộng hệ thống cấp nước của vùng, xây dựng các công trình thu nước mới trong điều kiện địa chất thuỷ văn tương tự.

7- Trong lưới giếng quan sát phải kể các giếng khai thác và các công trình thu khác, theo thiết kế đã được trang bị đầy đủ các phương tiện quan sát trạng thái.

8- Kết cấu các giếng quan sát và sắp đặt chung trong lưới giếng quan sát trạng thái nước ngầm. Cần lấy phù hợp với mọi điều kiện địa chất thuỷ văn, cần thiết kế ống lọc của giếng quan sát không bé hơn 89mm và phải đặt được trong đó các thiết bị đo mực nước

và nhiệt độ, lấy mẫu nước để phân tích và trong trường hợp “bị trít” thì làm sạch giếng.

9- Chiều sâu của các giếng quan sát trong lưới chắn như sau:

Đối với tầng chứa nước không áp, chiều sâu của giếng khai thác dưới 15m thì lấy bằng chiều sâu giếng khai thác;

Đối với tầng chứa nước không áp, chiều sâu giếng khai thác lớn hơn 15m thì đỉnh trên phần công tác của ống lọc phải nằm dưới mực nước đồng thấp nhất từ 2 đến 3m.

Đối với tầng chứa nước có áp khi mực nước đồng cao hơn mái cách li của những thành phần công tác của ống lọc đặt ở 1/3 phía trên của tầng chứa nước; khi một phần tầng chứa nước bị rút khô thì đỉnh phần công tác của ống lọc phải đặt thấp hơn mực nước đồng 2 – 3m.

Bạn phải đăng nhập hoặc đăng ký Thành Viên TVPL Pro để sử dụng được đầy đủ các tiện ích gia tăng liên quan đến nội dung TCVN.

Mọi chi tiết xin liên hệ: ĐT: (028) 3930 3279 DĐ: 0906 22 99 66

10- Chiều sâu giếng của lưới quan trắc ở các công trình thu kiểu giếng khơi, kiểu tia và công trình thu nước mạch ngang cần lấy bằng chiều sâu đặt phần thu nước của các công trình thu này, còn đỉnh của ống lọc của giếng quan trắc thì đặt thấp hơn mực nước đồng trong công trình thu 2-3m.

11- Nước tầng trên và các tầng chứa nước nằm phía trên tầng chứa nước được khai thác cần phải được cách li tốt ở giếng quan sát của lưới quan trắc bằng các ống đặt và nhúng đầu ống vào chậu xi măng hoặc chèn xi măng để loại trừ việc thấm nước từ các tầng trên vào giếng.

12- Khi cần thiết phải đặt các giếng để quan sát các tầng ngấm nước không được khai thác nằm ở phía trên.

13- Để ngăn ngừa cho giếng quan trắc không bị trít đỉnh của ống loa hay ống chống phải bít nắp.

14- Số và vị trí của giếng quan trắc ở khu đặt công trình thu phải xác định theo loại nước ngầm, chiều sâu phân bố tầng chứa nước so với mặt đất, mức độ phức tạp của các điều kiện địa chất thuỷ văn, tình trạng vệ sinh của vùng đất công trình thu, loại công trình thu và chỗ để khai thác.

15- ở khu vực của công trình thu kiểu thấm lấy nước mặt từ các hồ chứa tự nhiên hay nhân tạo các điểm quan trắc trạng thái phải đặt ở giữa công trình thu và hồ nước mặt, trong hồ và phía bờ đối diện của hồ (sông, kênh v. v…), trong vùng hoạt động của công trình thu. Khi phát hiện thấy chỗ gây nhiễm bẩn nước ngầm (ví dụ chỗ xả nước công nghiệp, nước hồ có nhiều khoáng. Vùng than bùn hóa lầy và v. v…) thì giữa chỗ gây bẩn và công trình thu phải xây dựng giếng quan trắc bổ sung.

16- Công trình thu nước ngầm chỉ là l giếng đơn, thì không cần xây dựng giống quan trắc.

Phụ lục 5

CÁC PHƯƠNG PHÁP KHOAN GIẾNG LẤY NƯỚC

Bạn phải đăng nhập hoặc đăng ký Thành Viên TVPL Pro để sử dụng được đầy đủ các tiện ích gia tăng liên quan đến nội dung TCVN.

Mọi chi tiết xin liên hệ: ĐT: (028) 3930 3279 DĐ: 0906 22 99 66

2- Trong các lớp đất xốp không ổn định thành giếng từ phần thu nước đến miệng giếng phải gia cố bằng ống.

3- Để gia cố các giếng có đường kính ban đầu đến 426mm dùng ống chống, đường kính lớn hơn 426mm dùng ống thép hàn điện chiều dầy thành ống 7 – 8 mm thì khoan xoay hạ ống tự do và chiều dày thành ống 10 – 12mm, khi khoan đập hạ ống cưỡng bức.

 4- Để gia cố giếng có độ sâu dưới 150m khi dùng phương pháp khoan xoay và độ sâu dưới 70m khhi dùng phương pháp khoan đập cho phép dùng ống phi kim loại có trám xi măng thành ống.

5- Trong kết cấu của giếng dùng các ống nối lồng gồm ống định hướng, ống đặt bơm khai thác, ống lọc.

Trong các điều kiện địa chất thuỷ văn phức tạp để ngăn chặn các tầng chứa nước và các lớp đất có kết cấu không chặt dễ sụp lở dễ bị cuốn theo nước rửa khi kết cấu giếng phải có ống chồng phụ.

6- Cột ống chồng để gia cố tạm thời thành hố khoan phải được rút lên. Trong phần kết cấu của ống chồng dùng làm ống khai thác cần phải rút phần ống tự do (nối lồng) ở phía trên lên, mép cắt ở đỉnh của phần ống còn lại trong giếng phải nằm cao hơn đáy dưới của ống lồng vào có một đoạn không nhỏ hơn 3m. Khi chiều sâu của giếng đến 50m và không nhỏ hơn 5m khi giếng sâu hơn. Khe vòng trong đoạn giữa hai ống lồng vào nhau phải trát xi măng hay chèn bằng vòng đệm.

7- Phải cách li giếng để khỏi bị nhiễm bẩn từ mặt và từ các tầng ngấm nước không dùng đến bằng cách:

Đóng hoặc lèn thành ống vào các lớp sét tự nhiên hoặc đầm sét cấu tạo nhân tạo.

Chèn xi măng phía ngoài thành ống vách bằng phương nháp đổ dung dịch xi măng vào dưới mũ bịt đầu ống.

Bạn phải đăng nhập hoặc đăng ký Thành Viên TVPL Pro để sử dụng được đầy đủ các tiện ích gia tăng liên quan đến nội dung TCVN.

Mọi chi tiết xin liên hệ: ĐT: (028) 3930 3279 DĐ: 0906 22 99 66

Gia cố phần trên của giếng bằng hai lớp ống vách hay bằng một lớp ống vách nhưng có chèn xi măng phía ngoài thành ống (để cách li giếng khỏi bị nhiễm bẩn bởi các nguồn nước mặt).

Khi nước ngầm trong tầng chứa nước định sử dụng hoặc trong các tầng có liên hệ thuỷ lực với tầng chứa nước được sử dụng thì phải có biện pháp chống gỉ cho giếng hoặc dùng ống làm bằng các vật liệu chống gỉ.

Ghi chú: Để chèn xi măng các giếng lấy nước phải dùng xi măng ninh kết nhanh mác không thấp hơn 400.

8- Cần phải kiểm tra chất lượng việc cách li các tầng chứa nước bằng cách bơm nước ra hoặc rút nước vào khi dùng phương pháp khoan đập và nén nước dưới áp lực khi dùng phương pháp khoan xoay. Nước dùng để kiểm tra chất lượng việc cách ly các tường chứa nước phải đo chất lượng thoả mãn yêu cầu vệ sinh.

9- Sau khi chèn xi măng giếng khoan dùng phương pháp khoan xoay có dung dịch sét sau khi đặt ống lọc vào giếng và sau khi xi măng ninh kết phải bơm để khôi phục công suất của giếng cho đến khi nước bơm ra hoàn toàn trong.

Bảng 3

Phương pháp khoan

Điều kiện áp dụng

Khoan xoay dùng dung dịch sét

Bạn phải đăng nhập hoặc đăng ký Thành Viên TVPL Pro để sử dụng được đầy đủ các tiện ích gia tăng liên quan đến nội dung TCVN.

Mọi chi tiết xin liên hệ: ĐT: (028) 3930 3279 DĐ: 0906 22 99 66

Khoan xoay dùng nước rửa hay khí ép, khoan xoay dùng nước rửa ngược

Trong các lớp đất đá cứng bền vững. Giếng có độ sâu dưới 300m đường kính dưới 1000mm và phần lớn các lớp đất không có đá cuội lớn, khi chiều sâu phân bố của mực nước ngầm kể từ mặt đất xuống là 3m và lớn hơn.

Khoan đập dùng dây cáp

Giếng đặt trong các lớp đất xốp chiều sâu đến 100 – 150m ( trong các lớp đá cứng cho phép khoan đến độ sâu lớn hơn 150m).

Hỗn hợp (khoan đập và khoan xoay)

Giếng có độ sâu lớn hơn 150m trong các điều kiện địa chất thủy văn phức tạp, khoan đập qua các tầng chứa nước và khi các lớp nằm xen kẽ, tầng chứa nước rồi đến tầng không chứa nước

Khoan xoay ở các lớp trên tầng chứa nước dự định khai thác.

