Tiêu chuẩn XDVN TCXD86:1981

  • Loại văn bản: Tiêu chuẩn XDVN
  • Số hiệu: TCXD86:1981
  • Cơ quan ban hành: ***
  • Người ký: ***
  • Ngày ban hành: ...
  • Ngày hiệu lực: ...
  • Lĩnh vực: Xây dựng
  • Tình trạng: Không xác định
  • Ngày công báo: ...

Nội dung toàn văn Tiêu chuẩn xây dựng TCXD 86:1981 về gạch chịu axit


TIÊU CHUẨN XÂY DỰNG

TCXD 86 : 1981

GẠCH CHỊU AXIT

Acid resistant bricks

Tiêu chuẩn này áp dụng cho gạch chịu axit dùng trong các công trình xây dựng công nghiệp hoá học, điện hóa học, y dược, công nghiệp thực phẩm và các ngành khác có liên quan đến sự chống ăn mòn của các hoá chất mang tính axit.

Chú thích: Đối với các công trình tiếp xúc hoá chất HF thì không được dùng loại gạch này.

1. Kích thước cơ bản

1.1. Gạch chịu axit được sản xuất theo hai dạng: gạch khối và gạch tấm lát.

1.2. Hình dáng và kích thước của gạch cho theo bảng 1.

Bảng 1

mm

Dạng gạch

a

b

c

Gạch khối

Gạch tấm lát

230

100

150

113

100

450

65

11

11

2. Yêu cầu kĩ thuật

2.1. Gạch chịu axit được chia làm 3 loại A, B, C.

a) Loại A: Dùng cho các công trình lâu dài, khó sửa chữa và luôn luôn tiếp xúc với hoá chất.

b) Loại B, C: Dùng cho các công trình dễ sửa chữa, làm việc có tính chất liên tục.

2.2. Sai số kích thước, hình dáng phù hợp với yêu cầu cho trong bảng 2.

Bảng 2

Chỉ tiêu

Sai số cho phép

Loại A

Loại B

Loại C

1

2

3

4

1. Sai số về kích thước mm

– Gạch khối: không lớn hơn

Dài (b)

Rộng (a)

Dày (c)

– Gạch tấm lát loại (100 100):

 

 

±4

±2

±2

 

 

±5

±3

±3

 

 

±6

±4

±3

Dài (b)

Rộng (a)

Dày (c)

-Gạch tấm lát loại (150 150):

Dài (b)

Rộng (a)

Dày (c)

2. Các cạnh của gạch phải thẳng, các mặt phẳng phải phẳng, cho phép:

– Độ cong lồi (mm)

Gạch tấm lát

Gạch khối

– Độ cong lõm (mm)

Gạch tấm lát

Gạch khối

3. Độ xiên của góc đối với gạch khối cho phép (độ)

4.Vết nứt cho phép đối với:

– Gạch khối:

Vết: rộng 0,25mm, dài 6mm

Vết: rộng 1mm, dài 6mm

 

– Gạch lát:

Vết: rộng 0,25mm, dài 6mm

 

5. Vết nứt trên các góc cạnh của viên gạch đối với

– Gạch khối

Sứt cạnh: vết dài 1,5mm

Sứt góc: vết dài 1,5mm, sâu 2mm

 

– Gạch tấm lát

Sứt cạnh: vết dài 1mm

 

Sứt góc: vết dài 10mm

Sâu 1,5mm

±2

±2

±1,5

 

±3

±3

±2

 

 

 

+2

+2,5

 

-1,5

-2

±3

 

 

8 vết

Không cho phép

 

Không cho phép

 

 


2vết

Không cho phép

 

Không cho phép

 

Không cho phép

±2

±2

±1,5

 

±3

±3

±2

 

 

 

+2

+2,5

 

-1,5

-2

±4

 

 

10 vết

1 vết

 


Không cho phép

 

 


3 vết

2 vết

 

 

2vết

2vết

±3

±3

±1,5

 

±4

±4

±2

 

 

 

+4

+4

 

-2

-3

±5

 

 

10 vết

2 vết

 