Tubin phản lực

Giếng đường kính lớn hơn 1000m và chiều sâu không dưới 300m

Bạn phải đăng nhập hoặc đăng ký Thành Viên TVPL Pro để sử dụng được đầy đủ các tiện ích gia tăng liên quan đến nội dung TCVN.

Mọi chi tiết xin liên hệ: ĐT: (028) 3930 3279 DĐ: 0906 22 99 66

Giếng đường kính dưới 200mm trong các lớp đá cứng

 

Ghi chú: Khi khoan qua lớp sét không ngấm nước có độ sâu không lớn cho phép dùng khoan ruột gà, sét và nước sử dụng trong việc khoan phải thoả mãn các yêu cầu vệ sinh.

Phụ lục 6

CÁC YÊU CẦU ĐỐI VỚI ỐNG LỌC CỦA GIẾNG THU NƯỚC

1- ống lọc của giếng thu nước phải phụ thuộc vào đất của tầng chứa nước và chiều sâu của giếng, chọn theo bảng 4.

2- Khi nước xâm thực, chứa nhiều H2S, khung của ống lọc phải làm bằng thép không gỉ hay bằng các vật liệu chống gỉ khác có độ bền cần thiết.

3- Kích thước lỗ thu nước trên ống lọc khi không có lớp sỏi đệm chọn theo bảng 5.

4- Kích thước lỗ thu nước trên ống lọc khi có lớp sỏi đệm lấy bằng đường kính trung bình của hạt sỏi ở lớp tiếp giáp với thành ống lọc.

Bạn phải đăng nhập hoặc đăng ký Thành Viên TVPL Pro để sử dụng được đầy đủ các tiện ích gia tăng liên quan đến nội dung TCVN.

Mọi chi tiết xin liên hệ: ĐT: (028) 3930 3279 DĐ: 0906 22 99 66

6- Trong các ống lọc sỏi, lớp sỏi đó phải dùng cát, sỏi và hỗn hợp cát sỏi. Chọn vật liệu làm lớp sỏi đó theo biểu thức:

Trong đó:

D50 – Đường kính hạt sỏi mà các hạt khác có đường kính bé hơn nó chiếm 50% trong lớp sỏi đó

d50 – Đường kính hạt sỏi mà các hạt khác có đường kính bé hơn nó chiếm 50% trong lớp sỏi đó

7- Trong các ống lọc sỏi, chọn chiều dày của mỗi lớp sỏi đá như sau:

– Đối với ống lọc lớp sỏi trên mặt đất không ít hơn 30mm,

– Đối với ống lọc lớp sỏi đỡ được tạo ra trong hố khoan không ít hơn 50mm

8- Chọn thành phần cơ học của vật liệu khi cấu tạo hai hoặc ba lớp sỏi đó theo biểu thức sau:

Bạn phải đăng nhập hoặc đăng ký Thành Viên TVPL Pro để sử dụng được đầy đủ các tiện ích gia tăng liên quan đến nội dung TCVN.

Mọi chi tiết xin liên hệ: ĐT: (028) 3930 3279 DĐ: 0906 22 99 66

Trong đó: D1 và D2, đường kính trung bình của hạt sỏi trong các lớp sỏi đá kề nhau.

9- Khi chọn lớp vật liệu đó cho ống lọc làm bằng bê tông rỗng hay sành xốp phải tuân theo tỉ số

Trong đó: Dtb đường kính trung bình của hạt sỏi trong khối ống lọc (mm)

10- Đường kính trong của ống lọc phải lấy không bé hơn 80 – 100mm.

Bảng 4

Tầng chứa nước

Loại và kết cấu ống lọc

1

Bạn phải đăng nhập hoặc đăng ký Thành Viên TVPL Pro để sử dụng được đầy đủ các tiện ích gia tăng liên quan đến nội dung TCVN.

Mọi chi tiết xin liên hệ: ĐT: (028) 3930 3279 DĐ: 0906 22 99 66

– Lớp đất nửa đá cứng không ổn định đã đầm cuội sỏi có độ lớn từ 20- 100mm chiếm hơn 50% theo khối lượng

– Sỏi, cát lẫn sỏi, độ lớn của hạt từ 1 – 10mm. Các hạt có độ lớn từ 1-5mm chiếm hơn 50% theo khối lượng.

 

Cát lớn, các hạt có độ lớn l-2mm chiếm hơn 50% theo khối lượng

 

Cát trung hạt có độ lớn từ 0,25- 0,5mm chiếm lớn hơn 50% theo khối lượng.

 

Cát nhỏ hạt có độ lớn 0,1-0,25mm chiếm hơn 50% theo khối lượng

ống lọc khoan lỗ trơn hoặc khe ống lọc có kết cấu thành khung

Bạn phải đăng nhập hoặc đăng ký Thành Viên TVPL Pro để sử dụng được đầy đủ các tiện ích gia tăng liên quan đến nội dung TCVN.

Mọi chi tiết xin liên hệ: ĐT: (028) 3930 3279 DĐ: 0906 22 99 66

ống lọc có khe hoặc lỗ, bề mặt thu nước có quấn giấy hay ống thép lá dập khe.

ống lọc khung là các thanh thép không gỉ ngoài quấn dây hay ống thép lá dập không gỉ.

ống lọc khoan khe, bề mặt thu nước quấn giây, thép lá dập hay ốp lưới có lỗ ô vuông.

ống lọc khung bề mặt thu nước là dây quấn, thép lá dập khe hay lưới thép có mắt lưới ô vuông.

ống lọc hay khung lọc bề mặt thu nước là lưới đan nhẵn (soi kim tuyến)

ống lọc hay khung lọc bọc 1 lớp sỏi (ống lọc sỏi).

ống hay khung lọc có bọc 1 lớp, 2 lớp hay 3 lớp là cát hay hỗn hợp cát sỏi.

ống lọc bằng bê tông rỗng hay sành xốp.

Ghi chú:

Bạn phải đăng nhập hoặc đăng ký Thành Viên TVPL Pro để sử dụng được đầy đủ các tiện ích gia tăng liên quan đến nội dung TCVN.

Mọi chi tiết xin liên hệ: ĐT: (028) 3930 3279 DĐ: 0906 22 99 66

2- ống lọc bằng sành xốp dùng cho các giếng quan trắc các giếng đặt trong lớp cát lẫn sét, trong các giếng khi khoan phải dùng dung dịch sét không cho phép đặt trong giếng thu nước, có sắt.

3- ống lọc bằng gỗ, nhựa thủy tinh, bê tông rỗng, sành xốp cho phép đặt trong các giếng có độ sâu dưới 100-150m.

4- Trong các lớp cuội lớn, đá không ổn định khi chiều sâu của giếng dưới 100m cho phép dùng ống lọc khung bọc thép lá dập có bề mặt chống gỉ.

5- Đối với ống lọc phải bọc lưới nhẵn đan ô vuông làm bằng giấy kim tuyến hay thép không gỉ có thể bọc bằng các tấm chất dẻo dập khe.

Bảng 5

Loại ống lọc

Kích thước lỗ của ống lọc tính bằng mm

Khi hệ số không đồng nhất của đất η ≤ 2

Khi hệ số không đồng nhất của đất η > 2

Bạn phải đăng nhập hoặc đăng ký Thành Viên TVPL Pro để sử dụng được đầy đủ các tiện ích gia tăng liên quan đến nội dung TCVN.

Mọi chi tiết xin liên hệ: ĐT: (028) 3930 3279 DĐ: 0906 22 99 66

Khoan khe

Quấn lưới

2,5 – 3d50

1 – 1,25d50

1,5 – 2d50

3 – 4 d50

1,5 – 2d50

2 – 2,5d50

Bạn phải đăng nhập hoặc đăng ký Thành Viên TVPL Pro để sử dụng được đầy đủ các tiện ích gia tăng liên quan đến nội dung TCVN.

Mọi chi tiết xin liên hệ: ĐT: (028) 3930 3279 DĐ: 0906 22 99 66

Ghi chú: Kích thước nhỏ của lỗ thu nước trên ống lọc lấy đối với cát hạt bé, kích thước lớn đối với cát to.

Phụ lục 7

TIÊU CHUẨN CHẤT LƯỢNG NƯỚC

1- Nước dùng để ăn uống và sinh hoạt cần phải đáp ứng những yêu cầu vệ sinh sau đây:

A. Về lí hóa:

TT

Yếu tố

Đối với đồ thị

Đối với các trạm lẻ và nông thôn

Bạn phải đăng nhập hoặc đăng ký Thành Viên TVPL Pro để sử dụng được đầy đủ các tiện ích gia tăng liên quan đến nội dung TCVN.

Mọi chi tiết xin liên hệ: ĐT: (028) 3930 3279 DĐ: 0906 22 99 66

2

3

4

5

6

7

8

 

 

Bạn phải đăng nhập hoặc đăng ký Thành Viên TVPL Pro để sử dụng được đầy đủ các tiện ích gia tăng liên quan đến nội dung TCVN.

Mọi chi tiết xin liên hệ: ĐT: (028) 3930 3279 DĐ: 0906 22 99 66

10

11

12

 

 

13

14

15

16

Bạn phải đăng nhập hoặc đăng ký Thành Viên TVPL Pro để sử dụng được đầy đủ các tiện ích gia tăng liên quan đến nội dung TCVN.

Mọi chi tiết xin liên hệ: ĐT: (028) 3930 3279 DĐ: 0906 22 99 66

18

19

20

21

22

23

24

25

26

Bạn phải đăng nhập hoặc đăng ký Thành Viên TVPL Pro để sử dụng được đầy đủ các tiện ích gia tăng liên quan đến nội dung TCVN.

Mọi chi tiết xin liên hệ: ĐT: (028) 3930 3279 DĐ: 0906 22 99 66

Độ trong, Sneller (cm)

Độ màu, thang màu Cobalt (độ)

Mùi vị (đậy kín sau khi đun 40 – 500)

Hàm lượng cặn không tan (mg/l)

Hàm lượng cặn sấy khô (mg/l)

Nồng độ pH

Độ cứng (độ đục)

Muối mặn (mg/l)

– Vùng ven biển

Bạn phải đăng nhập hoặc đăng ký Thành Viên TVPL Pro để sử dụng được đầy đủ các tiện ích gia tăng liên quan đến nội dung TCVN.

Mọi chi tiết xin liên hệ: ĐT: (028) 3930 3279 DĐ: 0906 22 99 66

Nitrat (mg/l)

Nitrit

Sunfuahydrô

Amoniăc (mg/l)

– Đối với nước mặt

– Đối với nước ngầm

Chì (mg/l)

Acsen (mg/l)

Đồng (mg/l)

Bạn phải đăng nhập hoặc đăng ký Thành Viên TVPL Pro để sử dụng được đầy đủ các tiện ích gia tăng liên quan đến nội dung TCVN.

Mọi chi tiết xin liên hệ: ĐT: (028) 3930 3279 DĐ: 0906 22 99 66

Sắt (mg/l)

Manggan (mg/l)

Fluo (mg/l)

Iốt (mg/l)

Hữu cơ (mg/l)

Can xi (mg/l)

Phốt phát (mg/l)

Crôm

Xinnua

Bạn phải đăng nhập hoặc đăng ký Thành Viên TVPL Pro để sử dụng được đầy đủ các tiện ích gia tăng liên quan đến nội dung TCVN.

Mọi chi tiết xin liên hệ: ĐT: (028) 3930 3279 DĐ: 0906 22 99 66

Nồng độ Clo dù ở trạm xử lí hay ở gần trạm tăng áp không nhỏ hơn 0,5mg/1, ở cuối mạng lưới không nhỏ hơn 0,05mg/l nhưng không lớn đến mức có mùi khó chịu.

> 30

<10

0

≤ 3

< 1000

6,5 – 8,5

< 12

 

Bạn phải đăng nhập hoặc đăng ký Thành Viên TVPL Pro để sử dụng được đầy đủ các tiện ích gia tăng liên quan đến nội dung TCVN.

Mọi chi tiết xin liên hệ: ĐT: (028) 3930 3279 DĐ: 0906 22 99 66

70 – 100

< 6

0

0

 

0

< 3

< 0,1

< 0,05

Bạn phải đăng nhập hoặc đăng ký Thành Viên TVPL Pro để sử dụng được đầy đủ các tiện ích gia tăng liên quan đến nội dung TCVN.

Mọi chi tiết xin liên hệ: ĐT: (028) 3930 3279 DĐ: 0906 22 99 66

< 5

< 0,3

< 0,2

0,7 – 1,5

0,005-0,007

0,5 – 2

75 – 100

1,2 – 2,5

Có vết

Bạn phải đăng nhập hoặc đăng ký Thành Viên TVPL Pro để sử dụng được đầy đủ các tiện ích gia tăng liên quan đến nội dung TCVN.

Mọi chi tiết xin liên hệ: ĐT: (028) 3930 3279 DĐ: 0906 22 99 66

0

> 25

<10

0

≤ 20

<1000

6,5 – 9,5

< 12

 

Bạn phải đăng nhập hoặc đăng ký Thành Viên TVPL Pro để sử dụng được đầy đủ các tiện ích gia tăng liên quan đến nội dung TCVN.

Mọi chi tiết xin liên hệ: ĐT: (028) 3930 3279 DĐ: 0906 22 99 66

70 – 100

< 6

0

0

 

0

< 3

< 0,1

< 0,05

Bạn phải đăng nhập hoặc đăng ký Thành Viên TVPL Pro để sử dụng được đầy đủ các tiện ích gia tăng liên quan đến nội dung TCVN.

Mọi chi tiết xin liên hệ: ĐT: (028) 3930 3279 DĐ: 0906 22 99 66

< 5

< 0,8

< 0,3

0,7 – 1,5

0,005-0,007

2 – 6

100 – 200

1,2 – 2,5

Có vết

Bạn phải đăng nhập hoặc đăng ký Thành Viên TVPL Pro để sử dụng được đầy đủ các tiện ích gia tăng liên quan đến nội dung TCVN.

Mọi chi tiết xin liên hệ: ĐT: (028) 3930 3279 DĐ: 0906 22 99 66

0

Ghi chú:

1- Những chất khác có hại cho sức khỏe không kể trong điều 1 thì do Viện vệ sinh, cơ quan thiết kế và đơn vị chủ quản nghiên cứu xác định trong điều kiện cụ thể của địa phương.

2- Khi có cơ sở hợp lí, hàm lượng sắt trong nước cấp cho thành phố cho phép đến 0,3 mg/l nhưng không quá 0,5 mg/l.

B. Về vi sinh vật

1- Trong nước không được có các loại sinh vật mà mắt thường có thể trông thấy được, không có trứng giun sán và vi sinh vật gây bệnh.

2- Tổng số vi sinh vật hiếm khí không quá 100 trong 10ml nước.

3- Tổng số vi sinh vật đường ruột (escheri chia coli) không quá 20 trong một lít nước.

4- Tổng số vi sinh vật kị khí (clostridiumwelchi) không có trong lml nước

Bạn phải đăng nhập hoặc đăng ký Thành Viên TVPL Pro để sử dụng được đầy đủ các tiện ích gia tăng liên quan đến nội dung TCVN.

Mọi chi tiết xin liên hệ: ĐT: (028) 3930 3279 DĐ: 0906 22 99 66

Số mẫu thử trong 1 ngày ở địa điểm lấy nước do trạm vệ sinh phòng dịch địa phương phối hợp với nhà máy nước để quyết định. Phương pháp lấy mẫu và phân tích lí hoá học và vi sinh vật học của nước phải tuân theo tiêu chuẩn Nhà nước TCVN 2652 -1978 và 2681 – 1976 ban hành năm 1980.

6- Đơn vị quản lí kinh doanh sản xuất nước có trách nhiệm đảm bảo chất lượng nước sinh hoạt và ăn uống. Trạm vệ sinh phòng dịch địa phương thường xuyên định kì kiểm tra và báo cáo lên Viện Vệ sinh phòng dịch Trung ương khi có những hiện tượng bất thường hay những yếu tố không đảm bảo chất lượng yêu cầu thì trạm vệ sinh phòng dịch phải phối hợp với đơn vị quản lí nhà máy nước đình chỉ việc cấp nước và tìm biện pháp giải quyết.

7- Những trạm cấp nước riêng lẻ cho 1 khu dân cư hay trạm cấp nước của xí nghiệp có kết hợp nước sinh hoạt ăn uống thì bộ phận quản lý cấp nước có trách nhiệm đảm bảo chất lượng nước. Phòng hoá nghiệm của đơn vị có trách nhiệm kiểm nghiệm chất lượng nước và đề ra những biện pháp bảo vệ nguồn nước và chất lượng nước. Trạm vệ sinh phòng dịch địa phương định kì kiểm tra.

Những đơn vị không có phòng hoá nghiệm hay những trạm cấp nước nông thôn thì bộ phận quản lí cần phải theo đúng những quy định và chỉ dẫn của trạm vệ sinh phòng dịch địa phương. Trạm vệ sinh phòng dịch địa phương sẽ định kì kiểm tra.

Phụ lục 8

TRẠM ĐỂ SẢN XUẤT AXÍT SILIC HOẠT TÍNH

1- Hoạt động dung dịch thuỷ tinh lỏng nồng độ 1,5 – 2,5% (tính theo SiO2) bằng dung dịch phèn nhôm nồng độ 1,5 – 3,5% (tính theo Al2 (SO4)3 phải thực hiện trong các trạm hoạt động liên tục bằng cách trộn dung dịch thuỷ tinh lỏng với dung dịch phèn trong thùng phản ứng sau đó làm ngấu hỗn hợp dung dịch vừa nhận được trong thiết bị trùng hợp.

Phải đưa dung dịch hoá chất vào thùng phản ứng để khuấy trộn theo tỉ số:

Thể tích dung dịch thuỷ tinh lỏng cần 0,5 – 1 thể tích dung dịch sunphát nhôm.

Bạn phải đăng nhập hoặc đăng ký Thành Viên TVPL Pro để sử dụng được đầy đủ các tiện ích gia tăng liên quan đến nội dung TCVN.

Mọi chi tiết xin liên hệ: ĐT: (028) 3930 3279 DĐ: 0906 22 99 66

+ Tính trên trạm phải thực hiện theo các điều kiện:

– Tiêu thụ 3,5T thuỷ tinh lỏng có hàm lượng 28,5% SiO2; mô đun không thấp hơn 2,9 và 1,8 T phèn nhôm có hàm lượng 10% axít nhôm Al2O3 để thu được lT axit silic hoạt hoá (nồng độ 100% tính theo SiO2).

– Nồng độ dung dịch thuỷ tinh lỏng 1,9% theo SiO2.

– Công suất của bơm định lượng và dung tích của các thùng để chuyển các dung dịch lấy theo tỉ số 1:1

– Khuấy trộn dung dịch thuỷ tinh lỏng đối với dung dịch phèn nhôm trong các thùng phản ứng lắp que khuấy cơ khí có số vòng quay 1500 v/phút, thời gian lưu lại của dung dịch 1-2 phút.