Cho phép 4 vết ở mặt sau

 

 


2 vết

3 vết

 

 

3vết

4 vết

2.3. Chỉ tiêu cơ lí hoá phải phù hợp với yêu cầu bảng 3.

Bảng 3

Chỉ tiêu

Mức

A

B

C

1. Độ chịa axit không nhỏ hơn (%)

– Gạch khối

– Gạch tấm lát

2. Độ hút nước không lớn hơn (%)

– Gạch khối

– Gạch tấm lát

3. Giới hạn bền nén (daN/cm2) không nhỏ hơn

– Gạch khối

– Gạch tấm lát

 

96

96

 

7

6

 

400

400

 

94

94

 

9

8

 

300

300

 

92

92

 

12

12

 

300

300

2.4. Gạch phải vuông thành, sắc cạnh, màu sắc đồng đều, không sống và không có hạt trên mặt. Đối với gạch axit dạng tấm lát độ lệch về chiều dày viên gạch (lưỡi búa) không lớn hơn + 1,5mm.

3. Quy tắc nghiệm thu

3.1. Gạch ra lò sau khi phân loại phải được bộ phận kiểm tra chất lượng sản phẩm (KCS) kiểm tra theo tiêu chuẩn kĩ thuật đã nêu trên.

3.2. Kiểm tra chất lượng gạch axit được tiến hành theo từng lô sản xuất. Mỗi lô là 10.000 viên đối với gạch khối và 2.500 viên đối với gạch tấm lát. Nếu ít hơn vẫn được coi là một lô đủ.

3.3. Gạch phải được xếp ngay ngắn, gọn gàng riêng theo từng loại gạch và dạng gạch có biểu ghi loại A, B, C.

3.4. Mỗi lô gạch nghiệm thu gồm gạch của nhiều lô riêng biệt. Để tiến hành thử, lấy mẫu đối với gạch khối cứ 1000 viên lấy 5 viên, đối với gạch tấm lát cứ 2000 viên lấy 5 viên, rồi kiểm tra kích thước và hình dáng bên ngoài theo tiêu chuẩn này.

3.5. Từ lượng mẫu lấy theo điều 3.4 chọn 15 viên để kiểm tra theo các chỉ tiêu:

Độ hút nước:     5 viên

Độ chịu axit:      5 viên

Giới hạn độ bền nén:      5 viên

3.6. Nếu kết qủa kiểm tra theo điều 3.5 có một chỉ tiêu không phù hợp với yêu cầu của tiêu chuẩn này thì cần tiến hành thử lại với số mẫu lấy gấp đôi, lấy ngay tại lô gạch đó. Khi kết quả lần thứ hai vẫn chưa đạt thì lô đó không được nghiệm thu. Mẫu lấy phải là mẫu ngẫu nhiên và đại diện cho toàn bộ lô gạch.

3.7. Khi giao lô gạch cho bên tiêu thụ dùng, xí nghiệp cần phải có giấy xác nhận của lô sản phẩm đó, theo yêu cầu của tiêu chuẩn này trong đó có ghi rõ:

Tên bộ hoặc ngành quản lí xí nghiệp Tên địa chỉ của xí nghiệp sản xuất Loại sản phẩm

Dạng gạch (gạch khối, tấm lát)

Số lượng gạch của lô

Ngày xuất xưởng

Kích thước và khối lượng

Độ hút nước

Độ chịu axit

Giới hạn bền nén

Số liệu tiêu chuẩn.

4. Phương pháp thử

4.1. Kích thước của viên gạch được xác định bằng thước đo kim loại hay dụng cụ kiểm tra chuyên môn có độ chính xác đên 1mm.

4.2. Độ cong lồi hoặc cong lõm của mặt viên gạch xác định bằng thước thẳng kim loại và thước góc căn cứ theo khe hở giữa mặt phẳng viên gạch với chiều lồi hoặc chiều lõm lớn nhất để xác định.

4.3. Xác định độ xiên của gạch viên gạch bằng thước thẳng kim loại và thước đo độ. Độ xiên của viên gạch tính theo chiều dài hoặc chiều rộng toàn bộ viên gạch.