– Thể tích của thiết bị trùng hợp xác định theo tính toán thời gian lưu lại của dung dịch thu được trong thời gian 60 phút và khi cấu tạo thiết bị trùng hợp phải dự kiến khả năng thay đổi thời gian lưu lại của dung dịch trong giới hạn từ 30 đến 60 Phút. Hoà tan thuỷ tinh lỏng và khuấy trộn nó trong thùng bằng không khí nén cường độ 3-5 1/cm2.

– Cần phải lắng các dung dịch làm việc và thu chúng từ lớp trộn trong các thùng công tác.

– Khi cần phải vận chuyển keo đã ngấu thì nồng độ dung dịch keo không được vượt quá 0,5%. Trong trường hợp cần thiết cấu tạo thùng tích trữ nhưng thời gian bảo quản không lớn hơn 12h. Khi đưa keo trực tiếp vào bể trộn thì không cần pha loãng chúng.

– Số lượng trạm không được ít hơn 2, số lượng thùng phản ứng trong mỗi trạm là 2 (1 làm việc, 1 dự phòng). Không cần đặt trạm dự trữ.

Bạn phải đăng nhập hoặc đăng ký Thành Viên TVPL Pro để sử dụng được đầy đủ các tiện ích gia tăng liên quan đến nội dung TCVN.

Mọi chi tiết xin liên hệ: ĐT: (028) 3930 3279 DĐ: 0906 22 99 66

Trạm để hoạt hoá dung dịch thuỷ tinh lỏng bằng Clo hoạt động theo chu kì phải dùng 2 thiết bị định lượng Clo (Clorato) máy bơm li tâm và 2 thùng.

Trong các thùng công tác phải tính.

Chuẩn bị dung dịch thuỷ tinh lỏng nồng độ 1,5% tính theo SiO2. Tuần hoàn dung dịch qua ajecto của Clorato trong suốt thời gian 2h; pha loãng dung dịch đến nồng độ 0,5% tính theo SiO2 dung tích của thùng để hoạt hoá thuỷ tinh lỏng bằng Clo WA tính bằng m3, xác định theo công thức:

Trong đó:

Da – Liều lượng axit Silic hoạt tính bằng g/m3.

q: Lưu lượng nước xử lí m3/h

T: Thời gian cần thiết để sản xuất axit Silic hoạt hoá tính bằng giờ (không bé hơn 4h).

K: Nồng độ dung dịch axit Silic hoạt hoá sau khi pha loãng bằng nước g/m3. Thùng để hoạt hoá phải kín và có ống thông gió dùng đầu ống đi ra ngoài phạm vi nhà.

Bạn phải đăng nhập hoặc đăng ký Thành Viên TVPL Pro để sử dụng được đầy đủ các tiện ích gia tăng liên quan đến nội dung TCVN.

Mọi chi tiết xin liên hệ: ĐT: (028) 3930 3279 DĐ: 0906 22 99 66

Máy bơm li tâm tuần hoàn chuyển dung dịch thuỷ tinh lỏng vào êjectơ của clorato, ứng với lưu lượng đã cho phải tạo ra được áp lực không thấp hơn 4-5kg/cm2 (40-50 mét cột nước).

Đường ống dẫn và phụ tùng để vận chuyển dung dịch axit Silic hoạt hoá đã được Clo hoá phải làm bằng vật liệu chống gỉ.

Hoạt hóa liên tục bằng Clo thực hiện trong các thiết bị định lượng axit Silic hoạt hoá. Số lượng thiết bị đặt trong trạm không được ít hơn 2 (l dự trữ).

Cần phải có dự kiến đặt thùng tiêu thụ trung gian để chuyển thuỷ tinh lỏng vào thiết bị.

Nhà để đặt Clorato và thiết bị định lượng axit Silic hoạt hoá phải thiết kế theo các yêu cầu đề ra đối với Clorato.

Phụ lục 9

CÁC PHƯƠNG PHÁP XỬ LÍ NƯỚC ĐỂ CHỐNG GỈ CHO ỐNG

1. Chống gỉ cho ống bằng cách tạo ra màng bảo vệ cacbonat canxi trên bề mặt trong của thành ống, lúc đó phải có dự kiến tăng lượng hoá chất kiềm cho vào nước để pH của nước cấp cho sinh hoạt đến trị số không lớn hơn 8,5.

2. Liều lượng hoá chất kiềm Dk mgdl/l để từng thời kì kéo dài

Bạn phải đăng nhập hoặc đăng ký Thành Viên TVPL Pro để sử dụng được đầy đủ các tiện ích gia tăng liên quan đến nội dung TCVN.

Mọi chi tiết xin liên hệ: ĐT: (028) 3930 3279 DĐ: 0906 22 99 66

a) Khi trị số I > O và pH < 7,7

Dk = m1 (CO2)

Trong đó:

Dk – Liều lượng hoá chất kiềm tính bằng mgdl/l.

m1 – Hệ số xác định theo biểu đồ hình 1 phụ thuộc vào số bão hoà I và trị số

(CO2) – Hàm lượng CO2 tự do trong nước trước khi xử lí mg/l.

– Độ kiềm của nước trước khi xử lí tính bằng mgdl/l khi trị số I > 0 và pH < 7,7.

Dk = m2 (CO2) + m3 (Ko + m2 (CO2)0

Trong đó:

Bạn phải đăng nhập hoặc đăng ký Thành Viên TVPL Pro để sử dụng được đầy đủ các tiện ích gia tăng liên quan đến nội dung TCVN.

Mọi chi tiết xin liên hệ: ĐT: (028) 3930 3279 DĐ: 0906 22 99 66

m2 – Hệ số xác định theo biểu đồ hình 2.

m3 – Hệ số xác định theo biểu đồ hình 3 và mục6.213.

3. Chống gỉ cho ống gang và ống thép của các ống dẫn nước cấp cho sản xuất dùng phương pháp phốt phát hoá. Khi đo liều lượng hexameta-phốt-phát-natri hay tripoli-phốt-phát-natri phải lấy bằng 15-25mg/l (tính theo sản phẩm thị trường).

Khi đưa đoạn ống mới vào quản lí cần phải ngâm đầy ống bằng dung dịch hexameta-phốt-phát-natri hay tripoli-phốt-phát- natri nồng độ 200-250m/l trong thời gian 2-3 ngày đêm.

4. Chuẩn bị dung dịch hexamêta-phốt phát hay tripoli phốt phát-natori để xử lí ổn định nước cần tiến hành trong các thùng có bảo vệ chống rỉ. Nồng độ dung dịch công tác từ 0,5-3% tính theo sản phẩm kĩ thuật.

Thời gian hoà tan trong thùng có que khuấy cơ khí hay không khí nên là 4h. Khi nhiệt độ nước 20oC và là 2h khi nhiệt độ nước 30oC.

Phụ lục 10

CHỈ DẪN ĐỂ SẢN XUẤT CÁT ĐEN, LÀM CHẤT XÚC TÁC KHI KHỬ SẮT

Bạn phải đăng nhập hoặc đăng ký Thành Viên TVPL Pro để sử dụng được đầy đủ các tiện ích gia tăng liên quan đến nội dung TCVN.

Mọi chi tiết xin liên hệ: ĐT: (028) 3930 3279 DĐ: 0906 22 99 66

Cát đen là cát thạch anh, trên bề mặt của cát được cấy một lớp màng oxyt măng gan.

2. Cấy lớp màng oxyt măng gan lên bề mặt hạt cát bằng cách: đầu tiên nhúng cát và khuấy chúng trong dung dịch Clorua măng gan MnCl2, sau đó khuấy chúng lơ lửng trong dung dịch pecmangunat Kali KMnO4 nồng độ 1%.

3. Cát đã được sàng tuyển và rửa sạch đưa vào thùng khuấy trộn với dung dịch một lượng sao cho thể tích cát chiếm 25% thể tích của thùng.

Cát được khuấy trong thùng trộn chứa dung dịch MnCl2 nồng độ 15% trong thời gian từ 1-2 phút. Sau đó tháo dung dịch MnCl2 ra khỏi thùng khuấy trên chứa vào thùng dự trữ.

Tiếp đó để dung dịch KMnO4 nồng độ 1% vào thùng khuấy trộn, cát được khuấy trộn đều với dung dịch này trong thời gian 3 giờ, sau đó bỏ dung dịch này rồi lại ngâm cát 1 lần nữa trong dung dịch MnCl2 15% khuấy đều trong 2 phút, lại một lần nữa cho dung dịch KMnO4 1% vào để khuấy đều cát trong 3 giờ. Tuỳ thuộc vào chiều dày lớp màng oxyt măng gan muốn có trên bề mặt hạt cát mà lập lại quy trình trên từ 1-5 lần, màng thường được tạo ra đều trên mặt cát sau 3 lần ngâm tẩm.

4. Trong điều kiện sản xuất, có thể thực hiện việc cấy màng oxyt mănggan nhiều lần lên bề mặt hạt cát ngay trong bể lọc. Việc khuấy trộn cát với dung dịch KMnO4 1% thực hiện bằng bơm rửa. ống hút của máy bơm nối tạm thời với thùng đựng dung dịch KMnO4 dung dịch bơm qua bể lọc khuấy trộn cát rồi lại chảy về thùng. Dùng cách này để từng thời kì cần thiết hoàn nguyên lớp màng KMnO4, trên mặt cát trong các bể lọc tiếp xúc sau quãng thời gian làm việc đã mất khả năng xúc tác.

Phụ lục 11

PHƯƠNG PHÁP KHỬ MĂNG GAN (Mn)

1. Phải khử măng gan trong nước cấp cho nhu cầu sinh hoạt và ăn uống khi hàm lượng măng gan trong nước nguồn lớn hơn 0,2mg/l.

Bạn phải đăng nhập hoặc đăng ký Thành Viên TVPL Pro để sử dụng được đầy đủ các tiện ích gia tăng liên quan đến nội dung TCVN.

Mọi chi tiết xin liên hệ: ĐT: (028) 3930 3279 DĐ: 0906 22 99 66

3. Khử măng gan trong nước được tiến hành đồng thời với làm trong và khử mầu. Thành phần các công trình trong trường hợp này tương tự các công trình để làm trong và khử màu. Phần tính toán các công trình tuân theo các chỉ dẫn ở điều 6.10 đến 6.210. Phần cấu tạo công trình phải phù hợp cho cả hai quá trình (bể lắng thì chỉ cần để làm trong hoặc khử màu, nó sẽ đồng thời thoả mãn quá trình chuyển hoá măng gan. Cấu tạo bể lọc phải thỏa mãn yêu cầu khử măng gan và do đó nó đồng thời sẽ thoả mãn nhu cầu làm trong…).

4. Khử măng gan trong nước ngầm, trường hợp nguồn nước ấy phải khử sắt thì phải so sánh hiệu quả kinh tế giữa phương án khử sắt và măng gan đồng thời, với phương án khử sắt xong mới khử măng gan.

Nếu nguồn nước đó, việc khử sắt bắt buộc phải dùng hoá chất (sắt nằm ở dạng keo) thì việc khử sắt và măng gan sẽ tiến hành đồng thời.

Ghi chú: Măng gan hoá trị 2 bị ôxy hoá rất chậm thanh măng gan hoá trị 3 và 4 bằng ôxy của không khí hoà tan trong nước. Khi pH< 8 không dùng hoá chất thì việc ôxy hoá Mn2+ trong thực tế không xẩy ra hoặc xảy ra rất chậm. Hiện tượng đó chỉ xẩy ra khi pH > 0,8. Ngoài ra khi làm thoáng không có khả năng đưa pH > 8. Do đó khử măng gan phải dùng hoá chất. Kết hợp khử sắt và măng gan đồng thời, hoá chất sẽ tiêu tốn vào việc ôxy hoá sắt là việc không cần thiết.

5. Dây chuyền khử măng gan là dùng phối hợp giữa bể lọc cùng các biện pháp dùng hoá chất để ôxy hoá măng gan.

6. Có thể dùng l trong các biện pháp sau để khử măng gan:

a) Làm thoáng rồi lọc qua pirôluzit, cát đen, hoặc lọc qua bể cationit.

b) Lọc nước bằng cát thạch anh sau khi đã dùng hoá chất để oxy hóa măng gan như Clo, Clođiôxýt, ôzôn hoặc KMnO4.

c) Dùng vôi hoặc xô đa, kết hợp dùng phèn rồi lắng lọc

Bạn phải đăng nhập hoặc đăng ký Thành Viên TVPL Pro để sử dụng được đầy đủ các tiện ích gia tăng liên quan đến nội dung TCVN.

Mọi chi tiết xin liên hệ: ĐT: (028) 3930 3279 DĐ: 0906 22 99 66

Ghi chú: Dây chuyền chỉ thực hiện khi pH sau khi làm thoáng đạt được 8,5. Nếu không đạt thì phải kiềm hoá. Khi pH < 7 mặc dù có chất xúc tác, quá trình ôxy hóa Mn2+ bằng ôxy của không khí hoà tan trong nước cũng không xẩy ra.

Bản chất dây chuyền này thực hiện theo các phản ứng sau đây:

Mn(OH)4 + Mn(OH)2 → Mn2O3 + 2H2O

Mn2O3 + O2 + 2H2O → 4 Mn (OH)4

Điều kiện phản ứng khi pH ≥ 7,5

– Dây chuyền b cần lưu ý: thời gian để chuyển hoá Mn2+ thành Mn3+ (4+) khi dùng Clodiôxyt và ôzôn tại pH = 6,5 – 7 là 10 – 15.

Khi dùng Clo (cũng tạo pH như vậy) cần 60′ – 90′

– Dây chuyền c: dùng khi nguồn nước có yêu cầu làm mềm bằng vôi hoặc xô đa. Kết hợp với phèn thì dùng phèn sunphát sắt. Bản chất hiện tượng là khi nâng pH lên 9,0 – 9,5 quá trình ôxy hoá mănggan bằng ôxy không khí diễn ra nhanh chóng và trong nước tạo ra bông cặn Mn(OH)3 và Mn(OH)4, nó lại đóng vai trò xúc tác trong quá trình ôxy hoá măng gan.

– Dây chuyền d: bản chất của phương pháp là quá trình trao đổi Ion giữa Mn2+ và H+ xẩy ra trên bề mặt lớp vật liệu lọc có phủ mănggan điôxythyđrat. Loại vật liệu lọc này có thể điều chế nhân tạo hoặc tự nhiên trong bể lọc. Quá trình khử măng gan phải tách khỏi quá trình khử sắt bằng bể lọc hai lớp hoặc bể lọc hai đợt. Khử sắt xong mới khử măng gan. Sử dụng bể lọc hai lớp hoặc hai đợt là tuỳ thuộc vào tổng lượng sắt + măng gan có trong nước và công suất của công trình. Bể lọc hai lớp chỉ nên dùng khi tổng hàm lượng sắt + măng gan của nước ngầm tính theo công thức 5 Mn + 2Fe2+ ≤ 5 mg/l và công suất Q < 50 đến 100m3/h.

Bạn phải đăng nhập hoặc đăng ký Thành Viên TVPL Pro để sử dụng được đầy đủ các tiện ích gia tăng liên quan đến nội dung TCVN.

Mọi chi tiết xin liên hệ: ĐT: (028) 3930 3279 DĐ: 0906 22 99 66

7. Cấu tạo bể lọc để khử mănggan: giống như bể lọc để làm trong và khử màu cũng như để khử sắt. Đặc tính lớp vật liệu lọc, tốc độ lọc lấy như bảng 6:

Bảng 6

Đặc tính vật liệu lọc

Tốc độ tính toán (m/h)

Đường bé nhất

D lớn nhất

D tương đương

Hệ số không đồng nhất

Chiều cao

Bạn phải đăng nhập hoặc đăng ký Thành Viên TVPL Pro để sử dụng được đầy đủ các tiện ích gia tăng liên quan đến nội dung TCVN.

Mọi chi tiết xin liên hệ: ĐT: (028) 3930 3279 DĐ: 0906 22 99 66

V tăng cường

0,5

1

1,2

2

1,2-1,3

1,5-2

1200

1500

Bạn phải đăng nhập hoặc đăng ký Thành Viên TVPL Pro để sử dụng được đầy đủ các tiện ích gia tăng liên quan đến nội dung TCVN.

Mọi chi tiết xin liên hệ: ĐT: (028) 3930 3279 DĐ: 0906 22 99 66

10

8

12

Cường độ rửa và thời gian rửa lấy như bình thường.

8. Liều lượng hoá chất tính toán để khử măng gan như sau:

a) Liều lượng Clo, Ln tính bằng mg/l

– Khi trong nước không có NH+4

Ln = 1,3 [ Mn2+]

– Khi trong nước có NH+4

Bạn phải đăng nhập hoặc đăng ký Thành Viên TVPL Pro để sử dụng được đầy đủ các tiện ích gia tăng liên quan đến nội dung TCVN.

Mọi chi tiết xin liên hệ: ĐT: (028) 3930 3279 DĐ: 0906 22 99 66

Chú ý: Nếu trong nước có chất hữu cơ thì phải tính tới sự tiêu phí Clo để ôxy hoá chúng.

b) Liều lượng Clodioxyt (mg/l )

Lc = 1,35 [ Mn2+]

c) Liều lượng ôzôn (mg/l)

Lo = 1,45 [ Mn2+]

d) Liều lượng KMnO4 (mg/l)

Lk = 2,06 [Mn2+]

e) Liều lượng vôi đưa vào nước: đủ để nồng độ pH của nước nguồn lên đến trị số 9,2 -9,5.

9. Khi khử mănggan dùng Clo, mà độ pH của nước ≤ 7 thì bể lắng phải có thời gian lưu nước không ít hơn 60.

Bạn phải đăng nhập hoặc đăng ký Thành Viên TVPL Pro để sử dụng được đầy đủ các tiện ích gia tăng liên quan đến nội dung TCVN.

Mọi chi tiết xin liên hệ: ĐT: (028) 3930 3279 DĐ: 0906 22 99 66

Khuấy trộn dung dịch bằng khí nén hoặc khuấy cơ khí. Hoà tan KMnO4 bằng nước nóng ở nhiệt độ 50 – 60oC.

Thời gian khuấy là 2 – 3h

Lưu lượng KMnO4 tính theo công thức:

ở đây:

q: Lưu lượng dung dịch KMnO4 1/s

Q: Lưu lượng trạm xử lý m3/h .

D: Liều lượng KMnO4 g/m3

C: Nồng độ dung dịch KMnO4 g/l

Bạn phải đăng nhập hoặc đăng ký Thành Viên TVPL Pro để sử dụng được đầy đủ các tiện ích gia tăng liên quan đến nội dung TCVN.

Mọi chi tiết xin liên hệ: ĐT: (028) 3930 3279 DĐ: 0906 22 99 66

Khi xử lý nước mặt thì đưa dung dịch KMnO4 vào thuốc phèn.