4.4. Chiều dài, chiều rộng, chiều sâu của vết nứt trên mặt viên gạch xác định bằng thước kim loại với độ chính xác đến 1mm.

4.5. Độ hút nước của gạch được xác định theo tiêu chuẩn TCVN 248: 1967.

4.6. Độ chịu axit của gạch được xác định theo phương pháp cỡ hạt như sau:

Lấy 50 gam mẫu theo điều 3.5 đem nghiền thành hạt qua sàng 1mm, sàng cho hết. Bột dưới sàng lại sàng tiếp qua sàng 0,63. Phần còn lại trên sàng 0,63 là mẫu thí nghiệm. Cho nam châm hút hết sắt và rửa cho sạch bụi bằng nước nhiều lần. Xong cho vào bát sứ sấy khô ở nhiệt độ 110oC. Bột sấy khô cho vào bình hút ẩm. Khi thí nghiệm, cân 1 gam bột đã sấy khô cho vào bình rồi cho 25ml H2SO4 tinh khiết có trọng lượng riêng 1,84 – 1,82 g/cm2. Đun sau 30 phút thì bình sôi (khói trắng của H2SO4 toả mạnh) giữ như vậy 1 giờ nữa. Khi thôi đun, bình để nguội mà không tách khỏi ống sinh hàn cho đến lúc nào hết hơi axit. Sau đó cho từ 2 – 3ml nước cất qua đầu trên ống sinh hàn để rửa sạch các hạt vật liệu có thể bám vào ống sinh hàn lúc sôi. Rửa xong sinh hàn, tháo dụng cụ ra, cho thêm 75ml nước lọc vào bình. Thêm từ từ, nếu thấy đục có nghĩa có tinh thể sunfát thì đặt lên chậu đun cách thuỷ cho đến khi hoà tan. Lọc nước trong, qua giấy lọc không tàn. Hạt còn lại trong bình rửa bằng nước cất đun sôi cho đến phản ứng trung hoà (thử bằng mêtyl da cam). Sau đó cũng lọc nước qua giấy lọc ở trên. Tiếp tục cho 50ml dung dịch Na2CO3 50% vào bình và đun cách thuỷ trong 15 phút. Trong khi đun; cứ 5 phút rung 1 lần. Sau đó, lọc dung dịch kiềm qua giấy lọc ở trên, rửa sạch kiềm dính vào hạt nằm trong bình bằng một ít nước cất đun sôi, chuyển hẳn phần hạt trong bình lên giấy lọc và tiếp tục rửa bằng nước cất đun sôi cho đến phản ứng trung hoà (thử bằng phênontalêin). Giấy lọc cùng với hạt cho vào chén sứ sấy đến trọng lượng không đổi bằng cách cân một vài lần.

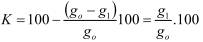
Độ chịu axit xác định theo công thức:

Trong đó:

K – Độ chịu axit;

go – Khối lượng mẫu ban đầu, g;

g1 – Khối lượng mẫu sau thí nghiệm, g.

4.7. Giới hạn bền nén thử theo tiêu chuẩn TCVN 176: 1965.

5. Bảo quản và vận chuyển

5.1. Gạch được xếp thành đống trên sàn, bãi khô ráo sạch sẽ, thoát nước tốt. Giữ cho mặt viên gạch khỏi rêu mốc vì bị mưa ẩm thường xuyên và lâu ngày.

5.2. Khi bốc dỡ gạch không được tung, ném, tránh va chạm xô đẩy gây sứt vỡ gạch.

5.3. Khi xếp gạch trong kho phải ngay ngắn, gọn gàng. Mỗi loại là một hàng riêng biệt. Khi vận chuyển phải xếp đứng từng lớp gạch chặt tay. Giữa các lớp gạch phải lót vật liệu mềm như rơm rạ, giấy vụn, mùn cưa, phoi bào v.v…

Trên một mặt của viên gạch có ghi nhãn hiệu của xí nghiệp sản xuất.

 

Leave a Reply

Your email address will not be published. Required fields are marked *