Khi xử lý nước ngầm, để kéo dài chu kì lọc nên cho đồng thời KMnO4 và axit silic hoạt hoá với nồng độ 3 – 4g/m3. Trường hợp này bông tạo bởi Mn4+ lớn và khó chui qua lớp vật liệu lọc.

Phụ lục 12

KHỬ MẶN NƯỚC BẰNG PHƯƠNG PHÁP ĐIỆN PHÂN

1- Phương pháp điện phân (điện hoá) được áp dụng để khử mặn nước ngầm và nước mặt, có hàm lượng muối từ 2500 đến 15.000 mg/l. Nước sau khi qua điện phân có hàm lượng muối không thấp hơn 500 mg/l. Nước đưa vào thiết bị điện phân phải có: Hàm lượng cặn không lớn hơn 2 mg/l, độ mầu không lớn hơn 200, độ ôxy hoá không lớn hơn 5mg/lO2, sắt không lớn hơn 0,05 mg/l,măng gan không lơn hơn 0,05 mg/l.

Hợp chất Ba tính theo BaO2 không lớn hơn 0,1 mg/l

2- Tính toán công nghệ trạm điện phân làm việc theo sơ đồ chạy thẳng khi đã biết kết cấu của các thiết bị (biết diện tích và mác của màng, kiểu khung và thiết bị tách v.v…) phải xác định được số bậc cần thiết để khử mặn, số thiết bị đặt song song trong mỗi bậc và số ô làm việc trong thiết bị điện thô cần thiết trên các điện cực của thiết bị của tất cả các bậc và cường độ dòng điện một chiều.

Tính toán công nghệ trạm điện phân làm việc theo sơ đồ tuần hoàn khi đã chọn được kết cấu của các thiết bị phải xác định ô làm việc trong mỗi thiết bị ở điện thế cần thiết trên các điện cực của thiết bị cường độ dòng điện một chiều trong các chu kì khác nhau của chu trình khử màu và cả lưu lượng tuần hoàn. Tính toán công nghệ trạm điện phân phải tiến hành theo các chỉ tiêu kinh tế tối ưu.

3- Ô hoạt động trong thiết bị điện phân gồm có hai màng, màng Nationit và màng Anianit và 2 ngăn, ngăn tách và ngăn chứa muối số n ô hoạt động để chuyển muối từ ngăn tách sang ngăn muối xác định theo biểu thức:

Bạn phải đăng nhập hoặc đăng ký Thành Viên TVPL Pro để sử dụng được đầy đủ các tiện ích gia tăng liên quan đến nội dung TCVN.

Mọi chi tiết xin liên hệ: ĐT: (028) 3930 3279 DĐ: 0906 22 99 66

Trong đó:

Q- Công suất của trạm m3/h

c– Giảm nồng độ tính theo mgdl/l đối với trạm tuần hoàn bằng Cn – Ck, còn đối với mỗi bậc của trạm chạy thẳng bằng Cv – Cn

ip: Mật độ tính toán của dòng điện A/cm2.

Fm: Diện tích công tác của màng cm2

η: Hệ số hiệu suất của dòng điện, giá trị của n ô đối với các thiết bị không được nhỏ hơn 0,8.

Cn: Hàm lượng muối của nước nguồn mgdl/l

Ck: Hàm lượng muối trong nước đã khử mặn mgdl/l

Cv: Nồng độ muối trong nước để tách trước khi đi vào thiết bị ở bậc bất kì (đối với bậc một nó bằng hàm lượng muối trong nước nguồn) mgdl/l

Bạn phải đăng nhập hoặc đăng ký Thành Viên TVPL Pro để sử dụng được đầy đủ các tiện ích gia tăng liên quan đến nội dung TCVN.

Mọi chi tiết xin liên hệ: ĐT: (028) 3930 3279 DĐ: 0906 22 99 66

Trong đó:

l- Chiều dài đoạn đường nước cần khử mặn đi qua ô trong ngăn của thiết bị điện giải cm.

k’ – Hệ số đặc trưng cho tính chất khử của thiết bị tách, đối với thiết bị tách là bằng chất dẻo sản xuất bằng phương pháp đột kéo K’ = 2.104, đối với thiết bị tách làm bằng sợi cáp rôn bện lại K=104.

d: Chiều dày của khung hộp bằng khoảng cách giữa các màng trong ngăn của thiết bị điện phân (cm).

4- Mật độ tính toán của dòng điện phải lấy bằng mật độ tối ưu của dòng ip xác định bằng tính toán kinh tế kĩ thuật. Đối với trạm chạy thẳng hay tuần hoàn công suất đến 500m3/ngày đêm với thiết bị kiểu đệm khi diện tích công tác của màng đến 5000 cm2 giá trị ip chọn theo bảng 7.

Bảng 7

Hàm lượng muối của nước nguồn g/l

Chất lượng màng tính theo giá thành phân làm 2 loại. Loại I và loại II (sản phẩm Liên Xô)

Bạn phải đăng nhập hoặc đăng ký Thành Viên TVPL Pro để sử dụng được đầy đủ các tiện ích gia tăng liên quan đến nội dung TCVN.

Mọi chi tiết xin liên hệ: ĐT: (028) 3930 3279 DĐ: 0906 22 99 66

Đối với trạm tuần hòan

Đối với một bậc của trạm chạy thẳng nhiều bậc

15

1

2

0,009

0,013

0,025

0,036

Bạn phải đăng nhập hoặc đăng ký Thành Viên TVPL Pro để sử dụng được đầy đủ các tiện ích gia tăng liên quan đến nội dung TCVN.

Mọi chi tiết xin liên hệ: ĐT: (028) 3930 3279 DĐ: 0906 22 99 66

1

2

0,005

0,009

0,023

0,033

2,5

1

2

Bạn phải đăng nhập hoặc đăng ký Thành Viên TVPL Pro để sử dụng được đầy đủ các tiện ích gia tăng liên quan đến nội dung TCVN.

Mọi chi tiết xin liên hệ: ĐT: (028) 3930 3279 DĐ: 0906 22 99 66

0,01

0,02

0,028

 

Ghi chú: Giá trị tính toán tối ưu của mật độ dòng điện cho đối với ngăn có thiết bị tách làm bằng chất dẻo theo phương pháp đột kéo. Khi dùng thiết bị tách kiểu bện bằng sợi cáp rôn thì cần phải giảm giá trị tính toán tối ưu của mật độ dòng điện đi 10%.

Mật độ tính toán của dòng điện theo bậc của trạm chạy thẳng xác định theo công thức:

Trong đó

i1 – Mật độ tính toán tối ưu của dòng trong thiết bị bậc một.

Bạn phải đăng nhập hoặc đăng ký Thành Viên TVPL Pro để sử dụng được đầy đủ các tiện ích gia tăng liên quan đến nội dung TCVN.

Mọi chi tiết xin liên hệ: ĐT: (028) 3930 3279 DĐ: 0906 22 99 66

α – Hệ số giảm nồng độ muối của nước được điện phân

5- Số lượng ô n trong mỗi thiết bị làm việc song song không được vượt quá 200 – 250 cái. Số thiết bị đặt song song N trong trạm tuần hoàn từng phần và trong mỗi bậc của trạm xã thẳng xác định theo công thức:

6- Điện thế V trên điện cực của thiết bị điện phân cần phải xác định theo công thức:

V = U1 + na EM+ ipEMnarô

Trong đó:

U1: Độ giảm điện thế trên hệ điện cực bằng 3 – 5 von

na: Số ô trong thiết bị

rô: Điện trở thuận của ô tính bằng ôm

Bạn phải đăng nhập hoặc đăng ký Thành Viên TVPL Pro để sử dụng được đầy đủ các tiện ích gia tăng liên quan đến nội dung TCVN.

Mọi chi tiết xin liên hệ: ĐT: (028) 3930 3279 DĐ: 0906 22 99 66

Trong đó:

j – các hệ số giá trị của chúng chọn theo bảng 8

Cd – Nồng độ tính toán dung dịch điện phân trong thiết bị mgdl/l.

Ct – Nồng độ tính toán của nước muối trong ngăn chứa muối mgdl/l.

Bảng 8

t0C

1

5

Bạn phải đăng nhập hoặc đăng ký Thành Viên TVPL Pro để sử dụng được đầy đủ các tiện ích gia tăng liên quan đến nội dung TCVN.

Mọi chi tiết xin liên hệ: ĐT: (028) 3930 3279 DĐ: 0906 22 99 66

15

18

20

25

30

j

0,084

0,079

Bạn phải đăng nhập hoặc đăng ký Thành Viên TVPL Pro để sử dụng được đầy đủ các tiện ích gia tăng liên quan đến nội dung TCVN.

Mọi chi tiết xin liên hệ: ĐT: (028) 3930 3279 DĐ: 0906 22 99 66

0,08

0,087

0,081

0,089

0,083

0,09

0,084

0,091

0,085

Bạn phải đăng nhập hoặc đăng ký Thành Viên TVPL Pro để sử dụng được đầy đủ các tiện ích gia tăng liên quan đến nội dung TCVN.

Mọi chi tiết xin liên hệ: ĐT: (028) 3930 3279 DĐ: 0906 22 99 66

0,086

0,095

0,088

7- Giá trị tính toán nồng độ muối trong nước qua điện ở ngăn tách Cn mgdl/l phải xác định theo công thức:

Đối với một bậc bất kỳ của trạm chạy thẳng nhiều bậc:

Đối với trạm tuần hoàn:

Các kí hiệu xem công thức trên

Bạn phải đăng nhập hoặc đăng ký Thành Viên TVPL Pro để sử dụng được đầy đủ các tiện ích gia tăng liên quan đến nội dung TCVN.

Mọi chi tiết xin liên hệ: ĐT: (028) 3930 3279 DĐ: 0906 22 99 66

9- Điện trở thuận (thuận từ) của ô rô tính bằng Ôm xác định theo công thức.

Trong đó:

r– Điện trở trung bình của một đơn vị bề mặt của màng (Ôm. Cm2).

δ- Hệ số tăng điện trở thuận của ngăn do thiết bị tách hay do các đường chuyển động ngoằn ngoèo khúc khuỷu. Giá trị trong các thiết bị loại có đặt tấm lọc khi d = 0,1 và thiết bị tách bằng chất dẻo sản xuất theo phương pháp đột kéo lấy bằng 1,4 khi sử dụng thiết bị tách bện bằng sợi cáp ren lấy δ = 1,48

Giá trị r đối với màng không đồng nhất của Liên Xô mác MK 40 và MA 40 lấy bằng 20-30 ôm cm2.

Gn.Gm – Độ dẫn điện đơn vị của dung dịch điện phân và dung dịch muối.

Trị số độ dẫn điện đơn vị của nước nguồn (khi t = 180C) cần xác định khi phân tích hoá học nước.

Khi không có tài liệu thì độ dẫn điện tính toán của nước được điện phân và dung dịch muối xác định theo công thức:

Bạn phải đăng nhập hoặc đăng ký Thành Viên TVPL Pro để sử dụng được đầy đủ các tiện ích gia tăng liên quan đến nội dung TCVN.

Mọi chi tiết xin liên hệ: ĐT: (028) 3930 3279 DĐ: 0906 22 99 66

G18oC: Độ dẫn điện riêng ở nhiệt độ 18oC tính bằng ôm

C: Nồng độ muối trong dung dịch điện phân hay trong dung dịch muối mgdl/l.

β: Hệ số phụ thuộc vào tỉ số của hàm lượng sunfát (mgdl/l) đối với tổng hàm lượng anion mgdl/l lấy theo bảng 9.

Bảng 9

SO2+

β

0,2

0,2 – 0,4

0,4 – 0,6

Bạn phải đăng nhập hoặc đăng ký Thành Viên TVPL Pro để sử dụng được đầy đủ các tiện ích gia tăng liên quan đến nội dung TCVN.

Mọi chi tiết xin liên hệ: ĐT: (028) 3930 3279 DĐ: 0906 22 99 66

0,8 – 1

0,94 – 0,96

0,92 – 0,895

0,895 – 0,87

0,87 – 0,84

0,84 – 0,81

10- Độ dẫn điện riêng của dung dịch điện phân và dung dịch muối ở toC, Ct ôm-l xác định theo công thức:

Ct = G18[1 + 0,02 (t – 18)]

Dung dịch điện phân và dung dịch muối khi đi l lần qua thiết bị điện phân bị đun nóng lên 0,5 – 10C do hiệu ứng Jun của nhiệt.

Bạn phải đăng nhập hoặc đăng ký Thành Viên TVPL Pro để sử dụng được đầy đủ các tiện ích gia tăng liên quan đến nội dung TCVN.

Mọi chi tiết xin liên hệ: ĐT: (028) 3930 3279 DĐ: 0906 22 99 66

12- Tất cả đường ống dẫn của trạm khử mặn phải dùng ống pôlietilen, các phụ tùng lớn bằng vật liệu chống gỉ.

13- Thông gió trong nhà đặt thiết bị điện phân thiết kế theo các chỉ dẫn ở mục 13.33. Khi thiết kế trạm cung cấp điện phải tuân theo các chỉ dẫn ở chương 12. Đối với trạm có công suất lớn hơn 10m3/h, thiết bị điện và KUTT phải đặt trong một nhà riêng cách li với nhà đặt các thiết bị điện phân.

Phụ lục 13

KHỬ SUNPHUAHYĐRO TRONG NƯỚC.

1- Để khử sunphuahyđro (H2S) và hyđrosulfit (HS) dùng các phương pháp sau: Clo hoá, làm thoáng rồi Clo hoá, axit hoá, làm thoáng, keo tụ và lọc.

2- Clo hoá để khử sunphuahydro trong nước phải tiến hành như sau:

a) Liều lượng Clo 2,1 mg cho l mg hợp chất chứa sunphuahyđro trong nước.

Khi xác định tổng lượng Clo để xử lí nước phải tính toán đến lượng yêu cầu thêm Clo để ôxy hoá các hợp chất khác có trong nước.

Khi thiếu những số liệu này liều lượng Clo bổ sung trên mức cần thiết để ôxy hoá synphuahyđro lấy bằng 2 – 3 mg/l.

Bạn phải đăng nhập hoặc đăng ký Thành Viên TVPL Pro để sử dụng được đầy đủ các tiện ích gia tăng liên quan đến nội dung TCVN.

Mọi chi tiết xin liên hệ: ĐT: (028) 3930 3279 DĐ: 0906 22 99 66

b) Liều lượng Clo 8,4 mg hợp chất Sunphuahyđro chứa trong nước.

Trong trường hợp này xẩy ra quá trình ôxy hoá Sunphuahyđro thành Sunphit và sẽ không tạo ra chất lơ lửng (lưu huỳnh).

3- Để giảm lượng Clo, nước có pH nhỏ hơn 7,2, trước khi Clo hoá phải làm thoáng trên giàn làm thoáng, hở tiếp xúc hoặc tháp đứng (khử khí). Khi thiết kế dàn làm thoáng hở phải lấy các thông số như sau: tải trọng 15m3/m2 – h, dàn có độ than cốc, hoặc xỉ …, độ lớn 30 – 50mm, chiều dày mỗi lớp 300 – 400mm khoảng cách giữa các lớp 600mm.

Khi hàm lượng Sulphuahyđrô trong nước đến 5mg/l phải có 3 lớp; khi hàm lượng Sulphuahydrô đến 10 mg/l phải có 5 lớp. Phòng đặt giàn làm thoáng phải được trang bị quạt gió có bội số trao đổi thể tích là 12 lần.

Phải thiết kế tháp thử khí; khi độ cứng cachonat nhỏ hơn 3mgdl/l, vật liệu tiếp xúc dùng vòng sành 25 x 25 x 3mm hoặc bằng gỗ xốp. Khi độ cứng cacbônat lớn hơn 3 mgdl/l thì dùng gỗ xốp.

Tải trọng trên tháp khử khí có vật liệu tiếp xúc là vòng sành lấy bằng 40m3/m2 -h; chiều cao của lớp vòng sành 2m khi hàm lượng Sulphuahyđro dưới 10mg/l, bằng 3m khi hàm lượng Sulphuahyđrô đến 20mg/l. Lưu lượng không khí bằng 20m3 cho 1m3 nước.

Tải trọng trên tháp khử khi có gỗ xốp lấy bằng 30m3/m2 h. Chiều cao lớp gỗ phải cao hơn chiều cao của lớp vòng sành 1m – lượng không khí lấy bằng 15m3 cho 1 m3 nước.

Bằng cách làm thoáng nếu giảm được 20 – 30% lượng Suphua hyđrô trong nước thì việc tiết kiệm mới thoả đáng.

4- Khi khử Sulphuahyđrô trong nước theo phương pháp axít hóa làm thoáng phải dự kiến trình tự xử lí như sau:

Bạn phải đăng nhập hoặc đăng ký Thành Viên TVPL Pro để sử dụng được đầy đủ các tiện ích gia tăng liên quan đến nội dung TCVN.

Mọi chi tiết xin liên hệ: ĐT: (028) 3930 3279 DĐ: 0906 22 99 66

– Làm thoáng trên tháp thử khí;

– Clo hoá để ôxy hoá Sulphuahyđrô còn lại sau khi làm thoáng;

– Xử lý bằng keo tụ và lọc để khử lưu huỳnh ở dạng keo sinh ra trong quá trình làm thoáng và Clo hoá.

Liều lượng Axit (mg/l) để giảm pH xuống 5,5 phải xác định theo công thức:

Trong đó:

K – Độ kiềm của nước nguồn mgdl/l

e- Trọng lượng đương lượng của axít

C- Hàm lượng axit sunphuaric của axit Clohyđric trong axit kĩ thuật %.

Bạn phải đăng nhập hoặc đăng ký Thành Viên TVPL Pro để sử dụng được đầy đủ các tiện ích gia tăng liên quan đến nội dung TCVN.

Mọi chi tiết xin liên hệ: ĐT: (028) 3930 3279 DĐ: 0906 22 99 66

– Liều lượng Clo để ôxy hóa Sulphuahyđrô còn lại trong nước sau khi làm thoáng lấy bằng 4 – 5 mg/l.

Bể lọc phải tính toán phù hợp với chỉ dẫn trong các điều 6.103 – 6.129.

Nước đã được làm sạch theo phương pháp axit hoá làm thoáng, làm trong phải được xử lí ổn định tiếp theo bằng kiềm hoá để khử tính ăn mòn.

Phụ lục 14

KHỬ AXIT SILIC HOÀ TAN TRONG NƯỚC

1- Khử các hợp chất của axít silic trong nước thực hiện bằng phương pháp sau:

a) Để giảm hàm lượng SiO2-4 đến 3 -5 mg/l thì keo tụ bằng phèn sắt hoặc phèn nhôm.

b) Khi độ kiềm của nước dưới 2 mgdl/l để giảm hàm lượng SiO23 đến l – l,5 mg/l thì xử lý bằng magcoxit kiềm và phải đun nóng nước trên 350C.

c) Để giảm hàm lượng SiO23 xuống 0,1 – 0,3 mg/l thì lọc nước qua chất hấp phụ oxyt magiê của Viện VODGEO theo sơ đồ 2 bậc có làm nóng nước đảm bảo khi nước ra khỏi bể lọc có nhiệt độ không quá 400C.

Bạn phải đăng nhập hoặc đăng ký Thành Viên TVPL Pro để sử dụng được đầy đủ các tiện ích gia tăng liên quan đến nội dung TCVN.

Mọi chi tiết xin liên hệ: ĐT: (028) 3930 3279 DĐ: 0906 22 99 66

2- Khi khử Silic trong nước bằng keo tụ liều lượng FeSO4, FeCl3 hoặc Al2(SO4)3 phải lấy bằng 15 mg cho 1 mg SiO3 và pha thêm vôi với liều lượng đủ để nâng pH sau khi pha phèn lên 7,8 đến 8,3. Liều lượng vôi tính toán D (mg/l) (tính theo CaO) xác định theo công thức

Trong đó:

Dp – Liều lượng phèn tính theo sản phẩm, khô (mg/l)

CO2 – Hàm lượng axít cácbonic có trong nước nguồn (mg/l)

ep – Trọng lượng, đương lượng của chất hoạt tính của phèn (mg/mgdl) (xem điều 6.15).

Tốc độ đọng nước đi lên trong vùng lắng của bể lắng trong phải lấy bằng 0,9 – 1 mm/s với chiều cao lớp cặn lơ lửng không kém 0,3m, lượng nước trong thu ở ngăn tích cặn trong khoảng 10- 25%. Khi cần giảm chất lơ lửng trong nước xuống dưới 15mg/l thì phải lọc nước.

3- Khi khử silic trong nước liều lượng magiê axít hoặc đôloxit nung chảy Do (mg/l) phải xác định theo công thức:

Do = (SiO2) 12 – 1,7 (Mg2+) .

Bạn phải đăng nhập hoặc đăng ký Thành Viên TVPL Pro để sử dụng được đầy đủ các tiện ích gia tăng liên quan đến nội dung TCVN.

Mọi chi tiết xin liên hệ: ĐT: (028) 3930 3279 DĐ: 0906 22 99 66

SiO-23– Nồng độ axit silic trong nước nguồn (mg/l).

Mg2+ – Hàm lượng Magie trong nước nguồn (mg/l)

CMgO – Hàm lượng MgO trong magieaxit kiềm hoặc đôlomit nung chảy (%)

Liều lượng vôi tính theo CaO, Dv (mg/l) khi độ kiềm của nước lớn hơn 2 mgdl/ l xác định theo công thức

Trong đó:

CO2 – Hàm lượng CO2 tự do trong nước nguồn (mg/l)

CK – Độ cứng Cacbonat của nước nguồn (mgdl/l)

Dp – Liều lượng phèn Fe hoặc FeSO4 (mg/l)

Bạn phải đăng nhập hoặc đăng ký Thành Viên TVPL Pro để sử dụng được đầy đủ các tiện ích gia tăng liên quan đến nội dung TCVN.

Mọi chi tiết xin liên hệ: ĐT: (028) 3930 3279 DĐ: 0906 22 99 66

CCaO – Hàm lượng CaO trong magenit kiềm hoặc đôlômit nung (%)

Để tính toán bể lắng trong phải lấy các số liệu sau:

Tốc độ đọng nước đi lên trong vùng lắng trong bảng 0,7 – 0,8 mm/s, lượng nước trong thu ở ngăn tách cặn bằng 30 – 40%, chiều cao lớp cặn lơ lửng 5,5 – 4,3m, chiều cao vùng lắng 2 – 2,3m:

4- Khi khử Silic bằng cách lọc qua chất hấp phụ oxyt magiê của kiềm VODGEO chất hấp phụ cần phải chắt vào bể lọc thành 1 lớp cao 3,4 – 4m với cỡ hạt 0,5 – 1,5mm.

Nước trước khi đưa vào bể lọc hấp phụ phải khử hết bicarbônat và axitcacbonic tự do bằng cách pha vôi, lọc qua hyđro NatriCationit H – khử muối từng phần và khử CO2, trên tháp khử.

Cần dự kiến khả năng nâng cao pH của nước sau khi lọc hyđro Natri Cationit Na- HCaO bằng Na, K và qua dàn khử khí lên tới 8,5 – 9 bằng cách cho vào nước hyđrôxyt Natri trước khi cho chảy vào bể lọc hấp phụ.

Khử Silic của nước phải lọc nước liên tiếp 2 lần có đun nóng nước để đảm bảo nhiệt độ của nước sau khi lọc không thấp hơn 400C. Tốc độ lọc lấy nhỏ hơn 10 m/s.

– Phải thiết kế bể thông xới để xới định kỳ chất hấp phụ trong bể lọc bằng đọng nước đi từ dưới lên với cường độ 3 – 4 1/s – m2.

Chất hấp phụ ôxýt magiê không hoàn nguyên được, lượng chứa silic của chất hấp phụ lấy bằng 10% trọng lượng của nó, trọng lượng thể tích khi đổ thành đống từ 0,75 -0,85g/cm3.

Bạn phải đăng nhập hoặc đăng ký Thành Viên TVPL Pro để sử dụng được đầy đủ các tiện ích gia tăng liên quan đến nội dung TCVN.

Mọi chi tiết xin liên hệ: ĐT: (028) 3930 3279 DĐ: 0906 22 99 66

KHỬ ÔXY HOÀ TAN

1- Khử ôxy hoà tan trong nước không cần đun nóng nước như sau:

– Phun nước trong chân không ứng với điểm sôi của nước tại nhiệt độ đã cho.

– Liên kết ôxy hoà tan với chất khử (Sulfit Natri, theo Sulfit Natri, khí Sulfurơ hydroxin…).

2- Việc liên kết ôxy hoà tan với chất khử phải thực hiện trong bể trộn áp lực kín tính với thời gian nước lưu lại trong 5 phút. Để tăng cường quá trình khử ôxy trước khi cho vào nước chất khử cần pha chất xúc tác – muối đồng 1 mg/l Cu) hoặc Côban (0,001mg/l Co) ở dạng dung dịch 0,01%. Nếu muốn khử 1 mg ôxy phải đưa vào trong nước 8,5 mg SulfitNatri khô, 4,5 mg khí Sulfuarơ hoặc 15 mg thì Sunfitnatri ngậm 5 phân tử nước.

Hoá chất đưa vào nước ở dạng dung dịch 3 – 5% trừ khi Sulfuarơ được định lượng bằng thiết bị định lượng hơi (kiểu Clorato).

3- Tháp khử khí ôxy dùng chân không phải tính với tải trọng nước là 50m3/h – m2 Khi vật liệu tiếp xúc là vòng sành 25 x 25 x 5mm. Thể tích vòng sành để giảm nồng độ ôxy hoà tan trong nước lấy theo bảng 10.

Thiết bị tạo chân không của tháp khử khí (bơm chân không Egiectostra hơi hoặc tia nước phải đảm bảo hút nước hỗn hợp hơi + khí với số lượng đảm bảo áp lực trong dàn khử khí theo bảng l1.

Bảng 10

Bạn phải đăng nhập hoặc đăng ký Thành Viên TVPL Pro để sử dụng được đầy đủ các tiện ích gia tăng liên quan đến nội dung TCVN.

Mọi chi tiết xin liên hệ: ĐT: (028) 3930 3279 DĐ: 0906 22 99 66

5

10

13

20

30

Thể tích vòng sành (m3) tính cho 1 m3 công suất giờ khi làm lượng ôxy trong nước nguồn

5 mg/l

10 –

12 –

Bạn phải đăng nhập hoặc đăng ký Thành Viên TVPL Pro để sử dụng được đầy đủ các tiện ích gia tăng liên quan đến nội dung TCVN.

Mọi chi tiết xin liên hệ: ĐT: (028) 3930 3279 DĐ: 0906 22 99 66

 

 

0,068

0,074

0,080

 

 

 

0,053

Bạn phải đăng nhập hoặc đăng ký Thành Viên TVPL Pro để sử dụng được đầy đủ các tiện ích gia tăng liên quan đến nội dung TCVN.

Mọi chi tiết xin liên hệ: ĐT: (028) 3930 3279 DĐ: 0906 22 99 66

0,068

 

 

 

0,045

0,050

0,058

 

 

Bạn phải đăng nhập hoặc đăng ký Thành Viên TVPL Pro để sử dụng được đầy đủ các tiện ích gia tăng liên quan đến nội dung TCVN.

Mọi chi tiết xin liên hệ: ĐT: (028) 3930 3279 DĐ: 0906 22 99 66

0,04

0,045

0,05

 

 

 

0,032

0,035

0,045

Bạn phải đăng nhập hoặc đăng ký Thành Viên TVPL Pro để sử dụng được đầy đủ các tiện ích gia tăng liên quan đến nội dung TCVN.

Mọi chi tiết xin liên hệ: ĐT: (028) 3930 3279 DĐ: 0906 22 99 66

Bảng 11

Nhiệt độ của nước oC

15

20

30

40

 

áp lực trong tháp khử khí kg/cm2

0,028

Bạn phải đăng nhập hoặc đăng ký Thành Viên TVPL Pro để sử dụng được đầy đủ các tiện ích gia tăng liên quan đến nội dung TCVN.

Mọi chi tiết xin liên hệ: ĐT: (028) 3930 3279 DĐ: 0906 22 99 66

0,055

0,09

 

 

Leave a Reply

Your email address will not be published. Required fields are marked *